|
|
(21), (22) Заявка: 2006131408/14, 24.08.2006
(24) Дата начала отсчета срока действия патента:
24.08.2006
(46) Опубликовано: 10.03.2008
(56) Список документов, цитированных в отчете о поиске:
2048790 С1, 27.11.1995. 2281026 С2, 27.04.2006. 2206902 С1, 20.06.2003. ТИХОМИРОВ В.В. Биотелеметрические системы. – М.: Наука, 1974, с.58-78.. Кардиомониторы. Аппаратура непрерывного контроля ЭКГ./ Под ред. А.Л. Барановского и др. – М.: Радио и связь, 1993, с.24-72.
Адрес для переписки:
197348, Санкт-Петербург, Богатырский пр., 2, ЛенСпецСМУ, В.А.Заренкову
|
(72) Автор(ы):
Заренков Вячеслав Адамович (RU), Заренков Дмитрий Вячеславович (RU), Дикарев Виктор Иванович (RU), Доронин Александр Павлович (RU), Иорданишвили Андрей Константинович (RU)
(73) Патентообладатель(и):
Заренков Вячеслав Адамович (RU), Заренков Дмитрий Вячеславович (RU), Дикарев Виктор Иванович (RU), Доронин Александр Павлович (RU), Иорданишвили Андрей Константинович (RU)
|
(54) УСТРОЙСТВО ДЛЯ ДИСТАНЦИОННОГО СЛЕЖЕНИЯ ЗА ДЕЯТЕЛЬНОСТЬЮ СЕРДЦА
(57) Реферат:
Предлагаемое устройство относится к области медицинской техники, а именно к конструкции устройств для передачи электрокардиосигналов по радиоканалам, и может быть использовано в учреждениях практического здравоохранения, в том числе и в системе скорой помощи, в системе дистанционных консультативных центров. Устройство содержит электроды, предварительный усилитель, амплитудный модулятор, генератор высокой частоты, фазовый манипулятор, генератор модулирующего кода, усилитель мощности, передающую антенну, приемную антенну, блок перестройки, гетеродин, первый и второй смесители, первый и второй усилители промежуточной частоты, первый и второй фазовращатели на +90°, первый и второй сумматоры, первый и второй перемножители, первый, второй, третий и четвертый узкополосные фильтры, первый, второй, третий и четвертый амплитудные детекторы, второй, третий, четвертый и пятый ключи, первый, второй, третий и четвертый блоки обработки, элемент ИЛИ. Каждый блок обработки содержит микропроцессор, блок формирования сигнала тревоги, магнитный регистратор, блок звуковой сигнализации, обнаружитель, первую и вторую линии задержки, первый ключ, амплитудный ограничитель, синхронный детектор и фазовый детектор. Микропроцессор содержит блоки памяти нижнего и верхнего уровней, блок сравнения и первый пороговый блок. Обнаружитель содержит первый и второй измерители ширины спектра, удвоитель фазы, второй блок сравнения и второй пороговый блок. Устройство обеспечивает расширение диапазона рабочих частот без расширения диапазона частотной перестройки гетеродина путем использования дополнительных каналов приема. 5 ил.
Предлагаемое устройство относится к области медицинской техники, а именно к конструкции устройств для передачи электрокардиосигналов по радиоканалам, и может быть использовано в учреждениях практического здравоохранения, в том числе и в системе скорой помощи, в системе дистанционных консультативных центров.
Известны устройства для дистанционного слежения за деятельностью сердца и для диагностики заболеваний сердца (авт. свид. СССР №№776604, 1301376, 1311706, 1364298, 1377030, 1389751, 1409221, 1421303, 1535529, 1540800, 1641272, 1671264, 1725828, 1797856, 1811380, 1814538; патенты РФ №№2012225, 2012226, 2026636, 2028077, 2077864, 2080820, 2106798, 2108061, 2128004, 2181258, 2232545, 2242290, 2242291; патенты США №№3616790, 4022192, 4231374, 5002064; Кардиомониторы. Аппаратура непрерывного контроля ЭКГ. Под ред. Барановского А.Л. и др. М. Радио и связь, 1993 и другие).
Из известных устройств наиболее близким к предлагаемому является «Устройство для непрерывного слежения за деятельностью сердца» (патент РФ №2232545, AG1В 5/04, 2002), которое и выбрано в качестве прототипа.
Указанное устройство обеспечивает подавление дополнительных (зеркального и комбинационных) каналов.
Однако с точки зрения расширения диапазона рабочих частот целесообразно не подавлять, а использовать дополнительные каналы приема.
