|
|
(21), (22) Заявка: 2006112690/12, 17.04.2006
(24) Дата начала отсчета срока действия патента:
17.04.2006
(46) Опубликовано: 10.03.2008
(56) Список документов, цитированных в отчете о поиске:
RU 2116092 С1, 27.07.1998. SU 1607830 A1, 23.11.1990. SU 1020131 A1, 30.05.1983. RU 2201775 C1, 10.04.2003. RU 1694155 A1, 30.11.1991. SU 1768186 A1, 15.10.1992. JP 2003102858 A, 08.04.2003.
Адрес для переписки:
143903, Московская обл., г. Балашиха, мкр. ВНИИПО, 12, ФГУ ВНИИПО МЧС России, патентная группа ОНТИ
|
(72) Автор(ы):
Мелихов Анатолий Сергеевич (RU), Потякин Вячеслав Иванович (RU)
(73) Патентообладатель(и):
Федеральное государственное учреждение Всероссийский ордена “Знак Почета” научно-исследовательский институт противопожарной обороны МЧС России (ФГУ ВНИИПО МЧС России) (RU)
|
(54) СПОСОБ ПОЖАРОТУШЕНИЯ В ОБИТАЕМЫХ ГЕРМООТСЕКАХ КОСМИЧЕСКИХ ЛЕТАТЕЛЬНЫХ АППАРАТОВ В ОРБИТАЛЬНОМ ПОЛЕТЕ
(57) Реферат:
Изобретение относится к противопожарной технике и может быть использовано при разработке технических решений по тушению пожаров в обитаемых гермоотсеках космических летательных аппаратов КЛА (транспортных космических кораблей, орбитальных станций и др.) в условиях орбитального полета. Для уменьшения времени тушения пожара в обитаемых гермоотсеках КЛА в условиях орбитального полета согласно изобретению при одновременном снижении скорости вентиляционного потока (после выключения или изменения режима работы средств вентиляции), а также приведении в действие системы снижения давления в гермоотсеке, два фактора – снижение давления и уменьшение скорости потока обеспечивают существенное уменьшение времени, необходимого для тушения пожара, во-первых, за счет повышения величины предельной для горения материалов скорости потока (Vlim) с уменьшением давления среды и, во-вторых, за счет сокращения времени достижения значения Vlim материалов с повышением кинематической вязкости среды. 2 ил., 1 табл.
Изобретение относится к противопожарной технике и может быть использовано при разработке технических решений по тушению пожаров в обитаемых гермоотсеках космических летательных аппаратов КЛА (далее КЛА), в том числе транспортных космических кораблей, орбитальных станций и т.д. в условиях орбитального полета.
Обитаемые гермоотсеки КЛА относятся к объектам повышенной пожарной опасности. Это обусловлено специфическими особенностями устройства и условий эксплуатации обитаемых гермоотсеков КЛА. К этим особенностям относятся: повышенная концентрация кислорода (далее Сох) в атмосфере гермоотсеков; широкое использование в них конструкционных неметаллических материалов (далее КНМ), многие из которых являются высокогорючими при повышенной концентрации кислорода в атмосфере; высокая насыщенность гермоотсеков различным электрооборудованием, элементы которого при отказах, даже в слаботочных цепях, часто становились источниками загораний при повышенной концентрации кислорода в атмосфере; ограниченная возможность эвакуации экипажа из гермоотсеков КЛА в условиях орбитального полета. Для поддержания в жилой и приборной зонах гермоотсека заданных температурного режима и состава газовой среды, гермоотсеки снабжены системой вентиляции, которая обеспечивает во всем объеме гермоотсека перемещение газовой атмосферы со скоростью от 8 до 100 см/с в зависимости от расположения зоны. При такой скорости атмосферы при повышенной концентрации кислорода в ней горение КНМ в орбитальном полете (в невесомости, точнее при микрогравитации) протекает практически с той же интенсивностью, что и при наличии силы земного притяжения. Это подтверждено экспериментами на космической станции “Мир” (Болодьян И.А., Иванов А.В., Мелихов А.С. Горение твердых неметаллических материалов в условиях микрогравитации. Материалы 5-го симпозиума Азии-Океании по науке и технике пожара, г.Ньюкасл, Австралия, 3-6 декабря 2001. – С.195-204).
