|
(21), (22) Заявка: 2006122107/28, 20.06.2006
(24) Дата начала отсчета срока действия патента:
20.06.2006
(46) Опубликовано: 27.02.2008
(56) Список документов, цитированных в отчете о поиске:
SU 1169137 A, 23.07.1985. SU 1765780 A1, 30.09.1992. RU 2004134032 A, 20.06.2005. SU 1129540 A, 15.12.1984. RU 2230330 C2, 10.06.2004. SU 1352391 A1, 15.11.1987. SU 1781632 A1, 15.12.1992. US 3961262 A, 01.06.1976.
Адрес для переписки:
690059, г.Владивосток, ул. Верхнепортовая, 50А, ЦОПИС, МГУ им. Невельского
|
(72) Автор(ы):
Ри Бак Сон (RU)
(73) Патентообладатель(и):
Федеральное государственное образовательное учреждение высшего профессионального образования “Морской государственный университет имени адмирала Г.И. Невельского” (RU)
|
(54) ЧАСТОТНЫЙ ДЕТЕКТОР РАДИОЭЛЕКТРОННОЙ АППАРАТУРЫ
(57) Реферат:
Устройство включает в себя автогенератор, входной и выходной делители мощности, частотный детектор интерференционного типа, фазовращатель, амплитудный модулятор, кварцевый генератор сдвига, усилитель, два смесителе, два усилителя промежуточной частоты и фазовый детектор. Устройство работает следующим образом. Колебания автогенератора через два выхода входного делителя мощности поступают на сигнальный и опорный каналы. На сигнальный канал через частотный дискриминатор и фазовращатель на вход первого смесителя. Через опорный канал сигнал поступает на вход второго смесителя. Через третий выход входного делителя мощности сигнал поступает через амплитудный детектор и усилитель на вход выходного делителя мощности. С двух выходов выходного делителя мощности сигнал поступает на гетеродинные входы двух смесителей. При этом генератор сдвига соединен с модулирующими входами амплитудного модулятора. С выходов обоих смесителей преобразованные напряжения сигнального и опорного каналов поступают на сигнальный и опорный входы фазового детектора, выходное напряжение которого пропорционально измеряемым частотным флуктуациям. Выход фазового детектора имеет отвод подачи соответствующего напряжения за пределы схемы. Работа частотного детектора может осуществляться как с однополосным амплитудным модулятором, так и балансным амплитудным модулятором. Технический результат заключается в повышении чувствительности двухканального частотного детектора и увеличении диапазона перестройки промежуточной частоты. 3 ил.
Изобретение относится к области радиоэлектроники и предназначено для использования в радиоприемных и радиопередающих устройствах и радиоизмерительной технике.
Известна функциональная схема частотного детектора [см. Бычков С.И., Буренин Н.И., Сафаров Р.Т. Стабилизация частоты генераторов СВЧ – М.: Сов. радио, 1962. – С.240], содержащего двойной волноводный тройник, резонатор, фазовращатель, смеситель-модулятор, генератор сдвига, смеситель, усилитель промежуточной частоты, фазовый детектор. На вход Н двойного волноводного тройника частотного детектора, в боковые плечи которого включены фазовращатель, резонатор и смеситель, поступает квазигармоническое колебание исследуемого автогенератора СВЧ. Резонатор, настроенный на среднюю частоту исследуемого автогенератора СВЧ, преобразует частотные флуктуации во флуктуации фазы и отражает боковые шумовой модуляции. При отражении от резонатора происходит частичное подавление несущей и углубление флуктуации фазы, преобразованных из флуктуации частоты. Колебания, содержащие фазовые флуктуации, преобразованные из частотных флуктуаций, поступают через Е вход двойного волноводного тройника на смеситель-модулятор, а на модулирующий вход смесителя-модулятора – напряжения генератора сдвига. При точной настройке диодной секции смесителя-модулятора формируется балансно-модулированное колебание (БМК). При воздействии на смеситель БМК и колебания исследуемого генератора на его выходе появляются шумовые боковых колебаний разностной промежуточной частоты. Эти колебания с частотой, равной частоте генератора сдвига, через усилитель промежуточной частоты поступают на один из входов фазового детектора, а на другой вход – напряжение генератора сдвига. При этом на выходе фазового детектора появляется напряжение, пропорциональное измеряемым флуктуациям частоты. Основным недостатком известной схемы является относительно низкая чувствительность частотного детектора, обусловленная невозможностью глубокой компенсации несущей, происходящей при отражении колебания исследуемого автогенератора СВЧ от резонатора и низкие уровни составляющих БМК.