Технической задачей изобретения является расширение диапазона рабочих частот без расширения диапазона частотной перестройки гетеродина путем использования дополнительных каналов приема.
Поставленная задача решается тем, что устройство для дистанционного слежения за деятельностью сердца, содержащее в соответствии с ближайшим аналогом последовательно включенные электроды, предварительный усилитель, амплитудный модулятор, второй вход которого соединен с выходом генератора высокой частоты, фазовый манипулятор, второй вход которого соединен с выходом генератора модулирующего кода, усилитель мощности и передающую антенну, последовательно включенные приемную антенну, первый смеситель, второй вход которого через гетеродин соединен с выходом блока перестройки, и первый усилитель промежуточной частоты, последовательно подключенные к второму выходу гетеродина первый фазовращатель на +90°, второй смеситель, второй вход которого соединен с выходом приемной антенны, второй усилитель промежуточной частоты, второй фазовращатель на +90°, первый сумматор, второй вход которого соединен с выходом первого усилителя промежуточной частоты, первый перемножитель, второй вход которого соединен с выходом приемной антенны, первый узкополосный фильтр, первый амплитудный детектор и второй ключ, второй вход которого соединен с выходом первого сумматора, а выход подключен к входу первого блока обработки, который выполнен в виде последовательно включенных обнаружителя, второй вход которого через первую линию задержки соединен с его выходом, первого ключа, амплитудного ограничителя, синхронного детектора, второй вход которого соединен с выходом первого ключа, и микропроцессора, выполненного в виде первого блока сравнения, блоков памяти нижнего и верхнего уровней и регулируемого первого порогового блока, выход которого является выходом микропроцессора, входом которого является вход первого блока сравнения, который подключен соответственно к блокам памяти нижнего и верхнего уровней и к первому пороговому блоку, последовательно подключенные к выходу первого порогового блока микропроцессора блок формирования сигнала тревоги и блок звуковой сигнализации, последовательно подключенные к выходу амплитудного ограничителя вторая линия задержки, фазовый детектор, второй вход которого соединен с выходом амплитудного ограничителя, и магнитный регистратор, второй вход которого соединен с вторым выходом блока формирования сигнала тревоги, а третий – с выходом синхронного детектора, при этом первый вход обнаружителя и второй вход первого ключа объединены и являются входом блока обработки, выходом которого является выход обнаружителя, отличается от ближайшего аналога тем, что оно снабжено вторым, третьим и четвертым узкополосными фильтрами, вторым, третьим и четвертым амплитудными детекторами, третьим, четвертым и пятым ключами, вторым, третьим и четвертым блоками обработки, фазовращателем на -90° и элементом ИЛИ, причем выход первого блока обработки через элемент ИЛИ соединен с управляющим входом блока перестройки, к выходу первого перемножителя последовательно подключены второй узкополосный фильтр, второй амплитудный детектор, третий ключ, второй вход которого соединен с выходом первого сумматора, и второй блок обработки, выход которого соединен с вторым входом элемента ИЛИ, к выходу второго усилителя промежуточной частоты последовательно подключены фазовращатель на -90°, второй сумматор, второй вход которого соединен с выходом первого усилителя промежуточной частоты, второй перемножитель, второй вход которого соединен с выходом приемной антенны, третий узкополосный фильтр, третий амплитудный детектор, четвертый ключ, второй вход которого соединен с выходом второго сумматора, и третий блок обработки, выход которого соединен с третьим входом элемента ИЛИ, к выходу второго перемножителя последовательно подключены четвертый узкополосный фильтр, четвертый амплитудный детектор, пятый ключ, второй вход которого соединен с выходом второго сумматора, и четвертый блок обработки, выход которого соединен с четвертым входом элемента ИЛИ.
Структурная схема предлагаемого устройства представлена на фиг.1. Структурная схема блока обработки 43 (47, 54, 58) изображена на фиг.2. Структурная схема обнаружителя изображена на фиг.3. Частотная диаграмма, поясняющая процесс образования дополнительных каналов приема, представлена на фиг.4. Временные диаграммы, поясняющие принцип работы устройства, изображены на фиг.5.
