|
|
(21), (22) Заявка: 2006109656/12, 27.03.2006
(24) Дата начала отсчета срока действия патента:
27.03.2006
(46) Опубликовано: 10.03.2008
(56) Список документов, цитированных в отчете о поиске:
SU 1099861 А, 30.06.1984. RU 2161391 С2, 10.01.2001. RU 2215388 C1, 10.11.2003. US 2201758 A, 21.05.1940.
Адрес для переписки:
410056, г.Саратов, ул. Советская, 60, Саратовский ГАУ им. Н.И. Вавилова, патентный отдел, к.218А
|
(72) Автор(ы):
Ивженко Станислав Андреевич (RU), Тарасенко Петр Владимирович (RU), Ивженко Андрей Станиславович (RU), Марадудин Алексей Максимович (RU), Ефименко Дмитрий Сергеевич (RU)
(73) Патентообладатель(и):
ФГОУ ВПО “Саратовский государственный аграрный университет им. Н.И. Вавилова” (RU)
|
(54) ПОЧВООБРАБАТЫВАЮЩЕПОСЕВНОЙ АГРЕГАТ
(57) Реферат:
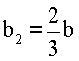
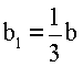
Почвообрабатывающепосевной агрегат содержит раму с самоустанавливающимся передним колесом и опорно-прикатывающими катками, гидросистему, два бункера для семян и туков, зерновые и туковые высевающие аппараты, семяпроводы, тукопроводы, лаповые сошники. На раме перед сошниками установлены щелерезы, за каждым из которых на раме установлено по два конусных катка, шнековый соломонаправитель, а также соломозаталкиватель, установленный последовательно за щелерезом в подшипнике рамы, причем за ними установлен тукопровод, снабженный наконечником. Передняя режущая часть стойки каждого щелереза имеет двухстороннюю асимметричную заточку под углом = , где – угол трения почвы о сталь щелереза. Углы наклона 1 и 2 образующих заточки к плоскости, проходящей через режущую кромку щелереза, равны между собой, и каждый из них составляет половину общего угла заточки . Режущая кромка стойки щелереза смещена от ее середины таким образом, что делит толщину стойки щелереза в пропорции , , где b – толщина щелереза, b1 и b2 – расстояния от режущей кромки стойки щелереза до плоскости ее правой и левой поверхностей соответственно. Предлагаемый почвообрабатывающепосевной агрегат обеспечивает комплексное выполнение нескольких агротехнических операций за один проход, что сокращает количество проходов по полю, улучшает экологическую обстановку, обеспечивает накопление и сохранение влаги в почве, позволяет повысить урожаи и снизить себестоимость получаемой продукции. 4 з.п. ф-лы, 8 ил.
Предлагаемое изобретение относится к сельскохозяйственному машиностроению, в частности к агрегату для комплексного выполнения нескольких операций за один проход с наиболее полным удовлетворением требований агротехники и экологии.
Близким устройством является конструкция комбинированной машины для мульчирующей обработки почвы (А.П.Спирин “Машины для мульчирования почвы растительными остатками”, Научные труды ВИМ, том №135, М. 2000. С.100…116). Данная комбинированная машина включает раму с двумя опорными колесами, двухсекционный ротор, почвообрабатывающие лапы, вычесывающие долота, ножи-щелерезы и дисковые катки. За один проход эта машина выполняет вычесывание стеблей и корней крупностеблевых растений, таких как кукуруза, подсолнечник и т.п.; их измельчение и разбрасывание по поверхности почвы; рыхление почвы на глубину 8…12 см и нарезание щелей на глубину 25…40 см. Разбросанные по поверхности измельченные стебли образуют мульчирующий слой, ведущий к сбережению влаги. Однако эта машина имеет ряд недостатков, а именно измельченные стебли не заделываются в щели, которые, оставаясь открытыми, не только не сохраняют влагу, но и способствуют еще большему иссушению почвы. Это особенно проявляется в засушливых зонах земледелия, кроме этого, данная машина не способна выполнять посев, внесение удобрений и т.д., что уменьшает комплексность выполнения агротехнических операций.
