|
|
(21), (22) Заявка: 2004129757/15, 10.03.2003
(24) Дата начала отсчета срока действия патента:
10.03.2003
(30) Конвенционный приоритет:
08.03.2002 JP 2002-63260
(43) Дата публикации заявки: 10.06.2005
(46) Опубликовано: 10.03.2008
(56) Список документов, цитированных в отчете о поиске:
JP 2001-055329, 27.02.2001. МАШКОВСКИЙ М.Д. Лекарственные средства. – М.: Новая Волна, 2001, т.2, с.119. RU 2108112 C1, 10.04.1998. RU 2027435 C1, 27.01.1995. JP 2001-172183 А, 26.06.2001. JP 11-302162 А, 02.11.1999.
(85) Дата перевода заявки PCT на национальную фазу:
08.10.2004
(86) Заявка PCT:
JP 03/02771 (10.03.2003)
(87) Публикация PCT:
WO 03/075920 (18.09.2003)
Адрес для переписки:
103735, Москва, ул. Ильинка, 5/2, ООО “Союзпатент”, пат.пов. А.П.Агурееву
|
(72) Автор(ы):
УНЕДА Такеси (JP), КИМУРА Акио (JP), МОРИСИМА Кендзи (JP)
(73) Патентообладатель(и):
САНКИО КОМПАНИ ЛИМИТЕД (JP)
|
(54) ГЛАЗНЫЕ РАСТВОРЫ, СОДЕРЖАЩИЕ ТЕТРАЗОЛЬНЫЕ ПРОИЗВОДНЫЕ
(57) Реферат:
Изобретение относится к области медицины. Глазной раствор, содержащий соединение, имеющее химическую структуру общей формулы

где R представляет собой группу структурной формулы (Ia)

или его фармацевтически приемлемую соль, или производное, катионный антисептический агент и основное аминосоединение, где катионный антисептический агент представляет собой соль четвертичного аммония или хлоргексидин, а основное аминосоединение представляет собой, по меньшей мере, одно соединение, выбранное из трометамола, лидокаина и никотинамида. Соль четвертичного аммония представляет собой хлорид бензалкония, хлорид бензетония, хлорид цетилпиридиния или цетримид. Глазной раствор дополнительно может содержать борные кислоты, этилендиаминтетрауксусные кислоты. Изобретение обеспечивает с помощью добавок усиленно антисептическое действие глазных растворов. 2 н. и 9 з.п. ф-лы, 4 табл., 2 ил.
Область техники, к которой относится изобретение
Настоящее изобретение относится к сильно антисептическим глазным растворам, содержащим агент, снижающий внутриглазное давление, а также к глазным растворам, в которых агент, снижающий внутриглазное давление, диспергирован в носителе для глазных растворов в молекулярном состоянии.
Уровень техники
До сих пор было известно, что антагонисты ангиотензина II снижают внутриглазное давление при местном введении (ЕР-А795326, ЕР-А631780, WO 95/21609, WO 91/15206 и т.д.). Указанные далее соединения известны как типичные примеры таких антагонистов.


В JP-A 2001-55329 раскрывается вводимая местно композиция, снижающая внутриглазное давление, в случае которой в состав глазного раствора, содержащего антагонист ангиотензина II, введены в сочетании борные кислоты и этилендиаминтетрауксусные кислоты для того, чтобы усилить снижающее внутриглазное давление действие антагониста.
С другой стороны, выбор компонентов композиции следует осуществлять осторожно, в особенности в случае глазных растворов, поскольку их вводят непосредственно в глаза – высокочувствительный орган человеческого тела. Антисептические агенты для применения в глазных растворах нельзя рассматривать так же, как средства (консерванты), используемые в пищевых продуктах, напитках, консерванты для контактных линз и т.п. Например, необходимо учитывать раздражающие свойства глазных растворов на глаза, возможные побочные действия, имеющие место после введения в глаза, и зависимую от времени устойчивость глазных растворов, допускающую длительное хранение.
Антисептические агенты, используемые до сих пор в глазных растворах, включают хлорид бензалкония, хлорид бензетония, сложные эфиры парагидроксибензойной кислоты, хлорбутанол, хлоргексидин, соли сорбиновой кислоты и подобные соединения. В частности, из числа таких антисептиков широко используются катионные антисептики, такие как хлорид бензалкония или хлоргексидин, так как они химически устойчивы и обладают хорошим антисептическим действием. Однако даже если катионный антисептический агент ввести в состав глазных растворов, содержащих соединение, которое имеет указанную далее формулу (I), нельзя получить нужное консервирующее действие, и иногда глазные растворы мутнеют.
Соединение, имеющее химическое структуру приведенной далее общей формулы (I), обладает свойством образовывать в водном растворе такую ассоциированную молекулу (мицеллу), как тетрамер-октамер в зависимости от концентрации, и иногда образует микроскопически гетерогенный раствор.

В формуле (I) R1 представляет группу формулы (Ia), (Ib), (Ic), (Id), (Ie) или (If).


В такой ситуации, когда в состав глазных растворов, содержащих соединение общей формулы (I), вводят катионный антисептический агент, требуются добавки для усиления антисептического действия катионного средства, не вызывающие помутнения глазных растворов. Также требуется, чтобы соединение, имеющее химическую структуру общей формулы (I), не вызывало молекулярной ассоциации в глазных растворах и давало микроскопически высокогомогенные глазные растворы.
Раскрытие изобретения
Для того, чтобы решить указанные выше проблемы, авторы настоящего изобретения интенсивно работали в направлении исследования добавок к глазным растворам и обнаружили, что когда в состав глазных растворов, содержащих соединение общей формулы (I) и катионный антисептический агент, вводят основное аминосоединение, такое как трометамол [трис(гидроксиметил)аминометан], лидокаин или никотинамид, такое основное аминосоединение заметно усиливает антисептическое действие глазных растворов и не приводит к помутнению глазных растворов. Таким образом, было осуществлено данное изобретение.
Иными словами, настоящее изобретение относится к (1) сильно антисептическому глазному раствору, содержащему соединение, имеющее химическую структуру общей формулы (I), или его фармацевтически приемлемую соль, или производное (далее называемые “соединение настоящего изобретения”), катионный антисептический агент и основное аминосоединение.

В формуле (I) R1 представляет группу формулы (Ia), (Ib), (Ic), (Id), (Ie) или (If).