Устройство содержит последовательно включенные электроды 1, предварительный усилитель 2, амплитудный модулятор 12, второй вход которого соединен с выходом генератора 11 высокой частоты, фазовый манипулятор 14, второй вход которого соединен с выходом генератора 13 модулирующего кода, усилитель 15 мощности и передающую антенну 16, последовательно включенные приемную антенну 17, первый смеситель 20, второй вход которого через гетеродин 19 соединен с выходом блока 18 перестройки, и первый усилитель 21 промежуточной частоты, последовательно подключенные к второму выходу гетеродина 19 первый фазовращатель 34 на +90°, второй смеситель 35, второй вход которого соединен с выходом приемной антенны 17, второй усилитель 36 промежуточной частоты, второй фазовращатель 37 на +90°, первый сумматор 38, второй вход которого соединен с выходом первого усилителя 21 промежуточной частоты, первый перемножитель 39, второй вход которого соединен с выходом приемной антенны 17, первый узкополосный фильтр 40, первый амплитудный детектор 41, второй ключ 42, второй вход которого соединен с выходом сумматора 38, первый блок 43 обработки и элемент ИЛИ 59, выход которого соединен с управляющим входом блока 18 перестройки, последовательно подключенные к выходу первого перемножителя 39 второй узкополосный фильтр 44, второй амплитудный детектор 45, третий ключ 46, второй вход которого соединен с выходом первого сумматора 38, и второй блок 47 обработки, выход которого соединен с вторым входом элемента ИЛИ 59, последовательно подключенные к выходу второго усилителя 36 промежуточной частоты фазовращатель 48 на -90°, второй сумматор 49, второй вход которого соединен с выходом первого усилителя 21 промежуточной частоты, второй перемножитель 50, второй вход которого соединен с выходом приемной антенны 17, третий узкополосный фильтр 51, третий амплитудный детектор 52, четвертый ключ 53, второй вход которого соединен с выходом второго сумматора 49, и третий блок 54 обработки, выход которого соединен с третьим входом элемента ИЛИ 59, последовательно подключенные к выходу второго перемножителя 50 четвертый узкополосный фильтр 55, четвертый амплитудный детектор 56, пятый ключ 57, второй вход которого соединен с выходом второго сумматора 49, и четвертый блок 58 обработки, выход которого соединен с четвертым входом элемента ИЛИ 59 (фиг.1).
Каждый блок 43 (47, 54, 58) обработки содержит последовательно включенные обнаружитель 22, второй вход которого через первую линию 23 задержки соединен с его выходом, первый ключ 24, амплитудный ограничитель 25, синхронный детектор 26, второй вход которого соединен с выходом первого ключа 24, и микропроцессор 3, выполненный в виде первого блока 5 сравнения, блоков памяти нижнего 4 и верхнего 6 уровней и регулируемого первого порогового блока 7, выход которого является выходом микропроцессора 3, входом которого является вход первого блока 5 сравнения, который подключен соответственно к блокам памяти нижнего 4 и верхнего 6 уровней и к первому пороговому блоку 7, последовательно подключенные к выходу первого порогового блока 7 микропроцессора 3 блок 8 формирования сигнала тревоги и блок 10 звуковой сигнализации, последовательно подключенные к выходу амплитудного ограничителя 25 вторую линию 27 задержки, фазовый детектор 28, второй вход которого соединен с выходом амплитудного ограничителя 25, и магнитный регистратор 9, второй вход которого соединен с вторым выходом блока 8 формирования сигнала тревоги, а третий – с выходом синхронного детектора 26, при этом первый вход обнаружителя 22 и второй вход первого ключа 24 объединены и являются входом блока 43 (47, 54, 58) обработки, выходом которого является выход обнаружителя 22 (фиг.2).
Обнаружитель 22 выполнен в виде последовательно включенных удвоителя 30 фазы, измерителя 31 ширины спектра второй гармоники частоты сигнала, второго блока 32 сравнения, второй вход которого соединен с выходом измерителя 29 ширины спектра сигнала, и второго порогового блока 33, управляющий вход которого соединен с выходом первой линии 23 задержки, а выход является выходом обнаружителя 22, при этом входы удвоителя 30 фазы и измерителя 29 ширины спектра сигнала объединены и являются входом обнаружителя 22 (фиг.3).
В качестве блока 18 перестройки используется генератор пилообразного напряжения. Его назначением является изменение частоты гетеродина 19 по линейному пилообразному закону. В этом случае супергетеродинный приемник называется панорамным приемником.
Устройство для дистанционного слежения за деятельностью сердца работает следующим образом.
Электроды 1 крепятся на наблюдаемом человеке (спортсмене, водителе транспорта, рабочем, пациенте с различными сердечно-сосудистыми нарушениями и заболеваниями и т.п.) в местах снятия ЭКГ, от которых в значительной степени зависит качество снимаемой электрокардиограммы. При этом возникают помехи, обусловленные физиологическими причинами (артефакты), и помехи, связанные с методическими моментами.