Колебание исследуемого автогенератора СВЧ, частотные флуктуации которого подлежат измерению, поступают через входной делитель мощности на входы сигнального и опорного измерительных каналов. Сигнальный канал содержит частотный дискриминатор интерференционного типа, фазовращатель, смеситель и усилитель промежуточной частоты, а опорный канал – смеситель и усилитель промежуточной частоты. На гетеродинные входы смесителей сигнального и опорного каналов поступают колебания гетеродина через выходной делитель мощности. Преобразованные колебания сигнального и опорного каналов усиливаются усилителями промежуточной частоты и поступают на сигнальный и опорный входы фазового детектора. На выходе фазового детектора выделяется напряжение низких частот, пропорциональное флуктуации разности фаз его входных напряжений, т.е. флуктуациям фазы (частоты) исследуемого автогенератора СВЧ. Этот частотный детектор по признаку того, что опорное колебание формируется с помощью второго СВЧ измерительного канала, а также по большинству признаков принят за прототип.
Этот известный частотный детектор уже имеет существенно лучшую чувствительность измерения флуктуаций фазы (частоты), поскольку в нем используется интерференционный частотный дискриминатор, в котором можно реализовать большую глубину компенсации несущей по сравнению с аналогом при прочих равных условиях. Недостатками известного частотного детектора являются: необходимость реализации высокого значения промежуточной частоты при широкой полосе пропускания обоих усилителей промежуточной частоты (УПЧ), что связано с ограничением области его применения. Это обусловлено уходами частоты исследуемого автогенератора СВЧ и гетеродина и невозможностью работы частотного детектора с низкими значениями промежуточной частоты (например, порядка сотни кГц) по отмеченной причине. При широкой полосе пропускания УПЧ всегда существует различие фазочастотных характеристик УПЧ обоих измерительных каналов. Поэтому появляется асимметричность преобразований флуктуаций частоты гетеродина во флуктуации фазы, являющаяся причиной дополнительной погрешности измерения и ухудшающая чувствительность измерения флуктуаций частоты, что весьма существенно. В свою очередь высокие значения промежуточной частоты, реализуемые в известной схеме частотного детектора, не позволяют использовать его в узкополосных измерительных системах, функционирующих на низких промежуточных частотах, что сужает область его применения.
Технической задачей, на решение которой направлено заявляемое изобретение, является устранение указанных недостатков, а именно повышение чувствительности измерения флуктуаций частоты и возможность перестройки значения промежуточной частоты в более широких пределах (десятки кГц – десятки МГц).
Поставленная задача достигается тем, что в известный частотный детектор радиоэлектронной аппаратуры, содержащий исследуемый автогенератор СВЧ и связанные входной и выходной делители мощности, частотный дискриминатор интерференционного типа, фазовращатель, смесители и усилители промежуточной частоты сигнального и опорного каналов и фазовый детектор, при этом, выход исследуемого автогенератора СВЧ подключен к входному делителю мощности, первый выход которого связан со входом частотного дискриминатора, последовательно связанного своим выходом, через фазовращатель, с первым входом смесителя сигнального канала, выход которого через усилитель промежуточной частоты соединен с сигнальным входом фазового детектора, а второй выход входного делителя мощности соединен с первым входом смесителя опорного канала, последовательно соединенного своим выходом через усилитель промежуточной частоты с опорным входом фазового детектора, имеющего выход за пределы схемы, причем один из выходов выходного делителя мощности соединен с гетеродинным входом смесителя сигнального канала, а другим своим выходом – с гетеродинным входом смесителя опорного канала, в отличие от него в заявляемый дополнительно введены амплитудный модулятор, кварцевый генератор сдвига, усилитель СВЧ, причем первый вход амплитудного модулятора соединен с третьем выходом входного делителя мощности, кварцевый генератор сдвига соединен с модулирующими входами амплитудного модулятора, а его выход через усилитель СВЧ соединен со входом выходного делителя мощности.
Совокупность заявляемых ограничительных и отличительных признаков позволяет решить поставленную техническую задачу – повысить чувствительность измерения флуктуаций частоты и существенно увеличить диапазон перестройки значения промежуточной частоты.
