|
|
(21), (22) Заявка: 2005131941/15, 17.03.2004
(24) Дата начала отсчета срока действия патента:
17.03.2004
(30) Конвенционный приоритет:
08.08.2003 (пп.1-13) US 60/493,649
(43) Дата публикации заявки: 20.03.2006
(46) Опубликовано: 10.03.2008
(56) Список документов, цитированных в отчете о поиске:
ЕР 1269994 А, 02.01.2003. RU 2188631 С2, 10.09.2002. WO 03/000235 А, 03.01.2003. WO 02/11710 А, 14.02.2002. ЕР 0992496 А, 12.04.2000. WO 03/000295 А, 03.01.2003. WO 00/17164 А, 30.03.2000.
(85) Дата перевода заявки PCT на национальную фазу:
17.10.2005
(86) Заявка PCT:
JP 2004/003585 (17.03.2004)
(87) Публикация PCT:
WO 2004/082593 (30.09.2004)
Адрес для переписки:
129010, Москва, ул. Б.Спасская, 25, стр.3, ООО “Юридическая фирма Городисский и Партнеры”, пат.пов. Е.Е.Назиной, рег. № 517
|
(72) Автор(ы):
СУНАМИ Масаки (JP), СЕРИГАНО Таканори (JP)
(73) Патентообладатель(и):
ДЖАПАН ТОБАККО ИНК. (JP)
|
(54) ФАРМАЦЕВТИЧЕСКИЕ КОМПОЗИЦИИ СЕТР-ИНГИБИТОРОВ
(57) Реферат:
Настоящее изобретение относится к области медицины, а именно к фармацевтическим композициям, содержащим ингибитор белка-транспортера эфиров холестерина (СЕТР) и водонерастворимую добавку, повышающую концентрацию. В качестве ингибитора СЕТР используют либо S-[2-([[1-(2-этилбутил)циклогексил]карбонил]амино)фенил]2-метилпропантиоат либо пролекарство, которое in vivo образует S-[2-([[1-(2-этилбутил)циклогексил]карбонил]амино)фенил]тиол. Водонерастворимая добавка, повышающая концентрацию, представляет собой кросповидон. Указанные композиции обладают улучшенной биодоступностью в среде использования, что позволяет применять их в способах лечения сердечно-сосудистых нарушений. 3 н. и 10 з.п. ф-лы, 5 ил., 11 табл.
2420-133643RU/052
ФАРМАЦЕВТИЧЕСКИЕ КОМПОЗИЦИИ СЕТР-ИНГИБИТОРОВ
Описание
Область техники, к которой относится изобретение
Данное изобретение относится к композициям и способам лечения или профилактики сердечно-сосудистых нарушений, включающим СЕТР-ингибиторы.
Уровень техники
Гиперлипидемические состояния, связанные с повышенными концентрациями общего холестерина и холестерина липопротеидов низкой плотности (LDL), являются основными факторами риска для коронарной болезни сердца и особенно атеросклероза. Кроме того, в ряде исследований показано, что низкая концентрация холестерина липопротеидов высокой плотности (HDL) в плазме является мощным фактором развития атеросклероза.
Белок-транспортер эфиров холестерина (СЕТР) представляет собой белок плазмы, который облегчает передвижение эфиров холестерина и триглицеридов между различными липопротеидами в крови. Передвижение эфира холестерина от HDL до LDL с помощью СЕТР воздействует на снижение HDL-холестерина и на повышение LDL-холестерина. Было показано, что ингибирование СЕТР-активности СЕТР-ингибиторами является эффективным для модификации отношений HDL/LDL в плазме путем повышения HDL-холестерина и снижения LDL-холестерина в плазме.
Чтобы быть эффективными, СЕТР-ингибиторы должны абсорбироваться в кровоток. Предпочтительным является пероральное дозирование СЕТР-ингибиторов, так как для обеспечения эффективности такие СЕТР-ингибиторы следует принимать на регулярной основе, например ежедневно. СЕТР-ингибиторы, особенно те, которые обладают высокой связывающей активностью, обычно являются гидрофобными, имеют наименьшую растворимость в воде, низкую пероральную биодоступность, когда дозируются обычным образом. Подобные соединения большей частью оказались трудными для приготовления препаратов для перорального введения и обеспечения высокой биодоступности.
В Международной патентной заявке WO 02/11710 рассматривается данная проблема низкой биодоступности и предпринимается попытка решить проблему приготовлением композиции, включающей твердую дисперсию СЕТР-ингибитора в аморфной форме и водорастворимый полимер, который повышает концентрацию СЕТР-ингибитора в среде использования. Однако так как многие СЕТР-ингибиторы являются кристаллическими по форме, то существует насущная потребность в улучшенных композициях кристаллических СЕТР-ингибиторов.
Следовательно, остается потребность в фармацевтических композициях, содержащих СЕТР-ингибиторы в кристаллической форме, которые обладают повышенной биодоступностью СЕТР-ингибиторов в среде использования. В данном изобретении предлагается такая фармацевтическая композиция и способы лечения сердечно-сосудистых нарушений с применением данных фармацевтических композиций. Указанные и другие преимущества данного изобретения, а также дополнительные выявленные свойства станут очевидными из описания изобретения, представленного здесь.
Раскрытие изобретения
В данном изобретении предлагается фармацевтическая композиция, содержащая ингибитор белка-транспортера эфиров холестерина и водонерастворимую добавку, повышающую концентрацию, такую как кросповидон.
В данном изобретении предлагается также способ лечения или профилактики сердечно-сосудистых нарушений у млекопитающих введением млекопитающему, нуждающемуся в таком лечении, терапевтически эффективного количества фармацевтической композиции в соответствии с изобретением.
Краткое описание чертежей
Фигура 1 представляет собой линейный график геометрических средних концентраций (мкг/мл) активной формы S-[2-([[1-(2-этилбутил)циклогексил]карбонил]амино)фенил]2-метилпропантиоата в плазме в течение 36 часов у пациентов-мужчин европеидной расы, которым перорально вводили 900 мг S-[2-([[1-(2-этилбутил)циклогексил]карбонил]амино)фенил]2-метилпропантиоата с пищей или без пищи.
Фигура 2 представляет собой полулогарифмический график геометрических средних концентраций (мкг/мл) активной формы S-[2-([[1-(2-этилбутил)циклогексил]карбонил]амино)фенил]2-метилпропантиоата в плазме в течение 36 часов у пациентов-мужчин европеидной расы, которым перорально вводили 900 мг S-[2-([[1-(2-этилбутил)циклогексил]карбонил]амино)фенил]2-метилпропантиоата с пищей или без пищи.
Фигура 3 представляет собой график средних отклонений от основного уровня (пред-дозы, преддозовой активности) в СЕТР-активности в течение 24 часов у пациентов-мужчин европеидной расы, которым перорально вводили 900 мг S-[2-([[1-(2-этилбутил)циклогексил]карбонил]амино)фенил]2-метилпропантиоата с пищей или без пищи.
Фигура 4 представляет собой график средних СЕТР-активностей и средних концентраций активной формы S-[2-([[1-(2-этилбутил)циклогексил]карбонил]амино)фенил]2-метилпропантиоата в плазме в течение 24 часов у пациентов-мужчин европеидной расы, которым перорально вводили 900 мг S-[2-([[1-(2-этилбутил)циклогексил]карбонил]амино)фенил]2-метилпропантиоата с пищей.
Фигура 5 представляет собой график средних СЕТР-активностей и средних концентраций активной формы S-[2-([[1-(2-этилбутил)циклогексил]карбонил]амино)фенил]2-метилпропантиоата в плазме в течение 24 часов у пациентов мужчин европеидной расы, которым перорально вводили 900 мг S-[2-([[1-(2-этилбутил)циклогексил]карбонил]амино)фенил]2-метилпропантиоата без пищи.
Данное изобретение относится к композициям, содержащим, по меньшей мере, один СЕТР-ингибитор и, по меньшей мере, одну водонерастворимую добавку, повышающую концентрацию, где добавка предпочтительно повышает биодоступность СЕТР-ингибитора или его активной формы по сравнению с введением СЕТР-ингибитора в отсутствие добавки.
СЕТР-ингибитор означает любое соединение, которое ингибирует СЕТР, или препараты активной формы, которые ингибируют СЕТР. Любой подходящий СЕТР-ингибитор может быть использован в контексте данного изобретения из числа ингибиторов, описанных в патентах США: 6140342, 6140343, 6147089, 6147090, 6197786 и 6426365; в европейских патентных заявках EP 796846 A1 и EP 818448 A1; в международных патентных заявках WO 98/04528, WO 98/35937, WO 99/14174, WO 99/14204, WO 99/14215, WO 99/41237 и WO 02/11710.
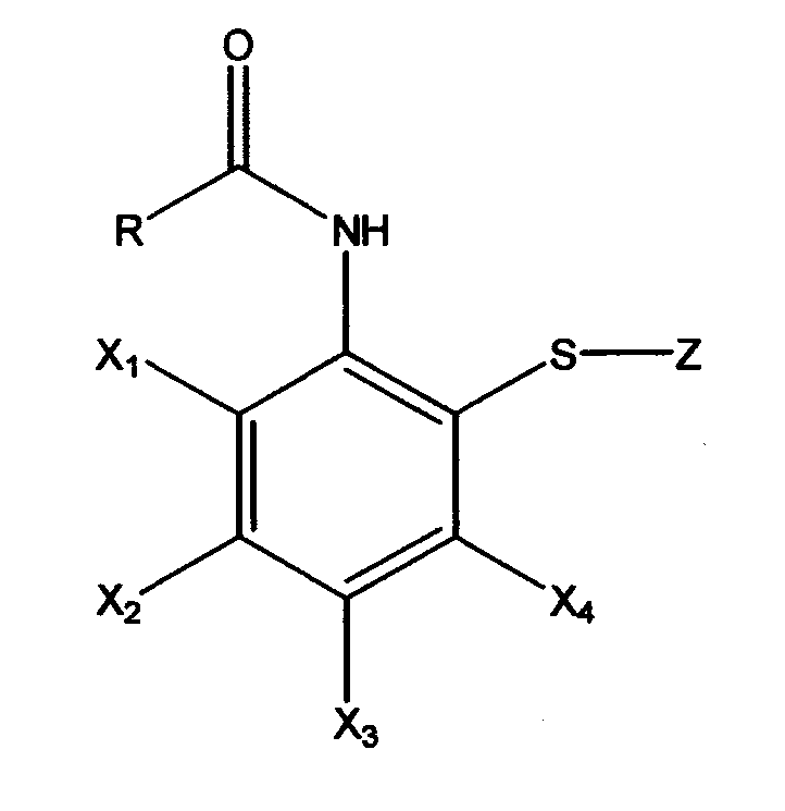
Предпочтительно СЕТР-ингибитор представляет собой соединение формулы I:

Формула I
или пролекарство соединения, фармацевтически приемлемую соль, энантиомер, стереоизомер, гидрат или сольват соединения формулы I. В формуле I R представляет собой замещенную или незамещенную С3-10циклоалкилгруппу или замещенную или незамещенную С5-8циклоалкенилгруппу. Каждый из Х1, Х2, Х3 и Х4 может быть одинаковым или различным и представляет собой один или несколько заместителей из следующих: атом водорода; атом галогена; С1-4алкилгруппа; галоген-С1-4алкилгруппа; С1-4алкоксигруппа; цианогруппа; нитрогруппа; ацилгруппа; или арилгруппа. Z представляет собой атом водорода, -YR1 (где Y означает -СО- или -CS-, и R1 означает замещенную или незамещенную С1-10алкилгруппу с прямой или разветвленной цепью; С1-4алкоксигруппу; С1-4алкилтиогруппу; замещенную или незамещенную аминогруппу; замещенную или незамещенную уреидогруппу; замещенную или незамещенную
С3-10циклоалкилгруппу; замещенную или незамещенную С3-10циклоалкилС1-10алкилгруппу; замещенную или незамещенную арилгруппу; замещенную или незамещенную аралкилгруппу; замещенную или незамещенную арилалкенилгруппу; замещенную или незамещенную арилтиогруппу; замещенную или незамещенную 5- или 6-членную гетероциклическую группу, содержащую 1-3 атома азота, кислорода или серы; или замещенную или незамещенную 5- или 6-членную гетероарилалкилгруппу), или -SR2 (где R2 представляет собой замещенную или незамещенную С1-4алкилгруппу или замещенную или незамещенную арилгруппу).
Выражение “С1-10алкилгруппа с прямой или разветвленной цепью”, использованное в данном описании, означает алкилгруппу, содержащую 1-10 атомов углерода, которая может быть прямой или разветвленной. Ее конкретные примеры включают: метил, этил, пропил, изопропил, бутил, изобутил, втор-бутил, трет-бутил, пентил, изопентил, неопентил, трет-пентил, 1-этилбутил, 2-этилбутил, 1-пропилбутил, 1,1-диметилбутил, 1-изобутил-3-метилбутил, 1-этилпентил, 1-пропилпентил, 1-изобутилпентил, 2-этилпентил, 2-изопропилпентил, 2-трет-бутилпентил, 3-этилпентил, 3-изопропилпентил, 4-метилпентил, 1,4-диметилпентил, 2,4-диметилпентил, 1-этил-4-метилпентил, гексил, 1-этилгексил, 1-пропилгексил, 2-этилгексил, 2-изопропилгексил, 2-трет-бутилгексил, 3-этилгексил, 3-изопропилгексил, 3-трет-бутилгексил, 4-этилгексил, 5-метилгексил, гептил, 1-этилгептил, 1-изопропилгептил, 2-этилгептил, 2-изопропилгептил, 3-пропилгептил, 4-пропилгептил, 5-этилгептил, 6-метилгептил, октил, 1-этилоктил, 2-этилоктил, нонил, 1-метилнонил, 2-метилнонил, децил и подобные группы. Предпочтительной является алкилгруппа с прямой или разветвленной цепью, содержащая 1-8 атомов углерода.
Выражение “С1-4(низший алкил)группа”, использованное в данном описании, означает алкилгруппу, содержащую 1-4 атома углерода и, в частности, включает метил, этил, пропил, изопропил, бутил, изобутил, втор-бутил, трет-бутил и подобные группы.
Выражение “С2-10алкенилгруппа с прямой или разветвленной цепью” означает алкенилгруппу, содержащую 2-10 атомов углерода, по меньшей мере, с одной или несколькими двойными связями, которая может быть прямой или разветвленной. Ее конкретные примеры включают: аллил, винил, изопропенил, 1-пропенил, 1-метил-2-пропенил, 2-метил-2-пропенил, 1-метил-1-бутенил, кротил, 1-метил-3-бутенил, 3-метил-2-бутенил, 1,3-диметил-2-бутенил, 1-пентенил, 1-метил-2-пентенил, 1-этил-3-пентенил, 4-пентенил, 1,3-пентадиенил, 2,4-пентадиенил, 1-гексенил, 1-метил-2-гексенил, 3-гексенил, 4-гексенил, 1-бутил-5-гексенил, 1,3-гексадиенил, 2,4-гексадиенил, 1-гептенил, 2-гептенил, 3-гептенил, 4-гептенил, 5-гептенил, 6-гептенил, 1,3-гептадиенил, 2,4-гептадиенил, 1-октенил, 2-октенил, 3-октенил, 4-октенил, 5-октенил, 6-октенил, 7-октенил, 1-ноненил, 2-ноненил, 3-ноненил, 4-ноненил, 5-ноненил, 6-ноненил, 7-ноненил, 8-ноненил, 9-деценил и подобные группы. Предпочтительной является алкенилгруппа, содержащая 2-8 атомов углерода, которая может быть прямой или разветвленной.
Термин “атом галогена” означает атомы фтора, хлора и брома.
Выражение “галоген-С1-4алкилгруппа” означает вышеописанную С1-4(низший алкил)группу, замещенную 1-3 атомами галогена, которые могут быть одинаковыми или различными. Ее конкретные примеры включают: фторметил, хлорметил, бромметил, дифторметил, дихлорметил, трифторметил, трихлорметил, хлорэтил, дифторэтил, трифторэтил, пентахлорэтил, бромпропил, дихлорпропил, трифторбутил и подобные группы. Предпочтительными являются трифторметил и хлорэтил.
Выражение “С1-4(низший алкокси)группа” означает алкоксигруппу, содержащую С1-4(низший алкил)группу, определенную выше. Ее примеры включают: метокси, этокси, пропокси, изопропокси, бутокси, изобутокси, втор-бутокси, трет-бутокси и подобные группы.
Выражение “С1-4(низший алкилтио)группа” означает алкилтиогруппу, содержащую С1-4(низший алкил)группу, определенную выше. Ее примеры включают: метилтио, этилтио, пропилтио, изопропилтио, бутилтио, изобутилтио, втор-бутилтио, трет-бутилтио и подобные группы.
Выражение “C3-10циклоалкилгруппа” означает циклоалкилгруппу, содержащую 3-10 атомов углерода, которая может быть моноциклической или полициклической. Ее примеры включают: циклопропил, циклобутил, циклопентил, циклогексил, циклогептил, циклооктил, октагидроинденил, декагидронафтил, бицикло[2.2.1]гептил, адамантил и подобные группы. Предпочтительными являются группы, содержащие 5-7 атомов углерода, включающие циклопентил, циклогексил и циклогептил.
Выражение “C5-8циклоалкенилгруппа” означает циклоалкенилгруппу, содержащую 5-8 атомов углерода с одной или несколькими двойными связями в цикле. Ее примеры включают: циклопентенил, циклогексенил, циклогептенил, циклооктенил, циклопентадиенил, циклогексадиенил, циклогептадиенил, циклооктадиенил и подобные группы. Предпочтительными являются группы с 5-7 атомами углерода, включающие циклопентенил, циклогексенил и циклогептенил.
Выражение “C3-10циклоалкилС1-10алкилгруппа” означает вышеопределенную С1-10алкилгруппу с прямой или разветвленной цепью, замещенную на вышеопределенную С3-10циклоалкилгруппу. Ее конкретные примеры включают циклопропилметил, циклопентилметил, циклогексилметил, циклогексилциклопентилметил, дициклогексилметил, 1-циклопентилэтил, 1-циклогексилэтил, 2-циклопропилэтил, 2-циклопентилэтил, 2-циклогексилэтил, 2-циклогептилэтил, 1-циклогексил-1-метилэтил, 1-циклогексилпропил, 2-циклопентилпропил, 3-циклобутилпропил, 3-циклопентилпропил, 3-циклогексилпропил, 3-циклогептилпропил, 1-циклопропил-1-метилпропил, 1-циклогексил-2-метилпропил, 1-циклопентилбутил, 1-циклогексилбутил, 3-циклогексилбутил, 4-циклопропилбутил, 4-циклобутилбутил, 4-циклопентилбутил, 1-циклогексил-1-метилбутил, 1-циклопентил-2-этилбутил, 1-циклогексил-3-метилбутил, 1-циклопентилпентил, 1-циклогексилпентил, 1-циклогексилметилпентил, 2-циклогексилпентил, 2-циклогексилметилпентил, 3-циклопентилпентил, 1-циклогексил-4-метилпентил, 5-циклопентилпентил, 1-циклопентилгексил, 1-циклогексилгексил, 1-циклопентилметилгексил, 2-циклопентилгексил, 2-циклопропилэтилгексил, 3-циклопентилгексил, 1-циклогексилгептил, 1-циклопентил-1-метилгептил, 1-циклогексил-1,6-диметилгептил, 1-циклогептилоктил, 2-циклопентилоктил, 3-циклогексилоктил, 2-циклопентилметилоктил, 1-циклопентилнонил, 1-циклогексилнонил, 3-циклопропилнонил, 1-циклопентилдецил, 1-циклогексилундецил, 1-циклопентилтридецил, 2-циклогексилтридецил и подобные группы.
“Арилгруппа” включает фенил, нафтил, антрил, фенантрил, бифенил и подобные группы. Предпочтительными являются фенил, нафтил и бифенилгруппы.
“Аралкилгруппа” означает вышеописанную С1-4(низший алкил)группу, замещенную одной или несколькими арилгруппами, описанными выше. Ее примеры включают бензил, бензгидрил, тритил, фенетил, 3-фенилпропил, 2-фенилпропил, 4-фенилбутил, нафтилметил, 2-нафтилэтил, 4-бифенилметил, 3-(4-бифенил)пропил и подобные группы.
“Арилалкенилгруппа” означает алкенилгруппу, содержащую 2-4 атома углерода, замещенную вышеописанной арилгруппой. Ее примеры включают 2-фенилвинил, 3-фенил-2-пропенил, 3-фенил-2-метил-2-пропенил, 4-фенил-3-бутенил, 2-(1-нафтил)винил, 2-(2-нафтил)винил, 2-(4-бифенил)винил и подобные группы.
“Арилтиогруппа” означает арилтиогруппу, содержащую вышеописанную арилгруппу, и конкретно включает фенилтио, нафтилтио и подобные группы.
“Гетероциклическая группа” означает 5- и 6-членное ароматическое или неароматическое гетероциклическое кольцо, содержащее, по меньшей мере, один или несколько гетероатомов, конкретно 1-4, предпочтительно 1-3, выбранных из атомов азота, кислорода и серы. Ее конкретные примеры включают гетероциклические кольца, такие как тиатриазолил, тетразолил, дитиазолил, оксадиазолил, тиадиазолил, триазолил, оксазолил, пиразолил, пирролил, фурил, тиенил, тетразинил, триазинил, пиразинил, пиридазинил, пиримидинил, пиридил или подобные группы, и неароматические гетероциклические кольца, такие как диоксоранил, пирролидинил, тетрагидрофурил, тетрагидротиенил, дитиадиазинил, тиадиазинил, морфолино, морфолинил, оксазинил, тиазинил, пиперазинил, пиперидил, пиперидино, пиранил, тиопиранил или подобные группы. Предпочтительные группы представляют собой ароматические гетероциклические (гетероарильные) группы, включающие фурил, тиенил, пирролил, пиридил и т.п., и неароматические гетероциклические группы, содержащие, по меньшей мере, один атом азота, включающие пирролидинил, тетрагидрофурил, пиперазинил, пиперидил, пиперидино и подобные группы.
“Гетероарилалкилгруппа” означает вышеописанную С1-4(низший алкил)группу, замещенную вышеописанной 5- или 6-членной ароматической гетероциклической (гетероарильной) группой, и конкретно включает 2-тиенилметил, 2-фурилметил, 2-пиридилметил, 3-пиридилметил, 2-тиенил-2-этил, 3-фурил-1-этил, 2-пиридил-3-пропил и подобные группы.
