Патент на изобретение №2318800
|
||||||||||||||||||||||||||
(54) ПЕНТА {[ПОЛИ(ЭТИЛЕНОКСИ)КАРБОНИЛМЕТИЛ]ГЕТЕРИЛОНИЕВЫЕ} ПРОИЗВОДНЫЕ ТРИФЕНОЛОВ И СПОСОБ ИХ ПОЛУЧЕНИЯ, СПОСОБ ГИДРОФИЛИЗАЦИИ ЭПОКСИДНЫХ ПОЛИМЕРОВ, МЕТАЛЛИЧЕСКОЕ ИЗДЕЛИЕ, ФУТЕРИРОВАННОЕ ЭТИМ ПОЛИМЕРОМ И СПОСОБ ПРЕДОТВРАЩЕНИЯ ОСАЖДЕНИЯ ИЗ НЕФТИ АСФАЛЬТО-СМОЛИСТО-ПАРАФИНОВЫХ ОТЛОЖЕНИЙ
(57) Реферат:
Изобретение относится к органической химии, а именно к синтезу не известных ранее соединений – пента{[поли(этиленокси)карбонилметил]гетерилониевых}производных трифенолов формулы: Способ получения заявляемых соединений заключается во взаимодействии монохлоруксусной кислоты с оксиэтилированным продуктом конденсации алкил(С8-С10)фенола с 4,4-диметилдиоксаном-1,3 в присутствии кислотного катализатора, в среде кипящего органического растворителя, с азеотропным удалением образующейся воды и с последующей обработкой при нагревании полученного продукта реакции гетероциклическими аминосоединениями при молярных соотношениях – оксиэтилированный продукт: монохлоруксусная кислота:гетероциклическое аминосоединение=1:5,0-5,5:5,0-5,5 соответственно. Соединения обладают свойствами гидрофилизирующих модификаторов полимеров. Предложен простой способ гидрофилизации эпоксидных полимеров при их получении смешением эпоксидной смолы, отвердителя и модификатора из ряда заявляемых соединений в количестве 0,7-1,5 вес.%. Футерирование металлических изделий (труб) этими полимерными покрытиями увеличивает срок их эксплуатации с 6 месяцев до 23-24 месяцев вследствие снижения осаждения из нефти асфальто-смолисто-парафиновых отложений. 5 н. и 4 з.п. ф-лы, 1 табл.
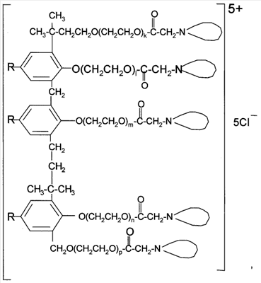
Изобретение относится к органической химии, а именно к синтезу не известных ранее соединений – пента{[поли(этиленокси)карбонилметил]гетерилониевых}производных трифенолов, обладающих свойствами гидрофилизирующих модификаторов полимеров, которые могут быть использованы в технологических процессах, связанных с обработкой полимеров, склеиванием и металлизацией, изготовлением различных полимерных изделий, например гидрофильных полимерных покрытий. Изобретение может быть использовано в химической, приборостроительной, радиоэлектронной, нефтяной, нефтехимической и других отраслях промышленности, а также в нефтедобыче для предотвращения осаждения асфальто-смолисто-парафиновых отложений на нефтяном оборудовании, покрытом гидрофилизированным эпоксидным полимером. Особенностью строения предлагаемых пента{[поли(этиленокси)карбонилметил]гетерилониевых}производных трифенолов является то, что они представляют собой соединения, молекулы которых включают азотсодержащие гетероциклы, сложноэфирные и полиоксиэтильные фрагменты, присоединенные к трифенолам. Известны четвертичные аммониевые соединения, содержащие в своей структуре сложноэфирную группировку с длинноцепочечными алифатическими радикалами, а в качестве аммонийного центра – остаток гетероциклического амина-пиридина общей формулы:
Известны также N-[изононилфеноксиполи(этиленокси)карбонилметил]аммоний хлориды, содержащие в своей структуре одновременно сложноэфирные и полиоксиэтильные группировки общей формулы: [Пат. РФ 1531416, МКИ С07С 87/30. Фахретдинов П.С., Романов Г.В. и др. Способ получения ингибиторов коррозии углеродистых сталей в минерализованых сероводородсодержащих водных средах, проявляющих фунгистатическое, бактериостатическое и дезинфицирующее действие] и взяты нами в качестве структурного аналога. Однако этот структурный аналог не обладает свойствами гидрофилизирующих модификаторов полимерных покрытий. Задачей настоящего изобретения являются новые соединения, обладающие свойствами гидрофилизирующих модификаторов полимеров, разработка способа их получения; разработка нового способа гидрофилизации полимеров для футерирования этими полимерами металлических изделий, например труб, с целью предотвращения осаждения из нефти асфальто-смолисто-парафиновых отложений. Технический результат заявляемого изобретения – новые гидрофилизирующие модификаторы полимеров – пента{[поли(этиленокси)карбонилметил]гетерилониевые}производные трифенолов и простой способ гидрофилизации эпоксидных полимеров, футерирование которыми металлических изделий (труб) существенно увеличивает срок их эксплуатации вследствие снижения осаждения из нефти асфальто-смолисто-парафиновых отложений. Предлагаются новые пента{[поли(этиленокси)карбонилметил]гетерилониевые}производные трифенолов, общей формулы: где R – алифатический углеводородный радикал, содержащий 8-10 атомов углерода; при
