Патент на изобретение №2318807
|
||||||||||||||||||||||||||
(54) ПИРРОЛИДИН-2-ОНЫ В КАЧЕСТВЕ ИНГИБИТОРОВ ФАКТОРА ХА
(57) Реферат:
Изобретение относится к новым пирролидин-2-онам формулы (I):
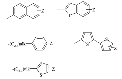
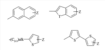
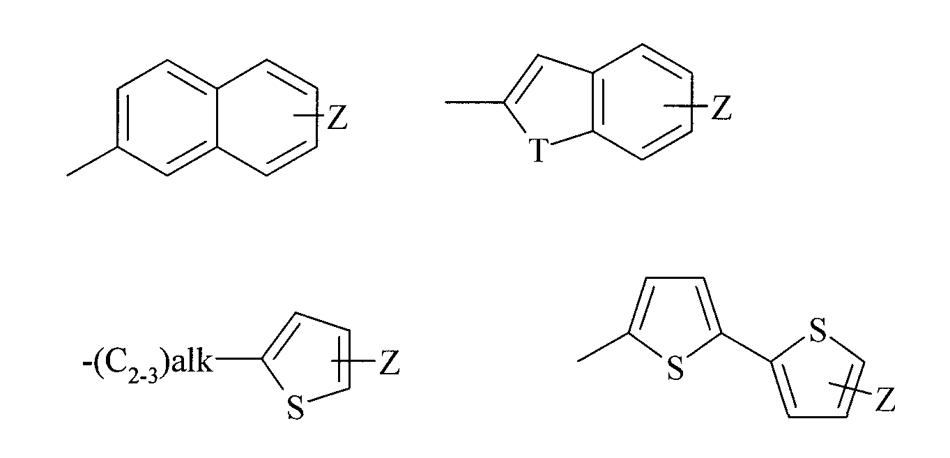
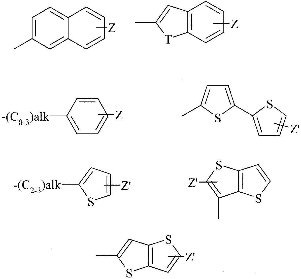
где R1 означает группу, выбранную из:
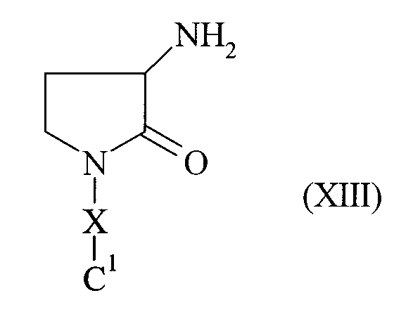
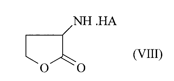
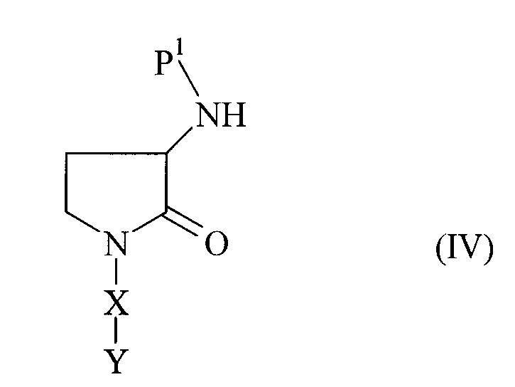
каждая из которых необязательно содержит дополнительный гетероатом N; Z означает необязательный заместитель галоген, -CH2NH2, -NRaRb или -CN, Z’ означает необязательный заместитель галоген, -CH2NH2 или -CN, alk означает алкилен или алкенилен, Т означает S, О; R2 означает Н, -С1-3алкилCONRaRb, -C1-3алкилCO2C1-4алкил, -C1-3алкилморфолино, -CO2C1-4алкил или -C1-3алкилCO2Н; Х означает фенильную или 5- или 6-членную ароматическую или неароматическую гетероциклическую группу, содержащую один или два гетероатома, выбранный из О, N или S, каждая из которых необязательно замещена 0-2 группами, выбранными из галогена, -CN, -C1-4алкила, -C2-4алкенила, -CF3, -NRaRb, –NO2, -N(C1-4алкил)(СНО), -NHCOC1-4алкила, -NHSO2Rc, С0-4алкилORd, -C(O)Rc, -C(O)NRaRb, -S(O)nRc и -S(O)2NRaRb; Y означает (i) заместитель, выбранный из Н, галогена, -CN, -C1-4алкила, -С2-4алкенила, -CF3, -NRaRb, -NO2, -Н(С1-4алкил)(СНО), -NHCOC1-4алкила, -NHSO2Rc, C0-4алкилORd, -C(O)Rc, -C(O)NRaRb, –S(O)nRc и -S(O)2NRaRb, или (ii) фенильную или 5- или 6-членную ароматическую или неароматическую гетероциклическую группу, содержащую один или два гетероатома, выбранных из О, N или S, каждая из которых необязательно замещена 0-2 группами, выбранными из галогена, -CN, -С1-4алкила, -CF3, -(CH2)nNRaRb, -(CH2)nN+RaRbCH2CONH2, С0-4алкилORd, –C(O)Rc, -C(O)NRaRb, -S(O)nRc, -S(O)2NRaRb, =О, оксида у атома N в цикле, -СНО, -NO2 и -N(Ra)(SO2Rc); Ra и Rb независимо означают Н, -С1-6алкил; Rc означает -С1-6алкил; Rd означает Н, -С1-6алкил; n означает 0-2; и его фармацевтически приемлемые соли или сольваты. Соединения ингибируют фактор Ха, что позволяет использовать их в фармацевтической композиции. 4 н. и 6 з.п. ф-лы.
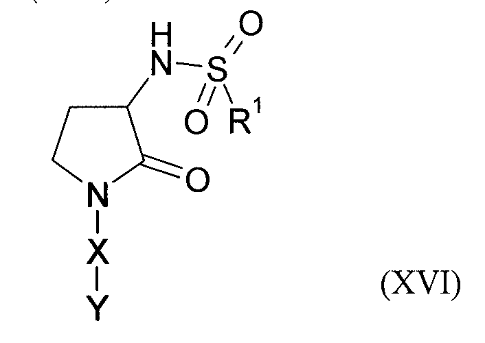
Область техники, к которой относится изобретение Данное изобретение относится к новому классу химических соединений, способам их получения, фармацевтическим композициям, содержащим данные соединения, и к их применению в медицине, конкретно к применению для улучшения клинических состояний, для которых показано применение ингибитора фактора Xa. Предпосылки для создания изобретения Фактор Ха является представителем ферментов класса трипсиноподобных сериновых протеаз. Он является ключевым ферментом в системе свертывания. Связывание “один к одному” факторов Xa и Va с ионами кальция и фосфолипидом превращает протромбин в тромбин. Тромбин играет главную роль в механизме свертывания крови, превращая растворимый белок плазмы, фибриноген, в нерастворимый фибрин. Нерастворимая матрица фибрина необходима для стабилизации первичной гемостатической пробки. Множество характерных болезненных состояний связаны с аномальным гемостазом. Что касается коронарной сосудистой сети, то главной причиной острого инфаркта миокарда и нестабильной стенокардии является аномальное образование тромбов в результате обрыва стабильной атеросклеротической бляшки. Лечение окклюзионного коронарного тромба как тромболитической терапией, так и чрескожной транслюминальной ангиопластикой коронарных сосудов (PTCA) часто сопровождается острой тромболитической реклинацией пораженного сосуда, что требует немедленного рассасывания. Что касается венозной сосудистой сети, то большой процент пациентов, перенесших радикальные хирургические операции нижних конечностей или брюшной полости, страдают образованием тромбов в венозной сосудистой сети, что может привести к уменьшению тока крови к пораженной конечности и предрасположенности к эмболии легких. Диссеминированная внутрисосудистая коагулопатия обычно имеет место в обеих сосудистых системах во время септического шока, некоторых вирусных инфекций и рака и характеризуется быстрым потреблением факторов коагуляции и системной коагуляцией, в результате чего образуются угрожающие жизни тромбы по всей сосудистой системе, что приводит к широко распространенным нарушениям функционирования органов. Известно, что кроме данной непосредственной роли в образовании богатых фибрином кровяных телец тромбин обладает усиленным биорегуляторным действием на ряд компонентов клеток в сосудистой системе и крови (Shuman, M. A., Ann. NY Acad. Sci., 405:349 (1986)). Ингибитор фактора Ха может быть применим для лечения острых сосудистых заболеваний, таких как тромбоз коронарных сосудов (например, инфаркт миокарда и нестабильная стенокардия), тромбоэмболия, острая закупорка сосудов, связанная с тромболитической терапией и подкожной транслюминальной ангиопластикой коронарных сосудов, преходящие приступы ишемической болезни, эмболия легких, тромбоз глубоких вен, закупорка периферических артерий, для профилактики сужения просвета сосудов (рестеноза) и профилактики тромбоэмболических приступов, связанных с фибрилляцией предсердий, например инсульта. Они также могут использоваться в качестве антикоагулянтов, как in vivo, так и ex vivo, и для лечении отеков и воспаления. Имеются сообщения о том, что тромбин способствует пролиферации легочного фибробласта, следовательно, ингибиторы фактора Ха могли бы применяться для лечения некоторых легочных фиброзных заболеваний. Ингибиторы фактора Ха также могут использоваться для лечения метастаза опухолей, предотвращая отложения фибрина и метастаз, вызываемые несоответствующей активацией фактора Ха цистеин протеиназами, продуцируемыми некоторыми опухолевыми клетками. Тромбин может индуцировать пульсирующий нейрит, и, таким образом, ингибиторы фактора Ха, возможно, обладают потенциалом для лечения нейродегенеративных заболеваний, таких, например, как болезнь Паркинсона или болезнь Альцгеймера. Также имеются сообщения о применении ингибиторов фактора Ха в сочетании с тромболитическими средствами, что позволяет применять более низкие дозы тромболитических средств. Описание изобретения Данное изобретение относится к пирролидин-2-онам формулы (I):
где R1 представляет собой группу, выбранную из:
каждая из которых необязательно содержит дополнительный гетероатом N, Z представляет собой необязательный заместитель галоген, -CH2NH2, -NRaRb или -CN, Z alk представляет собой алкилен или алкенилен, Т представляет собой S, O или NH; R2 представляет собой водород, -С1-3алкилCONRaRb, -С1-3алкилCO2C1-4алкил, -С1-3алкилморфолино, -CO2C1-4алкил или -С1-3алкилCO2H; X представляет собой фенильную или 5- или 6-членную ароматическую или неароматическую гетероциклическую группу, содержащую по меньшей мере один гетероатом, выбранный из O, N или S, каждая из которых необязательно замещена 0-2 группами, выбранными из галогена, -CN, -С1-4алкила, -С2-4алкенила, -CF3, -NRaRb, -NO2, -N(С1-4алкил)(СНО), -NHCOC1-4алкила, -NHSO2Rc, С0-4алкилORd, -C(O)Rc, -C(O)NRaRb, -S(О)nRc и -S(О)2NRaRb; Y представляет собой (i) заместитель, выбранный из водорода, галогена, -CN, -С1-4алкила, -С2-4алкенила, -CF3, -NRaRb, -NO2, -N(С1-4алкил)(СНО), -NHCOC1-4алкила, -NHSO2Rc, C0-4алкилORd, -C(O)Rc, -C(O)NRaRb, -S(O)nRc или -S(O)2NRaRb, или (ii) фенильную или 5-или 6-членную ароматическую или неароматическую гетероциклическую группу, содержащую один или два гетероатома, выбранных из О, N или S, каждая из которых необязательно замещена 0-2 группами, выбранными из галогена, -CN, -С1-4алкила, -CF3, -(CH2)nNRaRb, -(CH2)nN+RaRbCH2CONH2, С0-4алкилORd, -C(O)Rc, C(O)NRaRb, -S(O)nRc, -S(O)2NRaRb, =O, оксида у атома N в цикле, -СНО, -NO2 и -N(Ra)(SO2Rc); Ra и Rb независимо представляют собой водород или -C1-6алкил; Rc представляет собой C1-6алкил; Rd представляет собой водород или C1-6алкил; n представляет собой 0-2; и их фармацевтически приемлемым солям и сольватам. Дополнительными аспектами данного изобретения являются: – фармацевтическая композиция, содержащая соединение по данному изобретению вместе с фармацевтическим носителем и/или наполнителем. – Соединение по данному изобретению для применения в терапии. – Применение соединения по данному изобретению для изготовления лекарственного препарата для лечения больных, страдающих заболеваниями, для которых имеет место улучшение состояния при действии ингибиторов фактора Ха. – Способ лечения больных, страдающих заболеваниями, для которых имеет место улучшение состояния при действии ингибиторов фактора Ха, заключающийся во введении терапевтически эффективного количества соединения по данному изобретению. Данное изобретение также относится к соединениям формулы (I), где R1 представляет собой группу, выбранную из: Z представляет собой необязательный заместитель галоген, alk представляет собой алкилен или алкенилен, Т представляет собой S, О или NH; R2 представляет собой водород; Х представляет собой фенильную или 5- или 6-членную ароматическую или неароматическую гетероциклическую группу, содержащую по меньшей мере один гетероатом, выбранный из О, N или S, каждая из которых может быть замещена 0-2 группами, выбранными из галогена, -CN, -С1-4алкила, -CF3, -NRaRb, -(CH2)nORc, -C(O)Rc, -C(O)NRaRb, -S(O)nRc, -S(O)2NRaRb; Y представляет собой (i) заместитель, выбранный из водорода, галогена, -CN, -С1-4алкила, -CF3, -NRaRb, -(CH2)nORc, -С(O)Rc, -C(O)NRaRb, -S(O)nRc, -S(O)2NRaRb или (ii) фенильную или 5- или 6-членную ароматическую или неароматическую гетероциклическую группу, содержащую один или два гетероатома, выбранных из О, N или S, каждый из которых необязательно замещен 0-2 группами, выбранными из галогена, -CN, -С1-4алкила, -CF3, -(CH2)nNRaRb, -(CH2)nORc, -С(O)Rc, -C(O)NRaRb, -S(O)nRc, -S(O)2NRaRb; Ra и Rb независимо представляют собой водород или -C1-6алкил; Rc представляет собой -C1-6алкил; n представляет собой 0-2; и их фармацевтически приемлемым солям или сольватам. В еще одном аспекте данное изобретение относится к соединению формулы (I), представленному формулой (IA): где R1 представляет собой группу, выбранную из
каждая из которых необязательно содержит дополнительный гетероатом N, Z представляет собой необязательный заместитель галоген, -CH2NH2, -NRaRb или -CN, Z alk представляет собой алкилен или алкенилен, T представляет собой S, О или NH; R2 представляет собой водород, -С1-3алкилCONRaRb, -С1-3алкилCO2С1-4алкил, -C1-3алкилморфолино, CO2С1-4алкил или -С1-3алкилCO2Н; Х представляет собой фенильную или 5- или 6-членную ароматическую или неароматическую гетероциклическую группу, содержащую по меньшей мере один гетероатом, выбранный из О, N или S, каждая из которых может быть замещена 0-2 группами, необязательно выбранными из галогена, -CN, -С1-4алкила, -С1-4алкенила, -CF3, -NRaRb, -NO2, -N(C1-4алкил)(СНО), -NHCOC1-4алкила, -NHSO2Rc, С0-4алкилORd, -C(O)Rc, -C(O)NRaRb, -S(O)nRc и -S(O)2NRaRb; Y представляет собой фенильную или 5- или 6-членную ароматическую или неароматическую гетероциклическую группу, содержащую один или два гетероатома, выбранных из О, N или S, каждая из которых может быть замещена 0-2 группами, выбранными из галогена, -CN, -С1-4алкила, -CF3, -(СН2)nNRaRb, -(СН2)nN+RaRbCH2CONH2, С0-4алкилORd, -C(O)Rc, -C(O)NRaRb, -S(O)nRc, -S(O)2NRaRb, =O, оксида у атома N в цикле, -СНО, -NO2 и -N(Ra)(SO2Rc); Ra и Rb независимо представляют собой водород или -C1-6алкил; Rc представляет собой -C1-6алкил; Rd представляет собой водород или -C1-6алкил; n представляет собой 0-2; и их фармацевтически приемлемым солям или сольватам. Данное изобретение также относится к соединениям формулы (IA), где R1 представляет собой группу, выбранную из:
Z представляет собой необязательный заместитель галоген, alk представляет собой алкилен или алкенилен, Т представляет собой S, О или NH; R2 представляет собой водород; Х представляет собой фенильную группу, необязательно замещенную 0-2 группами, выбранными из галогена, -CN, -С1-4алкила, -CF3, -NRaRb, -(CH2)nORc, С(O)Rc, -C(O)NRaRb, -S(O)nRc и -S(O)2NRaRb; Y представляет собой фенильную группу, необязательно замещенную 0-2 группами, выбранными из галогена, -CN, -С1-4алкила, -CF3, -(CH2)nNRaRb, -(CH2)nORc, С(O)Rc, -C(O)NRaRb, -S(O)nRc и -S(O)2NRaRb; Ra и Rb независимо представляют собой водород или -C1-6алкил; Rc представляет собой C1-6алкил; n представляет собой 0-2; и их фармацевтически приемлемым солям и сольватам. В еще одном аспекте данное изобретение относится к соединению формулы (I), представленному формулой (IB):
R1 представляет собой группу, выбранную из:
Z представляет собой необязательный заместитель галоген, alk представляет собой алкилен или алкенилен, Т представляет собой S, О или NH; Х представляет собой фенильную группу, необязательно замещенную 0-2 группами, выбранными из галогена, -CN, -С1-4алкила, -CF3, -(CH2)nORc, -С(O)Rc, -C(O)NRaRb, -S(O)nRc и -S(O)2NRaRb; Y представляет собой -NRaRb; Ra и Rb независимо представляют собой водород или -C1-6алкил; Rc представляет собой -C1-6алкил; n представляет собой 0-2; и их фармацевтически приемлемым солям и сольватам. В еще одном аспекте данное изобретение относится к соединениям формулы (I), представленным формулой (IC):
где R1 представляет собой группу, выбранную из:
каждая из которых необязательно содержит дополнительный гетероатом N, Z представляет собой необязательный заместитель галоген, -CH2NH2, -NRaRb или -CN, Z alk представляет собой алкилен или алкенилен, T представляет собой S, О или NH; R2 представляет собой водород, -C1-3алкилCONRaRb, -C1-3алкилCO2C1-4алкил, -C1-3 алкилморфолино, -CO2C1-4алкил или -C1-3алкилCO2H; X представляет собой фенильную или 5- или 6-членную ароматическую или неароматическую гетероциклическую группу, содержащую по меньшей мере один гетероатом, выбранный из O, N или S, каждая из которых может быть замещена 0-2 группами, выбранными из галогена, -CN, -С1-4алкила, -С2-4алкенила, -CF3, -NRaRb, -NO2, -N(C1-4алкил)(СНО), -NHCOC1-4алкила, -NHSO2Rc, С0-4алкилORc, -C(O)Rc, -C(O)NRaRb, -S(O)nRc и -S(O)2NRaRb; Y представляет собой заместитель, выбранный из водорода, галогена, -CN, -С1-4алкила, -С2-4алкенила, -CF3, -NRaRb, -NO2, -N(C1-4алкил)(CHO), -NHCOC1-4алкила, -NHSO2Rc, С0-4алкилORd -С(O)Rc, -C(O)NRaRb, -S(O)nRc и -S(O)2NRaRb; Ra и Rb независимо представляют собой водород или -C1-6алкил; Rc представляет собой -C1-6алкил; Rd представляет собой водород или -C1-6алкил; n представляет собой 0-2; и их фармацевтически приемлемые соли и сольваты. Данное изобретение относится также к соединениям формулы (IC), где R1 представляет собой группу, выбранную из
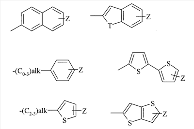
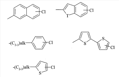
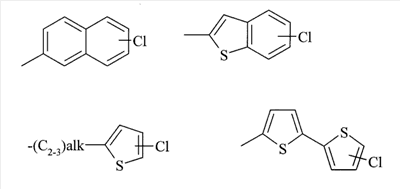
Z представляет собой необязательный заместитель галоген, alk представляет собой алкилен или алкенилен, Т представляет собой S, О или NH; R2 представляет собой водород; Х представляет собой фенильную или 5- или 6-членную ароматическую или неароматическую гетероциклическую группу, содержащую по меньшей мере один гетероатом, выбранный из О, N или S, каждая из которых может быть замещена 0-2 группами, выбранными из галогена, -CN, -С1-4алкила, -CF3, -NRaRb, -(CH2)nORc, -C(O)Rc, -C(O)NRaRb, -S(O)nRc и -S(O)2NRaRb; Y представляет собой заместитель, выбранный из водорода, галогена, -CN, -С1-4алкила, -CF3, NRaRb, -(CH2)nORc, -C(O)Rc, -C(O)NRaRb, -S(O)nRc, -S(O)2NRaRb; Ra и Rb независимо представляют собой водород или -C1-6алкил; Rc представляет собой -C1-6алкил; n представляет собой 0-2; и их фармацевтически приемлемым солям или сольватам. В еще одном аспекте данное изобретение относится к соединениям формулы (I), где Х и Y являются заместителями, указанными выше, а R1 обозначает хлорнафталин, предпочтительно 6-хлорнафталин. Соединения формулы (I) содержат хиральные (асимметрические) центры. Индивидуальные стереоизомеры (энантиомеры и диастереоизомеры) и их смеси охватываются объемом данного изобретения (входят в объем данного изобретения). В соединении формулы (I): Предпочтительно R1 представляет собой группу, выбранную из:
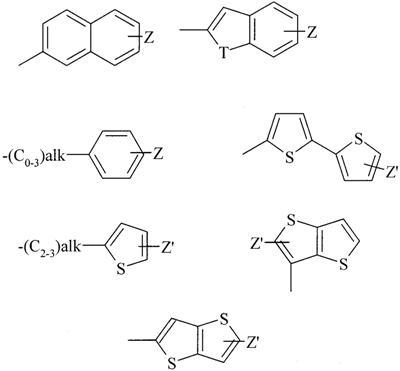
каждая из которых необязательно содержит дополнительный гетероатом N, Z представляет собой необязательный заместитель галоген, -CH2NH2, -NRaRb или -CN, Z alk представляет собой алкилен или алкенилен, T представляет собой S или O. Более предпочтительно R1 представляет собой группу, выбранную из: каждая из которых необязательно содержит дополнительный гетероатом N, Z представляет собой необязательный заместитель галоген, alk представляет собой алкилен или алкенилен, T представляет собой S или O. Еще более предпочтительно R1 представляет собой группу, выбранную из: Наиболее предпочтительно R1 представляет собой: Предпочтительно R2 представляет собой водород, CH2CONH2, CH2CO2CH3, CH2CO2C4алкил, CH2CO2H, CO2C4алкил, (CH2)2морфолино. Предпочтительно R2 представляет собой водород или CH2CONH2. Предпочтительно морфолиновый цикл связан с алкильной цепью через N, когда R2 представляет собой C2H4морфолино. Предпочтительно X представляет собой фенильную или 5- или 6-членную ароматическую или неароматическую гетероциклическую группу, содержащую по меньшей мере один гетероатом, выбранный из O, N или S, каждая из которых может быть замещена 0-2 группами, выбранными из галогена, -CN, -С1-4алкила, -С2-4алкенила, -NRаRb, -N(C1-4алкил)(CHO), -NO2, -NHCOC1-4алкил, NH2SO2Rс, C0-4алкилORd, -C(O)Rс и -C(O)NRaRb. Более предпочтительно X представляет собой фенильную или 5- или 6-членную ароматическую гетероциклическую группу, содержащую по меньшей мере один гетероатом, выбранный из O, N или S, каждая из которых необязательно замещена 0-2 группами, выбранными из галогена, -CN, -С1-4алкила, -С2-4алкенила, -NRаRb, -N(C1-4алкил)(CHO), NO2, NHSO2Rс, C0-4алкилORd, -C(O)Rс и -C(O)NRaRb. Еще более предпочтительно X представляет собой фенильную или 5- или 6-членную ароматическую гетероциклическую группу, содержащую по меньшей мере один гетероатом, выбранный из O, N или S, каждая из которых необязательно замещена 0-2 группами, выбранными из галогена, -CN, -С2-4алкенила, -N(C1-4алкил)(CHO), -C(O)Rс и -C(O)NRaRb. Еще более предпочтительно X представляет собой фенильную группу, необязательно замещенную галогеном, или 5- или 6-членную ароматическую гетероциклическую группу, содержащую по меньшей мере один гетероатом, выбранный из O, N или S. Еще более предпочтительно X представляет собой фенильную группу, замещенную водородом, или галогеном, или пиридином. Наиболее предпочтительно Х представляет собой фенильную группу, замещенную в 2-положении фтором или пиридином. Предпочтительно Y представляет собой (i) заместитель, выбранный из водорода, галогена, -CN, -С1-4алкила, -С2-4алкенила, NRaRb, -N(С1-4алкил)(СНО), NO2, -NHCOC1-4алкила, -NHSO2Rc, С0-4алкилORd, -C(O)Rc или -С(O)NRaRb; или (ii) фенильную или 5- или 6-членную ароматическую или неароматическую гетероциклическую группу, содержащую один или два гетероатома, выбранных из О, N или S, каждая из которых может быть замещена 0-2 группами, выбранными из галогена, -CN, -С1-4алкила, -CF3, -(СН2)nNRaRb, -(CH2)nN+RaRbCH2CONH2, С0-4алкилORd, -C(O)NRaRb, -S(O)nRc, -S(O)2NRaRb, оксида у атома N в цикле, -СНО, -NO2 и -N(Ra)(SO2Rc). Более предпочтительно Y представляет собой (i) заместитель, выбранный из водорода, галогена, -CN, -С2-4алкенила, -NRaRb, -N(C1-4алкил)(СНО), NO2, -NHSO2Rc, С0-4алкилORd, -С(O)Rc или -C(O)NRaRb; или (ii) фенильную или 5- или 6-членную ароматическую или неароматическую гетероциклическую группу, содержащую один или два гетероатома, выбранный из О, N или S, каждая из которых может быть замещена 0-2 группами, выбранными из галогена, -CN, -С1-4алкила, -CF3, -(CH2)nNRaRb, -(СН2)nN+RaRbCH2CONH2, -С0-4алкилORd, -C(O)NRaRb, -S(O)nRc, -S(O)2NRaRb, оксида у атома N в цикле, -СНО, -NO2 и -N(Ra)(SO2Rc). Еще более предпочтительно Y представляет собой (i) заместитель, выбранный из водорода, галогена, -CN, -С2-4алкенила, -N(C1-4алкил)(СНО), -C(O)Rc или -C(O)NRaRb; или (ii) фенильную или 5- или 6-членную ароматическую или неароматическую гетероциклическую группу, содержащую один или два гетероатома, выбранных из О, N или S, каждая из которых может быть замещена 0-2 группами, выбранными из галогена, -CN, -С1-4алкила, -CF3, -(CH2)nNRaRb, -(CH2)nN+RaRbCH2CONH2, С0-4алкилORd, -C(O)NRaRb, -S(O)nRc, S(O)2NRaRb, NO2 и -N(Ra)(SO2Rc). Наиболее предпочтительно Y представляет собой (i) заместитель, выбранный из водорода, галогена, -CN, -C(O)Rc или -C(O)NRaRb; или (ii) фенильную, пиразольную, имидазольную или пиридиновую группу, каждая из которых необязательно замещена 0-2 группами, выбранными из галогена, -CN, -С1-4алкила, -CF3, (CH2)nNRaRb, -(СН2)nN+RaRbCH2CONH2, С0-4алкилORd, -C(O)NRaRb, -S(O)nRc, S(O)2NRaRb, NO2 и -N (Ra)(SO2Rc). Еще в одном предпочтительном аспекте Y представляет собой (i) заместитель, выбранный из водорода, галогена, -CN, -С1-4алкила, -С2-4алкенила, -CF3, -NRaRb, NO2, -N(C1-4алкил)(СНО), -NHCOC1-4алкила, -NHSO2Rc, С0-4алкилORd, -С(O)Rc, -C(O)NRaRb, -S(O)nRc или -S(O)2NRaRb; (ii) фенильную группу, необязательно замещенную 0-2 группами, выбранными из галогена, -CN, -С1-4алкила, -CF3, -(CH2)nNRaRb, -C0-4алкилORd, С(O)Rc, -C(O)NRaRb, -S(O)nRc, S(O)2NRaRb, -СНО, NO2 и -N(Ra)(SO2Rc); (iii) 5- или 6-членную ароматическую или неароматическую гетероциклическую группу, содержащую один или два гетероатома, выбранных из О, N или S, каждая из которых может быть замещена группой, выбранной из -S(O)nRc, S(O)2NRaRb, -NO2 или -N(Ra)(SO2Rc); или (iv) когда R1 представляет собой
или
Y представляет собой 5- или 6-членную ароматическую или неароматическую гетероциклическую группу, содержащую один или два гетероатома, выбранных из О, N или S, каждая из которых может быть замещена 0-2 группами, выбранными из галогена, -CN, -С1-4алкила, -CF3, -(СН2)nNRaRb, -(СН2)nN+RaRbCH2CONH2, С0-4алкилORd, -С(O)Rc, -C(O)NRaRb, -S(O)nRc, S(O)2NRaRb, -CHO, NO2 и -N(Ra)(SO2Rc). Более предпочтительно Y представляет собой (i) заместитель, выбранный из водорода, галогена, -CN, -С1-4алкила, -CF3, NRaRb, -(CH2)nORc, -С(O)Rc, -С(O)NRaRb, -S(O)nRc или -S(О)2NRaRb, (ii) фенильную группу, необязательно замещенную 0-2 группами, выбранными из галогена, -CN, -С1-4алкила, -CF3, -(СН2)nNRaRb, -(CH2)nORc, -C(O)Rc, -C(O)NRaRb, -S(O)nRc и -S(О)2NRaRb, (iii) 5- или 6-членную ароматическую или не ароматическую гетероциклическую группу, содержащую один или два гетероатома, выбранных из О, N или S, каждая из которых может быть замещена группой, выбранной из -S(O)nRc или -S(O)2NRaRb; или (iv) когда R1 представляет собой
или
и Z представляет собой необязательный заместитель галоген, Y представляет собой 5- или 6-членную ароматическую или неароматическую гетероциклическую группу, содержащую один или два гетероатома, выбранных из О, N или S, каждая из которых необязательно замещена 0-2 группами, выбранными из галогена, -CN, -С1-4алкила, -CF3, -(СН2)nNRaRb, -(CH2)nORc, -С(O)Rc, -C(O)NRaRb, -S(O)nRc, S(O)2NRaRb. Наиболее предпочтительно Y представляет собой (i) заместитель, выбранный из водорода, галогена, -CN, -С1-4алкила, -CF3, NRaRb, -(CH2)nORc, -С(O)Rc, -C(O)NRaRb, -S(O)nRc или -S(O)2NRaRb; или (ii) фенильную группу, необязательно замещенную 0-2 группами, выбранными из галогена, -CN, -С1-4алкила, -CF3, -(CH2)nNRaRb, -(CH2)nORc, -C(O)Rc, -C(O)NRaRb, -S(O)nRc и -S(O)2NRaRb, или (iii) когда R1 представляет собой
или
