|
|
(21), (22) Заявка: 2004117527/04, 05.11.2002
(24) Дата начала отсчета срока действия патента:
05.11.2002
(30) Конвенционный приоритет:
09.11.2001 US 60/348,205
(43) Дата публикации заявки: 10.04.2005
(46) Опубликовано: 10.03.2008
(56) Список документов, цитированных в отчете о поиске:
JP 57007426 А, 14.01.1982. WO 9210450 А, 25.06.1992. ЕР 0311352 А, 12.04.1989. WO 9103262 А, 21.03.1991. Karsch H.H. et al., “Funktionelle Trimethylphosphanderivate, XVIII [1] Methyl(Phosphinomethyl)Silanes and – Stannanes,” Zeitschrift Fur Naturforschung, Teil B: Anorganische Chemie, Organische Cheime., vol.38b, No. 11, 1983, pp.1399-1405. RU 94006805 A1, 27.09.1995.
(85) Дата перевода заявки PCT на национальную фазу:
09.06.2004
(86) Заявка PCT:
EP 02/12381 (05.11.2002)
(87) Публикация PCT:
WO 03/040065 (15.05.2003)
Адрес для переписки:
129010, Москва, ул. Б.Спасская, 25, стр.3, ООО “Юридическая фирма Городисский и Партнеры”, пат.пов. Е.Е.Назиной, рег. № 517
|
(72) Автор(ы):
ДРЕНТ Эйт (NL), ЭБЕРХАРД Михель Рольф (US), ВАН ДЕР МАДЕ Рената Хелена (NL), ПРИНГЛ Пол Джерард (GB)
(73) Патентообладатель(и):
ШЕЛЛ ИНТЕРНЭШНЛ РИСЕРЧ МААТСХАППИЙ Б.В. (NL)
|
(54) СПОСОБ ТЕЛОМЕРИЗАЦИИ ДИЕНА С СОПРЯЖЕННЫМИ ДВОЙНЫМИ СВЯЗЯМИ, КАТАЛИЗАТОР И БИДЕНТАТНЫЙ ЛИГАНД, ИСПОЛЬЗУЕМЫЕ В УКАЗАННОМ СПОСОБЕ
(57) Реферат:
Изобретение относится к усовершенствованному способу теломеризации диена с сопряженными двойными связями, где диен с сопряженными двойными связями взаимодействует с соединением, содержащим активный атом водорода и выбранным из группы, состоящей из алканолов, гидроксиароматических соединений, карбоновых кислот и воды, в присутствии катализатора теломеризации на основе: (а) источника металла VIII группы, (b) бидентатного лиганда, где бидентатный лиганд имеет общую формулу (I) R1R2M1-R-M2R3R4, в которой М1 и М2 независимо означают Р; R1, R2, R3 и R4 независимо означают одновалентную алифатическую группу; или R1, R2 и М1 вместе и/или R3, R4 и М2 вместе независимо означают алифатическую циклическую группу, с 5-12 атомами в цикле, из которых один означает атом М1 или М2 соответственно; и R означает двухвалентную органическую мостиковую группу, которая представляет собой незамещенную алкиленовую группу или алкиленовую группу, замещенную группами низшего алкила, где указанные группы низшего алкила могут содержать кислород в качестве гетероатома; или группу, содержащую два бензольных кольца, связанных друг с другом или с алкиленовыми группами, которые в свою очередь связаны с М1 и М2; и к новым бидентатным лигандам, которые могут быть использованы в данном способе: формулы II R1R2M1-V-M2R3R4 и формулы (III) Q1Q2M1-Q5-Ar1-Ar2-Q6-M2Q3Q4. Изобретение также относится к усовершенствованному способу получения 1-октена, включающему стадию теломеризации 1,3-бутадиена с образованием 1-замещенного-2,7-октадиена указанным выше способом. 5 н. и 5 з.п. ф-лы, 1 ил., 1 табл.
Настоящее изобретение касается способа теломеризации диена с сопряженными двойными связями и катализатора и бидентатного лиганда, которые могут быть использованы в данном способе. В частности настоящее изобретение касается способа теломеризации бутадиена и катализатора и бидентатного лиганда, которые могут быть использованы в данном способе.
Теломеризация бутадиена известна в данной области, например, из WO-A-9210450. WO-A-9210450 описывает реакцию теломеризации, где 1,3-бутадиен взаимодействует с соединением, содержащим активный атом водорода и имеющим формулу R-H, в присутствии катализатора теломеризации, образуя 1-замещенный-2,7-октадиен формулы CH2=CH-CH2-CH2-CH2-CH=CH-CH2-R, где R означает остаток соединения, содержащего активный атом водорода. WO-A-9210450 описывает широкий ряд катализаторов теломеризации. Описанным в примере катализатором теломеризации является катализатор на основе палладий-ацетилацетонат/трифенилфосфин. С данным катализатором теломеризации селективность в отношении продукта теломеризации, линейного 1-метокси-2,7-октадиена, составляет 89,4%.
Хотя в описании вскользь упомянута возможность применения дифосфиновых лигандов, а именно бис(дифенилфосфин)этана, дифосфиновый лиганд не раскрыт в примерах.
Задачей настоящего изобретения является разработка способа теломеризации диена с сопряженными двойными связями, где реакция теломеризации может быть проведена с повышенной селективностью в отношении линейного продукта теломеризации.