R1=Н; R2=CH3; k+l+n+m+p=общая степень оксиэтилирования, равная 12 или 15; при
R1=СН3; R2=C2H5 k+l+n+m+p=общая степень оксиэтилирования, равная 12, 15 или 20; при
R3=H; k+l+n+m+p=общая степень оксиэтилирования, равная 15 или 18; при
R3=СН3; k+l+n+m+p=общая степень оксиэтилирования, равная 15 или 18; при
k+l+n+m+p=общая степень оксиэтилирования, равная 15 или 18. Заявляемые пента{[поли(этиленокси)карбонилметил]гетерилониевые}производные трифенолов являются новыми, не известными ранее соединениями, обладающими свойствами гидрофилизирующих модификаторов полимеров, например эпоксидных полимеров. Известен способ получения четвертичных аммониевых соединений, содержащих сложноэфирные и полиоксиэтильные группировки, например N-[изононилфеноксиполи(этиленокси)карбонилметил]аммоний хлоридов общей формулы: где R1=R2=СН3, алкил фракции С7-С9; R3=алкил фракции C7-C8, алкил фракции C10-C16, алкил фракции C15-C18; n=3, 10, путем взаимодействия монохлоруксусной кислоты со спиртовой компонентой, которой являются изононилфеноксиполиэтиленгликоли общей формулы:
где n=3, 10; и последующей обработкой аминами общей формулы:
где R1=R2=CH3, алкил фракции С7-С9; R3=алкил фракции С7-С9, алкил фракции C10-C16, алкил фракции C15-C18 [Патент РФ 1531416, МКИ С07С 87/30, 1995] (Аналог). Для заявляемых нами пента{[поли(этиленокси)карбонилметил]гетерилониевых}производных трифенолов предлагается способ получения путем взаимодействия монохлоруксусной кислоты с оксиэтилированным продуктом конденсации 4-алкилфенола с 4,4-диметилдиоксаном-1,3 общей формулы: где R=алифатический углеводородный радикал, содержащий 8-10 атомов углерода; k+l+n+m+p=общая степень оксиэтилирования, равная 12, 15, 18 или 20; в присутствии кислотного катализатора – Н+-формы катионообменной смолы КУ-2-8 в среде кипящего органического растворителя с азеотропным удалением образующейся воды и последующей обработкой при нагревании полученного продукта реакции гетероциклическими аминосоединениями ряда пиридина общей формулы:
где R1=H, СН3; R2=Н3, С2Н5; или ряда хинолина, общей формулы:
где R3=H, СН3; или изохинолина, формулы:
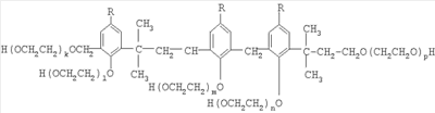
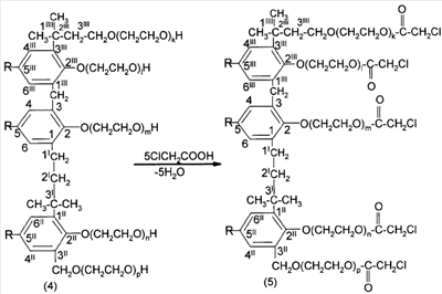
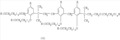
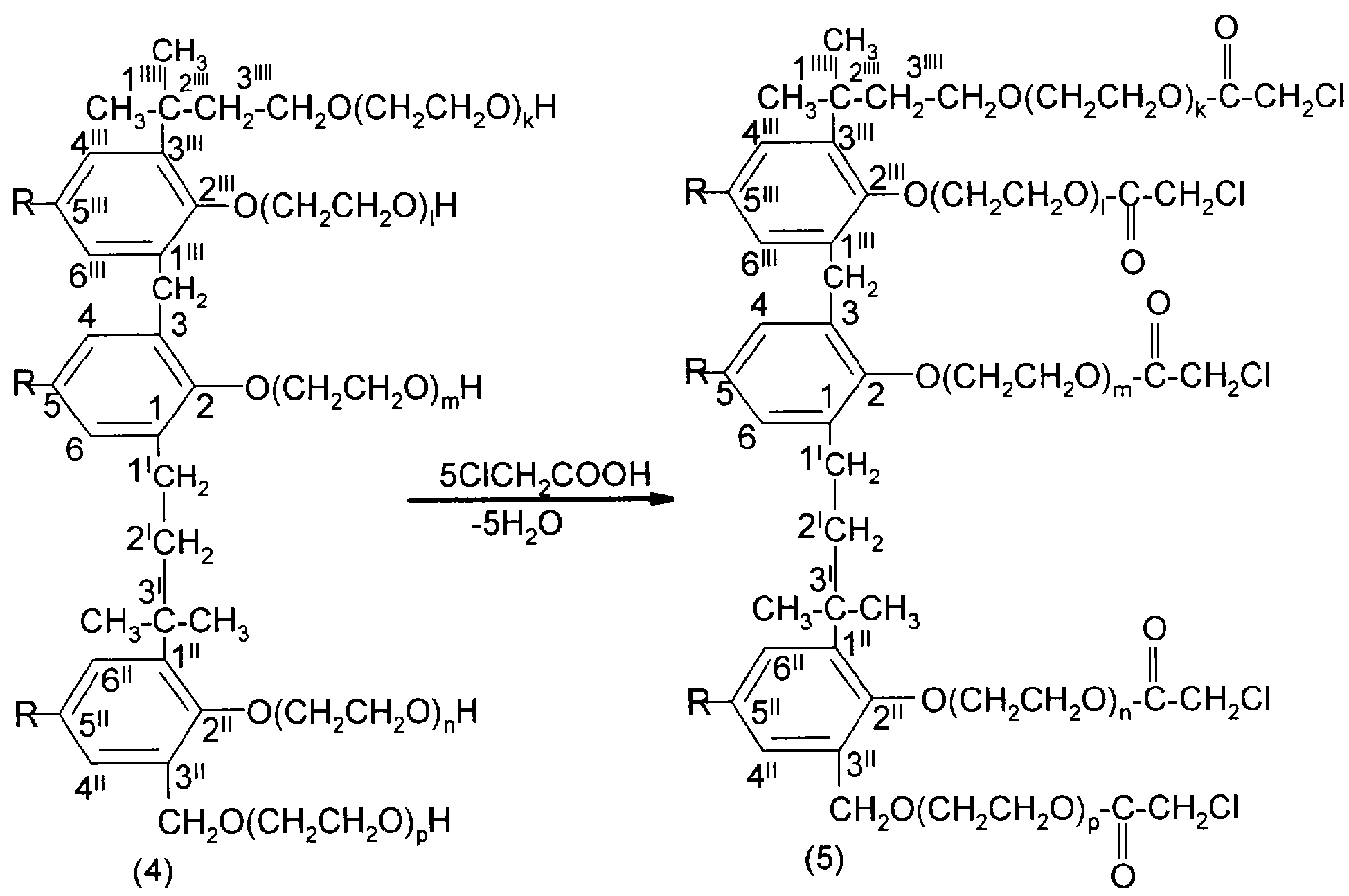
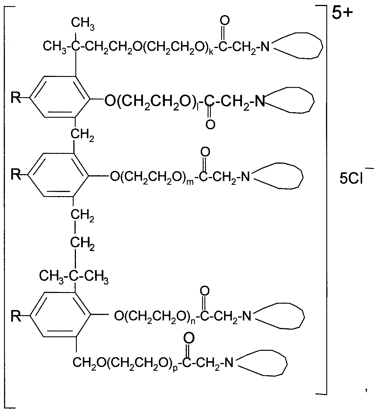
при молярных соотношениях – оксиэтилированный продукт:монохлоруксусная кислота:гетероциклическое аминосоединение=1:5,0-5,5:5,0-5,5 соответственно. В качестве исходного сырья для получения предлагаемых пента{[поли(этиленокси)карбонилметил]гетерилониевых}производных трифенолов используют продукт конденсации 4-алкилфенолов (1) с 4,4-диметилдиоксаном-1,3 (2), подвергаемый в дальнейшем оксиэтилированию по следующей схеме: где R – алифатический углеводородный радикал, содержащий 8-10 атомов углерода; k+l+m+n+p=средняя степень оксиэтилирования, равная 12, 15, 18 или 20. Продукт конденсации алкилфенола (1) с 4,4-диметилдиоксаном-1,3 (2), представляющий собой 5-алкил-2-гидрокси-l-{3I-3I-диметил-3I-[5II-алкил-2II-гидрокси-3II-гидроксиметил]фенил}пропил-3-{{5III-алкил-2III-гидрокси-3III-[(1IIII,1IIII-диметил-3III-гидрокси)пропил]фенил}метил}-бензол (3), подвергается оксиэтилированию по всем трем фенольным и двум спиртовым гидроксилам с образованием соединения, являющегося 5-алкил-2-гидроксиполи(этиленокси)-1-{3I-3I-диметил-3I-[5II-алкил-2II-гидроксиполи(этиленокси)-3II-гидроксиполи(этиленокси)метил]фенил}-пропил-3-{{5III-алкил-2III-гидроксиполи(этиленокси)-3III-[(1IIII, 1IIII-диметил-3III-гидроксиполи(этиленокси)пропил]фенил}метил}бензолом (4). Для получения пента{[поли(этиленокси)карбонилметил]гетерилониевых}производных трифенолов по предлагаемому способу оксиэтилированный продукт конденсации алкилфенолов с 4,4-диметил-диоксаном-1,3 (4) вводят в реакцию этерификации с монохлоруксусной кислотой по схеме: при мольном соотношении реагентов – оксиэтилированный продукт конденсации 4-алкилфенолов с 4,4-диметилдиоксаном-1,3:монохлоруксусная кислота=1,0:5,0-5,5. Реакцию этерификации ведут при кипячении в органических растворителях, например ароматических углеводородах (толуоле или ксилоле, или нефрасе Ар-120/200 и др.) в присутствии кислотных катализаторов, например, Н+-формы катионобменной смолы КУ-2-8 с азеотропной отгонкой образовавшейся реакционной воды. Отфильтровывают катализатор и отгоняют в вакууме органический растворитель и не вступившую в реакцию монохлоруксусную кислоту. К полученным пента(монохлорацетатам) строения (5) добавляют гетероциклические аминосоединения ряда пиридина общей формулы:
где R1=H, СН3; R2=CH3, С2Н5 или ряда хинолина общей формулы:
где R3=H, СН3, или изохинолина формулы:
при молярных соотношениях исходных реагентов – оксиэтилированный продукт:монохлоруксусная кислота:гетероциклическое аминосоединение=1:5,0-5,5:5,0-5,5. Реакцию ведут при температуре 70-90°С. Взаимодействие описывается схемой Заявляемые пента{[поли(этиленокси)карбонилметил]гетерилониевые}производные трифенолов представляют собой 5-алкил-2-[N-(гетерилонио)метилкарбонилполи(этиленокси)]-1-{3I,3I-диметил-3I-{5II-алкил-2II-[N-(гетерилонио)метилкарбонилполи(этиленокси)]-3II-[N-(гетерилонио)метилкарбонилполи(этиленокси)]метил}фенил}пропил-3-{5III-алкил-2III-[N-(гетерилонио)метилкарбонилполи(этиленокси)]-3III-{1IV, 1IV-диметил-3IV-[N-(гетерилонио)метилкарбонилполи(этиленокси)]-пропил}фенил}метилбензолы. Для заявляемого способа в качестве исходного сырья – спиртовой компоненты могут быть использованы технические продукты, выпускаемые под названием «Диферон», получаемые путем конденсации технического 4,4-диметилдиоксана-1,3 (условное название «Оксаль») с промышленными 4-алкилфенолами с последующим оксиэтилированием продукта конденсации соответствующим количеством окиси этилена. Полученные продукты оксиэтилирования общей формулы (4), растворенные в углеводородных ароматических растворителях, и являются «Диферонами». Монохлоруксусная кислота используется в виде индивидуального соединения или технического продукта. В качестве органического растворителя используют ароматические углеводороды, например толуол, или ксилол, или нефрас Ар-120/200, или др. Нефрас Ар 120/200, выпускаемый по ТУ 38101809-80, является смесью различных ароматических углеводородов (ксилолов, пропилбензолов, этилтолуолов и др.) [Бедрик Б.Г., Чулков П.В., Калашников С.И. Растворители и составы для очистки машин и механизмов: Справочник. М.: Химия, 1989, С.69-70]. Предлагаемый способ получения новых, не известных ранее соединений ряда пента{[поли(этиленокси)карбонилметил]гетерилониевых}производных трифенолов имеет некоторое сходство со способом получения других рядов четвертичных аммониевых соединений, например N-[изононилфеноксиполи(этиленокси)карбонилметил]аммоний хлоридов [Патент РФ №1531416]. Но и различия этих двух способов получения являются существенными. В известном способе в качестве спиртовой компоненты используют изононилфеноксиполиэтиленгликоли, являющиеся продуктами оксиэтилирования изононилфенола, а в качестве аминосоединений – длинноцепочечные алифатические третичные амины типа N,N-диметил-N-алкиламинов фракций C10-C16 и C15-C18, а также длинноцепочечные алифатические N,N,N-триалкиламины фракции С7-С9. В предлагаемом способе в качестве спиртовой компоненты используют оксиэтилированные продукты конденсации алкилфенолов с 4,4-диметилдиоксаном-1,3 общей формулы: а в качестве аминов – гетероциклические аминосоединения ряда пиридина общей формулы:
где R1=H, СН3; R2=CH3, С2Н5 или ряда хинолина общей формулы:
где R3=H, СН3, или изохинолина формулы:
В известном способе на стадии этерификации монохлоруксусной кислотой используется гомогенный катализатор – концентрированная серная кислота. Применение ее нецелесообразно из-за того, что сейчас не существует технологичных способов удаления серной кислоты из реакционной смеси после окончания реакции этерификации. Это приводит к тому, что, оставшись в реакционной смеси, серная кислота в дальнейшем реагирует с аминами, загрязняя целевые вещества сульфатами аминов. Кроме того, использование конц. H2SO4 часто приводит к осмолению целевых веществ и их потемнению. В предлагаемом способе в качестве кислотного катализатора используют H+-форму катионобменной смолы КУ-2-8, которая представляет собой твердые, ограниченно набухающие высокополимерные полисульфокислоты сополимера стирола с дивинилбензолом общей формулы: и выпускается промышленностью в различных модификациях, отличающихся количеством дивинилбензола в сополимере. Модификации катионита КУ-2 обозначают дополнительной цифрой, соответствующей содержанию дивинилбензола в сополимере. Например, КУ-2-8, КУ-2-10, КУ-2-12 и др. содержат 8%, 10%, 12% дивинилбензола соответственно [Салдадзе К.М., Пашков А.Б., Титов B.C. Ионнообменные высокомолекулярные соединения. Под ред. Салдадзе К.М. Москва: Гос. научн.-техн. изд. хим. лит., 1960. С.112-114.]