В заявляемом частотном детекторе радиоэлектронной аппаратуры, благодаря введению в нее амплитудного модулятора, кварцевого генератора сдвига, усилителя СВЧ значение промежуточной частоты равно точно частоте кварцевого генератора сдвига, путем изменения значения частоты последнего (ступенчато и плавно) можно изменять значение промежуточной частоты в широких пределах от десятков МГц до десятков кГц. Кроме того, использование кварцевого генератора сдвига со сверхнизкими уровнями частотных шумов существенно уменьшает погрешность измерения частотных флуктуаций, обусловленную различием фазочастотных характеристик УПЧ измерительных каналов. Следовательно, достоверность и чувствительность измерения заявляемого фазового детектора выше, чем у частотного детектора-прототипа.
Так достигается решение поставленной задачи.
Заявляемое решение поясняется следующими иллюстрациями.
На фиг.1 представлена функциональная схема заявляемого частотного детектора радиоэлектронной аппаратуры с иллюстрацией, действующих в схеме напряжений.
На фиг.2 представлен график преобразований измеряемых синусоидальных изменений фазы в детекторе.
На фиг.3 представлен график преобразований помеховых синусоидальных изменений фазы в детекторе.
Заявляемый частотный детектор радиоэлектронной схемы содержит: исследуемый автогенератор СВЧ 1; входной делитель мощности 2 с выходами I, II, III; частотный дискриминатор интерференционного типа 3; фазовращатель 4; амплитудный модулятор 5 с первым и модулирующими входами; кварцевый генератор сдвига 6 (ГС 6); усилитель СВЧ 7; выходной делитель мощности 8 с выходами I и II; смесители 9 и 10 сигнального и опорного каналов со входами 1 и гетеродинными входами; усилители промежуточной частоты 11 и 12 этих каналов; фазовый детектор 13 с сигнальным и опорным входами. При этом колебания исследуемого автогенератора СВЧ 1 через входной делитель мощности 2 поступают на вход частотного дискриминатора интерференционного типа 3, на первый вход смесителя опорного канала 10 и на первый вход амплитудного модулятора 5. Колебание исследуемого автогенератора СВЧ 1, прошедшее частотный дискриминатор 3, содержит дополнительные флуктуации фазы, преобразованные из флуктуаций частоты, после прохождения фазовращателя 4 поступает на вход 1 смесителя 9. Напряжения кварцевого генератора сдвига 6 поступают на модулирующие входы амплитудного модулятора 5, модулированное колебание которого через усилитель СВЧ 7 и выходной делитель мощности 8 воздействуют на гетеродинные входы смесителей сигнального и опорного каналов 9 и 10. Смесители 9 и 10 выполнены в составе перемножающих устройств ПУ 1 и ПУ 2, последовательно соединенных с полосовыми фильтрами ПФ 1 и ПФ 2 (не показано), а фазовый детектор 13 – аналогично с перемножающим устройством ПУ 3, соединенным последовательно с фильтром нижних частот ФНЧ (не показано). Амплитудный модулятор выполнен в виде однополосного амплитудного модулятора (ОАМ 5) либо балансного амплитудного модулятора (БАМ 5) (не показано). В ОАМ 5, выполненном в свою очередь на двойном волноводном тройнике и двух полупроводниковых диодах одинаковой полярности (не показано), напряжения кварцевого генератора сдвига 6 поступают на модуляторные диоды со сдвигом фазы на /2 (не показано). Кроме того, осуществляется дополнительный фазовый сдвиг на /2 с помощью отрезка волновода в самом амплитудном модуляторе 5 (не показано). В БАМ 5 на модуляторные диоды разной полярности (не показано) поступают синфазные напряжения кварцевого генератора сдвига 6.
Использование амплитудного модулятора 5 вида ОАМ.
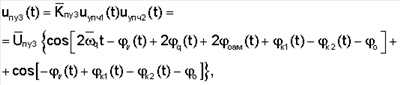
В этом случае на выходе смесителя 9 появляется преобразованное напряжение разностной промежуточной частоты, равной частоте кварцевого генератора сдвига 6. Полная фаза этого напряжения пропорциональна флуктуациям фазы, преобразованным частотным дискриминатором 3 из измеряемых флуктуаций частоты исследуемого автогенератора СВЧ 1, собственным флуктуациям фазы ГС 6, ОАМ 5 и усилителя СВЧ 7, флуктуациям фазы смесителя 9, УПЧ 11 и фазовому сдвигу 0, вносимому фазовращателем 4.
На выходе смесителя 10 появляется напряжение разностной частоты, равной частоте кварцевого генератора сдвига 6. Это напряжение, усиленное в УПЧ 12 и содержащее собственные флуктуации фазы ГС 6, ОАМ 5 и усилителя СВЧ 7, фазовые флуктуации смесителя 10 и УПЧ 12, поступает на опорный вход фазового детектора 13.