Наиболее близким техническим решением к предлагаемому изобретению (прототип) является конструкция стерневой сеялки СЗС-2,1М (И.Ф.Сергеев, Н.П.Сычугов “Сельскохозяйственные машины”, М.: “Агропродиздат”, 1986, с.80…90), которая предназначена для комплексного выполнения за один проход нескольких агротехнических операций, а именно предпосевную культивацию почвы, посев, внесение гранулированных минеральных удобрений и уплотнение почвы после посева. Данная конструкция предназначена для работы на стерневых почвах, подверженных ветровой эрозии, обеспечивает ликвидацию разрыва по времени между предпосевной культивацией и посевом, что ведет к сохранению влаги в почве и повышению урожайности.
К недостаткам данной конструкции относится то, что она не содержит устройств для щелевания почвы и заполнения их соломистой массой с минеральными удобрениями, что ведет к уменьшению накопления и удержания влаги в почве, снижению количества питательных веществ и, в конечном итоге, к снижению урожайности сельскохозяйственных культур.
Технической задачей является создание почвообрабатывающепосевного агрегата, обеспечивающего комплексное выполнение нескольких агротехнических операций за один проход, а именно нарезание щелей в почве; заполнение их уплотненной соломистой массой совместно с минеральными удобрениями; образование на поверхности почвы, прилегающей к каждой щели, уклонов в сторону щели; выполнение в межщелевом пространстве предпосевной культивации, посева и уплотнения почвы после посева, что сокращало бы количество проходов по полю и, следовательно, улучшало бы экологическую обстановку; обеспечивало бы накопление и сохранение влаги в почве с одновременным снабжением корневой системы культурных растений питательными веществами и создавало бы наиболее благоприятные условия для их развития и получения повышенных урожаев с удешевлением получаемой продукции, особенно в засушливых зонах земледелия и на склонных участках.
Решение технической задачи достигается почвообрабатывающепосевным агрегатом, содержащим раму с самоустанавливающимся передним колесом и опорно-прикатывающими катками, гидросистему, два бункера для семян и туков, зерновые и туковые высевающие аппараты, семяпроводы, тукопроводы, лаповые сошники, отличающимся тем, что на раме перед сошниками установлены щелерезы, за каждым из которых на раме установлено по два конусных катка, шнековый соломонаправитель, а также соломозаталкиватель, установленный последовательно за щелерезом в подшипнике рамы, причем за ними установлен тукопровод, снабженный наконечником, при этом передняя режущая часть стойки каждого щелереза имеет двухстороннюю асимметричную заточку под углом = , где – угол трения почвы о сталь щелереза, причем углы наклона 1 и 2 образующих заточки к плоскости, проходящей через режущую кромку щелереза, равны между собой и каждый из них составляет половину общего угла заточки ( 1= 2=0,5 ), и режущая кромка стойки щелереза смещена от ее середины таким образом, что делит толщину стойки щелереза в пропорции , , где b – толщина щелереза, b1 и b2 – расстояния от режущей кромки стойки щелереза до плоскости ее правой и левой поверхностей соответственно, два конусных катка установлены на валу, размещенном за тыльной стороной щелереза в подшипниках поводков, которые, в свою очередь, крепятся шарнирно на раме и снабжены пружинами и ограничителями, соломонаправитель имеет полуцилиндрический кожух с выбросным окном в средней его части и боковинами, которые жестко закреплены на тягах, установленных на раме с помощью подшипников и снабженных пружинами и ограничителями, причем боковины содержат подшипники, в которых установлен вал с двумя шнеками, имеющими противоположные навивки, а на концах вала, выходящих за пределы боковин кожуха, жестко закреплены приводные колеса с почвозацепами, при этом в нижней передней части обреза полуцилиндрического кожуха смонтирован в подшипниках валик, снабженный конусными пальцами с плавным переходом их во внутреннюю полость кожуха и имеющий приспособление для изменения угла наклона пальцев по отношению к горизонтальной поверхности обрабатываемой почвы, соломозаталкиватель снабжен пружиной и ограничителем, выполнен в виде полосы из пружинной стали шириною dп=0,7b, где b – толщина щелереза, причем полоса стали изогнута по кривой n, отвечающей в системе координат х и у отношению:

где Н=h1+h2,
h1 – установленная глубина хода щелереза,
h2 – установленное расстояние от поверхности почвы до центра подшипника соломозаталкивателя на раме, при этом наконечник тукопровода установлен таким образом, что его осевая линия наклонена к горизонтальной плоскости обрабатываемой поверхности почвы под углом   2, где 2 – угол трения соломы о стальную поверхность наконечника, причем наконечник имеет круглое сечение, плавно переходящее на выходе в форму эллипса, короткая ось которого расположена перпендикулярно установленному направлению движения агрегата и равна dэ=0,7b, где b – толщина щелереза.