Учитывая данные обстоятельства, пожарная опасность обитаемых гермоотсеков КЛА с самого начала развития космической техники вошла в число основных опасных факторов космического полета (Береговой Г.Т., Тищенко А.А., Шибанов Г.П., Ярополов В.И. Безопасность космических полетов. – М.: Машиностроение, 1977, – 263 с.).
Известны способы тушения загораний в обитаемых гермоотсеках КЛА.
Применение способа тушения пожара с помощью ручных огнетушителей (с газовым или пенным огнетушащим веществом) малоэффективно. Наличие в гермоотсеках труднодоступных полостей, например, в приборных зонах затрудняет или делает невозможным подачу огнетушащего вещества в эти зоны. При срабатывании огнетушителей происходит загрязнение атмосферы и оборудования в гермоотсеке.
В этой связи способ пожаротушения в обитаемых гермоотсеках в условиях орбитального полета должен обеспечивать возможность объемного пожаротушения, то есть пожар с помощью используемой системы пожаротушения должен быть потушен в любом месте гермоотсека в кратчайшее время. При этом пожаротушение не должно отрицательно влиять на экологическую обстановку в обитаемом гермоотсеке.
Объемное пожаротушение широко применяется в практике ликвидации пожаров на различных объектах. При этом применяются такие газовые огнетушащие вещества как хладоны, углекислота и других инертные газы (Пожаровзрывоопасность и веществ материалов, и средства их тушения. Справочник в 2-х книгах под ред. А.Н.Баратова и др. – М.: “Химия”. 1990, 970 с.). Внутри гермоотсеков американских космических кораблей “Спейс Шаттл” используется система пожаротушения, включающая в себя: дымовые пожарные извещатели, средства контроля за работоспособностью элементов системы, емкости с огнетушащим веществом, в качестве которого применяются хладон или углекислота (Space Shattle News Referense. NASA. 1981).
Использование традиционных способов тушения в обитаемых гермоотсеках КЛА имеет много недостатков. Применение огнетушащего вещества в гермоотсеке КЛА в период полета или его подготовки на старте само по себе, независимо от масштаба пожара, является аварийной ситуацией, которая приводит к срыву программы и/или прекращению полета из-за загрязнения атмосферы гермоотсека и оборудования. В частности, после объемного пожаротушения атмосфера гермоотсека нуждается в тщательной очистке или замене и для продолжения полета необходимо иметь на борту мощные фильтры-поглотители или запасы азота и кислорода. Вывод на орбиту всего комплекса оборудования (пожарного, фильтров, баллонов с газами) связан с большими материальными затратами. Следует учитывать, что с увеличением концентрации кислорода в атмосфере возрастает необходимый запас огнетушащего вещества, а следовательно, и масса оборудования для пожаротушения (Кузьменко К.П., Калинкин В.И., Блинов А.А. Тушение полимерных материалов газовыми огнетушащими веществами. В сб. Вопросы горения и тушения полимерных материалов. – М.: 1989. – С.74-83). Так, для тушения многих материалов при концентрации кислорода в атмосфере, равной 40%, необходим 1 кг шестифтористой серы на 1 м3 объема гермоотсека. Оценки показывают, что для отсека объемом 80-100 м3 масса установки объемного пожаротушения и средств утилизации огнетушащего вещества составляет 250-300 кг. Вывод такой массы на орбиту является весьма дорогостоящим – это мешает использованию на борту высокоприбыльного технологического оборудования.
В поисках новых технологий обеспечения пожарной безопасности обитаемых гермоотсеков КЛА в России проведено фундаментальное изучение процессов воспламенения и горения материалов и веществ с учетом влияния на эти процессы специфических факторов пилотируемого космического полета: невесомости, различных по величине ускорений силы тяжести, состава рабочей атмосферы в гермоотсеках, ее давления и др. Исследования проводились в самолете-лаборатории, в свободнопадающем контейнере, на борту орбитального комплекса “Мир” (Болодьян И.А., Иванов А.В., Мелихов А.С. Горение твердых неметаллических материалов в условиях микрогравитации. Материалы 5-го симпозиума Азии-Океании по науке и технике пожара, г.Ньюкасл, Австралия, 3-6 декабря 2001, – С.195-204).