. Приводим конкретные примеры выполнения изобретения. Пример 1. Смесь 51,9 г (3,8·10-2 г-моля) оксиэтилированного продукта конденсации алкил(С8-С10)фенола с 4,4-диметилдиоксаном-1,3, имеющего общую степень оксиэтилирования, равную 12; 18,9 г (20,0·10-2 г-моля) монохлоруксусной кислоты; 100 мл толуола и 2,7 г (5,2% от веса оксиэтилированного продукта) Н+-формы катионобменной смолы КУ-2-8 (в качестве кислотного катализатора) кипятят с ловушкой Дина-Старка и обратным холодильником. Реакцию прекращают при достижении минимального значения кислотного числа реакционной смеси и прекращение выделения реакционной воды. Время реакции 10 часов. Всего выделяется 2,66 мл воды (98,5% от теор.). Отфильтровывают катализатор, в вакууме полностью удаляют толуол и не вступившую в реакцию монохлоруксусную кислоту. Затем полученный продукт обрабатывают 17,9 г (19,2·10-2 г-моля) 3-метилпиридина, что соответствует мольному соотношению – исходный оксиэтилированный продукт:монохлоруксусная кислота:3-метилпиридин=1:5,3:5,1. соответственно. Реакционную смесь нагревают при перемешивании и температуре 70-90°С. Контроль реакции ведут титрометрически, определяя содержание свободных аминов потенциометрическим титрованием спиртовым раствором соляной кислоты. Реакцию прекращают при остаточном содержании свободных аминов менее 0,4%. Выход 82,0 г (97,4% от теор.) вязкой жидкости светло-желтого цвета. Вычислено, %: N 3,16; Cl 8,00. Найдено, %: N 3,12; Cl 8,12. ИК-спектор: Пример 2. Получен аналогично примеру 1 из 52,3 г (3,5·10-2 г-моля) оксиэтилированного продукта конденсации алкил(С8-С10)фенола с 4,4-диметилдиоксаном-1,3 (оксалем) с общей степенью оксиэтилирования, равной 15; 18, 15 г (19,2·10-2 г-моля) монохлоруксусной кислоты; 100 мл толуола; 2,3 г Н+-формы катионобменной смолы КУ-2-8 (4,4% от веса оксиэтилированного продукта) и 16,8 г (18,1·10-2 г-моля) 3-метилпиридина, что соответствует мольному соотношению – исходный оксиэтилированный продукт:монохлоруксусная кислота:3-метилпиридин=1:5,5:5,2. Выход 80,4 г (97,9% от теор.) желтой вязкой жидкости. Вычислено, %: N 2,98; Cl 7,56. Найдено, %: N 2,87; Cl 7,55. ИК-спектр: Пример 3. Получен аналогично примеру 1 из 51,9 г (3,8·10-2 г-моля) оксиэтилированного продукта конденсации алкил(С8-С10)фенола с 4,4-диметилдиоксаном-1,3 с общей степенью оксиэтилирования, равной 12; 18,5 г (19,6·10-2 г-моля) монохлоруксусной кислоты; 100 мл оксилола; 2,4 г Н+-формы катионобменной смолы КУ-2-8 (4,6% от веса оксиэтилированного продукта) и 23,2 г (19,2·10-2 г-моля) 2-метил-5-этилпиридина, что соответствует мольному соотношению – исходный оксиэтилированный продукт:монохлоруксусная кислота:2-метил-5-этилпиридин=1:5,2:5,0. Выход 91,6 г (96,9% от теор.) темно-желтой вязкой жидкости. Вычислено, %: N 2,97; Cl 7,53. Найдено, %: N 2,90; Cl 7,58. ИК-спектр: Пример 4. Получен аналогично примеру 1 из 46,3 г (3,1·10-2 г-моля) оксиэтилированного продукта конденсации алкил(С8-С10)фенола с 4,4-диметилдиоксаном-1,3 (оксалем), имеющего общую степень оксиэтилирования, равную 15; 15,4 г (16,3·10-2 г-моля) монохлоруксусной кислоты; 75 мл толуола; 1,9 г Н+-формы катионобменной смолы КУ-2-8 (4,1% от веса оксиэтилированного продукта) и 18,8 г (15,5·10-2 г-моля) 2-метил-5-этилпиридина, что соответствует мольному соотношению – исходный оксиэтилированный продукт:монохлоруксусная кислота:2-метил-5-этилпиридин=1:5,3:5,0. Выход 75,5 г (97,8% от теор.) вязкой жидкости темно-коричневого цвета. Вычислено, %: N 2,80; Cl 7,14. Найдено, %: N 2,71; Cl 6,94. ИК-спектр: Пример 5. Получен аналогично примеру 1 из 51,4 г (3,0·10-2 г-моля) оксиэтилированного продукта конденсации алкил(С8-С10)фенола с 4,4-диметилдиоксаном-1,3 (оксалем), имеющего общую степень оксиэтилирования, равную 20; 14,93 г (15,8·10-2 г-моля) монохлоруксусной кислоты; 80 мл толуола; 1,85 г Н+– формы катионобменной смолы КУ-2-8 (3,6% от веса оксиэтилированного продукта) и 18,8 г (15,5·10-2 г-моля) 2-метил-5-этилпиридина, что соответствует мольному соотношению – исходный оксиэтилированный продукт:монохлоруксусная кислота:2-метил-5-этилпиридин=1:5,3:5,2. Выход 79,9 г (98,4% от теор.) вязкой жидкости темно-коричневого цвета. Вычислено, %: N 2,59; Cl 6,56. Найдено, %: N 2,48; Cl 6,41. ИК-спектр: Пример 6. Получен аналогично примеру 1 из 52,3 г (3,5·10-2 г-моля) оксиэтилированного продукта конденсации алкил(С8-С10)фенола с 4,4-диметилдиоксаном-1,3, имеющего общую степень оксиэтилирования, равную 15; 16,5 г (17,5·10-2 г-моля) монохлоруксусной кислоты; 110 мл нефраса А-120/200; 1,90 г