Следовательно, на выходе фазового детектора 13 возникает напряжение, пропорциональное флуктуациям разности фаз его входных напряжений, т.е. измеряемым флуктуациям фазы, преобразованным частотным дискриминатором 3 из измеряемых флуктуаций частоты исследуемого автогенератора СВЧ 1, собственным фазовым шумам смесителей 9, 10 и усилителей промежуточной частоты 11, 12 и фазового детектора 13. При этом собственные фазовые флуктуации ГС 6, ОАМ 5 и усилителя СВЧ 7, когерентно воздействующие на сигнальный и опорный входы фазового детектора, существенно ослабляются на его выходе (не меньше 20 дБ).
Использование амплитудного модулятора 5 вида БАМ.
Если используется БАМ 5, то на выходе смесителя 9 появляются составляющие напряжения разностной промежуточной частоты. Составляющие этого напряжения имеют частоту, равную частоте кварцевого генератора сдвига 6. Полные фазы преобразованных смесителем 9 составляющих напряжения пропорциональны противофазным измеряемым фазовым флуктуациям, преобразованным частотным дискриминатором 3 из флуктуаций частоты исследуемого автогенератора СВЧ 1, и собственным флуктуациям БАМ 5 и усилителя СВЧ 7, и противоположным фазовым сдвигам о и – о, вносимым фазовращателем 4.
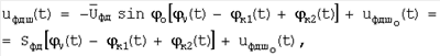
Напряжение усилителя промежуточной частоты 11, содержащее противофазные измеряемые флуктуации фазы и собственные флуктуации фазы колебания БАМ 5 и усилителя СВЧ 7, флуктуации фазы ГС 6, смесителя 9 и УПЧ 11, поступают на сигнальный вход фазового детектора 13.
На выходе смесителя 10 появляется опорное напряжение разностной частоты, равной частоте кварцевого генератора сдвига 6. Это напряжение, усиленное в УПЧ 12 и содержащее противофазные собственные флуктуации фазы БАМ 5 и усилителя СВЧ 7, фазовые флуктуации ГС 6, смесителя 10 и УПЧ 12, поступает на опорный вход фазового детектора 13.
Противофазные фазовые флуктуации, преобразованные частотным дискриминатором 3 из измеряемых флуктуаций частоты исследуемого автогенератора 1, и собственные флуктуации фазы колебания БАМ 5 и усилителя СВЧ 7 складываются в фазе (см. фиг.2), а синфазные собственные фазовые шумы кварцевого генератора сдвига 6 и вносимые собственные фазовые шумы смесителей и усилителей промежуточной частоты обоих каналов – вычитаются (см. фиг.3).
На фиг.2 наглядно представлен график преобразования измеряемых противофазных синусоидальных изменений фазы, происходящих в фазовом детекторе, описывающий новый механизм преобразования измеряемых изменений фаз входных напряжений в нем. С целью упрощения чертежей символами (t) и – (t) обозначены противофазные синусоидальные вариации фазы, а не изображения флуктуаций фазы, преобразованных частотным дискриминатором из частотных флуктуаций исследуемого автогенератора СВЧ, и фазовых флуктуаций БАМ 5 и усилителя СВЧ 7. В фазовом детекторе 13 противофазные фазовые вариации (t) и – (t) вызывают вариации напряжений фазового детектора 13 u(t), суммирующиеся на его выходе.
На фиг.3 наглядно представлен график преобразования помеховых синфазных синусоидальных изменений фазы, происходящих в фазовом детекторе, описывающий новый механизм преобразования помеховых синфазных изменений фазы (фазовых шумов смесителей 9 и 10 и усилителей промежуточной частоты 11 и 12) в нем. С целью упрощения чертежей символами (t) обозначены синфазные помеховые синусоидальные вариации фазы, а не изображения синфазных фазовых шумов смесителей 9 и 10 и усилителей промежуточной частоты 11 и 12. В фазовом детекторе 13 синфазные фазовые вариации (t) вызывают вариации напряжений фазового детектора u(t), вычитающиеся на его выходе.
Таким образом, на выходе фазового детектора возникает напряжение, пропорциональное флуктуациям разности фаз его входных напряжений, т.е. измеряемым флуктуациям фазы (частоты) и собственным флуктуациям фазы БАМ 5, усилителя СВЧ 7 и шумам фазового детектора 13, являющимися собственными шумами частотного детектора радиоэлектронной аппаратуры. При этом оптимальному режиму фазового детектирования (см. фиг.2) соответствует фазовый сдвиг о=± /2. В этом режиме отсутствует детектирование флуктуаций амплитуды фазовым детектором. Поэтому, при работе частотного детектора радиоэлектронной аппаратуры влиянием флуктуаций амплитуды его функциональных узлов возможно пренебречь (проявляются лишь, если о ± /2).
Заявляемый частотный детектор радиоэлектронной аппаратуры используют следующим образом:
1. В случае применения в схеме частотного детектора однополосного амплитудного модулятора 5 измеряемое напряжение выделяют на отводе – выходе схемы.
Колебание автогенератора 1 u(t) поступают на входы сигнального и опорного каналов. Напряжения u1(t) и u2(t) на входах I и II, u3(t) на гетеродинных входах смесителей 9 и 10 и напряжение генератора сдвига 6 uq(t) представлены в виде:





где , , , , – средние значения амплитуд напряжений u1(t), u2(t), u3(t), uq(t) в B;
t – текущее время в с;
и – средние значения круговых частот напряжений u1(t) и uq(t) в рад/с;
– флуктуации фазы исследуемого автогенератора 1 в рад;
(t) – флуктуации угловой частоты в рад/с;
 (t) – флуктуации фазы, преобразованные частотным дискриминатором из флуктуаций частоты (t), в рад;
3(t)= q(t)+ оам(t) – суммарные фазовые шумы в рад;
q(t) – фазовые шумы ГС 6 в рад;
оам(t) – фазовые шумы ОАМ 5 и усилителя СВЧ 7 в рад;
о – фазовый сдвиг, вносимый фазовращателем 4.
Поскольку смесители 9 и 10 (CM 1 и CM 2) выполнены с перемножающими устройствами ПУ 1 и ПУ 2, последовательно соединенными с полосовыми фильтрами ПФ 1 и ПФ 2, то выходные напряжения перемножающих устройств ПУ 1 и ПУ 2 смесителей 9 и 10 в В, с учетом пу1(t) и пу2(t) их собственных фазовых шумов в рад, представлены в следующем виде:


где и – средние значения коэффициентов передачи перемножающих устройств ПУ 1 и ПУ 2 смесителей 9 и 10 в 1/В;
– средние значения амплитуд выходных напряжений uпу1(t) и uпу2(t) в В.
Напряжения на выходах полосовых фильтров ПФ 1 и ПФ 2 смесителей 9 и 10 соответственно равны