Что касается вышеуказанных глазных растворов, то настоящее изобретение предпочтительно обеспечивает:
(2) глазной раствор, в котором в соединении формулы (I) R1 представляет группу вышеуказанной формулы (Ia), (Ib) или (Ic);
(3) глазной раствор, в котором соединение настоящего изобретения выбирают из числа:
4-(1-гидрокси-1-метилэтил)-2-пропил-1-{4-[2-(тетразол-5-ил)фенил]фенил}метилимидазол-5-карбоновой кислоты и
2-этокси-1-[2 -(1Н-тетразол-5-ил)бифенил-4-ил]метил-1Н-бензимидазол-7-карбоновой кислоты;
(4) глазной раствор, в котором катионный антисептический агент представляет собой соль четвертичного аммония;
(5) глазной раствор, в котором соль четвертичного аммония представляет собой хлорид бензалкония или цетримид;
(6) глазной раствор, в котором основное аминосоединение представляет собой, по меньшей мере, одно соединение, выбранное из числа трометамола, лидокаина и никотинамида;
(7) глазной раствор, дополнительно содержащий борные кислоты;
(8) глазной раствор, дополнительно содержащий этилендиаминтетрауксусные кислоты; и
(9) глазной раствор, дополнительно содержащий борные кислоты и этилендиаминтетрауксусные кислоты.
Затем глазной раствор настоящего изобретения анализируют методом ЯМР с целью определения химического сдвига каждого протона в соединении настоящего изобретения, и было обнаружено, что химический сдвиг каждого протона в глазном растворе настоящего изобретения оказывается в более сильном магнитном поле (направлен в область сильного поля) по сравнению с таковым в водном растворе соединения настоящего изобретения. Смещение химического сдвига в сторону более сильного магнитного поля указывает на то, что электронная плотность каждого протона соединения настоящего изобретения изменяется, и что молекулярные ассоциаты соединения настоящего изобретения в глазном растворе диссоциируют, что приводит к дисперсии почти молекулярного уровня. Кроме того, обнаружено, что измеренный размер частицы ассоциированных молекул (мицеллы) соединения настоящего изобретения уменьшается до 1/2 или меньше. Иными словами, в другом аспекте настоящее изобретение относится к глазному раствору, содержащему соединение настоящего изобретения в качестве активного ингредиента, где активный ингредиент диспергирован в молекулярном состоянии в носителе для глазных растворов.
В изобретении термин “катионный антисептический агент” относится к веществам, положительно заряженным в водном растворе, в том числе, например, к четвертичной аммониевой соли, хлоргексидину и подобным веществам, предпочтительно -четвертичной аммониевой соли. Четвертичные аммониевые соли включают, например, хлорид бензалкония, хлорид бензетония, хлорид цетилпиридиния, цетримид и подобные соединения, предпочтительно – хлорид бензалкония и цетримид. Концентрация катионного антисептического агента в глазном растворе составляет, предпочтительно, 0,0001-1,0% (мас./об.), предпочтительнее – 0,001-0,5% (мас./об.), но не ограничивается указанными показателями.
Вышеуказанные катионные антисептические агенты могут использоваться по отдельности или в виде сочетания двух или большего числа агентов.
Кроме вышеуказанных катионных антисептических агентов можно использовать в сочетании другие антисептические агенты, такие как сорбиновая кислота, сорбат калия, сложные эфиры парагидроксибензойной кислоты, хлорбутанол, бензиловый спирт, тимеросал и подобные вещества.
В настоящем изобретении термин “основное аминосоединение” относится к амину, не имеющему кислотной группы, такой как карбоксильная группа, в молекуле и проявляющему основность как целая молекула, в особенности включая первичные-четвертичные амины, например трометамол, лидокаин и т.д., амины, содержащие основные гетероциклы, например никотинамид. Эти основные аминосоединения могут использоваться отдельно или в комбинации из двух или большего числа. Концентрация основного аминосоединения в глазном растворе предпочтительно составляет 0,01-15% (мас./об.), более предпочтительно 0,1-10% (мас./об.), но без ограничений.
Термин “борные кислоты”, используемый в настоящем изобретении, обозначает борную кислоту саму по себе и эквивалентные ей вещества, которые действуют в глазных растворах как хорошие буферы. Веществами, эквивалентными борной кислоте, обозначаются такие соединения, которые при растворении в воде высвобождают борат-ион, включая, например, борный ангидрид (В2О3), пироборную кислоту (H2B4O7), а также фармакологически приемлемые соли борной кислоты, борного ангидрида и пироборной кислоты. Предпочтительные примеры включают борную кислоту, борный ангидрид, буру и декагидрат бората натрия, и особо предпочтительна борная кислота.
Вышеуказанные борные кислоты можно использовать по отдельности или в сочетании двух или большего их числа.
Термин “этилендиаминтетрауксусные кислоты” обозначает этилендиаминтетрауксусную кислоту саму по себе и эквивалентные ей вещества, которые действуют в глазных растворах как хорошие стабилизаторы. Веществами, эквивалентными этилендиаминтетрауксусной кислоте, обозначаются такие соединения, которые при растворении в воде высвобождают этилендиаминтетраацетат-ион, в том числе фармакологически приемлемые соли этилендиаминтетрауксусной кислоты. Предпочтительные примеры включают этилендиаминтетрауксусную кислоту, дигидрат динатрийэтилендиаминтетраацетата, тригидрат тринатрийэтилендиаминтетраацетата и тетрагидрат тетранатрийэтилендиаминтетраацетата, и более предпочтителен дигидрат динатрийэтилендиаминтетраацетата.
Вышеуказанные этилендиаминтетрауксусные кислоты можно использовать по отдельности или в сочетании двух или большего их числа.
В настоящем изобретении эффект снижения внутриглазного давления можно усилить путем введения в композицию “борных кислот” и “этилендиаминтетрауксусных кислот” в сочетании.
Предпочтительно используемое соединение настоящего изобретения включает:
4-(1-гидрокси-1-метилэтил)-2-пропил-1-{4-[2-(тетразол-5-ил)фенил]фенил}метилимидазол-5-карбоновую кислоту;
2-этокси-1-[2 -(1Н-тетразол-5-ил)бифенил-4-ил]метил-1Н-бензимидазол-7-карбоновую кислоту, или их фармакологически приемлемые соли, или производные, но не ограничивается указанными соединениями.
Концентрация соединения настоящего изобретения в глазных растворах составляет, предпочтительно, 0,01-15% (мас./об.), предпочтительнее – 0,1-10% (мас./об.), но не ограничивается указанными показателями.