В отличие от прототипа почвообрабатывающепосевной агрегат снабжен щелерезами, у каждого из которых передняя режущая часть стойки имеет двухстороннюю асимметричную заточку под углом = , где – угол трения почвы о сталь щелереза, причем углы наклона 1 и 2 образующих заточки к плоскости, проходящей через режущую кромку щелереза, равны между собой и каждый из них составляет половину общего угла заточки ( 1= 2=0,5 ), и режущая кромка стойки щелереза смещена от ее середины таким образом, что делит толщину стойки щелереза в пропорции , , где b – толщина щелереза, b1 и b2 – расстояния от режущей кромки стойки щелереза до плоскости ее правой и левой поверхностей соответственно.
Двухсторонняя заточка режущей части выполнена для того, чтобы при резании почвы и пожнивных остатков выполнялось уплотнение обеих стенок щели, так как это необходимо для более длительного ее функционирования, а асимметричная заточка необходима для того, чтобы исключалось забивание щелерезов, так как частицы почвы и пожнивных остатков при движении щелереза в почве имеют со стороны заточки большей длины более высокую относительную скорость по сравнению со скоростью частиц, перемещающихся по заточке меньшей длины. Благодаря такой разнице скоростей частиц с одной и другой стороны щелереза создаются условия для его самоочистки.
В отличие от прототипа два конусных катка установлены жестко на валу, размещенном за тыльной стороной щелереза в подшипниках подпружиненных поводков, закрепленных шарнирно на раме.
Конусные катки выполняют несколько функций, а именно: исключают вспучивание почвы после прохода щелереза и формируют по обеим сторонам щели наклонные поверхности почвы в сторону щели, что способствует стоку в них атмосферных осадков; уплотнению стенок щели, что необходимо для увеличения продолжительности ее функционирования; очищают щелерез от почвенных частиц и пожнивных остатков, что исключает сгруживание пожнивной массы и обеспечивает повышение надежности работы.
С помощью изменения натяжения пружин на тягах конусных катков регулируется давление их на почву, а с помощью ограничителей устанавливается нижний предел установки катков при работе. Кроме этого, ограничители используются при подъеме катков вместе с рамой в транспортное положение.
В отличие от прототипа предлагаемый агрегат снабжен соломонаправителями, соломозаталкивателями и тукораспределителями. Конструкция каждого соломонаправителя обеспечивает сгребание конусными пальцами измельченной соломистой массы, разбросанной по поверхности поля комбайнами. Поднятая пальцами соломистая масса направляется во внутрь кожуха, откуда она шнеками, приводимыми во вращение от приводных колес, транспортируется к выбросному окну и сбрасывается на поверхность почвы в область щели, образуя над щелью соломистый валок. Предлагаемая конструкция соломонаправителя позволяет изменять угол наклона пальцев поворотом валика в передней части кожуха, что обеспечивает подбор измельченной соломистой массы на необходимой высоте.
Для более надежного приведения во вращение вала шнеков приводные колеса снабжены почвозацепами, а натяжными пружинами изменяется давление приводных колес на почву и обеспечивается надежная передача вращения на вал со шнеками.