Основным результатом проведенных исследований явилось выявление наличия нижних пределов горения материалов по скорости потока в невесомости (Vlim). В настоящее время этот параметр является базовым показателем пожарной опасности материалов для условий обитаемых гермоотсеков пилотируемых КЛА. Результаты исследований позволили разработать принципиально новую технологию пожаротушения в обитаемых гермоотсеках КЛА, отличающуюся высокой надежностью, экономичностью и экологической чистотой. Тушение пожара обеспечивается оперативным, в том числе автоматическим, переводом работы системы вентиляции гермоотсека на определенное время на новый режим работы со скоростями вентиляции, меньшими значений показателей Vlim применяемых материалов. Тушение пожара в гермоотсеке достигается за счет самотушения материалов без применения огнетушащих веществ. На этом принципе созданы автоматизированные системы пожаротушения для обитаемых гермоотсеков космических станций “Мир” и Российского сегмента Международной космической станции.
Известен способ пожаротушения (Патент Российской Федерации №2116092. Способ обеспечения пожарной безопасности обитаемых гермоотсеков космических летательных аппаратов. Авторы: Мелихов А.С., Зайцев С.Н., Иванов А.В., А62С 3/08, В64G 9/00. Приоритет 05.12.95. Опубл. 27.07.98. Бюл. №21), который принят в качестве прототипа.
Сущность этого способа состоит в том, что на стартовой позиции и на участке выведения корабля на околопланетную орбиту в гермоотсеке поддерживается концентрация кислорода ниже значения предела горения по концентрации кислорода (Сlim) для наиболее горючих из используемых материалов, а в орбитальном полете по сигналу средств обнаружения пожара (включающих пожарные извещатели) работа системы вентиляции в гермоотсеке переводится на циклический режим, состоящий из периода отключенного состояния системы вентиляции в течение времени, за которое в гермоотсеке происходит остановка движения газовой среды до уровня, соответствующего значению Vlim наиболее горючих материалов, и периода включенного состояния системы вентиляции в течение времени, за который газовая среда в замкнутом вентиляционном контуре в гермоотсеке проходит между двумя смежными пожарными извещателями, при этом циклический режим работы системы вентиляции осуществляется до момента начала снижения уровня опасных факторов пожара в гермоотсеке, зафиксированного средствами обнаружения пожара.
Использование представленного способа пожаротушения имеет решающее значение для обеспечения пожарной безопасности обитаемых гермоотсеках КЛА, поскольку основную часть времени эксплуатации этих изделий занимает орбитальный полет.
Этот способ пожаротушения в обитаемых гермоотсеков КЛА использован в настоящее время для обеспечения пожаробезопасности обитаемых гермоотсеков Российского сегмента Международной космической станции и транспортного корабля типа “Союз”.
В качестве недостатков прототипа необходимо отметить следующее.
Практика создания обитаемых гермоотсеков КЛА на данном этапе развития материаловедения показала, что большая часть материалов, подходящих по физико-механическим свойствам для использования в обитаемых гермоотсеках, имеет значение Clim ниже 21%, т.е. концентрации кислорода, меньше которой с точки зрения обеспечения нормальной жизнедеятельности человека установление ее в обитаемых гермоотсеках нецелесообразно.
Значение Vlim материалов после выключения или изменения режима работы средств вентиляции в гермоотсеках достигается естественным путем за счет вязкостной диссипации кинетической энергии движения атмосферы. Время достижения значения Vlim материалов, т.е. время их самотушения, не поддается регулированию без изменения физических свойств атмосферы.
