|
|
(21), (22) Заявка: 2006124114/09, 05.07.2006
(24) Дата начала отсчета срока действия патента:
05.07.2006
(46) Опубликовано: 27.02.2008
(56) Список документов, цитированных в отчете о поиске:
RU 2271570 C1, 10.03.2006. RU 2256226 C2, 10.07.2005. RU 2237274 C2, 27.09.2004. SU 1287152 A1, 30.01.1987. DE 19917957 A1, 26.10.2000. US 6243490 А, 05.06.2001.
Адрес для переписки:
355017, г.Ставрополь, ул. Артема, 2, СВИС РВ, НИО
|
(72) Автор(ы):
Червяков Николай Иванович (RU), Кондрашов Александр Владимирович (RU), Сляднев Виталий Викторович (RU), Лавриненко Антон Викторович (RU)
(73) Патентообладатель(и):
Ставропольский военный институт связи ракетных войск (RU)
|
(54) НЕЙРОННАЯ СЕТЬ ДЛЯ ДЕЛЕНИЯ ЧИСЕЛ, ПРЕДСТАВЛЕННЫХ В СИСТЕМЕ ОСТАТОЧНЫХ КЛАССОВ
(57) Реферат:
Изобретение относится к вычислительным модулярным нейрокомпьютерным системам. Техническим результатом является расширение функциональных возможностей, повышение скорости деления и уменьшение объема оборудования. Нейронная сеть содержит входной слой нейронов, на входы которых поступают остатки делимого числа по системе модулей, (n-1) нейронных сетей конечного кольца для суммирования, (n-1) нейронных сетей конечного кольца для умножения, нейронную сеть для расширения кортежа числовой системы вычетов, выходом нейронной сети для деления чисел, представленных в системе остаточных классов, являются выходы нейронной сети конечного кольца для умножения и выход нейронной сети для расширения кортежа числовой системы вычетов. 1 ил.
Изобретение относится к вычислительным модулярным нейрокомпьютерным системам и предназначено для выполнения операции деления над числами, представленными в системе остаточных классов (СОК).
Недостатком данного устройства является большой объем оборудования и низкая скорость деления чисел.
Наиболее близким к данному изобретению техническим решением является устройство, представленное в виде “Нейронной сети для округления и масштабирования чисел, представленных и системе остаточных классов” (Патент RU №2271570, G06F 3/04, опубликован 10.03.2006, бюл. №7), содержащее входной слой нейронов, нейронную сеть конечного кольца (НСКК) определения ранга числа, нейронную сеть конечного кольца вычисления остатка по основанию n+1, n нейронных сетей конечного кольца вычисления масштабированного числа.
Недостатком устройства является большой объем оборудования и низкая скорость округления.
Однако такие нейронные сети предназначены для округления и масштабирования чисел, представленных в системе остаточных классов.
Целью данного изобретения является расширение возможностей известной нейронной сети для выполнения операции деления чисел, повышения скорости деления и уменьшения объема оборудования.
Поставленная цель достигается тем, что в нейронную сеть введена нейронная сеть для расширения кортежа числовой системы вычетов. Таким образом, нейронная сеть для деления чисел, представленных в системе остаточных классов будет состоять из входного слоя 2 с нейронами 7, (n-1) нейронных сетей конечного кольца (НСКК) для суммирования 3 с весовыми коэффициентами w 8, (n-1) НСКК для умножения 4 с весовыми коэффициентами wi 7, равными , нейронной сети для расширения кортежа числовой системы вычетов 5 (описание изобретения к патенту RU 2256226(13) С2, G06N 3/04, опубликовано 10.03.2005, бюл. 19), входа 1 и выхода 6.
В связи с тем, что модулярная арифметика целочисленная, то при вычислениях промежуточные значения операндов могут переполнять динамический диапазон. Подобная проблема может возникнуть и в традиционных компьютерах, если они оперируют с целыми числами. Во избежание переполнения надо промасштабировать (уменьшить) значения операндов. Промасштабированные величины затем используются в следующих итерациях. Это означает, что операция масштабирования должна применяться к данным с использованием заранее заданной константы, которая округляется до ближайшего целого. Все эти операции связаны с операцией деления.
Деление в модулярной арифметике относится к немодульным операциям и является одной из важнейших операций в модулярной компьютерной арифметике, так как лежит в основе многих других операций и входит в состав операций вычислительных алгоритмов.
Операцию деления в СОК можно отнести к одной из трех различных форм:
1. Деление с нулевым остатком.
2. Округление и масштабирование.
3. Основное деление.
Рассмотрим все основные формы модулярного деления.
При делении с нулевым остатком известно, что делимое представляет собой целое число, кратное делителю, а также известно, что делитель и Р являются взаимно простыми. Эта категория имеет ограниченную область использования, поскольку должно быть известно априори, удовлетворены ли условия, необходимые для осуществления операции.
Если а делится на b без остатка, и наибольший общий делитель (НОД) величин а и b равен 1, то

для всех pi, где – мультипликативная обратная к b величина, взятая по модулю pi.
Если b не делит a, то величина не является целой и выражение не определено. Следовательно, (1) не имеет смысла.
Пример 1. Деление с нулевым остатком.
Для модулей p1=29, p2=32 и p3=31 разделим число 1872 на 9.
Решение. Остаточное представление 1872 – это (16, 16, 12). Остаточное представление 9 это – (9, 9, 9), тогда для 1872/9=208 остаточный код