“Фармакологически приемлемые соли” включают соли, полученные взаимодействием соединения настоящего изобретения с основанием. Такие соли включают соли металлов, например соли щелочных металлов, такие как натриевые соли, калиевые соли и литиевые соли, щелочноземельных металлов, такие как кальциевые и магниевые соли, соли алюминия и соли железа; неорганические соли, например аммониевые соли; соли органических аминов, например соли трет-октиламина, соли дибензиламина, соли морфолина, соли глюкозамина, соли алкилэфиров фенилглицина, соли этилендиамина, соли N-метилглюкамина, соли гуанидина, соли диэтиламина, соли триэтиламина, соли дициклогексиламина, соли N,N -дибензилэтилендиамина, соли хлоропрокаина, соли прокаина, соли диэтаноламина, соли N-бензилфенетиламина, соли пиперазина, соли тетраметиламмония, соли трис(гидроксиметил)аминометана; и соли аминокислот, например соли глицина, соли лизина, соли аргинина, соли орнитина, соли глутаминовой кислоты, соли аспарагиновой кислоты. Предпочтительно используют соли щелочных металлов, предпочтительнее – натриевые соли или калиевые соли.
Термин “фармакологически приемлемые производные” соединения настоящего изобретения обозначает соединения, образованные из соединений с химической структурой общей формулы (I), имеющих гидроксильную группу и/или карбоксильную группу, путем модификации таких групп. Такие производные включают “сложные эфиры, образованные по гидроксильной группе”, “простые эфиры, образованные по гидроксильной группе”, “сложные эфиры, образованные по карбоксигруппе” и “амиды, образованные по карбоксигруппе”, т.е. соединения, в которых каждый сложноэфирный, простой эфирный или амидный остаток представляет собой “обычную защитную группу” или “защитную группу, которая может быть отщеплена in vivo биологическим способом, таким как гидролиз”.
Термин “обычная защитная группа” обозначает группу, которая может быть отщеплена химическим способом, таким как гидрогенолиз, гидролиз, электролиз, фотолиз и т.п.
“Обычные защитные группы”, ассоциируемые со “сложными эфирами, образованными по гидроксильной группе” и “простыми эфирами, образованными по гидроксильной группе”, предпочтительно представляют собой “алифатические ацильные группы” (предпочтительно низшие алифатические ацильные группы с 1-6 атомами углерода), включающие алканоильные группы, такие как формил, ацетил, пропионил, бутирил, изобутирил, пентаноил, пивалоил, валерил, изовалерил, октаноил, нонаноил, деканоил, 3-метилнонаноил, 8-метилнонаноил, 3-этилоктаноил, 3,7-диметилоктаноил, ундеканоил, додеканоил, тридеканоил, тетрадеканоил, пентадеканоил, гексадеканоил, 1-метилпентадеканоил, 14-метилпентадеканоил, 13,13 -диметилтетрадеканоил, гептадеканоил, 15-метилгексадеканоил, октадеканоил, 1-метилгептадеканоил, нонадеканоил, эйкозаноил, генэйкозаноил, и т.д.; гелогеналкилкарбонильные группы, такие как хлорацетил, дихлорацетил, трихлорацетил, трифторацетил, и т.д.; и низшие алкоксиалкилкарбонильные группы, такие как метоксиацетил; и ненасыщенные алкилкарбонильные группы, такие как акрилоил, пропиолоил, метакрилоил, кротоноил, изокротоноил, (Е)-2-метил-2-бутеноил, и т.д.; “ароматические ацильные группы”, включающие арилкарбонильные группы, такие как бензоил, -нафтоил, -нафтоил, и т.д.; галогензамещенные арилкарбонильные группы, такие как 2-бромбензоил, 4-хлорбензоил, и т.д.; низшие алкилированные арилкарбонильные группы, такие как 2,4,6-триметилбензоил, 4-толуоил, и т.д.; низшие алкоксилированные арилкарбонильные группы, такие как 4-анизоил; нитрированные арилкарбонильные группы, такие как 4-нитробензоил, 2-нитробензоил, и т.д.; низшие алкоксикарбонилированные арилкарбонильные группы, такие как 2-(метоксикарбонил)бензоил; и арилированные арилкарбонильные группы, такие как 4-фенилбензоил; “алкоксикарбонильные группы”, включающие низшие алкоксикарбонильные группы, такие как метоксикарбонил, этоксикарбонил, пропоксикарбонил, бутоксикарбонил, втор-бутоксикарбонил, трет-бутоксикарбонил, изобутоксикарбонил, и т.д.; и галогено- или три(низший алкил)силилзамещенные низшие алкоксикарбонильные группы, такие как 2,2,2-трихлорэтоксикарбонил, 2-триметилсилилэтоксикарбонил, и т.д.; “тетрагидропиранильные или тетрагидротиопиранильные группы”, такие как тетрагидропиран-2-ил, 3-бромтетрагидропиран-2-ил, 4-метокситетрагидропиран-4-ил, тетрагидротиопиран-2-ил, 4-метокситетрагидротиопиран-4-ил, и т.д.; “тетрагидрофуранильные или тетрагидротиофуранильные группы”, такие как тетрагидрофуран-2-ил, тетрагидротиофуран-2-ил, и т.д.; “силильные группы”, включающие три(низший алкил)силильные группы, такие как триметилсилил, триэтилсилил, изопропилдиметилсилил, трет-бутилдиметилсилил, метилдиизопропилсилил, метилди-трет-бутилсилил, триизопропилсилил, и т.д.; и три(низший алкил)силильные группы, замещенные 1 или 2 арильными группами, такие как дифенилметилсилил, дифенилбутилсилил, дифенилизопропилсилил, фенилдиизопропилсилил, и т.д.; “алкоксиметильные группы”, включающие низшие алкоксиметильные группы, такие как метоксиметил, 1,1-диметил-1-метоксиметил, этоксиметил, пропоксиметил, изопропоксиметил, бутоксиметил, трет-бутоксиметил и т.д.; низшие алкоксилированные низшие алкоксиметильные группы, такие как 2-метоксиэтоксиметил; и галогенозамещенные алкоксиметильные группы, такие как 2,2,2-трихлорэтоксиметил, бис(2-хлорэтокси)метил, и т.д.; “замещенные этильные группы”, включающие низшие алкоксилированные этильные группы, такие как 1-этоксиэтил, 1-(изопропокси)этил, и т.д.; и галогензамещенные этильные группы, такие как 2,2,2-трихлорэтил; “аралкильные группы”, включающие низшие алкильные группы, замещенные 1-3 арильными группами, такие как бензил, -нафтилметил, -нафтилметил, дифенилметил, трифенилметил, -нафтилдифенилметил, 9-антрилметил, и т.д.; и низшие алкильные группы, замещенные 1-3 арильными группами, где арильный цикл замещен низшим алкилом, низшим алкокси, нитро, галогеном или циано, такие как 4-метилбензил, 2,4,6-триметилбензил, 3,4,5-триметилбензил, 4-метоксибензил, 4-метоксифенилдифенилметил, 2-нитробензил, 4-нитробензил, 4-хлорбензил, 4-бромбензил, 4-цианобензил, и т.д.; “алкенилоксикарбонильные группы”, такие как винилоксикарбонил, аллилоксикарбонил, и т.д.; и “аралкилоксикарбонильные группы”, где арильный цикл может быть замещен 1 или 2 низшими алкокси- или нитрогрулпами, такие как бензилоксикарбонил, 4-метоксибензилоксикарбонил, 3,4-диметоксибензилоксикарбонил, 2-нитробензилоксикарбонил, 4-нитробензилоксикарбонил, и т.д.
