|
(21), (22) Заявка: 2005132185/09, 18.10.2005
(24) Дата начала отсчета срока действия патента:
18.10.2005
(43) Дата публикации заявки: 27.04.2007
(46) Опубликовано: 27.02.2008
(56) Список документов, цитированных в отчете о поиске:
RU 2208890 C1, 20.07.2003. RU 2245598 C1, 27.01.2005. SU 566288 A1, 25.07.1977. US 6473319 B2, 04.07.2002.
Адрес для переписки:
117638, Москва, ул. Сивашская, 6-1-191, И.И. Петрову
|
(72) Автор(ы):
Александров Георгий Николаевич (RU)
(73) Патентообладатель(и):
Александров Георгий Николаевич (RU)
|
(54) СПОСОБ ПЕРЕДАЧИ ЭЛЕКТРОЭНЕРГИИ ПО КАБЕЛЬНЫМ ЛИНИЯМ
(57) Реферат:
Использование: в кабельной технике для передачи энергии на большие расстояния переменным током. Технический результат изобретения заключается в увеличении активного сечения токоведущей жилы кабеля переменного тока, уменьшении внешних габаритных размеров кабеля и обеспечении возможности передачи электроэнергии по кабельным линиям переменного тока на расстояния, превышающие сотни километров. Способ заключается в том, что электроэнергию передают на переменном токе по коаксиальному кабелю, токоведущая жила которого выполнена с кольцевым сечением, поперечные размеры которого выбирают определенным образом. 5 табл., 5 ил.
Изобретение относится к кабельной технике, к передаче энергии на большие расстояния переменным и постоянным токами.
Известны способы электроснабжения потребителей электроэнергетической системы, в которых электроэнергию переменного тока преобразуют в энергию постоянного тока, стабилизируют и выдают энергию на нагрузку (Патенты Российской Федерации, МПК Н02J 3/28, №2153752, 2000 г. и №2208890, 2003 г.).
Уровень техники передачи постоянного тока высокого напряжения описан в монографии “Power Transmission by Direct Current.” или “Передача энергии постоянным током” (Springer Velgar), 1975.
Возрастание передаваемой мощности по линии постоянного тока не сопровождается одновременным увеличением угла сдвига между напряжениями по концам линии, как для линии переменного тока.
Благодаря этому полностью снимаются понятия статистической и динамической устойчивости, характерные для электропередач переменного тока. Именно поэтому электропередачи постоянного тока рассматриваются как единственное средство для передачи больших мощностей на расстояния в тысячи километров.
Кроме того, независимость передаваемой мощности от частоты и угла сдвига между напряжениями по концам линий позволяет использовать передачу постоянного тока для связи систем, работающих с различной частотой или несинхронно.
Большое влияние на режим линий переменного тока оказывает зарядная мощность, обусловленная емкостной проводимостью линии. Для протяженных линий высокого и сверхвысокого напряжения большая зарядная мощность вызывает ряд нежелательных явлений – повышение напряжения сверх допустимых уровней в нормальных и синхронизационных режимах, загрузку генераторов и синхронных компенсаторов стекающей с линии реактивной мощностью и т.п. Это вызывает необходимость в применении средств поперечной компенсации, что в конечном итоге удорожает линию и усложняет ведение ее режима. Для кабельных линий большая зарядная мощность ограничивает их допустимую длину и снижает передаваемую активную мощность.
В линиях постоянного тока зарядная мощность отсутствует. Благодаря этому отпадает необходимость в применении средств поперечной компенсации на воздушных линиях, что положительно сказывается на их экономических показателях, а для кабельных линий снимаются ограничения по длине. Это в свою очередь позволяет сооружать кабельные линии постоянного тока большой длины (110 км и более). Считается, что кабельные линии постоянного тока целесообразно использовать для пересечения больших водных пространств, например морских проливов, когда другие средства транспорта электрической энергии оказываются неприемлемыми.
В 1950 г. была введена в работу первая опытно-промышленная передача Кашира-Москва с кабельной линией длиной около 100 км, мощностью 30 МВт и напряжением между полюсами 200 кВ. В 1954 г. была введена в эксплуатацию линия передачи постоянным током (ППТ) в Швеции. Эта ППТ связала однополюсной кабельной линией длиной 98 км, проложенной по дну Балтийского моря, остров Готланд с энергосистемой Швеции. Мощность передачи составляла 20 МВт, напряжение между полюсами и землей 100 кВ, роль второго полюса выполняла земля.
В дальнейшем началось интенсивное сооружение ППТ в разных странах. Были сооружены передачи: Волгоград – Донбасс (СССР), Тихоокеанская передача (США), связь энергосистем Англии и Франции через пролив Ла-Манш, электропередача Кабора – Баса, Южная Африка.
Построили линию электропередачи постоянного тока Экибастуз-Центр мощностью 6 тыс. МВт на расстояние 2400 км (В.А.Веников, Ю.П.Рыжов. Дальние передачи переменного и постоянного тока. Москва, Энергоатомиздат, 1985 г., с.161-162).
Пропускная способность кабельных линий определяется их натуральной мощностью, а возможность ее реализации – активным сечением токоведущей жилы.
Известен способ передачи электроэнергии на расстояние по коаксиальному кабелю, в котором электроэнергию переменного тока преобразуют в энергию постоянного тока, стабилизируют и выдают энергию на нагрузку (Патент Российской Федерации, МПК Н02J 3/28, №2208890, 2003 г. (прототип)).
Известный способ обладает рядом недостатков, а именно необходимость преобразований электроэнергии; ограниченность радиальных размеров кабеля; наличие сложной аппаратуры преобразования и стабилизации тока; высокие затраты на преобразования тока и при его отборе.
Предложенное изобретение устраняет указанные недостатки.
Техническим результатом данного изобретения является увеличение активного сечения токоведущей жилы кабеля переменного тока, согласование ее с реальной пропускной способностью кабельной линии, улучшение условий охлаждения кабеля, уменьшение внешних габаритных размеров кабеля, устранение ограничений на длину кабельных линий переменного тока, обеспечение передачи электроэнергии по кабельным линиям переменного тока на расстояния, превышающие сотни километров.
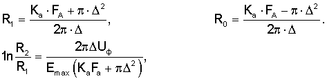
Технический результат достигается тем, что в способе передачи электроэнергии на расстояние по коаксиальному кабелю электроэнергию передают на переменном токе по коаксиальному кабелю, токоведущая жила которого выполнена с кольцевым сечением. Поперечные размеры сечения кабеля выбраны из условий:

где R1 – внешний радиус токоведущей жилы,
R0 – внутренний радиус кабеля, жилы,
=R1-R0 – толщина токоведущей жилы кабеля,
R2 – внешний радиус изоляции (внутренний радиус оболочки),
FA – активное сечение токоведущей жилы кабельной линии,
Ка=1/Кз, коэффициент заполнения сечения токоведущей жилы активным материалом,
Uф – наибольшее рабочее фазное напряжение кабеля,
Еmax – допустимая напряженность электрического поля в изоляции при наибольшем рабочем фазном напряжении кабеля.
Сущность изобретения поясняется на фиг.1-4 и в таблицах (1-5).
На фиг.1 приведены зависимости отношения активного тока к полному току на концах кабельной линии с регулируемыми реакторами от волновой длины линии при различных отношениях допустимого тока по уровню нагрева кабеля к натуральному току:
1 – отношение Iмакс/Iн=0,1; 2 – отношение Iмакс/Iн=0,2; 3 – отношение Iмакс/Iн=0,4; 4 – отношение Iмакс/Iн=0,6; 5 – отношение Iмакс/Iн =0,8; 6 – отношение Iмакс/Iн =0,9; 7 – отношение Iмакс/Iн =1,0…
На фиг.2 приведены зависимости предельной волновой длины кабельной линии от отношения допустимого по нагреву полного тока к натуральному току; при наличии регулируемой компенсации избыточной реактивной мощности на обоих концах кабельной линии (сплошные кривые); при отсутствии компенсации на приемном конце кабельной линии (штриховые кривые): где кривые 8 и 10 получены при Iа=0; а кривые 9 и 11 получены при Ia/Iмакс=0,9.
На фиг.3 (а) приведены зависимости отношения активного тока к полному току, допустимому по условию ограничения нагрева токоведущей жилы кабеля, от ее активного сечения для различных классов напряжения: 12 – напряжение 220 кВ; 13 – напряжение 330 кВ; 14 – напряжение 500 кВ; при волновой длине линии 0,628 рад.
На фиг.3 (б) приведены те же зависимости, при наличии УШР (управляемый шунтирующий реактор) на конце линии: 12 – напряжение 220кВ; 13, 14 – напряжение 330 кВ и 500 кВ; 15 – напряжение 750 кВ, 16 – напряжение 1150 кВ.
На фиг.4 приведены зависимости отношения необходимой мощности Q УШР к допустимой передаваемой мощности Рдоп от активного сечения токоведущей жилы кабелей оптимальной конструкции при допустимой плотности тока Jдоп=2 А/мм2 и разных классах напряжения: 17 – напряжение 220кВ; 18 – напряжение 330 кВ; 19 – напряжение 500 кВ; 20 – напряжение 750 кВ и 21 – напряжение 1150 кВ.
Рассмотрим существо способа передачи электроэнергии. При малых сечениях токоведущей жилы, когда допустимая по нагреву проводов передаваемая по кабелю мощность значительно меньше натуральной мощности кабельной линии (см. табл.1 и 2), возникают сложности обеспечения режима передачи электроэнергии.