Выше было отмечено, что в вентиляционном потоке при повышенной концентрации кислорода горение КНМ может протекать с высокой интенсивностью. При этом в объемах со значительными размерами, например в жилых зонах гермоотсеков, время диссипации, а следовательно, и время тушения может быть значительным (до 3,5 мин, см. фиг.2, точка С). От времени тушения зависит количество сгоревшего материала, а следовательно, и опасность последствий пожара. Чем больше время горения, тем больше тепла и токсичных продуктов может выделиться в атмосферу гермоотсека. При неблагоприятном стечении обстоятельств (при несанкционированном повышении концентрации кислорода в атмосфере гермоотсека, воспламенении оборудования, включающего высокогорючие материалы), значения опасных факторов пожара может превысить предельно допустимый уровень до окончания тушения. Это опасно для людей и элементов систем оборудования, ответственных за живучесть корабля. Пожар должен быть потушен до превышения предельно допустимого уровня опасных факторов пожара.
Целью данного изобретения является уменьшение времени тушения пожара в обитаемых гермоотсеках КЛА в условиях орбитального полета.
Поставленная цель достигается тем, что в способе пожаротушения в обитаемых гермоотсеках космических летательных аппаратов в орбитальном полете, включающем в себя перевод работы систем, обеспечивающих вентилирование гермоотсека, на циклический режим, одновременно с переводом работы вентиляционных систем на циклический режим начинают снижение давления в гермоотсеке со скоростью 1,3 кПа в секунду до величины, определяемой в диапазоне концентраций кислорода от 21% до 50% (по объему) из соотношения
Рlim=168-6×Сох+0,071×(Сох)2,
а в диапазоне значений концентрации кислорода от 50% до 100% до величины 35 кПа.
Предлагаемый способ тушения обладает очевидным и преимуществами по сравнению с известными. Его использование существенно сокращает время тушения, в гермоотсеке КЛА. За счет этого можно исключить достижения значений предельно допустимых уровней опасных факторов пожара до окончания тушения. Причем одновременно с переводом работы вентиляционных систем на циклический режим начинают снижение давления в гермоотсеке со скоростью 1,3 кПа в секунду до величины, определяемой в диапазоне концентраций кислорода от 21% до 50% (по объему) из соотношения: Рlim=168-6×Сох+0,071×(Сох)2 (кПа),
а в диапазоне концентраций кислорода свыше 50% до 100% – до величины 35 кПа.
Способ обеспечивает быстрое тушение в условиях орбитального полета без использования огнетушащих веществ.
Проведение тушения предлагаемым способом легко автоматизируется, что обеспечивает прогнозирование времени тушения с достаточно высокой точностью.
Труднодоступность мест загорания не ограничивает применение способа, напротив, в ограниченных пространствах его применение более эффективно, так как время остановки потока снижается с уменьшением размера полости.
Экономическая эффективность предлагаемого способа может быть оценена после его использования.
Фиг.1 и 2 иллюстрируют сравнение времени тушения пожара в гермоотсеке КЛА предлагаемым способом и способом-прототипом при концентрации кислорода 21 и 40% соответственно.
Данное техническое решение (изобретение) основано на использовании следующих данных:
– результатов исследования предельно допустимого для человека давления среды (Plim) в зависимости от концентрации в ней кислорода;
– результатов исследования значений Vlim для материалов в зависимости от давления атмосферы и концентрации в ней кислорода;
– результатов исследования времени снижения вентиляционных потоков в обитаемых гермоотсеках КЛА за счет вязкостной диссипации кинетической энергии движения газовой атмосферы в гермоотсеке до значений Vlim материалов в зависимости от давления атмосферы и концентрации в ней кислорода.
Преимущество заявляемого способа пожаротушения в обитаемом гермоотсеке КЛА в орбитальном полете заключается в следующем. При одновременном снижении скорости вентиляционного потока (после выключения или изменения режима работы средств вентиляции), а также приведении в действие системы снижения давления в гермоотсеке, два фактора – снижение давления и уменьшение скорости потока обеспечивают существенное уменьшение времени, необходимого для тушения пожара, во-первых, за счет повышения величины предельной для горения материалов скорости потока – Vlim с уменьшением давления и, во-вторых, за счет сокращения времени достижения значения Vlim материалов.