“Обычные защитные группы”, ассоциируемые со “сложными эфирами, образованными по карбоксигруппе”, включают “низшие алкильные группы”, такие как метил, этил, пропил, изопропил, н-бутил, изобутил, втор-бутил, трет-бутил, н-пентил, изопентил, 2-метилбутил, неопентил, 1-этилпропил, н-гексил, изогексил, 4-метилпентил, 3-метилпентил, 2-метилпентил, 1-метилпентил, 3,3-диметилбутил, 2,2-диметилбутил, 1,1-диметилбутил, 1,2-диметилбутил, 1,3-диметилбутил, 2,3-диметилбутил, 2-этилбутил, и т.д.; “низшие алкенильные группы”, такие как винил, 2-пропенил, 1-метил-2-пропенил, 2-метил-2-пропенил, 2-этил-2-пропенил, 2-бутенил, 1-метил-2-бутенил, 2-метил-2-бутенил, 1-этил-2-бутенил, 3-бутенил, 1-метил-3-бутенил, 2-метил-3-бутенил, 1-этил-3-бутенил, 2-пентенил, 1-метил-2-пентенил, 2-метил-2-пентенил, 3-пентенил, 1-метил-3-пентенил, 2-метил-3-пентенил, 4-пентенил, 1-метил-4-пентенил, 2-метил-4-пентенил, 2-гексенил, 3-гексенил, 4-гексенил, 5-гексенил, и т.д.; “низшие алкинильные группы”, такие как этинил, 2-пропинил, 1-метил-2-пропинил, 2-бутинил, 1-метил-2-бутинил, 1-этил-2-бутинил, 3-бутинил, 1-метил-3-бутинил, 2-метил-3-бутинил, 1-этил-3-бутинил, 2-пентинил, 1-метил-2-пентинил, 3-пентинил, 1-метил-3-пентинил, 2-метил-З-пентинил, 4-пентинил, 1-метил-4-пентинил, 2-метил-4-пентинил, 2-гексинил, 3-гексинил, 4-гексинил, 5-гексинил, и т.д.; “галогензамещенный низший алкил”, такой как трифторметил, трихлорметил, дифторметил, дихлорметил, дибромметил, фторметил, 2,2,2-трихлорэтил, 2,2,2-трифторэтил, 2-бромэтил, 2-хлорэтил, 2-фторэтил, 2,2-дибромэтил, и т.д.; гидрокси-“низшие алкильные группы”, такие как 2-гидроксиэтил, 2,3-дигидроксипропил, 3-гидроксипропил, 3,4-дигидроксибутил, 4-гидроксибутил, и т.д.; “низший алифатический ацил”-“низшие алкильные группы”, такие как ацетилметил; вышеуказанные “аралкильные группы” и вышеуказанные “силильные группы”.
Термин “защитная группа, которая может быть отщеплена in vivo биологическим способом, таким как гидролиз” обозначает защитную группу, которая может быть отщеплена биологическим способом, таким как гидролиз, в организме человека с образованием свободной кислоты или ее соли. Такое производное можно подтвердить с помощью внутривенной инъекции его подопытному животному, например крысе или мыши, с последующей проверкой жидкости организма животного и детекцией исходного соединения или его фармакологически приемлемой соли. “Защитные группы, которые могут быть отщеплены in vivo биологическим способом, таким как гидролиз”, ассоциируемые со “сложными эфирами, образованными по гидроксильной группе” и “простыми эфирами, образованными по гидроксильной группе”, предпочтительно, представляют собой “карбонилоксиалкильные группы”, такие как 1-(ацилокси)-“низшие алкильные группы”, включающие 1-(“низший алифатический ацил”-окси)-“низшие алкильные группы”, такие как формилоксиметил, ацетоксиметил, диметиламиноацетоксиметил, пропионилоксиметил, бутирилоксиметил, пивалоилоксиметил, валерилоксиметил, изовалерилоксиметил, гексаноилоксиметил, 1-формилоксиэтил, 1-ацетоксиэтил, 1-пропионилоксиэтил, 1-бутирилоксиэтил, 1-пивалоилоксиэтил, 1-валерилоксиэтил, 1-изовалерилоксиэтил, 1-гексаноилоксиэтил, 1-формилоксипропил, 1-ацетоксипропил, 1-пропионилоксипропил, 1-бутирилоксипропил, 1 -пивалоилоксипропил, 1-валерилоксипропил, 1-изовалерилоксипропил, 1-гексаноилоксипропил, 1-ацетоксибутил, 1-пропионилоксибутил, 1-бутирилоксибутил, 1-пивалоилоксибутил, 1-ацетоксипентил, 1-пропионилоксипентил, 1-бутирилоксипентил, 1-пивалоилоксипентил, 1-пивалоилоксигексил, и т.д.; 1-(“циклоалкил”карбонилокси)-“низшие алкильные группы”, такие как циклопентилкарбонилоксиметил, циклогексилкарбонилоксиметил, 1-циклопентилкарбонилоксиэтил, 1-циклогексилкарбонилоксиэтил, 1-циклопентилкарбонилоксипропил, 1-циклогексилкарбонилоксипропил, 1-циклопентилкарбонилоксибутил, 1-циклогексилкарбонилоксибутил, и т.д.; и 1-(“ароматический ацил”-окси)-“низшие алкильные группы”, такие как бензоилоксиметил; (низший алкоксикарбонилокси)алкильные группы, такие как метоксикарбонилоксиметил, этоксикарбонилоксиметил, пропоксикарбонилоксиметил, изопропоксикарбонилоксиметил, бутоксикарбонилоксиметил, изобутоксикарбонилоксиметил, пентилоксикарбонилоксиметил, гексилоксикарбонилоксиметил, циклогексилоксикарбонилоксиметил, циклогексилоксикарбонилокси(циклогексил)метил, 1-(метоксикарбонилокси)этил, 1-(этоксикарбонилокси)этил, 1-(пропоксикарбонилокси)этил, 1-(изопропоксикарбонилокси)этил, 1-(бутоксикарбонилокси)этил, 1-(избутоксикарбонилокси)этил, 1-(трет-бутоксикарбонилокси)этил, 1-(пентилоксикарбонилокси)этил, 1-(гексилоксикарбонилокси)этил, 1-(циклопентилоксикарбонилокси)этил, 1-(циклопентилоксикарбонилокси)пропил, 