Помехи, обусловленные физиологическими причинами, зависят от биопотенциалов скелетных мышц и обычно считаются главными факторами, затрудняющими регистрацию биотоков сердца при активной мышечной деятельности. Для уменьшения указанных помех электроды 1 необходимо подключать в биполярных грудных отведениях. Это объясняется тем, что в области грудной клетки амплитуда ЭКГ имеет наибольшее значение, а грудные мышцы не принимают активного участия в двигательном процессе. Среди двухполюсных грудных отведений целесообразно использовать отведения Небо, при которых три электрода располагаются следующим образом.
Первый электрод располагается справа у места прикрепления III ребра к грудине. Второй – на уровне V ребра по левой среднеключистской линии. Третий электрод на уровне IV ребра по средней подмышечной линии слева. Система отведений Небо включает отведения:
А – между первым и вторым электродами;
Д – между первым и третьим электродами;
У – между вторым и третьим электродами.
Достоинством этих отведений является то, что они в определенной мере отражают биопотенциалы боковой и задней стенок сердца.
Помехи второй группы, связанные с методическими моментами, в принципе более существенны, и борьба с ними играет основную роль. К ним относятся помехи двоякого рода:
а) помехи от смещения электродов при толчках и сотрясениях, неизбежно возникающие в динамических условиях;
б) электрические помехи и искажения, имеющие подчас довольно сложную природу.
Смещение электродов вызывает помехи в связи с тем, что оно сопровождается кратковременным изменением переходного сопротивления между электродами и кожей.
Помехи электрического характера многообразны, причем все они выражаются тем значительнее, чем больше величина сопротивления переходного контакта между электродами и кожей.
Для борьбы с методическими помехами и искажениями необходимо:
а) стабилизировать величину переходного сопротивления;
б) сделать эту величину не только постоянной, но и возможно меньше.
Первое достигается либо применением чашечных электродов, заполняемых пастой и прикрепляемых к коже креолом и дополнительно лентами лейкопластыря, либо использованием жидкостных электродов – присосок. Последние обеспечивают повышенную надежность в связи с тем, что крепление производится комбинированным способом (приклеиванием клеем и присасыванием), а кроме того, жидкий электролит представляет абсолютную гомогенную контактную среду, свойства которой существенно не меняются при интенсивном потоотделении исследуемого.
Второе – снижение переходного сопротивления достигается путем комплексной обработки кожи по Водолазскому П.А., поскольку высокое электрическое сопротивление кожи обусловлено свойствами как рогового слоя эпидермиса, так и жировой смазкой. Обработка включает два этапа – осторожное снятие верхнего слоя эпидермиса путем протирания абразивной пастокой (мыльный крем с тонкомолотой пемзой в соотношении 4:1) и последующее очищение и обезжиривание кожи смесью Никифорова (спирт и эфир в соотношении 1:1).
Регистрируемый электродами 1 кардиосигнал m(t) (фиг.5, а), пройдя через предварительный усилитель 2, поступает на первый вход амплитудного модулятора 12, на второй вход которого подается высокочастотное колебание с выхода генератора 11 высокой частоты (фиг.5, б)
,
где U1, w1, 1, T1 – амплитуда, несущая частота, начальная фаза и длительность гармонического колебания.
На выходе амплитудного модулятора 12 образуется сигнал с амплитудной модуляцией (AM) (фиг.5, в)
,
где ;
К1 – коэффициент передачи амплитудного модулятора;
m(t) – модулирующая функция, отображающая закон амплитудной модуляции.
Сигнал с амплитудной модуляцией поступает на первый вход фазового манипулятора 14, на второй вход которого подается модулирующий код M(t) (фиг.5, г), в котором в цифровом виде содержатся краткие сведения о наблюдаемом человеке, например фамилия, имя, отчество, год рождения, профессия и т.п. На выходе фазового манипулятора 14 образуется сложный сигнал с комбинированной амплитудной модуляцией и фазовой манипуляцией (АМ-ФМн) (фиг.5, д)
,
где ;
К2 – коэффициент передачи фазового манипулятора;
– манипулируемая составляющая фазы, отображающая закон фазовой манипуляции в соответствии с модулирующим кодом M(t) (фиг.5, г), причем k(t)=const при k ээ и может изменяться скачком при t=k э, т.е. на границах между элементарными посылками (k=1, 2, …, N);
э, N – длительность и количество элементарных посылок, из которых составлен сигнал длительностью T1 (T1=N· э).