Снижение давления в гермоотсеке обеспечивает двойной эффект:
а) увеличивает кинематическую вязкость среды, а это приводит к более быстрому снижению скорости потока, а следовательно, сокращению времени достижения скорости Vlim, при которой горение прекращается.
б) увеличивает значение Vlim для материалов.
В результате совместного действия двух указанных факторов достигается существенное сокращение времени тушения пожара.
Предельно допустимое для человека давление атмосферы в зависимости от концентрации в ней кислорода определялось по данным книги (Береговой Г.Т., Тищенко А.А., Шибанов Г.П., Ярополов В.И. Безопасность космических полетов. – М.: “Машиностроение”, 1977 – 263 с.). В диапазоне концентраций кислорода от 21% до 50% (по объему) Рlim (в кПа) можно определять из соотношения

В диапазоне значений Сох от 50 до 100% давление можно снижать до величины 35 кПа.
Значения Vlim в зависимости от давления атмосферы и концентрации в ней кислорода определялось по методикам, описанным в работах: (Melikhov A.S., Bolodyan LA., Potyakin V.I., Ivanov A.V. et al. The Study Of Polymer Material Combustion In Simulated Microgravity By Physical Modeling Method. Proceedings of the Fifth International Microgravity Combustion Workshop, Cleveland, Ohio, May 1999), (Мелихов А.С., Потякин В.И., Рыжов A.M., Иванов Б.А. О предельных режимах горения полимеров в отсутствие естественной конвекции. Физика горения и взрыва. 1983, №4, – С.27-30), и в патенте (Патент России №2116093. Устройство по определению предела горения материалов по скорости потока для условий невесомости. Авторы: Мелихов А.С., Иванов А.В, Потякин В.И. МПК6 А62С 3/08, В64G 9/00. Приоритет 05.12.95. Опубл. 27.07.98. Бюл. №21). Положения методики уточнены результатами исследований на космической станции “Мир” (Ivanov A.V., Alymov V.Ph., Smirnov А.В., Melikhov A.S., Bolodyan I.A. et al. Preliminary Results Of The Third Test Series Of Nonmetal Material Flammability Evaluation In “Skorost” Apparatus On The Space Station “Mir”. Proceedings of the Fifth International Microgravity Combustion Workshop, Cleveland, Ohio, May 1999).
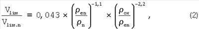
Для иллюстрации факта достижения цели данного изобретения были использованы данные о Vlim для наиболее горючего из полимеров – органического стекла, которые были рассчитаны по соотношению, полученному на основании обработки результатов экспериментальных исследований в работе (Мелихов А.С., Потякин В.И., Рыжов A.M., Иванов Б.А. О предельных режимах горения полимеров в отсутствие естественной конвекции. Физика горения и взрыва. 1983, №4, – с.27-30)

где Vlim.n – предельная для горения скорость движения атмосферы при давлении 100 кПа, концентрации кислорода 21% и температуре 293 К; n – плотность атмосферы при давлении 100 кПа и температуре 293 К; en и ox – плотность атмосферы и окислителя в ней при заданном давлении.
Соотношение (2) можно использовать для определения значения Vlim органического стекла в диапазонах концентрации кислорода от 21 до 100% и давления среды от 4 до 100 кПа.
Время остановки вентиляционных потоков в гермоотсеке КЛА за счет вязкостной диссипации кинетической энергии движения газовой атмосферы до значений Vlim материалов, то есть до тушения материалов в зависимости от давления атмосферы и концентрации в ней кислорода определялось по соотношению

где Но=Vo× /lh – критерий гомохронности; Reo=Vo×lh/ – критерий Рейнольдса для исходного режима течения в пространстве гермоотсека; Re =V ×lh/ – критерий Рейнольдса для данного момента времени (после выключения или изменения режима работы средств вентиляции); Vo – начальная (рабочая) скорость потока в пространстве в гермоотсека; V – текущее значение скорости в пространстве в гермоотсеке; – время; – коэффициент кинематической вязкости; lh=H×R/2×(H+R) – характерный размер пространства в гермоотсеке КЛА, для которого производится расчет, связывающий эффективные значения его высоты Н и радиуса R; k; n; m – эмпирические коэффициенты.