“Ацилгруппа” включает, в частности, формил, ацетил, пропионил, бутирил, изобутирил, валерил, изовалерил, пивалоил, гексаноил, акрилоил, пропиолоил, метакрилоил, кротоноил, бензоил, нафтоил, толуоил, гидроатропоил, атропоил, циннамоил, фуроил, теноил, никотиноил, изоникотиноил, глюколоил, лактоил, глицероил, тропоил, бензилоил, салицилоил, анизоил, ванилоил, вератороил, пиперонироил, протокатехоил, галлоил, циклопентанкарбонил, циклогексанкарбонил, циклогептанкарбонил, 1-метилциклогексанкарбонил, 1-изопентилциклопентанкарбонил, 1-изопентилциклогексанкарбонил, трет-бутоксикарбонил, метоксикарбонил, этоксикарбонил, 2-(1-изопентилциклогексанкарбониламино)фенилтиокарбонил и подобные группы. Предпочтительными являются ацетил, трет-бутоксикарбонил, бензоил, 1-метилциклогексанкарбонил, 1-изопентилциклопентанкарбонил, 1-изопентилциклогексанкарбонил и 2-(1-изопентилциклогексанкарбониламино)фенилтиокарбонил.
Термин “замещенная или незамещенная” в выражениях “замещенная или незамещенная С3-10циклоалкилгруппа”, “замещенная или незамещенная С5-8циклоалкенилгруппа”, “замещенная или незамещенная С3-10циклоалкилС1-10алкилгруппа”, относящихся к R, R1 и т.п., означает, что данная группа может быть замещенной 1-4 заместителями, которые могут быть одинаковыми или различными, и любое положение может быть произвольно замещенным без какого-либо ограничения. Конкретные примеры данных групп представляют собой вышеописанную С1-10алкилгруппу с прямой или разветвленной цепью; вышеописанную С2-10алкенилгруппу с прямой или разветвленной цепью; вышеописанную С3-10циклоалкилгруппу; вышеописанную С1-10циклоалкенилгруппу; вышеописанную С3-10циклоалкилС1-10алкилгруппу; вышеописанную арилгруппу; аминогруппу; С1-4(низший алкиламино)группу, такую как метиламино, этиламино или подобные группы; ациламиногруппу, такую как ацетиламино, пропиониламино, бензиламино или подобные группы; оксогруппу; вышеописанную аралкилгруппу; вышеописанную аралкенилгруппу и т.п.
Заместители, представленные выше, рекомендованы в качестве заместителей для R. Среди них предпочтительными для R1 являются вышеописанная С1-10алкилгруппа с прямой или разветвленной цепью, вышеописанная С3-10циклоалкилгруппа, вышеописанная С5-8циклоалкенилгруппа, вышеописанная арилгруппа и вышеописанная аминогруппа.
Термин “замещенная или незамещенная” в выражениях “замещенная или незамещенная арилгруппа”, “5- или 6-членная гетероциклическая группа, содержащая 1-3 атома азота, кислорода или серы”, “замещенная или незамещенная аралкилгруппа”, “замещенная или незамещенная арилалкенилгруппа”, “замещенная или незамещенная арилтиогруппа”, “замещенная или незамещенная 5- или 6-членная гетероарилалкилгруппа”, описанных в связи с R, R1 и т.п., означает, что группы могут быть замещены 1-4, предпочтительно 1-3 заместителями, которые могут быть одинаковыми или различными, и любое положение может быть произвольно замещенным без особого ограничения. Примеры данных групп включают вышеописанную С1-10алкилгруппу с прямой или разветвленной цепью, предпочтительно С1-6алкилгруппу с прямой или разветвленной цепью; вышеописанную С2-10алкенилгруппу с прямой или разветвленной цепью, предпочтительно С2-6алкенилгруппу с прямой или разветвленной цепью; вышеописанный атом галогена; нитрогруппу; вышеописанную аминогруппу, которая может быть замещена вышеописанной С1-4(низший алкил)группой или вышеописанной ацилгруппой; гидроксилгруппу; вышеописанную С1-4(низший алкокси)группу; вышеописанную С1-4(низший алкилтио)группу; вышеописанную галоген-С1-4(низший алкил)группу; вышеописанную ацилгруппу; оксогруппу и т.п.
Заместители, представленные выше, рекомендованы в качестве заместителей в основном для R1. Среди них для R предпочтительны вышеописанная С1-6алкилгруппа с прямой или разветвленной цепью, вышеописанный атом галогена и нитрогруппа.
Термин “замещенная или незамещенная” в выражении “замещенная или незамещенная С1-10алкилгруппа с прямой или разветвленной цепью”, описанная для R1, и т.п., означает, что данная группа может быть замещена 1-3 заместителями, которые могут быть одинаковыми или различными, и любое положение может быть произвольно замещенным без особого ограничения. Примеры таких групп представляют собой вышеописанную С1-4(низший алкокси)группу; вышеописанную С1-4(низший алкил)группу; вышеописанную аминогруппу, которая может быть замещена ацил- или гидроксилгруппой; вышеописанную С1-4(низший алкилтио)группу; карбамоилгруппу; гидроксилгруппу, вышеописанный атом галогена; вышеописанную ацилоксигруппу, содержащую ацилгруппу; карбоксилгруппу; вышеописанную ацилгруппу; вышеописанную арилоксигруппу, содержащую арилгруппу, которая может быть замещенной; и т.п.
Термин “замещенная или незамещенная” в выражении “замещенная или незамещенная С1-4(низший алкил)группа”, описанная для R2, и т.п., означает, что данная группа может быть замещена 1-3 заместителями, которые могут быть одинаковыми или различными, и любое положение может быть произвольно замещенным без особого ограничения. Примеры данной группы включают вышеописанную С1-4(низший алкокси)группу; вышеописанную аминогруппу, которая может быть замещена вышеописанной С1-4(низший алкил)группой или вышеописанной ацилгруппой; вышеописанную С1-4(низший алкилтио)группу; карбамоилгруппу; гидроксилгруппу, карбоксилгруппу; вышеописанную ацилгруппу; вышеописанную гетероциклическую группу (особенно ароматическую гетероциклическую группу, такую как тиенил, или неароматическую гетероциклическую группу, такую как тетрагидрофурил); и т.п.
Термин “замещенная или незамещенная” в выражениях “замещенная или незамещенная аминогруппа” и “замещенная или незамещенная уреидогруппа”, описанных для R1, означает, что данные группы могут быть замещены одним или несколькими, предпочтительно 1-2 заместителями, которые могут быть одинаковыми или различными, и любое положение может быть произвольно замещенным без особого ограничения. Примеры таких групп представляют собой вышеописанную С1-4(низший алкил)группу; гидроксилгруппу; вышеописанную ацилгруппу; вышеописанную арилгруппу, которая может быть замещена вышеописанной С1-4(низший алкокси)группой; и т.п.
Более конкретно предпочтительно “С1-10алкилгруппа с прямой или разветвленной цепью” для R представляет собой метил, этил, изопропил, бутил, изобутил, трет-бутил, гептил, 1-пропилбутил и 1-изобутил-3-метилбутил.
“С2-10алкенилгруппа с прямой или разветвленной цепью” по отношению к R представляет собой предпочтительно аллил, винил, изопропенил, 1-метил-2-пропенил, 2-метил-2-пропенил, 1-метил-1-бутенил, кротил, 1,3-диметил-2-бутенил, 1-пентенил и 1-метил-2-пентенил.
“Галоген-С1-4(низший алкил)группа” для R означает С1-4(низший алкил)группу, особенно предпочтительно метилгруппу, замещенную вышеописанным атомом галогена, особенно предпочтительно фтором или хлором, причем с присутствием предпочтительно трифторметилгруппы.
“Замещенная или незамещенная С3-10циклоалкилгруппа” для R означает С3-10циклоалкилгруппу (особенно предпочтительны циклопропил, циклобутил, циклопентил, циклогексил, циклогептил, октагидроинденил, декагидронафтил, адамантил и бицикло[2.2.1]гептил), которая может быть замещена 1-4 заместителями, выбранными из вышеописанной С1-10алкилгруппы с прямой или разветвленной цепью (особенно предпочтительна С1-8алкилгруппа, такая как метил, этил, изопропил, бутил, изобутил, трет-бутил, пентил, изопентил, 2,2-диметилпропил, 4-метилпентил, 2-этилбутил или т.п.), вышеописанной С2-10алкенилгруппы с прямой или разветвленной цепью (особенно предпочтительна С2-8алкенилгруппа, такая как 1-метилвинил, 2-метилвинил, 3-метил-3-пропенил или подобные), вышеописанной С3-10циклоалкилгруппы (особенно предпочтительна С3-7циклоалкилгруппа, такая как циклопропил, циклопентил, циклогексил или подобная), вышеописанной С5-8циклоалкенилгруппы (особенно предпочтительна С5-6циклоалкенилгруппа, такая как циклопентенил, циклогексенил или подобная), вышеописанной С3-10циклоалкилС1-10алкилгруппы (особенно предпочтительна С3-7циклоалкилС1-4алкилгруппа, такая как циклопропилметил, 2-циклопропилэтил, 2-циклопентилэтил, циклогексилметил, 2-циклогексилэтил или подобная), вышеописанной арилгруппы (особенно предпочтительна фенилгруппа), оксогруппы, вышеописанной аралкилгруппы (особенно предпочтительна фенилС1-4(низший алкил)группа, такая как бензил, фенетил или подобная) и из вышеописанной аралкенилгруппы (особенно предпочтительна 2-фенилвинилгруппа). Предпочтительные примеры перечисленных групп включают 2,2,3,3-тетраметилциклопропил, 1-изопентилциклобутил, 1-изопропилциклопентил, 1-изобутилциклопентил, 1-изопентилциклопентил, 1-циклогексилметилциклопентил, циклогексил, 1-метилциклогексил, 1-этилциклогексил, 1-пропилциклогексил, 1-изопропилциклогексил, 1-бутилциклогексил, 1-изобутилциклогексил, 1-пентилциклогексил, 1-изопентилциклогексил, 1-(2,2-диметилпропил)циклогексил, 1-(4-метилпентил)циклогексил, 1-(2-этилбутил)циклогексил, 4-трет-бутил-1-изопентилциклогексил, 1-циклопропилциклогексил, 1-бициклогексил, 1-фенилциклогексил, 1-циклопропилметилциклогексил, 1-циклогексилметилциклогексил, 1-(2-циклопропилэтил)циклогексил, 1-(2-циклопентилэтил)циклогексил, 1-(2-циклогексилэтил)циклогексил, 4-метилциклогексил, 4-пропилциклогексил, 4-изопропилциклогексил, 4-трет-бутилциклогексил, 4-пентилциклогексил, 4-бициклогексил, 1-изопентилциклогептил, 3а-октагидроинденил, 4а-декагидронафтил, 1-адамантил и 7,7-диметил-1-(2-оксо)бицикло[2.2.1]гептил. Место замещения специально не ограничивается, но особенно предпочтительно при положении 1. Для замещения может быть использована любая группа, но особенно предпочтительной является С1-10алкилгруппа с прямой или разветвленной цепью.
Особенно предпочтительный пример замещенной С3-10циклоалкилгруппы представляет собой 1-замещенную-С3-10циклоалкилгруппу. “1-Замещенная-С3-10циклоалкилгруппа” означает циклоалкилгруппу (например, циклопропил, циклобутил, циклопентил, циклогексил и циклогептил, предпочтительно С5-7циклоалкилгруппу, особенно предпочтительно циклогексилгруппу), которая в положении 1 замещена заместителями, выбранными из вышеописанной С1-10алкилгруппы с прямой или разветвленной цепью (особенно предпочтительна С1-8алкилгруппа, такая как метил, этил, пропил, изопропил, бутил, изобутил, пентил, изопентил, 2,2-диметилпропил, 4-метилпентил или 2-этилбутил), из вышеописанной С2-10алкенилгруппы с прямой или разветвленной цепью (особенно предпочтительна С2-8алкенилгруппа, такая как 1-метилвинил, 2-метилвинил или 3-метил-3-пропенил), из вышеописанной С3-10циклоалкил (особенно предпочтительна С3-7циклоалкилгруппа, такая как циклопропил, циклопентил или циклогексил), из вышеописанной С5-8циклоалкенилгруппы (особенно предпочтительна С5-6циклоалкенилгруппа, такая как циклопентенил или циклогексенил), из вышеописанной С3-10циклоалкилС1-10алкилгруппы (особенно предпочтительна С3-7циклоалкилС1-4(низший алкил)группа, такая как циклопропилметил, 2-циклопропилэтил, 2-циклопентилэтил, циклогексилметил или 2-циклогексилэтил), из вышеописанной арилгруппы (особенно предпочтительна фенилгруппа), из вышеописанной аралкилгруппы (особенно предпочтительна фенилС1-4(низший алкил)группа, такая как бензил и фенетил) и из аралкенилгруппы (особенно предпочтительна 2-фенилвинил). Предпочтительные примеры 1-замещенной-С3-10циклоалкилгруппы включают 1-изопентилциклобутил, 1-изопропилциклопентил, 1-изобутилциклопентил, 1-изопентилциклопентил, 1-циклогексилметилциклопентил, 1-метилциклогексил, 1-этилциклогексил, 1-пропилциклогексил, 1-изопропилциклогексил, 1-бутилциклогексил, 1-изобутилциклогексил, 1-пентилциклогексил, 1-изопентилциклогексил, 1-(2,2-диметилпропил)циклогексил, 1-(4-метилпентил)циклогексил, 1-(2-этилбутил)циклогексил, 1-циклопропилциклогексил, 1-бициклогексил, 1-фенилциклогексил, 1-циклопропилметилциклогексил, 1-циклогексилметилциклогексил, 1-(2-циклопропилэтил)циклогексил, 1-(2-циклопентилэтил)циклогексил, 1-(2-циклогексилэтил)циклогексил и 1-изопентилциклогептил. С1-10алкилгруппа с прямой или разветвленной цепью является особенно предпочтительной как заместитель в положении 1.
Заместитель для “замещенной или незамещенной С5-8циклоалкенилгруппы”, относящейся к R, является тем же самым, что и заместитель для вышеуказанной “замещенной или незамещенной С3-10циклоалкилгруппы”. Конкретно это означает циклоалкенилгруппу (особенно циклопентенил и циклогексенил), которая может содержать 1-4 заместителя, выбранного из вышеописанной С1-10алкилгруппы с прямой или разветвленной цепью (особенно предпочтительна С1-8алкилгруппа, такая как метил, этил, пропил, изопропил, бутил, изобутил, пентил, изопентил, 2,2-диметилпропил, 4-метилпентил или т.п.), из вышеописанной С2-10алкенилгруппы с прямой или разветвленной цепью (особенно предпочтительна С2-8алкенилгруппа, такая как 1-метилвинил, 2-метилвинил, 3-метил-3-пропенил и т.п.), из вышеописанной С3-10циклоалкилгруппы (особенно предпочтительна С3-7циклоалкилгруппа, такая как циклопропил, циклопентил, циклогексил или т.п.), из вышеописанной С5-8циклоалкенилгруппы (особенно предпочтительна С5-6циклоалкенилгруппа, такая как циклопентенил, циклогексенил или т.п.), из вышеописанной С3-10циклоалкилС1-10алкилгруппы (особенно предпочтительна С3-7циклоалкилС1-4(низший алкил)группа, такая как циклопропилметил, 2-циклопропилэтил, 2-циклопентилэтил, циклогексилметил, 2-циклогексилэтил или т.п.), из вышеописанной арилгруппы (особенно предпочтительна фенилгруппа), из оксогруппы, из вышеописанной аралкилгруппы (особенно предпочтительна фенилС1-4(низший алкил)группа, такая как бензил, фенетил или т.п.) и из аралкенилгруппы (особенно предпочтительна 2-фенилвинил). Предпочтительные примеры циклоалкенилгруппы включают 1-изопропил-2-циклопентенил, 1-изопропил-3-циклопентенил, 1-изобутил-2-циклопентенил, 1-изобутил-3-циклопентенил, 1-изопентил-2-циклопентенил, 1-изопентил-3-циклопентенил, 1-циклогексилметил-2-циклопентенил, 1-циклогексилметил-3-циклопентенил, 1-циклогексенил, 2-циклогексенил, 3-циклогексенил, 1-метил-2-циклогексенил, 1-метил-3-циклогексенил, 1-этил-2-циклогексенил, 1-этил-3-циклогексенил, 1-пропил-2-циклогексенил, 1-пропил-3-циклогексенил, 1-изопропил-2-циклогексенил, 1-изопропил-3-циклогексенил, 1-бутил-2-циклогексенил, 1-бутил-3-циклогексенил, 1-изобутил-2-циклогексенил, 1-изобутил-3-циклогексенил, 1-пентил-2-циклогексенил, 1-пентил-3-циклогексенил, 1-изопентил-2-циклогексенил, 1-изопентил-3-циклогексенил, 1-(2,2-диметилпропил)-2-циклогексенил, 1-(2,2-диметилпропил)-3-циклогексенил, 1-(4-метилпентил)-2-циклогексенил, 1-(4-метилпентил)-3-циклогексенил, 1-циклопропил-2-циклогексенил, 1-циклопропил-3-циклогексенил, 1-циклогексил-2-циклогексенил, 1-циклогексил-3-циклогексенил, 1-фенил-2-циклогексенил, 1-фенил-3-циклогексенил, 1-циклопропилметил-2-циклогексенил, 1-циклопропилметил-3-циклогексенил, 1-циклогексилметил-2-циклогексенил, 1-циклогексилметил-3-циклогексенил, 1-(2-циклопропилэтил)-2-циклогексенил, 1-(2-циклопропилэтил)-3-циклогексенил, 1-(2-циклопентилэтил)-2-циклогексенил, 1-(2-циклопентилэтил)-3-циклогексенил, 1-(2-циклогексилэтил)-2-циклогексенил и 1-(2-циклогексилэтил)-3-циклогексенил. Специальное ограничение на положение замещения отсутствует, но особенно предпочтительным положением является положение 1. Любой из вышеприведенных заместителей может быть использован, но особенно предпочтительной является С1-10алкилгруппа с прямой или разветвленной цепью или С3-10циклоалкилС1-4алкилгруппа.
Особенно предпочтительный пример замещенной С5-8циклоалкенилгруппы представляет собой 1-замещенную-С5-8циклоалкенилгруппу. “1-Замещенная-С5-8циклоалкенилгруппа” означает циклоалкенилгруппу (особенно предпочтительна С5-6циклоалкенилгруппа, такая как циклопентенил или циклогексенил), которая замещена в положении 1 заместителями, выбранными из вышеописанной С1-10алкилгруппы с прямой или разветвленной цепью (особенно предпочтительна С1-8алкилгруппа, такая как метил, этил, пропил, изопропил, бутил, изобутил, пентил, изопентил, 2,2-диметилпропил и 4-метилпентил), из вышеописанной С2-10алкенилгруппы с прямой или разветвленной цепью (особенно предпочтительна С2-8алкенилгруппа, такая как 1-метилвинил, 2-метилвинил или 3-метил-3-пропенил), из вышеописанной С3-10циклоалкил (особенно предпочтительна С3-7циклоалкилгруппа, такая как циклопропил, циклопентил или циклогексил), из вышеописанной С5-8циклоалкенилгруппы (особенно предпочтительна С5-6циклоалкенилгруппа, такая как циклопентенил или циклогексенил), из вышеописанной С3-10циклоалкилС1-10алкилгруппы (особенно предпочтительна С3-7циклоалкилС1-4(низший алкил)группа, такая как циклопропилметил, 2-циклопропилэтил, 2-циклопентилэтил, циклогексилметил или 2-циклогексилэтил), из вышеописанной арилгруппы (особенно предпочтительна фенилгруппа), из вышеописанной аралкилгруппы (особенно предпочтительна фенилС1-4(низший алкил)группа, такая как бензил или фенетил) и из аралкенилгруппы (особенно предпочтительна 2-фенилвинилгруппа). Предпочтительные примеры 1-замещенной-С5-8циклоалкенилгруппы включают 1-изопропил-2-циклопентенил, 1-изопропил-3-циклопентенил, 1-изобутил-2-циклопентенил, 1-изобутил-3-циклопентенил, 1-изопентил-2-циклопентенил, 1-изопентил-3-циклопентенил, 1-циклогексилметил-2-циклопентенил, 1-циклогексилметил-3-циклопентенил, 1-метил-2-циклогексенил, 1-метил-3-циклогексенил, 1-этил-2-циклогексенил, 1-этил-3-циклогексенил, 1-пропил-2-циклогексенил, 1-пропил-3-циклогексенил, 1-изопропил-2-циклогексенил, 1-изопропил-3-циклогексенил, 1-бутил-2-циклогексенил, 1-бутил-3-циклогексенил, 1-изобутил-2-циклогексенил, 1-изобутил-3-циклогексенил, 1-пентил-2-циклогексенил, 1-пентил-3-циклогексенил, 1-изопентил-2-циклогексенил, 1-изопентил-3-циклогексенил, 1-(2,2-диметилпропил)-2-циклогексенил, 1-(2,2-диметилпропил)-3-циклогексенил, 1-(4-метилпентил)-2-циклогексенил, 1-(4-метилпентил)-3-циклогексенил, 1-циклопропил-2-циклогексенил, 1-циклопропил-3-циклогексенил, 1-циклогексил-2-циклогексенил, 1-циклогексил-3-циклогексенил, 1-фенил-2-циклогексенил, 1-фенил-3-циклогексенил, 1-циклопропилметил-2-циклогексенил, 1-циклопропилметил-3-циклогексенил, 1-циклогексилметил-2-циклогексенил, 1-циклогексилметил-3-циклогексенил, 1-(2-циклопропилэтил)-2-циклогексенил, 1-(2-циклопропилэтил)-3-циклогексенил, 1-(2-циклопентилэтил)-2-циклогексенил, 1-(2-циклопентилэтил)-3-циклогексенил, 1-(2-циклогексилэтил)-2-циклогексенил и 1-(2-циклогексилэтил)-3-циклогексенил. С1-10алкилгруппа с прямой или разветвленной цепью является особенно предпочтительной как заместитель в положении 1.
“Замещенная или незамещенная С3-10циклоалкилС1-10алкилгруппа” для R означает
С3-10циклоалкилС1-10алкилгруппу (особенно предпочтительны циклогексилметил, 1-циклогексилэтил, 1-циклогексил-1-метилэтил, 1-циклогексил-2-метилпропил, 1-циклогексил-3-метилбутил, 1-циклогексилгексил, 1-циклогексил-4-метилпентил и 1-циклогексилгептил), С1-10алкилгруппу, с прямой или разветвленной цепью, которая может содержать 1-4 заместителя, выбранных из вышеописанной С3-10циклоалкилгруппы (особенно предпочтительна С3-7циклоалкилгруппа, такая как циклопентил или циклогексил), из вышеописанной С5-8циклоалкенилгруппы (особенно предпочтительна С5-7циклоалкенилгруппа, такая как циклопентенил или циклогексенил), из вышеописанной арилгруппы (особенно предпочтительна фенилгруппа). Отсутствует специальное ограничение на положение замещения. Вышеописанные заместители могут находиться на С1-10алкильном фрагменте с прямой или разветвленной цепью. Предпочтительные примеры С3-10циклоалкилС1-10алкилгруппы включают циклогексилметил, 1-циклогексилэтил, циклогексилциклопентилметил, дициклогексилметил, 1-циклогексил-1-метилэтил, 1-циклогексил-2-метилпропил, 1-циклогексил-3-метилбутил, 1-циклогексил-4-метилпентил, 1-циклогексилгексил и 1-циклогексилгептил.