Данный сигнал после усиления в усилителе мощности 15 излучается передающей антенной 16 в эфир, улавливается приемной антенной 17 пункта контроля и поступает на первые входы смесителей 20 и 35, на вторые входы которых подаются напряжения гетеродина 19 соответственно:
,

где UГ, wГ, Г, Tn – амплитуда, начальная частота, начальная фаза и период повторения напряжения гетеродина;
– скорость изменения частоты гетеродина в заданном диапазоне частот.
Следует отметить, что поиск АМ-ФМн-сигналов наблюдаемых объектов в заданном диапазоне частот Дf осуществляется с помощью блока 18 перестройки, который периодически с периодом Tn по пилообразному закону изменяет частоту wГ гетеродина 19. В качестве блока 18 перестройки может использоваться генератор пилообразного напряжения.
На выходах смесителей 20 и 35 образуются напряжения комбинационных частот. Усилителями 21 и 36 выделяются напряжения промежуточной (разностной) частоты соответственно:

,
где ;
К3 – коэффициент передачи смесителей;
– промежуточная частота;
.
Эти напряжения представляют собой сложные сигналы с комбинированной амплитудной модуляцией, фазовой манипуляцией и линейной частотной модуляцией (АМ-ФМн-ЛУМ). Причем линейная частотная модуляция возникает принудительно за счет перестройки частоты гетеродина по линейному закону.
Напряжение uпр1(t) с выхода усилителя 21 промежуточной частоты поступает на первые входы сумматоров 38 и 49. Напряжение uпр2(t) с выхода усилителя 36 промежуточной частоты поступает на входы фазовращателей 37 и 48 на +90° и -90°, на выходах которых образуются следующие напряжения:


Напряжения uпр1(t) и uпр4(t), поступающие на два входа сумматора 49, на его выходе компенсируются.
Напряжения uпр1(t) и uпр3(t) поступают на два входа сумматора 38, на выходе которого образуется суммарное напряжение
,
где U =2Uпр,
которое поступает на второй вход перемножителя 39, на первый вход которого подается принимаемый сигнал u3(t). На выходе перемножителя 39 образуется гармоническое напряжение
,
где ;
K4 – коэффициент передачи перемножителя.
Частота настройки wн1 узкополосных фильтров 40 и 51 выбрана равной начальной частоте wГ гетеродина 19
wн1=wГ.
Частота настройки wн2 узкополосных фильтров 44 и 55 выбрана равной второй гармонике частоты гетеродина 19
wн2=2wГ.
Напряжение u4(t) выделяется узкополосным фильтром 40, детектируется амплитудным детектором 41 и поступает на управляющий вход ключа 42, открывая его.
В исходном состоянии ключи 24, 42, 46, 53 и 57 всегда закрыты.
При этом напряжение u (t) с выхода сумматора 38 через открытый ключ 42 поступает на вход первого блока 43 обработки, а именно на вход обнаружителя 22, состоящего из первого 29 и второго 31 измерителей спектра, удвоителя 30 фазы, блока 32 сравнения и порогового блока 33.
На выходе удвоителя 30 фазы образуется напряжение
,
где ;
К5 – коэффициент передачи удвоителя фазы, в котором фазовая манипуляция уже отсутствует.
В качестве удвоителя 30 фазы используется перемножитель, на два входа которого подается один и тот же сигнал.
Ширина спектра f2 второй гармоники частоты сигнала определяется длительностью T1 сигнала
f2=1/T1,
тогда как ширина спектра fc принимаемого сигнала определяется длительностью э его элементарных посылок
fс=1/ э,
т.е. ширина спектра f2 второй гармоники сигнала в N раз меньше ширины спектра входного сигнала
fc/ f2=N.
Следовательно, при умножении фазы АМ-ФМн-ЛУМ-сигнала на два его спектр «сворачивается» в N раз. Это обстоятельство и позволяет обнаружить входной сложный сигнал даже тогда, когда его мощность на входе панорамного приемника меньше мощности шумов и помех.
Ширина спектра fc входного сигнала измеряется с помощью измерителя 29, а ширина спектра f2 второй гармоники частоты сигнала измеряется с помощью измерителя 31. Напряжения Uc и U2, пропорциональные fc и f2 соответственно, с выходов измерителей 29 и 31 ширины спектра поступают на два входа блока 32 сравнения. Так как Uc>>U2, то на выходе блока 32 сравнения образуется положительный импульс, который сравнивается с пороговым напряжением Uпор в пороговом блоке 33. Пороговое напряжение Uпор превышается только при обнаружении АМ-ФМн-сигнала. При превышении порогового уровня Uпор в пороговом блоке 33 формируется постоянное напряжение, которое поступает на управляющий вход блока 18 перестройки через элемент ИЛИ 59, переводя его в режим остановки, на вход линии задержки 23 и на управляющий вход ключа 24, открывая его.