и Z представляет собой необязательный заместитель галоген, Y представляет собой пиразольную, имидазольную или пиридиновую группу, каждая из которых необязательно замещена 0-2 группами, выбранными из галогена, -CN, -С1-4алкила, -CF3, -(CH2)nNRaRb, -(CH2)nORc, -C(O)Rс, -C(O)NRaRb, -S(O)nRc, S(O)2NRaRb. Предпочтительно, когда X является фенилом, Y представляет собой заместитель в 4-положении фенильного кольца (т.е. в пара-положении по отношению к остальной части молекулы). Предпочтительно Ra и Rb независимо представляют собой водород или -С1-6алкил. В соединении формулы (IA): Предпочтительно R1 представляет собой группу, выбранную из: каждая из которых необязательно содержит дополнительный гетероатом N, Z представляет собой необязательный заместитель галоген, -CH2NH2, -NRaRb или -CN, Z alk представляет собой алкилен или алкенилен, T представляет собой S или O. Более предпочтительно R1 представляет собой группу, выбранную из: каждая из которых необязательно содержит дополнительный гетероатом N, Z представляет собой необязательный заместитель галоген, alk представляет собой алкилен или алкенилен, T представляет собой S или O. Еще более предпочтительно R1 представляет собой группу, выбранную из: Наиболее предпочтительно R1 представляет собой группу: Предпочтительно R2 представляет собой водород, CH2CONH2, CH2CO2CH3, CH2CO2C4алкил, CH2CO2H, CO2C4алкил, (CH2)2морфолино. Предпочтительно R2 представляет собой водород или CH2CONH2. Предпочтительно морфолиновый цикл связан с алкильной цепью через N, когда R2 представляет собой C2H4морфолино. Предпочтительно X представляет собой фенильную группу, необязательно замещенную галогеном, или 5- или 6-членную ароматическую гетероциклическую группу, содержащую по меньшей мере один гетероатом, выбранный из O, N или S. Более предпочтительно X представляет собой фенильную или 5- или 6-членную ароматическую гетероциклическую группу, содержащую по меньшей мере один гетероатом, выбранный из O, N или S, каждая из которых необязательно замещена 1-2 группами, выбранными из галогена. Еще более предпочтительно X представляет собой фенильную группу, замещенную галогеном или пиридином. Наиболее предпочтительно X представляет собой фенильную группу, замещенную во 2-положении фтором или пиридином. Предпочтительно Y представляет собой фенильную или 5- или 6-членную ароматическую или неароматическую гетероциклическую группу, содержащую один или два гетероатома, выбранных из О, N или S, каждая из которых необязательно замещена 0-2 группами, выбранными из галогена, -CN, -С1-4алкила, -CF3, -(СН2)nNRaRb, -(CH2)nN+RaRbCH2CONH2, С0-4алкилORd, -C(O)NRaRb, -S(O)nRc, S(O)2NRaRb, оксида у атома N в цикле, -СНО, -NO2 или -N(Ra)(SO2Rc). Более предпочтительно Y представляет собой фенильную или 5- или 6-членную ароматическую или неароматическую гетероциклическую группу, содержащую один или два гетероатома, выбранных из О, N или S, каждая из которых необязательно замещена 0-2 группами, выбранными из галогена, -CN, -С1-4алкила, -CF3, (CH2)nNRaRb, -(CH2)nN+RaRbCH2CONH2, С0-4алкилORd, -C(O)NRaRb, -S(O)nRc, -S(O)2NRaRb, -NO2 или -N(Ra)(SO2Rc). Наиболее предпочтительно Y представляет собой фенильную, пиридиновую или пиразольную группу, необязательно замещенную 0-2 группами, выбранными из галогена, -CN, -С1-4алкила, -CF3, (CH2)nNRaRb, -(СН2)nN+RaRbCH2CONH2, С0-4алкилORd, -C(O)NRaRb, -S(O)nRc, -S(O)2NRaRb, NO2 или -N(Ra)(SO2Rc). Еще в одном предпочтительном аспекте Y представляет собой (i) фенильную группу, необязательно замещенную 0-2 группами, выбранными из галогена, -CN, -С1-4алкила, -CF3, (CH2)nNRaRb, С0-4алкилORd, -C(O)Rc, -C(O)NRaRb, -S(O)nRc, -S(O)2NRaRb; -СНО, -NO2 и -N(Ra)(SO2Rc), (ii) 5- или 6-членную ароматическую или неароматическую гетероциклическую группу, содержащую один или два гетероатома, выбранных из О, N или S, каждая из которых замещена группой, выбранной из -S(O)nRc, -S(O)2NRaRb, NO2 или -N(Ra)(SO2Rc); или (iii) когда R1 представляет собой
или
Y представляет собой 5- или 6-членную ароматическую или неароматическую гетероциклическую группу, содержащую один или два гетероатома, выбранных из О, N или S, каждая из которых необязательно замещена 0-2 группами, выбранными из галогена, -CN, -С1-4алкила, -CF3, -(СН2)nNRaRb, -(СН2)nN+RaRbCH2CONH2, С0-4алкилORd, -С(О)Rc, -C(O)NRaRb, -S(O)nRc, -S(O)2NRaRb, -CHO, NO2, -N(Ra)(SO2Rc). Более предпочтительно Y представляет собой (i) фенильную группу, необязательно замещенную 0-2 группами, выбранными из галогена, -CN, -С1-4алкила, -CF3, -(СН2)nNRaRb, -(CH2)nORc, -C(O)Rc, -C(O)NRaRb, -S(O)nRc и -S(O)2NRaRb, (ii) 5- или 6-членную ароматическую или неароматическую гетероциклическую группу, содержащую один или два гетероатома, выбранных из О, N или S, каждая из которых замещена группой, выбранной из -S(O)nRc или S(O)2NRaRb; или (iii) когда R1 представляет собой
или
Y представляет собой 5- или 6-членную ароматическую или неароматическую гетероциклическую группу, содержащую один или два гетероатома, выбранных из О, N или S, каждая из которых необязательно замещена 0-2 группами, выбранными из галогена, -CN, -С1-4алкила, -CF3, -(СН2)nNRaRb, -(CH2)nORc, -С(O)Rc, -C(O)NRaRb, -S(O)nRc и S(O)2NRaRb. Наиболее предпочтительно Y представляет собой (i) фенильную группу, необязательно замещенную 0-2 группами, выбранными из галогена, -CN, -С1-4алкила, -CF3, -(СН2)nNRaRb, -(CH2)nORc, -С(O)Rc, -C(O)NRaRb, -S(O)nRc и S(O)2NRaRb, или (iii) когда R1 представляет собой
или
Y представляет собой фенильную, пиразольную, имидазольную или пиридиновую группу, каждая из которых необязательно замещена 0-2 группами, выбранными из галогена, -CN, -С1-4алкила, -CF3, -(CH2)nNRaRb, -(CH2)nORc, -С(O)Rc, -C(O)NRaRb, -S(O)nRc, S(O)2NRaRb. Предпочтительно, когда X является фенилом, Y представляет собой заместитель в 4-положении фенильного кольца (т.е. в пара-положении по отношению к остальной части молекулы). Предпочтительно Ra и Rb независимо представляют собой водород или -С1-6алкил. В соединении формулы (IC): предпочтительно R1 представляет собой группу, выбранную из Z представляет собой необязательный заместитель галоген, Т представляет собой S. Еще более предпочтительно R1 представляет собой группу, выбранную из Z представляет собой необязательный заместитель галоген, Т представляет собой S. Более предпочтительно R1 представляет собой группу, выбранную из Наиболее предпочтительно R1 представляет собой группу, выбранную из Предпочтительно R2 представляет собой водород или CH2CONH2. Предпочтительно X представляет собой фенильную или 5- или 6-членную ароматическую или неароматическую гетероциклическую группу, содержащую по меньшей мере один гетероатом, выбранный из O, N или S, каждая из которых необязательно замещена 0-2 группами, выбранными из галогена, -CN, -С1-4алкила, -С2-4алкенила, -NRаRb, -N(C1-4алкил)(CHO), -NO2, -NHCOC1-4алкила, NHSO2Rс, C0-4алкилOH, -C(O)Rс и -C(O)NRaRb. Более предпочтительно X представляет собой фенильную или 5- или 6-членную ароматическую гетероциклическую группу, содержащую по меньшей мере один гетероатом, выбранный из O, N или S, каждая из которых необязательно замещена 0-2 группами, выбранными из галогена, -CN, -С2-4алкенила, -NRаRb, -N(C1-4алкил)(CHO), -NO2, C0-4алкилOH, -C(O)Rс и -C(O)NRaRb. Еще более предпочтительно X представляет собой фенильную группу или 5- или 6-членную ароматическую гетероциклическую группу, содержащую, по меньшей мере, один гетероатом, выбранный из O, N или S, каждая из которых необязательно замещена 0-2 группами, выбранными из галогена, -CN, -N(C1-4алкил)(CHO), -C(O)Rс и -C(O)NRaRb. Еще более предпочтительно X представляет собой фенильную группу, необязательно замещенную галогеном, или 5- или 6-членную ароматическую гетероциклическую группу, содержащую, по меньшей мере, один гетероатом, выбранный из O, N или S. Еще более предпочтительно X представляет собой фенильную группу, замещенную галогеном или пиридином. Еще более предпочтительно X представляет собой фенильную группу, замещенную галогеном. Наиболее предпочтительно X представляет собой фенильную группу, замещенную в 2-положении галогеном. Предпочтительно Y представляет собой заместитель, выбранный из водорода, галогена, -CN, -С1-4алкила, С2-4алкенила, -NRaRb, NO2, -N(C1-4алкил)(CHO), -NHCOC1-4алкила, NHSO2Rс, C0-4алкилORd, -C(O)Rс или -C(O)NRaRb. Более предпочтительно Y представляет собой заместитель, выбранный из водорода, галогена, -CN, С2-4алкенила, -NRaRb, NO2, -N(C1-4алкил)(CHO), C1-4алкилOH, -C(O)Rс или -C(O)NRaRb. Еще более предпочтительно Y представляет собой заместитель, выбранный из водорода, галогена, -CN, С2-4алкенила, -N(C1-4алкил)(CHO), C1-4алкилOH, -C(O)Rс или -C(O)NRaRb. Наиболее предпочтительно Y представляет собой заместитель, выбранный из водорода, галогена, -CN, -C(O)Rс или -C(O)NRaRb. Предпочтительно, если в случае, когда Х является фенилом, Y представляет собой заместитель в 4-положении фенильного кольца (т.е. в пара-положении по отношению к остальной части молекулы). Понятно, что данное изобретение охватывает все комбинации предпочтительных, более предпочтительных, еще более предпочтительных и наиболее предпочтительных групп, описанных выше в данной заявке. Термин «алкил» используют в данной заявке для обозначения насыщенных углеводородных групп как с неразветвленной, так и с разветвленной цепью. Примеры алкильных групп включают метил (-CH3), этил (-С2H5), пропил (-С3H7) и бутил (-С4H9). Термин «алкилен» используют в данной заявке для обозначения насыщенных углеводородных линкерных групп как с неразветвленной, так и с разветвленной цепью. Примеры алкиленовых групп включают метилен (-CH2-), этилен (-CH2CH2-) и пропилен (-CH2CH2CH2-). Термин «алкенилен» используют в данной заявке для обозначения ненасыщенных углеводородных линкерных групп как с неразветвленной, так и с разветвленной цепью, где ненасыщенность присутствует только в виде двойных связей. Примеры алкениленовых групп включают этенилен (-CH=CH-) и пропенилен (-CH2CH=CH-). Термин «гетероциклическая группа» используют в данной заявке для обозначения необязательно замещенных циклов, содержащих один или более гетероатомов, выбранных из атомов азота, серы и кислорода. Гетероцикл может быть ароматическим или неароматическим, т.е. может быть насыщенным, частично или полностью ненасыщенным. Примеры 5-членных групп включают тиенил, фуранил, пирролидинил, тиазолил, оксазолил и имидазолил. Примеры 6-членных групп включают пиридил, пиперидинил, пиримидинил и морфолинил. Примеры 7-членных групп включают гексаметилениминил. Некоторые гетероциклические группы, например тиенил, фуранил, тиазолил, оксазолил, пиридил и пиримидинил, С-связаны с остальной молекулой. Другие гетероциклические группы, например пирролидинил, имидазолил, пиперидил, морфолинил и гексаметилениминил, могут быть С-связаны или N-связаны с остальной молекулой. Термин «галоген» используют в данной заявке для обозначения атома, выбранного из фтора, хлора, брома и йода. Термин «фармацевтически приемлемый» используют в данной заявке для обозначения соединения, приемлемого для фармацевтического использования. Термин «фармацевтически приемлемое производное» используют в данной заявке для обозначения любой фармацевтически приемлемой соли, сольвата или пролекарства, например сложного эфира или карбамата, или соли или сольвата такого пролекарства соединения формулы (I), которые при введении реципиенту способны давать (непосредственно или косвенным образом) соединение формулы (I) или его активный метаболит или его остаток. Предпочтительными фармацевтически приемлемыми производными являются соли, сольваты, сложные эфиры, сложные эфиры карбаминовой и фосфорной кислот. Особенно предпочтительными фармацевтически приемлемыми производными являются соли, сольваты и сложные эфиры. Наиболее предпочтительными фармацевтически приемлемыми производными являются соли и сольваты. Приемлемые соли по данному изобретению включают соли, образованные как с органическими, так и с неорганическими кислотами и основаниями. Фармацевтически приемлемые кислотно-аддитивные соли включают соли, образованные присоединением минеральных кислот, таких как хлористоводородная, бромистоводородная, серная, фосфорная кислоты; и органических кислот, таких как лимонная, винная, молочная, пировиноградная, уксусная, трифторуксусная, янтарная, щавелевая, муравьиная, фумаровая, малеиновая, щавелевоуксусная, метансульфоновая, этансульфоновая, п-толуолсульфоновая, бензолсульфоновая и изэтионовая кислоты. Особенно предпочтительные фармацевтически приемлемые соли включают соли, образованные из хлористоводородной, трифторуксусной и муравьиной кислот. Специалисты в области органической химии понимают, что многие органические соединения могут образовывать комплексы с растворителями, в которых их вводят в реакции или из которых их осаждают или кристаллизуют. Данные комплексы называются «сольватами». Например, комплексы с водой называются «гидратами». Сольваты соединения формулы (I) входят в объем притязаний данного изобретения. Соли и сольваты соединения формулы (I), которые подходят для применения в медицине, представляют собой такие соли и сольваты, где противоион или связанный растворитель фармацевтически приемлемы. Однако соли и сольваты с фармацевтически неприемлемыми противоионами или связанными растворителями охватываются объемом данного изобретения, например, для применения в качестве промежуточных соединений при получении других соединений формулы (I) и их фармацевтически приемлемых солей и сольватов. Термин «пролекарство» используют в данной заявке для обозначения соединения, которое в организме превращается, например, в результате гидролиза в крови, в его активную форму, которая обладает лечебным действием. Фармацевтически приемлемые пролекарства описаны в работах T. Higuchi and V. Stella, Prodrugs as Novel Delivery Systems, Vol. 14 of the A.C.S. Symposium Series, Edward B. Roshe, ed., Bioreversible Carriers in Drug Design, American Pharmaceutical Association and Pergamon Press, 1987, and in D. Fleisher, S. Ramon and H. Barbra “Improved oral drug delivery: solubility limitations overcome by the use of prodrugs”, Advanced Drug Delivery Reviews (1996) 19(2) 115-130, каждая из которых включена в данную заявку в качестве ссылки. Сложные эфиры могут быть активны сами по себе и/или могут обладать способностью гидролизоваться в условиях in vivo в организме человека. Подходящие фармацевтически приемлемые, способные гидролизоваться in vivo сложноэфирные группы включают группы, которые легко разрушаются в организме человека и дают исходную кислоту или ее соль. Предпочтительные соединения по данному изобретения включают: 6-Хлор-N-{(3S)-1-[3-фтор-2 6-Хлор-N-{(3S)-1-[4-(диметиламино)фенил]-2-оксопирролидин-3-ил}нафталин-2-сульфонамид (Е)-2-(5-Хлортиен-2-ил)-N-((3S)-1-{5-[2-(метилсульфонил)фенил]пиридин-2-ил}-2-оксопирролидин-3-ил}этенсульфонамид (Е)-2-(5-Хлортиен-2-ил)-N-{(3S)-1-[3-фтор-2 5-Хлор-N-{(3S)-1-[3-фтор-2 N-{(3S)-1-[3-Фтор-2 (Е)-2-(4-Хлорфенил)-N-{(3S)-1-[3-фтор-2 5 6-(Диметиламино)-N-{(3S)-1-[3-фтор-2 N-{(3S)-1-[3-Фтор-2 6-Хлор-N-{(3S)-1-[3-фтор-2 5-Хлор-N-{(3S)-1-[3-фтор-2 6-Хлор-N-[(3S)-1-(4-{2-[(диметиламино)метил]-1Н-имидазол-1-ил}-2-фторфенил)-2-оксопирролидин-3-ил]-1-бензотиофен-2-сульфонамид формиат (1:1) (1E)-2-(5-Хлортиен-2-ил)-N-[(3S)-1-(4-{2-[(диметиламино)метил]-1H-имидазол-1-ил}-2-фторфенил)-2-оксопирролидин-3-ил]проп-1-ен-1-сульфонамид формиат (1:1) N-{(3S)-1-[2 4 (E)-2-(5-Хлортиен-2-ил)-N-{(3S)-1-[5-(2-нитрофенил)пиридин-2-ил]-2-оксопирролидин-3-ил}этенсульфонамид (E)-2-(5-Хлортиен-2-ил)-N-[(3S)-1-(3-фтор-2 4 4 (E)-2-(5-Хлортиен-2-ил)-N-[(3S)-1-(5-{2-[(метилсульфонил)амино]фенил}пиридин-2-ил)-2-оксопирролидин-3-ил]этенсульфонамид (E)-N-{(3S)-1-[5-(2-трет-Бутилфенил)пиридин-2-ил]-2-оксопирролидин-3-ил}-2-(5-хлортиен-2-ил)этенсульфонамид 5-Хлор-N-((3S)-1-{5-[2-(метилсульфонил)фенил]пиридин-2-ил}-2-оксопирролидин-3-ил}-1-бензофуран-2-сульфонамид (Е)-2-(5-Хлортиен-2-ил)-N-((3S)-2-оксо-1-{5-[2-(трифторметил)фенил]пиридин-2-ил}пирролидин-3-ил)этенсульфонамид 2-{6-[(3S)-3-({[(E)-2-(5-Хлортиен-2-ил)этенил]сульфонил}амино)-2-оксопирролидин-1-ил)пиридин-3-ил}-N,N-диметилбензамид (Е)-2-(5-Хлортиен-2-ил)-N-{(3S)-1-[5-[2-цианофенил)пиридин-2-ил]-2-оксопирролидин-3-ил)этенсульфонамид 2-{6-[(3S)-3-({[(E)-2-(5-Хлортиен-2-ил)этенил]сульфонил}амино)-2-оксопирролидин-1-ил)пиридин-3-ил}бензолсульфонамид 2-{6-[(3S)-3-({[(E)-2-(5-Хлортиен-2-ил)этенил]сульфонил}амино)-2-оксопирролидин-1-ил)пиридин-3-ил}-N,N-диметилбензолсульфонамид 2-{6-[(3S)-3-({[(E)-2-(5-Хлортиен-2-ил)этенил]сульфонил}амино)-2-оксопирролидин-1-ил)пиридин-3-ил}-N-метилбензолсульфонамид (Е)-2-(5-Хлортиен-2-ил)-N-{(3S)-1-(5-{2-[метил(метилсульфонил)амино]фенил}пиридин-2-ил)-2-оксопирролидин-3-ил)этенсульфонамид (Е)-2-(5-Хлортиен-2-ил)-N-{(3S)-1-[5-(2-изопропоксифенил)пиридин-2-ил]-2-оксопирролидин-3-ил)этенсульфонамид 6-Хлор-N-[(3S)-2-оксо-1-(5-фенилпиридин-2-ил)пирролидин-3-ил]нафталин-2-сульфонамид 5-Хлор-N-((3S)-1-{5-[2-(метилсульфонил)фенил]пиридин-2-ил}-2-оксопирролидин-3-ил]тиено[2,3b]пиридин-2-сульфонамид 4-Циано-N-{(3S)-1-[3-фтор-2 3-Циано-N-{(3S)-1-[3-фтор-2 6-Хлор-N-{(3S)-1-[3-фтор-2 6-Хлор-N-{(3S)-1-[3-фтор-2 5-Хлор-N-{(3S)-1-[3-фтор-2 (1E)-2-(5-Хлортиен-2-ил)-N-{(3S)-1-[3-фтор-2 трет-Бутил [{[(E)-2-(5-хлортиен-2-ил)этенил]сульфонил}((3S)-1-{5-[2-(метилсульфонил)фенил]пиридин-2-ил}-2-оксопирролидин-3-ил)амино]ацетат [{[(E)-2-(5-Хлортиен-2-ил)этенил]сульфонил}((3S)-1-{5-[2-(метилсульфонил)фенил]пиридин-2-ил}-2-оксопирролидин-3-ил)амино]уксусная кислота (E)-2-(5-Хлортиен-2-ил)-N-((3S)-1-{5-[2-(метилсульфонил)фенил]пиридин-2-ил}-2-оксопирролидин-3-ил)-N-(2-морфолин-4-илэтил)этенсульфонамид формиат (1:1) 2-[{[(E)-2-(5-Хлортиен-2-ил)этенил]сульфонил}((3S)-1-{5-[2-(метилсульфонил)фенил]пиридин-2-ил}-2-оксопирролидин-3-ил)амино]ацетамид трет-Бутил [(E)-2-(5-Хлортиен-2-ил)этенил]сульфонил{(3S)-1-[3-фтор-2 (E)-2-(5-Хлортиен-2-ил)-N-{(3S)-1-[3-фтор-2 2-({[(E)-2-(5-Хлортиен-2-ил)этенил]сульфонил}{(3S)-1-[3-фтор-2 трет-Бутил ({[(E)-2-(5-Хлортиен-2-ил)этенил]сульфонил}{(3S)-1-[3-фтор-2 {[(E)-2-(5-Хлортиен-2-ил)этенил]сульфонил}((3S)-1-{5-[2-(метилсульфонил)фенил]пиридин-2-ил}-2-оксопирролидин-3-ил)амино]уксусная кислота ({[(E)-2-(5-Хлортиен-2-ил)этенил]сульфонил}{(3S)-1-[3-фтор-2 Амид 4 [(S)-1-[5-(2-метилсульфанилфенил)тиазол-2-ил]-2-оксопирролидин-3-ил]амид 6-хлорнафталин-2-сульфоновой кислоты [(S)-1-[5-(2-метансульфонилфенил)тиазол-2-ил]-2-оксопирролидин-3-ил]амид 6-хлорнафталин-2-сульфоновой кислоты 3-(Аминометил)-N-{(3S)-1-[3-фтор-2 4-(Аминометил)-N-{(3S)-1-[3-фтор-2 6-Хлор-N-[(3S)-1-[2-фтор-4-пиридин-4-илфенил)-2-оксопирролидин-3-ил]нафталин-2-сульфонамид 6-Хлор-N-{(3S)-1-[4-(2,4-диметоксипиримидин-5-ил)-2-фторфенил]-2-оксопирролидин-3-ил}нафталин-2-сульфонамид 6-Хлор-N-[(3S)-1-(2-фтор-4-пиридин-3-илфенил)-2-оксопирролидин-3-ил]нафталин-2-сульфонамид 6-Хлор-N-{(3S)-1-[2-фтор-4-(6-метоксипиридин-3-ил)фенил]-2-оксопирролидин-3-ил}нафталин-2-сульфонамид 6-Хлор-N-{(3S)-1-[2-фтор-4-[4-пропилпиридин-3-ил)фенил]-2-оксопирролидин-3-ил}нафталин-2-сульфонамид 6-Хлор-N-((3S)-1-{2-фтор-4-[6-(метилтио)пиридин-3-ил]фенил}-2-оксопирролидин-3-ил}нафталин-2-сульфонамид N-{(3S)-1-[4-(5-бромпиридин-3-ил)-2-фторфенил]-2-оксопирролидин-3-ил}-6-хлорнафталин-2-сульфонамид 6-Хлор-N-{(3S)-1-[2-фтор-4-(4-метоксипиридин-3-ил)фенил]-2-оксопирролидин-3-ил}нафталин-2-сульфонамид 6-Хлор-N-[(3S)-1-(2-фтор-4-пиримидин-5-илфенил)-2-оксопирролидин-3-ил]нафталин-2-сульфонамид N-{(3S)-1-[3′-(аминометил)-3-фтор-1,1′-бифенил-4-ил]-2-оксопирролидин-3-ил}-6-хлорнафталин-2-сульфонамид 6-Хлор-N-{(3S)-1-[2-фтор-4-(3-фурил)фенил]-2-оксопирролидин-3-ил}нафталин-2-сульфонамид 6-Хлор-N-{(3S)-1-[2-фтор-4-(4-метилтиен-2-ил)фенил]-2-оксопирролидин-3-ил}нафталин-2-сульфонамид 6-Хлор-N-[(3S)-1-(2-фтор-4-тиен-3-илфенил)-2-оксопирролидин-3-ил]нафталин-2-сульфонамид 6-Хлор-N-{(3S)-1-[2-фтор-4-(5-метилтиен-2-ил)фенил]-2-оксопирролидин-3-ил}нафталин-2-сульфонамид 6-Хлор-N-{(3S)-1-[2-фтор-4-(4-метилтиен-3-ил)фенил]-2-оксопирролидин-3-ил}нафталин-2-сульфонамид 6-Хлор-N-{(3S)-1-[2-фтор-4-(3-формилтиен-2-ил)фенил]-2-оксопирролидин-3-ил}нафталин-2-сульфонамид 6-Хлор-N-{(3S)-1-[4-(5-хлортиен-2-ил)-2-фторфенил]-2-оксопирролидин-3-ил}нафталин-2-сульфонамид 6-Хлор-N-{(3S)-1-[4-(3,5-диметилизоксазол-4-ил)-2-фторфенил]-2-оксопирролидин-3-ил}нафталин-2-сульфонамид 6-Хлор-N-{(3S)-1-[2-фтор-4-(5-метил-2-фурил)фенил]-2-оксопирролидин-3-ил}нафталин-2-сульфонамид 6-Хлор-N-[(3S)-1-(3-фтор-1,1′-бифенил-4-ил)-2-оксопирролидин-3-ил]нафталин-2-сульфонамид (E)-2-(5-Хлортиен-2-ил)-N-[(3S)-1-(4-{2-[(диметиламино)метил]-1H-имидазол-1-ил}-2-фторфенил)-2-оксопирролидин-3-ил]этенсульфонамида бис(трифторацетат) 6-Хлор-N-{(3S)-1-[2-фтор-4-(1-оксидопиридин-4-ил)фенил]-2-оксопирролидин-3-ил}нафталин-2-сульфонамид 6-Хлор-N-{(3S)-1-[2-фтор-4-(1-метил-1H-имидазол-2-ил)фенил]-2-оксопирролидин-3-ил}нафталин-2-сульфонамид 6-Хлор-N-{(3S)-1-[4-(2-Хлорпиридин-3-ил)-2-фторфенил]-2-оксопирролидин-3-ил}нафталин-2-сульфонамид 6-Хлор-N-{(3S)-1-[4-(2-цианопиридин-3-ил)-2-фторфенил]-2-оксопирролидин-3-ил}нафталин-2-сульфонамид (E)-N-{(3S)-1-[4-(3-Хлорпиридин-4-ил)-2-фторфенил]-2-оксопирролидин-3-ил}-2-(5-хлортиен-2-ил)этенсульфонамид 6-Хлор-N-[(3S)-1-(2-фтор-4-пиримидин-2-илфенил)-2-оксопирролидин-3-ил]нафталин-2-сульфонамид 6-Хлор-N-{(3S)-1-[4-(3-хлорпиридин-2-ил)-2-фторфенил]-2-оксопирролидин-3-ил}нафталин-2-сульфонамид 6-хлор-N-{(3S)-1-[4-(3-хлорпиридин-4-ил)-2-фторфенил]-2-оксопирролидин-3-ил}нафталин-2-сульфонамид 6-Хлор-N-{(3S)-1-[2-фтор-4-(1-метил-1H-имидазол-4-ил)фенил]-2-оксопирролидин-3-ил}нафталин-2-сульфонамид формиат 6-Хлор-N-{(3S)-1-[2-фтор-4-(1-метил-1H-имидазол-5-ил)фенил]-2-оксопирролидин-3-ил}нафталин-2-сульфонамид 2-(5-Хлортиен-2-ил)-N-{(3S)-1-[3-фтор-2′-(метилсульфонил)-1,1′-бифенил-4-ил]-2-оксопирролидин-3-ил}-l,3-тиазол-5-сульфонамид 5-Хлор-N-{(3S)-1-[3-фтор-2′-(метилсульфонил)-1,1′-бифенил-4-ил]-2-оксопирролидин-3-ил}тиено[3,2-b]тиофен-2-сульфонамид 2-Хлор-N-{(3S)-1-[3-фтор-2′-(метилсульфонил)-1,1′-бифенил-4-ил]-2-оксопирролидин-3-ил}тиено[3,2-b]тиофен-3-сульфонамид 6-Хлор-N-[(3S)-1-(2-фтор-4-йодфенил)-2-оксопирролидин-3-ил]нафталин-2-сульфонамид (E)-2-(5-Хлортиен-2-ил)-N-[(3S)-1-(5-йодпиридин-2-ил)-2-оксопирролидин-3-ил]этенсульфонамид 6-Хлор-N-[(3S)-1-(2-фтор-4-йодфенил)-2-оксопирролидинил]-1-бензотиофен-2-сульфонамид 5′-Хлор-N-[(3S)-1-(2-фтор-4-йодфенил)-2-оксопирролидин-3-ил]-2,2′-битиофен-5-сульфонамид 2-(5-Хлор-2-тиенил)-N-[(3S)-1-(2-фтор-4-йодфенил)-2-оксопирролидинил]этансульфонамид 6-Хлор-N-[(3R)-1-(2-фтор-4-нитрофенил)-2-оксопирролидинил]-1-бензотиофен-2-сульфонамид (E)-2-(5-Хлор-2-тиенил)-N-[(3S)-1-(2-фтор-4-нитрофенил)-2-оксопирролидинил]этенсульфонамид 5′-Хлор-N-[(3S)-1-(2-фтор-4-нитрофенил)-2-оксопирролидин-3-ил]-2,2′-битиофен-5-сульфонамид 6-Хлор-N-[(3S)-1-(4-циано-2-фторфенил)-2-оксопирролидин-3-ил]-1-бензотиофен-2-сульфонамид (E)-2-(5-Хлортиен-2-ил)-N-[(3S)-1-(4-циано-2-фторфенил)-2-оксопирролидин-3-ил]этенсульфонамид 2-(5-Хлортиен-2-ил)-N-[(3S)-1-(4-циано-2-фторфенил)-2-оксопирролидин-3-ил]этансульфонамид (E)-2-(5-Хлор-2-тиенил)-N-[(3S)-1-(2-фтор-4-изопропенилфенил)-2-оксопирролидинил]этенсульфонамид 6-Хлор-N-[(3S)-1-(2-фторфенил)-2-оксопирролидин-3-ил]нафталин-2-сульфонамид N-[(3S)-1-(4-Бром-2-фторфенил)-2-оксопирролидинил]-6-хлор-2-нафталинсульфонамид 6-Хлор-N-{(3S)-1-[3-фтор-4-(4-морфолинил)фенил]-2-оксопирролидинил}-2-нафталинсульфонамид 4-[(3S)-3-({[(E)-2-(5-Хлортиен-2-ил)этенил]сульфонил}амино)-2-оксопирролидин-1-ил]-3-фтор-N,N-диметилбензамид (E)-2-(5-хлор-2-тиенил)-N-{(3S)-1-[2-фтор-4-(1-пирролидинилкарбонил)фенил]-2-оксопирролидинил}этенсульфонамид 6-[(3S)-3-({[(E)-2-(5-Хлортиен-2-ил)этенил]сульфонил}амино)-2-оксопирролидин-1-ил]никотинамид 4-[(3S)-3-({[(E)-2-(5-Хлортиен-2-ил)этенил]сульфонил}амино)-2-оксопирролидин-1-ил]-3-фторбензамид 4-[(3S)-3-({[(E)-2-(5-Хлортиен-2-ил)этенил]сульфонил}амино)-2-оксопирролидин-1-ил]-3-фтор-N-метилбензамид 4-((3S)-3-{[(6-Хлор-1-бензотиен-2-ил)сульфонил]амино}-2-оксопирролидин-1-ил)-3-фтор-N,N-диметилбензамид 4-[(3S)-3-({[(lE)-2-(5-Хлортиен-2-ил)проп-1-енил]сульфонил}амино)-2-оксопирролидин-1-ил]-3-фтор-N,N-диметилбензамид 4-((3S)-3-{[(6-Хлор-1-бензотиен-2-ил)сульфонил]амино}-2-оксопирролидин-1-ил)-3-фтор-N-изопропил-N-метилбензамид (E)-N-[(3S)-1-(4-ацетил-2-фторфенил)-2-оксопирролидин-3-ил]-2-(5-хлортиен-2-ил)этенсульфонамид (E)-N-[(3S)-1-(5-Ацетилпиридин-2-ил)-2-оксопирролидин-3-ил]-2-(5-хлортиен-2-ил)этенсульфонамид N-{4-[(3S)-3-({[(E)-2-(5-Хлор-2-тиенил)этенил]сульфонил}амино)-2-оксопирролидинил]-3-фторфенил}ацетамид N-{4-[(3S)-3-({[(E)-2-(5-Хлор-2-тиенил)этенил]сульфонил}амино)-2-оксопирролидинил]-3-фторфенил}пропанамид