“Замещенная или незамещенная арилгруппа” для R означает арилгруппу (особенно предпочтительна фенилгруппа), которая может содержать 1-4 заместителя, выбранных из вышеописанной С1-6алкилгруппы с прямой или разветвленной цепью (особенно предпочтительна трет-бутилгруппа), из вышеописанного атома галогена (особенно предпочтительны фтор и хлор) и нитрогруппы. Предпочтительные примеры арилгруппы представляют собой фенил, 2-хлорфенил, 4-нитрофенил и 3,5-ди-трет-бутилфенил.
“Замещенная или незамещенная аралкилгруппа” для R означает аралкилгруппу (особенно предпочтительны бензил, бензгидрил и тритил), которая может содержать заместители, выбранные из вышеописанных атомов галогенов (особенно предпочтительны фтор и хлор), из нитрогруппы и гидроксигруппы, и в которой С1-4(низший алкил)группа представляет собой прямую или разветвленную цепь. Отсутствует специальное ограничение на положение замещения. С1-4низший алкильный фрагмент с прямой или разветвленной цепью может быть замещенным. Предпочтительные примеры аралкилгруппы представляют собой бензил и тритил.
“Замещенная или незамещенная 5- или 6-членная гетероциклическая группа, содержащая 1-3 атома азота, кислорода или серы” для R означает вышеописанную гетероциклическую группу, которая может содержать 1-4 заместителя, выбранного из вышеописанной С1-6алкилгруппы с прямой или разветвленной цепью (особенно предпочтительна трет-бутилгруппа), из вышеописанного атома галогена (особенно предпочтительны фтор и хлор) и нитрогруппы. Гетероциклическая группа предпочтительно представляет собой ароматическую гетероциклическую группу, особенно предпочтительно фурил, тиенил и пиридил.
“Замещенная или незамещенная С1-10алкилгруппа с прямой или разветвленной цепью” для R1 означает С1-10алкилгруппу с прямой или разветвленной цепью, которая может содержать заместитель, выбранный из вышеописанного атома галогена (особенно предпочтительны фтор и хлор), из вышеописанной С1-4(низший алкокси)группы (особенно предпочтительна метоксигруппа), из аминогруппы, которая может быть замещена вышеописанной С1-4(низший алкил)группой (особенно предпочтительна метилгруппа), вышеописанной ацилгруппой (особенно предпочтительна ацетилгруппа) или гидроксилгруппой, из вышеописанной С1-4(низший алкилтио)группы (особенно предпочтительна метилтиогруппа), карбамоилгруппы, гидроксилгруппы, ацилоксигруппы, содержащей вышеописанную ацилгруппу (особенно предпочтительна ацетилоксигруппа), карбоксилгруппы, ацилгруппы (особенно предпочтительна метоксикарбонилгруппа), арилоксигруппы, содержащей вышеописанную замещенную или незамещенную арилгруппу (особенно предпочтительна феноксигруппа и 4-хлорфеноксигруппа). Предпочтительные примеры алкилгруппы включают метил, хлорметил, этил, изопропил, 1-метил-2-пентил, октил, метоксиметил, диметиламинометил, ацетиламинометил, 1-ацетиламиноэтил, 1-ацетиламино-2-метилпропил, 1-ацетиламино-3-метилбутил, 1-ацетиламино-3-метилтиопропил, 1-ацетиламино-3-карбамоилпропил, 1-гидрокси-1-метилэтил, 1-ацетокси-1-метилэтил, 4-карбоксибутил, 2-метоксикарбонилэтил, феноксиметил и 4-хлорфеноксиметил.
“С1-4(низший алкокси)группа” для R1 представляет собой предпочтительно метоксигруппу и трет-бутоксигруппу.
“С1-4(низший алкилтио)группа” для R1 представляет собой предпочтительно метилтиогруппу.
“Замещенная или незамещенная аминогруппа” для R1 означает аминогруппу, которая может содержать заместитель, выбранный из вышеописанной С1-4(низший алкил)группы (особенно предпочтительны этил, изопропил и трет-бутил), вышеописанной ацилгруппы (особенно предпочтительны ацетил и бензоил) и из вышеописанной арилгруппы (особенно предпочтительны фенил и 4-метоксифенил), которая может быть замещена вышеописанной С1-4(низший алкокси)группой. Предпочтительные примеры аминогруппы представляют собой этиламино, изопропиламино, трет-бутиламино, фениламино и 4-метоксифениламино.
“Замещенная или незамещенная уреидогруппа” для R1 означает уреидогруппу, которая может содержать заместитель, выбранный из вышеописанной С1-4(низший алкил)группы (особенно предпочтительны метил и этил), вышеописанной ацилгруппы (особенно предпочтительны ацетил и бензоил) и из вышеописанной арилгруппы (особенно предпочтительны фенил и 4-метоксифенил), которая может быть замещена вышеописанной С1-4(низший алкокси)группой, причем N,N-дифенилуреидогруппа является предпочтительной.
“Замещенная или незамещенная С3-10циклоалкилгруппа” для R1 означает С3-10циклоалкилгруппу (особенно предпочтительны циклопропил и циклогексил), которая может содержать заместитель, выбранный из вышеописанной С1-10алкилгруппы с прямой или разветвленной цепью (особенно предпочтительны метил, трет-бутил и изопентил), аминогруппы, аминогруппы (особенно предпочтительны метиламино, этиламино, ацетиламино и бензиламино), которая может быть замещена вышеописанной С1-4низший алкил- или ацилгруппами. Предпочтительные примеры циклоалкилгруппы представляют собой циклопропил, циклогексил, 1-метилциклогексил, 1-изопентилциклогексил, 1-аминоциклогексил, 1-ацетиламиноциклогексил и 4-трет-бутилциклогексил.
“Замещенная или незамещенная С3-10циклоалкил С1-10алкилгруппа” для R1 означает С3-10циклоалкилС1-10алкилгруппу, которая может содержать заместитель, выбранный из вышеописанной С3-10циклоалкилгруппы (особенно предпочтительны циклопентил и циклогексил), вышеописанной С5-8циклоалкенилгруппы (особенно предпочтительны циклопентенил и циклогексенил), из вышеописанной арилгруппы (особенно предпочтительна фенилгруппа), и в которой С1-10алкильный фрагмент представляет собой прямую или разветвленную цепь. Отсутствует специальное ограничение на положение замещения. С1-10алкильный фрагмент с прямой или разветвленной цепью может быть замещенным. В качестве С3-10циклоалкилС1-10алкилгруппы является предпочтительной циклогексилметилгруппа.
“Замещенная или незамещенная арилгруппа” для R1 означает арилгруппу (особенно предпочтительны фенил или нафтил), которая может содержать заместитель, выбранный из вышеописанной С1-6алкилгруппы с прямой или разветвленной цепью (особенно предпочтительна метил и трет-бутилгруппа), вышеописанного атома галогена (особенно предпочтительны фтор и хлор), нитрогруппы, гидроксилгруппы, вышеописанной С1-4(низший алкокси)группы (особенно предпочтительна метоксигруппа), вышеописанной ацилгруппы (особенно предпочтительна 2-(1-изопентилциклогексанкарбониламино)фенилтиокарбонилгруппа). Предпочтительные примеры арилгруппы включают фенил, 1-нафтил, 2-нафтил, 2-хлорфенил, 2,6-дихлорфенил, 2,6-диметилфенил, 2-метоксифенил, 2-нитрофенил, 4-нитрофенил, 3,5-ди-трет-бутил-4-гидроксифенил и 4-[2-(1-изопентилциклогексанкарбониламино)фенилтиокарбонил]фенил.
“Замещенная или незамещенная аралкилгруппа” для R1 означает аралкилгруппу (особенно предпочтительны бензил, фенетил, 3-фенилпропил, нафтилметил и бифенилметил), которая может содержать заместитель, выбранный из вышеописанного атома галогена (особенно предпочтительны фтор и хлор), нитрогруппы, аминогруппы (особенно предпочтительны амино, ацетиламино, пивалоиламино, 1-метилциклогексанкарбониламино, трет-бутоксикарбониламино и бензоиламино), которая может быть замещена вышеописанной С1-4(низший алкил)группой или вышеописанной ацилгруппой, и из гидроксилгруппы, и в которой С1-4(низший алкил)группа представляет собой прямую или разветвленную цепь. Отсутствует специальное ограничение на положение замещения. С1-4(низший алкил)группа с прямой или разветвленной цепью может быть замещенной. Предпочтительные примеры аралкилгруппы включают бензил, фенетил, 3-фенилпропил, 3-нафтилметил, 4-бифенилметил, бензгидрил, 2-хлорфенилметил, 3-хлорфенилметил, 4-хлорфенилметил, 2-нитрофенилметил, 4-нитрофенилметил, 2-пивалоиламинофенилметил, 2-(1-метилциклогексанкарбониламино)фенилметил, 2-трет-бутоксикарбониламинофенилметил, 3-ацетиламинофенилметил, 3-(1-метилциклогексанкарбониламино)фенилметил, -аминобензил, -ацетиламинобензил, -(1-метилциклогексанкарбониламино)бензил, -бензоиламинобензил, -аминофенетил, -ацетиламинофенетил и 1-ацетиламино-2-(4-гидроксифенил)этил.
“Замещенная или незамещенная арилалкенигруппа” для R1 означает арилалкенилгруппу (особенно фенилвинил), которая может содержать заместитель, выбранный из вышеописанной С1-6(низший алкил)группы с прямой или разветвленной цепью (особенно предпочтительны метил и трет-бутил), вышеописанного атома галогена (особенно предпочтительны фтор и хлор), нитрогруппы, гидроксилгруппы, причем 2-фенилвинилгруппа является предпочтительной.
“Замещенная или незамещенная арилтиогруппа” для R1 означает арилтиогруппу (особенно предпочтительна фенилтиогруппа), которая может содержать заместитель, выбранный из вышеописанного атома галогена (особенно предпочтительны фтор и хлор), нитрогруппы и аминогруппы, которая может быть замещена вышеописанной С1-4(низший алкил)группой или вышеописанной ацилгруппой (особенно предпочтительны амино, ацетиламино, пивалоиламино, 1-метилциклогексанкарбониламино и бензоиламино), из гидроксилгруппы и вышеописанной галоген-С1-4(низший алкил)группы (особенно предпочтительна трифторметилгруппа). Предпочтительные примеры арилтиогруппы включают фенилтио, 2-пивалоиламинофенилтио, 2-(1-метилциклогексанкарбониламино)фенилтио и 2-(1-метилциклогексанкарбониламино-4-трифторметил)фенилтио.
“Замещенные или незамещенные 5- или 6-членные гетероциклические кольцевые группы с 1-3 атомами азота, кислорода или серы” для R1 означают гетероциклические кольцевые группы (особенно предпочтительна ароматическая гетероциклическая группа, такая как пиридил, или неароматическая гетероциклическая группа, такая как пиперидил или пирролидинил), которые могут содержать заместители, выбранные из вышеописанной С1-6алкилгруппы с прямой или разветвленной цепью (особенно предпочтительна метилгруппа), из атома галогена (особенно предпочтительны фтор и хлор), из вышеописанной ацилгруппы (особенно предпочтительны ацетил и бензоил) и оксогруппы. Их предпочтительные примеры представляют собой 3-пиридил, 1-метил-4-пиперидил, 1-ацетил-4-пиперидил, 5-оксо-2-пирролидинил, 1-ацетил-2-пирролидинил и 1-бензоил-2-пирролидинил. Особенно предпочтительной является 4-пиперидилгруппа, такая как 1-метил-4-пиперидил или 1-ацетил-4-пиперидилгруппа.
“Замещенная или незамещенная 5- или 6-членная гетероарилалкилгруппа” для R1 означает вышеописанную гетероарилалкилгруппу (особенно предпочтительна 2-тиенилгруппа), которая может быть замещена вышеописанной С1-6алкилгруппой с прямой или разветвленной цепью (особенно предпочтительна метилгруппа) и вышеописанным атомом галогена (особенно предпочтительны фтор и хлор). Предпочтитительной является 2-тиенилгруппа.
“Замещенная или незамещенная С1-4(низший алкил)группа” для R2 означает С1-4(низший алкил)группу (особенно предпочтительна метилгруппа), которая может содержать 1-3 заместителя, выбранного из вышеописанной С1-4(низший алкокси)группы (особенно предпочтительна метоксигруппа), аминогруппы, которая может быть замещена вышеописанной С1-4низший алкил- или ацилгруппой (особенно предпочтительна диметиламиногруппа), вышеописанной С1-4(низший алкилтио)группы (особенно предпочтительна метилтиогруппа), карбамоилгруппы, гидроксилгруппы, карбоксилгруппы, вышеописанной ацилгруппы (особенно предпочтительна метоксикарбонилгруппа) и вышеописанной гетероциклической группы (особенно предпочтительна ароматическая гетероциклическая группа, такая как тиенил, или неароматическая гетероциклическая группа, такая как тетрагидрофурил). Предпочтительной является тетрагидрофурилметилгруппа.
“Замещенная или незамещенная арилгруппа” для R2 означает то же, что и для R1. Ее предпочтительные примеры представляют собой фенилгруппу, галогенированную фенилгруппу, ациламинозамещенную фенилгруппу и т.п.
“Атом галогена” для Х1, Х2, Х3 и Х4 означает атом галогена, включающий фтор, хлор, бром и т.п., причем фтор и хлор являются предпочтительными.
“С1-4(низший алкил)группа” для Х1, Х2, Х3 и Х4 представляет собой предпочтительно метилгруппу.
“Галоген-С1-4(низший алкил)группа” для Х1, Х2, Х3 и Х4 означает С1-4(низший алкил)группу (особенно предпочтительна метилгруппа), замещенную вышеописанным атомом галогена (особенно предпочтительны фтор и хлор). Предпочтительной является трифторметилгруппа.
“С1-4(низший алкокси)группа” для Х1, Х2, Х3 и Х4 представляет собой предпочтительно метоксигруппу.
“Ацилгруппа” для Х1, Х2, Х3 и Х4 представляет собой предпочтительно бензоилгруппу.
“Арилгруппа” для Х1, Х2, Х3 и Х4 представляет собой предпочтительно фенилгруппу.
Предпочтительно СЕТР-ингибитор представляет собой соединение, выбранное из группы, включающей N-(2-меркаптофенил)-1-изопентилциклогексанкарбоксамид; N-(2-меркаптофенил)-1-метилциклогексанкарбоксамид; N-(2-меркаптофенил)-1-изопентилциклопентанкарбоксамид; N-(2-меркаптофенил)-1-изопропилциклогексанкарбоксамид; N-(4,5-дихлор-2-меркаптофенил)-1-изопентилциклогексанкарбоксамид; N-(4,5-дихлор-2-меркаптофенил)-1-изопентилциклопентанкарбоксамид; N-(2-меркапто-5-метилфенил)-1-изопентилциклогексанкарбоксамид; N-(2-меркапто-4-метилфенил)-1-изопентилциклогексанкарбоксамид; S-[2-(1-изопентилциклогексанкарбониламино)фенил]тиоацетат; S-[2-(1-метилциклогексанкарбониламино)фенил]2,2-диметилтиопропионат; S-[2-(1-изопентилциклогексанкарбониламино)фенил]2,2-диметилтиопропионат; S-[2-(1-изопентилциклогексанкарбониламино)фенил]2-ацетиламино-3-фенилтиопропионат; S-[2-(1-изопентилциклогексанкарбониламино)фенил]3-пиридинтиокарбоксилат; S-[2-(1-изопентилциклогексанкарбониламино)фенил]хлортиоацетат; S-[2-(1-изопентилциклогексанкарбониламино)фенил]метокситиоацетат; S-[2-(1-изопентилциклогексанкарбониламино)фенил]тиопропионат; S-[2-(1-изопентилциклогексанкарбониламино)фенил]фенокситиоацетат; S-[2-(1-изопентилциклогексанкарбониламино)фенил]2-метилтиопропионат; S-[2-(1-изопентилциклогексанкарбониламино)фенил]4-хлорфенокситиоацетат; S-[2-(1-изопентилциклогексанкарбониламино)фенил]циклопропантиокарбоксилат; S-[2-(1-изопентилциклогексанкарбониламино)фенил]2-ацетиламино-4-карбамоилтиобутират; S-[2-(1-изопентилциклогексанкарбониламино)фенил]2-гидрокси-2-метилтиопропионат; S-[2-(1-изопентилциклопентанкарбониламино)фенил]2,2-диметилпропионат; S-[2-(1-изопентилциклопентанкарбониламино)фенил]тиоацетат; S-[4,5-дихлор-2-(1-изопентилциклогексанкарбониламино)фенил]2,2-диметилтиопропионат; S-[4,5-дихлор-2-(1-изопентилциклопентанкарбониламино)фенил]2,2-диметилтиопропионат; S-[2-(1-изопентилциклогексанкарбониламино)-4-трифторметилфенил]2,2-диметилтиопропионат; О-метил-S-[2-(1-изопентилциклогексанкарбониламино)фенил]монотиокарбонат; S-[2-(1-метилциклогексанкарбониламино)фенил]S-фенилдитиокарбонат; S-[2-(1-изопентилциклогексанкарбониламино)фенил]N-фенилтиокарбамат; S-[4,5-дихлор-2-(1-циклопропилциклогексанкарбониламино)фенил]2,2-диметилтиопропионат; S-[4,5-дихлор-2-(1-пентилциклогексанкарбониламино)фенил]2,2-диметилтиопропионат; S-[4,5-дихлор-2-(1-циклопропилметилциклогексанкарбониламино)фенил]2,2-диметилтиопропионат; S-[4,5-дихлор-2-(1-циклогексилметилциклогексанкарбониламино)фенил]2,2-диметилтиопропионат; S-[4,5-дихлор-2-(1-изопропилциклогексанкарбониламино)фенил]2,2-диметилтиопропионат; S-[4,5-дихлор-2-(1-изопентилциклогептанкарбониламино)фенил]2,2-диметилтиопропионат; S-[4,5-дихлор-2-(1-изопентилциклобутанкарбониламино)фенил]2,2-диметилтиопропионат; S-[2-(1-изопентилциклогексанкарбониламино)-4-нитрофенил]2,2-диметилтиопропионат; S-[4-циано-2-(1-изопентилциклогексанкарбониламино)фенил]2,2-диметилтиопропионат; S-[4-хлор-2-(1-изопентилциклогексанкарбониламино)фенил]2,2-диметилтиопропионат; S-[5-хлор-2-(1-изопентилциклогексанкарбониламино)фенил]2,2-диметилтиопропионат; S-[4-фтор-2-(1-изопентилциклогексанкарбониламино)фенил]2,2-диметилтиопропионат; S-[4,5-дифтор-2-(1-изопентилциклогексанкарбониламино)фенил]2,2-диметилтиопропионат; S-[5-фтор-2-(1-изопентилциклогексанкарбониламино)фенил]2,2-диметилтиопропионат; N-(2-меркаптофенил)-1-этилциклогексанкарбоксамид; N-(2-меркаптофенил)-1-пропилциклогексанкарбоксамид; N-(2-меркаптофенил)-1-бутилциклогексанкарбоксамид; N-(2-меркаптофенил)-1-изобутилциклогексанкарбоксамид; S-[2-(1-изопентилциклогексанкарбониламино)фенил]циклогексантиокарбоксилат; S-[2-(1-изопентилциклогексанкарбониламино)фенил]тиобензоат; S-[2-(1-изопентилциклогексанкарбониламино)фенил]5-карбокситиопентаноат; S-[2-(1-изопентилциклогексанкарбониламино)-4-метилфенил]тиоацетат; N-(2-меркаптофенил)-1-(2-этилбутил)циклогексанкарбоксамид; S-[2-([[1-(2-этилбутил)циклогексил]карбонил]амино)фенил]2-метилпропантиоат; S-[2-(1-изобутилциклогексанкарбониламино)фенил]2-метилтиопропионат; S-[2-[1-(2-этилбутил)циклогексанкарбониламино]фенил]1-ацетилпиперидин-4-тиокарбоксилат; S-[2-[1-(2-этилбутил)циклогексанкарбониламино]фенил]тиоацетат; S-[2-[1-(2-этилбутил)циклогексанкарбониламино]фенил]2,2-диметилтиопропионат; S-[2-[1-(2-этилбутил)циклогексанкарбониламино]фенил]метокситиоацетат; S-[2-[1-(2-этилбутил)циклогексанкарбониламино]фенил]2-гидрокси-2-метилпропионат; S-[2-[1-(2-этилбутил)циклогексанкарбониламино)фенил]4-хлорфенокситиоацетат; S-[2-(1-изобутилциклогексанкарбониламино)фенил]4-хлорфенокситиоацетат и S-[2-(1-изобутилциклогексанкарбониламино)фенил]1-ацетилпиперидин-4-тиокарбоксилат или пролекарство соединения, его фармацевтически приемлемую соль, гидрат или сольват.
Наиболее предпочтительно СЕТР-ингибитор представляет собой S-[2-([[1-(2-этилбутил)циклогексил]карбонил]амино)фенил]2-метилпропантиоат (который также известен как пропантиокислота, 2-метил-, S-[2-([[1-(2-этилбутил)циклогексил]карбонил]амино)фенил]эфир; S-[2-[1-(2-этилбутил)циклогексанкарбониламино]фенил]2-метилтиопропионат или JTT-705) (в дальнешем обозначено как соединение I). Соединение I соответствует следующей структурной формуле:

Соединение I
Было показано, что S-[2-([[1-(2-этилбутил)циклогексил]карбонил]амино)фенил]2-метилпропантиоат является ингибитором СЕТР-активности у людей (de Grooth et al., Circulation, 105, 2159-2165 (2002) и кроликов (Shinkai et al., J. Med. Chem., 43, 3566-3572 (2000); Kobayashi et al., Atherosclerosis, 162, 131-135 (2002); и Okamoto et al., Nature, 406(13), 203-207 (2000)). S-[2-([[1-(2-этилбутил)циклогексил]карбонил]амино)фенил]2-метилпропантиоат показан для повышения холестерина липопротеидов высокой плотности в плазме у людей (de Grooth et al., см. выше) и у кроликов (Shinkai et al., см. выше; Kobayashi et al., см. выше; Okamoto et al., см. выше). Кроме того, S-[2-([[1-(2-этилбутил)циклогексил]карбонил]амино)фенил]2-метилпропантиоат показан для снижения холестерина липопротеидов низкой плотности у людей (de Grooth et al., см. выше) и у кроликов (Okamoto et al., см. выше). Дополнительно S-[2-([[1-(2-этилбутил)циклогексил]карбонил]амино)фенил]2-метилпропантиоат ингибирует прогрессирование атеросклероза у кроликов (Okamoto et al., см. выше). S-[2-([[1-(2-этилбутил)циклогексил]карбонил]амино)фенил]2-метилпропантиоат, а также способы получения и применения данного соединения описаны в патенте США 6426365.