где и – безразмерные средние значения коэффициентов передачи полосовых фильтров ПФ 1 и ПФ 2 смесителей 9 и 10;
и – средние значения амплитуд напряжений uсм1(t) и uсм2(t) в В.
Выходные напряжения усилителей промежуточной частоты 11 и 12, с учетом упч1(t) и упч2(t) их собственных фазовых шумов в рад, представлены в следующем виде:


где и – безразмерные средние значения коэффициентов усиления УПЧ 1 и УПЧ 2;
и – средние значения амплитуд напряжений uупч1(t) и uупч2(t) в B;
к1(t)= пу1(t)+ упч1(t) и к2(t)= пу2(t)+ упч2(t) – суммарные фазовые шумы сигнального и опорного каналов в рад.
Выходное напряжение перемножающего устройства ПУ 3 фазового детектора 13 в В представлено в виде

где – среднее значение коэффициента передачи перемножающего устройства ПУ 3 фазового детектора 13 в 1/В;
– среднее значение амплитуды напряжения uпу3(t) в В.
Учитывая малость фазовых шумов, т.е.  (t)- к1(t)+ к2(t)<<1, очевидно, что:
cos[ (t)- к1(t)+ к2(t)] 1,
sin[ (t)- к1(t)+ к2(t)]  (t)- к1(t)+ к2(t).
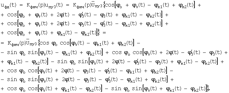
Тогда uфд(t) напряжение на выходе ФНЧ фазового детектора 13 в В будет представлено следующим образом:

где Кфнч(р) – безразмерный символический коэффициент передачи ФНЧ фазового детектора 13;
– среднее значение амплитуды напряжения uфд(t) в В;
– оператор дифференцирования в 1/с.
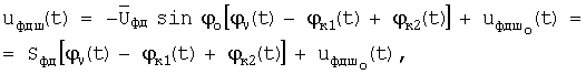
При этом среднее напряжение и шумовая составляющая напряжения фазового детектора 13 в В с учетом его собственных шумов в В равны


– крутизна фазового детектора в В/рад.
Если о= /2, a к1(t) к2(t) 0 и , то , и напряжение на выходе фазового детектора 13 максимально и прямо пропорционально фазовым шумам  (t), преобразованным частотным дискриминатором 3 из измеряемых частотных шумов (t) исследуемого автогенератора СВЧ.
Собственные шумы двухканального ЧМ (ФМ) детектора с ОАМ 5 и ГС 6 определяются фазовыми шумами к1(t) и к2(t) смесителей и усилителей промежуточной частоты сигнального и опорного каналов и собственными шумами фазового детектора. Фазовые шумы однополосного ОАМ 5 и ГС 6 вычитаются на выходе фазового детектора 13 так, как они когерентно воздействуют на оба его входа (в реальных условиях работы ФД они ослабляются не менее 20 дБ).
2. В случае использования в схеме частотного детектора балансного амплитудного модулятора 5 измеряемое напряжение выделяют на отводе – выходе схемы.
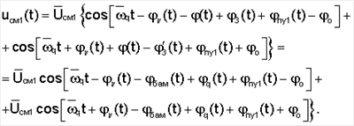
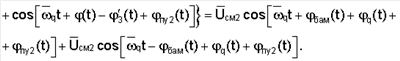
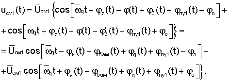
Колебание автогенератора 1 u(t) в В поступает на входы сигнального и опорного каналов. Напряжения, действующие на входах смесителей 9 и 10 (CM 1 и CM 2), представляются в виде следующих выражений:



где 3(t)= (t)+ бам(t)+ q(t) – суммарные фазовые шумы в рад;
‘3(t)= (t)+ бам(t)- q(t) – разностные фазовые шумы в рад;
бам(t) – фазовые шумы БАМ 5 и усилителя СВЧ 7.
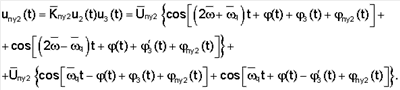
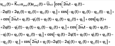
Напряжение на выходе перемножающего устройства ПУ 1 смесителя 9 (CM 1) сигнального канала uпу1(t) в В, с учетом пу1(t) его собственных фазовых шумов в рад представлено в следующем виде:

Напряжение на выходе полосового фильтра ПФ 1 смесителя 9 (CM 1) сигнального канала uсм1(t) в В равно

Напряжение на выходе перемножающего устройства ПУ 2 смесителя 10 (CM 2) опорного канала uпу2(t) в В, с учетом пу2(t) его собственных фазовых шумов в рад, представлено в следующем виде:

Выходное напряжение полосового фильтра ПФ 2 смесителя 10 (CM 2) опорного канала uсм2(t) в B равно


Напряжения на выходах усилителей промежуточной частоты 11 и 12 обоих каналов УПЧ 1 и УПЧ 2 uупч1(t) и uупч2(t) в B, с учетом упч1(t) и упч2(t) их собственных фазовых шумов в рад, представлены в следующем виде:


где и – средние значения амплитуд напряжений uупч1(t) и uупч2(t) в В,
и – средние значения безразмерных коэффициентов усиления усилителей промежуточной частоты 11 и 12 (УПЧ 1 и УПЧ 2).
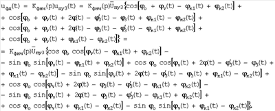
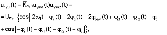
Напряжение на выходе перемножающего устройства ПУ 3 фазового детектора 13 uпу3(t) в В равно