N-{4-[(3S)-3-({[(E)-2-(5-Хлортиен-2-ил)этенил]сульфонил}амино)-2-оксопирролидин-1-ил]-3-фторфенил}-2-метилпропанамид N-[4-((3S)-3-{[(6-Хлор-1-бензотиен-2-ил)сульфонил]амино}-2-оксопирролидинил)-3-фторфенил] ацетамид N-[4-((3S)-3-{[(6-Хлор-1-бензотиен-2-ил)сульфонил]амино}-2-оксопирролидинил)-3-фторфенил]пропанамид N-[4-((3S)-3-{[(6-Хлор-1-бензотиен-2-ил)сульфонил]амино}-2-оксопирролидинил)-3-фторфенил]-2-метилпропанамид (E)-2-(5-хлортиен-2-ил)-N-((3S)-1-{2-фтор-4-[формил(изопропил)амино]фенил}-2-оксопирролидин-3-ил)этенсульфонамид 6-Хлор-N-((3S)-1-{2-фтор-4-[формил(изопропил)амино]фенил}-2-оксопирролидин-3-ил)-1-бензотиофен-2-сульфонамид 6-Хлор-N-{(3S)-1-[2-фтор-4-(1H-имидазол-1-ил)фенил]-2-оксопирролидин-3-ил}нафталин-2-сульфонамид 6-Хлор-N-[(3S)-1-(2,4-дихлорфенил)-2-оксопирролидинил]-2-нафталинсульфонамид N-[(3S)-1-(4-трет-Бутил-l,3-тиазол-2-ил)-2-оксопирролидинил]-6-хлор-2-нафталинсульфонамид N-[(3S)-1-(4-трет-Бутилфенил)-2-оксопирролидинил]-6-хлор-2-нафталинсульфонамид (1Е)-2-(5-хлортиен-2-ил)-N-[(3S)-2-оксо-1-пиразин-2-илпирролидин-3-ил]проп-1-ен-1-сульфонамид 6-Хлор-N-[(3S)-2-оксо-1-(l,3-тиазол-2-ил)пирролидинил]-2-нафталинсульфонамид 6-Хлор-N-{(3S)-1-[2-фтор-4-(4-метил-1Н-имидазол-1-ил)фенил]-2-оксопирролидинил}-2-нафталинсульфонамид 6-Хлор-N-{(3S)-1-[2-фтор-4-(1H-пиразол-1-ил)фенил]-2-оксопирролидинил}-2-нафталинсульфонамид N-[(3S)-1-(5-Бром-l,3-тиазол-2-ил)-2-оксопирролидинил]-2-(5-хлор-2-тиенил)этансульфонамид 6-Хлор-N-[(3S)-1-(пиразин-2-ил)-2-оксопирролидин-3-ил]-1-бензотиофен-2-сульфонамид 2-(5-Хлортиен-2-ил)-N-[(3S)-1-(5-йодпиридин-2-ил)-2-оксопирролидин-3-ил]этан-1-сульфонамид 4-[(3S)-3-((2-Амино-2-оксоэтил){[(E)-2-(5-хлортиен-2-ил)этенил]сульфонил}амино)-2-оксопирролидин-1-ил]-3-фторбензамид 4-[(3S)-3-((2-Амино-2-оксоэтил){[(E)-2-(5-хлортиен-2-ил)этенил]сульфонил}амино)-2-оксопирролидин-1-ил]-3-фтор-N,N-диметилбензамид (E)-2-(5-Хлортиен-2-ил)-N-{(3S)-1-[2-фтор-4-(1-гидроксиэтил)фенил]-2-оксопирролидин-3-ил}этенсульфонамид (1Е)-2-(5-Хлортиен-2-ил)-N-[(3S)-1-(5-йодпиридин-2-ил)-2-оксопирролидин-3-ил]проп-1-ен-1-сульфонамид (1E)-2-(5-Хлортиен-2-ил)-N-((3S)-1-{2-фтор-4-[(метилсульфонил)амино]фенил}-2-оксопирролидин-3-ил)проп-1-ен-1-сульфонамид (E)-N-[(3S)-1-(4-ацетилфенил)-2-оксопирролидин-3-ил]-2-(5-хлортиен-2-ил)этенсульфонамид 2-({(3S)-1-[2′-(Аминосульфонил)-3-фтор-1,1′-бифенил-4-ил]-2-оксопирролидин-3-ил}{[(1E)-2-(5-хлортиен-2-ил)проп-1-енил]сульфонил}амино)ацетамид 2-({(3S)-1-[2′-(Аминосульфонил)-3-фтор-1,1′-бифенил-4-ил]-2-оксопирролидин-3-ил}{[(1Z)-2-(5-хлортиен-2-ил)проп-1-енил]сульфонил}амино)ацетамид 2-{(6-Хлорбензо[b]тиофен-2-сульфонил)-[(S)-1-(3-фтор-2′-сульфамоилбифенил-4-ил)-2-оксопирролидин-3-ил]-амино}ацетамид формиат 2-(5-Хлортиен-2-ил)-N-[(3S)-1-(4-{2-[(диметиламино)метил]-lH-имидазол-1-ил}-2-фторфенил)-2-оксопирролидин-3-ил]этансульфонамид 2-Амино-N-[(1-{4-[(3S)-3-({[(1E)-2-(5-хлортиен-2-ил)проп-1-енил]сульфонил}амино)-2-оксопирролидин-1-ил]-3-фторфенил}-1H-имидазол-2-ил)methy1]-N,N-диметил-2-оксоэтанаминий формиат 2-Амино-N-[(1-{4-[(3S)-3-({[2-(5-хлортиен-2-ил)этил]сульфонил}амино)-2-оксопирролидин-1-ил]-3-фторфенил}-1H-имидазол-2-ил)метил]-N,N-диметил-2-оксоэтанаминий формиат Амино-N-({1-[4-((3S)-3-{[(6-[хлор-1-бензотиен-2-ил)сульфонил]амино}-2-оксопирролидин-1-ил)-3-фторфенил]-1H-имидазол-2-ил}метил)-N,N-диметил-2-оксоэтанаминий формиат. Соединения по данному изобретению могут проявлять полезные свойства, они могут быть более эффективными, обладать большей селективностью, давать меньше побочных эффектов, обладать более длительным действием, быть более биодоступными при введении предпочтительным путем или обладать другими более желательными свойствами, чем аналогичные известные соединения. Соединения формулы (I) представляют собой ингибиторы фактора Ха и как таковые могут использоваться для лечения клинических состояний, поддающихся лечению введением ингибитора фактора Ха. Такие состояния включают сосудистые заболевания, такие как тромбоз коронарных сосудов (например, инфаркт миокарда и нестабильная стенокардия), тромбоэмболия, острая закупорка сосудов, связанная с тромболитической терапией и подкожной транслюминальной ангиопластикой коронарных сосудов (PTCA)(ПТКА), преходящие приступы ишемической болезни, эмболия легких, тромбоз глубоких вен, закупорку периферических артерий; ингибиторы фактора Ха могут быть использованы для профилактики сужения просвета сосудов (рестеноза) и профилактики тромбоэмболических приступов, связанных с фибрилляцией предсердий, например инсульта; при отеках и воспалительных заболеваниях, опосредованных PAF (ФАТ), например респираторный шоковый синдром взрослых, септический шок и нарушение реперфузии; для лечения пневмофиброза; лечения метастаза опухолей; нейродегенеративных заболеваний, таких как болезнь Паркинсона или болезнь Альцгеймера; вирусная инфекция; синдром Казабаха-Мерритт; гемолитический уремический синдром; артрит; остеопороз; в качестве антикоагулянтов для искусственного кровообращения, например при диализе, фильтрации крови, шунтировании и хранении препаратов крови; и в покрытиях инвазивных приборов, таких как протезы, искусственные клапаны и катетеры для уменьшения риска образования тромбов. Соответственно один аспект данного изобретения относится к соединению формулы (I) или его фармацевтически приемлемому производному для применения в терапии, особенно для улучшения состояния при заболеваниях млекопитающих, включая человека, для лечения которых показан ингибитор фактора Ха. Еще один аспект данного изобретения относится к способу лечения и/или профилактики заболеваний млекопитающих, включая человека, поддающихся лечению действием ингибитора фактора Ха, способу, который состоит во введении субъекту эффективного количества соединения формулы (I) или его фармацевтически приемлемого производного. Еще один аспект данного изобретения относится к применению соединения формулы (I) или его фармацевтически приемлемого производного для изготовления лекарственного средства для лечения и/или профилактики заболеваний, поддающихся лечению ингибиторами фактора Ха. Предпочтительно, если заболевание, при котором состояние больных улучшается ингибиторами фактора Ха, выбрано из острых сосудистых заболеваний, таких как коронарный тромбоз (например, инфаркт миокарда и нестабильная стенокардия), тромбоэмболия, острая закупорка сосудов, связанная с тромболитической терапией и подкожной транслюминальной ангиопластикой коронарных сосудов, преходящие приступы ишемической болезни, эмболия легких, тромбоз глубоких вен, закупорка периферических артерий, профилактика сужения просвета сосудов (рестеноз) и профилактика тромбоэмболических приступов, связанных с фибрилляцией предсердий, например инсульта. Более предпочтительно, если состояния, улучшение которых вызывает ингибитор фактора Ха, выбраны из коронарного тромбоза (например, инфаркт миокарда и нестабильная стенокардия), эмболии легких, тромбоза глубоких вен и профилактики тромбоэмболических приступов, связанных с фибрилляцией предсердий, например инсульта. Следует учесть, что ссылки на лечение включают лечение острых состояний или профилактику, а также облегчение установленных симптомов. Хотя возможно, что для применения в терапии соединение по данному изобретению можно вводить в виде неочищенного химического продукта, предпочтительно, чтобы активный ингредиент был в виде фармацевтической композиции. Еще один аспект данного изобретения относится к фармацевтической композиции, включающей по меньшей мере одно соединение формулы (I) или его фармацевтически приемлемое производное в сочетании с фармацевтически приемлемым носителем и/или наполнителем. Носитель и/или наполнитель должен быть «приемлемым» в смысле совместимости с другими ингредиентами композиции и не должен оказывать вредного воздействия на реципиента. Соответственно в данном изобретении дополнительно предложен фармацевтический препарат, содержащий по меньшей мере одно соединение формулы (I) или его фармацевтически приемлемое производное в сочетании с фармацевтически приемлемым носителем и/или наполнителем. Носитель и/или наполнитель должен быть «приемлемым» в смысле совместимости с другими ингредиентами препарата и не должен оказывать вредного воздействия на реципиента. Еще один аспект данного изобретения относится к фармацевтической композиции, содержащей в виде активного ингредиента, по меньшей мере, одно соединение формулы (I) или его фармацевтически приемлемое производное в сочетании с фармацевтически приемлемым носителем и/или наполнителем для применения в терапии и особенно для лечения человека или животных, страдающих заболеваниями, состояние которых улучшается под действием ингибитора фактора Ха. В данном изобретении дополнительно предложен способ получения фармацевтической композиции, который включает смешивание по меньшей мере одного соединения (I) или его фармацевтически приемлемого производного вместе с фармацевтически приемлемым носителем и/или наполнителем. Соединения для применения по данному изобретению могут быть изготовлены для перорального, трансбуккального, парентерального, местного, ректального или трансдермального введения или в форме, пригодной для введения ингаляцией или инсуффляцией (или через рот, или через нос). Фармацевтические композиции для перорального введения могут иметь форму, например, таблеток или капсул, полученных обычными способами с фармацевтически приемлемыми наполнителями, такими как связующие (например, предварительно желатинированный кукурузный крахмал, поливинилпирролидон или гидроксипропилметилцеллюлоза); наполнители (например, лактоза, микрокристаллическая целлюлоза или гидрофосфат кальция); смазывающие вещества (например, стеарат магния, тальк или двуокись кремния); разрыхлители (например, картофельный крахмал или натрийкрахмалгликолят); или увлажнители (например, натрийлаурилсульфат). На таблетки может быть нанесено покрытие способами, хорошо известными в данной области техники. Жидкие препараты для перорального введения могут быть получены, например, в виде растворов, сиропов или суспензий или их можно представить в виде сухого продукта для смешивания с водой или другим подходящим носителем перед употреблением. Такие жидкие препараты могут быть получены обычными способами с фармацевтически приемлемыми добавками, такими как суспендирующие агенты (например, сироп сорбита, производные целлюлозы или гидрированные пищевые жиры); эмульгаторы (например, лецитин или аравийская камедь); неводные носители (например, миндальное масло, сложные эфиры масел, этиловый спирт или фракционированные растительные масла); и консерванты (например, метил или пропил-п-гидроксибензоаты или сорбиновая кислота). Препараты могут также содержать соответствующие буферные соли, подслащивающие вещества, вещества, придающие вкус и цвет. Препараты для перорального введения могут быть приготовлены в виде препаратов с контролируемым высвобождением активного соединения. Композиции для трансбуккального введения могут иметь форму таблеток или пастилок, составленных обычным способом. На основе соединений по данному изобретению могут быть приготовлены препараты для парентерального введения путем инъекций, например болюсным вливанием или продолжительным вливанием. Препараты для инъекций могут быть получены в виде стандартной лекарственной формы, например в виде ампул или в рассчитанных на несколько доз емкостей с добавленным консервантом. Композиции могут быть в виде суспензий, растворов или эмульсий на масляной или водной основе и могут содержать такие компоненты, как суспендирующие агенты, стабилизаторы и/или диспергаторы. Альтернативно активный ингредиент может быть в виде порошка для соединения с подходящей основой перед использованием, например, со стерильной апирогенной водой. На основе соединений по данному изобретению могут быть получены препараты для местного введения инсуффляцией и ингаляцией. Примеры препаратов для местного введения включают спреи и аэрозоли для применения в ингаляторе или инсуффляторе. Порошки для наружного применения могут быть получены с помощью любой подходящей порошкообразной основы, например лактозы, талька или крахмала. Композиции в виде спреев можно получить в виде водных растворов или суспензий или аэрозолей, получаемых из прессованных упаковок, таких как для дозирующего ингалятора, с применением подходящего пропелланта. На основе соединений по данному изобретению можно также получать композиции для ректального введения, такие как суппозитории или удерживающие клизмы, например, содержащие обычную основу для суппозиториев, такие как масло какао или другие глицериды. Кроме ранее описанных препаратов, данные соединения можно использовать в виде депо-препаратов. Такие препараты длительного действия можно вводить имплантацией (например, подкожно, чрескожно или внутримышечно) или внутримышечной инъекцией. Таким образом, например, соединения по данному изобретению могут быть изготовлены, например, с подходящими полимерными или гидрофобными материалами (например, в виде эмульсии в подходящем масле) или ионообменными смолами или в виде слабо растворимых производных, например в виде плохо растворимых солей. Предлагаемая доза соединений по данному изобретению для введения человеку (с массой тела приблизительно 70 кг) составляет от 0,1 мг до 1 г, предпочтительно от 1 мг до 500 мг активного ингредиента на стандартную дозу, выражаемую в массе свободного основания. Стандартную дозу можно вводить, например, от 1 до 4 раз в день. Доза должна зависеть от способа введения. Должно быть понятно, что, возможно, будет необходимо делать обычные изменения дозировок в зависимости от возраста и массы тела больного, а также тяжести его состояния, подвергаемого лечению. Дозировка также зависит от способа введения. Точная доза и способ введения будет в конечном счете определяться лечащим врачом или ветеринаром. Соединения формулы (I) можно также использовать в сочетании с другими лекарственными средствами. Таким образом, еще одним аспектом данного изобретения являются комбинация, включающая соединение формулы (I) или его фармацевтически приемлемое производное вместе с дополнительным лекарственным средством. Когда соединение формулы (I) или его фармацевтически приемлемое производное используют в сочетании с другим лекарственным средством, действующим в отношении того же заболевания, доза каждого соединения может отличаться от дозы соединения при использовании его отдельно. Специалисты в данной области легко определяют соответствующие дозы. Понятно, что количество соединения по данному изобретению, необходимое для лечения, будет варьироваться в зависимости от природы заболевания, возраста и состояния больного и в конечном счете определяется лечащим врачом или ветеринаром. Соединения по данному изобретению можно использовать в сочетании с другими антитромботическими средствами, такими как, например, ингибиторы тромбина, антагонисты тромбоксановых рецепторов, средства, подобные простациклину, ингибиторы фосфодиэстеразы, антагонисты фибриногена, тромболитические средства, такие как активатор тканевого плазминогена и стрептокиназа, нестероидные противовоспалительные средства, такие как аспирин, и им подобные. Комбинации лекарств, на которые ссылаются выше, удобно применять в виде фармацевтических композиций и, следовательно, фармацевтические композиции, содержащие комбинации лекарств, указанных выше, вместе с фармацевтически приемлемым носителем или наполнителем составляют дополнительную особенность данного изобретения. Индивидуальные компоненты таких комбинаций можно вводить либо последовательно, либо одновременно в виде отдельных или объединенных фармацевтических препаратов любым удобным путем. При последовательном введении первым можно вводить или ингибитор фактора Xa, или второе лекарственное средство. При одновременном введении комбинацию лекарственных средств можно вводить либо в виде одной фармацевтической композиции, либо в виде отдельных композиций. Понятно, что когда два соединения объединены в одном препарате, соединения должны быть устойчивы и совместимы друг с другом и другими компонентами препарата. В случае отдельных препаратов они могут быть в виде любой удобной композиции, и вводят их удобным способом, известным для таких соединений в данной области техники. Соединения формулы (I) и их фармацевтически приемлемые производные могут быть получены способами, описанными ниже в данной заявке, указанные способы составляют дополнительную особенность данного изобретения. В нижеследующем описании группы являются такими, как обозначено выше для соединений формулы (I), если не указано другое. В соответствии с дополнительным аспектом данного изобретения предложен способ (А) для получения соединения формулы (I), который состоит во взаимодействии соединения формулы (II) с соединением формулы (III), где V представляет собой реакционноспособную группу, такую как галоген, предпочтительно хлорид. Реакцию легко осуществляют в присутствии основания, например пиридина, и в подходящем растворителе, например ДХМ соответственно при комнатной температуре. Соединения формулы (III) могут быть получены способами, известными в литературе, или способами, известными специалистам в данной области1. Соединения формулы (III) могут быть получены из соединений формулы (IV): где Р1 представляет собой подходящую аминозащитную группу, например Boc(трет-бутилоксикарбонил), удалением защитной группы в стандартных условиях. Например, когда Р1 представляет собой Boc, удаление защитной группы может быть осуществлено в кислых условиях, например, с помощью ТФУ (трифторуксусной кислоты) в растворителе, таком как ДХМ или хлористый водород в диоксане соответственно при комнатной температуре. Соединения формулы (IV) могут быть получены из соединений формулы (V): циклизацией, где L представляет собой удаляемую группу. Например, когда L является гидроксильной группой, замыкание кольца можно осуществить обработкой арил- или алкилфосфином, например три-н-бутилфосфином и диалкилазодикарбоксилатом, например диизопропилазодикарбоксилатом, в подходящем растворителе, например в ТГФ (тетрагидрофуране). Специалистам в данной области должно быть понятно, что соединения формулы (V) можно получить в результате взаимообразований, используя в качестве предшественников другие соединения формулы (V), которые необязательно защищены стандартными защитными группами. Например, соединения формулы (V), где L представляет собой OH, можно преобразовать в соединения формулы (V) с другими заместителями при L, например галоген, +SMeRW– или OSO2R, способами, хорошо известными в данной области (см., например, Smith, M. B. and March, J., Advanced Organic Chemistry, 5th Edition 2001, John Wiley & Sons). Обычно R представляет собой алкил или аралкил, а W представляет собой галоген, особенно йодид, и сульфат. В таких случаях замыкание кольца можно осуществить обработкой основанием в подходящем растворителе например MeCN. Соединения формулы (V), где L является гидроксильной группой, могут быть получены взаимодействием соединения формулы (VI) с Соединением формулы (VII): где Р1 представляет собой подходящую защитную группу, как описано выше. Реакцию легко осуществляют присоединением кислоты Льюиса, например триметилалюминия, к соединениям формулы (VII) в подходящем растворителе, например ДХМ, в атмосфере инертного газа, например азота соответственно при комнатной температуре с последующим присоединением соединений формулы (VI) в совместимом растворителе, например ДХМ. Соединения формулы (VI) можно легко получить из соединений формулы (VIII), где НА обозначает подходящую соль, например гидрохлорид, используя способы, хорошо известные специалистам в данной области. См., например, “Protective groups in organic synthesis” by T.W. Greene and P.G.M. Wuts (John Wiley & Sons 1991) или “Protecting Groups” by P.J. Kocienski (Georg Thieme Verlag 1994). Предложен дополнительный способ (В) получения соединений формулы (IV). По способу (В) соединения формулы (IV) можно получить катализируемой металлами реакцией сочетания соединения формулы (IX) с соединением формулы (X), где С1 и С2 представляют собой подходящие сочетающиеся группы, например, когда С1 и С2 группы связаны атомами углерода цикла, они могут представлять собой боронат [B(OH)2], галогенид, предпочтительно йодид (I), трифторметансульфонат (OTf) или станнан, такой как триалкилолово, а Р1 является группой, определенной выше. Группа С2 также может представлять собой водород, когда она непосредственно связана с гетероатомом группы Y. Подходящий металлический катализатор включает палладий(0) или его соль в присутствии лиганда, например трифенилфосфина, и основания, например карбоната натрия, и, необязательно, с подходящим сорастворителем, например водой, соответственно в температурном интервале от комнатной температуры до 150°С. Например, когда С1 представляет собой B(OH)2 и С2 представляет собой бромид, реакцию сочетания соединений формулы (IX) c соединениями формулы (X) можно осуществить под действием тетракис(трифенилфосфин)палладия(0) в присутствии карбоната натрия в водном тетрагидрофуране при 75°С. Специалистам в данной области понятно, что некоторые комбинации сочетающихся групп С1 и С2 в соединениях формул (IX) и (X) и металлических катализаторов являются предпочтительными. Примеры таких комбинаций можно найти в работе Smith, M.B. and March, J., Advanced Organic Chemistry, 5th Edition 2001, John Wiley & Sons. К тому же, специалистам в данной области понятно, что сочетающиеся группы С1 и С2 в соединениях формул (IX) и (X) могут быть взаимно преобразованы с помощью известных способов. Альтернативно, в тех случаях, где Y-C2 представляет собой группу NHRaRb, т.е. когда C2 представляет собой водород, непосредственно связанный с гетероатомом группы Y, соединения формулы (IV) можно получить катализируемой металлами реакцией сочетания соединения формулы (IX) c соединением формулы (X), где С1 представляет собой подходящую сочетающуюся группу, например боронат [B(OH)2], галогенид, предпочтительно йодид (I), и Р1 является группой, определенной выше. Подходящие металлические катализаторы включают палладий(0) или его соль в присутствии лиганда, например три-о-толилфосфина или соли меди, например йодид меди(I), и основания, например трет-бутоксид натрия или карбонат калия, и, необязательно, с подходящим сорастворителем, например триэтиламином, соответственно в интервале температур от комнатной до 150°С. Например, когда С1 представляет собой йодид, реакцию сочетания соединений формулы (IX) c соединениями формулы (X) можно осуществить с помощью йодида меди(I) в присутствии карбоната калия в диметилсульфоксиде при 123°С или действием трис(дибензилиденацетон)дипалладия(0) и три-o-толилфосфина в присутствии трет-бутоксида натрия в диоксане при 100°С. Соответственно соединения формулы (IX) можно получить из соединений формулы (XI), где Р1, L и С1 определены, как указано выше: циклизацией, где L представляет собой удаляемую группу. Например, когда L является гидроксильной группой, замыкание кольца можно осуществить обработкой арил- или алкилфосфином, например три-н-бутилфосфином, и диалкилазодикарбоксилатом, например диизопропилазодикарбоксилатом, в подходящем растворителе, например ТГФ (тетрагидрофуране). Соединения формулы (IX), где L является гидроксильной группой, могут быть получены взаимодействием соединений формулы (VI) с NH2-XC1. Реакцию легко осуществляют присоединением кислоты Льюиса, например триметилалюминия, к NH2-XC1 в подходящем растворителе, например ДХМ, в инертной атмосфере, например в атмосфере азота, соответственно при комнатной температуре с добавлением соединений формулы (VI) в соответствующем растворителе, например ДХМ. Предложен дополнительный способ (С) для получения соединений формулы (I) из соединений формулы катализируемой металлами реакцией сочетания соединения формулы (XII) с соединением формулы (X), где С1 и С2 представляют собой подходящие сочетающиеся группы, например боронат [B(OH)2], галогенид, предпочтительно йодид (I), трифторметансульфонат (OTf) или станнан, такой как триалкилолово, и Р1 является группой, определенной выше. Подходящий металлический катализатор включает йодид меди(I), палладий(0) или его соль в присутствии лиганда, например трифенилфосфина, и основания, например карбоната натрия или карбоната калия, и, необязательно, с подходящим сорастворителем, например водой, соответственно в интервале температур от комнатной до 150°С. Например, когда С1 представляет собой B(OH)2 и С2 представляет собой бромид, реакцию сочетания соединений формулы (XII) c соединениями формулы (X) можно осуществить действием тетракис(трифенилфосфин)палладия(0) в присутствии карбоната натрия в водном тетрагидрофуране при 75°С. Альтернативно в тех случаях, где Y-C2 представляет собой группу NHRaRb, т.