В отличие от прототипа почвообрабатывающепосевной агрегат снабжен соломозаталкивателями, которые крепятся на раме с помощью подшипников, и каждый из них снабжен пружиной и ограничителем. Изменением натяжения пружин обеспечивается плотность соломистой массы, заталкиваемой в почвенную щель, выполненную щелерезом, а каждый ограничитель обеспечивает необходимый сектор поворота соответствующего соломозаталкивателя и поднимает последний при выводе агрегата в транспортное положение. Каждый соломозаталкиватель выполнен в виде полосы из пружинной стали шириною dп=0,7b, где b – толщина щелереза, причем полоса стали изогнута по кривой n, отвечающей в системе координат x и y отношению:

где Н=h1+h2,
h1 – установленная глубина хода щелереза,
h2 – установленное расстояние от поверхности почвы до центра подшипника соломозаталкивателя на раме.
Кривая n подобрана таким образом, чтобы угол наклона касательной к любой точке кривой был меньше угла трения соломистой массы по стальной поверхности соломозаталкивателя ( 1< 1), что необходимо для того, чтобы соломистая масса, собранная с поверхности почвы и поданная шнеками через окно полуцилиндрического кожуха в область почвенной щели, не сгруживаясь, заталкивалась в щель на необходимую глубину с соответствующей плотностью, регулируемые пружиной и ограничителем. Соломистая масса, которая остается на поверхности, обеспечивает поверхностное мульчирование, что необходимо для удержания влаги в поверхностных слоях почвы.
В отличие от прототипа подача туков в каждую почвенную щель, заполненную уплотненной соломой, обеспечивается специальным туковысевающим устройством, состоящим из катушечного высевающего аппарата и тукопровода с наконечником, при этом наконечник тукопровода установлен таким образом, что его осевая линия наклонена к горизонтальной плоскости обрабатываемой поверхности почвы под углом   2, где 2 – угол трения соломы о стальную поверхность наконечника, причем наконечник имеет круглое сечение, плавно переходящее на выходе в форму эллипса, короткая ось которого расположена перпендикулярно установленному направлению движения агрегата и равна dэ=0,7b, где b – толщина щелереза. Круглое сечение в наконечнике плавно переходит в эллипсообразную форму для того, чтобы сохранялась площадь сечения, а следовательно, и пропускная способность и в то же время чтобы нижняя часть наконечника свободно перемещалась по щели. Это условие необходимо для того, чтобы туки попадали в щель независимо от внешних факторов (ветра и т.д.).
Одновременно с образованием щелей и заполнением их уплотненной соломистой массой с минеральными удобрениями щелевое пространство засевается семенами и туками лаповыми сошниками с последующим прикатыванием поверхности почвы.
Таким образом, представленная конструкция почвообрабатывающепосевного агрегата полностью решает поставленную техническую задачу, обеспечивая комплексное выполнение агротехнических операций за один проход, а именно: выполнение предпосевной культивации; посев; внесение туков в почву; нарезание и заполнение щелей собранной с поверхности уплотненной соломистой массой с минеральными удобрениями; образование уклонов в сторону каждой щели на поверхности почвы, прилегающей к ее стенкам; уплотнение поверхности почвы после посева.
Вышеперечисленные агротехнические операции обеспечивают ликвидацию разрыва во времени между культивацией и посевом, накопление влаги за счет выполненных уклонов и стока атмосферных осадков в щели с одновременным снабжением культурных растений органическим удобрением (перепревшая солома) и минеральными удобрениями, вносимыми с соломистой массой в щель.
Все это способствует созданию наиболее благоприятных условий для роста и развития культурных растений, получению повышенных урожаев, удешевлению продукции и наиболее полному удовлетворению требований экологии. Предлагаемое устройство за один проход способно заменить несколько отдельных машин по предпосевной культивации, посеву, внесению удобрений, щелеванию почвы, уплотнению поверхности почвы после посева и т.д., что многократно снижает повторность перекатывания колес машин по почве, улучшает экологию полей.