Н+ формы катионобменной смолы КУ-2-8 (3,6% от веса оксиэтилированного продукта) и 22,6 г (17,5·10-2 г-моля) хинолина, что соответствует мольному соотношению – исходный оксиэтилированный продукт:монохлоруксусная кислота:хинолин=1:5,0:5,0. Выход 86,4 г (97,9% от теор.) вязкой жидкости темно-желтого цвета. Вычислено, %: N 2,78; Cl 7,04. Найдено, %: N 2,67; Cl 6,88. ИК-спектр: Пример 7. Получен аналогично примеру 1 из 60,2 г (3,7·10-2 г-моля) оксиэтилированного продукта конденсации алкил(С8-С10)фенола с 4,4-диметилдиоксаном-1,3, имеющего общую степень оксиэтилирования, равную 18; 17,9 г (18,9·10-2 г-моля) монохлоруксусной кислоты; 120 мл нефраса Ар-120/200; 1,90 г Н+ формы катионобменной смолы КУ-2-8 (3,1% от веса оксиэтилированного продукта) и 23,9 г (18,5·10-2 г-моля) хинолина, что соответствует мольному соотношению – исходный оксиэтилированный продукт:монохлоруксусная кислота:хинолин=1:5,1:5,0. Выход 97,0 г (98,8% от теор.) вязкой жидкости темно-желтого цвета. Вычислено, %: N 2,64; Cl 6,69. Найдено, %: N 2,57; Cl 6,72. ИК-спектр: Пример 8. Получен аналогично примеру 1 из 47,8 г (3,2·10-2 г-моля) оксиэтилированного продукта конденсации алкил(С8-С10)фенола с 4,4-диметилдиоксаном-1,3, имеющего общую степень оксиэтилирования, равную 15; 16,6 г (17,6·10-2 г-моля) монохлоруксусной кислоты; 90 мл толуола; 1,7 г Н+ формы катионобменной смолы КУ-2-8 (3,5% от веса оксиэтилированного продукта) и 22,9 г (16,0·10-2 г-моля) 2-метилхинолина, что соответствует мольному соотношению – исходный оксиэтилированный продукт:монохлоруксусная кислота:2-метилхинолин=1:5,5:5,0. Выход 80,55 г (97,1% от теор.) вязкой темно-желтой жидкости. Вычислено, %: N 2,70; Cl 6,85. Найдено, %: N 2,63; Cl 6,80. ИК-спектр: Пример 9. Получен аналогично примеру 1 из 53,7 г (3,3·10-2 г-моля) оксиэтилированного продукта конденсации алкил(С8-С10)фенола с 4,4-диметилдиоксаном-1,3, имеющего общую степень оксиэтилирования, равную 18; 16,25 г (17,2·10-2 г-моля) монохлоруксусной кислоты; 100 мл оксилола; 1,7 г Н+ формы катионобменной смолы КУ-2-8 (3,2% от веса оксиэтилированного продукта) и 25,9 г (18,1·10-2 г-моля) 2-метилхинолина, что соответствует мольному соотношению – исходный оксиэтилированный продукт:монохлоруксусная кислота:2-метилхинолин=1:5,2:5,5. Выход 88,5 г (98,4% от теор.) вязкой коричневой жидкости. Вычислено, %: N 2,57; Cl 6,51. Найдено, %: N 2,49; Cl 6,42. ИК-спектр: Пример 10. Получен аналогично примеру 1 из 48,0 г (3,2·10-2 г-моля) оксиэтилированного продукта конденсации алкил(С8-С10)фенола с 4,4-диметилдиоксаном-1,3, имеющего общую степень оксиэтилирования, равную 15; 16,6 г (17,6·10-2 г-моля) монохлоруксусной кислоты; 80 мл толуола; 1,8 г Н+ формы катионобменной смолы КУ-2-8 (3,8% от веса оксиэтилированного продукта) и 22,7 г (17,6·10-2 г-моля) изохинолина, что соответствует мольному соотношению – исходный оксиэтилированный продукт:монохлоруксусная кислота:изохинолин=1:5,5:5,5. Выход 77,6 г (96,2% от теор.) вязкой коричневой жидкости. Вычислено, %: N 2,78; Cl 7,04. Найдено, %: N 2,69; Cl 6,91. ИК-спектр: Пример 11. Получен аналогично примеру 1 из 58,6 г (3,6·10-2 г-моля) оксиэтилированного продукта конденсации алкил(С8-С10)фенола с 4,4-диметилдиоксаном-1,3 (оксалем), имеющего общую степень оксиэтилирования, равную 18; 18,7 г (19,8·10-2 г-моля) монохлоруксусной кислоты; 100 мл о-ксилола; 1,9 г Н+ формы катионобменной смолы КУ-2-8 (3,2% от веса оксиэтилированного продукта) и 23,2 г (18,0·10-2 г-моля) изохинолина, что соответствует мольному соотношению – исходный оксиэтилированный продукт:монохлоруксусная кислота:изохинолин=1:5,5:5,0. Выход 92,2 г (96,5% от теор.) вязкой коричневой жидкости. Вычислено, %: N 2,64; Cl 6,69. Найдено, %: N 2,56; Cl 6,77. ИК-спектр: Подавляющее большинство пластмасс являются гидрофобными (не смачивающимися водой) материалами. Гидрофобность этих полимеров во многих случаях является нежелательным свойством, особенно при их использовании в процессах, где требуется высокая смачиваемость и полярность поверхности полимеров (склеивание, металлизация, окрашивание, печатание и др.). Для повышения полярности и смачиваемости полимеров сейчас осуществляют различные технологичные процессы, называемые гидрофилизацией. В процессах гидрофилизации, с целью придания полярности поверхностному слою полимера, используют окисление, введение полярных функциональных групп и др. Для этого поверхности изделий из пластмасс обрабатывают – пламенем щелевой газовой горелки [Такахаси Г. Пленки из полимеров. Л., «Химия», 1971, С.98.]; – ускоренными электронами, или электрическим разрядом высокого напряжения [Патент Швейцарии №527872, кл. С08J 1/50, опубл. 