е. когда C2 представляет собой водород, непосредственно связанный с гетероатомом азота группы Y, соединения формулы (I) можно получить из соединения формулы (XII) катализируемой металлами реакцией сочетания соединения формулы (XII) c соединением формулы (X), где С1 представляет собой подходящую сочетающуюся группу, например боронат [B(OH)2], галогенид предпочтительно йодид (I), и Р1 является группой, определенной выше. Подходящие металлические катализаторы включают палладий(0) или его соль в присутствии лиганда, например три-о-толилфосфина или соли меди, например йодид меди(I), и основания, например трет-бутоксида натрия или карбоната калия, и необязательно с подходящим сорастворителем, например триэтиламином, соответственно в интервале температур от комнатной до 150°С. Например, когда С1 представляет собой йодид, реакцию сочетания соединений формулы (XII) c соединениями формулы (X) можно осуществить йодидом меди(I) в присутствии карбоната калия в диметилсульфоксиде при 123°С или действием трис(дибензилиденацетон)дипалладия(0) и три-o-толилфосфина в присутствии трет-бутоксида натрия в диоксане при 100°С. Соединение формулы (XII) можно получить взаимодействием соединения формулы (XIII) с соединением формулы (III) Реакцию легко осуществляют в присутствии основания, например пиридина, и в подходящем растворителе, например ДХМ, соответственно при комнатной температуре. Соединения формулы (XIII) могут быть получены удалением защитных групп у соединений формулы (IX), как описано выше. Предложен дополнительный способ (D) получения соединений формулы (I) реакцией сочетания соединений формулы (XIV) c соединениями формулы (XV), где C3 представляет собой подходящую сочетающуюся группу, например B(OH)2 или галогенид, такой как бромид. Реакцию можно легко осуществить при катализе металлами (например, солью меди, такой как Cu(OAc)2 или CuCl) в присутствии основания, например триэтиламина или K2CO3, в подходящем растворителе, например ДХМ или ксилоле, и, необязательно, в присутствии молекулярных сит или другого основания, например трис[2-(2-метоксиэтокси)этил]амина, в интервале температур от комнатной до 200°С. Предложен дополнительный способ (Е) синтеза соединений формулы (XII), реакцией сочетания соединений формулы (XIV) c C3-X-C1 по способу, описанному выше. Соединения формулы (XIV) можно получить из известного 3-аминопирролидин-2-она или его соли, применяя способы, хорошо известные специалистам в данной области, см., например, Synthesis of (+-)azetidine-2-carboxylic acid and 2-pyrrolidinone derivatives Yamada, Yasuhiro; Emori, Tomio; Kinoshita, Shinichi; Okada, Hirosuke. Fac. Eng., Osaka Univ., Suita, Japan. Agr. Biol. Chem. (1973), 37(3), 649-652. Предложен еще один способ (F) для получения соединений формулы (I), где R2 представляет собой заместитель, отличный от водорода, который состоит во взаимодействии соединения формулы (XVI) c соединением формулы (XVII). где R1 и R2 определены выше, и Т представляет собой удаляемую группу, такую как галогенид, например бромид. Реакцию осуществляют в подходящем органическом растворителе, например ТГФ, ДМФА, в присутствии основания, например LiHMDS (литийгексаметилдисилиламид), карбоната калия или карбоната натрия в интервале температур от -78°С до +50°С, предпочтительно от -78°С до комнатной температуры. Кроме того, понятно, что заместитель R2, отличный от водорода, может быть введен на различных промежуточных стадиях способами, хорошо известными специалистам в данной области. Соединения формулы (XVI) могут быть получены способами, описанными выше для соединения формулы (I), где R2 представляет собой водород. Специалистам в данной области понятно, что соединения формулы (I) или их сольваты можно синтезировать из соответствующих промежуточных соединений, используя твердофазные химические процессы. Специалистам в данной области понятно, что соединения, содержащие подходящие группы Ra и Rb можно преобразовать в соответствующие соединения, где Y представляет собой гетероцикл. Примеры таких преобразований можно найти в работе Smith, M.B. and March, J., Advanced Organic Chemistry, 5th Edition 2001, John Wiley & Sons. Специалистам в данной области понятно, что при получении соединений формулы (I) или их сольватов может быть необходимо и/или желательно осуществлять защиту реакционноактивных групп (одну или более) в молекуле или в соответствующем промежуточном соединении для предотвращения нежелательных побочных реакций. Подходящие защитные группы для применения по данному изобретению хорошо известны специалистам в данной области, и их можно вводить обычными методами. См., например, “Protective groups in organic synthesis” by T.W. Greene and P.G.M. Wuts (John Wiley & Sons 1991) or “Protecting Groups” by P.J.Kocienski (Georg Thieme Verlag 1994). Примеры подходящих аминозащитных групп включают защитные группы ацильного типа (например, формил, трифторацетил, ацетил), ароматические защитные группы уретанового типа (например, бензилоксикарбонил (Cbz) и замещенный Cbz), алифатические защитные группы уретанового типа (например, 9-флуоренилметоксикарбонил (Fmoc), трет-бутилоксикарбонил (Boc), изопропилоксикарбонил, циклогексилоксикарбонил) и защитные группы алкильного и аралкильного типа (например, бензил, тритил, хлортритил). Примеры защитных групп для защиты кислородсодержащих заместителей могут включать, например, алкилсилильные группы, такие как триметилсилильная или трет-бутилдиметилсилильная, алкильные простые эфиры, такие как тетрагидропиранил или трет-бутил; или сложные эфиры, такие как ацетат. Различные промежуточные соединения, используемые в вышеуказанном способе, включающие соединения формул (II), (IV), (V), (IX), (XI), (XII), (XIII) и (XIV), но не ограничивающиеся ими, представляют собой новые соединения и соответственно составляют дополнительный аспект данного изобретения. Данное изобретение будет теперь дополнительно проиллюстрировано примерами, которые не следует рассматривать как ограничивающие каким-либо образом объем данного изобретения. Все публикации, включающие патенты и патентные заявки, но не ограниченные ими, которые цитируются в данном описании, включены в данную заявку в виде ссылок, как если бы каждая отдельная публикация конкретно и отдельно была бы указана как ссылка, как бы полностью изложенная. Примеры Сокращения ТГФ Тетрагидрофуран ТФУ Трифторуксусная кислота ДХМ Дихлорметан BOC (Boc) трет-Бутилоксикарбонил Cbz или Z Бензилоксикарбонил HOBT (ГОБТ) 1-Гидроксибензотриазол br уширенный м мультиплет к квартет с синглет т триплет Пример 1 6-Хлор-N-{(3S)-1-[3-фтор-2 Амин (3S)-3-амино-1-[3-фтор-2 Масс-спектр: Найдено: MH+ 573 ВЭЖХ (1) Rt 3,52 мин Пример 2: 6-Хлор-N-{(3S)-1-[4-(диметиламино)фенил]-2-оксопирролидин-3-ил}нафталин-2-сульфонамид (3S)-3-Амино-1-[4-(диметиламино)фенил]пирролидин-2-он (0,0074 г) растворяют в безводном ДХМ (2 мл) при комнатной температуре. К данному раствору прибавляют пиридин (0,005 мл) и 6-хлор-2-нафтилсульфонилхлорид1 (0,014 г). Реакционную смесь перемешивают в течение 18 час при комнатной температуре и затем упаривают в токе азота. Полученный остаток растворяют в 0,5 мл смеси ДМСО и метанола (1:1), очищают препаративной ВЭЖХ c детектированием по массе и получают 0,007 г указанного в заголовке соединения в виде белого твердого вещества. Масс-спектр: Найдено: MH+ 444 ВЭЖХ (1) Rt 3,44 мин Аналогичным образом получают следующие соединения: Пример 3 (Е)-2-(5-Хлортиен-2-ил)-N-((3S)-1-{5-[2-(метилсульфонил)фенил]пиридин-2-ил}-2-оксопирролидин-3-ил}этенсульфонамид Масс-спектр: Найдено: MH+ 538 ВЭЖХ (1) Rt 3,23 мин Пример 4 (Е)-2-(5-Хлортиен-2-ил)-N-{(3S)-1-[3-фтор-2 Масс-спектр: Найдено: MH+ 554 ВЭЖХ (1) Rt 3,29 мин Пример 5 5-Хлор-N-{(3S)-1-[3-фтор-2 Масс-спектр: Найдено: MH+ 563 ВЭЖХ (1) Rt 3,19 мин Пример 6 N-{(3S)-1-[3-Фтор-2 Масс-спектр: Найдено: MH+ 540 ВЭЖХ (1) Rt 2,78 мин Пример 7 (Е)-2-(4-Хлорфенил)-N-{(3S)-1-[3-фтор-2 Масс-спектр: Найдено: MH+ 549 ВЭЖХ (1) Rt 3,27 мин Пример 8 5 Масс-спектр: Найдено: MH+ 611 ВЭЖХ (1) Rt 3,48 мин Пример 9 6-(Диметиламино)-N-{(3S)-1-[3-фтор-2 Масс-спектр: Найдено: MH+ 582 ВЭЖХ (1) Rt 3,25 мин Пример 10 N-{(3S)-1-[3-Фтор-2 Масс-спектр: Найдено: MH+ 540. ВЭЖХ (1) Rt 2,99 мин Пример 11 6-Хлор-N-{(3S)-1-[3-фтор-2 Масс-спектр: Найдено: MH+ 579. ВЭЖХ (1) Rt 3,40 мин Пример 12 5-Хлор-N-{(3S)-1-[3-фтор-2 Масс-спектр: Найдено: MH+ 579. ВЭЖХ (1) Rt 3,39 мин Пример 13 6-Хлор-N-[(3S)-1-(4-{2-[(диметиламино)метил]-1Н-имидазол-1-ил}-2-фторфенил)-2-оксопирролидин-3-ил]-1-бензотиофен-2-сульфонамид формиат (1:1) Масс-спектр: Найдено: MH+ 548. ВЭЖХ (1) Rt 2,56 мин Пример 14 (1E)-2-(5-Хлортиен-2-ил)-N-[(3S)-1-(4-{2-[(диметиламино)метил]-1H-имидазол-1-ил}-2-фторфенил)-2-оксопирролидин-3-ил]проп-1-ен-1-сульфонамид формиат (1:1) Масс-спектр: Найдено: MH+ 538. ВЭЖХ (1) Rt 2,46 мин Пример 15 N-{(3S)-1-[2 Масс-спектр: Найдено: MH+ 580 ВЭЖХ (1) Rt 3,37 мин Пример 16 4 Масс-спектр: Найдено: MH+ 570 ВЭЖХ (1) Rt 3,33 мин Пример 17 (E)-2-(5-Хлортиен-2-ил)-N-{(3S)-1-[5-(2-нитрофенил)пиридин-2-ил]-2-оксопирролидин-3-ил}этенсульфонамид Масс-спектр: Найдено: MH– 503 ВЭЖХ (1) Rt 3,50 мин Пример 18 (E)-2-(5-Хлортиен-2-ил)-N-[(3S)-1-(3-фтор-2 Масс-спектр: Найдено: MH– 520 ВЭЖХ (1) Rt 3,44 мин Пример 19 4 Масс-спектр: Найдено: MH– 568. ВЭЖХ (1) Rt 3,31 мин Пример 20 4 Масс-спектр: Найдено: MH– 568 ВЭЖХ (1) Rt 3,31 мин Пример 21 (E)-2-(5-Хлортиен-2-ил)-N-[(3S)-1-(5-{2-[(метилсульфонил)амино]фенил}пиридин-2-ил)-2-оксопирролидин-3-ил]этенсульфонамид Масс-спектр: Найдено: MH– 551 ВЭЖХ (1) Rt 3,23 мин Пример 22 (E)-N-{(3S)-1-[5-(2-трет-Бутилфенил)пиридин-2-ил]-2-оксопирролидин-3-ил}-2-(5-хлортиен-2-ил)этенсульфонамид Масс-спектр: Найдено: MH– 514 ВЭЖХ (1) Rt 3,90 мин Пример 23 5-Хлор-N-((3S)-1-{5-[2-(метилсульфонил)фенил]пиридин-2-ил}-2-оксопирролидин-3-ил}-1-бензофуран-2-сульфонамид Масс-спектр: Найдено: MH+ 545 ВЭЖХ (1) Rt 3,33 мин Пример 24 (Е)-2-(5-Хлортиен-2-ил)-N-((3S)-2-оксо-1-{5-[2-(трифторметил)фенил]пиридин-2-ил}пирролидин-3-ил)этенсульфонамид Масс-спектр: Найдено: MH– 526 ВЭЖХ (1) Rt 3,73 мин Пример 25 2-{6-[(3S)-3-({[(E)-2-(5-Хлортиен-2-ил)этенил]сульфонил}амино)-2-оксопирролидин-1-ил)пиридин-3-ил}-N,N-диметилбензамид Масс-спектр: Найдено: MH– 529 ВЭЖХ (1) Rt 3,17 мин Пример 26 (Е)-2-(5-Хлортиен-2-ил)-N-{(3S)-1-[5-[2-цианофенил)пиридин-2-ил]-2-оксопирролидин-3-ил)этенсульфонамид Масс-спектр: Найдено: MH– 483 ВЭЖХ (1) Rt 3,47 мин Пример 27 2-{6-[(3S)-3-({[(E)-2-(5-Хлортиен-2-ил)этенил]сульфонил}амино)-2-оксопирролидин-1-ил)пиридин-3-ил}бензолсульфонамид Масс-спектр: Найдено: MH– 537 ВЭЖХ (1) Rt 3,18 мин Пример 28 2-{6-[(3S)-3-({[(E)-2-(5-Хлортиен-2-ил)этенил]сульфонил}амино)-2-оксопирролидин-1-ил)пиридин-3-ил}-N,N-диметилбензолсульфонамид Масс-спектр: Найдено: MH– 565 ВЭЖХ (1) Rt 3,42 мин Пример 29 2-{6-[(3S)-3-({[(E)-2-(5-Хлортиен-2-ил)этенил]сульфонил}амино)-2-оксопирролидин-1-ил)пиридин-3-ил}-N-метилбензолсульфонамид Масс-спектр: Найдено: MH+ 553 ВЭЖХ (1) Rt 3,33 мин Пример 30 (Е)-2-(5-Хлортиен-2-ил)-N-{(3S)-1-(5-{2-[метил(метилсульфонил)амино]фенил}пиридин-2-ил)-2-оксопирролидин-3-ил)этенсульфонамид Масс-спектр: Найдено: MH+ 567 ВЭЖХ (1) Rt 3,32 мин Пример 31 (Е)-2-(5-Хлортиен-2-ил)-N-{(3S)-1-[5-(2-изопропоксифенил)пиридин-2-ил]-2-оксопирролидин-3-ил)этенсульфонамид Масс-спектр: Найдено: MH+ 518 ВЭЖХ (1) Rt 3,79 мин Пример 32 6-Хлор-N-[(3S)-2-оксо-1-(5-фенилпиридин-2-ил)пирролидин-3-ил]нафталин-2-сульфонамид Масс-спектр: Найдено: MH+ 562 ВЭЖХ (1) Rt 3,42 мин Пример 33 5-Хлор-N-((3S)-1-{5-[2-(метилсульфонил)фенил]пиридин-2-ил}-2-оксопирролидин-3-ил]тиено[2,3-b]пиридин-2-сульфонамид Масс-спектр: Найдено: MH+ 472 ВЭЖХ (1) Rt 3,79 мин Пример 34 4-Циано-N-{(3S)-1-[3-фтор-2 Масс-спектр: Найдено: MNH4 + 531 ВЭЖХ (1) Rt 3,17 мин Пример 35 3-Циано-N-{(3S)-1-[3-фтор-2 Масс-спектр: Найдено: MNH4 + 531 ВЭЖХ (1) Rt 3,16 мин Пример 36 6-Хлор-N-{(3S)-1-[3-фтор-2 Масс-спектр: Найдено: MH+ 563 ВЭЖХ (1) Rt 3,35 мин Пример 37 6-Хлор-N-{(3S)-1-[3-фтор-2 Масс-спектр: Найдено: MH+ 580 ВЭЖХ (1) Rt 3,24 мин Пример 38 5-Хлор-N-{(3S)-1-[3-фтор-2 Масс-спектр: Найдено: MH+ 580 ВЭЖХ (1) Rt 3,19 мин Пример 39 (1E)-2-(5-Хлортиен-2-ил)-N-{(3S)-1-[3-фтор-2 Масс-спектр: Найдено: MNH4 + 586 ВЭЖХ (1) Rt 3,37 мин Пример 40 трет-Бутил [{[(E)-2-(5-хлортиен-2-ил)этенил]сульфонил}((3S)-1-{5-[2-(метилсульфонил)фенил]пиридин-2-ил}-2-оксопирролидин-3-ил)амино]ацетат Продукт примера 3 (0,05 г) растворяют в безводном ДМФА (1 мл) в реакционном сосуде, прибавляют трет-бутоксикарбонилбромацетат (0,029 г), затем карбонат калия 0,037 г) и смесь перемешивают при температуре окружающей среды в течение 21 ч. Реакционную смесь разбавляют ДХМ и промывают насыщенным водным раствором бикарбоната натрия. Органический слой отделяют и концентрируют при пониженном давлении, получая указанное в заголовке соединение (0,049 г) в виде прозрачного масла. Масс-спектр: Найдено: MH+ 652 ВЭЖХ (1) Rt 3,81 мин Аналогичным образом получают следующие соединения: Пример 41 [{[(E)-2-(5-Хлортиен-2-ил)этенил]сульфонил}((3S)-1-{5-[2-(метилсульфонил)фенил]пиридин-2-ил}-2-оксопирролидин-3-ил)амино]уксусная кислота Масс-спектр: Найдено: MH+ 610 ВЭЖХ (1) Rt 3,41 мин Пример 42 (E)-2-(5-Хлортиен-2-ил)-N-((3S)-1-{5-[2-(метилсульфонил)фенил]пиридин-2-ил}-2-оксопирролидин-3-ил)-N-(2-морфолин-4-илэтил)этенсульфонамид формиат (1:1) Масс-спектр: Найдено: MH+ 651 ВЭЖХ (1) Rt 2,64 мин Пример 43 2-[{[(E)-2-(5-Хлортиен-2-ил)этенил]сульфонил}((3S)-1-{5-[2-(метилсульфонил)фенил]пиридин-2-ил}-2-оксопирролидин-3-ил)амино]ацетамид Масс-спектр: Найдено: MH+ 595 ВЭЖХ (1) Rt 3,11 мин Пример 44 трет-Бутил [(E)-2-(5-Хлортиен-2-ил)этенил]сульфонил{(3S)-1-[3-фтор-2 Масс-спектр: Найдено: MH+ 655 ВЭЖХ (1) Rt 3,69 мин Пример 45 (E)-2-(5-Хлортиен-2-ил)-N-{(3S)-1-[3-фтор-2 Масс-спектр: Найдено: MH+ 668 ВЭЖХ (1) Rt 2,88 мин Пример 46 2-({[(E)-2-(5-Хлортиен-2-ил)этенил]сульфонил}{(3S)-1-[3-фтор-2 Масс-спектр: Найдено: MH+ 612 ВЭЖХ (1) Rt 3,33 мин Пример 47 трет-Бутил ({[(E)-2-(5-Хлортиен-2-ил)этенил]сульфонил}{(3S)-1-[3-фтор-2 Масс-спектр: Найдено: MH+ 669 ВЭЖХ (1) Rt 3,91 мин Пример 48 {[(E)-2-(5-Хлортиен-2-ил)этенил]сульфонил}((3S)-1-{5-[2-(метилсульфонил)фенил]пиридин-2-ил}-2-оксопирролидин-3-ил)амино]уксусная кислота Продукт примера 40 (0,0497 г) растворяют в безводном ДХМ (0,5 мл). Прибавляют трифторуксусную кислоту (0,50 мл) и смесь перемешивают при температуре окружающей среды в течение 1,5 ч. Реакционную смесь концентрируют при пониженном давлении. Остаток затем очищают с помощью SPE (силикагель, элюирование ДХМ, диэтиловым эфиром, этилацетатом и ацетонитрилом), получая указанное в заголовке соединение (0,03 г) в виде твердого вещества кремового цвета. Масс-спектр: Найдено: MH+ 596 ВЭЖХ (1) Rt 3,53 мин Аналогичным образом, используя продукт из примера 47, получают следующее соединение: Пример 49 ({[(E)-2-(5-Хлортиен-2-ил)этенил]сульфонил}{(3S)-1-[3-фтор-2 Масс-спектр: Найдено: MH+ 613 ВЭЖХ (1) Rt 3,53 мин Пример 50 Амид 4 Раствор [(S)-1-(2-фтор-4-йодфенил)-2-оксопирролидин-3-ил]амида 6-хлорнафталин-2-сульфоновой кислоты (0,083 г), 3-(аминокарбонил)фенилбороновой кислоты (0,03 г) и тетракистрифенилфосфинпалладий(0) (0,01 г) в ДМЭ (DME) (5 мл), содержащий 1 мл 0,5 М раствора карбоната натрия, продувают азотом и перемешивают в течение 18 час при температуре окружающей среды. Смесь затем нагревают при 80°С в течение 4 ч, дают охладиться и концентрируют при пониженном давлении. Остаток очищают с помощью колоночной флэш-хроматографии (силикагель, элюирование ДХМ, затем этилацетатом), получая указанное в заголовке соединение (0,066 г) в виде твердого вещества кремового цвета. Масс-спектр: Найдено: MH+ 538 ВЭЖХ (1) Rt 3,31 мин Аналогичным образом получают следующее соединение: Пример 51 [(S)-1-[5-(2-метилсульфанилфенил)тиазол-2-ил]-2-оксопирролидин-3-ил]амид 6-хлорнафталин-2-сульфоновой кислоты Масс-спектр: Найдено: MH+ 530 ВЭЖХ (1) Rt 3,58 мин Пример 52 [(S)-1-[5-(2-метансульфонилфенил)тиазол-2-ил]-2-оксопирролидин-3-ил]амид 6-хлорнафталин-2-сульфоновой кислоты К раствору продукта примера 51 (0,085 г) в ДХМ (5 мл) прибавляют м-хлорпербензойную кислоту (0,102 г) и раствор перемешивают в течение 4 ч, затем промывают насыщенным раствором карбоната натрия. Органический слой отделяют, сушат (над сульфатом магния) и концентрируют при уменьшенном давлении. Остаток очищают с помощью флэш-хроматографии (силикагель, элюирование ДХМ, смесью ДХМ и этилацетата, 5:1), получая указанное в заголовке соединение (0,032 г) в виде белого твердого вещества. Масс-спектр: Найдено: MH+ 562 ВЭЖХ (1) Rt 3,35 мин Пример 53 3-(Аминометил)-N-{(3S)-1-[3-фтор-2 Продукт из примера 35 (0,109 г) растворяют в этаноле (4,5 мл) и разбавленной соляной кислоте (2N, 0,5 мл). К полученному раствору прибавляют 20% гидроксида палладия на угле (0,0086 г) и полученную суспензию перемешивают в атмосфере водорода (60 фунтов/кв.дюйм) при 60°С в течение 60 ч. Катализатор фильтруют через Celite® и летучие компоненты фильтрата удаляют при пониженном давлении. Остаток очищают ионообменной твердофазной экстракцией (элюирование метанолом и затем 10% водным аммиаком в метаноле), получая указанное в заголовке соединение (0,066 г) в виде не совсем белой смолы. Масс-спектр: Найдено: MH+ 518 ВЭЖХ (1) Rt 2,17 мин Аналогичным образом из продукта примера 34 получают следующее соединение: Пример 54 4-(Аминометил)-N-{(3S)-1-[3-фтор-2 Масс-спектр: Найдено: MH+ 518 ВЭЖХ (1) Rt 2,24 мин Пример 55 6-Хлор-N-[(3S)-1-[2-фтор-4-пиридин-4-илфенил)-2-оксопирролидин-3-ил]нафталин-2-сульфонамид Раствор промежуточного соединения 70 (0,242 г) и тетракистрифенилфосфинпалладия(0) (0,025 г) в диметоксиэтане (продутый азотом, 10 мл) перемешивают при комнатной температуре в течение 10 мин в атмосфере азота. Прибавляют пиридин-4-бороновую кислоту (0,66 г), а затем 0,5 М раствор карбоната натрия (2,7 мл). Полученную смесь нагревают при 80-85°С в течение 18 ч. Охлажденный раствор разбавляют ДХМ и фильтруют через гидрофобную фритту. Фильтрат вводят в SCX-2 SPE колонку (силикагель, элюирование метанолом, затем 2 М аммиаком в метаноле), получая указанное в заголовке соединение (0,14 г) в виде твердого вещества персикового цвета. Масс-спектр: Найдено: MH+ 496 ВЭЖХ (1) Rt 3,08 мин Аналогичным образом получают следующие соединения: Пример 56 6-Хлор-N-{(3S)-1-[4-(2,4-диметоксипиримидин-5-ил)-2-фторфенил]-2-оксопирролидин-3-ил}нафталин-2-сульфонамид Масс-спектр: Найдено: MH+ 557 ВЭЖХ (1) Rt 3,46 мин Пример 57 6-Хлор-N-[(3S)-1-(2-фтор-4-пиридин-3-илфенил)-2-оксопирролидин-3-ил]нафталин-2-сульфонамид Масс-спектр: Найдено: MH+ 496 ВЭЖХ (1) Rt 3,22 мин Пример 58 6-Хлор-N-{(3S)-1-[2-фтор-4-(6-метоксипиридин-3-ил)фенил]-2-оксопирролидин-3-ил}нафталин-2-сульфонамид Масс-спектр: Найдено: MH+ 526 ВЭЖХ (1) Rt 3,53 мин Пример 59 6-Хлор-N-{(3S)-1-[2-фтор-4-(4-пропилпиридин-3-ил)фенил]-2-оксопирролидин-3-ил}нафталин-2-сульфонамид Масс-спектр: Найдено: MH+ 538 ВЭЖХ (1) Rt 3,48 мин Пример 60 6-Хлор-N-((3S)-1-{2-фтор-4-[6-(метилтио)пиридин-3-ил]фенил}-2-оксопирролидин-3-ил}нафталин-2-сульфонамид Масс-спектр: Найдено: MH+ 542 ВЭЖХ (1) Rt 3,74 мин Пример 61 N-{(3S)-1-[4-(5-Бромпиридин-3-ил)-2-фторфенил]-2-оксопирролидин-3-ил}-6-хлорнафталин-2-сульфонамид Масс-спектр: Найдено: MH+ 576 ВЭЖХ (1) Rt 3,68 мин Пример 62 6-Хлор-N-{(3S)-1-[2-фтор-4-(4-метоксипиридин-3-ил)фенил]-2-оксопирролидин-3-ил}нафталин-2-сульфонамид Масс-спектр: Найдено: MH+ 526 ВЭЖХ (1) Rt 2,91 мин Пример 63 6-Хлор-N-[(3S)-1-(2-фтор-4-пиримидин-5-илфенил)-2-оксопирролидин-3-ил]нафталин-2-сульфонамид Масс-спектр: Найдено: MH+ 497 ВЭЖХ (1) Rt 3,12 мин Пример 64 N-{(3S)-1-[3′-(Аминометил)-3-фтор-1,1′-бифенил-4-ил]-2-оксопирролидин-3-ил}-6-хлорнафталин-2-сульфонамид Масс-спектр: Найдено: MH+ 524 ВЭЖХ (1) Rt 2,79 мин Пример 65 6-Хлор-N-{(3S)-1-[2-фтор-4-(3-фурил)фенил]-2-оксопирролидин-3-ил}нафталин-2-сульфонамид Масс-спектр: Найдено: MH+ 485 ВЭЖХ (1) Rt 3,55 мин Пример 66 6-Хлор-N-{(3S)-1-[2-фтор-4-(4-метилтиен-2-ил)фенил]-2-оксопирролидин-3-ил}нафталин-2-сульфонамид Масс-спектр: Найдено: MH+ 515 ВЭЖХ (1) Rt 3,79 мин Пример 67 6-Хлор-N-[(3S)-1-(2-фтор-4-тиен-3-илфенил)-2-оксопирролидин-3-ил]нафталин-2-сульфонамид Масс-спектр: Найдено: MH+ 501 ВЭЖХ (1) Rt 3,90 мин Пример 68 6-Хлор-N-{(3S)-1-[2-фтор-4-(5-метилтиен-2-ил)фенил]-2-оксопирролидин-3-ил}нафталин-2-сульфонамид Масс-спектр: Найдено: MH+ 515 ВЭЖХ (1) Rt 3,70 мин Пример 69 6-Хлор-N-{(3S)-1-[2-фтор-4-(4-метилтиен-3-ил)фенил]-2-оксопирролидин-3-ил}нафталин-2-сульфонамид Масс-спектр: Найдено: MH+ 515 ВЭЖХ (1) Rt 3,86 мин Пример 70 6-Хлор-N-{(3S)-1-[2-фтор-4-(3-формилтиен-2-ил)фенил]-2-оксопирролидин-3-ил}нафталин-2-сульфонамид Масс-спектр: Найдено: MH+ 529 ВЭЖХ (1) Rt 3,62 мин Пример 71 6-Хлор-N-{(3S)-1-[4-(5-хлортиен-2-ил)-2-фторфенил]-2-оксопирролидин-3-ил}нафталин-2-сульфонамид Масс-спектр: Найдено: MH+ 535 ВЭЖХ (1) Rt 4,01 мин Пример 72 6-Хлор-N-{(3S)-1-[4-(3,5-диметилизоксазол-4-ил)-2-фторфенил]-2-оксопирролидин-3-ил}нафталин-2-сульфонамид Масс-спектр: Найдено: MH+ 514 ВЭЖХ (1) Rt 3,40 мин Пример 73 6-Хлор-N-{(3S)-1-[2-фтор-4-(5-метил-2-фурил)фенил]-2-оксопирролидин-3-ил}нафталин-2-сульфонамид Масс-спектр: Найдено: MH+ 499 ВЭЖХ (1) Rt 3,70 мин Пример 74 6-Хлор-N-[(3S)-1-(3-фтор-1,1′-бифенил-4-ил)-2-оксопирролидин-3-ил]нафталин-2-сульфонамид Масс-спектр: Найдено: MH+ 495 ВЭЖХ (1) Rt 3,68 мин Пример 75 (Е)-2-(5-Хлортиен-2-ил)-N-[(3S)-1-(4-{2-[(диметиламино)метил]-1Н-имидазол-1-ил}-2-фторфенил)-2-оксопирролидин-3-ил]этенсульфонамид бис(трифторацетат) К раствору промежуточного соединения 72 (0,245 г) в ДХМ (10 мл) прибавляют трифторуксусную кислоту (1 мл). Раствор перемешивают в течение 1 час и затем концентрируют при пониженном давлении. Остаток растворяют в ацетонитриле (10 мл). Отбирают аликвоту (5 мл) и разбавляют ацетонитрилом (5 мл). К полученному раствору прибавляют N,N-диизопропилэтиламин (0,332 мл) и (Е)-2-(5-хлортиен-2-ил)этенсульфонилхлорид (0,071 г). После перемешивания в течение 18 час при комнатной температуре в атмосфере азота реакционную смесь загружают в колонку SCX-2-SPE (силикагель, элюирование метанолом и затем 0,5 М аммиаком в метаноле), получая неочищенный образец указанного в заголовке соединения. Дополнительная очистка препаративной ВЭЖХ c детектированием по массе дает чистый образец указанного в заголовке соединения. Масс-спектр: Найдено: MH+ 524 ВЭЖХ (1) Rt 2,45 мин. 1Н ЯМР в ДМСО: Пример 76 6-Хлор-N-{(3S)-1-[2-фтор-4-(1-оксидопиридин-4-ил)фенил]-2-оксопирролидин-3-ил}нафталин-2-сульфонамид К раствору примера 55 (0,045 г) в ДХМ прибавляют (57-86%) 3-хлорбензойную кислоту (0,031 г). Смесь перемешивают в течение 18 час при комнатной температуре, затем разбавляют ДХМ и промывают 10% бикарбонатом натрия. Органическую фазу пропускают через гидрофобную фритту и загружают в колонку для SPE (силикагель, элюирование простым диэтиловым эфиром, этилацетатом, ацетоном и, наконец, метанолом), получая указанное в заголовке соединение (0,025 г) в виде твердого вещества желтовато-коричневого цвета. Масс-спектр: Найдено: MH+ 512 ВЭЖХ (1) Rt 3,06 мин Пример 77 6-Хлор-N-{(3S)-1-[2-фтор-4-(1-метил-1Н-имидазол-2-ил)фенил]-2-оксопирролидин-3-ил}нафталин-2-сульфонамид Смесь 2-бром-1-метилимидазола (0,161 г), ацетата калия (0,294 г), комплекса 1,1 Масс-спектр: Найдено: MH+ 499 ВЭЖХ (1) Rt 2,65 мин Пример 78 