К настоящему времени установлено, что теломеризация диена с сопряженными двойными связями может быть проведена с высокой селективностью в отношении линейного продукта теломеризации в присутствии каталитической системы.
Таким образом, настоящее изобретение относится к способу теломеризации диена с сопряженными двойными связями, где диен с сопряженными двойными связями взаимодействует с соединением, содержащим активный атом водорода и имеющим формулу R-H, в присутствии катализатора теломеризации на основе:
(а) источника металла VIII группы,
(b) бидентатного лиганда,
где бидентатный лиганд имеет общую формулу I
R1R2M1-R-M2R3R4 (I),
в которой M1 и M2 независимо означают P, As или Sb;
R1, R2, R3 и R4 независимо означают одновалентную алифатическую группу;
или R1, R2 и M1 вместе и/или R3, R4 и M2 вместе независимо означают необязательно замещенную алифатическую циклическую группу, по меньшей мере, с 5 атомами в цикле, из которых один означает атом M1 или M2 соответственно;
и R означает двухвалентную органическую мостиковую группу.
Использование такой специфической каталитической системы приводит к улучшенной селективности в отношении линейного продукта при достижении скоростей реакции, значительно больших 500 моль диена с сопряженными двойными связями/моль металла VIII группы/час.
Диен с сопряженными двойными связями предпочтительно содержит от 4 до 20, более предпочтительно от 4 до 8 атомов углерода на молекулу. Диен с сопряженными двойными связями может быть замещенным или незамещенным и может содержать ряд гетероатомов. Примеры диенов с сопряженными двойными связями, которые могут быть использованы, включают 1,3-бутадиен, изопрен 1,3-пентадиен, 1,3-гексадиен. Предпочтительно диен с сопряженными двойными связями является незамещенным и предпочтительно диен с сопряженными двойными связями содержит только атомы углерода. Наиболее предпочтительно диен с сопряженными двойными связями означает 1,3-бутадиен.
Способом теломеризации 1,3-бутадиена может быть получен 1-замещенный-2,7-октадиен. 1-Замещенный-2,7-октадиен может быть использован в способе получения 1-октена, содержащего по существу неразветвленные олефиновые C8-изомеры. Такой способ представлен в качестве примера в WO-A-9210450. Данное изобретение также относится к способу получения 1-октена, включающий:
(а) теломеризацию 1,3-бутадиена, как указано здесь, с образованием 1-замещенного-2,7-октадиена;
(b) гидрирование 1-замещенного-2,7-октадиена со стадии a), дающее 1-замещенный октан;
(с) расщепление 1-замещенного октана со стадии b) с образованием 1-октена.
Стадия a) данного способа может быть выполнена, как описано здесь. Стадии b) и c) обычно выполняют, как описано в WO-A-9210450.
Диен с сопряженными двойными связями, используемый в качестве исходного соединения, может содержать небольшие количества других насыщенных или ненасыщенных углеводородов. Например, сырая C4-углеводородная смесь может быть использована в качестве сырья для 1,3-бутадиена. Такая сырая C4-смесь может содержать помимо 1,3-бутадиена другие C4-углеводороды, такие как бутены и бутаны.
Содержащее активный водород соединение R-H может означать любое соединение с реакционноспособным атомом водорода. Примеры таких содержащих активный водород соединений включают алканолы, гидрокси-ароматические соединения, карбоновые кислоты, аммиак, первичные и вторичные амины и воду.
Предпочтительные содержащие активный водород соединения включают воду, алканолы и гидрокси-ароматические соединения.
Алканолы, которые могут быть использованы в способе по изобретению, включают одноатомные и многоатомные спирты, которые могут быть линейными или разветвленными, насыщенными или ненасыщенными. Предпочтительными алканолами для способа по изобретению являются алканолы, содержащие от 1 до 20, более предпочтительно от 1 до 6 атомов углерода на молекулу, и алкандиолы, содержащие от 2 до 20, более предпочтительно от 2 до 6 атомов углерода на молекулу. Подходящие алканолы для способа по изобретению включают метанол, этанол, этандиол, пропанол, 1,2-пропандиол, 1,3-пропандиол, изопропанол, бутанол, 1,2-бутандиол, 1,4-бутандиол, изобутанол, трет.бутанол, пентанол, гексанол, гександиол, циклогексанол и циклогександиол. Из них предпочтительными являются метанол, этанол и фенол. Метанол и фенол в особенности предпочтительны.
Примерами гидрокси-ароматических соединений являются ароматические соединения, содержащие один или более циклов, такие как фенол, бензиловый спирт, крезолы, ксиленолы, нафтол, а также многоатомные соединения, такие как резорцин, гидрохинон и пирокатехин. Могут быть также использованы алкил-, алкокси- и/или галоген-замещенные ароматические гидрокси-соединения.
Примеры карбоновых кислот, которые могут быть использованы в способе по изобретению, включают алифатические карбоновые кислоты, содержащие до 20 атомов углерода. Предпочтительными карбоновыми кислотами являются кислоты, содержащие от 1 до 6 атомов углерода, такие как, например, уксусная кислота, пропионовая кислота, масляная кислота. Примеры подходящих ароматических карбоновых кислот включают бензойную кислоту и толуолкарбоновую кислоту. Также могут быть использованы дикарбоновые кислоты, такие как, например, адипиновая кислота и фталевая кислота.