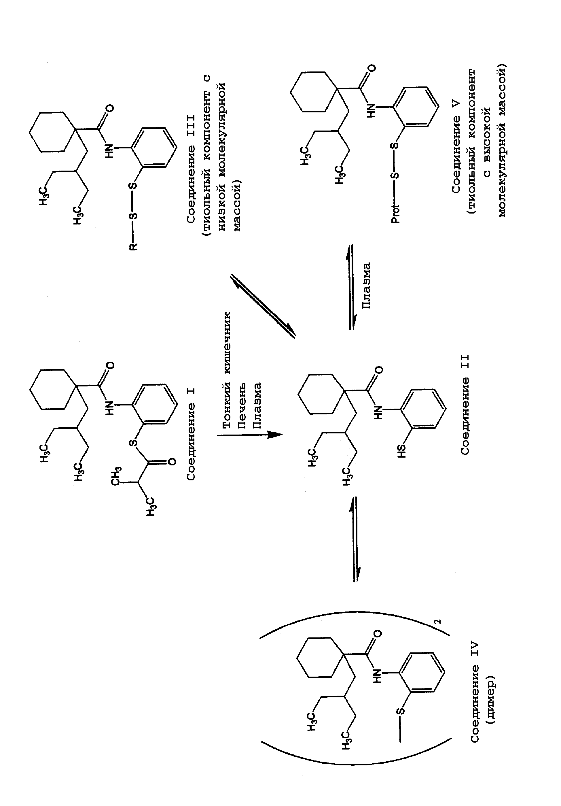
Не вдаваясь ни в какое теоретическое обоснование, предполагают, что внутри организма пациента соединение I гидролизуется в плазме, печени и/или тонком кишечнике с образованием S-[2-([[1-(2-этилбутил)циклогексил]карбонил]амино)фенил]тиола (в дальнейшем обозначенного как соединение II). Известно, что тиольные компоненты с низкой молекулярной массой (т.е., R-SH), такие как цистеин и глутатион, и тиольные компоненты с высокой молекулярной массой (т.е., Prot-SH), такие как пептиды и протеины (например, энзимы и клеточные мембраны), существуют в организме как смешанные дисульфиды, содержащие окисленную дисульфидную связь (S-S) между или внутри молекулы (см., например, Shimade et al., J. Chromatogr. B, 659, 227 (1994). Поэтому предполагают, что внутри организма пациента соединение II связывается с тиолами низкой или высокой молекулярной массы с образованием смешанных дисульфидов или димеров соединения II. Так как данные формы находятся в окислительно-восстановительном равновесии друг с другом через соединение II, то все эти формы, так же как и соединение II, в целом, но не по отдельности рассмотрены и названы далее как активная форма соединения I. Следующая схема отражает вышеописанную гипотезу.

Хотя введение соединения I представляет собой особенно предпочтительный вариант осуществления данного изобретения, в изобретении рассматривается также введение других соединений, которые будут образовывать активную форму соединения I, т.е. других пролекарств активной формы соединения I. Такие пролекарства, например, могут представлять собой соединения, которые содержат различные меркаптозащитные группы, но которые все же приводят к образованию активной формы соединения I (например, соединение II) в организме пациента (т.е. in vivo). Термин “меркаптозащитные группы” относится к обычно используемым меркапто-защитным группам (например, описанным в издании Wolman, The Chemistry of the Thiol Group, D. Patai, Ed., Wiley-Interscience, New York, 1974). Любые органические остатки, которые могут быть диссоциированными in vivo, можно использовать без особого ограничения. Примеры особенно подходящих меркапто-защитных групп описаны в патенте США 6426365. В данном изобретении далее рассматривается введение соединения I’ (где R’ означает органический остаток, отличный от изопропильной группы), образующего активную форму соединения I.

Соединение I’
Кроме того, соединения III, IV и V (где R означает органический остаток и Prot означает пептид или белок), которые, как полагают, находятся в равновесии с соединением II in vivo, аналогично могут быть непосредственно введены пациенту.
СЕТР-ингибитор (например, соединение I) может существовать в любой подходящей форме (например, как твердое вещество или жидкость, в кристаллической или аморфной форме или в любой их комбинации). В предпочтительном варианте осуществления СЕТР-ингибитор представляет собой твердое вещество в кристаллической или аморфной форме. Термин “аморфный” означает некристаллическое состояние. Выражение “их комбинация” в применении к аморфным или кристаллическим состояниям СЕТР-ингибиторов относится к смеси аморфной и кристаллической форм СЕТР-ингибитора. Основная часть СЕТР-ингибитора может находиться в аморфной или кристаллической форме. Примененное в данном описании выражение “основная часть” СЕТР-ингибитора означает более чем 50% наличие СЕТР-ингибитора в композиции. Например, основная часть СЕТР-ингибитора в композиции может быть в кристаллической форме. Альтернативно СЕТР-ингибитор в композиции может быть “в основном аморфный” (т.е. количество СЕТР-ингибитора в кристаллической форме не превышает приблизительно 10%) или “в основном кристаллический” (т.е. количество СЕТР-ингибитора в аморфной форме не превышает приблизительно 10%). Предпочтительно СЕТР-ингибитор является, по меньшей мере, приблизительно на 50% (например, по меньшей мере, приблизительно на 55%, по меньшей мере, приблизительно на 60%, по меньшей мере, приблизительно на 65%, по меньшей мере, приблизительно на 70%, по меньшей мере, приблизительно на 75%, по меньшей мере, приблизительно на 80%, по меньшей мере, приблизительно на 85%, по меньшей мере, приблизительно на 90%, по меньшей мере, приблизительно на 95% или фактически приблизительно на 100%) кристаллическим. Количество кристаллического СЕТР-ингибитора может быть измерено порошковой дифракцией рентгеновских лучей, анализом с помощью сканирующего электронного микроскопа (SEM), дифференциальной сканирующей калориметрией (DSC) или любым другим стандартным количественным определением.
Значительный ряд СЕТР-ингибиторов обладает низкой растворимостью в воде, низкой биодоступностью и/или медленной скоростью абсорбции, таким образом, желательно повысить их концентрацию в водной среде использования. Примененный в данном описании термин “биодоступность” обычно означает скорость или степень, с которой активный ингредиент или его активная форма абсорбируются из лекарственного продукта и становятся доступными в участке действия. См. U.S. Code of Federal Regulations, Title 21, Part 320.1 (2001 ed.). Для пероральных лекарственных форм биодоступность связана с процессами, в которых активный ингредиент высвобождается из пероральной лекарственной формы, например таблетки, превращается в активную форму (если активный ингредиент еще не является активной формой), движется к участку действия, например, абсорбируется в большой круг кровообращения.
Пероральное введение многих СЕТР-ингибиторов часто затруднительно, так как растворимость СЕТР-ингибиторов в воде является наименьшей (т.е. СЕТР-ингибиторы являются в основном нерастворимыми в воде). Выражение “наименьшая растворимость в воде” и “в основном нерастворимый в воде” означают, что СЕТР-ингибитор обладает максимумом водной растворимости, равной менее чем приблизительно 10 мкг/мл (например менее чем приблизительно 5 мкг/мл, менее чем приблизительно 2 мкг/мл, менее чем приблизительно 1 мкг/мл, менее чем приблизительно 0,5 мкг/мл, менее чем приблизительно 0,1 мкг/мл, менее чем приблизительно 50 нг/мл, менее, чем приблизительно 20 нг/мл или менее чем приблизительно 10 нг/мл) при любом физиологически релевантном рН (например, рН 1-8) и приблизительно 22°С. Например, растворимость соединения I в воде составляет менее чем приблизительно 0,0001 мг/мл. Такие низкие растворимости являются следствием особых структурных характеристик фрагментов, которые связаны с СЕТР, и таким образом действующих как СЕТР-ингибиторы. Подобная низкая растворимость обусловлена, главным образом, гидрофобной природой СЕТР-ингибиторов. Таким образом, гидрофобная и нерастворимая природа СЕТР-ингибиторов ставит проблему доставки вещества при пероральном введении. Для достижения терапевтических уровней лекарственного средства в крови при пероральном дозировании практически используемых количеств лекарственного средства требуется сильное повышение концентраций лекарственного средства в желудочно-кишечной среде и обеспечение сильного повышения его биодоступности. Кроме того, СЕТР-ингибиторы могут характеризоваться очень высоким отношением дозы к растворимости. Наименьшая растворимость часто приводит к слабой или медленной абсорбции лекарственного средства из среды желудочно-кишечного тракта, когда лекарственное средство дают определенными дозами перорально обычным способом. Для лекарственных средств с наименьшей растворимостью слабая абсорбция обычно становится прогрессирующе более трудной по мере увеличения дозы (массы лекарственного средства, вводимого перорально).
СЕТР-ингибиторы характеризуются низкой температурой плавления. СЕТР-интибиторы имеют температуру плавления около 150°С или менее (например, приблизительно 140°С или менее, приблизительно 130°С или менее, приблизительно 120°С или менее, приблизительно 110°С или менее, приблизительно 100°С или менее, приблизительно 90°С или менее, приблизительно 80°С или менее или приблизительно 70°С или менее. Например, соединение I имеет температуру плавления приблизительно 63-65°С.
Вследствие наличия одного или нескольких указанных свойств СЕТР-ингибиторы обычно имеют очень низкую абсолютную биодоступность. В частности, абсолютная биодоступность СЕТР-ингибиторов при пероральном введении определенными дозами в их недиспергируемом виде составляет менее, чем приблизительно 10% (например, менее чем приблизительно 9%, менее чем приблизительно 8%, менее чем приблизительно 7%, или менее чем приблизительно 6%) и более часто составляет менее чем приблизительно 5% (например, менее чем приблизительно 4%, менее чем приблизительно 3%, менее чем приблизительно 2% или менее чем приблизительно 1%).
Для преодоления очень низкой биодоступности в отношении СЕТР-ингибиторов, в данном изобретении предлагается фармацевтическая композиция, содержащая СЕТР-ингибитор и одну или несколько водонерастворимых добавок, повышающих концентрацию. Было установлено, что включение водонерастворимой добавки, повышающей концентрацию, выгодно и сильно повышает биодоступность СЕТР-ингибитора.
Водонерастворимая добавка, повышающая концентрацию, может быть любой подходящей добавкой, которая повышает биодоступность СЕТР-ингибитора по сравнению с введением СЕТР-ингибитора в отсутствие добавки. Добавка, повышающая концентрацию, предпочтительно представляет собой полимер. Под “водонерастворимой” добавкой подразумевается, что добавка обладает максимумом растворимости в воде, равной менее чем приблизительно 10 мкг/мл при любом физиологически релевантном рН (например, рН 1-8) и при температуре приблизительно 22°С. Под “добавкой(ами), повышающей концентрацию,” подразумевается, что добавка (например, полимер) повышает биодоступность СЕТР-ингибитора по сравнению с введением СЕТР-ингибитора в отсутствие добавки(ок), повышающей концентрацию. Например, присутствие добавки в фармацевтической композиции предпочтительно повышает концентрацию СЕТР-ингибитора (или его активной формы) в водной среде использования (например, в плазме, особенно человека) при сравнении с введением СЕТР-ингибитора в отсутствие добавки. Таким образом, добавка может быть рассмотрена как “добавка, повышающая концентрацию” или, если такая добавка представляет собой полимер, то как “полимер, повышающий концентрацию”.
Фармацевтическая композиция, содержащая СЕТР-ингибитор и водонерастворимую добавку, повышающую концентрацию, способна к достижению определенных максимальных концентраций и площадей, ограниченных кривой концентрация – время (AUC) от нулевого значения времени вплоть до последней количественно определяемой концентрации (0-tz) и/или от нулевого значения времени до бесконечности (0- ) активной формы СЕТР-ингибитора, например активной формы соединения I) в среде использования (обычно в плазме, особенно человека), что обсуждено далее в описании способов применения фармацевтических композиций.
Количество водонерастворимой добавки, повышающей концентрацию, по сравнению с количеством СЕТР-ингибитора, присутствующего в фармацевтической композиции, зависит от СЕТР-ингибитора и добавки, повышающей концентрацию. Массовое отношение СЕТР-ингибитора к добавке может составлять приблизительно от 1:100 до приблизительно 10:1 (например, приблизительно 1:50, приблизительно 1:25, приблизительно 1:10, приблизительно 1:5, приблизительно 1:4, приблизительно 1:3, приблизительно 1:2, приблизительно 1:1, приблизительно 2:1, приблизительно 3:1, приблизительно 4:1, приблизительно 5:1, приблизительно 6:1, приблизительно 7:1, приблизительно 8:1, приблизительно 9:1 или их вариации). Предпочтительно массовое отношение СЕТР-ингибитора к добавке составляет приблизительно от 2:1 до приблизительно 9:1, более предпочтительно приблизительно от 2:1 до приблизительно 4:1. Отношение содержания СЕТР-ингибитора к добавке, которое приводит к оптимальным результатам, изменяется при переходе от одного СЕТР-ингибитора к другому СЕТР-ингибитору, и самое лучшее определяют in vitro определением растворимости и/или биодоступности in vivo.
Особенно предпочтительная водонерастворимая добавка, повышаюшая концентрацию, представляет собой кросповидон (т.е. синтетический гомополимер сетчатого N-винил-2-пирролидона). Кросповидон может присутствовать в фармацевтической композиции в любом подходящем количестве, желательно в интервале приблизительно от 30% до приблизительно 100% (например, приблизительно 40%, приблизительно 50%, приблизительно 60%, приблизительно 70%, приблизительно 80%, приблизительно 90% или в их пределах) к массе СЕТР-ингибитора (например, соединения I). В предпочтительном варианте осуществления данного изобретения массовое отношение СЕТР-ингибитора к кросповидону может составлять приблизительно от 1:1 до приблизительно 3,3:1, более предпочтительно приблизительно от 2:1 до 3:1. Количество кросповидона в фармацевтической композиции является важным для дезинтеграции и растворения лекарственной формы (например, таблетки). Например, если фармацевтическая композиция содержит меньше чем приблизительно 30% масс. (например, менее чем приблизительно 25%, менее чем приблизительно 20%, менее чем приблизительно 15%, менее чем приблизительно 10%, менее чем приблизительно 5%) СЕТР-ингибитора, то время дезинтеграции таблетки замедляется, и образующееся растворенное количество СЕТР-ингибитора снижается. Время дезинтеграции и образующееся растворенное количество тесно связаны с абсорбируемым количеством СЕТР-ингибитора в желудочно-кишечном тракте, которое влияет на уровень эффективности фармацевтической композиции.
Фармацевтическая композиция, содержащая СЕТР-ингибитор и водонерастворимую добавку, повышающую концентрацию (например, кросповидон), также может содержать одну или несколько фармацевтически приемлемых добавок, такие как носители или наполнители и необязательно другие терапевтические средства (например, ингибиторы гидроксиметилглутарил кофермент А редуктазы) и/или компоненты. Например, СЕТР-ингибитор может быть применен вместе с известными фармакологически приемлемыми наполнителями, носителями, растворителями, сухими разбавителями, диспергаторами, стабилизаторами, консервантами, буферами, эмульгаторами, ароматизаторами, красителями, подсластителями, средствам, повышающими вязкость, корригентами, солюбилизаторами и другими добавками. Указанные добавки должны быть приемлемыми в плане совместимости с другими ингредиентами и не вредными для их реципиента. Примеры добавок для перорального введения включают кукурузный крахмал, лактозу, стеарат магния, тальк, микрокристаллическую целлюлозу, стеариновую кислоту, повидон, двухосновный фосфат кальция, крахмалгликолат натрия, гидроксипропилцеллюлозу (например, низкозамещенную гидроксипропилцеллюлозу), гидроксипропилметилцеллюлозу (например, гидроксипропилметилцеллюлозу 2910) и лаурилсульфат натрия.
Для фармацевтической композиции желательна препаративная форма смеси, предпочтительно твердой смеси, которую приготавливают механическим смешиванием СЕТР-ингибитора и водонерастворимой добавки, повышающей концентрацию, а также и дополнительных фармакологически приемлемых добавок. Предпочтительно композиция, по существу, является гомогенной, такой чтобы СЕТР-ингибитор был диспергирован по возможности более гомогенно по всей композиции. Примененное в данном описании выражение “по существу гомогенный” означает, что фракция СЕТР-ингибитора, которая присутствует в относительно однородных областях внутри композиции, является относительно небольшой, составляя, например, менее чем приблизительно 20%, менее чем приблизительно 15%, менее чем приблизительно 10%, менее чем приблизительно 5% от общего количества СЕТР-ингибитора.
Предпочтительная твердая композиция может иметь одну или несколько температур стеклования (Тgs). В одном из вариантов осуществления твердая композиция имеет единственную температуру стеклования, при которой композиция, по существу, является гомогенной. Обозначение Тg, примененное в данном описании, представляет собой характеристическую температуру, при которой стекловидный материал при постепенном нагревании претерпевает сравнительно быстрое (например, приблизительно от 10 до приблизительно 100 сек) физическое изменение от стекловидного состояния до эластичного состояния. Тg материала может быть измерена несколькими способами, включающими применение динамического механического анализатора (DMA), дилатометра, диэлектрического анализатора и дифференциального сканирующего калориметра (DSC). Точные величины, измеренные по каждому способу, могут несколько отличаться, но обычно отличие друг от друга составляет от 10°С до 30°С. Безотносительно к примененному способу, когда композиция проявляет единственную Тg, то данный факт указывает на то, что композиция является, по существу, гомогенной.
Фармацевтическая композиция может быть приготовлена любым подходящим способом, таким как способы, хорошо известные в области фармации, например по способам, описанным в публикации Gennaro et al., Remington’s Pharmaceutical Sciences (18th ed., Mack Publishing Co., 1990), especially Part 8: Pharmaceutical Preparations and their Manufacture. Такие способы включают стадию введения СЕТР-ингибитора в ассоциацию с другими компонентами фармацевтической композиции.
Фармацевтическая композиция, содержащая СЕТР-ингибитор и водонерастворимую добавку, повышающую концентрацию, может быть сделана по любому подходящему способу. Предпочтительно способ изготовления включает механические процессы, такие как измельчение и экструзия. Альтернативно фармацевтическая композиция может быть приготовлена способами плавления, такими как высокотемпературное плавление, растворяющее модифицированное плавление, способы плавления-затвердевания; или способы в растворителе, такие как нерастворяющее осаждение, покрытие напылением и распылительная сушка.
Фармацевтическая композиция может обеспечивать контролируемое, медленное высвобождение или поддерживаемое высвобождение СЕТР-ингибитора на протяжении предварительно определенного периода времени. Контролируемое, медленное высвобождение или поддерживаемое высвобождение терапевтического соединения может обеспечивать концентрацию СЕТР-ингибитора или его активной формы, которая должна быть установлена в токе крови пациента на более длинный период времени. Такая фармацевтическая композиция включает таблетки с покрытием, пилюли и капсулы. Альтернативно фармацевтическая композиция может быть в форме дисперсии терапевтического соединения в среде, которая является нерастворимой в физиологических средах, или где высвобождение терапевтического соединения сопровождается разложением фармацевтической композиции, обусловленным механической, химической или энзиматической активностью.
Фармацевтическая композиция может иметь форму драже, капсулы или таблетки, причем каждая содержит заранее определенное количество СЕТР-ингибитора предпочтительно с покрытием для облегчения проглатывания, форму порошка или гранул. Предпочтительно фармацевтическая композиция имеет форму таблетки, содержащей СЕТР-ингибитор и компоненты таблетки, использованные и описанные в примерах данного изобретения. Для перорального введения порошки высокого качества или гранулы могут содержать растворители, диспергаторы или поверхностно-активные вещества и могут присутствовать, например, в капсулах или саше в сухом состоянии или в таблетках, где могут быть включены связывающие вещества и лубриканты. Компоненты, такие как подсластители, корригенты, консерванты (например, антимикробные консерванты), суспендирующие средства, загустители и/или эмульгаторы могут также присутствовать в фармацевтической композиции. Компонент препарата может выполнять более чем одну функцию.
Способы пероральной доставки часто ограничены химическими и физическими барьерами, возводимыми организмом, такими как изменение рН в желудочно-кишечном тракте, экспозиция ферментами и непроницаемость желудочно-кишечных мембран. Пероральное введение фармацевтической композиции может также включать совведение адъювантов. Например, неионогенные поверхностно-активные вещества, такие как полиоксиэтиленолеиловый эфир и п-гексадецилполиэтиленовый эфир могут быть введены с фармацевтической композицией или включены в нее для искусственного повышения проницаемости кишечных стенок. Энзиматические ингибиторы также могут быть введены с фармацевтической композицией или включены в нее.
Фармацевтическая композиция может быть введена любым подходящим способом. Предпочтительно композиция вводится с пищей. Выражение “с пищей” употреблено обычно для обозначения состояния с приемом пищи в течение периода приблизительно от 1 часа перед введением фармацевтической композиции, включающей СЕТР-ингибитор, до приблизительно 2 часов после введения композиции. Предпочтительно пища является твердой пищей достаточного объема и с компонентом жира, такой, которая не быстро растворяется и абсорбируется в желудке. Более предпочтительно пища представляет собой ассортимент продуктов для одноразового приема, такого как завтрак, второй завтрак или обед.
Преимущественно фармацевтическую композицию вводят в любое время дня с пищей. Пища может быть съедена в любое время в течение периода приблизительно от 1 часа перед введением фармацевтической композиции до приблизительно 2 часов после введения композиции. Например, пища может быть съедена в течение периода времени, равного приблизительно 1 час, приблизительно 45 мин, приблизительно 30 мин, приблизительно 15 мин, приблизительно 10 мин или приблизительно 5 мин перед введением композиции. Аналогично пища может быть съедена в течение периода времени, равного приблизительно 5 мин, приблизительно 10 мин, приблизительно 15 мин, приблизительно 30 мин, приблизительно 45 мин, приблизительно 1 час, приблизительно 1 час, приблизительно 1,25 час, приблизительно 1,5 час, приблизительно 1,75 час и приблизительно 2 час после введения композиции. Более предпочтительно введение композиции пациенту проводят сразу после приема пищи (например, в течение приблизительно 1 мин после приема пищи) вплоть до приблизительно 1 час после приема пищи. В идеальном случае фармацевтическая композиция, содержащая СЕТР-ингибитор, вводится в основном в то же самое время, что и прием пищи. Введение фармацевтической композиции с пищей может увеличить биодоступность СЕТР-ингибитора в водной среде использования.