6-Хлор-N-{(3S)-1-[4-(2-хлорпиридин-3-ил)-2-фторфенил]-2-оксопирролидин-3-ил}нафталин-2-сульфонамид К раствору промежуточного соединения 74 (0,067 г) в ДХМ (20 мл) прибавляют трифторуксусную кислоту (1 мл). После перемешивания в течение 1,5 час раствор концентрируют при уменьшенном давлении, получая (3S)-3-амино-1-[4-(2-хлорпиридин-3-ил)-2-трифторфенил]пирролидин-2-он трифторацетат (0,083 г). Данное вещество суспендируют в ацетонитриле (7,5 мл), прибавляют N,N-диизопропилэтиламин (0,116 мл) и 6-хлор-2-нафтил сульфонилхлорид1 (0,044 г) и перемешивают полученный раствор при комнатной температуре в течение 72 час в атмосфере азота. После удаления растворителя остаток распределяют между ДХМ и насыщенным раствором бикарбоната натрия. Органическую фазу сушат (с помощью гидрофобной фритты) и загружают в колонку для SPE (силикагель, элюирование ДХМ, диэтиловым простым эфиром, этилацетатом), получая указанное в заголовке соединение (0,023 г) в виде белого твердого вещества. Масс-спектр: Найдено: MH+ 530. ВЭЖХ (1) Rt 3,44 мин. Пример 79 6-Хлор-N-{(3S)-1-[4-(2-цианопиридин-3-ил)-2-фторфенил]-2-оксопирролидин-3-ил}нафталин-2-сульфонамид Используя промежуточное соединение 75 и методику синтеза, описанную в примере 78, получают соединение, указанное в заголовке (0,029 г), в виде светлой смолы. Масс-спектр: Найдено: MH+ 521. ВЭЖХ (1) Rt 3,36 мин. Пример 80 (E)-N-{(3S)-1-[4-(3-Хлорпиридин-4-ил)-2-фторфенил]-2-оксопирролидин-3-ил}-2-(5-хлортиен-2-ил)этенсульфонамид Суспензию промежуточного соединения 76 (0,0205 г) в ацетонитриле (10 мл) обрабатывают N,N-диизопропилэтиламином (0,24 мл) и полученный раствор охлаждают на ледяной бане. Прибавляют (Е)-2-(5-хлортиен-2-ил)этенсульфонилхлорид (0,068 г) и раствор оставляют согреваться до комнатной температуры в течение 18 час. Реакционную смесь концентрируют при пониженном давлении и остаток очищают SPE (силикагель, элюирование ДХМ, простым диэтиловым эфиром и, наконец, этилацетатом), получая загрязненный образец соединения, указанного в заголовке. Дополнительная очистка с помощью SPE (элюирование метанолом и затем 0,5 М аммиаком в метаноле) дает указанное в заголовке соединение (0,100 г) в виде желтовато-коричневого масла. Масс-спектр: Найдено: MH+ 512 ВЭЖХ (1) Rt 3,36 мин Пример 81 6-Хлор-N-[(3S)-1-(2-фтор-4-пиримидин-2-илфенил)-2-оксопирролидин-3-ил]нафталин-2-сульфонамид Используя промежуточное соединение 77, 6-хлор-2-нафтилсульфонилхлорид и методику синтеза, описанную в примере 78, получают указанное в заголовке соединение в виде твердого вещества желтовато-коричневого цвета. Масс-спектр: Найдено: MH+ 497. ВЭЖХ (1) Rt 3,45 мин. Пример 82 6-Хлор-N-{(3S)-1-[4-(3-хлорпиридин-2-ил)-2-фторфенил]-2-оксопирролидин-3-ил}нафталин-2-сульфонамид Используя промежуточное соединение 78, 6-хлор-2-нафтилсульфонилхлорид и методику синтеза, описанную в примере 78, получают указанное в заголовке соединение в виде белой пены. Масс-спектр: Найдено: MH+ 530 ВЭЖХ (1) Rt 3,55 мин Пример 83 6-хлор-N-{(3S)-1-[4-(3-хлорпиридин-4-ил)-2-фторфенил]-2-оксопирролидин-3-ил}нафталин-2-сульфонамид Используя промежуточное соединение 71, пентагидрат 3-хлор-4-пиридинбороновой кислоты и методику синтеза, описанную в примере 55, получают указанное в заголовке соединение (0,029 г) в виде не совсем белого твердого вещества. Масс-спектр: Найдено: MH+ 530 ВЭЖХ (1) Rt 3,46 мин Пример 84 6-Хлор-N-{(3S)-1-[2-фтор-4-(1-метил-1H-имидазол-4-ил)фенил]-2-оксопирролидин-3-ил}нафталин-2-сульфонамид формиат Используя промежуточное соединение 70, 4-бром-1-метил-1Н-имидазол и методику синтеза, описанную в примере 77, получают указанное в заголовке соединение в виде желто-коричневой смолы. Масс-спектр: Найдено: MH+ 499 ВЭЖХ (1) Rt 2,81 мин Пример 85 6-Хлор-N-{(3S)-1-[2-фтор-4-(1-метил-1H-имидазол-5-ил)фенил]-2-оксопирролидин-3-ил}нафталин-2-сульфонамид Используя промежуточное соединение 70, 5-бром-1-метил-1Н-имидазол и методику синтеза, описанную в примере 77, получают указанное в заголовке соединение, в виде твердого вещества темно-бордового цвета. Масс-спектр: Найдено: MH+ 499 ВЭЖХ (1) Rt 2,81 мин Пример 86 2-(5-Хлортиен-2-ил)-N-{(3S)-1-[3-фтор-2′-(метилсульфонил)-1,1′-бифенил-4-ил]-2-оксопирролидин-3-ил}-l,3-тиазол-5-сульфонамид К раствору промежуточного соединения 65 (0,1332 г) в сухом ТГФ (3 мл) при -78°С в атмосфере азота прибавляют н-бутиллитий (1,6 М в смеси гексанов, 0,46 мл). После перемешивания в течение 25 мин в реакционную смесь конденсируют двуокись серы в течение примерно 10 мин, затем смесь оставляют отогреваться до комнатной температуры и концентрируют при пониженном давлении. Полученное твердое вещество перемешивают с N-хлорсукцинимидом (0,108 г) в безводном ДХМ (5 мл) в течение 5 час, фильтруют, концентрируют при пониженном давлении и получают неочищенный 2-(5 Смесь (3S)-3-амино-1-[3-фтор-2 Масс-спектр: Найдено: MH+ 612 ВЭЖХ (1) Rt 3,48 мин Из 2-хлортиено[3,2-b]тиофена* с помощью аналогичного химического подхода получают указанные ниже соединения и выделяют их из такой же реакционной смеси: *Bugge, Andreas, Chem.Scr. (1972), 2(3), 137-42 Пример 87 5-Хлор-N-{(3S)-1-[3-фтор-2′-(метилсульфонил)-1,1′-бифенил-4-ил]-2-оксопирролидин-3-ил}тиено[3,2-b]тиофен-2-сульфонамид Масс-спектр: Найдено: MNH4 + 602 ВЭЖХ (1) Rt 3,39 мин Пример 88 2-Хлор-N-{(3S)-1-[3-фтор-2′-(метилсульфонил)-1,1′-бифенил-4-ил]-2-оксопирролидин-3-ил}тиено[3,2-b]тиофен-3-сульфонамид Масс-спектр: Найдено: MNH4 + 602 ВЭЖХ (1) Rt 3,28 мин Пример 89 6-Хлор-N-[(3S)-1-(2-фтор-4-йодфенил)-2-оксопирролидин-3-ил]нафталин-2-сульфонамид Гидрохлорид (3S)-3-Амино-1-(2-фтор-4-йодфенил)пирролидин-2-она (2,67 г) суспендируют в ДХМ (80 мл). Прибавляют N,N-диизопропилэтиламин (2,13 г), затем 6-хлорнафтил-2-сульфонилхлорид1 (1,97 г). Данный раствор перемешивают в течение 18 час при комнатной температуре, затем заливают в SCX-2 SPE колонки и промывают ДХМ. ДХМ концентрируют при пониженном давлении. Кристаллизация из смеси метанол/диэтиловый эфир (1:1) дает указанное в заголовке соединение (1,4 г) в виде белых игл. Дополнительное количество продукта (1,56 г) было получено из маточных растворов очисткой Biotage Масс-спектр: Найдено: MH+ 545 ВЭЖХ (1) Rt 3,60 мин Используя аналогичный химический подход, получают следующие соединения: Пример 90 (E)-2-(5-Хлортиен-2-ил)-N-[(3S)-1-(5-йодпиридин-2-ил)-2-оксопирролидин-3-ил]этенсульфонамид Масс-спектр: Найдено: MH+ 510 ВЭЖХ (1) Rt 3,54 мин Пример 91 6-Хлор-N-[(3S)-1-(2-фтор-4-йодфенил)-2-оксопирролидинил]-1-бензотиофен-2-сульфонамид Масс-спектр: Найдено: MH+ 548 ВЭЖХ (1) Rt 3,65 мин Пример 92 5′-Хлор-N-[(3S)-1-(2-фтор-4-йодфенил)-2-оксопирролидин-3-ил]-2,2′-битиофен-5-сульфонамид Масс-спектр: Найдено: MH– 580 ВЭЖХ (1) Rt 3,80 мин Пример 93 2-(5-Хлор-2-тиенил)-N-[(3S)-1-(2-фтор-4-йодфенил)-2-оксопирролидинил]этансульфонамид Масс-спектр: Найдено: MH– 528 ВЭЖХ (1) Rt 3,59 мин Пример 94 6-Хлор-N-[(3R)-1-(2-фтор-4-нитрофенил)-2-оксопирролидинил]-1-бензотиофен-2-сульфонамид Масс-спектр: Найдено: MH– 468 ВЭЖХ (1) Rt 3,45 мин Пример 95 (E)-2-(5-Хлор-2-тиенил)-N-[(3S)-1-(2-фтор-4-нитрофенил)-2-оксопирролидинил]этенсульфонамид Масс-спектр: Найдено: MH– 444 ВЭЖХ (1) Rt 3,30 мин Пример 96 5′-Хлор-N-[(3S)-1-(2-фтор-4-нитрофенил)-2-оксопирролидин-3-ил]-2,2′-битиофен-5-сульфонамид Масс-спектр: Найдено: MH– 500 ВЭЖХ (1) Rt 3,60 мин Пример 97 6-Хлор-N-[(3S)-1-(4-циано-2-фторфенил)-2-оксопирролидин-3-ил]-1-бензотиофен-2-сульфонамид Масс-спектр: Найдено: MH– 447 ВЭЖХ (1) Rt 3,36 мин Пример 98 (E)-2-(5-Хлортиен-2-ил)-N-[(3S)-1-(4-циано-2-фторфенил)-2-оксопирролидин-3-ил]этенсульфонамид Масс-спектр: Найдено: MH– 424 ВЭЖХ (1) Rt 3,19 мин Пример 99 2-(5-Хлортиен-2-ил)-N-[(3S)-1-(4-циано-2-фторфенил)-2-оксопирролидин-3-ил]этансульфонамид Масс-спектр: Найдено: MH– 426 ВЭЖХ (1) Rt 3,23 мин Пример 100 (E)-2-(5-Хлор-2-тиенил)-N-[(3S)-1-(2-фтор-4-изопропенилфенил)-2-оксопирролидинил]этенсульфонамид Масс-спектр: Найдено: MH+ 441 ВЭЖХ (1) Rt 3,53 мин Пример 101 6-Хлор-N-[(3S)-1-(2-фторфенил)-2-оксопирролидин-3-ил]нафталин-2-сульфонамид Получен в качестве «побочного» продукта в реакции сочетания с бороновой кислотой. Очистка методом ВЭЖХ дала указанное в заголовке соединение в виде белого твердого вещества. ЖХ/MC ESI Rt 1,51 мин, ион не наблюдают. Пример 102 N-[(3S)-1-(4-Бром-2-фторфенил)-2-оксопирролидинил]-6-хлор-2-нафталинсульфонамид Масс-спектр: Найдено: MH+ 501 ВЭЖХ (1) Rt 3,84 мин Пример 103 6-Хлор-N-{(3S)-1-[3-фтор-4-(4-морфолинил)фенил]-2-оксопирролидинил}-2-нафталинсульфонамид Масс-спектр: Найдено: MH+ 504 ВЭЖХ (1) Rt 3,41 мин Пример 104 4-[(3S)-3-({[(E)-2-(5-Хлортиен-2-ил)этенил]сульфонил}амино)-2-оксопирролидин-1-ил]-3-фтор-N,N-диметилбензамид Масс-спектр: Найдено: MH– 470 ВЭЖХ (1) Rt 2,89 мин Пример 105 (E)-2-(5-хлор-2-тиенил)-N-{(3S)-1-[2-фтор-4-(1-пирролидинилкарбонил)фенил]-2-оксопирролидинил}этенсульфонамид Масс-спектр: Найдено: MH+ 498 ВЭЖХ (1) Rt 3,01 мин Пример 106 6-[(3S)-3-({[(E)-2-(5-Хлортиен-2-ил)этенил]сульфонил}амино)-2-оксопирролидин-1-ил]никотинамид Масс-спектр: Найдено: MH+ 427 ВЭЖХ (1) Rt 2,78 мин Пример 107 4-[(3S)-3-({[(E)-2-(5-Хлортиен-2-ил)этенил]сульфонил}амино)-2-оксопирролидин-1-ил]-3-фторбензамид Масс-спектр: Найдено: MH– 442 ВЭЖХ (1) Rt 3,80 мин Пример 108 4-[(3S)-3-({[(E)-2-(5-Хлортиен-2-ил)этенил]сульфонил}амино)-2-оксопирролидин-1-ил]-3-фтор-N-метилбензамид Масс-спектр: Найдено: MH– 456 ВЭЖХ (1) Rt 2,86 мин Пример 109 4-((3S)-3-{[(6-Хлор-1-бензотиен-2-ил)сульфонил]амино}-2-оксопирролидин-1-ил)-3-фтор-N,N-диметилбензамид Масс-спектр: Найдено: MH– 494 ВЭЖХ (1) Rt 3,08 мин Пример 110 4-[(3S)-3-({[(lE)-2-(5-Хлортиен-2-ил)проп-1-енил]сульфонил}амино)-2-оксопирролидин-1-ил]-3-фтор-N,N-диметилбензамид Масс-спектр: Найдено: MH– 484 ВЭЖХ (1) Rt 2,98 мин Пример 111 4-((3S)-3-{[(6-Хлор-1-бензотиен-2-ил)сульфонил]амино}-2-оксопирролидин-1-ил)-3-фтор-N-изопропил-N-метилбензамид Масс-спектр: Найдено: MH– 522 ВЭЖХ (1) Rt 3,27 мин Пример 112 (E)-N-[(3S)-1-(4-ацетил-2-фторфенил)-2-оксопирролидин-3-ил]-2-(5-хлортиен-2-ил)этенсульфонамид Масс-спектр: Найдено: MH– 441 ВЭЖХ (1) Rt 3,16 мин Используя аналогичный химический подход, получают следующие соединения: Пример 113 (E)-N-[(3S)-1-(5-Ацетилпиридин-2-ил)-2-оксопирролидин-3-ил]-2-(5-хлортиен-2-ил)этенсульфонамид Масс-спектр: Найдено: MH+ 426 ВЭЖХ (1) Rt 3,11 мин Пример 114 N-{4-[(3S)-3-({[(E)-2-(5-Хлор-2-тиенил)этенил]сульфонил}амино)-2-оксопирролидинил]-3-фторфенил}ацетамид Масс-спектр: Найдено: MH+ 458 ВЭЖХ (1) Rt 2,96 мин Пример 115 N-{4-[(3S)-3-({[(E)-2-(5-Хлор-2-тиенил)этенил]сульфонил}амино)-2-оксопирролидинил]-3-фторфенил}пропанамид Масс-спектр: Найдено: MH+ 472 ВЭЖХ (1) Rt 3,09 мин Пример 116 N-{4-[(3S)-3-({[(E)-2-(5-Хлортиен-2-ил)этенил]сульфонил}амино)-2-оксопирролидин-1-ил]-3-фторфенил}-2-метилпропанамид Масс-спектр: Найдено: MH+ 486 ВЭЖХ (1) Rt 3,20 мин Пример 117 N-[4-((3S)-3-{[(6-Хлор-1-бензотиен-2-ил)сульфонил]амино}-2-оксопирролидинил)-3-фторфенил]ацетамид Масс-спектр: Найдено: MH+ 482 ВЭЖХ (1) Rt 3,16 мин Пример 118 N-[4-((3S)-3-{[(6-Хлор-1-бензотиен-2-ил)сульфонил]амино}-2-оксопирролидинил)-3-фторфенил]пропанамид Масс-спектр: Найдено: MH+ 496 ВЭЖХ (1) Rt 3,28 мин Пример 119 N-[4-((3S)-3-{[(6-Хлор-1-бензотиен-2-ил)сульфонил]амино}-2-оксопирролидинил)-3-фторфенил]-2-метилпропанамид Масс-спектр: Найдено: MH+ 510 ВЭЖХ (1) Rt 3,36 мин Пример 120 (E)-2-(5-хлортиен-2-ил)-N-((3S)-1-{2-фтор-4-[формил(изопропил)амино]фенил}-2-оксопирролидин-3-ил)этенсульфонамид Масс-спектр: Найдено: MH– 484 ВЭЖХ (1) Rt 3,10 мин Пример 121 6-Хлор-N-((3S)-1-{2-фтор-4-[формил(изопропил)амино]фенил}-2-оксопирролидин-3-ил)-1-бензотиофен-2-сульфонамид Масс-спектр: Найдено: MH– 508 ВЭЖХ (1) Rt 3,27 мин Пример 122 6-Хлор-N-{(3S)-1-[2-фтор-4-(1H-имидазол-1-ил)фенил]-2-оксопирролидин-3-ил}нафталин-2-сульфонамид К раствору промежуточного соединения 106 (0,05 г) в ДХМ (5 мл) прибавляют трифторуксусную кислоту (0,5 мл). После перемешивания в течение 2 час реакционную смесь концентрируют при пониженном давлении и получают (3S)-3-амино-1-[2-фтор-4-(1H-имидазол-1-ил)фенил]пирролидин-2-он (0,071 г) в виде масла. Прибавляют ацетонитрил (5 мл), затем N,N-диизопропилэтиламин (84,8 мкл) и 6-хлорнафтил-2-сульфонилхлорид1 (0,036 г). После перемешивания при комнатной температуре в течение 18 час реакционную смесь концентрируют при пониженном давлении и распределяют между ДХМ и насыщенным раствором гидрокарбоната натрия. Органическую фазу сушат гидрофобной фриттой, загружают в колонку для SPE (силикагель, элюирование ДХМ, простым диэтиловым эфиром, этилацетатом и ацетоном), получая указанное в заголовке соединение (0,030 г) в виде твердого белого вещества. Масс-спектр: Найдено: MH+ 485 ВЭЖХ (1) Rt 2,79 мин Используя аналогичный химический подход, получают следующие соединения: Пример 123 6-Хлор-N-[(3S)-1-(2,4-дихлорфенил)-2-оксопирролидинил]-2-нафталинсульфонамид Масс-спектр: Найдено: MH+ 473 ВЭЖХ (1) Rt 3,67 мин Пример 124 N-[(3S)-1-(4-трет-Бутил-l,3-тиазол-2-ил)-2-оксопирролидинил]-6-хлор-2-нафталинсульфонамид Масс-спектр: Найдено: MH+ 464 ВЭЖХ (1) Rt 3,94 мин Пример 125 N-[(3S)-1-(4-трет-Бутилфенил)-2-оксопирролидинил]-6-хлор-2-нафталинсульфонамид Масс-спектр: Найдено: MH+ 457 ВЭЖХ (1) Rt 3,90 мин Пример 126 (1Е)-2-(5-хлортиен-2-ил)-N-[(3S)-2-оксо-1-пиразин-2-илпирролидин-3-ил]проп-1-ен-1-сульфонамид Масс-спектр: Найдено: MH+ 399 ВЭЖХ (1) Rt 3,08 мин Пример 127 6-Хлор-N-[(3S)-2-оксо-1-(l,3-тиазол-2-ил)пирролидинил]-2-нафталинсульфонамид Масс-спектр: Найдено: MH+ 408 ВЭЖХ (1) Rt 3,31 мин Пример 128 6-Хлор-N-{(3S)-1-[2-фтор-4-(4-метил-1Н-имидазол-1-ил)фенил]-2-оксопирролидинил}-2-нафталинсульфонамид Масс-спектр: Найдено: MH+ 499 ВЭЖХ (1) Rt 2,73 мин Пример 129 6-Хлор-N-{(3S)-1-[2-фтор-4-(1H-пиразол-1-ил)фенил]-2-оксопирролидинил}-2-нафталинсульфонамид Масс-спектр: Найдено: MH+ 485 ВЭЖХ (1) Rt 3,37 мин Пример 130 N-[(3S)-1-(5-Бром-l,3-тиазол-2-ил)-2-оксопирролидинил]-2-(5-хлор-2-тиенил)этансульфонамид Масс-спектр: Найдено: MH+ 471,5 ВЭЖХ (1) Rt 3,63 мин Пример 131 6-Хлор-N-[(3S)-1-(пиразин-2-ил)-2-оксопирролидин-3-ил]-1-бензотиофен-2-сульфонамид Масс-спектр: Найдено: MH+ 409 ВЭЖХ (1) Rt 3,26 мин Пример 132 2-(5-Хлортиен-2-ил)-N-[(3S)-1-(5-йодпиридин-2-ил)-2-оксопирролидин-3-ил]этан-1-сульфонамид Масс-спектр: Найдено: MH+ 512. ВЭЖХ (1) Rt 3,59 мин. Пример 133 4-[(3S)-3-((2-Амино-2-оксоэтил){[(E)-2-(5-хлортиен-2-ил)этенил]сульфонил}амино)-2-оксопирролидин-1-ил]-3-фторбензамид Раствор продукта примера 107 (0,10 г) в безводном ацетонитриле (5 мл) обрабатывают карбонатом цезия (0,092 г) и бромацетамидом (0,039 г) и перемешивают при температуре окружающей среды в течение 18 час. Растворитель удаляют при пониженном давлении, распределяя остаток между этилацетатом и насыщенным раствором бикарбоната натрия. Отделенный органический слой промывают водой, сушат (над сульфатом магния), концентрируют при пониженном давлении и получают неочищенное вещество, которое очищают препаративной ВЭЖХ с детектированием по массе, получая указанное в заголовке соединение (0,038 г) в виде белого порошка. Масс-спектр: Найдено: MH+ 501 ВЭЖХ (1) Rt 2,66 мин Используя аналогичный химический подход, получают следующие соединения: Пример 134 4-[(3S)-3-((2-Амино-2-оксоэтил){[(E)-2-(5-хлортиен-2-ил)этенил]сульфонил}амино)-2-оксопирролидин-1-ил]-3-фтор-N,N-диметилбензамид Масс-спектр: Найдено: MH– 529 ВЭЖХ (1) Rt 2,76 мин Пример 135 (E)-2-(5-Хлортиен-2-ил)-N-{(3S)-1-[2-фтор-4-(1-гидроксиэтил)фенил]-2-оксопирролидин-3-ил}этенсульфонамид Продукт примера 112 (0,163 г), суспендированный в сухом метаноле (5 мл), обрабатывают натрийборгидридом (0,028 г) и смесь перемешивают при температуре окружающей среды в атмосфере азота в течение 90 мин. Реакцию гасят 3 каплями воды и концентрируют при пониженном давлении, распределяя остаток между ДХМ и водой. Отделенную органическую фазу сушат гидрофобной фриттой, концентрируют при пониженном давлении, получая указанное в заголовке соединение (0,149 г) в виде бежевого пенообразного твердого продукта. Масс-спектр: Найдено: MH+ 445 ВЭЖХ (1) Rt 3,00 мин Пример 136 (1Е)-2-(5-Хлортиен-2-ил)-N-[(3S)-1-(5-йодпиридин-2-ил)-2-оксопирролидин-3-ил]проп-1-ен-1-сульфонамид Масс-спектр: Найдено: MH+ 524 ВЭЖХ (1) Rt 3,65 мин Используя химический подход, аналогичный описанному в примере 89, получают следующие соединения: Пример 137 (1E)-2-(5-Хлортиен-2-ил)-N-((3S)-1-{2-фтор-4-[(метилсульфонил)амино]фенил}-2-оксопирролидин-3-ил)проп-1-ен-1-сульфонамид Масс-спектр: Найдено: MH+ 508 ВЭЖХ (1) Rt 3,10 мин Пример 138 (E)-N-[(3S)-1-(4-ацетилфенил)-2-оксопирролидин-3-ил]-2-(5-хлортиен-2-ил)этенсульфонамид Масс-спектр: Найдено: MH+ 424 ВЭЖХ (1) Rt 3,16 мин Пример 139 (А) 2-({(3S)-1-[2 Из продукта примера 16 и 2-бромацетамида по методике, описанной для получения продукта примера 40, получают указанные в заголовке соединения. Пример А Масс-спектр: Найдено: MH+ 627 ВЭЖХ (1) Rt 3,13 мин Пример В Масс-спектр: Найдено: MH+ 627 ВЭЖХ (1) Rt 3,09 мин Используя аналогичный химический подход, получают следующие соединения: Пример 140 Соль 2-{(6-Хлорбензо[b]тиофен-2-сульфонил)-[(S)-1-(3-фтор-2 Масс-спектр: Найдено: MH+ 637 ВЭЖХ (1) Rt 3,21 мин Пример 141 2-(5-Хлортиен-2-ил)-N-[(3S)-1-(4-{2-[(диметиламино)метил]-lH-имидазол-1-ил}-2-фторфенил)-2-оксопирролидин-3-ил]этансульфонамид Из промежуточного соединения 16 и промежуточного соединения 146 по методике синтеза, описанной для получения продукта примера 1, получают указанное в заголовке соединение. Масс-спектр: Найдено: MH+ 526 ВЭЖХ (1) Rt 2,36 мин Пример 142 2-Амино-N-[(1-{4-[(3S)-3-({[(1E)-2-(5-хлортиен-2-ил)проп-1-енил]сульфонил}амино)-2-оксопирролидин-1-ил]-3-фторфенил}-1H-имидазол-2-ил)метил]-N,N-диметил-2-оксоэтанаминий формиат Из промежуточного соединения 14 и 2-бромацетамида по методике синтеза, описанной для получения продукта примера 40, получают указанное в заголовке соединение. Масс-спектр: Найдено: MH+ 595 ВЭЖХ (1) Rt 2,44 мин Используя аналогичный химический подход, получают следующие соединения: Пример 143 2-Амино-N-[(1-{4-[(3S)-3-({[2-(5-хлортиен-2-ил)этил]сульфонил}амино)-2-оксопирролидин-1-ил]-3-фторфенил}-1H-имидазол-2-ил)метил]-N,N-диметил-2-оксоэтанаминий формиат Масс-спектр: Найдено: MH+ 583 ВЭЖХ (1) Rt 2,36 мин Пример 144 2-Амино-N-({1-[4-((3S)-3-{[(6-[хлор-1-бензотиен-2-ил)сульфонил]амино}-2-оксопирролидин-1-ил)-3-фторфенил]-1H-имидазол-2-ил}метил)-N,N-диметил-2-оксоэтанаминий формиат. Масс-спектр: Найдено: MH+ 605 ВЭЖХ (1) Rt 2,52 мин Промежуточное соединение 1 трет-Бутил (2S)-1-({[4-(диметиламино)фенил]амино}карбонил)-3-гидроксипропилкарбамат К раствору 4-(N,N-диметиламино)анилина (0,061 г) в безводном ДХМ (2 мл) при комнатной температуре в атмосфере азота прибавляют по каплям раствор триметилалюминия (2,0М раствор в гексане; 0,224 мл) в течение приблизительно 10 мин. Полученный раствор перемешивают при комнатной температуре еще 15 мин и медленно прибавляют раствор (S)-N-(трет-бутоксикарбонил)гомосерина (0,060 г) в безводном ДХМ (1 мл). После перемешивания при комнатной температуре в течение 18 час реакционную смесь гасят добавлением 0,5 н. водного раствора соляной кислоты. Отделенный органический слой промывают насыщенным раствором соли, фильтруют через гидрофобные фритты и упаривают в токе азота. Полученный остаток очищают с помощью 10 г катриджа Redisep Масс-спектр: Найдено: MH+ 338 Промежуточное соединение 2 трет-Бутил (3S)-1-[4-(диметиламино)фенил]-2-оксопирролидин-3-илкарбамат Раствор диизопропилазодикарбоксилата (0,023 г) в безводном ТГФ (1 мл) при комнатной температуре в атмосфере азота обрабатывают три-н-бутилфосфином (0,028 мл) и полученный раствор перемешивают в течение 5 мин. Данный раствор затем по каплям прибавляют к раствору трет-бутил (2S)-1-({[4-(диметиламино)фенил]амино}карбонил)-3-гидроксипропилкарбамата (0,029 г) в безводном ТГФ (1 мл), охлажденному до 0°С, в атмосфере азота. Полученный раствор оставляют согреваться до комнатной температуры, затем перемешивают еще 18 час. Реакционную смесь упаривают в токе азота. Остаток распределяют между насыщенным водным раствором бикарбоната натрия (5 мл) и ДХМ (5 мл). Органический слой отделяют, фильтруют через гидрофобную фритту и упаривают в токе азота. Полученный остаток очищают с помощью катриджа Redisep Масс-спектр: Найдено: MH+ 320 Промежуточное соединение 3 (3S)-3-Амино-1-[4-(диметиламино)фенил]пирролидин-2-он трет-Бутил (3S)-1-[4-(диметиламино)фенил]-2-оксопирролидин-3-илкарбамат (0,026 г) обрабатывают смесью ТФУ-ДХМ (1:1, 1 мл) при комнатной температуре и раствор выдерживают в течение 1 часа, затем упаривают в токе азота. Остаток повторно растворяют в смеси ДХМ/метанол и загружают в отрегулированный SCX SPE картридж (1 г). Неосновные компоненты элюируют метанолом, а целевой амин элюируют смесью 5% аммиак : метанол. Растворитель упаривают при пониженном давлении и получают указанное в заголовке соединение (0,0074 г). ВЭЖХ (1) Rt 2,38 мин Промежуточное соединение 4 трет-Бутил (2S)-1-({[3-фтор-2 К раствору 3-фтор-2 Масс-спектр: Найдено: MH+ 466 Промежуточное соединение 5 трет-Бутил (3S)-1-[3-фтор-2 Раствор диизопропилазодикарбоксилата (0,128г) в безводном ТГФ (3 мл) при комнатной температуре в атмосфере азота обрабатывают три-н-бутилфосфином (0,198 мл) и раствор перемешивают в течение 5 мин. Данный раствор затем по каплям прибавляют к раствору трет-бутил(2S)-1-({[3-фтор-2 Масс-спектр: Найдено: MH+ 499. Часть полученного вещества очищают с помощью SPE (силикагель, градиентное элюирование 30-40% циклогексан : этилацетат в течение 21 мин), получая образец чистого соединения, указанного в заголовке в виде бесцветной смолы. Промежуточное соединение 6 (3S)-3-Амино-1-[3-фтор-2′-(метилсульфонил)-1,1′-бифенил-4-ил]пирролидин-2-он Неочищенный трет-бутил (3S)-1-[3-фтор-2 Масс-спектр: Найдено: MH+ 348 Промежуточное соединение 7 l-Бром-2-(метилсульфонил)бензол 2-Бромтиоанизол (6,0 г) растворяют в ДХМ (234 мл) и перемешивают в атмосфере азота при -5°С на бане лед/соль. 3-Хлорпероксибензойную кислоту (22,8 г) прибавляют порциями, поддерживая температуру в интервале от -5 до 0°C. После окончания прибавления реакционную смесь отогревают до комнатной температуры и перемешивают в течение 4,5 час. Реакционную смесь промывают насыщенным водным раствором сульфита натрия, насыщенным водным раствором бикарбоната натрия, сушат (над сульфатом магния), фильтруют и концентрируют при пониженном давлении. Остаток растирают в петролейном эфире (40-60 мл), отфильтровывают, сушат в вакууме при 30°С, получая указанное в заголовке соединение (7,58 г) в виде белого твердого вещества. Масс-спектр: Найдено: MH+ 237 Промежуточное соединение 8 трет-Бутил (lS)-3-гидрокси-1-{[(5-йодпиридин-2-ил)амино]карбонил}пропилкарбамат К раствору 2-амино-5-йодпиридина (20 г) в безводном ДХМ (150 мл), охлажденному до 0°C, в атмосфере азота медленно прибавляют раствор триметилалюминия (2M в смеси гексанов, 45,15 мл). Смесь дополнительно перемешивают в течение 1 часа (отогревают до 10°С). Прибавляют по каплям охлажденный раствор (0°C) (S)-N-(трет-бутоксикарбонил)гомосерина (15,1 г) в безводном ДХМ (150 мл). Полученный раствор оставляют согреваться до температуры окружающей среды в течение 1 часа. После перемешивания еще в течение 26 час реакционную смесь разбавляют ДХМ (200 мл) и прибавляют фторид натрия (15,2 г). Смесь охлаждают до 0°C, прибавляют по каплям воду (4,87 мл) и энергично перемешивают еще 10 мин при 0°C и 30 мин при температуре окружающей среды. Полученную смесь фильтруют через Celite 1H ЯМР в CDCl3: d 9,10 (1H, ушир.с), 8,17 (1H, д), 8,05 (lH, ушир.д), 7,96 (1H, дд), 5,75 (1H, ушир.д), 4,55 (1H, ушир.с), 3,85 (2H, м), 2,15-1,90 (2H, 2·м), 1,45 (9H, с) м.