С этого момента времени просмотр заданного диапазона частот Дf и поиск АМ-ФМн-сигналов прекращается на время регистрации обнаруженного АМ-ФМн-сигнала, которое определяется временем задержки 1 линии задержки 23.
При прекращении перестройки гетеродина 19 на выходе сумматора 38 образуется напряжение
,
которое через открытые ключи 42 и 24 поступает на входы амплитудного ограничителя 25 и синхронного детектора 26. На выходе амплитудного ограничителя 25 образуется ФМн-сигнал (фиг.5, е)
,
где U0 – порог ограничения,
который поступает в качестве опорного напряжения на опорный вход синхронного детектора 26 и на входы линии 27 задержки и фазового детектора 28. В результате синхронного детектирования на выходе синхронного детектора 26 образуется низкочастотное напряжение (фиг.5, ж)
,
где ;
К6 – коэффициент передачи синхронного детектора;
пропорциональное исходному кардиосигналу m(t) (фиг.5, а).
Это напряжение поступает на вход блока 5 сравнения микропроцессора 3, в котором происходит сравнение регистрируемого сигнала конкретного пациента с установленными для нормального человека нижним и верхним предельно допустимыми уровнями, поступающими на блок 5 сравнения с блоков 4 и 6 памяти нижнего и верхнего уровней. При отклонении значения регистрируемого сигнала за предельно допустимые его величины срабатывает регулируемый пороговый блок 7, включая блок 10 звуковой сигнализации и магнитный регистратор 9. Последний осуществляет запись в течение 5-10 секунд и регистрацию патологического процесса на портативную кассету.
Линия 27 задержки и фазовый детектор 28 обеспечивают детектирование ФМн-сигнала u6(t) (фиг.5, е) методом относительной фазовой манипуляции, который свободен от явления «обратной работы». При этом время задержки 2 линии 27 задержки выбирается равной длительности э элементарных посылок ( 2= э) (фиг.5, з)
,
которое поступает на второй вход фазового детектора 28. На выходе последнего образуется низкочастотное напряжение (фиг.5, и)
,
где ;
K7 – коэффициент передачи фазового детектора,
пропорциональное модулирующему коду M(t) (фиг.5, г). Это напряжение фиксируется магнитным регистратором 9.
Следовательно, магнитный регистратор 9 обеспечивает регистрацию сведений о пациенте и его патологические данные о сердечно-сосудистой системе.
Время задержки 1 линии 23 задержки выбирается таким, чтобы можно было зафиксировать сведения о пациенте и его патологические данные о сердечно-сосудистой системе на магнитную кассету. По истечении этого времени напряжение с выхода линии 23 задержки поступает на вход сброса обнаружителя 22 (порогового блока 33) и сбрасывает его содержимое на нулевое значение. При этом блок 18 перестройки переводится в режим перестройки, а ключи 42 и 24 закрываются, т.е. переводятся в свои исходные состояния. С этого момента времени просмотр заданного частотного диапазона Дf и поиск АМ-ФМн-сигнала продолжается.
В случае обнаружения следующего АМ-ФМн-сигнала на другой несущей частоте, излучаемого другим наблюдаемым человеком, работа устройства происходит аналогичным образом.
Описанная выше работа устройства соответствует случаю приема АМ-ФМн-сигналов по основному каналу на частоте w1 (фиг.4).
Если АМ-ФМн-сигнал принимается по зеркальному каналу на частоте w3
,
то на выходе усилителей 21 и 36 промежуточной частоты образуются следующие напряжения соответственно:

,
где ;
– промежуточная частота;
.
Напряжение uпр5(t) с выхода усилителя 21 промежуточной частоты поступает на первые входы сумматоров 38 и 49. Напряжение uпр6(t) с выхода усилителя 36 промежуточной частоты поступает на входы фазовращателей 37 и 48 на +90° и -90°, на выходах которых образуются следующие напряжения:


Напряжения uпр5(t) и uпр7(t), поступающие на два входа сумматора 38, на его входе компенсируется.