Новизна и оригинальность предлагаемой конструкции почвообрабатывающего посевного агрегата заключается в том, что он снабжен щелерезами, за каждым из которых на раме установлены по два конусных катка, соломонаправитель, соломозаталкиватель и по тукопроводу с наконечником, при этом передняя режущая часть каждого щелереза имеет двухстороннюю асимметричную заточку под углом = , где – угол трения почвы о сталь щелереза, причем углы наклона 1 и 2 образующих заточки к плоскости, проходящей через режущую кромку щелереза, равны между собой и каждый из них составляет половину общего угла заточки ( 1= 2=0,5 ), и режущая кромка стойки щелереза смещена от ее середины таким образом, что делит толщину стойки щелереза в пропорции , , где b – толщина щелереза, b1 и b2 – расстояния от режущей кромки стойки щелереза до плоскости ее правой и левой поверхностей, два конусных катка, установленных на валу, размещенном за тыльной стороной щелереза в подшипниках поводков, которые, в свою очередь, крепятся шарнирно на раме и снабжены пружинами и ограничителями, соломонаправитель имеет полуцилиндрический кожух с выбросным окном в средней его части и боковинами, которые жестко закреплены на тягах, установленных на раме с помощью подшипников и снабженных пружинами и ограничителями, причем боковины кожуха содержат подшипники, в которых установлен вал с двумя шнеками, имеющими противоположные навивки, а на концах вала, выходящих за пределы боковин кожуха, жестко закреплены приводные колеса с почвозацепами, при этом в нижней передней части обреза полуцилиндрического кожуха смонтирован в подшипниках валик, снабженный конусными пальцами с плавным переходом их во внутреннюю полость кожуха и имеющий приспособление для изменения угла наклона пальцев по отношению к горизонтальной поверхности обрабатываемой почвы, соломозаталкиватель установлен последовательно за щелерезом, конусными катками и соломонаправителем в подшипнике рамы, снабжен пружиной и ограничителем и выполнен в виде полосы из пружинной стали шириною dп=0,7b, где b – толщина щелереза, причем полоса стали изогнута по кривой n, отвечающей в системе координат x и y отношению:

где Н=h1+h2,
h1 – установленная глубина хода щелереза,
h2 – установленное расстояние от поверхности почвы до центра подшипника соломозаталкивателя на раме.
За соломозаталкивателем установлен наконечник тукопровода, имеющий круглое сечение, плавно переходящее на выходе в форму эллипса, короткая ось которого расположена перпендикулярно направлению движения агрегата и равна dэ=0,7b, где b – толщина щелереза.
На фиг.1 изображен почвообрабатывающепосевной агрегат, вид сбоку; на фиг.2 – то же, вид сверху; на фиг.3 – щелерез с конусными катками, вид сбоку; на фиг.4 – то же, вид сверху; на фиг.5 – сечение щелереза по А-А; на фиг.6 – соломонаправитель с соломозаталкивателем и тукопроводом, вид сбоку; на фиг.7 – то же, вид сверху; на фиг.8 – кривая n соломозаталкивателя в координатной системе x и y.
Почвообрабатывающепосевной агрегат содержит раму 1 с самоустанавливающимся передним колесом 2 и опорно-прикатывающими катками 3, гидроцилиндр 4 с рычажными механизмами 5, бункер для семян 6, бункер для туков 7, зерновые высевающие аппараты 8, туковые высевающие аппараты 9, тукосемяпроводы 10, лаповые сошники 11, щелерезы 12, за каждым щелерезом 12 установлено по два конусных катка 13, по одному соломонаправителю 14, соломозаталкивателю 15 и наконечнику 16 тукопровода 17.