1976]; – путем обработки поверхности химическими реагентами [Патент США №3647512, кл. В44D 1/092, опубл. 1976]. В настоящее время наибольшее распространение в качестве процессов гидрофилизации поверхности полимеров получили химические способы обработки этих поверхностей окисляющими агентами. Часто в качестве окисляющих агентов используют: – смеси конц. серной кислоты с бихроматом калия (хромовые смеси) [Кейгл Ч. Клеевые соединения. М.: Мир, 1971, С.128], а также хромовые смеси с добавками глюкозы [Авт. свид. СССР №528314, кл. С08J 7/14. Бюл. изобр. 1976, №34]; – смеси серной кислоты, воды и перманганата калия с последующей промывкой и обработкой раствором щавелевой кислоты [Шалкаускас М.И. и др. Адгезионные свойства поверхности полиэтилена, травленной раствором перманганата калия. Труды АН Литовской ССР, 1975, №5 (90), С.53-56; Шалкаускас М.И. и др. «Химическая металлизация пластмасс», Ленинград, «Химия», 1972, С.36]. Недостатками известных способов химической обработки поверхности полимеров окисляющими агентами является недостаточно высокая полярность и смачиваемость поверхности получаемого изделия, нестабильная смачиваемость поверхности изделий, заключающаяся в том, что по истечении определенного времени (обычно 2-3 мес.) после обработки достигнутая путем такой гидрофилизации смачиваемость уменьшается и становится равной смачиваемости исходных (не гидрофилизированных) образцов из-за того, что они снова приобретают гидрофобные свойства. Другим недостатком обработки поверхности полимеров окисляющими агентами является то, что применяемые смеси концентрированной серной кислоты с бихроматами или перманганатами обладают высокой агрессивностью и требуют применения керамической или футерированной свинцом аппаратуры. Кроме того, хромовые смеси являются реагентами с высокой токсичностью. Все указанные недостатки могут быть преодолены при использовании предлагаемого нами способа гидрофилизации полимеров. Заявляемый новый способ гидрофилизации осуществлен на эпоксидных полимерах. По этому способу смешивают эпоксидную смолу, отвердитель и сразу же добавляют при перемешивании гидрофилизирующий модификатор, являющий соединением из ряда пента{поли(этиленокси)карбонилметил]-гетерилониевых} производных трифенолов общей формулы: по примерам 1-11, и процесс полимеризации ведут известными методами [Химия и технология полимеров. Пер. с нем., Москва-Ленинград, 1965 г.]. При этом указанные модификаторы (присадки) не вступают в реакцию полимеризации, а равномерно распределяются по всему объему полимера. Часть присадки находится около или на самой поверхности полимерного покрытия. Наличие массивного гидрофобного центра в молекуле гидрофилизирующего модификатора способствует тому, что этот центр оказывается включенным в трехмерную структуру полимера, в то время как гетерилонио[метилкарбонилполи(этиленоксильные)] радикалы, характеризующиеся попеременным включением гидрофильных и гидрофобных фрагментов, находятся в свободном состоянии, образуя на поверхности полимера полярный слой и обеспечивая гидрофилизацию этой поверхности. Эффективность гидрофилизации полимеров по предлагаемому способу проиллюстрирована на примере эпоксидных полимерных покрытий. Определение эффективности осуществляли следующим образом: – для испытаний отбирают партию одинаковых металлических пластинок из стали Ст.3 с размерами 100 мм×10 мм×2 мм; – на отобранные пластинки тонким слоем наносят эпоксидное покрытие, полученное из смеси:
– готовят серии по 10 пластинок с нанесенными эпоксидными покрытиями для каждой дозировки предлагаемых гидрофилизирующих модификаторов; – в качестве контрольных пластинок используют серию из 10 пластинок, на которые наносят эпоксидное покрытие, не содержащее добавки соединения – гидрофилизирующего модификатора; – в химический стакан наливают 100 мл нефти, опускают туда испытуемые и контрольные пластинки и выдерживают их в течение 30 минут, после чего пластинки вынимают и дают стечь излишкам нефти; – в другой химический стакан наливают 100 мл воды, опускают туда испытуемые и контрольные пластинки с налипшей нефтью, одновременно включая секундомер, измеряют время и площадь отмыва пленки нефти с поверхности пластинки. Вычисляют средние величины времени и площади отмыва пленки нефти для каждой серии гидрофилизированных, а также контрольных