Напряжения uпр5(t) и uпр8(t) поступают на два входа сумматора 49, на выходе которого образуется суммарное напряжение
,
где U 1=2Uпр5,
которое поступает на второй вход перемножителя 50, на первый вход которого подается принимаемый сигнал uз1(t). На выходе перемножителя 50 образуется гармоническое напряжение
,
где ;
которое выделяется узкополосным фильтром 51, детектируется амплитудным детектором 52 и поступает на управляющий вход ключа 53, открывая его. При этом напряжение u 1(t) с выхода сумматора 49 через открытый ключ 53 поступает на вход третьего блока 54 обработки, где обрабатывается так, как это описано выше.
Если АМ-ФМн-сигнал принимается по первому комбинационному каналу на частоте wk1,
,
то усилителями 21 и 36 промежуточной частоты выделяются следующие напряжения соответственно:

,
где ;
– промежуточная частота;
.
Напряжение uпр9(t) с выхода усилителя 21 промежуточной частоты поступает на первые входы сумматоров 38 и 49. Напряжение uпр10(t) с выхода усилителя 36 промежуточной частоты поступает на входы фазовращателей 37 и 48 на +90° и -90°, на выходах которых образуются следующие напряжения:


Напряжения uпр9(t) и uпр11(t), поступающие на два входа сумматора 38, на его выходе компенсируются.
Напряжения uпр9(t) и uпр12(t) поступают на два входа сумматора 49, на выходе которого образуется суммарное напряжение
,
где U 2=2Uпр9,
которое поступает на второй вход перемножителя 50, на первый вход которого подается принимаемый сигнал uk1(t) с выхода приемной антенны 17. На выходе перемножителя 50 образуется гармоническое напряжение
,
где ,
которое выделяется узкополосным фильтром 55, детектируется амплитудным детектором 56 и поступает на управляющий вход ключа 57, открывая его. При этом напряжение u 2(t) с выхода сумматора 49 через открытый ключ 57 поступает на вход четвертого блока 58 обработки, где обрабатывается так, как это описано выше.
Если АМ-ФМн-сигнал принимается по второму комбинационному каналу на частоте wk2
,
то усилителями 21 и 36 промежуточной частоты выделяются следующие напряжения соответственно:

,
где ;
– промежуточная частота;
.
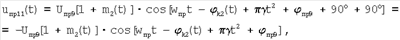
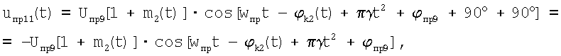
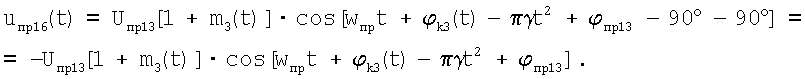
Напряжение uпр13(t) с выхода усилителя 21 промежуточной частоты поступает на первые входы сумматоров 38 и 49. Напряжение uпр14(t) с выхода усилителя 36 промежуточной частоты поступает на входы фазовращателей 37 и 48 на +90° и -90°, на выходах которых образуются следующие напряжения:


Напряжения uпр13(t) и uпр16(t), поступающие на два входа сумматора 49, на его выходе компенсируются.
Напряжения uпр13(t) и uпр15(t), поступают на два входа сумматора 38, на выходе которого образуется суммарное напряжение
,
где U 3=2Uпр13,
которое поступает на второй вход перемножителя 39, на первый вход которого подается принимаемый сигнал uk2(t) с выхода приемной антенны 17. На выходе перемножителя 39 образуется гармоническое напряжение
,
где ,
которое выделяется узкополосным фильтром 44, детектируется амплитудным детектором 45 и поступает на управляющий вход ключа 46, открывая его. При этом напряжение u 3(t) с выхода сумматора 38 через открытый ключ 46 поступает на вход второго блока 47 обработки, где обрабатывается так, как это описано выше.
Устройство может быть выполнено в модификациях, предназначенных для пациентов с различными сердечно-сосудистыми нарушениями (экстрасистолия, ишемическая болезнь сердца и т.п.) при этом в микропроцессор вводится эталонная информация, с которой осуществляется сравнение регистрируемых сигналов. Например, у больного с предрасположенностью к тахикардии будет отслеживаться частота сердечных циклов, число и форма экстрасистол, при ишемии миокарда программное устройство будет настроено на сравнении амплитуды, направленности и длительности зубцов и интервалов ЭКГ.
Таким образом, предлагаемое устройство по сравнению с прототипом обеспечивает расширение диапазона рабочих частот без расширения диапазона частотной перестройки гетеродина. Это достигается использованием дополнительных (зеркального и комбинационных) каналов приема.