Каждый щелерез 12 имеет двухстороннюю асимметричную заточку под углом = , где – угол трения почвы о сталь щелереза 12, причем углы наклона 1 и 2 образующих заточки к плоскости, проходящей через режущую кромку щелереза 12, равны между собой и каждый из них составляет половину общего угла заточки ( 1= 2=0,5 ), и режущая кромка 18 стойки щелереза 12 смещена от ее середины таким образом, что делит толщину стойки щелереза 12 в пропорции , , где b – толщина щелереза 12, b1 и b2 – расстояния от режущей кромки стойки щелереза 12 до плоскости ее правой и левой поверхностей соответственно. Конусные катки 13 установлены на валу 19, который смонтирован в подшипниках 20 поводков 21, которые, в свою очередь, крепятся на раме 1 в подшипниках 22 и содержат пружины 23 и ограничители 24. Каждый соломонаправитель 14 содержит полуцилиндрический кожух 25 с выбросным окном 26 в средней его части и двумя боковинами 27, которые жестко крепятся к тягам 28, установленным на раме 1 с помощью подшипников 29 и имеющим регулировочные пружины 30 и ограничители 31, причем боковины 27 снабжены подшипниками 32, в которых установлен вал 33 с двумя шнеками 34, имеющими противоположные навивки, а на концах вала 33, выходящих за пределы боковин 27, жестко установлены приводные колеса 35 с почвозацепами 36, при этом в нижней передней части обреза полуцилиндрического кожуха 25 смонтирован валик 37 с жестко закрепленными на нем конусными пальцами 38 и с приспособлением 39 для изменения угла наклона пальцев 38.
Соломозаталкиватель 15 крепится на раме 1 следом за щелерезом 12 с помощью подшипника 40, регулируемой пружины 41 и ограничителя 42 и представляет собой полосу из пружинной стали шириной dп=0,7b, где b – толщина щелереза 12, и изогнутую по кривой n, отвечающей в системе осей координат x и y отношению:

где Н=h1+h2,
h1 – установленная глубина хода щелереза 12,
h2 – установленное расстояние от поверхности почвы до оси подшипника 40.
Наконечник 16 тукопровода 17 установлен таким образом, что его осевая линия наклонена к горизонтальной плоскости обрабатываемой поверхности почвы под углом   2, где 2 – угол трения соломы о стальную поверхность наконечника 16, причем наконечник 16 имеет круглое сечение, плавно переходящее на выходе в форму эллипса, короткая ось которого расположена перпендикулярно установленному направлению движения агрегата и равна dэ=0,7b, где b – толщина щелереза 12.
Почвообрабатывающепосевной агрегат работает следующим образом. В момент начала движения агрегата по полю (со скоростью ) раму 1 опускают с помощью гидросистемы 4 и рычажных механизмов 5, при этом переднее самоустанавливающееся колесо 2 и опорно-прикатывающие катки 3 откатываются из-под рамы 1 до рабочего предела, включаются в работу высевающие зерновые аппараты 8 и туковысевающие аппараты 9, приводимые в действие от катков 3, входят в почву на необходимую глубину щелерезы 12 и лаповые сошники 11, опускаются и приводятся в работу конусные катки 13, соломонаправители 14, соломозаталкиватели 15 и тукопроводы 17 с наконечниками 16.
Щелерезы 12 прорезают в почве щели, причем забивание их исключается, так как каждый из них имеет двухстороннюю асимметричную заточку под углом = , где – угол трения почвы о сталь щелереза 12 ( =23-32°), причем углы наклона 1 и 2 образующих заточки к плоскости, проходящей через режущую кромку щелереза 12, равны между собой и каждый из них составляет половину общего угла заточки ( 1= 2=0,5 ), и режущая кромка стойки щелереза 12 смещена от ее середины таким образом, что делит толщину стойки щелереза 12 в пропорции , , где b – толщина щелереза 12, b1 и b2 – расстояния от режущей кромки стойки щелереза 12 до плоскости ее правой и левой поверхностей соответственно. Благодаря предлагаемой конструкции щелереза 12 частицы почвы и пожнивных остатков движутся по длинной заточке щелереза 12 с большей скоростью по сравнению со скоростью частиц, перемещающихся по противоположной заточке щелереза 12, так как частицы за одно и тоже время проходят разный путь, обеспечивая самоочистку щелереза 12.