Примерами аминовых соединений, которые могут быть использованы в способе по изобретению, являются аммиак и первичные и вторичные амины. Подходящие аминовые соединения включают, например, первичные алифатические амины, такие как метиламин, этиламин, бутиламин, додециламин и тому подобное; первичные ароматические амины, такие как анилин, толуидин, бензиламин и тому подобное; вторичные амины, такие как диметиламин, диэтиламин, N-метиланилин, дициклогексиламин, метилгексиламин и тому подобное; а также полиамин, такой как фенилендиамин, этилендиамин; и гетероциклические амины, такие как пиперидин.
Реакцию теломеризации проводят в присутствии специфического катализатора.
Металл VIII группы предпочтительно выбирают из металлов, включающих родий, никель, палладий и платину. Из указанных металлов предпочтительны палладий и платина. Палладий наиболее предпочтителен.
Примерами подходящих источников металлов являются металлические платина или палладий и платина или палладий на носителе. Другие подходящие источники включают платиновые или палладиевые катионные комплексы, которые могут быть превращены в Pd(0) или Pt(0) в ходе взаимодействия. Примеры таких платиновых или палладиевых катионных комплексов включают карбоксилаты платины или палладия. Предпочтительным источником палладия является тетракис(дибензилацетон)палладий. Бидентатный лиганд имеет общую формулу I
R1R2M1-R-M2R3R4 (I),
в которой M1 и M2 независимо означают P, As или Sb;
R1, R2, R3 и R4 независимо означают одновалентную алифатическую группу;
или R1, R2 и M1 вместе и/или R3, R4 и M2 вместе независимо означают необязательно замещенную алифатическую циклическую группу, по меньшей мере, с 5 атомами в цикле, из которых один означает атом M1 или M2 соответственно;
и R означает двухвалентную органическую мостиковую группу.
В бидентатном лиганде формулы I M1 и M2 предпочтительно являются одинаковыми и более предпочтительно оба означают атомы фосфора.
Двухвалентная органическая мостиковая группа R предпочтительно содержит от 1 до 6 и более предпочтительно от 2 до 6 атомов в мостике. Подразумевается, что выражение “в мостике”, как использовано здесь, означает наикратчайшее соединение между атомами M1 и M2.
Подходящие мостиковые группы включают замещенные и незамещенные алкиленовые группы. Алкиленовая группа может содержать один или более гетероатомов, таких как Si, N, O, S, в мостике, но предпочтительно содержит в мостике только атомы углерода. Алкиленовая группа может быть замещена одной или более группами и предпочтительно замещена двумя группами. Заместители могут содержать один или более гетероатомов. Примеры незамещенных алкиленовых мостиковых групп включают метиленовую, этиленовую и триметиленовую группы. Примеры замещенных алкиленовых мостиковых групп включают, например, 2,2-диметилтриметилен (т.е. неопентилен), 2,2-диэтил-триметилен, 2,2-диметилтетраметилен, 2-метил,2-гидроксиметил-триметилен (т.е. неопентилол), 2,2 дигидроксиметилтриметилен (т.е. неопентилдиол). Предпочтительными алкиленовыми мостиковыми группами являются этиленовая, триметиленовая и неопентиленовая группы, предпочтительно связывающие соответственно атом M1 и M2 по первому, второму или третьему атому углерода, такие как 1,2-этиленовая, 1,3-триметиленовая или 1,3-неопентиленовая группа. Из указанных групп в особенности предпочтительны неопентиленовые группы. Предпочтительно неопентиленовая мостиковая группа замещена одной или более гидроксигруппами.
Мостиковая группа может также содержать одну или более алифатических или ароматических циклических структур. Предпочтительно такая мостиковая группа все же содержит всего от 2 до 6 атомов углерода в мостике. В особенности предпочтительная мостиковая группа содержит две ароматических циклических структуры, предпочтительно два бензольных цикла. Такие ароматические циклические структуры предпочтительно соединены друг с другом и с двумя алкиленовыми группами, которые, в свою очередь, соединены соответственно с M1 и M2.
Алкиленовые группы предпочтительно присоединены к ароматическим циклическим структурам по расположенным напротив в орто-положениях атомам углерода, через которые связаны ароматические циклические структуры.
В предпочтительном варианте выполнения R1, R2 R3 и R4 независимо означают первичную, вторичную или третичную алкильную группу. Предпочтительно алкильная группа содержит от 1 до 10 атомов углерода, более предпочтительно от 1 до 6 атомов углерода. Примеры таких алкильных групп включают метил, этил, пропил, изопропил, бутил, втор-бутил, изобутил, трет-бутил, пентил, втор-пентил, циклопентил, гексил, циклогексил. Предпочтительно R1, R2, R3 и R4 независимо означают первичную алкильную группу. Примеры подходящих первичных алкильных групп включают метил, этил и пропил. Предпочтительно группы R1-R4 означают одни и те же первичные алкильные группы. Наиболее предпочтительно R1-R4 означают метильные или этильные группы.
По другому предпочтительному варианту выполнения R1, R2 и M1 вместе и/или R3, R4 и M2 вместе независимо означают необязательно замещенную алифатическую циклическую группу с, по меньшей мере, 5 атомами в цикле, из которых один означает атом M1 или M2 соответственно.