1-(циклогексилоксикарбонилокси)пропил, 1-(циклопентилоксикарбонилокси)бутил, 1-(циклогексилоксикарбонилокси)бутил, 1-(циклогексилоксикарбонилокси)этил, 1-(этоксикарбонилокси)пропил, 1-(метоксикарбонилокси)пропил, 1-(пропоксикарбонилокси)пропил, 1-(изопропоксикарбонилокси)пропил, 1-(бутоксикарбонилокси)пропил, 1-(изобутоксикарбонилокси)пропил, 1-(пентилоксикарбонилокси)пропил, 1-(гексилоксикарбонилокси)пропил, 1-(метоксикарбонилокси)бутил, 1-(этоксикарбонилокси)бутил, 1-(пропоксикарбонилокси)бутил, 1-(изопропоксикарбонилокси)бутил, 1-(бутоксикарбонилокси)бутил, 1-(изобутоксикарбонилокси)бутил, 1-(метоксикарбонилокси)пентил, 1-(этоксикарбонилокси)пентил, 1-(метоксикарбонилокси)гексил, 1-(этоксикарбонилокси)гексил, и т.д.; и оксодиоксоленилметильные группы, такие как (5-фенил-2-оксо-1,3-диоксолен-4-ил)метил, [5-(4-метилфенил)-2-оксо-1,3-диоксолен-4-ил]метил, [5-(4-метоксифенил)-2-оксо-1,3-диоксолен-4-ил]метил, [5-(4-фторфенил)-2-оксо-1,3-диоксолен-4-ил]метил, [5-(4-хлорфенил)-2-оксо-1,3-диоксолен-4-ил]метил, (2-оксо-1,3-диоксолен-4-ил)метил, (5-метил-2-оксо-1,3-диоксолен-4-ил)метил, (5-этил-2-оксо-1,3-диоксолен-4-ил)метил, (5-пропил-2-оксо-1,3-диоксолен-4-ил)метил, (5-изопропил-2-оксо-1,3-диоксолен-4-ил)метил, (5-бутил-2-оксо-1,3-диоксолен-4-ил)метил, и т.д.; “фталидильные группы”, такие как фталидил, диметилфталидил, диметоксифталидил, и т.д.; вышеуказанные “низшие алифатические ацильные группы; вышеуказанные “ароматические анильные группы”; “остатки солей полуэфиров янтарной кислоты”; “остатки солей эфиров фосфорной кислоты”, “эфирообразующие остатки аминокислот”; карбамоильные группы; карбамоильные группы, замещенные 1 или 2 низшими алкильными группами; и “1-(ацилокси)алкилоксикарбонильные группы”, такие как пивалоилоксиметилоксикарбонил. Предпочтительные примеры включают “карбонилоксиалкильные группы”.
С другой стороны, “защитные группы, которые могут быть отщеплены in vivo биологическим способом, таким как гидролиз”, ассоциируемые со “сложными эфирами, образованными по карбоксигруппе”, предпочтительно, представляют собой “(алкокси)(низшие алкильные) группы”, включающие (низший алкокси)(низшие алкильные) группы, такие как метоксиэтил, 1-этоксиэтил, 1-метил-1-метоксиэтил, 1-(изопропокси)этил, 2-метоксиэтил, 2-этоксиэтил, 1,1-диметил-1-метоксиэтил, этоксиметил, н-пропоксиметил, изопропоксиметил, н-бутоксиметил, трет-бутоксиметил, и т.д.; низшие алкоксилированные (низший алкокси)(низшие алкильные) группы, такие как 2-метоксиэтоксиметил; “арил”-окси-“низшие алкильные группы”, такие как феноксиметил; галогензамещенные (низший алкокси)(низшие алкильные) группы, такие как 2,2,2-трихлорэтоксиметил, бис(2-хлорэтокси)метил, и т.д.; “”низший алкокси”-карбонил-“низшие алкильные группы””, такие как метоксикарбонилметил; циано-низшие алкильные группы”, такие как цианометил, 2-цианоэтил, и т.д.; “”низший алкил”-тиометильные группы”, такие как метилтиометил, этилтиометил, и т.д.; “”арил”-тиометильные группы”, такие как фенилтиометал, нафтилтиометил, и т.д.; “необязательно галогензамещенные “низший алкил”-сульфонил-“низшие алкильные группы””, такие как 2-метансульфонилэтил, 2-трифторметансульфонилэтил, и т.д.; “”арилсульфонил”-“низшие алкильные группы””, такие как 2-бензолсульфонилэтил, 2-толуолсульфонилэтил, и т.д.; вышеуказанные “1-(ацилокси)-“низшие алкильные группы””; вышеуказанные “фталидильные группы”; вышеуказанные “низшие алкильные группы”; “карбоксиалкильные группы”, такие как карбоксиметил; и “амидобразующие остатки аминокислот”, такие как фенилаланин.
Термин “дисперсия в молекулярном состоянии” указывает, что в случае, когда соединение настоящего изобретения вводят в состав глазного раствора, химический сдвиг каждого протона оказывается в более сильном магнитном поле (направлен в область сильного поля) по сравнению со сдвигом в водном растворе соединения настоящего изобретения. Конкретнее, он указывает на состояние, в котором протоны фенильного цикла соединений настоящего изобретения смещаются на 0,01 м.д. или более, предпочтительно, на 0,02 м.д. или более, в направлении более сильного магнитного поля. Подробности будут описаны ниже в примере 1. Состояние молекулярной дисперсии может быть подтверждено тем фактом, что размер частицы соединения настоящего изобретения, приготовленного в глазном растворе, становится примерно равным 1/2 или менее размера в водном растворе, что показывает, что оно явно диспергировано в растворе в состоянии молекулярной формы.
Глазные растворы настоящего изобретения можно готовить при необходимости в сочетании с добавками, например буфером, стабилизатором, изотоническим агентом, регулятором рН, солюбилизатором, загустителем, диспергатором и так далее.