д. С помощью аналогичного химического подхода было получено следующее соединение: Промежуточное соединение 9 трет-Бутил(1S)-1-{[(2-фтор-4-йодфенил)амино]карбонил}-3-гидроксипропилкарбамат Масс-спектр: Найдено: MH+ 439 Промежуточное соединение 10 трет-Бутил(3S)-1-(5-йодпиридин-2-ил)-2-оксопирролидин-3-илкарбамат К раствору ди-трет-бутилазодикарбоксилата (8,9 г) в безводном ТГФ (50 мл) при 0°С в атмосфере азота прибавляют три-н-бутилфосфин (9,61 мл), затем раствор промежуточного соединения 8 (12,5 г) в безводном ТГФ (100 мл). Реакционную смесь перемешивают при 0°C еще 1 час, а затем при температуре окружающий среды еще в течение 16 час. Реакционную смесь концентрируют при пониженном давлении и обрабатывают ДХМ и насыщенным водным раствором бикарбоната натрия. Органический слой отделяют, промывают насыщенным водным раствором соли, сушат (над сульфатом магния) и фильтруют. Органическую фазу концентрируют при пониженном давлении, получая неочищенный продукт, который очищают колоночной флэш-хроматографией (силикагель, элюирование смесью циклогексан : этилацетат, от 5:2 до 2:1). Получают указанное в заголовке соединение (12,5 г) в виде белого твердого вещества. 1H ЯМР в CDCl3: d 8,55 (1H, д), 8,25 (1H, д), 7,95 (1H, дд), 5,15 (1H, м), 4,55 (1H, ушир.м), 4,20-3,80 (2H, 2·м), 2,73-1,97 (2H, 2·м), 1,60 (9H, с) м.д. Используя аналогичный химический подход, получают следующее соединение: Промежуточное соединение 11 трет-Бутил (3S)-1-(2-фтор-4-йодфенил)-2-оксопирролидин-3-илкарбамат Масс-спектр: Найдено: MH+ 421 Промежуточное соединение 12 трет-Бутил (3S)-2-оксо-1-[5-(4,4,5,5-тетраметил-1,3,2-диоксаборолан-2-ил)пиридин-2-ил]пирролидин-3-илкарбамат Промежуточное соединение 8 (1,0 г) растворяют в безводном ДМФА (12 мл) и перемешивают в атмосфере азота при температуре окружающей среды. Добавляют ацетат калия (0,733 г) и бис(пинаколато)дибор (0,067 г), затем 1,1 ТСХ (SiO2, циклогексан : эфир, 1:3), Rf 0,40 Промежуточное соединение 13 трет-Бутил (3S)-1-{5-[2-(метилсульфонил)фенил]пиридин-3-илкарбамат Промежуточное соединение 12 (1,42 г) растворяют в безводном ДМЭ (DME) (40 мл) и перемешивают в атмосфере азота при температуре окружающей среды. Добавляют промежуточное соединение 7 (1,0 г), затем карбонат калия (2.43 г) и 1,1 Масс-спектр: Найдено: MH+ 432. Промежуточное соединение 14 (3S)-3-Амино-1-{5-[2-(метилсульфонил)фенил]пиридин-2-ил}пирролидин-2-он Промежуточное соединение 13 (0,49 г) растворяют в безводном ДХМ (15 мл) и перемешивают на ледяной бане в атмосфере азота. К реакционной смеси медленно прибавляют трифторуксусную кислоту (15 мл), затем отогревают до температуры окружающей среды и перемешивают в течение 2,5 час. Реакционную смесь концентрируют при пониженном давлении. Остаток очищают SPE (силикагель, элюирование метанолом и 2-5% водного аммиака в метаноле), получая указанное в заголовке соединение (0,310 г) в виде белой пены. Масс-спектр: Найдено: MH+ 332 Промежуточное соединение 15 трет-Бутил (3S)-1-(4-{2-[(диметиламино)метил]-1H-имидазол-1-ил}-2-фторфенил)-2-оксопирролидин-3-илкарбамат Суспензию промежуточного соединения 11 (2,10 г), 2-(N,N-диметиламино)метилимидазола (0,682 г), безводного карбоната калия (0,737 г), 8-гидроксихинолин (0,047 г) в безводном диметилсульфоксиде (5 мл) перемешивают в атмосфере азота при температуре окружающей среды. Добавляют йодид меди (I) (0,045 г), реакционную смесь нагревают до 122°С и перемешивают в течение 17 час. Реакционную смесь охлаждают до температуры окружающей среды. Прибавляют 17% водный гидроксид аммония и смесь перемешивают в течение 1 часа. Реакционную смесь экстрагируют этилацетатом. Объединенные органические слои промывают 17% водным гидроксидом аммония, сушат (над сульфатом магния), фильтруют и концентрируют при пониженном давлении. Остаток очищают Biotage ТСХ (SiO2, CHCl3:MeOH:H2O, 65:30:5) Rf 0,7. Промежуточное соединение 16 (3S)-3-Амино-1-(4-{2-диметиламино)метил]-1H-имидазол-1-ил}-2-фторфенил)пирролидин-2-он Промежуточное соединение 15 (1,75 г) растворяют в дихлорметане (11 мл) и перемешивают в атмосфере азота при температуре окружающей среды. Прибавляют трифторуксусную кислоту (11 мл) и реакционную смесь перемешивают при температуре окружающей среды в течение 1 часа. Реакционную смесь концентрируют при пониженном давлении. Остаток очищают методом SPE (силикагель, элюирование смесью метанол : водный аммиак 50:1 и затем 19:1), затем Biotage ТСХ (SiO2, CHCl3:MeOH:H2O, 65:30:5) Rf 0,40. Промежуточное соединение 17 Ди(трет-бутил) (2-бромфенил)сульфонилимидодикарбонат 1-Бромбензолсульфонамид (15,40 г) частично растворяют в безводном ацетонитриле (300 мл) и перемешивают в атмосфере азота при температуре окружающей среды. Прибавляют порциями ди-трет-бутилдикарбонат (68 г), затем 4-диметиламинопиридин (3,30 г). Реакционную смесь перемешивают при температуре окружающей среды в течение 2 час. Прибавляют порциями ди-трет-бутилдикарбонат (34,0 г), затем 4-диметиламинопиридин (2,55 г). Реакционную смесь перемешивают при температуре окружающей среды в течение 18 час. Реакционную смесь концентрируют при пониженном давлении, остаток очищают вакуумной флэш-хроматографией (силикагель, элюирование смесью циклогексан : эфир, 3:1), получая указанное в заголовке соединение (17,3 г) в виде желтого твердого вещества. ТСХ (SiO2, циклогексан : эфир, 3:1), Rf 0,32. Промежуточное соединение 18 трет-Бутил (3S)-1-[2-фтор-4-(4,4,5,5-тетраметил-1,3,2-диоксаборолан-2-ил)фенил]-2-оксопирролидин-3-илкарбамат Промежуточное соединение 11 (2,0 г) растворяют в безводном ДМФА (23 мл) и перемешивают в атмосфере азота при температуре окружающей среды. Прибавляют ацетат калия (1,41 г) и бис(пинаколато)дибор (1,29 г), затем 1,1 ТСХ (SiO2, циклогексан : эфир, 3:1), Rf 0,30. Промежуточное соединение 19 Ди(трет-бутил) (4′-{(3S)-3-[(трет-бутоксикарбонил)амино]-2-оксопирролидин-1-ил}-3′-фтор-1,1 Промежуточное соединение 18 (2,5 г) растворяют в безводном ДМЭ (DME) (70 мл) и перемешивают в атмосфере азота при температуре окружающей среды. Прибавляют промежуточное соединение 17 (2,58 г), затем карбонат калия (4,11 г) и 1,1 Масс-спектр: Найдено: МН+ 651 Промежуточное соединение 20 Ди(трет-бутил) {4′-[(3S)-3-амино-2-оксопирролидин-1-ил]-3 Промежуточное соединение 19 (0,53 г) растворяют в безводном ДХМ (5 мл) и перемешивают в атмосфере азота при температуре окружающей среды. Прибавляют трифторуксусную кислоту (5 мл) и реакционную смесь перемешивают при температуре окружающей среды в течение 2 час и затем концентрируют при пониженном давлении. Остаток очищают методом SPE (силикагель, элюирование метанолом, смесью метанол : водный аммиак 50:1, 19:1), получая указанное в заголовке соединение (0,287 г) в виде пены кремового цвета. Масс-спектр: Найдено: MH+ 350 Промежуточное соединение 21 трет-Бутил (3S)-1-[5-(2-нитрофенил)пиридин-2-ил]-2-оксопирролидин-3-илкарбамат Раствор неочищенного промежуточного соединения 12 (0,128 г) в сухом диметиловом эфире этиленгликоля (8 мл) обрабатывают последовательно 1-йод-2-нитробензолом (0,095 г), карбонатом калия (0,219 г) и 1,1 Масс-спектр: Найдено: MH+ 399 С помощью аналогичного химического подхода получают следующее соединение: Промежуточное соединение 22 трет-Бутил(3S)-1-(3-фтор-2 Масс-спектр: Найдено: МН+ 416 Промежуточное соединение 23 Гидрохлорид (3S)-3-Амино-1-[5-(2-нитрофенил)пиридин-2-ил]пирролидин-2-она Промежуточное соединение 21 (0,095 г) перемешивают в смеси 4н. соляная кислота/диоксан (10 мл) при 0°C в течение 1 часа и оставляют согреваться до комнатной температуры в течение 18 час. Полученную бледно-желтую суспензию концентрируют при пониженном давлении, получая указанное в заголовке соединение (0,081 г) в виде желтого порошка. Масс-спектр: Найдено: MH+ 299 Используя аналогичный химический подход, из промежуточного соединения 22 получают следующее соединение: Промежуточное соединение 24 Гидрохлорид (3S)-3-Амино-1-(3-фтор-2 Масс-спектр: Найдено: MH+ 316 Промежуточное соединение 25 трет-Бутил(3S)-2-oxo-1-(5-фенилпиридин-2-ил)пирролидин-3-илкарбамат Раствор промежуточного соединения 10 (0,15 г) в смеси диметиловый эфир этиленгликоля : вода (15 мл, 2:1) обрабатывают последовательно карбонатом натрия (0,103 г), фенилбороновой кислотой (0,054 г) и тетракистрифенилфосфинпалладием(0) (0,015 г). Бледно-желтый раствор нагревают при 80°С в течение 5 час. Охлажденную реакционную смесь концентрируют при пониженном давлении и распределяют остаток между диэтиловым эфиром и водой. Отделенный органический слой сушат (над сульфатом магния), концентрируют при пониженном давлении и получают неочищенный оранжевый остаток, который очищают SPE (силикагель, элюирование смесью циклогексан:этилацетат 4:1), получая указанное в заголовке соединение (0,10 г) в виде белого порошка. Масс-спектр: Найдено: МН+ 354 Промежуточное соединение 26 1-Бром-2-изопропоксибензол Раствор 2-бромфенола (l,0 г) в сухом N,N-диметилформамиде (10 мл) обрабатывают карбонатом калия (1,2 г), затем 2-бромпропаном (0,711 г). Смесь нагревают до 60°С в течение 18 час. Охлажденную реакционную смесь концентрируют при пониженном давлении и остаток распределяют между диэтиловым эфиром и 1н. раствором гидроксида натрия. Отделенный органический слой промывают насыщенным раствором хлорида натрия и водой. Отделенный органический слой сушат (над сульфатом магния), концентрируют при пониженном давлении, получая указанное в заголовке соединение (1,18 г) в виде бесцветного масла. 1H ЯМР в CDCl3: d 1,38 (д, 6H), 4,55 (септет, 1H), 6,82 (т, 1H), 6,93 (д, 1H), 7,24 (т, 1H), 7,53 (д, 1H) м.д. Промежуточное соединение 27 трет-Бутил (2-бромфенил)сульфонилкарбамат Раствор водного аммиака (50 мл) прибавляют к перемешиваемому раствору 2-бромбензолсульфонилхлорида (5,0 г) в тетрагидрофуране (100 мл) при 5°С. Смесь перемешивают в течение 20 мин и затем концентрируют при пониженном давлении, остаток растирают в воде. Твердое вещество отфильтровывают и суспендируют в ДХМ (100 мл). Прибавляют 4-(диметиламино)пиридин (0,25 г) и триэтиламин (3,2 мл), затем ди-трет-бутилдикарбонат (5,8 г) и раствор перемешивают при температуре окружающей среды в течение 1 часа. Раствор промывают 1н. соляной кислотой, водой и сушат (над сульфатом натрия). Растворитель удаляют при пониженном давлении, получая указанное в заголовке соединение (5,8 г) в виде белого порошка. ВЭЖХ (l) Rt 3,08 мин Промежуточное соединение 28 трет-Бутил (2-бромфенил)сульфонил{[2-(триметилсилил)этокси]метил}карбамат В раствор промежуточного соединения 27 (1,0 г) в сухом ТГФ (15 мл) при 0°С прибавляют порциями гидрид натрия (0,14 г). Смесь перемешивают в течение 45 мин и по каплям прибавляют раствор 2-(триметилсилил)этоксиметилхлорида (0,63 мл) в сухом ТГФ (10 мл). Реакционной смеси дают согреться до комнатной температуры и перемешивают в течение 18 час. Полученную белую суспензию концентрируют при пониженном давлении и распределяют остаток между диэтиловым эфиром и водой. Отделенный органический слой промывают насыщенным раствором хлорида натрия, сушат (над сульфатом магния), концентрируют при пониженном давлении, получая сырой продукт в виде бледно-желтого масла. Полученный продукт очищают методом SPE (силикагель, элюирование смесью циклогексан : этилацетат 20:1 и 4:1), получая указанное в заголовке соединение (1,29 г) в виде бледно-желтого масла. Масс-спектр: Найдено: МН+ 485 Промежуточное соединение 29 N-(2-Бромфенил)-N-метилметансульфонамид Раствор N-(2-бромфенил)метансульфонамида (0,2 г) в сухом ацетонитриле (5 мл) при 0°С обрабатывают карбонатом калия (0,167 г), затем йодметаном (0,34 г). Реакционной смеси дают согреться до комнатной температуры и перемешивают в течение 18 час. Растворитель удаляют при пониженном давлении и остаток распределяют между ДХМ и водой. Органический слой сушат с помощью гидрофобных фритт и концентрируют при пониженном давлении. Остаток очищают SPE (силикагель, элюирование смесью циклогексан : этилацетат от 20:1 до 4:1), получая указанное в заголовке соединение (0,19 г) в виде белого порошка. Масс-спектр: Найдено: МН+ 266 Промежуточное соединение 30 трет-Бутил(2-бромфенил)сульфонил(метил)карбамат Раствор промежуточного соединения 27 (1,0 г) в сухом ТГФ (30 мл), при 0°С прибавляют порциями гидрид натрия (0,14 г). Смесь перемешивают в течение 45 мин и затем медленно прибавляют йодметан (1,27 г). Реакционной смеси дают согреться до комнатной температуры и перемешивают в течение 18 час. Растворитель удаляют при пониженном давлении и распределяют остаток между ДХМ и водой. Отделенный органический слой промывают насыщенным раствором хлорида натрия, сушат (над сульфатом магния), концентрируют при пониженном давлении и получают сырой продукт, который очищают SPE (силикагель, элюирование смесью циклогексан : этилацетат от 20:1 до 2:1), получая указанное в заголовке соединение (0,56 г) в виде белого порошка. Масс-спектр: Найдено: MNH4 + 369 Побочным продуктом этой реакции является Промежуточное соединение 31 2-Бром-N,N-диметилбензолсульфонамид Масс-спектр: Найдено: МН+ 266 Промежуточное соединение 32 N-(2-Бромфенил)-N-{[2-(триметилсилил)этокси]метил}метансульфонамид Используя методику синтеза, описанную для промежуточного соединения 28, из N-(2-бромфенил)метансульфонамида получают указанное в заголовке соединение. Масс-спектр: Найдено: MNH4 + 399 Промежуточное соединение 33 1-Бром-2-трет-бутилбензол Бром (0,25 мл) прибавляют по каплям в охлажденную колбу с трибромидом фосфора (0,47 мл). К полученной смеси прибавляют 2-трет-бутилфенол (3 г) и смесь нагревают при 230°С в течение 2,5 час. Охлажденную реакционную смесь распределяют между диэтиловым эфиром и 10% водным раствором тиосульфата натрия. Отделенный органический слой промывают 2н. раствором гидроксида калия, сушат (над сульфатом магния), концентрируют при пониженном давлении и получают неочищенное оранжевое масло. Остаток очищают хроматографией Biotage 1H ЯМР в CDCl3: d 1,50 (с, 9H), 7,02 (т, 1H), 7,23 (т, 1H), 7,42 (д, 1H), 7,59 (д, 1H) м.д. Промежуточное соединение 34 трет-Бутил(3S)-1-(3-фтор-2 Используя 1-йод-2-нитробензол и методику синтеза, описанную для промежуточного соединения 21, получают указанное в заголовке соединение. Масс-спектр: Найдено: МН+ 416 Промежуточное соединение 35 трет-Бутил(4 Используя промежуточное соединение 29 и методику синтеза, описанную для промежуточного соединения 21, получают указанное в заголовке соединение. Масс-спектр: Найдено: MNH4 + 399 Промежуточное соединение 36 трет-Бутил(4 Используя промежуточное соединение 28 и методику синтеза, описанную для промежуточного соединения 21, получают указанное в заголовке соединение. Масс-спектр: Найдено: MNH4 + 697 Промежуточное соединение 37 трет-Бутил(3S)-1-{5-[2-((метилсульфонил){[2-(триметилсилил)этокси]метил}амино)фенил]пиридин-2-ил}-2-оксопирролидин-3-илкарбамат Используя промежуточное соединение 32 и методику синтеза, описанную для промежуточного соединения 21, получают указанное в заголовке соединение. Масс-спектр: Найдено: МН+ 577 Промежуточное соединение 38 трет-Бутил(3S)-1-[5-(2-трет-бутилфенил)пиридин-2-ил]-2-оксопирролидин-3-илкарбамат Используя 1-йод-2-нитробензол и методику синтеза, описанную для промежуточного соединения 21, получают указанное в заголовке соединение. Масс-спектр: Найдено: МН+ 410 Промежуточное соединение 39 трет-Бутил(3S)-2-оксо-1-{5-[2-(трифторметил)фенил]пиридин-2-ил}пирролидин-3-илкарбамат Используя промежуточное соединение 10 и методику синтеза, описанную для промежуточного соединения 25, получают указанное в заголовке соединение. Масс-спектр: Найдено: МН+ 422 Промежуточное соединение 40 трет-Бутил (3S)-1-(5-{2-[(диметиламино)карбонил]фенил}пиридин-2-ил)-2-оксопирролидин-3-илкарбамат Используя 2-йод-N,N-диметилбензамид и методику синтеза, описанную для промежуточного соединения 21, получают указанное в заголовке соединение. Масс-спектр: Найдено: МН+ 425 Промежуточное соединение 41 трет-Бутил (3S)-1-[5-(2-цианофенил)пиридин-2-ил]-2-оксопирролидин-3-илкарбамат Используя 2-бромбензонитрил и методику синтеза, описанную для промежуточного соединения 21, получают указанное в заголовке соединение. Масс-спектр: Найдено: МН+ 379 Промежуточное соединение 42 трет-Бутил[2-(6-{(3S)-3-[трет-бутоксикарбонил)амино]-2-оксопирролидин-1-ил}пиридин-3-ил)фенил]сульфонил{[2-(триметилсилил)этокси]метил}карбамат Используя промежуточное соединение 28 и методику синтеза, описанную для промежуточного соединения 21, получают указанное в заголовке соединение. Масс-спектр: Найдено: МН+ 663 Промежуточное соединение 43 трет-Бутил(3S)-1-(5-{2-[(диметиламино)сульфонил]фенил}пиридин-2-ил)-2-оксопирролидин-3-илкарбамат Используя промежуточное соединение 31 и методику синтеза, описанную для промежуточного соединения 21, получают указанное в заголовке соединение. Масс-спектр: Найдено: МН+ 461 Промежуточное соединение 44 трет-Бутил [2-(6-{(3S)-3-[(трет-бутоксикарбонил)амино]-2-оксопирролидин-1-ил}пиридин-3-ил)фенил]сульфонил(метил)карбамат Используя промежуточное соединение 30 и методику синтеза, описанную для промежуточного соединения 21, получают указанное в заголовке соединение. Масс-спектр: Найдено: МН+ 547 Промежуточное соединение 45 трет-Бутил(3S)-1-(5-{2-[метил(метилсульфонил)амино]фенил}пиридин-2-ил-2-оксопирролидин-3-илкарбамат Используя промежуточное соединение 29 и методику синтеза, описанную для промежуточного соединения 21, получают указанное в заголовке соединение. Масс-спектр: Найдено: МН+ 461 Промежуточное соединение 46 трет-Бутил(3S)-1-[5-(2-изопропоксифенил)пиридин-2-ил]-2-оксопирролидин-3-илкарбамат Используя промежуточное соединение 26 и методику синтеза, описанную для промежуточного соединения 21, получают указанное в заголовке соединение. Масс-спектр: Найдено: МН+ 461 Промежуточное соединение 47 Гидрохлорид 4′-[(3S)-3-амино-2-оксопирролидин-1-ил]-3′-фтор-N-метил-1,1′-бифенил-2-сульфонамида Используя промежуточное соединение 35 и методику синтеза, описанную для промежуточного соединения 24, получают указанное в заголовке соединение. Масс-спектр: Найдено: МН– 362 Промежуточное соединение 48 Гидрохлорид 4 Используя промежуточное соединение 36 и методику синтеза, описанную для промежуточного соединения 24, получают указанное в заголовке соединение. Масс-спектр: Найдено: MNH4 + 367 Промежуточное соединение 49 Гидрохлорид N-(2-{6-[(3S)-3-амино-2-оксопирролидин-1-ил]пиридин-3-ил}фенил)метансульфонамида Используя промежуточное соединение 37 и методику синтеза, описанную для промежуточного соединения 24, получают указанное в заголовке соединение. Масс-спектр: Найдено: МН+ 346 Промежуточное соединение 50 Гидрохлорид (3S)-3-амино-1-[5-(2-трет-бутилфенил)пиридин-2-ил]пирролидин-2-она Используя промежуточное соединение 39 и методику синтеза, описанную для промежуточного соединения 24, получают указанное в заголовке соединение. Масс-спектр: Найдено: МН+ 346 Промежуточное соединение 51 Гидрохлорид (3S)-3-амино-1-{5-[2-(трифторметил)фенил]пиридин-2-ил}пирролидин-2-она Используя промежуточное соединение 38 и методику синтеза, описанную для промежуточного соединения 23, получают указанное в заголовке соединение. Масс-спектр: Найдено: МН+ 322 Промежуточное соединение 52 Гидрохлорид 2-{6-[(3S)-3-амино-2-оксопирролидин-1-ил]пиридин-3-ил}-N,N-диметилбензамида Используя промежуточное соединение 40 и методику синтеза, описанную для промежуточного соединения 24, получают указанное в заголовке соединение. Масс-спектр: Найдено: МН+ 325 Промежуточное соединение 53 Гидрохлорид 2-{6-[(3S)-3-амино-2-оксопирролидин-1-ил]пиридин-3-ил}бензонитрила Используя промежуточное соединение 41 и методику синтеза, описанную для промежуточного соединения 24, получают указанное в заголовке соединение. Масс-спектр: Найдено: МН+ 279 Промежуточное соединение 54 Гидрохлорид 2-{6-[(3S)-3-амино-2-оксопирролидин-1-ил]пиридин-3-ил}бензолсульфонамида Используя промежуточное соединение 42 и методику синтеза, описанную для промежуточного соединения 24, получают указанное в заголовке соединение. Масс-спектр: Найдено: МН+ 333 Промежуточное соединение 55 Гидрохлорид 2-{6-[(3S)-3-амино-2-оксопирролидин-1-ил]пиридин-3-ил}-N,N-диметилбензолсульфонамида Используя промежуточное соединение 43 и методику синтеза, описанную для промежуточного соединения 24, получают указанное в заголовке соединение. Масс-спектр: Найдено: МН+ 361 Промежуточное соединение 56 Гидрохлорид 2-{6-[(3S)-3-амино-2-оксопирролидин-1-ил]пиридин-3-ил}-N-метилбензолсульфонамида Используя промежуточное соединение 44 и методику синтеза, описанную для промежуточного соединения 24, получают указанное в заголовке соединение. Масс-спектр: Найдено: МН+ 347 Промежуточное соединение 57 Гидрохлорид N-(2-{6-[(3S)-3-амино-2-оксопирролидин-1-ил]пиридин-3-ил}фенил)-N-метилметансульфонамида Используя промежуточное соединение 45 и методику синтеза, описанную для промежуточного соединения 24, получают указанное в заголовке соединение. Масс-спектр: Найдено: МН+ 361 Промежуточное соединение 58 Гидрохлорид (3S)-3-амино-1-{5-[2-(метилсульфонил)фенил]пиридин-2-ил}пирролидин-2-она Используя промежуточное соединение 13 и методику синтеза, описанную для промежуточного соединения 24, получают указанное в заголовке соединение. Масс-спектр: Найдено: МН+ 332 Промежуточное соединение 59 Гидрохлорид (3S)-3-амино-1-{5-[2-(метилсульфонил)фенил]пиридин-2-ил}пирролидин-2-она Используя промежуточное соединение 46 и методику синтеза, описанную для промежуточного соединения 24, получают указанное в заголовке соединение. Масс-спектр: Найдено: МН+ 312 Промежуточное соединение 60 (3S)-3-Амино-1-(5-фенилпиридин-2-ил)пирролидин-2-он Используя промежуточное соединение 25 и методику синтеза, описанную для промежуточного соединения 24, получают указанное в заголовке соединение. Масс-спектр: Найдено: МН+ 254 Промежуточное соединение 61 трет-Бутиловый эфир [(S)-1-(5-бромтиазол-2-илкарбамоил)-3-гидроксипропил]-3-карбаминовой кислоты Используя химический подход, описанный для промежуточного соединения 8, получают указанное в заголовке соединение. Масс-спектр: Найдено: МН+ 379 Промежуточное соединение 62 трет-Бутиловый эфир [(S)-1-(бромтиазол-2-ил)-2-оксопирролидин-3-ил]карбаминовой кислоты Используя промежуточное соединение 61 и химический подход, описанный для промежуточного соединения 10, получают указанное в заголовке соединение. Масс-спектр: Найдено: МН+ 362 Промежуточное соединение 63 Гидрохлорид (S)-3-амино-1-(5-бромтиазол-2-ил)пирролидин-2-она Используя промежуточное соединение 62 и химические реакции, описанные для промежуточного соединения 23, получают указанное в заголовке соединение. Масс-спектр: Найдено: МН+ 262 Промежуточное соединение 64 [(S)-1-(5-Бромтиазол-2-ил)-2-оксопирролидин-3-ил]амид 6-хлорнафталин-2-сульфоновой кислоты Используя промежуточное соединение 63 и химический подход, описанный для примера 1, получают указанное в заголовке соединение. Масс-спектр: Найдено: МН+ 326 Промежуточное соединение 65 2-(5-Хлортиен-2-ил)-l,3-тиазол К смеси 2-бромтиазола (0,325 г) и 5-хлортиофен-2-бороновой кислоты (0,322 г) в DME (10 мл) в атмосфере азота прибавляют раствор карбоната натрия (0,546 г) в воде (10 мл), затем аддукт трис(дибензилиденацетон)дипалладий(0)-хлороформ (0,051 г) и раствор трифенилфосфина (0,052 г) в DME (10 мл). Смесь нагревают при 80°C в атмосфере азота в течение 18 час и концентрируют при пониженном давлении. Полученную водную смесь экстрагируют этилацетатом, сушат (над сульфатом магния), фильтруют и концентрируют при пониженном давлении. Остаток частично очищают методом SPE (силикагель, элюирование смесью циклогексан:этилацетат от 19:1 до 9:1) и получают недостаточно чистый образец указанного в заголовке соединения, часть которого (0,088 г) дополнительно очищают препаративной ТСХ (на пластине Whatman PK6F SiO2 60 Масс-спектр: Найдено: МН+ 202 Промежуточное соединение 66 N-Boc-N1-(2-фтор-4-бромфенил)-1-гомосеринамид Используя 2-фтор-4-броманилин и методику синтеза, описанную для промежуточного соединения 8, получают указанное в заголовке соединение. Масс-спектр: Найдено: МН+ 391 Промежуточное соединение 67 трет-Бутил (3S)-1-(2-фтор-4-бромфенил)-2-оксопирролидин-3-илкарбамат Используя промежуточное соединение 66 и методику синтеза, описанную для промежуточного соединения 11, получают указанное в заголовке соединение. Масс-спектр: Найдено: MH+ 373 Промежуточное соединение 68 Гидрохлорид (3S)-3-амино-1-(2-фтор-4-йодфенил)пирролидин-2-она К промежуточному соединению 11 (5,23 г) прибавляют 4н. раствор соляной кислоты в диоксане (70 мл) и перемешивают при комнатной температуре в течение 45 мин. Смесь концентрируют при пониженном давлении и остаток растирают в диэтиловом эфире. Твердое вещество отфильтровывают, промывают, сушат, получая указанное