пластинок; – оценку эффективности гидрофилизирующего действия исследуемых соединений – гидрофилизирующих модификаторов производят следующим образом: «отлично» – отмыв 100% поверхности пластинки за время менее 30 сек, «хорошо» – отмыв 100% поверхности за время от 30 до 60 сек, «удовлетворительно» – отмыв 100% поверхности за время от 60 до 180 сек, «плохо» – отмыв 100% поверхности за время более 180 сек. Результаты испытаний синтезированных соединений в качестве гидрофилизирующих модификаторов эпоксидных полимерных покрытий приведены в табл.1. Из данных таблицы следует, что добавка в эпоксидные покрытия предлагаемых соединений – гидрофилизирующих модификаторов в дозировке 0,8-1,5 вес.% обеспечивает 100%-ную площадь отмыва нефтяной пленки с поверхности полимера за 5-15 сек, в то время как в случае контрольных опытов (без добавления гидрофилизаторов) обеспечивается отмыв 10% поверхности полимера за 180 сек. Это позволяет оценить эффективность гидрофилизации полимерных покрытий добавками предлагаемых соединений – гидрофилизирующих модификаторов на «отлично». Без модификаторов (контрольный опыт) эффективность отмыва нефти с полимерного покрытия оценивается на оценку «плохо». Представленные данные подтверждают высокую эффективность гидрофилизирующего действия предлагаемых пента{[поли(этиленокси)карбонилметил]гетерилониевых}производных трифенолов и заявляемого способа гидрофилизации полимеров. Таким образом, предлагаемые пента{[поли(этиленокси)карбонилметил]гетерилониевые}производные трифенолов являются новыми соединениями, обладающими свойствами гидрофилизирующих модификаторов полимеров, способ их получения также является новым. Предлагаемый способ получения заявляемых соединений является несложным, не требующим специальных условий и оборудования, и может быть осуществлен практически на любом химическом производстве. Эпоксидные полимеры, гидрофилизированные по заявляемому способу, могут найти применение в химической, приборостроительной, радиоэлектронной, нефтяной и нефтехимической промышленности. В нефтяной промышленности при добыче, подготовке и транспортировке нефти большую техническую проблему представляет осаждение в трубопроводах асфальто-смолисто-парафиновых отложений, что связано с высокой гидрофобностью полимерных покрытий металлических труб и аппаратов. Асфальто-смолисто-парафиновые отложения представляют собой смесевые осаждения, включающие в свой состав: парафиновую часть (смесь алканов и церезинов), смолы (высокомолекулярные соединения лактонов, лактидов, азотистых гетероциклов и др.), масла (ароматические и нафтено-ароматические углеводороды и др.), асфальтены, карбены, карбоиды и неорганические включения (песок, глина, соли и вода). Они легко осаждаются на неполярные гидрофобные поверхности, накапливаясь и через некоторое время полностью закупоривая нефтяные трубопроводы. Известен способ предотвращения выпадения асфальто-смолисто-парафиновых отложений нанесением на очищенную и обезжиренную поверхность труб пленки из полиакриламида и жидкого стекла. Жидкое стекло добавляют для улучшения гидрофильности и смачиваемости поверхности полученного покрытия [Насыров А.М. и др. Способы борьбы с отложениями парафина. М.: ВНИИОЭНГ. 1991. – С.32]. Недостатком этого способа является то, что он не обеспечивает продолжительной устойчивости гидрофильной пленки на поверхности нефтепромыслового оборудования в водо-нефтяном потоке. Известен способ предотвращения выпадения асфальто-смолисто-парафиновых отложений нанесением на очищенную поверхность нефтепромыслового оборудования гидрофильной пленки водорастворимого полимера – гидролизованного полиакрилонитрила, сшитого ионами железа. Образующаяся непосредственно на стальной поверхности тонкая гидрофилизированная пленка полимера проявляет водо- и нефтестойкость и обуславливает меньшую адгезию (прилипание) асфальто-смолисто-парафиновых отложений [Патент РФ 2043484, опубл. 