Выражение “без пищи” или “голодающий” употреблено для обозначения состояния без приема пищи в течение периода приблизительно от 1 час перед введением композиции до приблизительно 2 час после введения композиции.
Фармацевтическая композиция может быть применена для лечения или профилактики сердечно-сосудистых нарушений, включающих, но без ограничения только ими, атеросклероз, заболевание периферических сосудов, дислипидемию (например, гиперлипидемию), гипербеталипопротеинемию, гипоальфалипопротеинемию, гиперхолестеринемию, гипертриглицеридемию, семейную гиперхолестеринемию, стенокардию, ишемию, ишемию сердца, инсульт, инфаркт миокарда, реперфузионное повреждение, рестеноз после ангиопластики, гипертензию, сердечно-сосудистую болезнь, коронарную болезнь сердца, коронарную болезнь артерий, гиперлипидопротеинемию, сосудистые осложнения диабета, ожирение или эндотоксемию у млекопитающих, особенно у человека (например, у мужчин или женщин).
Соответственно данное изобретение относится к способу лечения или профилактики сердечно-сосудистых нарушений у млекопитающего, который включает введение млекопитающему (предпочтительно млекопитающему, нуждающемуся в нем) терапевтически эффективного количества фармацевтической композиции. Млекопитающим предпочтительно является человек (т.е. мужского или женского рода). Человек может быть представителем любой расы (например, европеидной или монголоидной). Сердечно-сосудистые нарушения предпочтительно выбраны из группы, включающей атеросклероз, заболевание периферических сосудов, дислипидемию, гипербеталипопротеинемию, гипоальфалипопротеинемию, гиперхолестеринемию, гипертриглицеридемию, семейную гиперхолестеринемию, стенокардию, ишемию, ишемию сердца, инсульт, инфаркт миокарда, реперфузионное повреждение, рестеноз после ангиопластики, гипертензию и сосудистые осложнения диабета, ожирение или эндотоксемию у млекопитающих. Более предпочтительно сердечно-сосудистые нарушения выбраны из группы, включающей сердечно-сосудистую болезнь, коронарную болезнь сердца, коронарную болезнь артерий, гипоальфалипопротеинемию, гипербеталипопротеинемию, гиперхолестеринемию, гиперлипидемию, атеросклероз, гипертензию, гипертриглицеридемию, гиперлипидопротеинемию, заболевание периферических сосудов, стенокардию, ишемию и инфаркт миокарда.
СЕТР-ингибитор может быть введен млекопитающему в любой подходящей дозе (например, для достижения терапевтически эффективного количества). Например, подходящая доза терапевтически эффективного количества соединения I для введения пациенту будет составлять приблизительно от 100 мг до приблизительно 1800 мг в сутки. Требуемая доза предпочтительно составляет приблизительно от 300 мг до приблизительно 900 мг в сутки. Предпочтительная доза составляет приблизительно 600 мг в сутки. Фармакокинетические параметры (например, площадь, ограниченная кривой концентрация – время, максимум концентрации и т.п.) будут, конечно, изменяться в зависимости от дозы, введенной млекопитающему (например, человеку). Фармакокинетические параметры могут быть также подвержены влиянию дополнительных факторов, таких как масса млекопитающего и генетические компоненты. Например, как показано примерами 1-4, биодоступность соединения I (по данным Сmax, AUC0-tz и AUC0- ) больше после введения представителям монголоидной расы (особенно японцам), чем представителям европеидной расы.
Если желательно, то эффективная суточная доза СЕТР-ингибитора (например, соединения I) может быть введена в виде двух, трех, четырех, пяти, шести или более субдоз, вводимых отдельно с соответствующими интервалами в течение суток, необязательно в стандартных лекарственных формах. Каждая такая субдоза содержит терапевтически эффективное количество СЕТР-ингибитора (например, соединения I).
Фармацевтическая композиция, когда она введена млекопитающему, в частности человеку, в соответствии с требованиями, достигает определенных фармакокинетических эффектов, которые оценены максимумом наблюдаемой в плазме концентрации активной формы СЕТР-ингибитора (например, активной формы соединения I) (Cmax), площадью, ограниченной кривой концентрация в плазме – время (AUC) за время от нуля до последней количественно определяемой концентрации (0-tz) и/или от нуля до бесконечности (0- ) СЕТР-ингибитора (например, активной формы соединения I), и/или снижением СЕТР-активности (по сравнению с СЕТР-активностью перед введением фармацевтической композиции).
Фармацевтическая композиция в суточной дозе 300 мг, 600 мг или 900 мг СЕТР-ингибитора, в частности соединения I, введенная с пищей, предпочтительно достигает Сmax, AUC0-tz, AUC0- и/или вызывает снижение СЕТР-активности в среде использования (например, в плазме, в частности, человека), которые приводятся ниже:
Сmax (300 мг суточная доза): по меньшей мере, приблизительно 0,1 мкг/мл (например, по меньшей мере, приблизительно 0,15 мкг/мл, по меньшей мере, приблизительно 0,2 мкг/мл, по меньшей мере, приблизительно 0,25 мкг/мл, по меньшей мере, приблизительно 0,3 мкг/мл, по меньшей мере, приблизительно 0,4 мкг/мл, по меньшей мере, приблизительно 0,5 мкг/мл, по меньшей мере, приблизительно 0,6 мкг/мл, по меньшей мере, приблизительно 0,7 мкг/мл, по меньшей мере, приблизительно 0,8 мкг/мл, по меньшей мере, приблизительно 0,9 мкг/мл, по меньшей мере, приблизительно 1 мкг/мл, по меньшей мере, приблизительно 1,1 мкг/мл, по меньшей мере, приблизительно 1,2 мкг/мл, по меньшей мере, приблизительно 1,3 мкг/мл, по меньшей мере, приблизительно 1,4 мкг/мл, по меньшей мере, приблизительно 1,5 мкг/мл, по меньшей мере, приблизительно 1,6 мкг/мл, по меньшей мере, приблизительно 1,7 мкг/мл или, по меньшей мере, приблизительно 1,8 мкг/мл).
Сmax (600 мг суточная доза): по меньшей мере, приблизительно 0,35 мкг/мл (например, по меньшей мере, приблизительно 0,4 мкг/мл, по меньшей мере, приблизительно 0,5 мкг/мл, по меньшей мере, приблизительно 0,6 мкг/мл, по меньшей мере, приблизительно 0,7 мкг/мл, по меньшей мере, приблизительно 0,8 мкг/мл, по меньшей мере, приблизительно 0,9 мкг/мл, по меньшей мере, приблизительно 1 мкг/мл, по меньшей мере, приблизительно 1,1 мкг/мл, по меньшей мере, приблизительно 1,2 мкг/мл, по меньшей мере, приблизительно 1,3 мкг/мл, по меньшей мере, приблизительно 1,4 мкг/мл, по меньшей мере, приблизительно 1,5 мкг/мл, по меньшей мере, приблизительно 1,6 мкг/мл, по меньшей мере, приблизительно 1,7 мкг/мл, по меньшей мере, приблизительно 1,8 мкг/мл, по меньшей мере, приблизительно 1,9 мкг/мл или, по меньшей мере, приблизительно 2 мкг/мл).
Сmax (900 мг суточная доза): по меньшей мере, приблизительно 0,8 мкг/мл (например, по меньшей мере, приблизительно 0,9 мкг/мл, по меньшей мере, приблизительно 1 мкг/мл, по меньшей мере, приблизительно 1,1 мкг/мл, по меньшей мере, приблизительно 1,2 мкг/мл, по меньшей мере, приблизительно 1,3 мкг/мл, по меньшей мере, приблизительно 1,4 мкг/мл, по меньшей мере, приблизительно 1,5 мкг/мл, по меньшей мере, приблизительно 1,6 мкг/мл, по меньшей мере, приблизительно 1,7 мкг/мл, по меньшей мере, приблизительно 1,8 мкг/мл, по меньшей мере, приблизительно 1,9 мкг/мл, по меньшей мере, приблизительно 2 мкг/мл, по меньшей мере, приблизительно 2,1 мкг/мл, по меньшей мере, приблизительно 2,2 мкг/мл, по меньшей мере, приблизительно 2,3 мкг/мл, по меньшей мере, приблизительно 2,4 мкг/мл или, по меньшей мере, приблизительно 2,5 мкг/мл).
AUC0-tz (300 мг суточная доза): по меньшей мере, приблизительно 0,5 мкг.ч/мл (например, по меньшей мере, приблизительно 1 мкг.ч/мл, по меньшей мере, приблизительно 1,5 мкг.ч/мл, по меньшей мере, приблизительно 2 мкг.ч/мл, по меньшей мере, приблизительно 2,5 мкг.ч/мл, по меньшей мере, приблизительно 3 мкг.ч/мл, по меньшей мере, приблизительно 3,5 мкг.ч/мл, по меньшей мере, приблизительно 4 мкг.ч/мл, по меньшей мере, приблизительно 4,5 мкг.ч/мл, по меньшей мере, приблизительно 5 мкг.ч/мл, по меньшей мере, приблизительно 5,5 мкг.ч/мл, по меньшей мере, приблизительно 6 мкг.ч/мл, по меньшей мере, приблизительно 6,5 мкг.ч/мл, по меньшей мере, приблизительно 7 мкг.ч/мл, по меньшей мере, приблизительно 7,5 мкг.ч/мл, по меньшей мере, приблизительно 8 мкг.ч/мл, по меньшей мере, приблизительно 8,5 мкг.ч/мл, по меньшей мере, приблизительно 9 мкг.ч/мл, по меньшей мере, приблизительно 9,5 мкг.ч/мл или, по меньшей мере, приблизительно 10 мкг.ч/мл).
AUC0-tz (600 мг суточная доза): по меньшей мере, приблизительно 3,5 мкг.ч/мл (например, по меньшей мере, приблизительно 4 мкг.ч/мл, по меньшей мере, приблизительно 4,5 мкг.ч/мл, по меньшей мере, приблизительно 5 мкг.ч/мл, по меньшей мере, приблизительно 5,5 мкг.ч/мл, по меньшей мере, приблизительно 6 мкг.ч/мл, по меньшей мере, приблизительно 6,5 мкг.ч/мл, по меньшей мере, приблизительно 7 мкг.ч/мл, по меньшей мере, приблизительно 7,5 мкг.ч/мл, по меньшей мере, приблизительно 8 мкг.ч/мл, по меньшей мере, приблизительно 8,5 мкг.ч/мл, по меньшей мере, приблизительно 9 мкг.ч/мл, по меньшей мере, приблизительно 9,5 мкг.ч/мл, по меньшей мере, приблизительно 10 мкг.ч/мл, по меньшей мере, приблизительно 10,5 мкг.ч/мл, по меньшей мере, приблизительно 11 мкг.ч/мл, по меньшей мере, приблизительно 11,5 мкг.ч/мл, по меньшей мере, приблизительно 12 мкг.ч/мл, по меньшей мере, приблизительно 12,5 мкг.ч/мл, по меньшей мере, приблизительно 13 мкг.ч/мл, по меньшей мере, приблизительно 13,5 мкг.ч/мл, по меньшей мере, приблизительно 14 мкг.ч/мл, по меньшей мере, приблизительно 14,5 мкг.ч/мл или, по меньшей мере, приблизительно 15 мкг.ч/мл).
AUC0-tz (900 мг суточная доза): по меньшей мере, приблизительно 7,5 мкг.ч/мл, по меньшей мере, приблизительно 8 мкг.ч/мл, по меньшей мере, приблизительно 8,5 мкг.ч/мл, по меньшей мере, приблизительно 9 мкг.ч/мл, по меньшей мере, приблизительно 9,5 мкг.ч/мл, по меньшей мере, приблизительно 10 мкг.ч/мл, по меньшей мере, приблизительно 10,5 мкг.ч/мл, по меньшей мере, приблизительно 11 мкг.ч/мл, по меньшей мере, приблизительно 11,5 мкг.ч/мл, по меньшей мере, приблизительно 12 мкг.ч/мл, по меньшей мере, приблизительно 12,5 мкг.ч/мл, по меньшей мере, приблизительно 13 мкг.ч/мл, по меньшей мере, приблизительно 13,5 мкг.ч/мл, по меньшей мере, приблизительно 14 мкг.ч/мл, по меньшей мере, приблизительно 14,5 мкг.ч/мл, по меньшей мере, приблизительно 15 мкг. ч/мл, по меньшей мере, приблизительно 15,5 мкг.ч/мл, по меньшей мере, приблизительно 16 мкг.ч/мл, по меньшей мере, приблизительно 16,5 мкг.ч/мл, по меньшей мере, приблизительно 17 мкг.ч/мл, по меньшей мере, приблизительно 17,5 мкг.ч/мл, по меньшей мере, приблизительно 18 мкг.ч/мл, по меньшей мере, приблизительно 18,5 мкг.ч/мл, по меньшей мере, приблизительно 19 мкг.ч/мл по меньшей мере, приблизительно 19,5 мкг.ч/мл или, по меньшей мере, приблизительно 20 мкг.ч/мл.
AUC0- (300 мг суточная доза): по меньшей мере, приблизительно 0,5 мкг.ч/мл (например, по меньшей мере, приблизительно 1 мкг.ч/мл, по меньшей мере, приблизительно 1,5 мкг.ч/мл, по меньшей мере, приблизительно 2 мкг.ч/мл, по меньшей мере, приблизительно 2,5 мкг.ч/мл, по меньшей мере, приблизительно 3 мкг.ч/мл, по меньшей мере, приблизительно 3,5 мкг.ч/мл, по меньшей мере, приблизительно 4 мкг.ч/мл, по меньшей мере, приблизительно 4,5 мкг.ч/мл, по меньшей мере, приблизительно 5 мкг.ч/мл, по меньшей мере, приблизительно 5,5 мкг.ч/мл, по меньшей мере, приблизительно 6 мкг.ч/мл, по меньшей мере, приблизительно 6,5 мкг.ч/мл, по меньшей мере, приблизительно 7 мкг.ч/мл, по меньшей мере, приблизительно 7,5 мкг.ч/мл, по меньшей мере, приблизительно 8 мкг.ч/мл, по меньшей мере, приблизительно 8,5 мкг.ч/мл, по меньшей мере, приблизительно 9 мкг.ч/мл, по меньшей мере, приблизительно 9,5 мкг.ч/мл или, по меньшей мере, приблизительно 10 мкг.ч/мл).
AUC0- (600 мг суточная доза): по меньшей мере, приблизительно 3,5 мкг.ч/мл (например, по меньшей мере, приблизительно 4 мкг.ч/мл, по меньшей мере, приблизительно 4,5 мкг.ч/мл, по меньшей мере, приблизительно 5 мкг.ч/мл, по меньшей мере, приблизительно 5,5 мкг.ч/мл, по меньшей мере, приблизительно 6 мкг.ч/мл, по меньшей мере, приблизительно 6,5 мкг.ч/мл, по меньшей мере, приблизительно 7 мкг.ч/мл, по меньшей мере, приблизительно 7,5 мкг.ч/мл, по меньшей мере, приблизительно 8 мкг.ч/мл, по меньшей мере, приблизительно 8,5 мкг.ч/мл, по меньшей мере, приблизительно 9 мкг.ч/мл, по меньшей мере, приблизительно 9,5 мкг.ч/мл, по меньшей мере, приблизительно 10 мкг.ч/мл, по меньшей мере, приблизительно 10,5 мкг.ч/мл, по меньшей мере, приблизительно 11 мкг.ч/мл, по меньшей мере, приблизительно 11,5 мкг.ч/мл, по меньшей мере, приблизительно 12 мкг.ч/мл, по меньшей мере, приблизительно 12,5 мкг.ч/мл, по меньшей мере, приблизительно 13 мкг.ч/мл, по меньшей мере, приблизительно 13,5 мкг.ч/мл, по меньшей мере, приблизительно 14 мкг.ч/мл, по меньшей мере, приблизительно 14,5 мкг.ч/мл или, по меньшей мере, приблизительно 15 мкг.ч/мл).
AUC0- (900 мг суточная доза): по меньшей мере, приблизительно 7,5 мкг.ч/мл, по меньшей мере, приблизительно 8 мкг.ч/мл, по меньшей мере, приблизительно 8,5 мкг.ч/мл, по меньшей мере, приблизительно 9 мкг.ч/мл, по меньшей мере, приблизительно 9,5 мкг.ч/мл, по меньшей мере, приблизительно 10 мкг.ч/мл, по меньшей мере, приблизительно 10,5 мкг.ч/мл, по меньшей мере, приблизительно 11 мкг.ч/мл, по меньшей мере, приблизительно 11,5 мкг.ч/мл, по меньшей мере, приблизительно 12 мкг.ч/мл, по меньшей мере, приблизительно 12,5 мкг.ч/мл, по меньшей мере, приблизительно 13 мкг.ч/мл, по меньшей мере, приблизительно 13,5 мкг.ч/мл, по меньшей мере, приблизительно 14 мкг.ч/мл, по меньшей мере, приблизительно 14,5 мкг.ч/мл, по меньшей мере, приблизительно 15 мкг.ч/мл, по меньшей мере, приблизительно 15,5 мкг.ч/мл, по меньшей мере, приблизительно 16 мкг.ч/мл, по меньшей мере, приблизительно 16,5 мкг.ч/мл, по меньшей мере, приблизительно 17 мкг.ч/мл, по меньшей мере, приблизительно 17,5 мкг.ч/мл, по меньшей мере, приблизительно 18 мкг.ч/мл, по меньшей мере, приблизительно 18,5 мкг.ч/мл, по меньшей мере, приблизительно 19 мкг.ч/мл по меньшей мере, приблизительно 19,5 мкг.ч/мл или, по меньшей мере, приблизительно 20 мкг.ч/мл.
Снижение в СЕТР-активности (300 мг суточная доза): по меньшей мере, приблизительно 10% (например, по меньшей мере, приблизительно 15%, по меньшей мере, приблизительно 20%, по меньшей мере, приблизительно 25%, по меньшей мере, приблизительно 30%, по меньшей мере, приблизительно 35%, по меньшей мере, приблизительно 40%, по меньшей мере, приблизительно 45%, по меньшей мере, приблизительно 50%, по меньшей мере, приблизительно 55%, по меньшей мере, приблизительно 60%, по меньшей мере, приблизительно 65%, по меньшей мере, приблизительно 70% или, по меньшей мере, приблизительно 75% или более) по сравнению с СЕТР-активностью перед введением фармацевтической композиции.
Снижение в СЕТР-активности (600 мг суточная доза): по меньшей мере, приблизительно 25% (например, по меньшей мере, приблизительно 30%, по меньшей мере, приблизительно 40%, по меньшей мере, приблизительно 45%, по меньшей мере, приблизительно 50%, по меньшей мере, приблизительно 55%, по меньшей мере, приблизительно 60%, по меньшей мере, приблизительно 65%, по меньшей мере, приблизительно 70%, по меньшей мере, приблизительно 75%, по меньшей мере, приблизительно 80% или, по меньшей мере, приблизительно 85% или более) по сравнению с СЕТР-активностью перед введением фармацевтической композиции.
Снижение в СЕТР-активности (900 мг суточная доза): по меньшей мере, приблизительно 35% (например, по меньшей мере, приблизительно 40%, по меньшей мере, приблизительно 45%, по меньшей мере, приблизительно 50%, по меньшей мере, приблизительно 55%, по меньшей мере, приблизительно 60%, по меньшей мере, приблизительно 65%, по меньшей мере, приблизительно 70%, по меньшей мере, приблизительно 75%, по меньшей мере, приблизительно 80%, по меньшей мере, приблизительно 85%, по меньшей мере, приблизительно 90% или, по меньшей мере, приблизительно 95% или более) по сравнению с СЕТР-активностью перед введением фармацевтической композиции.
Фармацевтическая композиция в суточной дозе 300 мг, 600 мг или 900 мг СЕТР-ингибитора, в частности, соединения I, введенная без пищи, предпочтительно достигает Сmax, AUC0-tz, AUC0- и/или вызывает снижение СЕТР-активности в среде использования, которые приводятся ниже:
Сmax (300 мг суточная доза): по меньшей мере, приблизительно 0,05 мкг/мл (например, по меньшей мере, приблизительно 0,1 мкг/мл, по меньшей мере, приблизительно 0,15 мкг/мл, по меньшей мере, приблизительно 0,2 мкг/мл, по меньшей мере, приблизительно 0,25 мкг/мл, по меньшей мере, приблизительно 0,3 мкг/мл, по меньшей мере, приблизительно 0,4 мкг/мл, по меньшей мере, приблизительно 0,5 мкг/мл, по меньшей мере, приблизительно 0,6 мкг/мл, по меньшей мере, приблизительно 0,7 мкг/мл, по меньшей мере, приблизительно 0,8 мкг/мл, по меньшей мере, приблизительно 0,9 мкг/мл, по меньшей мере, приблизительно 1 мкг/мл, по меньшей мере, приблизительно 1,1 мкг/мл, по меньшей мере, приблизительно 1,2 мкг/мл, по меньшей мере, приблизительно 1,3 мкг/мл, по меньшей мере, приблизительно 1,4 мкг/мл или, по меньшей мере, приблизительно 1,5 мкг/мл).
Сmax (600 мг суточная доза): по меньшей мере, приблизительно 0,15 мкг/мл (например, по меньшей мере, приблизительно 0,2 мкг/мл, по меньшей мере, приблизительно 0,25 мкг/мл, по меньшей мере, приблизительно 0,3 мкг/мл, по меньшей мере, приблизительно 0,4 мкг/мл, по меньшей мере, приблизительно 0,5 мкг/мл, по меньшей мере, приблизительно 0,6 мкг/мл, по меньшей мере, приблизительно 0,7 мкг/мл, по меньшей мере, приблизительно 0,8 мкг/мл, по меньшей мере, приблизительно 0,9 мкг/мл, по меньшей мере, приблизительно 1 мкг/мл, по меньшей мере, приблизительно 1,1 мкг/мл, по меньшей мере, приблизительно 1,2 мкг/мл, по меньшей мере, приблизительно 1,3 мкг/мл, по меньшей мере, приблизительно 1,4 мкг/мл, по меньшей мере, приблизительно 1,5 мкг/мл, по меньшей мере, приблизительно 1,6 мкг/мл, по меньшей мере, приблизительно 1,7 мкг/мл, по меньшей мере, приблизительно 1,8 мкг/мл, по меньшей мере, приблизительно 1,9 мкг/мл или, по меньшей мере, приблизительно 2 мкг/мл).