в заголовке соединение (3,79 г) в виде белого твердого вещества. Масс-спектр: Найдено: MH+ 321 Используя аналогичный химический подход и промежуточное соединение 67, получают следующее соединение: Промежуточное соединение 69 Гидрохлорид (3S)-3-амино-1-(2-фтор-4-бромфенил)пирролидин-2-она Масс-спектр: Найдено: МН+ 273 Промежуточное соединение 70 6-Хлор-N-[(3S)-1-(2-фтор-4-йодфенил)-2-оксопирролидин-3-ил]нафталин-2-сульфонамид Используя промежуточное соединение 68 и методику синтеза, описанную в примере 1, получают указанное в заголовке соединение. Масс-спектр: Найдено: МН+ 545 Используя аналогичный химический подход и промежуточное соединение 69, получают следующее соединение: Промежуточное соединение 71 N-[(3S)-1-(4-Бром-2-фторфенил)-2-оксопирролидин-3-ил]-6-хлорнафталин-2-сульфонамид Масс-спектр: Найдено: МН+ 497 Промежуточное соединение 72 трет-Бутил (3S)-1-(4-{2-[(диметиламино)метил]-1H-имидазол-1-ил}-2-фторфенил)-2-оксопирролидин-3-илкарбамат Йодид меди (I) прибавляют к смеси промежуточного соединения 11 (0,420 г), N-(lH-имидазол-2-илметил)-N,N-диметиламина (0,327 г) и карбоната калия (0,345 г) в диметилсульфоксиде (2,5 мл) в атмосфере азота, которую четыре раза дегазируют в цикле вакуум/азот. Полученную смесь дегазируют еще четыре раза тем же способом и затем нагревают при 123°C в течение 18 час. После охлаждения до 45°C прибавляют 17% раствор гидроксида аммония (5 мл) и смесь перемешивают при комнатной температуре в течение 1,5 час. Смесь распределяют между этилацетатом и водой. Отделенную водную фазу дополнительно экстрагируют этилацетатом и объединенные органические экстракты промывают насыщенным раствором соли, затем экстрагируют в 10% лимонную кислоту. Данный раствор нейтрализуют 2н. раствором NaOH и экстрагируют в ДХМ. Объединенные органические экстракты сушат (над сульфатом магния) и концентрируют при пониженном давлении, получая указанное в заголовке соединение (0,390 г) в виде пены желто-коричневого цвета. Масс-спектр: Найдено: MH+ 418 Промежуточное соединение 73 4-Пропилпиридин-3-илбороновая кислота Раствор 3-бром-4-пропилпиридина (4,6 г) в тетрагидрофуране (20 мл) прибавляют по каплям к раствору н-бутиллития (15,4 мл, 1,62 M в смеси гексанов) в тетрагидрофуране (100 мл) при -95°C в атмосфере азота. Раствор отогревают до -78°C, перемешивают в течение 5 мин и обрабатывают по каплям триизопропилборатом (6,0 г) в тетрагидрофуране (10 мл). Полученную суспензию оставляют согреваться до комнатной температуры, перемешивают в течение 30 мин и обрабатывают водой (200 мл). Смесь нейтрализуют соляной кислотой (2н., около 12 мл) и экстрагируют диэтиловым эфиром. Высушенные (над сульфатом магния) органические экстракты концентрируют при пониженном давлении, получая указанное в заголовке соединение (1,75 г) в виде бледно-желтого твердого вещества. Масс-спектр: Найдено: МН+ 166 Промежуточное соединение 74 трет-Бутил (3S)-1-[4-(2-хлорпиридин-3-ил)-2-фторфенил]-2-оксопирролидин-3-илкарбамат Смесь промежуточного соединения 18 (0,084 г), комплекса 1,1 Масс-спектр: Найдено: МН+ 406 Промежуточное соединение 75 трет-Бутил (3S)-1-[4-(2-цианопиридин-3-ил)-2-фторфенил]-2-оксопирролидин-3-илкарбамат Используя промежуточное соединение 18, 3-бром-2-цианопиридин и методики синтеза, описанные для промежуточного соединения 74, получают указанное в заголовке соединение (0,053 г). Масс-спектр: Найдено: МН+ 397 Промежуточное соединение 76 (3S)-3-Амино-1-[4-(3-хлорпиридин-4-ил)-2-фторфенил]пирролидин-2-он трифторацетат Раствор промежуточного соединения 11 (0,420 г) и тетракистрифенилфосфинпалладия(0) (0,025 г) в дегазированном диметоксиэтане (20 мл) очищают азотом в течение 5 мин. Прибавляют пентагидрат 3-хлорпиридин-4-илбороновой кислоты (0,248 г) и дегазируют 0,5 М раствором карбоната натрия (6 мл). Полученный раствор нагревают при 85°С в течение 3 час. Затем реакционную смесь концентрируют при пониженном давлении и распределяют между ДХМ и водой. Отделенный органический слой сушат гидрофобной фриттой, загружают в колонку для SPE (SCX-2) (силикагель, элюирование метанолом, затем смесью 1н. аммиак/метанол) и получают трет-бутил(3S)-1-[4-(2-хлорпиридин-4-ил)-2-фторфенил]-2-оксопирролидин-3-илкарбамат (0,269 г). Данное вещество затем растворяют в дихлорметане (10 мл), прибавляют трифторуксусную кислоту (1 мл) и раствор перемешивают при комнатной температуре в течение 2 час. Раствор концентрируют при пониженном давлении, получая указанное в заголовке соединение (0,205 г) в виде коричневого масла. Масс-спектр: Найдено: МН+ 306 Промежуточное соединение 77 трет-Бутил (3S)-1-(2-фтор-4-пиримидин-2-илфенил)-2-оксопирролидин-3-илкарбамат Используя промежуточное соединение 18, 2-бромпиримидин и методики синтеза, описанные для промежуточного соединения 74, получают указанное в заголовке соединение. Масс-спектр: Найдено: МН+ 372 Промежуточное соединение 78 трет-Бутил (3S)-1-[4-(3-хлорпиридин-2-ил)-2-фторфенил]-2-оксопирролидин-3-илкарбамат Смесь промежуточного соединения 18 (0,25), тетракистрифенилфосфинпалладия(0) (0,025 г), 2,3-дихлорпиридина (0,074 г), 2M раствора фосфата калия (0,5 мл) и толуола (1,5 мл) нагревают при 80°C в течение 18 час. Реакционную смесь разбавляют ДХМ и сушат (с помощью гидрофобной фритты). Неочищенный раствор очищают SPE (SCX-2, элюирование метанолом, затем 0,5 М аммиака в метаноле), получая указанное в заголовке соединение (0,086 г) в виде коричневой смолы. Масс-спектр: Найдено: MH+ 406 Промежуточное соединение 79 Этил 2-(5-хлортиен-2-ил)-2-гидроксипропан-1-сульфонат Раствор этилметансульфоната (4,97 г) в ТГФ (20 мл) прибавляют по каплям к раствору литийгексаметилдисилиламина (42,0 мл 1M раствора в THF плюс 20 мл ТГФ) при -78°C в атмосфере азота и полученный раствор перемешивают в течение 30 мин. Прибавляют раствор 2-ацетил-5-хлортиофена (6,75 г) в ТГФ (70 мл) в течение 15 мин и поддерживают температуру -78°C в течение 90 мин. Реакцию гасят насыщенным водным раствором хлорида аммония и смесь экстрагируют этилацетатом. Объединенные органические фракции промывают насыщенным раствором соли; сушат (над сульфатом магния) и концентрируют при пониженном давлении; получают сырой продукт в виде масла, которое очищают хроматографией Biotage 1H ЯМР (CDCl3): d 6,79 (1H, д), 6,73 (1H, д), 4,26 (2H, м), 4,14 (1H, с), 3,32 (1H, д), 3,52 (1H, д), 1,8 (3H, с), 1,36 (3H, т) м.д. Промежуточное соединение 80 Этил (1E)-2-(5-хлортиен-2-ил)проп-1-ен-1-сульфонат К раствору промежуточного соединения 79 (10,9 г) в ДХМ (300 мл), охлажденному до 0°C, в атмосфере азота, прибавляют по каплям метансульфоновую кислоту (15,0 мл) и перемешивают в течение 90 мин, затем прибавляют насыщенный водный раствор бикарбоната натрия, затем воду и насыщенный раствор соли. Слои разделяют и водный слой экстрагируют ДХМ; органические фракции объединяют, промывают насыщенным раствором соли, сушат (над сульфатом магния) и концентрируют при пониженном давлении. Сырой продукт очищают хроматографией с использованием Biotage 1H ЯМР (CDCl3): d 7,16 (1H, д), 6,92 (1H, д), 6,47 (1H, д), 4,26 (2H, к), 2,50 (3H, д), 1,42 (3H, т) м.д. Промежуточное соединение 81 (1E)-2-(5-Хлортиен-2-ил)проп-1-ен-1-сульфонилхлорид Тетрабутиламмониййодид (4,03 г) прибавляют к раствору промежуточного соединения 80 (2,9 г) в ацетоне (180 мл) в атмосфере азота и раствор нагревают и кипятят с обратным холодильником в течение 17 час. Раствор охлаждают, концентрируют при пониженном давлении, получая желто-коричневое твердое вещество. Данное вещество перемешивают в оксихлориде фосфора (30 мл) при комнатной температуре в течение 3,5 час, после чего летучие вещества концентрируют при пониженном давлении, а остаток дважды упаривают вместе с толуолом. Остаток очищают хроматографией с использованием Biotage 1H ЯМР (CDCl3): d 7,31 (1H, д), 6,99 (1H, д), 6,96 (1H, к), 2,64 (3H, д) м.д. Промежуточное соединение 82 трет-Бутил (1S)-1-{[(2-фтор-4-нитрофенил)амино]карбонил}-3-гидроксипропилкарбамат Используя методику синтеза, описанную для промежуточного соединения 8, получают указанное в заголовке соединение. Масс-спектр: Найдено: MH+ 358 Аналогично получают нижеследующие соединения: Промежуточное соединение 83 трет-Бутил (1S)-1-{[(4-циано-2-фторфенил)амино]карбонил)-3-гидроксипропилкарбамат Масс-спектр: Найдено: MH+ 338 Промежуточное соединение 84 трет-Бутил (1S)-1-{[(2,4-дихлорфенил)амино]карбонил-3-гидроксипропилкарбамат Масс-спектр: Найдено: MH+ 363 Промежуточное соединение 85 трет-Бутил (1S)-1-{[(4-трет-бутил-l,3-тиазол-2-ил)амино]карбонил}-3-гидроксипропилкарбамат Масс-спектр: Найдено: MH+ 357 Промежуточное соединение 86 трет-Бутил (1S)-1-({[4-(бензилокси)фенил]амино)карбонил)-3-гидроксипропилкарбамат Масс-спектр: Найдено: MH+ 400 Промежуточное соединение 87 трет-Бутил (1S)-1-({[4-(диметиламино)фенил]амино}карбонил}-3- гидроксипропилкарбамат Масс-спектр: Найдено: MH+ 337 Промежуточное соединение 88 трет-Бутил (1S)-1-([(4-трет-бутилфенил)амино]карбонил}-3-гидроксипропилкарбамат Масс-спектр: Найдено: MH+ 350 Промежуточное соединение 89 трет-Бутил (1S)-1-[(2,3-дигидро-1H-инден-5-иламино)карбонил]-3-гидроксипропилкарбамат Масс-спектр: Найдено: MH+ 334 Промежуточное соединение 90 трет-Бутил (1S)-3-гидрокси-1-{[(4-феноксифенил)амино]карбонил}пропилкарбамат Масс-спектр: Найдено: MH+ 386 Промежуточное соединение 91 трет-Бутил (1S)-3-гидрокси-1-[(1,3-тиазол-2-иламино)карбонил]пропилкарбамат Масс-спектр: Найдено: MH+ 302 Промежуточное соединение 92 трет-Бутил (lS)-1-[(1,3-бензотиазол-2-иламино)карбонил]-3-гидроксипропилкарбамат Масс-спектр: Найдено: MH+ 352 Промежуточное соединение 93 трет-Бутил (1S)-1-{[(3-фтор-4-морфолин-4-илфенил)амино]карбонил}-3-гидроксипропилкарбамат Масс-спектр: Найдено: MH+ 398 Промежуточное соединение 94 трет-Бутил (1S)-3-гидрокси-1-{[(пиразин-2-ил)амино]карбонил}пропилкарбамат Масс-спектр: Найдено: MH+ 297 ВЭЖХ (1) RT 2,12 мин Промежуточное соединение 95 трет-Бутил (3S)-1-(2-фтор-4-нитрофенил)-2-оксопирролидин-3-илкарбамат Используя методику синтеза, описанную для промежуточного соединения 10, получают указанное в заголовке соединение Масс-спектр: Найдено: MH+ 340 Аналогично получают нижеследующие соединения: Промежуточное соединение 96 трет-Бутил (3S)-1-(4-циано-2-фторфенил)-2-оксопирролидин-3-илкарбамат Масс-спектр: Найдено: MH+ 320 Промежуточное соединение 97 трет-Бутил (3S)-1-(2,4-дихлорфенил)-2-оксопирролидин-3-илкарбамат Масс-спектр: Найдено: MH+ 345 Промежуточное соединение 98 трет-Бутил (3S)-1–(4-трет-бутил–1,3-тиазол-2-ил)-2-оксопирролидин-3-илкарбамат Масс-спектр: Найдено: MH(- Boc)+ 240 Промежуточное соединение 100 трет-Бутил (3S)-1-(4-трет-бутилфенил)-2-оксопирролидин-3-илкарбамат Масс-спектр: Найдено: MH+ 333 Промежуточное соединение 101 трет-Бутил(3S)-1–(2,3-дигидро-1H-инден-5-ил)-2-оксопирролидин-3-илкарбамат Масс-спектр: Найдено: MH(- Boc)+ 217 Промежуточное соединение 102 трет-Бутил (3S)-2-оксо-1-(4-феноксифенил)пирролидин-3-илкарбамат Масс-спектр: Найдено: MH(- Boc)+ 269 Промежуточное соединение 103 трет-Бутил (3S)-2-оксо-1-(1,3-тиазол-2-ил)пирролидин-3-илкарбамат Масс-спектр: Найдено: MH+ 284 Промежуточное соединение 104 трет-Бутил (3S)-1-(l,3-бензотиазол-2-ил)-2-оксопирролидин-3-илкарбамат Масс-спектр: Найдено: MH+ 334 Промежуточное соединение 105 трет-Бутил (3S)-1-(2-фтор-4-изопропенилфенил)-2-оксопирролидин-3-илкарбамат К раствору 2-бромпропена (0,18 мл) в безводном ТГФ (3 мл), охлажденному до -78°C в атмосфере азота, медленно прибавляют раствор н-бутиллития (2,5 М в смеси гексанов, 0,86 мл). Смесь перемешивают дополнительно в течение 15 мин и затем медленно прибавляют раствор хлорида цинка (1М в диэтиловом эфире, 2,14 мл). Полученный раствор перемешивают в течение еще 30 мин при -78°C в атмосфере азота, затем прибавляют его к раствору промежуточного соединения 11 (0,300 г) и дихлорбис(трифенилфосфин)палладию(II) (0,060 г) в безводном ТГФ (3,5 мл), охлажденному до -78°C. Реакционной смеси дают согреться до температуры окружающей среды и перемешивают дополнительно в течение 20 час. Реакционную смесь концентрируют при пониженном давлении и остаток распределяют между водным раствором хлорида аммония и ДХМ. Органические фазы концентрируют при пониженном давлении и полученный сырой продукт очищают хроматографией Biotage Масс-спектр: Найдено: MH+ 335 ВЭЖХ (l) Rt 3,19 мин Промежуточное соединение 106 трет-Бутил (3S)-1-[2-фтор-4-(lH-имидазол-1-ил)фенил]-2-оксопирролидин-3-илкарбамат Смесь промежуточного соединения 11 (0,420 г), 1Н-имидазола (0,068 г), йодида меди (I) (0,0048 г), фосфата калия (0,446 г) и транс-диаминоциклогексана в диоксане (2 мл) нагревают при 110°C в атмосфере азота в течение 43 час. Реакционную смесь распределяют между ДХМ и водой. Органические фазы сушат (гидрофобной фриттой), загружают в колонку для SPE (элюирование ДХМ, метанолом и наконец смесью 0,5 M аммиак/метанол) и получают неочищенный образец указанного в заголовке соединения. После дополнительной очистки SPE (силикагель, элюирование ДХМ, хлороформом, диэтиловым эфиром) получают указанное в заголовке соединение (0,05 г) в виде белого твердого вещества. Масс-спектр: Найдено: MH+ 361 ВЭЖХ (l) Rt 2,17 мин Используя аналогичный химический подход, получают следующие соединения: Промежуточное соединение 107 трет-Бутил (3S)-1-[2-фтор-4-(4-метил-lН-имидазол-1-ил)фенил]-2-оксопирролидин-3-илкарбамат Масс-спектр: Найдено: MH+ 375 Промежуточное соединение 108 трет-Бутил (3S)-1-[2-фтор-4-(lН-пиразол-1-ил)фенил]-2-оксопирролидин-3-илкарбамат Масс-спектр: Найдено: MH+ 361 Промежуточное соединение 109 трет-Бутил (3S)-1-(пиразин-2-ил)-2-оксопирролидин-3-илкарбамат Масс-спектр: Найдено: MH+ 279 Промежуточное соединение 110 Дигидрохлорид (3S)-3-амино-1-(5-йодпиридин-2-ил)пирролидин-2-она Используя методику синтеза, описанную для промежуточного соединения 24, получают указанное в заголовке соединение. Масс-спектр: Найдено: MH+ 304 Используя аналогичный химический подход, получают следующие соединения: Пример 111 Гидрохлорид (3S)-3-амино-1-(2-фтор-4-нитрофенил)пирролидин-2-она Масс-спектр: Найдено: MH+ 240 Пример 112 Гидрохлорид 4-[(3S)-3-амино-2-оксопирролидин-1-ил]-3-фторбензонитрила Масс-спектр: Найдено: MH+ 220 Промежуточное соединение 113 (3S)-3-Амино-1-(2-фтор-4-изопропенилфенил)пирролидин-2-он Масс-спектр: Найдено: MH+ 235 Промежуточное соединение 114 Дигидрохлорид 4-N-(3S)-3-амино-1-(пиразин-2-ил)пирролидин-2-она Масс-спектр: Найдено: MH+ 179 Промежуточное соединение 115 (3S)-3-Амино-1-(3-фтор-4-морфолин-4-илфенил)пирролидин-2-он Смесь диизопропилазодикарбоксилата (0,288 г) и три-н-бутилфосфина (0,45 мл) в сухом ТГФ (2 мл) перемешивают при комнатной температуре в атмосфере азота в течение 5 мин. Затем полученный раствор по каплям прибавляют к раствору трет-бутил (1S)-1-{[(3-фтор-4-морфолин-4-илфенил)амино]карбонил}-3-гидроксипропилкарбамата (0,379 г) в сухом ТГФ (4 мл) и перемешивают в течение 20 час при температуре окружающей среды. Смесь концентрируют при пониженном давлении, получая кремово-белое твердое вещество (1,09 г), которое обрабатывают смесью ДХМ/ТГФ 1:1 (9 мл). После выдерживания при комнатной температуре в течение 3,5 час реакционную смесь концентрируют при пониженном давлении и получают масло, которое подщелачивают насыщенным водным раствором бикарбоната натрия. Экстракцией ДХМ получают светло-коричневое масло (0,913 г). Полученный неочищенный продукт растворяют в метаноле, загружают в ионнообменный SCX-2 картридж (элюирование метанолом и смесью концентрированный водный раствор аммиака/метанол 1:9), получая указанное в заголовке соединение (0,25 г) в виде белого твердого вещества. Масс-спектр: Найдено: MH+ 280 Промежуточное соединение 116 Дигидрохлорид 4-N(3S)-3-Амино-1-(пиразин-2-ил)пирролидин-2-она Масс-спектр: Найдено: MH+ 179 Промежуточное соединение 117 трет-Бутил (3S)-1-{4-[(диметиламино)карбонил]-2-фторфенил}-2-оксопирролидин-3-илкарбамат Раствор трет-бутил (3S)-1-(2-фтор-4-йодфенил)-2-оксопирролидин-3-илкарбамата (0,6 г) в сухом N,N-диметилформамиде (8 мл) обрабатывают 2н. раствором диметиламина в тетрагидрофуране (3,56 мл) и хлоридом бис(трифенилфосфин)палладия(II) (0,06 г). В полученную смесь барботируют газообразный монооксид углерода в течение 10 мин и затем при избыточном давлении монооксида углерода реакционную смесь нагревают при 80°C в течение 18 час. Охлажденную реакционную смесь концентрируют при пониженном давлении, распределяя остаток между этилацетатом и водой. Отделенный органический слой сушат (над сульфатом магния), концентрируют при пониженном давлении и получают неочищенный продукт, который растворяют в минимальном количестве ДХМ и помещают на предварительно обработанную фазу силикагеля для SPE (элюирование смесью циклогексан : этилацетат 10:1, 5:2 и чистым этилацетатом). Получают указанное в заголовке соединение (0,188 г) в виде белого порошка. Масс-спектр: Найдено: MH+ 366 Используя аналогичный химический подход, получают следующие соединения: Промежуточное соединение 118 трет-Бутил (3S)-1-[2-фтор-4-(пирролидин-1-илкарбонил)фенил]-2-оксопирролидин-3-илкарбамат Масс-спектр: Найдено: MH+ 392 Промежуточное соединение 119 трет-Бутил (3S)-1-[5-(аминокарбонил)пиридин-2-ил]-2-оксопирролидин-3-илкарбамат Масс-спектр: Найдено: MH+ 321 Промежуточное соединение 120 Ди(трет-бутил) (3S)-1-[4-(аминокарбонил)-2-фторфенил]-2-оксопирролидин-3-илимидодикарбонат Масс-спектр: Найдено: MH+ 438 Промежуточное соединение 121 трет-Бутил (3S)-1-{2-фтор-4-[(метиламино)карбонил]фенил}-2-оксопирролидин-3-илкарбамат Масс-спектр: Найдено: MH+ 352 Промежуточное соединение 122 трет-Бутил(3S)-1-(2-фтор-4-{[изопропил(метил)амино]карбонил}фенил)-2-оксопирролидин-3-илкарбамат Масс-спектр: Найдено: MH+ 394 Промежуточное соединение 123 (3S)-3-Амино-1-[2-фтор-4-(пирролидин-1-илкарбонил)фенил]пирролидин-2-он Масс-спектр: Найдено: MH+ 292 Промежуточное соединение 124 Гидрохлорид 6-[(3S)-3-амино-2-оксопирролидин-1-ил]никотинамид Данное вещество в неочищенном виде используют на следующей стадии в серии синтезов. Промежуточное соединение 125 Гидрохлорид 4-[(3S)-3-амино-2-оксопирролидин-1-ил]-3-фторбензамида Данное вещество в неочищенном виде используют на следующей стадии в серии синтезов. Промежуточное соединение 126 Гидрохлорид 4-[(3S)-3-амино-2-оксопирролидин-1-ил]-3-фтор-N-метилбензамида Масс-спектр: Найдено: MH+ 252 Промежуточное соединение 127 Гидрохлорид 4-[(3S)-3-амино-2-оксопирролидин-1-ил]-3-фтор-N,N-диметилбензамида Масс-спектр: Найдено: MH+ 266 Промежуточное соединение 128 Гидрохлорид 4-[(3S)-3-амино-2-оксопирролидин-1-ил]-3-фтор-N-изопропил-N-метилбензамида Масс-спектр: Найдено: MH+ 294 Промежуточное соединение 129 Ди(трет-бутил)(3S)-1-(2-фтор-4-йодфенил)-2-оксопирролидин-3-илимидодикарбонат трет-Бутил (3S)-1-(2-фтор-4-йодофенил)-2-оксопирролидин-3-илкарбамат (1,0 г), суспендированный в сухом ацетонитриле (l0 мл), при 0°C обрабатывают ди-трет-бутилдикарбонатом (0,571 г) в сухом ацетонитриле (2,5 мл) и 4-(диметиламино)пиридином (0,05 г). Реакционную смесь согревают до температуры окружающей среды в атмосфере азота и перемешивают в течение 3,5 час. К полученной смеси дополнительно прибавляют ди-трет-бутилдикарбонат (0,571 г) в сухом ацетонитриле (2,5 мл) и 4-(диметиламино)пиридин (0,05 г) и оставляют перемешиваться в течение 18 час в атмосфере азота. Растворитель удаляют при пониженном давлении, остаток распределяют между этилацетатом и насыщенным раствором бикарбоната натрия. Отделенный органический слой промывают водой, сушат (над сульфатом магния) и концентрируют при пониженном давлении. Остаток растворяют в минимальном количестве ДХМ и загружают в предварительно обработанную систему для SPE (силикагель, элюирование смесью циклогексан:этилацетат от 20:1 до 9:1), получая указанное в заголовке соединение (0,991 г) в виде белого твердого вещества. Масс-спектр: Найдено: MH+ 521 Промежуточное соединение 130 трет-Бутил (3S)-1-(4-ацетил-2-фторфенил)-2-оксопирролидин-3-илкарбамат Дегазированный раствор трет-бутил (3S)-1-(2-фтор-4-йодфенил)-2-оксопирролидин-3-илкарбамата (1,05 г) в сухом N,N-диметилформамиде (20 мл) последовательно обрабатывают карбонатом натрия (0,42 г), триэтиламином (0,67 мл), простым бутилвиниловым эфиром (1,62 мл), 1,3-бис(дифенилфосфино)пропаном (0,124 г) и ацетатом палладия(II) (0,034 г). Смесь нагревают при 80°C в атмосфере азота в течение 7 час, дают охладиться и перемешивают в течение 18 час. Растворитель удаляют при пониженном давлении и неочищенный остаток обрабатывают 0,1% муравьиной кислотой, водой (10 мл) и ацетонитрилом (10 мл). Смесь перемешивают при температуре окружающей среды в течение 4 час, затем концентрируют при пониженном давлении. Остаток растворяют в минимальном количестве ДХМ и загружают в предварительно обработанную систему для SPE (силикагель, элюирование смесью циклогексан : этилацетат 5:1 до чистого этилацетата), получая указанное в заголовке соединение (0,362 г) в виде желтого порошка. Масс-спектр: Найдено: MH+ 337 Используя аналогичный химический подход, получают следующие соединения: Промежуточное соединение 131 трет-Бутил (3S)-1-(5-ацетилпиридин-2-ил)-2-оксопирролидин-3-илкарбамат Масс-спектр: Найдено: MH+ 320 Промежуточное соединение 132 Гидрохлорид (3S)-1-(4-ацетил-2-фторфенил)-3-аминопирролидин-2-она Масс-спектр: Найдено: MH+ 237 Промежуточное соединение 133 Гидрохлорид (3S)-1-(5-ацетилпиридин-2-ил)-3-аминопирролидин-2-она Масс-спектр: Найдено: MH+ 220 Промежуточное соединение 134 (E)-N-{(3S)-1-[4-(1-Бромэтил)-2-фторфенил]-2-оксопирролидин-3-ил}-2-(5-[хлортиен-2-ил)этенсульфонамид Раствор (E)-2-(5-хлортиен-2-ил)-N-{(3S)-1-[2-фтор-4-(l-гидроксиэтил)фенил]-2-оксопирролидин-3-ил}этенсульфонамида (пример 135) (0,149 г) в сухом ДХМ (6 мл) при 0°C обрабатывают тетрабромидом углерода (0,136 г) при перемешивании в течение 5 мин. К полученной смеси порциями прибавляют трифенилфосфин (0,106 г), реакционную смесь перемешивают при 0°C в течение 2 час, затем дополнительно прибавляют тетрабромид углерода (0,136 г) и трифенилфосфин (0,106 г). Реакционную смесь согревают до температуры окружающей среды и перемешивают в течение 18 час в атмосфере азота. Полученную смесь разбавляют ДХМ и промывают водой. Отделенный органический слой сушат (с помощью гидрофобных фритт), концентрируют при пониженном давлении, доводя смесь до меньшего объема, и загружают в предварительно обработанную систему для SPE (силикагель, элюирование смесью циклогексан : этилацетат от 10:1 до 2:1), получая указанное в заголовке соединение (0,09 г) в виде твердого вещества бежевого цвета. Масс-спектр: Найдено: MH– 506 Промежуточное соединение 135 (E)-2-(5-Хлортиен-2-ил)-N-((3S)-1-{4-[1-(диформиламино)этил]-2-фторфенил}-2-оксопирролидин-3-ил)этенсульфонамид Раствор промежуточного соединения 134 (0,09 г) в сухом N,N-диметилформамиде (4 мл) обрабатывают диформамидом натрия (0,019 г) и затем нагревают при 50°C в атмосфере азота в течение 3,5 час. Реакционную смесь охлаждают до температуры окружающей среды и растворитель удаляют при пониженном давлении, остаток распределяют между ДХМ и водой. Отделенный органический слой сушат (с помощью гидрофобных фритт), повторно концентрируют при пониженном давлении, получая указанное в заголовке соединение (0,075 г) в виде оранжевой смолы. Масс-спектр: Найдено: MH– 498 Промежуточное соединение 136 трет-Бутил (3S)-1-[2-фтор-4-(изопропиламино)фенил]-2-оксопирролидин-3-илкарбамат Раствор трет-бутил (3S)-1-(4-амино-2-фторфенил)-2-оксопирролидин-3-илкарбамата (0,329 г) в этиловом спирте (4 мл) обрабатывают сухим ацетоном (0,118 мл) и изопропоксидом титана (IV) (0,106 мл), полученную смесь оставляют перемешиваться при температуре окружающей среды в течение 18 час. Прибавляют порциями натрийборгидрид (0,027 г) и реакционную смесь перемешивают в течение 3 час, затем гасят 35% водным аммиаком (1 мл). Образовавшийся осадок удаляют фильтрованием, фильтрат концентрируют при пониженном давлении. Сырой продукт помещают в минимальное количество ДХМ и загружают в предварительно обработанную систему для SPE (силикагель, элюирование смесью циклогексан : этилацетат от 10:1 до 1:2), получая указанное в заголовке соединение (0,080 г) в виде желтого порошка. Масс-спектр: Найдено: MH+ 352 Промежуточное соединение 137 трет-Бутил (3S)-1-[2-фтор-4-(изобутириламино)фенил]-2-оксопирролидин-3-илкарбамат трет-Бутил (3S)-1-(4-амино-2-фторфенил)-2-оксопирролидин-3-илкарбамат (0,133 г) растворяют в ДХМ (4 мл) и полученную смесь охлаждают до 0°C с помощью бани из льда и соли. Прибавляют по каплям 2-метилпропаноилхлорид (0,041 мл), полученную смесь оставляют на 4 часа, затем концентрируют при пониженном давлении и получают белое твердое вещество, которое очищают методом SPE (бензолсульфоновая кислота на силикагеле, элюирование метанолом), получая указанное в заголовке соединение (0,086 г) в виде твердого белого вещества. Масс-спектр: Найдено: MH+ 380 Используя аналогичный химический подход, получают следующие соединения: Промежуточное соединение 138 трет-Бутил (3S)-1-[4-(ацетиламино)-2-фторфенил]-2-оксопирролидин-3-илкарбамат Масс-спектр: Найдено: MH+ 352 Промежуточное соединение 139 трет-Бутил (3S)-1-[2-фтор-4-(пропиониламино)фенил]-2-оксопирролидин-3-илкарбонат Масс-спектр: Найдено: MH+ 366,2 Промежуточное соединение 140 трет-Бутил (3S)-1-{2-фтор-4-[формил(изопропил)амино]фенил}-2-оксопирролидин-3-илкарбамат К уксусному ангидриду (0,718 мл) прибавляют 98% муравьиную кислоту (0,344 мл) при 0°C. Полученную смесь нагревают при 60°C в течение 2 час, охлаждают до температуры окружающей среды и разбавляют сухим тетрагидрофураном (6 мл). Реакционную смесь опять охлаждают до 0°C и прибавляют по каплям раствор трет-бутил (3S)-1-[2-фтор-4-(изопропиламино)фенил]-2-оксопирролидин-3-илкарбамата (0,10 г) в сухом тетрагидрофуране (6 мл), затем смесь оставляют согреваться до комнатной температуры и перемешивают в течение 2 час. Растворитель удаляют при пониженном давлении, получая указанное в заголовке соединение (0,10 г) в виде смолы розового цвета. Масс-спектр: Найдено: MNH4 + 297 Промежуточное соединение 141 N-{4-[(3S)-3-Амино-2-оксопирролидин-1-ил]-3-фторфенил}-2-метилпропанамид трет-Бутил (3S)-1-[2-фтор-4-(изобутириламино)фенил]-2-оксопирролидин-3-илкарбамат (0,086 г) растворяют в метаноле (2 мл) и охлаждают до 0°C с помощью бани соль/лед. Прибавляют по каплям ацетилхлорид (1 мл) и смесь оставляют согреваться до комнатной температуры, затем перемешивают в течение 1,5 час, концентрируют в токе азота, получая указанное в заголовке соединение (0,063 г) в виде прозрачной смолы. Масс-спектр: Найдено: MH+ 280 Используя аналогичный химический подход, получают следующие соединения: Промежуточное соединение 142 N-{4-[(3S)-3-Амино-2-оксопирролидин-1-ил]-3-фторфенил}ацетамид Масс-спектр: Найдено: MH+ 252,2 Промежуточное соединение 143 N-{4-[(3S)-3-Амино-2-оксопирролидин-1-ил]-3-фторфенил}пропанамид Масс-спектр: Найдено: MH+ 266 Промежуточное соединение 144 Гидрохлорид 4-[(3S)-3-Амино-2-оксопирролидин-1-ил]-3-фторфенил(изопропил)формамида Масс-спектр: Найдено: MH+ 297 Промежуточное соединение 145 2-(2-Бромэтил)-5-хлортиофен К раствору 2-(5-хлор-2-тиенил)этанола* (12,2 г) и трифенилфосфина (21,4 г) в безводном ТГФ (150 мл) при 0°C прибавляют тетрабромид углерода (27,5 г). Реакционную смесь перемешивают при 5°C в течение 15 мин, затем при комнатной температуре в течение 2,5 час. Прибавляют эфир, реакционную смесь затем фильтруют, а фильтрат концентрируют. Полученный остаток очищают флэш-хроматографией на колонке (силикагель, элюирование смесью циклогексан:ДХМ 8:1), получая указанное в заголовке соединение (15 г) в виде масла. 