Под “циклической группой” здесь подразумевается моноциклическая или полициклическая группа, такая как бициклические или трициклические группы. Предпочтительными циклическими группами являются бициклические группы. Циклическая группа содержит, по меньшей мере, один гетероатом, т.е. атом M1 или M2 соответственно, но может содержать большее число гетероатомов. Подходящие гетероатомы, которые могут дополнительно присутствовать в циклической группе, включают P, As, Sb, O, N, S и Si. Необязательно замещенная алифатическая циклическая группа содержит, по меньшей мере, 5 атомов в цикле. Предпочтительно циклическая группа содержит от 6 до 20 атомов в цикле, более предпочтительно от 6 до 12 атомов в цикле.
Предпочтительно оба, M1 и M2, означают фосфор и как R1, R2 и M1 вместе, так и R3, R4 и M2 вместе означают фосфабициклоалкильную группу. В наиболее предпочтительном варианте выполнения алифатическая циклическая группа содержит 9 атомов в цикле и образует 9-фосфабициклононильную группу. 9-Фосфабициклононильной группе может соответствовать несколько изомерных структур. В целях изобретения предпочтительны изомеры [3,3,1] и [4,2,1]. R1, R2 и M1 вместе и/или R3, R4 и M2 вместе могут одновременно иметь одинаковые или каждый различные изомерные структуры. Предпочтительно R1, R2 и M1 вместе и/или R3, R4 и M2 вместе имеют структуру [3,3,1].
Один или оба фосфабициклоалкильных кольца могут быть замещены одной или более подходящими гидрокарбильными группами, содержащими атомы углерода и/или гетероатомы. Подходящие заместители включают группы, содержащие гетероатомы, такие как галогены, серу, фосфор, кислород и азот. Примеры таких групп включают хлорид, бромид, иодид, тиол и группы общей формулы -Y1-OH, -Y1-CO-OH, -Y1-SH, -S-Y1, -О-Y1, -CO-Y1, -NH2, -NHY1, -NY1Y2, -CO-NY1Y2, -OH, -PO4, -NO2, -NOH, -CO, -SO2, -S-OH, где Y1 и Y2 независимо означают C1-C10-алкильные группы. Если фосфабициклоалкильное кольцо замещено, то указанное кольцо предпочтительно замещено углерод-содержащей группой. Такая углерод-содержащяя группа может, однако, включать дополнительные гетероатомы, такие как галогены, серу, кислород и азот, или вышеуказанные гетерогруппы. Предпочтительно замещенные фосфабицикло-алкильные кольца замещены алкильными группами, предпочтительно с 1-10 атомами углерода, более предпочтительно с 1-4 атомами углерода. Могут быть использованы линейные, разветвленные или циклические группы. Подходящие алкильные группы включают метил, этил, пропил, изопропил, бутил и изобутил. Более целесообразно использовать метильные группы. Если фосфабициклоалкильное кольцо замещено, то указанное кольцо может быть моно- или поли-замещенным и предпочтительно дизамещенным. Более предпочтительно фосфабициклоалкильное кольцо в этом случае является замещенным двумя метильными группами. Фосфабициклоалкильное кольцо может быть замещено по всем углеродным атомам цикла. Однако использование циклов с заместителями на некоторых атомах углерода может оказаться более выгодным. Удобно использовать фосфабициклоалкильные кольца с заместителями на двух атомах углерода, подходящим является атом углерода 1, 2, 8 и атом углерода 4, 5 или 6.
Примеры подходящих бидентатных лигандов включают:
1,3-бис(диэтилфосфино)пропан;
1,3-бис(диметилфосфино)пропан;
1,3-бис-(1,4-циклооктиленфосфино)пропан, т.е.
1,3-PP’бис-(9-фосфабицикло[4,2,1]нонил)пропан;
1,3-бис-(1,5-циклооктиленфосфино)пропан, т.е.
1,3-PP’бис-(9-фосфабицикло[3,3,1]нонил)пропан;
1,2-бис-(1,4-циклооктиленфосфино)этан, т.е.
1,2-PP’бис(9-фосфабицикло[4,2,1]нонил)этан;
1,2-бис-(1,5-циклооктиленфосфино)этан, т.е.
1,2-PP’бис-(9-фосфабицикло[3,3,1]нонил)этан;
2,2-диметил,1,3-PP’бис-(9-фосфабицикло[3,3,1]нонил)пропан;
2-метил,2-гидроксиметил,1,3-PP’бис-(9-фосфабицикло[3,3,1]-нонил)пропан;
2,2-диметил,1,3-PP’бис-(9-фосфабицикло[4,2,1]нонил)пропан;
2-метил,2-гидроксиметил,1,3-PP’бис(9-фосфабицикло[4,2,1]-нонил)пропан;
2,2′-бис-(1,4-циклооктиленфосфинометил)-1,1′-дифенил;
2,2′-бис-(1,5-циклооктиленфосфинометил)-1,1′-дифенил и их смеси.
Некоторые из бидентатных лигандов, которые могут быть использованы по настоящему изобретению, рассматриваются как новые.