Здесь к1(t)= пу1(t)+ упч1(t) – суммарные собственные фазовые шумы сигнального канала в рад;
к2(t)= пу2(t)+ упч2(t) – суммарные собственные фазовые шумы опорного канала в рад.
Тогда uфд(t) напряжение на выходе ФНЧ фазового детектора 13 в В с учетом фильтрующего действия символического коэффициента передачи Кфнч(р) будет представлено следующим образом:

Учитывая малость фазовых шумов, т.е.  (t)- к1+ к2(t)<<1, очевидно, что:
cos[ (t)- к1(t)+ к2(t)] 1,
sin[ (t)- к1(t)+ к2(t)]  (t)- к1(t)+ к2(t)
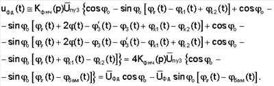
Тогда напряжение на выходе ФНЧ фазового детектора 13 в В будет представлено следующим образом:

Здесь – среднее значение амплитуды напряжения в В.
При этом, средняя и шумовая составляющие напряжения фазового детектора 13 и uфдш(t) в В с учетом его собственных шумов соответственно равны


где – крутизна фазового детектора 13 в В/рад.
Если о= /2, а бам(t) 0 и , то uфдш(t) Sфд (t) и напряжение на выходе фазового детектора 13 максимально и прямо пропорционально измеряемым фазовым шумам  (t), преобразованным частотным дискриминатором 3 из измеряемых частотных шумов v(t) исследуемого автогенератора СВЧ.
Из полученного вывода следует, что фазовые шумы пу1(t), пу2(t) и упч1(t), упч2(t) соответственно смесителей и усилителей промежуточной частоты сигнального и опорного каналов полностью вычитаются в двухканальном частотном детекторе. Это обусловлено преобразованием синфазных фазовых шумов на разных склонах детекторной характеристики, отличающихся только знаком ее крутизны, т.е. Sфд(+ о)=-Sфд(- о).
Таким образом, описание работы заявляемого частотного детектора с амплитудным модулятором и генератором сдвига позволят сделать следующие выводы:
1. Частотный детектор с амплитудным модулятором и генератором сдвига обладает более высокой достоверностью и чувствительностью, чем традиционное решение-прототип, и имеет значительно более широкий диапазон перестройки промежуточной частоты (десятки кГц – десятки МГц).
2. Частотные детекторы с ОАМ и БАМ и генератором сдвига при прочих равных условиях эквивалентны по чувствительности измерения флуктуаций частоты, если их собственные шумы тождественно равны, т.е.

3. В частотном детекторе с БАМ и генератором сдвига вскрыт новый механизм фазового детектирования, позволивший объяснить компенсацию собственных шумов СВЧ смесителей и усилителей промежуточной частоты сигнального и опорного каналов.
Формула изобретения
Частотный детектор радиоэлектронной аппаратуры, содержащий исследуемый автогенератор СВЧ и связанные между собой входной и выходной делители мощности, частотный дискриминатор интерференционного типа, фазовращатель, смесители и усилители промежуточной частоты сигнального и опорного каналов и фазовый детектор, при этом выход исследуемого автогенератора СВЧ подключен к входному делителю мощности, первый выход которого связан со входом частотного дискриминатора, последовательно связанного своим выходом через фазовращатель с первым входом смесителя сигнального канала, выход которого через усилитель промежуточной частоты соединен с сигнальным входом фазового детектора, а второй выход входного делителя мощности соединен с первым входом смесителя опорного канала, последовательно соединенного своим выходом через усилитель промежуточной частоты с опорным входом фазового детектора, имеющего выход за пределы схемы, причем выходной делитель мощности первым выходом соединен с гетеродинным входом смесителя сигнального канала, а вторым выходом соединен с гетеродинным входом смесителя опорного канала, отличающийся тем, что он дополнительно содержит амплитудный модулятор, кварцевый генератор сдвига, усилитель СВЧ, причем первый вход амплитудного модулятора соединен с третьим выходом входного делителя мощности, кварцевый генератор сдвига соединен с модулирующими входами амплитудного модулятора, а его выход через усилитель СВЧ соединен со входом выходного делителя мощности.
РИСУНКИ
|