1H ЯМР в CDCl3: d 3,27 (2H, т, J=8 Гц), 3,53 (2H, т, J=8 Гц), 6,66 (1H, д, J=4 Гц), 6,76 (1H, д, J=4 Гц) м.д. * Schick et al., J.Amer. Chem. Soc., 70, 1948, 1646. Промежуточное соединение 146 2-(5-Хлортиен-2-ил)этансульфонилхлорид К перемешиваемому раствору промежуточного соединения 145 (14 г) в ацетоне (125 мл) прибавляют водный раствор сульфита натрия (10,5 г в 125 мл воды). Реакционную смесь нагревают и кипятят с обратным холодильником в течение 18 час, затем концентрируют и получают твердое вещество розового цвета, которое сушат в вакууме при 50°C в течение 18 час. Суспензию соли в оксихлориде фосфора (90 мл) нагревают при 150°C в течение 2,5 час. Реакционную смесь концентрируют, к полученному остатку прибавляют ДХМ и воду. Органическую часть собирают, концентрируют и полученное масло очищают флэш-хроматографией на колонке (силикагель, элюирование смесью петролейный эфир/толуол 7:3), получая указанное в заголовке соединение (12,47 г) в виде коричневого масла. 1H ЯМР в CDCl3: Промежуточное соединение 147 трет-Бутил (3S)-1-(4-амино-2-фторфенил)-2-оксопирролидин-3-илкарбамат Раствор промежуточного соединения 95 (2,50 г) в этаноле (220 мл) прибавляют в вакууме к 10% палладию на угле (1,54 г, 50% влажности). Полученную суспензию перемешивают в атмосфере водорода в течение 16 ч, затем фильтруют через Celite Масс-спектр: Найдено: MH+ 310 Промежуточное соединение 148 трет-Бутил (3S)-1-{2-фтор-4-[(метилсульфонил)амино]фенил}-2-оксопирролидин-3-илкарбамат Раствор промежуточного соединения 147 (0,l г) в безводном ДХМ (1 мл) охлаждают до 0°С в атмосфере азота и обрабатывают последовательно безводным пиридином (0,06 мл) и метансульфонилхлоридом (0,03 мл), затем перемешивают в течение 2 час при 0°С (отмечают изменение цвета раствора в течение этого времени: от прозрачного к желтому, оранжевому и розовому). Раствор оставляют согреваться до комнатной температуры, разбавляют дихлорметаном и промывают насыщенным раствором бикарбоната натрия. Желтый органический слой сушат (с помощью гидрофобной фритты), упаривают в атмосфере азота, получая твердое вещество розового цвета, которое очищают SPE (силикагель, элюирование ДХМ, затем этилацетатом), получая указанное в заголовке соединение (0,068 г) в виде белого твердого вещества. Масс-спектр: Найдено: MH+ 388 Промежуточное соединение 149 Гидрохлорид N-{4-[(3S)-3-амино-2-оксопирролидин-1-ил]-3-фторфенил}метансульфонамида Раствор промежуточного соединения 148 (0,066 г) в метаноле (5 мл) обрабатывают ацетилхлоридом (0,5 мл) и перемешивают в атмосфере азота в течение 6 час, затем выдерживают в течение 48 час. Раствор упаривают при пониженном давлении и получают белую пену, которую очищают SPE (C18, элюирование водой). Получают соль гидрохлорид в виде белой пены (0,055 г). Соль подвергают SPE (силикагель, элюирование смесью ДХМ : метанол : 0,88(SG)водный аммиак 100:10:1), которая дает указанное в заголовке соединение (0,033 г) в виде прозрачной стеклообразной массы. Масс-спектр: Найдено: MH+ 288 Литература 1. Klimkowski, Valentine Joseph; Kyle, Jeffrey Alan; Masters, John Joseph; Wiley, Michael Robert. PCT Int. Appl. (2000), WO 0039092. Анализ in vitro ингибирования фактора Xa (1) Соединения по данному изобретению (примеры 2, 19, 20, 21, 22, 23, 52, 73, 83, 85, 89, 90, 102, 105, 123, 124, 125, 127) испытывают на их ингибирующую активность в отношении фактора Xa, как определено in vitro, их способностью ингибировать фактор Xa человека в хромогенном анализе, применяя N- Анализ in vitro ингибирования фактора Xa (2) Все соединения по данному изобретению испытывают на их ингибирующую активность в отношении фактора Xa, как определено in vitro, их способностью ингибировать фактор Xa человека в флуорогенном анализе, применяя Родамин 110 (Rhodamin 110), бис-(CBZ-глицилглицил-1-аргининамид в качестве флуорогенного субстрата. Соединения в виде стандартного 10 мМ раствора в диметилсульфоксиде разбавляют до соответствующих концентраций. Анализ осуществляют при комнатной температуре, используя буфер, состоящий из: 50 мМ Tris-HCl, 150 мМ NaCl, 5 мМ CaCl2, рН 7,4, содержащий фактор Ха человека (конечная концентрация 0,0003 Ед·мл-1). Соединения и фермент предварительно инкубируют в течение 15 мин перед прибавлением субстрата (конечная концентрация 10 мкМ). Реакцию прекращают через 3 часа добавлением H-D-PHE-PRO-ARG-хлорметилкетона. Флуориметр LJL-Analyst используют для мониторинга флуоресценции с длиной волны возбуждения 485 нм/длиной волны эмиссии 535 нм. Для получения значений IC50 данные анализируют с помощью ActivityBase® и XLfit®. Расчет значений Ki values: Ki = IC5O/(1 + [субстрат]/Km) Значение Ki для вышеуказанного анализа можно получить делением величины IC50 на 1,6. Все соединения из примеров синтеза тестируют одним из описанных выше способов анализа in vitro на наличие ингибирующей активности в отношении фактора Ха. Предпочтительны соединения, имеющие значение Ki менее 1 мкМ (примеры 1, 2, 3, 4, 5, 6, 7, 8, 9, 11, 12, 13, 14, 15, 16, 17, 18, 19, 20, 21, 23, 24, 25, 26, 27, 28, 29, 30, 31, 32, 33, 34, 36, 37, 38, 39, 40, 41, 42, 43, 44, 45, 46, 47, 48, 49, 50, 51, 53, 55, 56, 57, 58, 60, 61, 62, 63, 64, 65, 67, 68, 69, 70, 71, 72, 73, 74, 75, 76, 77, 78, 79, 80, 81, 82, 83, 84, 85, 86, 87, 88, 89, 90, 91, 92, 93, 94, 95, 96, 97, 98, 99, 100, 101, 102, 103, 104, 105, 106, 107, 108, 110, 111, 112, 113, 117, 118, 120, 121, 122, 123, 125, 128, 129, 132, 133, 135, 136, 137, 138, 139, 140, 141, 142, 143, 144). Более предпочтительны соединения, имеющие значение Ki менее 200 нМ (примеры 1, 2, 3, 4, 5, 7, 8, 11, 12, 13, 14, 15, 16, 17, 18, 19, 20, 21, 24, 25, 26, 27, 28, 29, 30, 31, 32, 33, 36, 37, 38, 39, 40, 41, 42, 43, 44, 45, 46, 47, 48, 49, 50, 51, 53, 55, 56, 57, 58, 60, 61, 62, 63, 64, 65, 67, 68, 69, 70, 71, 72, 74, 75, 76, 77, 78, 79, 80, 82, 83, 84, 85, 86, 87, 88, 89, 91, 92, 93, 94, 95, 96, 97, 98, 99, 100, 102, 104, 105, 106, 107, 108, 110, 112, 113, 120, 121, 122, 123, 125, 128, 129, 132, 133, 135, 136, 137, 138, 139, 140, 141, 142, 143, 144), еще более предпочтительны соединения, имеющие значение Ki менее 20 нМ (1, 2, 3, 4, 5, 7, 8, 11, 12, 13, 14, 15, 16, 17, 18, 19, 20, 21, 24, 25, 26, 27, 28, 29, 30, 36, 37, 38, 39, 40, 41, 42, 43, 44, 45, 46, 47, 48, 49, 50, 53, 55, 57, 62, 64, 70, 72, 75, 76, 77, 78, 79, 80, 82, 83, 84, 85, 86, 87, 88, 91, 92, 93, 95, 96, 97, 100, 104, 107, 110, 112, 120, 121, 122, 128, 129, 132, 133, 136, 137, 139, 140, 141, 142, 143, 144), и наиболее предпочтительны соединения, имеющие значение Ki менее 10 нМ (1, 3, 4, 5, 7, 8, 11, 12, 13, 14, 15, 16, 17, 18, 19, 20, 24, 26, 27, 28, 29, 30, 36, 38, 39, 40, 41, 42, 43, 44, 45, 46, 47, 48, 49, 50, 55, 57, 62, 64, 75, 77, 78, 79, 80, 82, 83, 85, 87, 91, 92, 93, 97, 100, 104, 107, 109, 110, 112, 120, 122, 128, 129, 133, 134, 136, 139, 140, 141, 142, 143, 144). Способ измерения протромбинового времени (PT) Кровь собирают в раствор цитрата натрия (соотношение 9:1), получая конечную концентрацию цитрата 0,38%. Плазму генерируют центрифугированием образцов крови (с цитратом) при 1200 g в течение 20 мин при 4°С. Тест на протромбиновое время (PT тест) проводят при 37°C в пластмассовых кюветах, содержащих магнитные шарикоподшипники. В каждую кювету пипеткой вносят цитратную плазму (50 мкл) и или 25 мкл 2,8% ДМСО для контроля, или 25 мкл тестируемого соединения (растворенного в ДМСО и разбавленного водой и 2,8% ДМСО, получая 0,4% ДМСО в конце анализа) при концентрации в 7 раз больше необходимой конечной концентрации. Данную смесь инкубируют в течение 1 мин при 37°C перед добавлением 100 мкл тромбопластиновой смеси (состоящей из лиофильно высушенного тромбопластина кролика и хлорида кальция, которую воссоздают в дистиллированной воде согласно инструкции производителя [Sigma]). При добавлении тромбопластиновой смеси автоматически включается хронометр и работает до тех пор, пока плазма не свертывается. Время до наступления свертывания регистрируют (нормальный интервал времени для плазмы человека составляет от 10 до 13 сек). Способ измерения протромбинового времени (PT)- тест 2 Кровь собирают в раствор цитрата натрия (соотношение 9:1) и получают конечную концентрацию цитрата 0,38%. Плазму генерируют центрифугированием образцов крови (с цитратом) при 1200 g в течение 20 мин при 4°С. РТ тест осуществляют при 37°C в пластмассовых кассетах с помощью анализатора коагуляции «MCA210 Microsample» (Bio/Data Corporation). Для анализа 25 мкл плазмы, содержащей тестируемое соединение в концентрации от 0,1 до 100 мкМ (приготовленной из 1 мМ стандартного раствора в 10% ДМСО и плазмы) и 25 мкл Тромбопластина С Plus (от Dade Berhing) автоматически вводят в кассету. При добавлении Тромбопластина С Plus прибор определяет и регистрирует время до свертывания плазмы (нормальный интервал времени для плазмы человека составляет от 10 до 13 сек). Общие способы очистки и способы анализа Метод ЖХ/МС Аналитическую ВЭЖХ осуществляют на колонке Supelcosil LCABZ+PLUS (3 мкм, 3,3 см Ч 4,6 мм ID), элюирование 0,1% HCO2H и 0,01 M ацетатом аммония в воде (растворитель А), и 95% ацетонитрил и 0,05% HCO2H в воде (растворитель B), используя следующий градиент элюирования 0-0,7 мин 0%B, 0,7-4,2 мин 0 ЯМР 1H спектры записывают на спектрометре «Bruker DPX» (400 МГц) в качестве внешнего стандарта используют тетраметилсилан. Хроматография Biotage Автоматическая препаративная ВЭЖХ с масс-детектором относится к способам, где вещество очищают высокоэффективной жидкостной хроматографией на колонке HPLCABZ+ 5мкм (5 см × 10 мм вн.диам.), с 1% HCO2H в воде и 95% MeCN, 5% воды (0,5% HCO2H), используя следующие условия градиентного элюирования: 0-1,0 мин 5%B, 1,0-8,0 мин 5 Гидрофобные фритты относятся к насадкам для фильтрации, продаваемым фирмой Whatman. SPE (твердофазная экстракция) относится к применению картриджей, продаваемых International Sorbent Technology Ltd. TLC (тонкослойная хроматография) относится к применению пластин для ТСХ от Merck, покрытых силикагелем 60254.
Формула изобретения
1. Пирролидин-2-оны формулы (I)
где R1 представляет собой группу, выбранную из
каждая из которых необязательно содержит дополнительный гетероатом N; Z представляет собой необязательный заместитель галоген, -CH2NH2, -NRaRb или -CN; Z’ представляет собой необязательный заместитель галоген, -CH2NH2 или -CN; alk представляет собой алкилен или алкенилен; Т представляет собой S или О; R2 представляет собой водород, -С1-3алкилCONRaRb, -C1-3алкилCO2C1-4алкил, -C1-3алкилморфолино, -CO2С1-4алкил или -С1-3алкилCO2Н; Х представляет собой фенильную или 5- или 6-членную ароматическую или неароматическую гетероциклическую группу, содержащую один или два гетероатома, выбранный из О, N или S, каждая из которых необязательно замещена 0-2 группами, выбранными из галогена, -CN, -С1-4алкила, -С2-4алкенила, -CF3, -NRaRb, -NO2, -N(C1-4алкил) (СНО), -NHCOC1-4алкила, -NHSO2Rc, С0-4алкилORd, -C(O)Rc, -C(O)NRaRb, -S(O)nRc и -S(O)2NRaRb; Y представляет собой (i) заместитель, выбранный из водорода, галогена, -CN, -С1-4алкила, -С2-4алкенила, -CF3, -NRaRb, -NO2, N(C1-4алкил) (СНО), -NHCOC1-4алкила, -NHSO2Rc, С0-4алкилORd, -C(O)Rc, -C(O)NRaRb, -S(O)nRc и -S(O)2NRaRb, или (ii) фенильную или 5- или 6-членную ароматическую или неароматическую гетероциклическую группу, содержащую один или два гетероатома, выбранных из О, N или S, каждая из которых необязательно замещена 0-2 группами, выбранными из галогена, -CN, -С1-4алкила, -CF3, – (CH2)nNRaRb, (CH2)nN+RaRbCH2CONH2, С0-4алкилORd, -С(O)Rc, -C(O)NRaRb, -S(O)nRc, -S(O)2NRaRb, =O, оксида у атома N в цикле, -СНО, -NO2 и -N(Ra)(SO2Rc); Ra и Rb независимо представляют собой водород или -С1-6алкил; Rc представляет собой -C1-6алкил; Rd представляет собой водород или -С1-6алкил; n представляет собой 0-2; и его фармацевтически приемлемые соли или сольваты. 2. Соединение по п.1, где Y представляет собой (i) заместитель, выбранный из водорода, галогена, -CN, -С1-4алкила, -С2-4алкенила, -CF3, -NRaRb, -NO2, -N(C1-4алкил)(CHO), -NHCOC1-4алкила, -NHSO2Rc, C0-4aлкилORd, -C(O)Rc, -C(O)NRaRb, -S(O)nRc или -S(O)2NRaRb, (ii) фенильную группу, необязательно замещенную 0-2 группами, выбранными из галогена, -CN, -С1-4алкила, -CF3, -(CH2)nNRaRb, С0-4алкилORd, -C(O)Rc, -C(O)NRaRb, -S(O)nRc, S(O)2NRaRb, -СНО, -NO2 и N(Ra)(SO2Rc), (iii) 5- или 6-членную ароматическую или неароматическую гетероциклическую группу, содержащую один или два гетероатома, выбранных из О, N или S, каждая из которых замещена группой, выбранной из S(O)nRc, -S(O)2NRaRb, -NO2 или N(Ra)(SO2Rc), или, (iv) когда R1 представляет собой
или
Y представляет собой 5- или 6-членную ароматическую или неароматическую гетероциклическую группу, содержащую один или два гетероатома, выбранных из О, N или S, каждая из которых необязательно замещена 0-2 группами, выбранными из галогена, -CN, -С1-4алкила, -CF3, -(CH2)nNRaRb, -(CH2)nN+RaRbCH2CONH2, С0-4алкилORd, -C(O)Rc, -C(O)NRaRb, -S(O)nRc, -S(O)2NRaRb, оксида у атома N в цикле, -СНО, -NO2 и -N(Ra)(SO2Rc). 3. Соединение по п.1, где R1 представляет собой группу, выбранную из
Z представляет собой необязательный заместитель галоген; Z’ представляет собой необязательный заместитель галоген; alk представляет собой алкилен или алкенилен; Т представляет собой S или О; R2 представляет собой водород, Х представляет собой фенильную или 5- или 6-членную ароматическую или неароматическую гетероциклическую группу, содержащую один или два гетероатома, выбранный из О, N или S, каждая из которых необязательно замещена 0-2 группами, выбранными из галогена, -CN, -С1-4алкила, -CF3, -NRaRb, -C(O)Rc, -C(O)NRaRb, -S(O)nRc и -S(O)2NRaRb; Y представляет собой (i) заместитель, выбранный из водорода, галогена, -CN, -С1-4алкила, -CF3, -NRaRb, -C(O)Rc, -C(O)NRaRb, S(O)nRc, -S(O)2NRaRb или (ii) фенильную или 5- или 6-членную ароматическую или неароматическую гетероциклическую группу, содержащую один или два гетероатома, выбранных из О, N или S, каждая из которых необязательно замещена 0-2 группами, выбранными из галогена, -CN, -С1-4алкила, -CF3, -(CH2)nNRaRb, -C(O)Rc, -C(O)NRaRb, -S(O)nRc, -S(O)2NRaRb; Ra и Rb независимо представляют собой водород или -С1-6алкил; Rc представляет собой -C1-6алкил; n представляет собой 0-2; и его фармацевтически приемлемые соли или сольваты. 4. Соединение по п.3, где Y представляет собой (i) заместитель, выбранный из водорода, галогена, -CN, -С1-4алкила, -CF3, -NRaRb, -C(O)Rc, -C(O)NRaRb, -S(O)nRc или -S(O)2NRaRb; (ii) фенильную группу, необязательно замещенную 0-2 группами, выбранными из галогена, -CN, -С1-4алкила, -CF3, (CH2)nNRaRb, -C(O)Rc, -C(O)NRaRb, -S(O)nRc, и S(O)2NRaRb, (iii) 5- или 6-членную ароматическую или неароматическую гетероциклическую группу, содержащую один или два гетероатома, выбранных из О, N или S, каждая из которых замещена группой, выбранной из -S(O)nRc, -S(O)2NRaRb, или (iv) когда R1 представляет собой
или
и Z представляет собой необязательный заместитель галоген, Z’ представляет собой необязательный заместитель галоген Y представляет собой 5- или 6-членную ароматическую или неароматическую гетероциклическую группу, содержащую один или два гетероатома, выбранных из О, N или S, каждая из которых необязательно замещена 0-2 группами, выбранными из галогена, -CN, -С1-4алкила, -CF3, -(CH2)nNRaRb, -C(O)Rc, -C(O)NRaRb, -S(O)nRc и S(O)2NRaRb. 5. Соединение по п.1, имеющее формулу (IA):
где R1 представляет собой группу, выбранную из
каждая из которых необязательно содержит дополнительный гетероатом N; Z представляет собой необязательный заместитель галоген, -CH2NH2, -NRaRb или -CN; Z’ представляет собой необязательный заместитель галоген; -CH2NH2 или -CN; alk представляет собой алкилен или алкенилен; Т представляет собой S или О; R2 представляет собой водород, -C1-3алкилCONRaRb, -С1-3алкилCO2C1-4алкил, -C1-3алкилморфолино, -CO2C1-4алкил или -C1-3алкилCO2Н; Х представляет собой фенильную или 5- или 6-членную ароматическую или неароматическую гетероциклическую группу, содержащую один или два гетероатома, выбранных из О, N или S, каждая из которых необязательно замещена 0-2 группами, выбранными из галогена, -CN, -С1-4алкила, -С2-4алкенила, -CF3, -NRaRb, -NO2, N(С1-4алкил) (СНО), -NHCOC1-4алкила, -NHSO2Rc, С0-4алкилORd, -C(O)Rc, -C(O)NRaRb, -S(O)nRc и -S(O)2NRaRb; Y представляет собой фенильную или 5- или 6-членную ароматическую или неароматическую гетероциклическую группу, содержащую один или два гетероатома, выбранных из О, N или S, каждая из которых необязательно замещена 0-2 группами, выбранными из галогена, -CN, -С1-4алкила, -CF3, -(CH2)nNRaRb, -(CH2)nN+RaRbCH2CONH2, С0-4алкилORd, -C(O)Rc, -C(O)NRaRb, -S(O)nRc, -S(O)2NRaRb, =О, оксида у атома N в цикле, -СНО, -NO2 и -N(Ra) (SO2Rc); Ra и Rb независимо представляют собой водород, или -C1-С6алкил; Rc представляет собой -С1-6алкил; Rd представляет собой водород или -С1-6алкил; n представляет собой 0-2; и его фармацевтически приемлемые соли или сольваты. 6. Соединение по п.1, имеющее формулу (IC)
где R1 представляет собой группу, выбранную из
каждая из которых необязательно содержит дополнительный гетероатом N; Z представляет собой необязательный заместитель галоген, -CH2NH2, -NRaRb или -CN; Z’ представляет собой необязательный заместитель галоген, -CH2NH2 или -CN; alk представляет собой алкилен или алкенилен; Т представляет собой S или О; R2 представляет собой водород, -С1-3алкилCONRaRb, -С1-3алкилСО2С1-4алкил, -C1-3алкилморфолино, -CO2С1-4алкил или -С1-3алкилСО2Н; Х представляет собой фенильную или 5- или 6-членную ароматическую или неароматическую гетероциклическую группу, содержащую один или два гетероатома, выбранных из О, N или S, каждая из которых необязательно замещена 0-2 группами, выбранными из галогена, -CN, -С1-4алкила, -С2-4алкенила, -CF3, -NRaRb, -NO2, -N(C1-4алкил)(СНО), -NHCOC1-4алкила, -NHSO2Rc, С0-4алкилORd, -C(O)Rc, -C(O)NRaRb, -S(O)nRc или -S(O)2NRaRb; Y представляет собой заместитель, выбранный из водорода; галогена, -CN, -С1-4алкила, -С2-4алкенила, -CF3, -NRaRb, -NO2, N(С1-4алкил)(CHO), -NHCOC1-4алкила, -NHSO2Rc, C0-4алкилORd, -C(O)Rc, -C(O)NRaRb, -S(O)nRc и -S(O)2NRaRb; Ra и Rb независимо представляют собой водород или -С1-6алкил; Rc представляет собой -C1-6алкил; Rd представляет собой водород или -С1-6алкил; n представляет собой 0-2; и его фармацевтически приемлемые соли или сольваты. 7. Соединение по любому из пп.1-6 для применения в качестве ингибитора фактора Ха. 8. Фармацевтическая композиция, ингибирующая фактор Ха, содержащая соединение по любому из пп.1-6 совместно с фармацевтическим носителем и/или наполнителем. 9. Применение соединения по любому из пп.1-6 для изготовления лекарственного средства ингибирующего фактор Ха. 10. Способ ингибирования фактора Ха, состоящий во введении терапевтически эффективного количества соединения по любому из пп.1-6.
MM4A – Досрочное прекращение действия патента СССР или патента Российской Федерации на изобретение из-за неуплаты в установленный срок пошлины за поддержание патента в силе
Дата прекращения действия патента: 21.12.2008
Извещение опубликовано: 27.07.2010 БИ: 21/2010
|
||||||||||||||||||||||||||

















представляет собой необязательный заместитель галоген, -CH2NH2 или -CN,






































10,08 (1Н, ушир.с); 8,08 (1Н, д); 7,70-7,62 (2Н, м); 7,61 (1Н, д); 7,51 (1Н, д); 7,43 (1Н, д); 7,42 (1Н, дд); 7,25 (1Н, д); 7,20 (1Н, д); 7,00 (1Н, д); 4,48 (2Н, с); 4,29 (1Н, м); 3,79 (1Н, м); 3,68 (1Н, т); 2,81 (6Н, с); 2,54 (1Н, м); 2,05 (1Н, м) м.д.
хроматографией (элюирование ДХМ, затем смесью циклогексан:этилацетат 2:1).
размером 20×20 см, толщиной 1 мм, элюируют два раза смесью циклогексан:этилацетат 1:9), получая порцию чистого указанного в заголовке соединения (0,058 г) в виде не совсем белого твердого вещества.
-бензилоксикарбонил-D-Arg-Gly-Arg-п-нитроанилид в качестве хромогенного субстрата. Соединения в виде стандартного 10 мМ раствора в диметилсульфоксиде разбавляют до соответствующих концентраций. Анализ осуществляют при комнатной температуре, используя буфер, состоящий из: 50 мМ Tris-HCl, 150 мМ NaCl, 5 мМ CaCl2, рН 7,4, содержащий фактор Ха человека (конечная концентрация 0,0015 Ед·мл-1). Соединения и фермент предварительно инкубируют в течение 15 мин перед прибавлением субстрата (конечная концентрация 200 мкМ). Реакцию прекращают через 30 мин добавлением соевого ингибитора трипсина или H-D-PHE-PRO-ARG-хлорметилкетона. Планшет-ридеры BioTek EL340 или Tecan Spectrafluoro Plus используют для мониторинга поглощения при 405 нм. Для получения значений IC50 данные анализируют с помощью ActivityBase® и XLfit®.
100%B, 4,2-5,3 мин 100%B, 5,3-5,5 мин 100