Сmax (900 мг суточная доза): по меньшей мере, приблизительно 0,35 мкг/мл (например, по меньшей мере, приблизительно 0,4 мкг/мл, по меньшей мере, приблизительно 0,5 мкг/мл, по меньшей мере, приблизительно 0,6 мкг/мл, по меньшей мере, приблизительно 0,7 мкг/мл, по меньшей мере, приблизительно 0,8 мкг/мл, по меньшей мере, приблизительно 0,9 мкг/мл, по меньшей мере, приблизительно 1 мкг/мл, по меньшей мере, приблизительно 1,1 мкг/мл, по меньшей мере, приблизительно 1,2 мкг/мл, по меньшей мере, приблизительно 1,3 мкг/мл, по меньшей мере, приблизительно 1,4 мкг/мл, по меньшей мере, приблизительно 1,5 мкг/мл, по меньшей мере, приблизительно 1,6 мкг/мл, по меньшей мере, приблизительно 1,7 мкг/мл, по меньшей мере, приблизительно 1,8 мкг/мл, по меньшей мере, приблизительно 1,9 мкг/мл или, по меньшей мере, приблизительно 2 мкг/мл).
AUC0-tz (300 мг суточная доза): по меньшей мере, приблизительно 0,1 мкг.ч/мл (например, по меньшей мере, приблизительно 0,2 мкг.ч/мл, по меньшей мере, приблизительно 0,3 мкг.ч/мл, по меньшей мере, приблизительно 0,4 мкг.ч/мл, по меньшей мере, приблизительно 0,5 мкг.ч/мл, по меньшей мере, приблизительно 0,6 мкг.ч/мл, по меньшей мере, приблизительно 0,7 мкг.ч/мл, по меньшей мере, приблизительно 0,8 мкг.ч/мл, по меньшей мере, приблизительно 0,9 мкг.ч/мл, по меньшей мере, приблизительно 1 мкг.ч/мл, по меньшей мере, приблизительно 1,5 мкг.ч/мл, по меньшей мере, приблизительно 2 мкг.ч/мл, по меньшей мере, приблизительно 2,5 мкг.ч/мл, по меньшей мере, приблизительно 3 мкг.ч/мл, по меньшей мере, приблизительно 3,5 мкг.ч/мл, по меньшей мере, приблизительно 4 мкг.ч/мл, по меньшей мере, приблизительно 4,5 мкг.ч/мл, по меньшей мере, приблизительно 5 мкг.ч/мл, по меньшей мере, приблизительно 5,5 мкг.ч/мл, по меньшей мере, приблизительно 6,0 мкг.ч/мл, по меньшей мере, приблизительно 6,5 мкг.ч/мл, по меньшей мере, приблизительно 7,0 мкг.ч/мл или, по меньшей мере, приблизительно 7,5 мкг.ч/мл).
AUC0-tz (600 мг суточная доза): по меньшей мере, приблизительно 1,5 мкг.ч/мл (например, по меньшей мере, приблизительно 2 мкг.ч/мл, по меньшей мере, приблизительно 2,5 мкг.ч/мл, по меньшей мере, приблизительно 3 мкг.ч/мл, по меньшей мере, приблизительно 3,5 мкг.ч/мл, по меньшей мере, приблизительно 4 мкг.ч/мл, по меньшей мере, приблизительно 4,5 мкг.ч/мл, по меньшей мере, приблизительно 5 мкг.ч/мл, по меньшей мере, приблизительно 5,5 мкг.ч/мл, по меньшей мере, приблизительно 6 мкг.ч/мл, по меньшей мере, приблизительно 6,5 мкг.ч/мл, по меньшей мере, приблизительно 7 мкг.ч/мл, по меньшей мере, приблизительно 7,5 мкг.ч/мл, по меньшей мере, приблизительно 8 мкг.ч/мл, по меньшей мере, приблизительно 8,5 мкг.ч/мл, по меньшей мере, приблизительно 9 мкг.ч/мл, по меньшей мере, приблизительно 9,5 мкг.ч/мл или, по меньшей мере, приблизительно 10 мкг.ч/мл).
AUC0-tz (900 мг суточная доза): по меньшей мере, приблизительно 5,5 мкг.ч/мл (например, по меньшей мере, приблизительно 6 мкг.ч/мл, по меньшей мере, приблизительно 6,5 мкг.ч/мл, по меньшей мере, приблизительно 7 мкг.ч/мл, по меньшей мере, приблизительно 7,5 мкг.ч/мл, по меньшей мере, приблизительно 8 мкг.ч/мл, по меньшей мере, приблизительно 8,5 мкг.ч/мл, по меньшей мере, приблизительно 9 мкг.ч/мл, по меньшей мере, приблизительно 9,5 мкг.ч/мл, по меньшей мере, приблизительно 10 мкг.ч/мл, по меньшей мере, приблизительно 10,5 мкг.ч/мл, по меньшей мере, приблизительно 11 мкг.ч/мл, по меньшей мере, приблизительно 11,5 мкг.ч/мл, по меньшей мере, приблизительно 12 мкг.ч/мл, по меньшей мере, приблизительно 12,5 мкг.ч/мл, по меньшей мере, приблизительно 13 мкг.ч/мл, по меньшей мере, приблизительно 13,5 мкг.ч/мл, по меньшей мере, приблизительно 14 мкг.ч/мл, по меньшей мере, приблизительно 14,5 мкг.ч/мл, по меньшей мере, приблизительно 15 мкг.ч/мл, по меньшей мере, приблизительно 15,5 мкг.ч/мл, по меньшей мере, приблизительно 16 мкг.ч/мл, по меньшей мере, приблизительно 16,5 мкг.ч/мл, по меньшей мере, приблизительно 17 мкг.ч/мл или, по меньшей мере, приблизительно 17,5 мкг.ч/мл).
AUC0- (300 мг суточная доза): по меньшей мере, приблизительно 0,1 мкг.ч/мл (например, по меньшей мере, приблизительно 0,2 мкг.ч/мл, по меньшей мере, приблизительно 0,3 мкг.ч/мл, по меньшей мере, приблизительно 0,4 мкг.ч/мл, по меньшей мере, приблизительно 0,5 мкг.ч/мл, по меньшей мере, приблизительно 0,6 мкг.ч/мл, по меньшей мере, приблизительно 0,7 мкг.ч/мл, по меньшей мере, приблизительно 0,8 мкг.ч/мл, по меньшей мере, приблизительно 0,9 мкг.ч/мл, по меньшей мере, приблизительно 1 мкг.ч/мл, по меньшей мере, приблизительно 1,5 мкг.ч/мл, по меньшей мере, приблизительно 2 мкг.ч/мл, по меньшей мере, приблизительно 2,5 мкг.ч/мл, по меньшей мере, приблизительно 3 мкг.ч/мл, по меньшей мере, приблизительно 3,5 мкг.ч/мл, по меньшей мере, приблизительно 4 мкг.ч/мл, по меньшей мере, приблизительно 4,5 мкг.ч/мл, по меньшей мере, приблизительно 5 мкг.ч/мл, по меньшей мере, приблизительно 5,5 мкг.ч/мл, по меньшей мере, приблизительно 6 мкг.ч/мл, по меньшей мере, приблизительно 6,5 мкг.ч/мл, по меньшей мере, приблизительно 7 мкг.ч/мл или, по меньшей мере, приблизительно 7,5 мкг.ч/мл).
AUC0- (600 мг суточная доза): по меньшей мере, приблизительно 1,5 мкг.ч/мл (например, по меньшей мере, приблизительно 2 мкг.ч/мл, по меньшей мере, приблизительно 2,5 мкг.ч/мл, по меньшей мере, приблизительно 3 мкг.ч/мл, по меньшей мере, приблизительно 3,5 мкг.ч/мл, по меньшей мере, приблизительно 4 мкг.ч/мл, по меньшей мере, приблизительно 4,5 мкг.ч/мл, по меньшей мере, приблизительно 5 мкг.ч/мл, по меньшей мере, приблизительно 5,5 мкг.ч/мл, по меньшей мере, приблизительно 6 мкг.ч/мл, по меньшей мере, приблизительно 6,5 мкг.ч/мл, по меньшей мере, приблизительно 7 мкг.ч/мл, по меньшей мере, приблизительно 7,5 мкг.ч/мл, по меньшей мере, приблизительно 8 мкг.ч/мл, по меньшей мере, приблизительно 8,5 мкг.ч/мл, по меньшей мере, приблизительно 9 мкг.ч/мл, по меньшей мере, приблизительно 9,5 мкг.ч/мл или, по меньшей мере, приблизительно 10 мкг.ч/мл).
AUC0- (900 мг суточная доза): по меньшей мере, приблизительно 5,5 мкг.ч/мл (например, по меньшей мере, приблизительно 6 мкг.ч/мл, по меньшей мере, приблизительно 6,5 мкг.ч/мл, по меньшей мере, приблизительно 7 мкг.ч/мл, по меньшей мере, приблизительно 7,5 мкг.ч/мл, по меньшей мере, приблизительно 8 мкг.ч/мл, по меньшей мере, приблизительно 8,5 мкг.ч/мл, по меньшей мере, приблизительно 9 мкг.ч/мл, по меньшей мере, приблизительно 9,5 мкг.ч/мл, по меньшей мере, приблизительно 10 мкг.ч/мл, по меньшей мере, приблизительно 10,5 мкг.ч/мл, по меньшей мере, приблизительно 11 мкг.ч/мл, по меньшей мере, приблизительно 11,5 мкг.ч/мл, по меньшей мере, приблизительно 12 мкг.ч/мл, по меньшей мере, приблизительно 12,5 мкг.ч/мл, по меньшей мере, приблизительно 13 мкг.ч/мл, по меньшей мере, приблизительно 13,5 мкг.ч/мл, по меньшей мере, приблизительно 14 мкг.ч/мл, по меньшей мере, приблизительно 14,5 мкг.ч/мл, по меньшей мере, приблизительно 15 мкг.ч/мл, по меньшей мере, приблизительно 15,5 мкг.ч/мл, по меньшей мере, приблизительно 16 мкг.ч/мл, по меньшей мере, приблизительно 16,5 мкг.ч/мл, по меньшей мере, приблизительно 17 мкг.ч/мл или, по меньшей мере, приблизительно 17,5 мкг.ч/мл).
Снижение в СЕТР-активности (300 мг суточная доза): по меньшей мере, приблизительно 2,5% (например, по меньшей мере, приблизительно 5%, по меньшей мере, приблизительно 7,5%, по меньшей мере, приблизительно 10%, по меньшей мере, приблизительно 15%, по меньшей мере, приблизительно 20%, по меньшей мере, приблизительно 25%, по меньшей мере, приблизительно 30%, по меньшей мере, приблизительно 35%, по меньшей мере, приблизительно 40%, по меньшей мере, приблизительно 45% или, по меньшей мере, приблизительно 50% или более) по сравнению с СЕТР-активностью перед введением фармацевтической композиции.
Снижение в СЕТР-активности (600 мг суточная доза): по меньшей мере, приблизительно 5% (например, по меньшей мере, приблизительно 7,5%, по меньшей мере, приблизительно 10%, по меньшей мере, приблизительно 15%, по меньшей мере, приблизительно 20%, по меньшей мере, приблизительно 25%, по меньшей мере, приблизительно 30%, по меньшей мере, приблизительно 35%, по меньшей мере, приблизительно 40%, по меньшей мере, приблизительно 45%, по меньшей мере, приблизительно 50%, по меньшей мере, приблизительно 55% или, по меньшей мере, приблизительно 60% или более) по сравнению с СЕТР-активностью перед введением фармацевтической композиции.
Снижение в СЕТР-активности (900 мг суточная доза): по меньшей мере, приблизительно 12,5% (например, по меньшей мере, приблизительно 15%, по меньшей мере, приблизительно 20%, по меньшей мере, приблизительно 25%, по меньшей мере, приблизительно 30%, по меньшей мере, приблизительно 35%, по меньшей мере, приблизительно 40%, по меньшей мере, приблизительно 45%, по меньшей мере, приблизительно 50%, по меньшей мере, приблизительно 55%, по меньшей мере, приблизительно 60%, по меньшей мере, приблизительно 65%, по меньшей мере, 70% или, по меньшей мере, приблизительно 75% или более) по сравнению с СЕТР-активностью перед введением фармацевтической композиции.
Кроме того, фармацевтическая композиция по данному изобретению, когда она введена пациенту в соответствии с требованиями, вызывает у пациента одно или несколько (например, два или три) следующих состояний: (а) ингибирование активности белка-транспортера эфиров холестерина (СЕТР) у пациента по сравнению с СЕТР-активностью перед лечением (как описано выше), (b) повышение уровня холестерина липопротеидов высокой плотности (HDL-C) у пациента по сравнению с уровнем HDL-C перед лечением, и (с) уменьшение отношения общего холестерина к количеству HDL-C (TC/HDL-C) у пациента по сравнению с TC/HDL-C перед лечением. Выражение “перед лечением” относится к периоду времени перед (желательно непосредственно перед) введением пациенту активных соединений в композиции по данному изобретению. Желаемые степени изменений каждого из приведенных состояний у пациента в сравнении с состояниями перед лечением изложены ниже.
Количество HDL-C измерено по стандартным методикам, известным в данной области. Предпочтительно количество HDL-C после введения (например, после 4 недель лечения) 300 мг СЕТР-ингибитора, в частности, соединения I, повышается приблизительно на 10% или больше в сравнении с количеством HDL-C перед лечением (например, приблизительно на 12,5% или больше, приблизительно на 15% или больше, приблизительно на 17,5% или больше, приблизительно на 20% или больше, приблизительно на 22,5% или больше, приблизительно на 25% или больше, приблизительно на 27,5% или больше, приблизительно на 30% или больше, приблизительно на 32,5% или больше, приблизительно на 35% или больше, приблизительно на 37,5% или больше, приблизительно на 40% или больше, приблизительно на 42,5% или больше, приблизительно на 45% или больше, приблизительно на 47,5% или больше или приблизительно на 50% или больше).
Количество HDL-C после введения (например, после 4 недель лечения) 600 мг СЕТР-ингибитора, в частности, соединения I, повышается приблизительно на 15% или больше в сравнении с количеством HDL-C перед лечением (например, приблизительно на 17,5% или больше, приблизительно на 20% или больше, приблизительно на 22,5% или больше, приблизительно на 25% или больше, приблизительно на 27,5% или больше, приблизительно на 30% или больше, приблизительно на 32,5% или больше, приблизительно на 35% или больше, приблизительно на 37,5% или больше, приблизительно на 40% или больше, приблизительно на 42,5% или больше, приблизительно на 45% или больше, приблизительно на 47,5% или больше, приблизительно на 50% или больше, приблизительно на 52,5% или больше или приблизительно на 55% или больше).
Количество HDL-C после введения (например, после 4 недель лечения) 900 мг СЕТР-ингибитора, в частности, соединения I, повышается приблизительно на 20% или больше в сравнении с количеством HDL-C перед лечением (например, приблизительно на 22,5% или больше, приблизительно на 25% или больше, приблизительно на 27,5% или больше, приблизительно на 30% или больше, приблизительно на 32,5% или больше, приблизительно на 35% или больше, приблизительно на 37,5% или больше, приблизительно на 40% или больше, приблизительно на 42,5% или больше, приблизительно на 45% или больше, приблизительно на 47,5% или больше, приблизительно на 50% или больше, приблизительно на 52,5% или больше, приблизительно на 55% или больше, приблизительно на 57,5% или больше или приблизительно на 60% или больше).
Общий холестерин (TC) определен по стандартным методикам, известным в данной области. Предпочтительно отношение ТС/HDL-C после введения (например, после 4 недель лечения) 300 мг СЕТР-ингибитора, в частности соединения I, понижается приблизительно на 5% или больше в сравнении с отношением ТС/HDL-C перед лечением (например, приблизительно на 7,5% или больше, приблизительно на 10% или больше, приблизительно на 12,5% или больше, приблизительно на 15% или больше, приблизительно на 17,5% или больше, приблизительно на 20% или больше, приблизительно на 22,5% или больше, приблизительно на 25% или больше, приблизительно на 27,5% или больше, приблизительно на 30% или больше, приблизительно на 32,5% или больше или приблизительно на 35% или больше).
Отношение ТС/HDL-C после введения (например, после 4 недель лечения) 600 мг СЕТР-ингибитора, в частности соединения I, понижается приблизительно на 10% или больше в сравнении с отношением ТС/HDL-C перед лечением (например, приблизительно на 12,5% или больше, приблизительно на 15% или больше, приблизительно на 17,5% или больше, приблизительно на 20% или больше, приблизительно на 22,5% или больше, приблизительно на 25% или больше, приблизительно на 27,5% или больше, приблизительно на 30% или больше, приблизительно на 32,5% или больше, приблизительно на 35% или больше, приблизительно на 37,5% или больше или приблизительно на 40% или больше).
Отношение ТС/HDL-C после введения (например, после 4 недель лечения) 900 мг СЕТР-ингибитора, в частности соединения I, понижается приблизительно на 15% или больше в сравнении с отношением ТС/HDL-C перед лечением (например, приблизительно на 17,5% или больше, приблизительно на 20% или больше, приблизительно на 22,5% или больше, приблизительно на 25% или больше, приблизительно на 27,5% или больше, приблизительно на 30% или больше, приблизительно на 32,5% или больше, приблизительно на 35% или больше, приблизительно на 37,5% или больше, приблизительно на 40% или больше, приблизительно на 42,5% или больше или приблизительно на 45% или больше).
Кроме того, данное изобретение относится к набору, включающему фармацевтическую композицию, содержащую терапевтически эффективное количество СЕТР-ингибитора (например, соединения I) и водонерастворимую добавку, повышающую концентрацию, информацию относительно назначения и контейнер. Информация относительно назначения может быть информацией по применению в соответствии со способами по данному изобретению и/или иной, обсужденной здесь. Информация относительно назначения предпочтительно включает совет пациенту относительно введения СЕТР-ингибитора (например, соединения I) с пищей, особенно для повышения биодоступности СЕТР-ингибитора.
Следующие примеры далее иллюстрируют данное изобретение, но, конечно, не должны быть восприняты как ограничивающие его объем каким-либо образом.
ПРИМЕР 1
Данный пример иллюстрирует абсорбцию СЕТР-ингибитора (например, соединения I) при введении его в фармацевтическую композицию по данному изобретению.
В данном исследовании пациенам-мужчинам европеидной расы вводили 100 мг, 300 мг, 600 мг, 900 мг, 1200 мг, 1500 мг или 1800 мг соединения I или плацебо после стандартного завтрака. Таблетки, введенные при каждом уровне дозы, представлены в таблице 1.
| Таблица 1 |
| Таблетки, введенные при каждом уровне дозы |
| Доза (мг) |
Количество таблеток, вводимых пациенту |
| |
Соединение I |
Плацебо |
| 100 |
1×100 мг |
1×плацебо |
| 300 |
1×300 мг |
1×плацебо |
| 600 |
2×300 мг |
2×плацебо |
| 900 |
3×300 мг |
3×плацебо |
| 1200 |
4×300 мг |
4×плацебо |
| 1500 |
5×300 мг |
5×плацебо |
| 1800 |
6×300 мг |
6×плацебо |
Белые таблетки без покрытия приготавливали по стандартным процедурам таблетирования.
Таблетки содержали 100 мг соединения I, 6 мг гидроксипропилметилцеллюлозы 2910 в качестве связывающего средства, 175,1 мг микрокристаллической целлюлозы и 116,8 мг лактозы в качестве разбавителей, 18 мг талька и 1,2 мг стеарата магния в качестве лубрикантов и 39,9 мг кросповидона и 90 мг низкозамещенной гидроксипропилцеллюлозы в качестве дезинтегрантов.
Таблетки содержали 300 мг соединения I, 18 мг гидроксипропилметилцеллюлозы 2910 в качестве связывающего средства, 18 мг талька и 1,2 мг стеарата магния в качестве лубрикантов и 119,8 мг кросповидона и 90 мг низкозамещенной гидроксипропилцеллюлозы в качестве дезинтегрантов.
Плацебо-таблетки содержали 175,1 мг микрокристаллической целлюлозы и 262,7 мг лактозы в качестве разбавителей, 18 мг талька и 1,2 мг стеарата магния в качестве лубрикантов и 90 мг низкозамещенной гидроксипропилцеллюлозы в качестве дезинтегранта. Плацебо-таблетки по внешнему виду были аналогичны таблеткам, содержащим соединение I.
Обработки проводили перорально со 150 мл воды при стоянии. Пациентам не позволялось лежать на спине 2 час после введения дозы, за исключением исследовательских процедур.
Дозы вводили при аналогичной временной периодичности для каждого пациента в каждый период лечения. Введение доз начиналось приблизительно в 08:30 час. Все пациенты голодали без пищи и жидкости (за исключением воды) от 22:00 час в день до внесения доз (день 1) до завтрака в день 1 и в течение вечера перед пост-исследовательским визитом до лабораторных оценок безопасности, которые выполняли на следующий день. Воду можно было употреблять в любое время в течение исследования, за исключением периода вплоть до 2 час после приема дозы, когда никакие жидкости не были разрешены.
Пациенты получали стандартный завтрак приблизительно за 45 мин перед внесением дозы. Пищу съедали с постоянной скоростью в продолжение 15 мин, таким образом, чтобы прием пищи заканчивался за 30 мин перед внесением дозы. Стандартный завтрак состоял из следующего:
200 мл Апельсинового сока
Две упаковки изделий из злаков (приблизительно 60 г)
Два ломтика тостов из непросеянной муки
10 г Пастообразного продукта с малым содержанием жира (одна упаковка)
20 г Джема (одна упаковка)
242 мл жирного молока (приблизительно 250 г)
Полная энергетическая ценность: 711 Ккал
Общее содержание жира 15,72 г (19,9% общих калорий)
Общее содержание белка: 20,82 г (11,7% общих калорий)
Образцы крови для фармакокинетического анализа брали непосредственно перед введением дозы и при следующих сроках после введения дозы: 1, 2, 4, 6, 7, 10, 12, 24 и 36 час после введения дозы.
Следующие фармакокинетические параметры вычислены для различных профилей доз и определены, как указано ниже:
tmax – время максимума наблюдаемой концентрации активной формы соединения I в плазме;
Сmax – максимум наблюдаемой концентрации активной формы соединения I в плазме;
t1/2 – период полупревращения концентрации активной формы соединения I в плазме;
AUC0-tz – площадь, ограниченная кривой концентрация в плазме – время (AUC), от нуля до последней количественно определяемой концентрации (0-tz) активной формы соединения I; и
AUC0- – AUC от нуля времени до бесконечности (0- ).
Фармакокинетические параметры преобразовывали в логарифмические величины и оценивали с использованием статистического пакета программ SAS® Least Square Means и трехстадийного вариационного анализа (ANOVA), аппроксимирующих эффекты для пациента, обработки и периода. Сравнение курсов лечений проводили вычислением отклонения и 95% доверительных интервалов (CIs) отклонения логарифма SAS® Least Square Means между параметрами для соответствующих обработок. Отклонения и CIs отклонений снова трансформировали для целей публикации.