Волновые сопротивления кабельных линий низки и уменьшаются при увеличении активного сечения FA токоведущей жилы, а при увеличении рабочего напряжения кабеля Z увеличиваются. При этом скорость распространения электромагнитной волны вдоль кабельных линий примерно в 1,5÷2 раза меньше, чем вдоль воздушных линий. Соответственно волновые длины кабельных линий в 1,5÷2 раза больше, чем воздушных, при одинаковой физической длине этих линий.
В табл.1 и табл. 2 приведены также значения натуральных токов кабельных линий и допустимых токов по нагреву проводов. Активное сечение FA токоведущей жилы кабельной линии определяется максимальным передаваемым по линии током IМАКС и допустимой плотностью тока в токоведущей жиле JДОП

Как видно, допустимые по нагреву проводов токи в кабельных линиях с обычными сечениями токоведущих жил значительно меньше натуральных токов тех же линий. При длине кабельной линии, равной волновой длине, максимальный ток во всех режимах от холостого хода до натурального тока протекает на обоих концах линии.
На холостом ходу кабельной линии по ее концам (по концам кабельной линии) протекает реактивный (емкостный) ток, а в режиме передачи натуральной мощности IМАКС=IН, т.е. во всех сечениях ток кабельной линии одинаков и реактивный ток отсутствует.
Во всех промежуточных режимах максимальный ток по концам кабельной линии определяется совокупностью активного и реактивного токов. При этом максимальный ток не может быть больше допустимого тока по нагреву кабеля.
Отношения IА/Iмакс в зависимости от волновой длины кабельных линий при различных отношениях IА/Iн приведены на фиг.1.
Передача электрической энергии по кабельным линиям возможна лишь до определенной их волновой длины, зависящей от отношения Iмакс/Iн, когда емкостный ток кабеля по концам линии достигает допустимого по условию ограничения нагрева кабеля. Причем чем больше отношение Iмакс/Iн, тем при большей длине кабельной линии возможна передача электрической энергии, поскольку при увеличении Iмакс/Iн уменьшается емкостная составляющая тока в линии.
При отношении Iмакс/Iн>0,5 предельная волновая длина линии превышает 0,95 рад, что для кабельной линии при частоте 50 Гц соответствует физической длине линии l=550 км. Однако при малых отношениях Iмакс/Iн, характерных для кабелей традиционной конструкции, допустимые длины кабельных линий значительно меньше.
При увеличении отношения Iмакс/Iн предельная волновая длина кабельной линии увеличивается, достигая ПР= /2 при Iмакс/Iн=1 (фиг.2), когда sin ПР=1. Для предельной волновой длины кабельной линии передача электроэнергии невозможна.
Более жесткое ограничение длины кабельных линий переменного тока можно получить исходя из ограничения отношения передаваемого активного тока к допустимому полному току по условию ограничения нагрева токоведущей жилы IА/Iмакс