Кроме того, настоящее изобретение касается также бидентатного лиганда формулы II,
R1R2M1-V-M2R3R4 (II),
в которой M1 и M2 независимо означают P, As или Sb;
R1, R2, R3 и R4 независимо означают одновалентную алифатическую группу;
или R1, R2 и M1 вместе и/или R3, R4 и M2 вместе независимо означают необязательно замещенную алифатическую циклическую группу, по меньшей мере, с 5 атомами в цикле, из которых один означает атом M1 или M2 соответственно;
и V означает мостиковую группу, состоящую из триметиленовой группы, связанной с M1 или M2, средний атом углерода которой имеет две дополнительные связи с неводородным атомом.
R1, R2, M1, M2, R3 и R4 означают те же самые группы, что указаны выше.
V означает мостиковую группу, состоящую из триметиленовой группы, связанной с M1 или M2, средний атом углерода которой имеет две дополнительные связи с неводородным атомом. Средний атом может иметь две дополнительные связи с одним неводородным атомом, т.е. двойную связь, или средний атом может иметь две дополнительные связи с отдельными неводородными атомами.
Примеры неводородных атомов, с которыми средняя углеродная группа может образовывать двойную связь, включают гетероатомы, такие как кислород, азот, серу или кремний. Кроме того, средний атом углерода может быть связан двойной связью с другим атомом углерода.
Однако предпочтительно средний углерод имеет две дополнительные связи с двумя отдельными неводородными атомами. В предпочтительном варианте выполнения мостиковая группа V означает группу, имеющую формулу
-C(V1)-C(V3;V4)-C(V2)- (IV),
где V1 и V2 независимо означают необязательно замещенную алкильную группу с 1-4 атомами углерода, такую как метил, этил, пропил и изопропил, или водород, а V3 и V4 независимо означают неводородную группу.
Каждый из V3 и V4 может означать отдельную группу, либо V3, V4 и средний атом углерода вместе могут образовывать циклическую группу.
Если V3, V4 и средний атом углерода вместе образуют циклическую группу, циклическая группа предпочтительно содержит от 3 до 10 атомов в цикле, более предпочтительно от 3 до 6 атомов в цикле. Циклическими атомами могут быть гетероатомы или атомы углерода, но предпочтительно атомы углерода.
Однако предпочтительно каждый из V3 и V4 независимо означает углеводородную группу, содержащую атомы углерода и/или гетероатомы. Подходящие для этой цели углеводородные группы включают группы, содержащие гетероатомы, такие как сера, фосфор, кислород и азот. Примеры таких групп включают группы общей формулы -X1-OH, -X1–CO-OH, -X1-SH, -S-X1, -О-X1, -CO-X1, -NH2, -NHX1, -NX1-X2, -CO-NX1-X2, -OH, -PO4, -NO2, -NOH, -CO, -SO2, -S-OH, где X1 и X2 независимо означают алкильную или алкиленовую группы с 1-10 атомами углерода. Предпочтительно V3 и/или V4 означают содержащую углерод группу. Такая содержащая углерод группа может, однако, содержать дополнительно гетероатомы, такие как галогены, серу, кислород и азот, или вышеуказанные гетерогруппы. Предпочтительно V3 и/или V4 означают группы, выбираемые из группы, включающей: метил, этил, пропил, гидроксиметил и гидроксиэтил.
Предпочтительные бидентатные дифосфины, отвечающие формуле II, включают
2,2-диметил-1,3-бис-(1,4-циклооктиленфосфино)пропан;
2-метил-2-гидроксиметил-1,3-бис-(1,4-циклооктилен-фосфино)пропан;
2,2-дигидроксиметил-1,3-бис-(1,4-циклооктиленфосфино)-пропан;
2,2-диметил-1,3-бис-(1,5-циклооктиленфосфино)пропан;
2-метил-2-гидроксиметил-1,3-бис-(1,5-циклооктилен-фосфино)пропан;
2,2-дигидроксиметил-1,3-бис-(1,5-циклооктиленфосфино)-пропан.
Такие лиганды могут быть получены путем:
i) взаимодействия P-циклооктиленгидрида (фосфабициклононангидрида) и бутиллития с образованием литийциклооктиленфосфида (фосфабициклононанлитий).
ii) введения тозилат-группы в 3-метил-3-оксетанметанол путем взаимодействия с п-толуолсульфонилхлоридом в дихлорметане в качестве растворителя при 0°C в присутствии пиридина.
iii) взаимодействия фосфида со стадии i) с тозилат-замещенным оксетаном со стадии ii), например, при 0°C для первой фосфидной группы и в условиях нагревания с обратным холодильником до температуры кипения для второй фосфидной группы, например, в тетрагидрофуране в качестве растворителя.
Иллюстративный пример такого взаимодействия приведен на чертеже.
Настоящее изобретение также касается бидентатного лиганда формулы (III),
Q1Q2M1-Q5-Ar1-Ar2-Q6-M2Q3Q4 (III),
где M1 и M2 независимо означают P, As или Sb;
Q1, Q2 и M1 вместе и Q3, Q4 и M2 вместе независимо означают необязательно замещенную алифатическую циклическую группу, по меньшей мере, с 5 атомами в цикле, из которых один означает атом M1 или M2 соответственно;
каждый из Q5 и Q6 независимо означает необязательно замещенные алкиленовые группы
и Ar1 и Ar2 независимо означают необязательно замещенную ароматическую группу. Бидентатные дифосфиновые лиганды, содержащие диметилендифениловый мостик, известны в данной области.
WO-A-8707600 описывает бидентатные дифосфины, содержащие диметилендифениловый мостик и замещенные по каждому из атомов фосфора двумя дополнительными группами.