Концентрацию активной формы соединения I в плазме определяли следующим анализом. Образцы плазмы брали от пациентов, лечившихся соединением I. Образцы плазмы обрабатывали гидроксидом натрия (Wako Pure Chemical Industries, Ltd.) для превращения активных форм соединения I в плазме в тиольную форму (т.е. в соединение II). Образец плазмы далее обрабатывали дитиотрейтолом (DTT) (Wako Pure Chemical Industries, Ltd.) для предотвращения окисления тиольных групп (т.е. для сохранения тиольных групп в восстановленном состоянии). N-Этилимид малеиновой кислоты (NEM) (Wako Pure Chemical Industries, Ltd.) добавляли для стабилизации тиольной формы (т.е., соединения II), как предполагают, путем блокирования свободной сульфгидрильной группы через дериватизацию до NEM-аддукта. Образец затем анализировали высокоэффективной жидкостной хроматографией (ВЭЖХ, HPLC). Наконец, результаты ВЭЖХ анализа образца плазмы сравнивали с известным стандартом для определения концентрации активной формы соединения I в плазме. Стандарт известной концентрации готовили в основном, как описано выше, за исключением стандарта человеческой плазмы, которую брали от людей, не обработанных соединением I. Данные образцы “чистой плазмы” соединяли с известным количеством соединения I.
Средние экспериментальные результаты для фармакокинетических параметров, AUC0- (мкг.ч/мл), AUC0-tz (мкг.ч/мл), Cmax (мкг/мл), t1/2 (ч) и tmax (ч) активной формы соединения I суммированы в таблице 2.
Таблица 2 Фармакокинетические параметры активной формы S-[2-([[1-(2-этилбутил)циклогексил]карбонил]амино)фенил]2-метилпропантиоата в плазме |
| Параметр |
Доза соединения I |
| |
100 мг |
300 мг |
600 мг |
900 мг |
1200 мг |
1500 мг |
1800 мг |
| AUC(0-tz)* (мкг·ч/мл) |
NA (NA) |
0,735 (45,6) |
4,08 (22,3) |
7,71 (14,7) |
18,5 (19,0) |
22,4 (16,1) |
30,4 (25,4) |
AUC (0- )* (мкг·ч/мл) |
NC (NC) |
NA (NA) |
4,61 (19,0) |
8,74 (15,9) |
21,1 (16,4) |
24,7 (14,9) |
34,9 (21,6) |
Cmax* (мкг/мл) |
0,024 (53,0) |
0,161 (51,1) |
0,485 (41,7) |
0,869 (17,2) |
2,06 (31,5) |
2,68 (28,9) |
3,45 (35,8) |
tmax  (ч) |
3,00 (0,500-6,00) |
2,00 (2,00-4,00) |
3,00 (2,00-6,00) |
4,00 (2,00-6,00) |
5,00 (4,00-6,00) |
4,00 (4,00-6,00) |
5,00 (4,00-6,00) |
Cmax* (norm) |
0,018 (51,8) |
0,040 (62,2) |
0,059 (40,4) |
0,071 (17,1) |
0,121 (32,1) |
0,129 (25,4) |
0,151 (37,3) |
| AUC(0-tz)* (norm) |
NA (NA) |
0,186 (57,0) |
0,500 (22,4) |
0,631 (21,4) |
1,09 (24,2) |
1,08 (14,1) |
1,34 (24,1) |
AUC (0- )* (norm) |
NC (NC) |
NA (NA) |
0,566 (19,3) |
0,715 (22,7) |
1,24 (21,9) |
1,19 (15,1) |
1,53 (18,4) |
t1/2  (ч) |
NC (NC) |
NA (NA) |
11,8 (7,09-17,2) |
13,1 (10,8-14,9) |
12,8 (10,6-16,4) |
11,1 (8,84-14,5) |
12,4 (9,32-20,3) |
= геометрическое среднее (геометрический коэффициент вариации %)
= медианное (мин-макс)
= гармоническое среднее (мин-макс) NA = не применяли NA = не вычисляли norm = нормализовано по дозе и массе тела (мг/кг) |
Как показано данными таблицы 2, фармацевтическая композиция, содержащая СЕТР-ингибитор, может достигать максимума наблюдаемой концентрации (Сmax) СЕТР-ингибитора в плазме или его активной формы, в кровотоке млекопитающего, равного, по меньшей мере, приблизительно 0,1 мкг/мл при дозе 300 мг при введении с пищей. Например, при дозе 300 мг соединения I Сmax была равна приблизительно 0,16 мкг/мл.
Данные в таблице 2 также показывают, что фармацевтическая композиция, содержащая СЕТР-ингибитор, может достигать максимума наблюдаемой концентрации (Сmax) СЕТР-ингибитора в плазме или его активной форы, в кровотоке млекопитающего, равного, по меньшей мере, приблизительно 0,35 мкг/мл, и площади, ограниченной кривой концентрация в плазме – время (AUC0- ), по меньшей мере, приблизительно 3,5 мкг.ч/мл, при дозе 600 мг, введенной с пищей. Например, при дозе 600 мг соединения I Сmax была равна приблизительно 0,5 мкг/мл и AUC0- была приблизительно 5 мкг.ч/мл.
Кроме того, результаты показывают, что фармацевтическая композиция, содержащая СЕТР-ингибитор, может достигать максимума наблюдаемой концентрации в плазме(Сmax), равного, по меньшей мере, приблизительно 0,8 мкг/мл, и площади, ограниченной кривой концентрация в плазме-время (AUC0- ), по меньшей мере, приблизительно 7,5 мкг.ч/мл, при дозе 900 мг при введении с пищей. Например, при дозе 900 мг соединения I Сmax была равна приблизительно 0,9 мкг/мл и AUC0- была приблизительно 9 мкг.ч/мл.
ПРИМЕР 2
Действие пищи на абсорбцию СЕТР-ингибитора у пациентов определяли в исследовании, предпринятом для сравнения биодоступности соединения I, введенного мужчинам-добровольцам европеидной расы, с и без приема пищи.
В данном исследовании каждый из шести пациентов получал соединение I в дозе 900 мг в каждый из двух периодов, один раз с пищей (после стандартного завтрака) и один раз в состоянии голода. Между каждым периодом введения проходило минимум 7 дней. Этот интервал в 7 дней рассматривали для выделения каких-либо побочных преходящих эффектов.
Пациенты получали 900 мг соединения I введением 3 таблеток по 300 мг каждая. Приготовление таблеток и процедуры введения были аналогичны описанным в примере 1 со следующими исключениями.
Дозы вводили при аналогичной временной периодичности для каждого пациента в каждый период лечения. Введение доз начиналось приблизительно в 08:30 час. Все пациенты голодали без пищи и жидкости (за исключением воды) от 22:00 час в день до внесения доз (день 1) до завтрака в день 1 (для пациентов, получающих соединение I, находясь в сытом состоянии (т.е., с пищей)) или до времении второго завтрака в день 1 (для пациентов, получающих соединение I в состоянии голодания), и в течение вечера перед пост-исследовательским визитом до лабораторных оценок безопасности, которые выполняли на следующий день. Воду можно было употреблять в любое время в течение исследования, за исключением периода вплоть до 2 час после приема дозы, когда никакие жидкости не были разрешены.
Когда пациентам вводили соединение I с пищей, то они получали стандартный завтрак приблизительно за 45 мин до введения дозы, который описан в примере 1.
Средние экспериментальные результаты для фармакокинетических параметров. AUC0- (мкг.ч/мл), AUC0-tz (мкг.ч/мл), Cmax (мкг/мл), t1/2 (ч) и tmax (ч) активной формы соединения I суммированы в таблице 3.
Таблица 3 Фармакокинетические параметры активной формы S-[2-([[1-(2-этилбутил)циклогексил]карбонил]амино)фенил]2-метилпропантиоата в плазме |
| Параметр |
Протокол лечения |
Отношение (без приема пищи:с приемом пищи) |
| |
Без приема пищи |
С приемом пищи |
|
AUC (0-tz) * (мкг·ч/мл) |
6,21 (46,9) |
10,2 (19,0) |
1,65 |
AUC (0- )* (мкг·ч/мл) |
7,97 (46,7) |
12,5 (17,4) |
1,57 |
Cmax * (мкг/мл) |
0,423 (37,1) |
0,955 (26,1) |
2,26 |
| tmax (ч)+ |
5,00 (2,00-6,00) |
4,00 (2,00-6,00) |
NA |
t1/2 (ч) |
16,5 (14,1-22,4) |
15,4 (12,6-18,6) |
0,935 |
=геометрическое среднее (геометрический коэффициент вариации %) +=медианное (мин-макс) NA=не применяли
=гармоническое среднее (мин-макс) |
Абсорбция активной формы соединения I была относительно медленной со временем максимума наблюдаемой концентрации в плазме между 4 и 5 часами после введения соединения I. Как видно из таблицы 3, время максимума наблюдаемой концентрации в плазме было тем же самым после введения соединения I с пищей и без нее. Кроме того, было определено, что период полупревращения активной формы соединения I был тем же самым после введения лекарственного средства с пищей и без нее.
Некоторые фармакокинетические параметры, однако, были подвержены влиянию введения соединения I c пищей. Они включают AUC0-tz, AUC 0- и Сmax, которые были на 65%, 57% и 126% больше соответственно, когда соединение I вводили с пищей, при сравнении с введением соединения I в состоянии голодания. Данные повышения более очевидны, когда геометрические средние значения концентраций активной формы соединения I в плазме наносили в линейной форме на фигуру 1 и наносили в полулогарифмической форме на фигуру 2.
Наблюдаемые повышения фармакокинетических параметров, когда соединение I вводят с пищей, указывает на возрастание биодоступности активной формы лекарственного средства по сравнению с введением лекарственного средства в условиях голодания.
Следовательно, данный пример показывает, что возрастание биодоступности СЕТР-ингибитора есть результат введения СЕТР-ингибитора с пищей по сравнению с введением без пищи.
ПРИМЕР 3
Данный пример дополнительно иллюстрирует абсорбцию СЕТР-ингибитора (например, соединения I) при введении его в фармацевтическую композицию по данному изобретению.
В данном исследовании японским пациентам-мужчинам вводили 100 мг, 300 мг, 600 мг, 900 мг, 1200 мг, 1500 мг или 1800 мг соединения I или плацебо после стандартного завтрака. Введение, дозировка и схемы введения образцов были в основном теми же самыми, которые описаны в примере 1. Таблетки приготавливали, как описано в примере 1.
Средние экспериментальные результаты для фармакокинетических параметров активной формы соединения I, AUC0- (мкг.ч/мл), Cmax (мкг/мл), tmax (ч), а также t1/2 (ч) и t1/2 (ч) суммированы в таблице 4. t1/2 означает период полупревращения в -фазе плазменной концентрации активной формы соединения I и t1/2 означает период полупревращения в -фазе плазменной концентрации активной формы соединения I.
Таблица 4 Фармакокинетические параметры активной формы S-[2-([[1-(2-этилбутил)циклогексил]карбонил]амино)фенил]2-метилпропантиоата в плазме |
| Параметр |
Доза соединения I |
| |
100 мг |
300 мг |
600 мг |
900 мг |
1200 мг |
1500 мг |
1800 мг |
| AUC (0-(мкг· ч/мл) |
0,120 ± 0,025 (1,0) |
2,133 ± 0,846 (17,8) |
10,458 ± 2,837 (87,2) |
14,936 ± 5,113 (124,5) |
24,197 ± 8,964 (201,6) |
43,062 ± 14,923 (358,9) |
40,057 ± 12,319 (333,8) |
Cmax (мкг/мл) |
0,038 ± 0,013 (1,0) |
0,254 ± 0,080 (6,7) |
1,029 ± 0,378 (27,1) |
1,716 ± 0,521 (45,2) |
2,957 ± 1,136 (77,8) |
5,467 ± 2,227 (143,9) |
5,115 ± 1,550 (134,6) |
tmax (ч) |
2,3 ± 0,8 |
2,3 ± 0,8 |
4,3 ± 1,5 |
2,7 ± 1,0 |
4,0 ± 0,0 |
4,3 ± 0,8 |
2,7 ± 1,0 |
t1/2  (ч) |
– |
2,3 ± 0,4 |
2,7 ± 0,6 |
3,1 ± 0,3 |
2,7 ± 0,4 |
2,8 ± 0,4 |
2,6 ± 0,5 |
t1/2  (ч) |
– |
13,7 ± 5,1 |
15,1 ± 2,1 |
15,7 ± 2,1 |
11,8 ± 3,7 |
12,2 ± 1,5 |
11,9 ± 1,9 |
Как показано данными таблицы 4, фармацевтическая композиция, содержащая СЕТР-ингибитор, может достигать максимума наблюдаемой концентрации (Сmax) СЕТР-ингибитора в плазме или его активной форы, в кровотоке млекопитающего, равного, по меньшей мере, приблизительно 0,1 мкг/мл, и площади, ограниченной кривой концентрация в плазме – время (AUC0- ), по меньшей мере, приблизительно 0,5 мкг.ч/мл при дозе 300 мг при введении с пищей. Например, при дозе 300 мг соединения I Сmax была равна приблизительно 0,2 мкг/мл и AUC0- была приблизительно 2 мкг.ч/мл.
Данные в таблице 4 также показывают, что фармацевтическая композиция, содержащая СЕТР-ингибитор, может достигать максимума наблюдаемой концентрации (Сmax) СЕТР-ингибитора в плазме или его активной формы, в кровотоке млекопитающего, равного, по меньшей мере, приблизительно 0,35 мкг/мл, и площади, ограниченной кривой концентрация в плазме – время (AUC0- ), по меньшей мере, приблизительно 3,5 мкгч/мл, при дозе 600 мг, введенной с пищей. Например, при дозе 600 мг соединения I Сmax была равна приблизительно 0,1 мкг/мл и AUC0- была приблизительно 10 мкг.ч/мл.
Кроме того, результаты показывают, что фармацевтическая композиция, содержащая СЕТР-ингибитор, может достигать максимума наблюдаемой концентрации в плазме (Сmax), равного, по меньшей мере, приблизительно 0,8 мкг/мл, и площади, ограниченной кривой концентрация в плазме-время (AUC0- ), по меньшей мере, приблизительно 7,5 мкг.ч/мл, при дозе 900 мг при введении с пищей. Например, при дозе 900 мг соединения I, Сmax была равна приблизительно 1,7 мкг/мл и AUC0- была приблизительно 15 мкг.ч/мл.
ПРИМЕР 4
В исследовании, аналогичном исследованию примера 2, определяли действие пищи на абсорбцию активной формы соединения I у пациентов для сравнения биодоступности 600 мг соединения I, введенного перорально японским добровольцам-мужчинам с пищей или без нее.
Введение, дозировка и схемы введения образцов были в основном теми же самыми, которые описаны в примере 1. Однако пациентам вводили 600 мг (а не 900 мг) соединения I с пищей или без нее. Пациентам вводили две таблетки, по 300 мг каждая. Таблетки приготавливали, как описано в примере 1.
Средние экспериментальные результаты для фармакокинетических параметров активной формы соединения I, AUC0- (мкг.ч/мл), Cmax (мкг/мл), tmax (ч), а также t1/2 (ч) и t1/2 (ч) суммированы в таблице 5.
Таблица 5 Фармакокинетические параметры активной формы S-[2-([[1-(2-этилбутил)циклогексил]карбонил]амино)фенил]2-метилпропантиоата в плазме |
| Параметр |
Протокол лечения |
| |
Без приема пищи |
С приемом пищи |
AUC (0- ) (мкг.ч/мл) |
5,395±1,413 (0,52) |
10,458±2,837 (1,00) |
Cmax (мкг/мл) |
0,316±0,061 (0,31) |
1,029±0,378 (1,00) |
| tmax (ч) |
2,2±1,1 |
4,3±1,5 |
t1/2 (ч) |
5,5±1,4 |
2,7±0,6 |
t1/2 (ч) |
20,6±3,0 |
15,1±2,1 |
Фармакокинетические параметры, такие как максимум наблюдаемой концентрации в плазме (Сmax) и площадь, органиченная кривой концентрация в плазме – время от нуля до бесконечности (AUC0- ), подвергались влиянию введения соединения I c пищей. Величина Cmax после введения 600 мг соединения I составляла 1,029 мкг/мл в случае введения с пищей, и только 0,316 мкг/мл в случае введения без пищи. Величина AUC0- после введения 600 мг соединения I составляла 10,458 мкг.ч/мл в случае введения с пищей, и только 5,395 мкг.ч/мл в случае введения без пищи. Таким образом, Cmax и AUC0- были приблизительно в 3 и 2 раза больше, соответственно, когда пациентам вводили СЕТР-ингибитор с пищей по сравнению с вариантом без пищи.
Наблюдаемое повышение фармакокинетических параметров, когда соединение I введено с пищей, указывает на то, что активная форма лекарственного средства более легко абсорбируется при введении с пищей, как, например, после одноразового приема пищи. Таким образом, введение СЕТР-ингибитора (т.е. соединения I) с пищей приводит к повышению биодоступности активной формы лекарственного средства по сравнению с введением СЕТР-ингибитора в условиях голодания.
ПРИМЕР 5
Данный пример иллюстрирует эффект введения СЕТР-ингибитора (например, соединения I) на СЕТР-активность при введении в фармацевтическую композицию по данному изобретению.
Пациенам-мужчинам европеидной расы вводили перорально 100 мг, 200 мг, 600 мг, 900 мг, 1200 мг, 1500 мг, 1800 мг соединения I или плацебо после стандартного завтрака. Введение, дозировка и схемы введения образцов были в основном теми же самыми, которые описаны в примере 1. Таблетки приготавливали как описано в примере 1.
Процедура для определения СЕТР-активности была в основном аналогична процедурам, описанным в публикациях Tollefson et al., Methods Ensymol., 129, 797-816 (1986) и Kato et al., J. Biol. Chem., 264, 4082-4087 (1989).
СЕТР-активность и изменения от основного уровня (преддозовая активность, пред-доза) измеряли и полученные данные суммировали в таблице 6 как процентное отклонение от основного уровня.
Таблица 6 Стандартные отклонения (S.D.) от основного уровня (преддозовая активность) в СЕТР-активности |
| Лечение |
Преддозовая активность |
Процент изменений от преддозовой активности (стандартное отклонение) |
| |
|
1 ч |
2 ч |
4 ч |
6 ч |
8 ч |
24 ч |
Пост-исследо-вание |
| Плацебо |
90 (15,8) |
-2 (2,4) |
-1 (3,1) |
0 (3,1) |
-3 (3,0) |
-3 (4,0) |
2 (4,4) |
0 (8,9) |
| 100 мг Соединение I |
104 (15,4) |
-2 (3,8) |
-2 (3,4) |
-5 (5,6) |
-7 (3,0) |
-6 (4,0) |
-1 (5,3) |
-5 (2,2) |
| 300 мг Соединение I |
88 (10,4) |
0 (2,1) |
-7 (3,3) |
-12 (4,3) |
-13 (3,4) |
-13 (3,4) |
-6 (3,5) |
2 (6,1) |
| 600 мг Соединение I |
92 (22,9) |
-3 (4,0) |
-12 (5,9) |
-29 (13,1) |
-36 (13,4) |
-36 (14,6) |
-21 (10,3) |
-6 (8,9) |
| 900 мг Соединение I |
90 (17,2) |
-3 (3,8) |
-23 (14,1) |
-48 (11,8) |
-55 (9,9) |
-53 (9,2) |
-28 (5,2) |
-5 (10,8) |
| 1200 мг Соединение I |
88 (5,8) |
-3 (2,4) |
-17 (9,8) |
-58 (6,3) |
-71 (4,7) |
-70 (5,4) |
-43 (5,7) |
-4 (8,8) |
| 1500 мг Соединение I |
96 (12,4) |
-3 (2,6) |
-32 (21,6) |
-72 (21,1) |
-83 (9,7) |
-81 (9,0) |
-48 (6,1) |
0 (49) |
| 1800 мг Соединение I |
82 (16,0) |
-3 (3,7) |
-23 (14,7) |
-67 (16,2) |
-74 (15,2) |
-71 (14,3) |
-42 (10,9) |
-5 (5,1) |
Как видно из данных таблицы 6, фармацевтическая композиция, содержащая СЕТР-ингибитор, может вызывать понижение в СЕТР-активности, по меньшей мере, приблизительно на 10% при сравнении с преддозовыми уровнями активности при дозе 300 мг. Например, через 6 час после введения 300 мг соединения I CETP-активность уменьшалась на 13%.
Данные в таблице 6 также показывают, что фармацевтическая композиция, содержащая СЕТР-ингибитор, может вызывать понижение в СЕТР-активности, по меньшей мере, приблизительно на 25% при сравнении с преддозовыми уровнями активности при дозе 600 мг. Например, через 6 час после введения 600 мг соединения I CETP-активность уменьшалась на 36%.
Кроме того, данные показывают, что фармацевтическая композиция, содержащая СЕТР-ингибитор, может вызывать понижение в СЕТР-активности, по меньшей мере, приблизительно на 35% при сравнении с плацебо при дозе 900 мг. Например, через 6 час после введения 900 мг соединения I CETP-активность уменьшалась на 55%.
ПРИМЕР 6
Действие пищи на абсорбцию активной формы соединения I у пациентов-мужчин европеидной расы определяли в исследовании, предпринятом для сравнения СЕТР-активности после перорального введения 900 мг соединения I с и без приема пищи.
Введение, дозировка и схемы введения образцов были в основном теми же самыми, которые описаны в примере 1.
Процедура для определения СЕТР-активности описана в примере 5.
СЕТР-активность и изменения от основного уровня (пред-дозовая активность) измеряли и полученные данные суммировали в таблице 7. Средние отклонения от основного уровня (преддозовая активность) в СЕТР-активности во времени нанесены на график фигуры 3.
Таблица 7 Стандартные отклонения (S.D.) от основного уровня (преддозовая активность) в СЕТР-активности |
| Протокол лечения |
Преддозовая активность |
Процент изменений от преддозовой активности (стандартное отклонение) |
| |
|
1 ч |
2 ч |
4 ч |
6 ч |
8 ч |
24 ч |
Пост-исследова-ние (все пациенты) |
| С приемом пищи |
96 (17,0) |
-1 (2,3) |
-16 (13,2) |
-44 (14,0) |
-59 (11,1) |
-58 (11,1) |
-34 (7,5) |
96 (17,4) |
| Без приема пищи |
91 (16,0) |
1 (2,2) |
2 (2,4) |
-4 (2,2) |
-10 (3,1) |
-15 (4,7) |
-10 (3,8) |
|
Четкое различие в СЕТР-активности наблюдали, когда соединение I вводили с или без пищи. Ингибирование СЕТР-активности было намного более заметным в протоколе лечения с приемом пищи по сравнению с протоколом лечения в состоянии голодания. Например, между 4 и 24 часами после введения дозы наблюдалось значительное понижение в СЕТР-активности в состоянии с приемом пищи по сравнению с состоянием голодания. Такое снижение в СЕТР-активности указывает на повышенную биодоступность активной формы лекарственного средства при введении с пищей по сравнению с введением лекарственного средства без пищи.