Предлагаемое устройство обеспечивает дистанционное получение объективной информации о состоянии сердца в реальных условиях социально-производственной жизни, оперативно оповещает о появлении ранних объективных признаков острых сердечных нарушений и, следовательно, повышает эффективность терапевтических и реабилитационных мероприятий. При этом дистанционный контроль осуществляется одновременно за деятельностью сердца нескольких пациентов, радиосигналы которых используют различные частоты и модулирующие коды, которые передают по радиоканалам кроме кардиосигналов еще и короткие сведения о пациентах.
Устройство может быть использовано в профилактических кардиологических исследованиях, в практической работе с соответствующими больными, в спортивной медицине, авиакосмических полетах, в целях диагностики и предупреждения нарушений и отклонений сердечной деятельности у водителей автотранспорта.
Формула изобретения
Устройство для дистанционного слежения за деятельностью сердца, содержащее последовательно включенные электроды, предварительный усилитель, амплитудный модулятор, второй вход которого соединен с выходом генератора высокой частоты, фазовый манипулятор, второй вход которого соединен с выходом генератора модулирующего кода, усилитель мощности и передающую антенну, последовательно включенные приемную антенну, первый смеситель, второй вход которого через гетеродин соединен с выходом блока перестройки, и первый усилитель промежуточной частоты, последовательно подключенные к второму выходу гетеродина первый фазовращатель на +90°, второй смеситель, второй вход которого соединен с выходом приемной антенны, второй усилитель промежуточной частоты, второй фазовращатель на +90°, первый сумматор, второй вход которого соединен с выходом первого усилителя промежуточной частоты, первый перемножитель, второй вход которого соединен с выходом приемной антенны, первый узкополосный фильтр, первый амплитудный детектор и второй ключ, второй вход которого соединен с выходом первого сумматора, а выход подключен к входу первого блока обработки, который выполнен в виде последовательно включенных обнаружителя, второй вход которого через первую линию задержки соединен с его выходом, первого ключа, амплитудного ограничителя, синхронного детектора, второй вход которого соединен с выходом первого ключа, и микропроцессора, выполненного в виде первого блока сравнения, блоков памяти нижнего и верхнего уровней и регулируемого первого порогового блока, выход которого является выходом микропроцессора, входом которого является вход первого блока сравнения, который подключен соответственно к блокам памяти нижнего и верхнего уровней и к первому пороговому блоку, последовательно подключенные к выходу первого порогового блока микропроцессора, блок формирования сигнала тревоги и блок звуковой сигнализации, последовательно подключенные к выходу амплитудного ограничителя вторая линия задержки, фазовый детектор, второй вход которого соединен с выходом амплитудного ограничителя, и магнитный регистратор, второй вход которого соединен с вторым выходом блока формирования сигнала тревоги, а третий – с выходом синхронного детектора, при этом первый вход обнаружителя и второй вход первого ключа объединены и являются входом блока обработки, выходом которого является выход обнаружителя, отличающееся тем, что оно снабжено вторым, третьим и четвертым узкополосными фильтрами, вторым, третьим и четвертым амплитудными детекторами, третьим, четвертым и пятым ключами, вторым, третьим и четвертым блоками обработки, фазовращателем на -90° и элементом ИЛИ, причем выход первого блока обработки через элемент ИЛИ соединен с управляющим входом блока перестройки, к выходу первого перемножителя последовательно подключены второй узкополосный фильтр, второй амплитудный детектор, третий ключ, второй вход которого соединен с выходом первого сумматора, и второй блок обработки, выход которого соединен с вторым входом элемента ИЛИ, к выходу второго усилителя промежуточной частоты последовательно подключены фазовращатель на -90°, второй сумматор, второй вход которого соединен с выходом первого усилителя промежуточной частоты, второй перемножитель, второй вход которого соединен с выходом приемной антенны, третий узкополосный фильтр, третий амплитудный детектор, четвертый ключ, второй вход которого соединен с выходом второго сумматора, и третий блок обработки, выход которого соединен с третьим входом элемента ИЛИ, к выходу второго перемножителя последовательно подключены четвертый узкополосный фильтр, четвертый амплитудный детектор, пятый ключ, второй вход которого соединен с выходом второго сумматора, и четвертый блок обработки, выход которого соединен с четвертым входом элемента ИЛИ.
РИСУНКИ
MM4A – Досрочное прекращение действия патента СССР или патента Российской Федерации на изобретение из-за неуплаты в установленный срок пошлины за поддержание патента в силе
Дата прекращения действия патента: 25.08.2008
Извещение опубликовано: 27.07.2010 БИ: 21/2010
|
|