Тем не менее, WO-A-8707600 не содержит описания бидентатного дифосфина, в котором атом фосфора является частью алифатической циклической группы.
M1 и M2 означают одинаковые вышеуказанные группы. Преимуществами пользуются вышеуказанные случаи.
Q1, Q2 и M1 вместе и Q3, Q4 и M2 вместе независимо означают необязательно замещенную циклическую группу, по меньшей мере, с 5 атомами в цикле, из которых один означает атом M1 или M2 соответственно. Преимуществами обладают те же случаи, что указаны выше для циклических групп, представленных R1, R2 и M1 вместе и R3, R4 и M2 вместе соответственно.
Каждый из Q5 и Q6 независимо означает необязательно замещенную алкиленовую группу. Предпочтительно такая алкиленовая группа содержит от 1 до 6, более предпочтительно, от 1 до 4 атомов углерода. Алкиленовая группа может быть замещена одной или более гидрокарбильными группами. Если алкиленовая группа замещена, то указанная группа предпочтительно замещена алкильными группами, желательно с 1-6, более предпочтительно с 1-4 атомами углерода.
Предпочтительно алкиленовая группа является незамещенной. Предпочтительно обе алкиленовые группы являются одинаковыми и предпочтительно обе алкиленовые группы означают незамещенную метиленовую или этиленовую группы. Наиболее предпочтительно оба, Q5 и Q6, означают незамещенную метиленовую группу.
Каждый из Ar1 и Ar2 независимо означает ароматическую группу. Предпочтительно ароматическая группа содержит от 6 до 20 атомов углерода, более предпочтительно от 6 до 14 атомов углерода. Примеры подходящих ароматических групп включают фенил, нафтил, фенантрил и антраценил. Из указанных групп фенильные группы предпочтительны. Ароматическая группа может быть замещена одним или более гетероатомами и/или гидрокарбильными группами. Используемые для данной цели гидрокарбильные группы включают алкильные, алкокси- и карбонильные группы. Предпочтительно ароматическая группа является незамещенной. Ароматические группы предпочтительно связаны друг с другом через атом углерода, следующий за атомом углерода, связанным с алкиленовой группой.
Предпочтительный бидентатный дифосфин, отвечающий формуле III, включает
2,2′-бис-(1,4-циклооктиленфосфинометил)-1,1′-дифенил;
2,2′-бис-(1,5-циклооктиленфосфинометил)-1,1′-дифенил и их смеси.
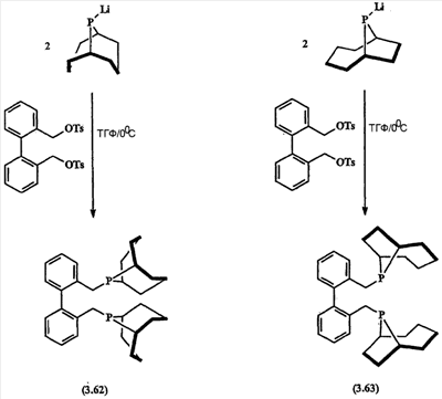
Такие лиганды могут быть получены взаимодействием P-циклооктиленгидрида (фосфабициклононангидрида) и бутиллития с образованием литийциклооктиленфосфида (фосфабициклононанлития). Последний фосфид подвергают взаимодействию с 2,2′-диметил-1,1’дифенильной группой, замещенной подходящими уходящими группами, предпочтительно тозилатами, мезилатами и трифлатами, в соответствующих условиях. Предпочтительными алифатическими группами являются группы, содержащие циклическую сульфатную структуру в качестве уходящей группы, такие как циклические замещенные или незамещенные сложные алкандиолсульфатные эфиры, называемые также циклическими алкилсульфатами.
Например, 2,2′-бис-(1,4-циклооктиленфосфинометил)-1,1′-дифенил может быть получен взаимодействием фосфабициклононангидрида и бутиллития с образованием соответствующего литийфосфида и последующим взаимодействием литийфосфида, например, при 0°C в тетрагидрофуране, с ди-п-тозилатным эфиром 2,2′-диметил-1,1’дифенила, где тозилатные группы замещены на метильные группы.
P-циклооктиленгидрид (фосфабициклононангидрид) обычно может быть получен, как описывают Elsner et al. (Chem. Abstr. 1978, vol. 89, 180154x).
Настоящее изобретение также касается каталитической системы, содержащей:
I) источник металла VIII группы;
II) бидентатный лиганд, отвечающий вышеуказанной общей формуле II или III.
Каталитическая система по настоящему изобретению может быть успешно применена для теломеризации диенов с сопряженными двойными связями.
Количество используемого катализатора теломеризации не имеет решающего значения, и может быть использовано любое каталитически эффективное количество. В большинстве случаев можно использовать количества в пределах от 0,000001 до 1 и предпочтительно от 0,000005 до 0,01 грамм-атома металла VIII группы на моль диена с сопряженными двойными связями. Для достижения высоких каталитических эффективностей без возвращения катализатора на повторный цикл используют количества менее 0,0001, предпочтительно менее 0,00005 и более предпочтительно менее 0,00002 грамм-атома металла VIII группы на моль диена с сопряженными двойными связями.