Примерами буферных веществ являются вышеуказанные борные кислоты, а также фосфорные кислоты, уксусные кислоты, угольные кислоты, карбоновые кислоты, лимонные кислоты и им подобные. Фосфорные кислоты, уксусные кислоты, карбоновые кислоты и лимонные кислоты включают фосфорную кислоту, уксусную кислоту, карбоновую кислоту, лимонную кислоту как таковые и эквивалентные им вещества. Вещества, эквивалентные фосфорной кислоте, уксусной кислоте, карбоновой кислоте и лимонной кислоте, обозначают соединения, образующие при растворении в воде фосфат-ион, ацетат-ион, карбонат-ион и цитрат-ион. Предпочтительными буферными веществами являются борные кислоты, в частности борная кислота, борный ангидрид, бура и декагидрат бората натрия.
Примерами стабилизаторов являются вышеуказанные этилендиаминтетрауксусные кислоты, а также дибутилгидрокситолуол, гидросульфит натрия и подобные вещества. Предпочтительными являются этилендиаминтетрауксусные кислоты, и особенно предпочтительны этилендиаминтетрауксусная кислота, дигидрат динатрийэтилендиаминтетраацетата, тригидрат тринатрийэтилендиаминтетраацетата и тетрагидрат тетранатрийэтилендиаминтетраацетата.
Так как комбинированное применение борных кислот и этилендиаминтетрауксусных кислот усиливает эффект снижения внутриглазного давления глазных растворов, когда добавляют буферное вещество и стабилизатор, то целесообразно добавлять в сочетании борные кислоты как буфер и этилендиаминтетрауксусные кислоты как стабилизатор.
Изотонический агент включает, например, глицерин, пропиленгликоль, хлорид натрия, хлорид калия, сорбит, маннит и подобные вещества.
Регулятор рН включает, например, соляную кислоту, лимонную кислоту, фосфорную кислоту, уксусную кислоту, гидроксид натрия, гидроксид калия, борную кислоту, буру, карбонат натрия, бикарбонат натрия и подобные вещества.
Солюбилизатор включает, например, полисорбат 80, отвержденное полиоксиэтиленированное касторовое масло 60, макроголь 4000, полиэтиленгликоль, пропиленгликоль и подобные вещества.
Загуститель и диспергатор включают, например, макромолекулы типа молекул целлюлозы, например, гидроксипропилметилцеллюлозу, гидроксипропилцеллюлозу и т.д., альгинат натрия, поливиниловый спирт, карбоксивиниловый полимер, поливинилпирролидон и т.п.
Глазные растворы настоящего изобретения, предпочтительно, могут иметь рН 5,0-9,0 и коэффициент осмотического давления приблизительно 1,0. Дозу глазного раствора можно выбрать в зависимости от состояния, возраста и рецептуры, и на практике его можно вводить в глаза при концентрации соединения настоящего изобретения 0,01-15% (мас./об.) от одного до нескольких раз в день.
Краткое описание чертежей
Фиг.1 показывает изменения химического сдвига в случае примера 5 по сравнению с величинами в случае сравнительного примера 2.
Фиг.2 показывает изменения химического сдвига в случае примеров 6 и 7 и сравнительного примера 4 по сравнению с величинами в случае сравнительного примера 3.
Наилучший способ осуществления изобретения
Приведенные далее примеры служат конкретными иллюстрациями изобретения в целях его лучшего понимания, но не предназначены для ограничения объема изобретения.
(1) Пример получения
Далее приводятся типичные прописи глазных растворов, используемых в изобретении. Соединение А обозначает 4-(1-гидрокси-1-метилэтил)-2-пропил-1-{4-[2-(тетразол-5-ил)фенил]фенил}метилимидазол-5-карбоновую кислоту структурной формулы

Пропись 1 (на 100 мл)
| Соединение А |
4 г |
| Хлорид бензалкония |
0,01 г |
| Трометамол |
2 г |
| Хлорид натрия |
0,28 г |
| Дигидрат дигидрофосфата натрия |
подходящее количество |
| Гидроксид натрия |
подходящее количество |
| Разбавленная соляная кислота |
подходящее количество |
| Чистая стерилизованная вода |
подходящее количество |
Вид соединения и соотношения смешиваемых добавок можно произвольно изменять для получения нужного глазного раствора.
Пропись 2 (на 100 мл)
| Соединение А |
3 г |
| Хлорид бензалкония |
0,005 г |
| Трометамол |
2 г |
| Борная кислота |
0,5 г |
| Дигидрат динатрийэтилендиаминтетраацетата |
0,005 г |
| Хлорид натрия |
0,2 г |
| Дигидрат дигидрофосфата натрия |
подходящее количество |
| Гидроксид натрия |
подходящее количество |
| Разбавленная соляная кислота |
подходящее количество |
| Чистая стерилизованная вода |
подходящее количество |
Вид соединения и соотношения смешиваемых добавок можно произвольно изменять для получения нужного глазного раствора.
Пропись 3 (на 100 мл)
| Соединение А |
3 г |
| Цетримид |
0,005 г |
| Трометамол |
2 г |
| Борная кислота |
0,5 г |
| Дигидрат динатрийэтилендиаминтетраацетата |
0,005 г |
| Хлорид натрия |
0,2 г |
| Дигидрат дигидрофосфата натрия |
подходящее количество |
| Гидроксид натрия |
подходящее количество |
| Разбавленная соляная кислота |
подходящее количество |
| Чистая стерилизованная вода |
подходящее количество |
Вид соединения и соотношения смешиваемых добавок можно произвольно изменять для получения нужного глазного раствора.
(2) Испытание на эффективность хранения
Для того, чтобы проверить антисептическое действие глазных растворов настоящего изобретения, проводят описанное далее испытание на эффективность хранения.
[Получение глазных растворов]
Пример 1
В 75 мл дистиллированной воды растворяют 2 г трометамола, этилендиаминтетрауксусную кислоту (подходящее количество) и буру (подходящее количество). К полученному раствору добавляют 4 г соединения А и затем, после его растворения, 0,004 г хлорида бензалкония. Доводят рН раствора до 7,0 с помощью раствора гидроксида натрия 1 моль/л, а затем доводят общий объем до 100 мл, добавляя дистиллированную воду. Затем раствор фильтруют через мембранный фильтр (изготовитель MILLIPORE) [гидрофильный Durapore (материал гидрофильный поливинилидендифторид), 0,22 мкм] в стерильных условиях, получая глазной раствор.
Пример 2
Получают глазной раствор так же, как в примере 1, за исключением того, что вместо хлорида бензалкония используют цетримид.
Пример 3
Получают глазной раствор так же, как в примере 1, за исключением того, что вместо трометамола используют лидокаин.
Пример 4
Получают глазной раствор так же, как в примере 1, за исключением того, что вместо трометамола используют никотинамид.
Сравнительный пример 1
Получают глазной раствор так же, как в примере 1, за исключением того, что в него не добавляют трометамол.
