|
|
(21), (22) Заявка: 2006114231/12, 25.04.2006
(24) Дата начала отсчета срока действия патента:
25.04.2006
(46) Опубликовано: 10.03.2008
(56) Список документов, цитированных в отчете о поиске:
SU 978783 А, 09.12.1982. SU 501714 А, 15.07.1976. SU 290880 А, 16.02.1971. SE 411415 B, 27.12.1979.
Адрес для переписки:
163002, г.Архангельск, наб. Северной Двины, 17, Архангельский государственный технический университет №07, патентоведу
|
(72) Автор(ы):
Буров Сергей Сергеевич (RU), Буров Сергей Вячеславович (RU)
(73) Патентообладатель(и):
Государственное образовательное учреждение высшего профессионального образования Архангельский государственный технический университет Федерального агентства по образованию (Рособразование) (АГТУ) (RU)
|
(54) ЛЕСОЗАГОТОВИТЕЛЬНАЯ МАШИНА
(57) Реферат:
Лесозаготовительная машина содержит самоходное шасси с манипулятором и захватно-срезающее устройство. Машина снабжена тележкой, которая при помощи шарнирного многозвенника и телескопического гидроцилиндра соединена с самоходным шасси. Элементы шарнирного многозвенника, закрепленные на тележке, выполнены в виде опорных балок, по которым посредством каретки и с возможностью перемещения установлен манипулятор и захватно-срезающее устройство. В шарнирах многозвенника, расположенных вне самоходного шасси и тележки, установлены поворотные в вертикальной плоскости аутригеры. Технический результат – повышение производительности, расширение технологических возможностей, увеличение фронта повала деревьев с одной стоянки и обеспечение сохранения подроста. 6 ил.
Изобретение относится к машинам для заготовки леса и может быть использовано в лесной промышленности для сплошных и выборочных рубок, а также для прорубки трасс для строительства дорог и прокладки нефти- или газотрубопроводов.
Известна лесозаготовительная машина, включающая самоходное шасси, на раме которого смонтированы стрела с захватно-срезающим органом и пакетирующее-разгрузочное устройство, выполненное в виде двух приемников, установленных на противоположных сторонах рамы (авторское свидетельство №501714, МПК А01G 23/08).
Однако данная лесозаготовительная машина имеет ограниченные технологические возможности, ведет заготовку целых деревьев, не может осуществлять обрезку сучьев, раскряжевку, сортировку и пакетирование сортиментов.
Известна лесозаготовительная машина, включающая самоходное шасси с манипулятором, захватно-срезающее устройство, поворотную в горизонтальной плоскости опорную балку с гидрозахватом (авторское свидетельство №978783, МПК А01G 23/08 – прототип).
Однако данная лесозаготовительная машина имеет ограниченные возможности и в процессе работы должна при помощи опорной балки взаимодействовать с деревом.
Изобретение направлено на решение задачи повышения производительности в работе, расширения технологических возможностей машины, увеличения фронта повала деревьев с одной стоянки и обеспечения сохранения подроста.
Это достигается тем, что лесозаготовительная машина, содержащая самоходное шасси с манипулятором и захватно-срезающее устройство, согласно изобретению снабжена тележкой, которая при помощи шарнирного многозвенника и телескопического гидроцилиндра соединена с самоходным шасси, причем элементы шарнирного многозвенника, закрепленные на тележке, выполнены в виде опорных балок, по которым посредством каретки и с возможностью перемещения установлен манипулятор и захватно-срезающее устройство, а в шарнирах многозвенника, расположенных вне самоходного шасси и тележки, установлены поворотные в вертикальной плоскости аутригеры.
Изобретение иллюстрируется чертежами, где на фиг.1 изображена лесозаготовительная машина, вид сбоку; на фиг.2 – то же, вид сверху; на фиг.3 – расчетная схема; на фиг.4 – процесс лесозаготовок, сплошные рубки; на фиг.5 – процесс лесозаготовок, выборочные рубки; на фиг.6 – прорубка трасс для строительства дорог и прокладки нефти- или газотрубопроводов.
Лесозаготовительная машина содержит самоходное шасси 1, тележку 2, которая при помощи шарнирного многозвенника 3 и телескопического гидроцилиндра 4 соединена с самоходным шасси, манипулятор 5, захватно-срезающее устройство 6 и аутригеры 7. Элементы шарнирного многозвенника 3, закрепленные на тележке 2, выполнены в виде опорных балок, по которым перемещается каретка. Посредством телескопического гидроцилиндра 4 тележка 2 может перемещаться в сторону самоходного шасси 1 и обратно. При этом шарнирный многозвенник 3 будет иметь форму ромба. Опорные балки 8 предназначены для передвижения каретки 9 с манипулятором 5 и расширения зоны захвата при валке деревьев. В шарнирах многозвенника 3, расположенных вне самоходного шасси 1 и тележки 2, установлены поворотные в вертикальной плоскости аутригеры 7, которые предназначены для устойчивости работы манипулятора 5, расположенного на опорной балке 8. Передвижение манипулятора 5 по опорным балкам 8 осуществляется посредством каретки 9 с гидроприводом. На каретке 9 установлена поворотная колонна 10, на которой шарнирно закреплен манипулятор 5. Манипулятор 5 может при помощи гидроцилиндров 11 и 12 осуществлять перемещения в вертикальной плоскости и наводить захватно-срезающее устройство 6 на ствол дерева. Захватно-срезающее устройство 6 обеспечивает валку дерева, обрезку сучьев и раскряжевку ствола дерева на сортименты.
В зависимости от вида работ – сплошные рубки или прорубка трассы – ширина захвата В может изменяться, это осуществляется при помощи шарнирного многозвенника 3 и телескопического гидроцилиндра 4. В общем виде ширина захвата В определяется из следующего выражения:
B=(2hsin +2lм),
где lм – вылет манипулятора;
h – длина опорной балки;
– угол между продольной осью машины и опорной балкой.
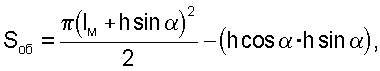
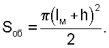
При значении =0 ширина захвата равна двум вылетам манипулятора. Площадь захвата с одной стоянки определяется по формуле