Бидентатный лиганд обычно используют при относительном количестве от 1 до 20 моль и предпочтительно от 2 до 15 моль бидентатного лиганда на грамм-атом металла VIII группы. Бидентатный лиганд может быть добавлен в виде отдельного соединения к реакционной смеси или зоне, или к каталитическому подпитывающему раствору, либо может быть включен в комплекс металла VIII группы.
Способ по настоящему изобретению предпочтительно осуществлять, по существу, в отсутствии кислорода, поскольку кислород взаимодействует с бидентатным лигандом и, следовательно, может приводить к пониженной каталитической активности. В способе по настоящему изобретению один или более реагентов и/или полученный продукт могут играть роль разбавителя. Следовательно, нет необходимости в использовании отдельного растворителя. Однако обычно реакцию карбонилирования можно проводить при дополнительном присутствии растворителя. В качестве указанных растворителей рекомендуются насыщенные углеводороды, например парафины и изоалканы. Другие подходящие растворители включают простые эфиры, такие как 2,5,8-триоксанонан (диглим), диэтиловый эфир и анизол, и кетоны, такие как метилбутилкетон. Растворители, содержащие сульфоны или по существу состоящие из сульфонов, также предпочтительны. Сульфоны в особенности предпочтительны, например, диалкилсульфоны, такие как диметилсульфон и диэтилсульфон, и циклические сульфоны, такие как сульфолан (тетрагидротиофен-2,2-диоксид), сульфолан, 2-метилсульфолан и 2-метил-4-этилсульфолан.
Температура, при которой проводят реакцию теломеризации, не имеет решающего значения. Как правило, могут быть использованы температуры в пределах от комнатной температуры до 150°C. Предпочтительно реакционная температура составляет от 40 до 100°C и более предпочтительно от 50 до 100°C.
Давление, при котором проводят реакцию теломеризации не имеет решающего значения. Обычно реакционное давление лежит в пределах от 1 до 10 бар.
Реакция теломеризации может быть выполнена непрерывным, полупериодическим и периодическим способами.
Изобретение иллюстрируется следующими нелимитирующими примерами.
Примеры 1-9 пример сравнения A
Эксперименты проводят в C автоклаве Hastelloy на 250 мл. Катализатор теломеризации получают отдельно в виде 5 мл раствора 0,25 ммоль Pd(дибензилацетон)2 и 0,3 ммоль бидентатного лиганда в метаноле, как указано в таблице. Раствор катализатора вносят в автоклав в атмосфере азота в среду из спирта и необязательно дополнительного инертного растворителя, как указано в таблице. Автоклав закрывают, вакуумируют и накачивают внутрь 15 мл 1,3-бутадиена.
Затем реактор плотно закрывают и содержимое нагревают до температуры, указанной в таблице. Температуру поддерживают во время взаимодействия такую, как указано в таблице. После чего автоклав охлаждают до комнатной температуры и содержимое анализируют стандартной ГЖХ. Установленная скорость реакции и селективность в отношении линейного 1-замещенного 2,7-октадиена приведены в таблице. Образующиеся побочные продукты включают винилциклогексен и простые эфиры монобутенила.
Простые эфиры монобутенила могут быть очень полезны для широкого ряда других применений. Скорость реакции определяется как средняя скорость 90% конверсии бутадиена.
| Пример |
Среда |
Бидентатный лиганд |
Температура |
Реакционное время (часы) |
Скорость реакции (моль/моль/час) |
Селективность в отношении линейного продукта теломеризации |
| 1 |
20 мл метанол/ 40 мл диглим |
BDEPP |
70 |
0,5 |
1400 |
91,5 |
| 2 |
20 мл метанол/ 40 мл NMR |
BDEPP |
70 |
0,5 |
1000 |
90 |
| 3 |
20 мл метанол/ 40 мл диглим |
BDMPP |
70 |
0,25 |
2000 |
94 |
| 4 |
20 мл метанол/ 40 мл диглим |
BCOPP |
70 |
1,5 |
500 |
93 |
| 5 |
50 мл метанол |
MHBCOPP |
70 |
0,25 |
3000 |
95 |
| 6 |
50 мл метанол |
BCOPE |
70 |
0,25 |
2000 |
94 |
| 7 |
50 г фенол/ 40 мл диглим |
BCOPE |
60 |
0,5 |
1500 |
90 |
| 8 |
50 мл метанол |
1,4-BCOPMB |
Повышается от 70 до 85 |
n.d. |
n.d. |
961 |
| 9 |
50 мл метанол |
1,5-BCOPMB |
70 |
n.d. |
n.d. |
922 |
| А |
50 мл метанол |
DPPP |
70 |
5 |
n.d. |
–3 |
n.d.= не определялось
BDEPP = 1,3-бис(диэтилфосфино)пропан
BDMPP = 1,3-бис(диметилфосфино)пропан
BCOPP = смесь 1,3-бис-(1,4-циклооктиленфосфино)пропана и 1,3-бис-(1,5-циклооктиленфосфино)пропана
BCOPE = смесь 1,2-бис-(1,4-циклооктиленфосфино)этана и 1,2-бис(1,5-циклооктиленфосфино)этана
MHBCOPP = 2-метил,2-гидроксиметил, 1,3-бис-(1,4-
циклооктиленфосфино)пропан
1,4-BCOPMB = 2,2′-бис-(1,4-циклооктиленфосфинометил)-1,1′-дифенил