[Метод испытания]
Испытание на эффективность хранения осуществляют согласно фармакопеи Японии XIV. В качестве тестируемых микроорганизмов используют Е. coli, P. aeruginosa, S. aureus и A. niger. Измеряют число жизнеспособных микробных клеток через 6 часов (для бактерий), 24 часа (для бактерий) и 7 суток (для гриба) после инкубации, и вычисляют выживаемость микроорганизмов согласно уравнению:
Выживаемость (%)=число жизнеспособных микробных клеток / исходное число ×100.
Результаты приводятся в таблицах 1 и 2.
| Таблица 1 |
| |
Пример 1 |
Пример 2 |
Сравнительный пример 1 |
| Соединение А (г) |
4 |
4 |
4 |
| Хлорид бензалкония (г) |
0,004 |
|
0,004 |
| Цетримид (г) |
|
0,004 |
|
| Трометамол (г) |
2 |
2 |
|
| Бура (г) |
подходящее количество |
подходящее количество |
подходящее количество |
ЭДТА (г) |
подходящее количество |
подходящее количество |
подходящее количество |
| рН |
7 |
7 |
7 |
| Е. coli (%) |
через 6 час |
4,3×10-4 или меньше |
9,5×10-4 |
2,2×10-3 |
| через 24 часа |
4,3×10-4 или меньше |
1,0×10-4 или меньше |
2,9×10-2 |
| Р.aeruginosa (%) |
через 6 час |
3,3×10-4 или меньше |
2,3×10-3 или меньше |
9,7×10-1 |
| через 24 часа |
3,3×104 или меньше |
2,3×10-3 или меньше |
4,0×10-1 |
| S.aureus (%) |
через 6 час |
6,3×10-4 |
5,6×10-3 |
1,0×10-2 |
| через 24 часа |
3,1×10-4 или меньше |
1,4×10-3 или меньше |
3,1×10-4 или меньше |
| A.niger (%) |
через 7 суток |
1,6 |
1,6×10-1 |
7,7 |
ЭДТА – этилендиаминтетрауксусная кислота. |
| Таблица 2 |
| |
Пример 3 |
Пример 4 |
Сравнительный |
| |
|
|
пример 1 |
| Соединение А (г) |
4 |
4 |
4 |
| Хлорид бензалкония (г) |
0,004 |
0,004 |
0,004 |
| Лидокаин (г) |
2 |
|
|
| Никотинамид (г) |
|
2 |
|
| Бура (г) |
подходящее количество |
подходящее количество |
подходящее количество |
ЭДТА (г) |
подходящее количество |
подходящее количество |
подходящее количество |
| рН |
7 |
7 |
7 |
| Е. coli (%) |
через 6 час |
4,7×10-3 |
5,9×10-1 |
1,6 |
| |
через 24 часа |
9,3×10-4 |
1,7×10-2 |
6,9×10-1 |
| Р. aeruginosa (%) |
через 6 час |
1,3×10-4 или меньше |
6,5×10-3 |
1,0×10-1 |
| |
через 24 часа |
1,3×10-4 или меньше |
1,3×10-4 или меньше |
2,3×10-3 |
| S. aureus (%) |
через 6 час |
не опр. |
не опр. |
не опр. |
| |
через 24 часа |
не опр. |
не опр. |
не опр. |
| A. niger (%) |
через 7 суток |
38 |
1,0×10-3 |
22 |
ЭДТА – этилендиаминтетрауксусная кислота. |
[Испытание на стабильность]
Глазные растворы примеров 1-4 хранят при 20°С и влажности 40% в течение 4 месяцев: не происходит изменений внешнего вида, рН и остаточного количества соединения А, и в растворах отсутствуют продукты разложения. Хотя глазной раствор, содержащий соединение А в низкой концентрации (приблизительно 0,5%) и катионный антисептический агент, становится мутным, этот показатель улучшается при добавлении основного аминосоединения.
(3) Измерение химического сдвига методом ЯМР
[Получение образца для использования при измерениях ЯМР]
Пример 5
К 80 мл тяжелой воды добавляют 1 г соединения А и 2 г трометамола. В полученном растворе растворяют 1 моль/л гидроксида натрия (NaOH), затем рН раствора доводят до 7,0 с помощью 1 моль/л соляной кислоты (HCl), и общий объем доводят до 100 мл, добавляя тяжелую воду. Затем раствор фильтруют через мембранный фильтр (MILLIPORE) в стерильных условиях, получая раствор образца.
Сравнительный пример 2
Раствор образца для сравнения получают так же, как в примере 5, за исключением того, что не добавляют трометамол.
Пример 6
В 80 мл тяжелой воды растворяют 4 г соединения А и 2 г трометамола. Доводят рН раствора до 7,0 с помощью 1 моль/л раствора гидроксида натрия (NaOH) и общий объем раствора доводят до 100 мл, добавляя тяжелую воду. Затем раствор фильтруют через мембранный фильтр (MILLIPORE) в стерильных условиях, получая раствор образца.
Сравнительный пример 3
Раствор образца для сравнения получают так же, как в примере 6, за исключением того, что не добавляют трометамол.
Пример 7
В 80 мл тяжелой воды растворяют 4 г соединения А, 2 г трометамола, 0,004 г хлорида бензалкония, этилендиаминтетрауксусную кислоту (подходящее количество) и буру (подходящее количество). Доводят рН раствора до 7,0 с помощью 1 моль/л раствора гидроксида натрия (NaOH), и общий объем раствора доводят до 100 мл, добавляя тяжелую воду. Затем раствор фильтруют через мембранный фильтр (MILLIPORE) в стерильных условиях, получая раствор образца.
Сравнительный пример 4
Раствор образца для сравнения получают так же, как в примере 7, за исключением того, что не добавляют трометамол.
[Метод испытания]
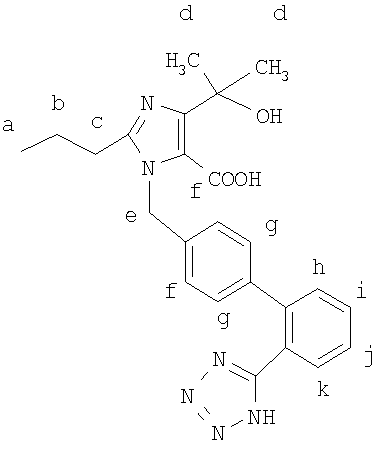
Спектры 1H-ЯМР регистрируют с использованием ЯМР-установки (JEOL ЕСР-500) (измерения при 35°С, внутренний стандарт HDO, растворитель H2O). Изменения химического сдвига (единица измерения – м.д.) соединения А в примере 5 против сдвига (эталон) в сравнительном примере 2 показаны в табл. 3 и на фиг.1. Изменения химического сдвига соединения А в примерах 6 и 7 и сравнительном примере 4 против сдвига (эталон) в сравнительном примере 3 показаны в табл. 4 и на фиг.2. В связи с этим символы a-k в таблицах и на фигурах соответствуют изменениям химического сдвига атомов водорода, присоединенных к атомам углерода a-k, показанным в приведенной далее структурной формуле.