При больших отношениях IА/Iмакс предельная волновая длина кабельной линии значительно меньше, чем при условии полного отсутствия активного тока. Однако при относительно больших сечениях токоведущей жилы кабеля, когда Iмакс близко к Iн, предельные волновые длины кабельных линий в обоих случаях близки (см.фиг.2, сплошные линии).
Диапазон изменения отношения IМАКС/IН для кабелей оптимальной конструкции ограничен пределами 0,5÷0,95 (значения вблизи верхнего предела характерны для кабелей высших классов напряжения). Соответствующие предельные волновые длины кабельных линий фиг.1 изменяются в пределах от 0,5 до 1,5 рад, что при частоте 50 Гц соответствует физическим длинам линий 288÷860 км. Необходимо заметить, что волновая длина кабельных линий ограничена так же, как и воздушных линий, требованием ограничения повышения напряжения на линии в режиме холостого хода Значения допустимой физической длины линий представлены в табл.3.
| Таблица 3 |
| Класс напряжения, кВ |
Предельная длина кабельной линии, lПР, км |
| без реактора на конце |
с реактором на конце |
| 50 Гц |
60 Гц |
50 Гц |
60Гц |
| 110-220 |
300 |
250 |
600 |
500 |
| 330 |
250 |
210 |
500 |
400 |
| 500-1150 |
180 |
150 |
362 |
300 |
Принимая ограничение волновых длин при наличии шунтирующего реактора на конце, можно получить зависимости отношения IА/Iмакс от активного сечения токоведущей жилы (фиг.3а и 3б).
Как видно из фиг.3 (а, б), при предельно допустимых длинах кабельных линий, при допустимом токе по условию ограничения нагрева токоведущей жилы Iмакс и при активном ее сечении FA>2000мм2 активная составляющая тока по концам кабелей достаточно велика и мало различается для разных классов напряжения. При FA<2000 мм2 это отношение значительно меньше и заметно различается для кабельных линий разных классов напряжения, особенно при учете различия допустимых волновых длин кабельных линий (фиг.3б). При большом активном сечении токоведущей жилы кабеля, когда допустимый по условию ограничения ее нагрева ток приближается к натуральному току кабельной линии, емкостный ток кабеля не ограничивает длину кабельной линии.
Более жестким является ограничение длины линии, связанное с повышением напряжения на линии в режиме ее холостого хода. Причем для кабельных линий это ограничение более жесткое, чем для воздушных, из-за пониженной скорости распространения электромагнитных волн вдоль кабельных линий.
Применение кабелей с неизменной толщиной проводящего слоя токоведущей жилы , допустимой по условию ограничения ее нагрева, снимает эти ограничения, необходимо лишь обеспечить достаточно большое отношение

Длина кабельной линии может быть увеличена при подключении к ней в промежуточных пунктах управляемых шунтирующих реакторов (УШР). В этом случае под ограниченной длиной кабельной линии согласно табл.3 следует понимать участок между двумя пунктами с управляемыми шунтирующими реакторами (УШР). При прокладке кабельных линий под водой такие промежуточные пункты могут быть организованы на островах или искусственных платформах.
При прокладке кабельных линий по суше создание промежуточных пунктов с УШР не сложнее, чем для воздушных линий.
Отношение необходимой мощности УШР к допустимой (предельной) передаваемой мощности равно:

Как видно, при заданной волновой длине кабельных линий отношение необходимой номинальной мощности УШР к предельной передаваемой мощности уменьшается при увеличении активного сечения токоведущей жилы кабелей (фиг.4).
Наиболее сильная зависимость характерна для классов напряжения 220 и 330 кВ. Для высших классов напряжения эта зависимость значительно слабее.
Принимая допустимую волновую длину участка линии между двумя УШР ДОП=0,628 рад, соответствующую физической длине линии lДОП=362 км при частоте 50 Гц, Jдоп=2 А/мм2, =15 мм и Емакс=8 кВ/мм, получаем следующие зависимости отношения необходимой номинальной мощности УШР к предельной передаваемой по кабелю мощности от физической длины линий при частоте 50 Гц (см. табл.4).

Как видно, увеличение класса напряжения кабелей приводит к уменьшению отношения необходимой мощности УШР к предельной передаваемой по линии мощности.
Снижение этого отношения достигается при максимальном активном сечении токоведущей жилы зоны оптимальных сечений (см. табл.5).

В последнем случае необходимая мощность УШР для передачи предельной мощности по кабельным линиям больше, чем по воздушным в основном из-за увеличения волновой длины кабельных линий по сравнению с воздушными при заданной физической длине линий.
Формула изобретения
Способ передачи электроэнергии на расстояние по коаксиальному кабелю с центральной токоведущей жилой, отличающийся тем, что электроэнергию передают на переменном токе по коаксиальному кабелю, токоведущая жила которого выполнена с кольцевым сечением, а поперечные размеры сечения кабеля выбраны из условий

где R1 – внешний радиус токоведущей жилы;
R0 – внутренний радиус кабеля, жилы;
=R1-R0 – толщина токоведущей жилы кабеля;
R2 – внешний радиус изоляции (внутренний радиус оболочки);
Fa – активное сечение токоведущей жилы кабельной линии;
Ка – коэффициент заполнения сечения токоведущей жилы активным материалом;
Uф – наибольшее рабочее фазное напряжение кабеля;
Emax – допустимая напряженность электрического поля в изоляции при наибольшем рабочем фазном напряжении кабеля.
РИСУНКИ
|