где используются аналогичные обозначения.
Примерная площадь, которую можно обработать с одной стоянки, определяется путем вычитания из половины площади круга (радиус равен R=(lм+hsin )) двух треугольников, образованных опорными балками. Данную площадь можно выбрать исходя из соответствующих параметров, изменяя их значение. Так, при =0 получается наименьшая обрабатываемая площадь:

А при =90 площадь, обрабатываемая с одной стоянки, имеет максимальное значение:

Зная численные значения параметров, можно подобрать необходимую ширину захвата и площадь, которую лесозаготовительная машина будет обрабатывать с одной стоянки.
Машина работает следующим образом.
Лесозаготовительная машина подъезжает к стене леса и в зависимости от технологии работы осуществляет следующие действия. При сплошной рубке леса (фиг.4) лесозаготовительная машина подъезжает задним ходом к стене леса и при помощи телескопического гидроцилиндра 4 перемещает тележку 2 в сторону самоходного шасси 1 (перевод из транспортного положения I в рабочее положение II). При этом шарнирный многозвенник 3 имеет форму ромба, а опорные балки 8 устанавливаются практически параллельно стене леса. Опускаются аутригеры 7. Оператор из кабины самоходного шасси 1 переходит к манипулятору 5 и осуществляет управление манипулятором 5 и захватно-срезающим устройством 6. В случае необходимости манипулятор перемещается по опорной балке 8 при помощи каретки 9. С одной стоянки осуществляется валка деревьев, обрезка сучьев, раскряжевка на сортименты и их пакетирование. Причем весь комплекс работ осуществляется с сохранением подроста, а пакеты 13 сортиментов укладываются так, чтобы они оказались ближе к колее лесозаготовительной машины и их удобно собирать и вывозить другой машиной – форвардер. После завершения валки и пакетирования сортиментов с одной стоянки поднимают аутригеры 7, лесозаготовительная машина продвигается в глубь леса и осуществляет весь комплекс работ, соответствующий следующей стоянке.
При выборочных рубках (фиг.5) лесозаготовительная машина не переводиться в рабочее положение II, а работает в транспортном положении I. Лесозаготовительная машина подходит задним ходом к стене леса, где имеется несколько деревьев, которые необходимо вырубить. Оператор переходит из кабины самоходного шасси 1 к манипулятору 5 и осуществляет валку нужных деревьев, обрезку сучьев, раскряжевку и пакетирование. Если в глубине леса имеются деревья, которые необходимо свалить, то можно прорубить узкий коридор для того, чтобы тележка 2 могла заехать в глубь леса и осуществляется валка нужных деревьев. Процесс повторяется по данной технологии.
При прорубке трасс (фиг.6) для строительства дорог и прокладки нефти- или газотрубопроводов (в зависимости от ширины необходимого коридора) лесозаготовительная машина подходит задним ходом к стене леса. И в зависимости от ширины вырубки леса шарнирный многозвенник 3 раздвигается на соответствующий размер при помощи телескопического гидроцилиндра 4. Выдвигаются аутригеры 7, оператор переходит из кабины самоходного шасси 1 и осуществляет управление манипулятором 5 и захватно-срезающим устройством 6. После завершения работ с одной стоянки лесозаготовительная машина продвигается дальше в лес и процесс продолжается.
Лесозаготовительная машина может осуществлять заготовку деревьев, хлыстов и сортиментов, а в процессе работы может производить сортировку древесины по породам (хвойные, лиственные) и по крупности.
Предлагаемая лесозаготовительная машина благодаря наличию шарнирного многозвенника может разрабатывать большую площадь с одной стоянки. Это обеспечивает повышение производительности в работе, расширение технологических возможностей машины, увеличение фронта повала деревьев с одной стоянки и обеспечение сохранения подроста. Представленные расчетные формулы позволяют выбрать необходимые параметры лесозаготовительной машины для обеспечения оптимальной ширины захвата и площади обработки леса с одной стоянки.
Формула изобретения
Лесозаготовительная машина, содержащая самоходное шасси с манипулятором и захватно-срезающее устройство, отличающаяся тем, что она снабжена тележкой, которая при помощи шарнирного многозвенника и телескопического гидроцилиндра соединена с самоходным шасси, причем элементы шарнирного многозвенника, закрепленные на тележке, выполнены в виде опорных балок, по которым посредством каретки и с возможностью перемещения установлен манипулятор и захватно-срезающее устройство, а в шарнирах многозвенника, расположенных вне самоходного шасси и тележки, установлены поворотные в вертикальной плоскости аутригеры.
РИСУНКИ
MM4A – Досрочное прекращение действия патента СССР или патента Российской Федерации на изобретение из-за неуплаты в установленный срок пошлины за поддержание патента в силе
Дата прекращения действия патента: 26.04.2008
Извещение опубликовано: 10.06.2010 БИ: 16/2010
|
|