| Таблица 3 |
| |
Пример 5 |
Сравнительный пример 2 |
| Соединение А (г) |
1 |
1 |
| Трометамол (г) |
2 |
|
| рН |
7 |
7 |
| |
а |
-0,028 |
0,000 |
| |
b |
-0,027 |
0,000 |
| |
с |
-0,036 |
0,000 |
| |
d |
-0,021 |
0,000 |
| |
е |
-0,025 |
0,000 |
| Химический сдвиг |
f |
-0,034 |
0,000 |
(м.д.) |
g |
-0,034 |
0,000 |
| |
h |
-0,045 |
0,000 |
| |
i |
-0,031 |
0,000 |
| |
j |
-0,030 |
0,000 |
| |
k |
-0,023 |
0,000 |
| Средняя величина для a-k |
-0,030 |
0,000 |
| Таблица 4 |
| |
Пример 6 |
Пример 7 |
Сравнительный пример 3 |
Сравнительный пример 4 |
| Соединение А (г) |
4 |
4 |
4 |
4 |
| Трометамол (г) |
2 |
2 |
|
|
| Хлорид бензалкония (г) |
|
0,005 |
|
0,005 |
| Бура (г) |
|
подх. к-во |
|
подх. к-во |
ЭДТА (г) |
|
подх. к-во |
|
подх. к-во |
| рН |
7 |
7 |
7 |
7 |
| |
а |
-0,032 |
-0,032 |
0,000 |
-0,003 |
| |
b |
-0,033 |
-0,033 |
0,000 |
-0,004 |
| |
с |
-0,026 |
-0,031 |
0,000 |
-0,001 |
| |
d |
-0,027 |
-0,028 |
0,000 |
-0,001 |
| |
е |
-0,029 |
-0,030 |
0,000 |
-0,002 |
| Химический сдвиг |
f |
-0,029 |
-0,032 |
0,000 |
-0,001 |
(м.д.) |
g |
-0,030 |
-0,031 |
0,000 |
-0,002 |
| |
h |
-0,035 |
-0,036 |
0,000 |
-0,005 |
| |
i |
-0,035 |
-0,036 |
0,000 |
-0,002 |
| |
j |
-0,036 |
-0,037 |
0,000 |
-0,003 |
| |
k |
-0,032 |
-0,032 |
0,000 |
-0,001 |
| Средняя величина для a-k |
-0,031 |
-0,033 |
0,000 |
-0.002 |
ЭДТА – этилендиаминтетрауксусная кислота. |
(4) Измерение размера частиц
[Способ измерения]
Размер частиц соединения А в примере 6 и сравнительном примере 3 (где используют воду вместо тяжелой воды и NaOH вместо NaOD) измеряют с использованием прибора для измерения размера частиц [NICOMP: Submicron Particle Sizer Model 370] при длине волны 514,5 нм и температуре 23°С (время измерения 10 мин).
[Результаты измерений]
Средний размер частиц соединения А в примере 6 снижается до 1/2 или меньше по сравнению с размером частиц в сравнительном примере 3.
Промышленная применимость
Как видно из таблиц 1 и 2, антимикробное действие глазных растворов, содержащих соединение А и катионный антисептический агент (например, хлорид бензалкония, цетримид), на бактерии и грибы заметно повышается за счет добавления в растворы основного аминосоединения. Следовательно, глазной раствор, содержащий соединение химической структуры общей формулы (I), или его фармацевтически приемлемую соль, или производное, катионный антисептический агент и основное аминосоединение, обнаруживает весьма сильное консервирующее действие против различных микроорганизмов, таких как бактерии и грибы. Из результатов, приведенных в таблицах 3 и 4 и на фигурах 1 и 2, обнаруживается, что в глазных растворах настоящего изобретения химический сдвиг каждого протона соединения А смещается в направлении более сильного магнитного поля, и средний размер мицелл снижается до 1/2 или меньшей величины.
Формула изобретения
1. Глазной раствор, содержащий соединение, имеющее химическую структуру общей формулы (I)

где R1 представляет собой группу структурной формулы (Ia)

или его фармацевтически приемлемую соль или производное, катионный антисептический агент и основное аминосоединение, где катионный антисептический агент представляет собой соль четвертичного аммония или хлоргексидин, а основное аминосоединение представляет собой, по меньшей мере, одно соединение, выбранное из трометамола, лидокаина и никотинамида.
2. Глазной раствор по п.1, в котором катионный антисептический агент представляет собой соль четвертичного аммония.
3. Глазной раствор по п.1, в котором соль четвертичного аммония представляет собой хлорид бензалкония, хлорид бензетония, хлорид цетилпиридиния или цетримид.
4. Глазной раствор по п.1, в котором соль четвертичного аммония представляет собой хлорид бензалкония или цетримид.
5. Глазной раствор по п.1, дополнительно содержащий борные кислоты.
6. Глазной раствор по п.1, дополнительно содержащий этилендиаминтетрауксусные кислоты.
7. Глазной раствор по п.1, дополнительно содержащий борные кислоты и этилендиаминтетрауксусные кислоты.
8. Глазной раствор, содержащий в качестве активного ингредиента соединение, имеющее химическую структуру общей формулы (I)

где R1 представляет собой группу структурной формулы (Ia)

или его фармацевтически приемлемую соль или производное, и дополнительно содержащий катионный антисептический агент и основное аминосоединение, характеризующийся тем, что активный ингредиент диспергирован в молекулярном состоянии в носителе для глазных растворов, где катионный антисептический агент представляет собой соль четвертичного аммония или хлоргексидин, а основное аминосоединение представляет собой, по меньшей мере, одно соединение, выбранное из трометамола, лидокаина и никотинамида.
9. Глазной раствор по п.8, в котором катионный антисептический агент представляет собой соль четвертичного аммония.
10. Глазной раствор по п.8, в котором соль четвертичного аммония представляет собой хлорид бензалкония, хлорид бензетония, хлорид цетилпиридиния или цетримид.
11. Глазной раствор по п.8, в котором соль четвертичного аммония представляет собой бензалкония хлорид или цетримид.
РИСУНКИ
|
|