1,5-BCOPMB = 2,2′-бис-(1,5-циклооктиленфосфинометил)-1,1′-дифенил
NMP = N-метил-2-пирролидон
DPPP = 1,3-бис(дифенилфосфино)пропан
1 = образуется всего 4% продукта теломеризации, тогда как 59% получено простых эфиров монобутенила
2 = образуется всего 31% продукта теломеризации, тогда как 59% получено простых эфиров монобутенила
3 = получены только следы простых эфиров
Формула изобретения
1. Способ теломеризации диена с сопряженными двойными связями, где диен с сопряженными двойными связями взаимодействует с соединением, содержащим активный атом водорода и выбранным из группы, состоящей из алканолов, гидроксиароматических соединений, карбоновых кислот и воды, в присутствии катализатора теломеризации на основе:
(a) источника металла VIII группы,
(b) бидентатного лиганда,
где бидентатный лиганд имеет общую формулу I
,
в которой М1 и М2 независимо означают Р;
R1, R2, R3 и R4 независимо означают одновалентную алифатическую группу;
или R1, R2 и М1 вместе и/или R3, R4 и М2 вместе независимо означают алифатическую циклическую группу, с 5-12 атомами в цикле, из которых один означает атом М1 или М2, соответственно;
и R означает двухвалентную органическую мостиковую группу, которая представляет собой незамещенную алкиленовую группу,
или алкиленовую группу, замещенную группами низшего алкила, где указанные группы низшего алкила могут содержать кислород в качестве гетероатома; или группу, содержащую два бензольных кольца, связанных друг с другом или с алкиленовыми группами, которые в свою очередь связаны с М1 и М2.
2. Способ по п.1, где диен с сопряженными двойными связями означает 1,3-бутадиен.
3. Способ по п.1 или 2, где содержащее активный водород соединение означает воду, алканол или гидроксиароматическое соединение.
4. Бидентатный лиганд формулы II,
,
где М1 и М2 независимо означают Р;
R1, R2 и М1 вместе и/или R3, R4 и М2 вместе независимо означают алифатическую циклическую группу с 5-12 атомами в цикле, из которых один означает атом М1 или М2, соответственно;
и V означает мостиковую группу, состоящую из триметиленовой группы, имеющую средний атом углерода, связанный с двумя группами низшего алкила, где группа низшего алкила может иметь кислород в качестве гетероатома.
5. Бидентатный лиганд по п.4, где бидентатный лиганд выбирают из группы, включающей: 2,2-диметил-1,3-бис-(1,4-циклооктиленфосфино)пропан, 2-метил-2-гидроксиметил-1,3-бис-(1,4-циклооктиленфосфино)пропан или 2,2-дигидроксиметил-1,3-бис-(1,4-циклооктиленфосфино)пропан; 2,2-диметил-1,3-бис-(1,5-циклооктиленфосфино)пропан, 2-метил-2-гидроксиметил-1,3-бис-(1,5-циклооктиленфосфино)пропан или 2,2-дигидроксиметил-1,3-бис-(1,5-циклооктиленфосфино)пропан.
6. Бидентатный лиганд формулы (III),
,
где М1 и М2 независимо означают Р;
Q1, Q2 и М1 вместе и Q3, Q4 и М2 вместе независимо означают алифатическую циклическую группу с 6-12 атомами в цикле, из которых один означает атом М1 или М2, соответственно;
каждый из Q5 и Q6 независимо означает алкиленовые группы;
и Ar1 и Ar2 независимо означают ароматическую группу, содержащую от 6 до 20 атомов углерода.
7. Бидентатный лиганд по п.6, где бидентатный лиганд означает 2,2′-бис-(1,4-циклооктиленфосфинометил)-1,1′-дифенил или 2,2′-бис-(1,5-циклооктиленфосфинометил)-1,1′-дифенил.
8. Каталитическая система для теломеризации диена с сопряженными двойными связями, содержащая
I) источник металла VIII группы,
II) бидентатный лиганд по одному из пп.4-7.
9. Способ по п.1, выполняемый в присутствии катализатора по п.8.
10. Способ получения 1-октена, включающий
(a) теломеризацию 1,3-бутадиена по одному из пп.1-3 или 9 с образованием 1-замещенного-2,7-октадиена;
(b) гидрирование 1-замещенного-2,7-октадиена со стадии а), дающее 1-замещенный октан;
(c) расщепление 1-замещенного октана со стадии b) с образованием 1-октена.
РИСУНКИ
QB4A – Регистрация лицензионного договора на использование изобретения
Лицензиар(ы): ШЕЛЛ ИНТЕРНЭШНЛ РИСЕРЧ МААТСХАППИЙ Б.В. (NL)
Вид лицензии*: НИЛ
Лицензиат(ы): ШЕЛЛ РИСЕЧ ЛИМИТИД (GB)
Договор № РД0044384 зарегистрирован 09.12.2008
Извещение опубликовано: 20.01.2009 БИ: 02/2009
* ИЛ – исключительная лицензия НИЛ – неисключительная лицензия
MM4A – Досрочное прекращение действия патента СССР или патента Российской Федерации на изобретение из-за неуплаты в установленный срок пошлины за поддержание патента в силе
Дата прекращения действия патента: 06.11.2009
Извещение опубликовано: 27.09.2010 БИ: 27/2010
|
|