Кроме этого перекатывающиеся конусные катки 13 очищают щелерез 12 от налипающих частиц. Уплотнение стенок почвенной щели, которое необходимо для увеличения срока их функционирования, достигается за счет двусторонней заточки щелереза 12 и использования конусных катков 13, которые, кроме уплотнения стенок и очистки щелереза 12, исключают вспучивание почвы после прохода щелереза 12 и образуют наклонные поверхности поля по обеим сторонам каждой щели, которые способствуют стоку атмосферных осадков в щели. Величина давления на почву со стороны катков 13 регулируется с помощью изменения натяжения пружин 23, а для ограничения давления катков 13 на почву и для подъема катков 13 при подъеме рамы 1 установлены ограничители 24. Следом за щелерезом 12 и катками 13 идут шнековые соломонаправители 25, которые предназначены для сбора и направления соломистой массы через выбросное окно 26 в область образованных щелей. По предлагаемой технологии солома во время уборки комбайнами измельчается и разбрасывается по поверхности почвы.
Сбор соломы с поверхности почвы выполняется конусными пальцами 38, которые направляют ее в полуцилиндрический кожух 25 со шнеками 34, которые, имея противоположные навивки и вращаясь от приводных колес 35, направляют солому к выбросному окну 26, через которое она сбрасывается на поверхность поля, образуя соломистый валок на выполненной почвенной щели.
Валик 37 с пальцами 38, установленный шарнирно в кожухе 25, имеет приспособление 39, с помощью которого изменяется угол наклона пальцев 38, обеспечивая возможность сбора соломы с разной высоты над поверхностью почвы, причем некоторый слой соломы специально оставляется на поверхности почвы для поверхностного мульчирования. Давление приводных колес 35 на почву регулируется изменением натяжения пружин 30, а для ограничения такого давления и для подъема соломонаправителей 25 при холостом ходе используются ограничители 31.
Для заталкивания соломистой массы в образованные щели используются соломозаталкиватели 15, которые установлены за щелерезами 12 и соломонаправителями 25, причем кривая n каждого соломозаталкивателя 15 подобрана такой формы, чтобы в любой точке соприкосновения ее с соломой касательная к кривой n была наклонена к горизонтали под углом, равным или меньшим углу трения соломы о стальную полосу 15.
Этим обеспечивается скольжение соломозаталкивателя по соломистой массе, исключая ее сгруживание и, в тоже время, выполняя заталкивание и уплотнение соломы в почвенную щель. Плотность соломистой массы, заталкиваемой в щель, регулируется с помощью регулировочной пружины 41, а ограничение глубины погружения в почвенную щель каждого соломозаталкивателя 15 и для подъема его при холостом ходе выполняется ограничителями 42.
Следом за каждым соломозаталкивателем 15 в верхней части щели установлен наконечник 16 тукопровода 17, через который поступают минеральные удобрения в почвенную щель, отобранные туковысевающим аппаратом 9 из бункера для туков 7.
Осевая линия наконечника 16 имеет угол наклона к горизонту меньше угла трения соломистой массы о сталь наконечника 16 для того, чтобы он скользил по соломе, не сгруживая ее перед собою, причем круглое сечение наконечника 16 плавно переходит на выходе в эллипс, у которого короткая ось расположена перпендикулярно направлению движения агрегата и равна dэ=0,7b, где b – толщина щелереза 12. Такая конструкция наконечника 16 обеспечивает сохранение площади сечения наконечника 16, а следовательно, и пропускную его способность и в то же время позволяет нижней (эллипсообразной) части свободно перемещаться внутри щели. Это условие необходимо для того, чтобы туки при движении агрегата попадали внутрь щели, заполненной соломой, независимо от внешних факторов, например ветра.
Данный почвообрабатывающепосевной агрегат, наряду с щелеванием почвы и заполнением их соломой с туками, выполняет сплошной подпочвенный посев с внесением минеральных удобрений и последующим прикатыванием засеянной площади.