Соотношение (2) обеспечивает расчет скорости потока в пространстве гермоотсека на расстоянии 0,05×R от стенок пространства в гермоотсеке, там, где наблюдается наибольшая скорость вентиляционного потока в период его вязкостного торможения и располагается пламя горящего элемента из ТНМ.
Предлагаемый способ иллюстрируется сравнением времен тушения одного из высокогорючих материалов – органического стекла при одновременном отключении вентиляционных устройств и приведении в действие системы снижения давления в гермоотсеке. Сравнение производится при концентрациях кислорода в атмосфере, равной 21 и 40%, то есть на границах рабочего диапазона Сох для гермоотсеков современных отечественных КЛА. Рассматривается потухание материала в зоне гермоотсека с приведенными диаметром 1500 мм и высотой 1800 мм. Скорость вентиляции в момент загорания составляет 40 см/с, давление атмосферы – 100 кПа. Рассматривается пространство с гладкими стенками. При наличии на стенках гермоотсека кабелей, трубопроводов, приборов и т.п. время тушения будет меньше.
Расчет по формуле (1) показывает, что снижать давление атмосферы при Сox=21% можно до 74 кПа, а при Сох=40% – до 42 кПа.
Значения Vlim при различных сочетаниях давления атмосферы и концентрации в ней кислорода определялись по формуле (2). Полученные данные приведены в таблице. Значение Vlim.n для органического стекла определялось экспериментально, оно равно 1,26 см/с.
| Таблица |
| Концентрация кислорода в атмосфере (Сох), % |
Предельно допустимое для человека давление среды (Рlim), кПа |
Значения Vlim Рen=100 кПа, см/с |
Значения Vlim при Pen=Plim, см/с |
| 1 |
2 |
3 |
4 |
| 21 |
74 |
1,26 |
2,38 |
| 40 |
42 |
0,34 |
1,07 |
Видно, что значения Vlim материала с понижением давления до Рlim существенно увеличивается.
На фиг.1 и 2 представлены зависимости остаточной скорости газовых потоков (Vvf) в зоне гермоотсека с приведенными выше размерами во времени после прекращения работы системы вентиляции при Сох=21% и при Сох=40% соответственно. Линии 1 и 3 характеризуют снижение скорости газовых потоков без снижения давления атмосферы в гермоотсеке; линии 2 и 4 – со снижением давления атмосферы.
В момент =0 после обнаружения загорания произведено отключение всех систем, обеспечивающих движение газовой среды в гермоотсеке. Постепенно снижаясь за счет вязкостной диссипации, скорость газа достигает предельного для горения материала значения – Vlim.
Без снижения давления атмосферы в гермоотсеке тушение материала происходит при Сох=21% за 140 с (точка А на фиг.1), при Сох=40% – за 210 с (точка С на фиг.2).
Со снижением давления атмосферы в гермоотсеке до значений, указанных в графе 2 таблицы, тушение материала происходит при Сох=21% за 38 с (точка В на фиг.1), при Сох=40% – за 43 с (точка D на фиг.2).
Таким образом, предлагаемым способом тушение производится существенно быстрее, чем способом-прототипом: при Сох=21% в 3,7 раза, а при Сох=40% – в 4,9 раза. Следует отметить, что при повышении концентрации кислорода в среде эффективность предлагаемого способа повышается.
Формула изобретения
Способ пожаротушения в обитаемых гермоотсеках космических летательных аппаратов в орбитальном полете, включающий перевод работы систем, обеспечивающих вентилирование гермоотсека, на циклический режим, отличающийся тем, что одновременно с переводом работы вентиляционных систем на циклический режим начинают снижение давления в гермоотсеке со скоростью 1,3 кПа в секунду до величины, определяемой в диапазоне концентраций кислорода 21 – 50% по объему из соотношения
Рlim=168-6·Сох+0,071·(Сох)2,
а в диапазоне значений концентрации кислорода 50 – 100% – до величины 35 кПа,
где Рlim – предельно допустимое для человека давление среды, кПа;
Сох – концентрация кислорода в атмосфере, %.
РИСУНКИ
|
|