Зависимости между концентрациями активной формы соединения I в плазме и ингибированием СЕТР-активности в состояниях с приемом пищи и голодания иллюстрируются графиками на фигурах 4 и 5 соответственно. Так как концентрации активной формы соединения I в плазме повышались, то ингибирующий эффект на СЕТР увеличивался (т.е. СЕТР-активность уменьшалась).
ПРИМЕР 7
Данный пример дополнительно иллюстрирует эффект введения СЕТР-ингибитора (например, соединения I) на СЕТР-активность при его введении в фармакологическую композицию по данному изобретению.
Японским пациентам-мужчинам перорально вводили 100 мг, 300 мг, 600 мг, 900 мг, 1200 мг, 1500 мг или 1800 мг соединения I или плацебо после завтрака.
Введение, дозировка и схемы введения образцов были в основном теми же самыми, которые описаны в примере 1. Таблетки приготавливали, как описано в примере 1.
Относительные СЕТР-активности (вычисленные как процент от основного уровня СЕТР-активности) и стандартные отклонения (SD) определяли и полученные данные суммировали в таблице 8.
Таблица 8 Относительная СЕТР-активность |
| Лечение |
Преддозовая активность |
Процент CETP-активности относительно преддозовой активности (стандартное отклонение) |
| |
|
1 ч |
2 ч |
4 ч |
6 ч |
8 ч |
24 ч |
Пост-исследование |
| Плацебо |
100 (0,0) |
97,0 (3,4) |
95,7 (4,3) |
96,4 (3,8) |
93,5 (3,1) |
93,3 (4,0) |
97,2 (5,7) |
101,6 (9,6) |
| 100 мг |
100 (0,0) |
96,2 (1,9) |
92,0 (3,3) |
93,2 (2,5) |
90,4 (2,8) |
90,4 (2,2) |
99,2 (4,7) |
99,2 (11,1) |
| 300 мг |
100 (0,0) |
100,2 (3,9) |
90,7 (5,5) |
83,1 (4,2) |
80,5 (3,9) |
80,6 (5,6) |
88,8 (3,8) |
96,1 (9,9) |
| 600 мг |
100 (0,0) |
100,4 (1,9) |
87,8 (9,2) |
52,6 (13,4) |
37,6 (6,6) |
39,1 (8,3) |
65,5 (5,7) |
102,9 (7,3) |
| 900 мг |
100 (0,0) |
100,1 (2,9) |
52,1 (9,3) |
24,0 (9,0) |
24,1 (8,1) |
29,8 (7,9) |
60,5 (7,6) |
95,1 (5,6) |
| 1200 мг |
100 (0,0) |
94,2 (2,0) |
54,0 (17,0) |
12,1 (5,5) |
10,5 (3,6) |
14,7 (4,3) |
47,6 (8,2) |
95,2 (8,8) |
| 1500 мг |
100 (0,0) |
100,8 (3,3) |
85,7 (13,2) |
13,3 (7,9) |
10,6 (1,7) |
15,4 (2,1) |
53,7 (5,7) |
96,9 (6,8) |
| 1800 мг |
100 (0,0) |
85,3 (11,5) |
15,6 (8,7) |
6,0 (1,7) |
8,4 (0,9) |
12,2 (1,4) |
49,5 (3,0) |
93,0 (6,6) |
Как видно из данных таблицы 8, фармацевтическая композиция, содержащая СЕТР-ингибитор, может вызывать понижение в СЕТР-активности, по меньшей мере, приблизительно на 10% при сравнении с преддозовыми уровнями активности при дозе 300 мг. Например, через 6 час после введения 300 мг соединения I CETP-активность составляет приблизительно 80,5% от пред-дозовой величины активности. Следовательно, активность уменьшалась приблизительно на 19,5% после введения соединения I.
Данные в таблице 8 также показывают, что фармацевтическая композиция, содержащая СЕТР-ингибитор, может вызывать понижение в СЕТР-активности, по меньшей мере, приблизительно на 25% при сравнении с преддозовыми уровнями активности при дозе 600 мг. Например, через 6 час после введения 600 мг соединения I CETP-активность составляет приблизительно только 38% от преддозовой величины активности. Следовательно, активность уменьшалась приблизительно на 62% после введения соединения I.
Кроме того, данные показывают, что фармацевтическая композиция, содержащая СЕТР-ингибитор, может вызывать понижение в СЕТР-активности, по меньшей мере, приблизительно на 35% при сравнении с преддозовой СЕТР-активностью при дозе 900 мг. Например, через 4 час после введения 900 мг соединения I CETP-активность составляет приблизительно только 24% от преддозовой величины. Таким образом, СЕТР-активность уменьшалась приблизительно на 76%.
ПРИМЕР 8
В исследовании, аналогичном исследованию в примере 6, действие пищи на абсорбцию активной формы соединения I у японских пациентов-мужчин определяли в исследовании, предпринятом для сравнения относительной СЕТР-активности после перорального введения 600 мг соединения I с пищей и без нее.
Введение, дозировка и схемы введения образцов были в основном теми же самыми, которые описаны в примерах 1 и 6. Однако пациентам вводили 600 мг (а не 900 мг, как в примере 6) соединения I с пищей или без нее. Пациентам вводили две таблетки по 300 мг каждая. Таблетки приготавливали как описано в примере 1.
Относительные СЕТР-активности (вычисленные как процент от основного уровня СЕТР-активности) и стандартные отклонения (SD) определяли и полученные данные суммировали в таблице 9.
Таблица 9 Относительная СЕТР-активность |
| Протокол лечения |
Преддозовая активность |
Процент CETP-активности относительно преддозовой активности (стандартное отклонение) |
| |
|
1 ч |
2 ч |
4 ч |
6 ч |
8 ч |
24 ч |
Пост-исследование |
| С приемом пищи |
100 (0,0) |
100,4 (1,9) |
87,8 (9,2) |
52,6 (13,4) |
37,6 (6,6) |
39,1 (8,3) |
65,5 (5,7) |
102,9 (7,3) |
| Без приема пищи |
100 (0,0) |
102,1 (3,6) |
99,6 (2,1) |
96,5 (3,1) |
89,5 (2,0) |
87,8 (4,6) |
92,6 (3,0) |
100,4 (2,8) |
Четкое различие в относительной СЕТР-активности, согласующееся с результатами примера 2, наблюдали, когда соединение I вводили с пищей или без нее. Ингибирование СЕТР-активности было намного более заметным в протоколе лечения с приемом пищи по сравнению с протоколом лечения в состоянии голодания. Например, между 4 и 24 часами после введения дозы наблюдалось значительное понижение в СЕТР-активности в состоянии с приемом пищи по сравнению с состоянием голодания. В частности, ингибирование СЕТР-активности после введения соединения I c пищей достигало своего максимума, равного 37,6% СЕТР-активности относительно основной линии, через 6 час после введения. В противоположность этому ингибирование СЕТР-активности после введения соединения I без пищи достигало своего максимума, равного 87,8% СЕТР-активности относительно основной линии, через 8 час после введения. Такое снижение относительной СЕТР-активности после введения соединения I с пищей указывает на повышенную биодоступность активной формы лекарственного средства при введении с пищей по сравнению с введением лекарственного средства без пищи.
ПРИМЕР 9
Данный пример иллюстрирует эффект введения соединения I на СЕТР-активность и уровни липидов у здоровых индивидуумов.
Приблизительно 200 добровольцев (мужчины и женщины) были отобраны для того, чтобы принимать плацебо или 300 мг (низкая доза), 600 мг (средняя доза) или 900 мг (высокая доза) соединения I в сутки в течение 4 недель. Каждый пациент принимал три таблетки после завтрака кажный день в течение 4 недель. Пациенты либо принимали три таблетки плацебо (плацебо); одну 300 мг таблетку и две таблетки плацебо (низкая доза); две 300 мг таблетки и одну таблетку плацебо (средняя доза); или три 300 мг таблетки (высокая доза). Таблетки приготавливали как описано в примере 1.
Экспериментальный период включал (а) серию опытов в течение 4 недель, сопровождаемую (b) 4 неделями лечения и (c) 4 неделями мониторинга. Образцы крови брали после ночного голодания. Для анализов СЕТР-активности кровь брали перед внесением соединения I, в течение и после лечения. HDL-C определяли реагентом для осаждения, гепарином MnCl2, и LDL-C рассчитывали по формуле Фридевальда (Friedewald) (см. de Grooth et al., выше). СЕТР-активность измеряли как описано в примере 5. В таблице 10 представлены величины, характеризующие определенные свойства ((среднее)±стандартное отклонение) при основной линии (т.е. перед введением соединения I). В таблице 11 представлены абсолютные изменения в определенных свойствах после 4 недель лечения. Эти фактические данные по абсолютным изменениям от основного уровня (т.е. перед введением соединения I) в СЕТР-активности, в общем содержании холестерина (ТС), HDL-C, LDL-C и отношении общий холестерин/HDL-C (TC/HDL-C) представлены ниже. Анализ проводили с привлечением ANOVA-модели с раздельными эффектами лечения по четырем группам (т.е., плацебо, 300 мг, 600 мг или 900 мг соединения I).
Таблица 10 Характеристики основной линии |
| Оцениваемое свойство |
Протокол лечения |
| |
Плацебо (n=50) |
300 мг (n=48) |
600 мг (n=48) |
900 мг (n=52) |
| CETP-активность (% от контроля) |
92,0±23,9 |
90,0±18,6 |
89,9±17,7 |
95,2±19,4 |
| TC (ммоль/л) |
5,6±1,1 |
5,9±1,0 |
5,7±1,0 |
5,9±0,9 |
| HDL-C (ммоль/л) |
1,16±0,23 |
1,16±0,20 |
1,21±0,25 |
1,16±0,24 |
| LDL-C (ммоль/л) |
3,8±1,0 |
4,1±0,9 |
3,7±0,9 |
3,9±0,9 |
| Отношение TC/HDL-C |
5,0±1,4 |
5,3±1,4 |
4,9±1,3 |
5,3±1,4 |
Таблица 11 Абсолютные изменения в определенных свойствах под влиянием дозы S-[2-([[1-(2-этилбутил)циклогексил]карбонил]амино)фенил]2-метилпропантиоата через 4 недели после лечения |
| Оцениваемое свойство |
Протокол лечения |
| |
Плацебо (n=50) |
300 мг (n=48) |
600 мг (n=47) |
900 мг (n=52) |
| CETP-активность (% от контроля) |
0,9±13,2 |
-15,4±11,9 |
-29,6±19,5 |
-37,2±17,6 |
| TC (ммоль/л) |
0,0±0,5 |
-0,1±0,5 |
0,0±0,6 |
0,0±0,6 |
| HDL-C (ммоль/л) |
0,04±0,15 |
0,18±0,15 |
0,32±0,22 |
0,40±0,29 |
| LDL-C (ммоль/л) |
-0,1±0,5 |
-0,2±0,5 |
-0,2±0,6 |
-0,3±0,6* |
| Отношение TC/HDL-C |
-0,2±0,6 |
-0,7±0,8 |
-0,9±0,8 |
-1,2±0,7 |
* P0,01; P0,001; P0,0001 (каждая группа против плацебо) |
Как видно из данных таблиц 10 и 11, фармацевтическая композиция, содержащая СЕТР-ингибитор, может вызывать повышение уровней HDL-C на приблизительно 10%, приблизительно 15% и приблизительно 20% при дозах 300 мг, 600 мг и 900 мг соединения I соответственно после ежедневного внесения в течение 4 недель. Например, количества HDL-C повышались на приблизительно 15%, приблизительно 26% и приблизительно 34% относительно показателей основного уровня для 300 мг, 600 мг и 900 мг групп соответственно.
Таблицы 10 и 11 также показывают, что TC/HDL-C отношение может быть понижено на приблизительно 5%, приблизительно 10% и приблизительно 15% при дозах 300 мг, 600 мг и 900 мг соединения I соответственно после ежедневного внесения в течение 4 недель. Например, TC/HDL-C отношения понижались на приблизительно 13%, приблизительно 18% и приблизительно 23% относительно показателей основного уровня для 300 мг, 600 мг и 900 мг групп соответственно.
Данные в таблицах 10 и 11 также показывают, что фармацевтическая композиция, содержащая СЕТР-ингибитор, может вызывать понижение CETP-активности на приблизительно 10%, по меньшей мере, приблизительно 25% и приблизительно 35% относительно преддозовых уровней при дозах 300 мг, 600 мг или 900 мг СЕТР-ингибитора (например, соединения I) соответственно, после ежедневного введения СЕТР-ингибитора с пищей в течение 4 недель. Например, СЕТР-активность понижалась на приблизительно 17%, приблизительно 33% и приблизительно 39% относительно показателей основного уровня для 300 мг, 600 мг и 900 мг групп соответственно.
Следующий пример иллюстрирует способ получения препарата, содержащего 300 мг соединения I, описанного в примере 1.
На стадии 1 соединение I измельчали в струйной мельнице. Распределение размера частиц, меньших чем 10 мкм (например, приблизительно 5 мкм), измельченного соединения I оценивали технологическим контролем.
На стадии 2 измельченное соединение I смешивали с кросповидоном в барабанном смесителе, получая в результате смесевой порошок.
На стадии 3 смесевой порошок со стадии 2 пропускали через сито #12 приблизительно три раза.
На стадии 4 пропущенный через сито смесевой порошок со стадии 3 перемешивали во влажном грануляторе.
На стадии 5 гидроксипропилметилцеллюлозу 2910 растворяли в очищенной воде с использованием пропеллерного смесителя.
На стадии 6 смесевой порошок со стадии 4 гранулировали с применением раствора со стадии 5 в качестве связующего средства во влажном грануляторе.
На стадии 7 две или четыре загрузки гранулированного продукта со стадии 6 помещали в сушилку с кипящим слоем и сушили.
На стадии 8 гранулированный продукт со стадии 7 пропускали через сито #22. Содержание влаги и распределение частиц по размеру оценивали технологическим контролем.
На стадии 9 весь высушенный гранулированный продукт со стадии 8 перемешивали в барабанном смесителе.
На стадии 10 гранулированный продукт со стадии 9 смешивали с низкозамещенной гидроксипропилцеллюлозой в барабанном смесителе для получения смесевого гранулированного продукта.
На стадии 11 смесевой гранулированный продукт со стадии 10 смешивали с тальком и стеаратом магния в барабанном смесителе. Однородность содержимого, удельный объем и угол естественного откоса оценивали технологическим контролем.
На стадии 12 смесевой гранулированный продукт прессовали таблетировочной машиной. Оценивали однородность содержимого, твердость таблеток, толщину и хрупкость. Дополнительно проводили оценку растворимости и отклонения по массе.
Данный пример показывает, что препарат, содержащий 300 мг соединения I, гидроксипропилметилцеллюлозу 2910, тальк, стеарат магния, кросповидон и низкозамещенную гидроксипропилцеллюлозу (описанный в примере 1) может быть приготовлен в лекарственной форме для перорального введения.
Все ссылки, включающие публикации, патентные заявки и патенты, цитированные в данном описании, таким образом объединены ссылкой в том смысле, как будто каждая ссылка, предназначенная для включения, была индивидуально и конкретно указана ссылкой и была представлена во всей полноте в данном описании.
Использование выражений “a” и “an” и “the” и аналогичных референтов в контексте описания данного изобретения (в частности, в контексте последующей формулы изобретения) следует воспринимать как охват единственного, так и множественного числа, если не оговорено особо или точно отрицается контекстом. Выражения “состоящий”, “имеющий”, “включающий” и “содержащий” следует воспринимать как выражения с открытым концом (т.е. означающие “включающий, но не ограниченный”), если не оговорено особо. Изложение рангов величин в данном описании предназначено только в помощь стенографическому способу отнесения/отсылки индивидуально к каждой отдельной величине, находящейся внутри интервала, если не оговорено особо, и каждая отдельная величина включена в спецификацию, как будто она индивидуально изложена здесь. Все способы, описанные в данном описании, могут быть выполнены в любой подходящей последовательности, если не оговорено особо здесь или точно иным образом отрицается контекстом. Использование любых и всяких примеров или иллюстративной формулировки (например, “такой как”), представленных в данном описании, предназначено только для лучшего разъяснения данного изобретения и не ограничивает объем данного изобретения, если не заявлено особо. Никакую формулировку в описании не следует воспринимать как указание на любой незаявленный элемент в качестве главного к осуществлению на практике данного изобретения.
Предпочтительные варианты осуществления данного изобретения описаны в данном описании, включая самый лучший способ, известный изобретателям для выполнения изобретения. Изменения этих предпочтительных вариантов осуществления могут стать очевидными для обычных специалистов в данной области при чтении вышеупомянутого описания. Авторы ожидают, что специалисты в данной области используют такие вариации как целесообразные, а так же предполагают, что изобретение может быть применено на практике иным образом, чем описано здесь. Соответственно данное изобретение включает все модификации и эквиваленты предмета изобретения, представленного в прилагаемой формуле изобретения, как разрешено соответствующим законом. Более того, все комбинации вышеописанных элементов во всех возможных вариациях охвачены данным изобретением, если не указано здесь особо или явно отрицается в данном контексте.
Формула изобретения
1. Фармацевтическая композиция для лечения или профилактики сердечно-сосудистого нарушения, содержащая в основном кристаллический ингибитор белка-транспортера эфиров холестерина и водонерастворимую добавку, повышающую концентрацию, где ингибитор белка-транспортера эфиров холестерина представляет собой пролекарство, которое in vivo образует S-[2-([[1-(2-этилбутил)циклогексил]карбонил]амино)фенил]тиол, водонерастворимая добавка, повышающая концентрацию, представляет собой кросповидон.
2. Фармацевтическая композиция для лечения или профилактики сердечно-сосудистого нарушения, содержащая в основном кристаллический ингибитор белка-транспортера эфиров холестерина и водонерастворимую добавку, повышающую концентрацию, где ингибитор белка-транспортера эфиров холестерина представляет собой S-[2-([[1-(2-этилбутил)циклогексил]карбонил]амино)фенил]2-метилпропантиоат, а водонерастворимая добавка, повышающая концентрацию, представляет собой кросповидон.
3. Композиция по п.2, где ингибитор белка-транспортера эфиров холестерина является кристаллическим.
4. Композиция по п.2, где ингибитор белка-транспортера эфиров холестерина и водонерастворимая добавка, повышающая концентрацию, находятся в массовом отношении приблизительно от 2:1 до 9:1.
5. Способ лечения или профилактики сердечно-сосудистого нарушения у млекопитающих, который включает введение млекопитающему терапевтически эффективного количества фармацевтической композиции по любому из пп.1-4.
6. Способ по п.5, где сердечно-сосудистое нарушение выбрано из группы, включающей атеросклероз, заболевание периферических сосудов, дислипидемию, гипербеталипопротеинемию, гипоальфалипопротеинемию, гиперхолестеринемию, гипертриглицеридемию, семейную гиперхолестеринемию, стенокардию, ишемию, ишемию сердца, инсульт, инфаркт миокарда, реперфузионное повреждение, рестеноз после ангиопластики, гипертензию и сосудистые осложнения диабета, ожирение или эндотоксемию.
7. Способ по п.5, где сердечно-сосудистое нарушение выбрано из группы, включающей сердечно-сосудистую болезнь, коронарную болезнь сердца, коронарную болезнь артерий, гипоальфалипопротеинемию, гипербеталипопротеинемию, гиперхолестеринемию, гиперлипидемию, атеросклероз, гипертензию, гипертриглицеридемию, гиперлипидопротеинемию, заболевание периферических сосудов, стенокардию, ишемию и инфаркт миокарда.
8. Способ по п.5, где максимальная концентрация ингибитора белка-транспортера эфиров холестерина или его активной формы в кровотоке млекопитающего составляет, по меньшей мере, приблизительно 0,35 мкг/мл после лечения при сравнении с концентрацией до лечения, когда ингибитор белка-транспортера эфиров холестерина представляет собой S-[2-([[1-(2-этилбутил)циклогексил]карбонил]амино)фенил]2-метилпропантиоат, введенный в суточной дозе 600 мг с пищей.
9. Способ по п.5, где максимальная концентрация ингибитора белка-транспортера эфиров холестерина или его активной формы в кровотоке млекопитающего составляет, по меньшей мере, приблизительно 0,8 мкг/мл после лечения при сравнении с концентрацией до лечения, когда ингибитор белка-транспортера эфиров холестерина представляет собой S-[2-([[1-(2-этилбутил)циклогексил]карбонил]амино)фенил]2-метилпропантиоат, введенный в суточной дозе 900 мг с пищей.
10. Способ по п.5, где площадь, ограниченная кривой концентрация в плазме-время AUC0- ингибитора белка-транспортера эфиров холестерина или его активной формы в кровотоке млекопитающего, составляет, по меньшей мере, приблизительно 3,5 мг·ч/мл после лечения при сравнении с указанной площадью до лечения, когда ингибитор белка-транспортера эфиров холестерина представляет собой S-[2-([[1-(2-этилбутил)циклогексил]карбонил]амино)фенил]2-метилпропантиоат, введенный в суточной дозе 600 мг с пищей.
11. Способ по п.5, где площадь, ограниченная кривой зависимости концентрация в плазме-время AUC0- ингибитора белка-транспортера эфиров холестерина или его активной формы в кровотоке млекопитающего, составляет, по меньшей мере, приблизительно 7,5 мг·ч/мл после лечения при сравнении с указанной площадью до лечения, когда ингибитор белка-транспортера эфиров холестерина представляет собой S-[2-([[1-(2-этилбутил)циклогексил]карбонил]амино)фенил]2-метилпропантиоат, введенный в суточной дозе 900 мг с пищей.
12. Способ по п.5, где активность белка-транспортера эфиров холестерина в кровотоке млекопитающего ингибируется после лечения, по меньшей мере, приблизительно на 25% при сравнении с СЕТР-активностью до лечения, когда ингибитор белка-транспортера эфиров холестерина представляет собой S-[2-([[1-(2-этилбутил)циклогексил]карбонил]амино)фенил]2-метилпропантиоат, введенный в суточной дозе 600 мг с пищей.
13. Способ по п.5, где активность белка-транспортера эфиров холестерина в кровотоке млекопитающего ингибируется после лечения, по меньшей мере, приблизительно на 35% при сравнении с СЕТР-активностью до лечения, когда ингибитор белка-транспортера эфиров холестерина представляет собой S-[2-([[2-(2-этилбутил)циклогексил]карбонил]амино)фенил]2-метилпропантиоат, введенный в суточной дозе 900 мг с пищей.
РИСУНКИ
|
|