1995.09.10]. Недостаток этого способа в недолговечности гидрофильной пленки – срок эксплуатации труб, покрытых этим полимером, не превышает 6 месяцев. Решением проблемы предотвращения выпадения из нефти асфальто-смолисто-парафиновых отложений является использование полимеров, гидрофилизированных по предлагаемому способу для футерирования металлических изделий, например труб, с использованием в качестве гидрофизилирующих модификаторов пента{[поли(этиленокси)карбонилметил]-гетерилониевых}производных трифенолов. Гидрофилизированные полимеры наносят в виде покрытий на металлические изделия, например трубы, известными способами. Полученные таким образом полимерные покрытия обладают способностью к пониженной адгезии промышленных парафинов и асфальто-смолисто-парафиновых отложений. В результате удлиняется срок службы труб, футерированных модифицированными полимерами. Для проведения испытаний по определению эффективности использования при нефтедобыче металлических труб, покрытых гидрофилизированным полимером, получены опытные партии насосно-компрессорных труб с гидрофилизированными эпоксидными полимерыми покрытиями по предлагаемому способу. Результаты испытаний, проведенных на Ромашкинском месторождении, показывают, что срок службы при нефтедобыче труб, футерированных эпоксидными покрытиями, гидрофилизированных по заявляемому способу, составляет 23-24 месяца, в то время как для контрольных насосно-компрессорных труб, футерированных негидрофилизированными эпоксидными покрытиями, составляет 6 месяцев. Полученные результаты свидетельствуют о высокой эффективности предлагаемого способа предотвращения осаждения из нефти асфальто-смолисто-парафиновых отложений на нефтяном оборудовании путем использования металлических труб, футерированных гидрофилизированными полимерными покрытиями с применением пента{[поли(этиленокси)-карбонилметил]гетерилониевых}производных трифенолов. Заявляемый способ может быть использован при добыче, подготовке и транспортировке нефти в нефтяной и нефтехимической промышленности.
Формула изобретения
1. Пента {[поли(этиленокси)карбонилметил]гетерилониевые}производные трифенолов, общей формулы: где R – алифатический углеводородный радикал, содержащий 8-10 атомов углерода; при
R1=H; R2=СН3; k+l+n+m+р=общая степень оксиэтилирования, равная 12 или 15; при
R1=CH3; R2=C2Н5; k+l+n+m+р=общая степень оксиэтилирования, равная 12, 15 или 20; при
k+l+n+m+р=общая степень оксиэтилирования, равная 15 или 18; при
k+l+n+m+р=общая степень оксиэтилирования, равная 15 или 18; при
k+l+n+m+р=общая степень оксиэтилирования, равная 15 или 18. 2. Пента{[поли(этиленокси)карбонилметил]гетерилониевые}производные трифенолов формулы по п.1, обладающие свойствами гидрофилизирующих модификаторов полимеров. 3. Способ получения пента{[поли(этиленокси)карбонилметил]гетерилониевых}производных трифенолов по п.1, заключающийся во взаимодействии монохлоруксусной кислоты с оксиэтилированным продуктом конденсации алкил(С8-С10)фенола с 4,4-диметилдиоксаном-1,3, формулы где R=алифатический углеводородный радикал, содержащий 8-10 атомов углерода; k+l+n+m+р=общая степень оксиэтилирования, равная 12, 15, 18 или 20; в присутствии кислотного катализатора, в среде кипящего органического растворителя, с азеотропным удалением образующейся воды и с последующей обработкой при нагревании полученного продукта реакции гетероциклическими аминосоединениями ряда пиридина общей формулы
где R1=H, СН3; R2=СН3, С2Н5; или ряда хинолина, общей формулы
где R3=H, СН3; или изохинолина, формулы
при молярных соотношениях – оксиэтилированный продукт: монохлоруксусная кислота:гетероциклическое аминосоединение=1:5,0-5,5:5,0-5,5 соответственно. 4. Способ по п.3, заключающийся в том, что в качестве кислотного катализатора используют Н+-форму катионобменной смолы КУ-2-8, взятую в количестве 3-5% от веса исходного оксиэтилированного продукта конденсации алкил(С8-С10)фенола с 4,4-диметилдиоксаном-1,3. 5. Способ по п.3, заключающийся в том, что в качестве органического растворителя используют ароматические углеводороды, например, толуол, или ксилол, или нефрас Ар 120/200. 6. Способ по п.3, заключающийся в том, что обработку гетероциклическими аминосоединениями ведут при температуре 70-90°С. 7. Способ гидрофилизации эпоксидных полимеров при их получении, заключающийся в том, что в реакционную смесь, состоящую из эпоксидной смолы и отвердителя, дополнительно вводят гидрофилизирующий модификатор полимеров, в качестве которого используют соединения по п.1 в количестве 0,7-1,5% от веса реакционной смеси. 8. Металлическое изделие, например труба, футерированная полимерным покрытием, отличающееся тем, что в качестве полимерного покрытия используют полимеры, гидрофилизированные по п.7. 9. Способ предотвращения осаждения из нефти асфальто-смолисто-парафиновых отложений на нефтяном оборудовании, заключающийся в его футерировании эпоксидными полимерами, гидрофилизированными по п.7.
|
||||||||||||||||||||||||||






















(C=O)=1750 см-1; V(C-О ациклич.)=1115-1135 см-1; 