Таким образом, предлагаемый почвообрабатывающепосевной агрегат заменяет одновременно целый набор машин, которые при обычной технологии используются для предпосевной культивации, посева, внесения минеральных удобрений, щелевания почвы, заполнения щелей органическими и минеральными удобрениями и для поверхностного послепосевного прикатывания. Данный агрегат наиболее полно удовлетворяет требованиям агротехники, снижает металлоемкость и расход горюче-смазочных материалов, уменьшает потребность людских и материальных ресурсов. Замена одним почвообрабатывающепосевным агрегатом целого комплекса машин во много раз снижает перекатывание по полю техники, что значительно уменьшает физическое воздействие их на почву и в более полной мере удовлетворяет требованиям экологии.
Формула изобретения
1. Почвообрабатывающепосевной агрегат, содержащий раму с самоустанавливающимся передним колесом и опорно-прикатывающими катками, гидросистему, два бункера для семян и туков, зерновые и туковые высевающие аппараты, семяпроводы, тукопроводы, лаповые сошники, отличающийся тем, что на раме перед сошниками установлены щелерезы, за каждым из которых на раме установлено по два конусных катка, шнековый соломонаправитель, а также соломозаталкиватель, установленный последовательно за щелерезом в подшипнике рамы, причем за ними установлен тукопровод, снабженный наконечником, при этом передняя режущая часть стойки каждого щелереза имеет двухстороннюю асимметричную заточку под углом = , где – угол трения почвы о сталь щелереза, причем углы наклона 1 и 2 образующих заточки к плоскости, проходящей через режущую кромку щелереза, равны между собой и каждый из них составляет половину общего угла заточки , и режущая кромка стойки щелереза смещена от ее середины таким образом, что делит толщину стойки щелереза в пропорции где b – толщина щелереза, b1 и b2 – расстояния от режущей кромки стойки щелереза до плоскости ее правой и левой поверхностей соответственно.
2. Почвообрабатывающепосевной агрегат по п.1, отличающийся тем, что конусные катки установлены на валу, размещенным за тыльной стороной щелереза в подшипниках поводков, которые в свою очередь закреплены шарнирно на раме и снабжены пружинами и ограничителями.
3. Почвообрабатывающепосевной агрегат по п.1, отличающийся тем, что соломонаправитель имеет полуцилиндрический кожух с выбросным окном в средней его части и боковинами, которые жестко закреплены на тягах, установленных на раме с помощью подшипников и снабженных пружинами и ограничителями, причем боковины кожуха содержат подшипники, в которых установлен вал с двумя шнеками, имеющими противоположные навивки, а на концах вала, выходящих за пределы боковин кожуха, жестко закреплены приводные колеса с почвозацепами, при этом в нижней передней части обреза полуцилиндрического кожуха смонтирован в подшипниках валик, снабженный конусными пальцами с плавным переходом их во внутреннюю полость кожуха и имеющий приспособление для изменения угла наклона пальцев по отношению к горизонтальной поверхности обрабатываемой почвы.
4. Почвообрабатывающепосевной агрегат по п.1, отличающийся тем, что соломозаталкиватель снабжен пружиной и ограничителем, выполнен в виде полосы из пружинной стали шириною dп=0,7b, где b – толщина щелереза, причем полоса стали изогнута по кривой n, отвечающей в системе координат х и у отношению

где H=h1+h2;
h1 – установленная глубина хода щелереза;
h2 – установленное расстояние от поверхности почвы до центра подшипника соломозаталкивателя на раме.
5. Почвообрабатывающепосевной агрегат по п.1, отличающийся тем, что наконечник тукопровода установлен таким образом, что его осевая линия наклонена к горизонтальной плоскости обрабатываемой поверхности почвы под углом   2 где 2 – угол трения соломы о стальную поверхность наконечника, причем наконечник имеет круглое сечение, плавно переходящее на выходе в форму эллипса, короткая ось которого расположена перпендикулярно установленному направлению движения агрегата и равна dэ=0,7b, где b – толщина щелереза.
РИСУНКИ
MM4A – Досрочное прекращение действия патента СССР или патента Российской Федерации на изобретение из-за неуплаты в установленный срок пошлины за поддержание патента в силе
Дата прекращения действия патента: 28.03.2008
Извещение опубликовано: 27.03.2010 БИ: 09/2010
|
|