С другой стороны, если мы делим 1873 на 9 (1873 не делится на 9 без остатка), то получим
1873 (17, 17, 13)·(13, 25, 7)=(18, 9, 29) 6601, что абсолютно неправильно.
Рассмотрим теперь случай, когда при делении и масштабировании делимое является произвольным, а делителем может быть любой сомножитель Р, представляющий собой произведение первых степеней некоторых модулей. Это деление аналогично делению на степень числа 2 в двоичной арифметике в том смысле, что деление на числа, принадлежащие определенному ограниченному множеству, выполняется быстрее, чем деление на произвольный делитель. Деление в любой целочисленной системе счисления определяется формулой , где а представляет собой делимое, b – делитель, – целая часть отношения а к b (частное), а – остаток (наименьший целый положительный остаток). Целью алгоритма деления является нахождение для значении b из ограниченной области. Заметим, что . Следовательно, в системе вычетов представляется величинами , где принимают целые значения. Если b совпадает с одним из pi или является произведением первых степеней некоторых модулей pi, то можно найти. Тогда, согласно (1), используемой в форме деления с нулевым остатком, для всех i, для которых НОД величин pi и b равен 1, можно получить

Это уравнение задает цифры системы вычетов для для всех таких цифр, что МОД величин pi и b равен 1. Остальные цифры могут быть найдены с помощью метода расширения базы. Таким образом, алгоритм деления состоит из двух этапов:
1. Деление с нулевым остатком.
2. Расширение базы.
Процесс деления покажем числовым примером.
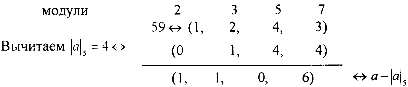
Пример 2. Деление положительного числа единичным модулем. Для модулей р1=2, р2=3, p3=5 и р4=7 определим остаточное представление значения целого числа . Пусть а имеет остаточный код (1, 2, 4, 3) 59, В качестве делителя используется модуль p3.
Решение. Сначала определим остаточное представление числа, которое делится на 5 и является ближайшим целым к а, не превышающим а, то есть . Это можно найти путем вычитания остатка а по модулю 5.

Результат делится на 5 кроме модуля p3, который сам является делителем. Все модули простые по отношению к делителю. Применяем метод деления с нулевым остатком, при этом остаточную цифру по модулю 5 временно игнорируем.

Исходный интервал определения для всего набора модулей был равен [0-209], а оказался в интервале [0-41], поэтому остаточное представление (1, 2, -, 4) не ясно. Остаток по модулю 5 может быть найден путем расширения базы. Это можно сделать методом Гарнера (последовательный метод) или предлагаемому в данной работе (параллельным методом). Для этого остаток по модулю 5 примем за 0 в первом случае и за – во втором.

В методе Гарнера для замены вычитания сложением необходимо использовать дополнительный код, при этом для вычитания необходимо две операции Выигрыш предложенного метода оценивается как 
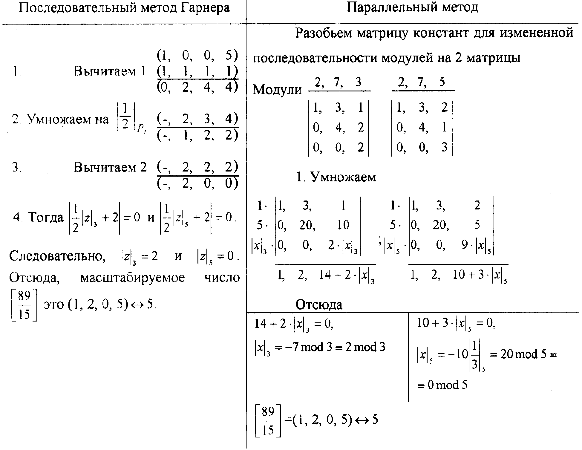
Пример 3. Деление положительного числа несколькими модулями.
В примере 2 делителем был только один модуль. В примере 3 делителем является произведение двух модулей, а именно 3×5=15. Вначале делим на 3 и полученное частное является новым делимым для делителя, равного 5, деление на 5 выдает значения целого числа частного. Для завершения операции деления необходимо выполнить операцию расширения базы. Изменение последовательности деления сначала выполнить деление на 5, а затем на 3 не меняет результата.
Для модулей p1=2, p2=3, p3=5 и р4=7 число а=89 (1, 2, 4, 5) разделим на число 15. Обозначим результат как z.

Для расширения базы внесем 0 в пропущенные колонки для метода Гарнера и обозначим как и – для предложенного метода.

Итак, для деления числа большим коэффициентом масштаба используется последовательное деление на простые числа и расширение базы модулей СОК.
Предложенный алгоритм деления состоит из совокупности модульных операций по модулю pi и его можно легко реализовать нейронными сетями конечного кольца.
На чертеже представлена схема нейронной сети для деления чисел, представленных в СОК.
Принцип работы данного изобретения излагается ниже.
Нейронная сеть для деления чисел, представленных в системе остаточных классов, приведенная на чертеже, позволяет выполнить операцию деления исходного числа А=( 1, 2, …, n) 1 на делитель, равный одному из модулей СОК pj=b.
Остатки делимого числа А=( 1, 2, …, аn) 1 по системе модулей p1, p2, …, pn поступают на вход нейронов 7 входного слоя 2. С выходов нейронов входного слоя 2 значения остатков по модулям p1, p2, pj-1pj+1, …, pn поступают на входы (n-1) НСКК 3 с весовыми коэффициентами 8 w=1 для реализации вычислительной модели , где:
i – остатки числа А в СОК по pi модулям; j – остатки делителя по модулю pj для i=1, 2, …, n, при этом i не включает j.
Выходные значения (n-1) НСКК суммирования 3 поступают на входы (n-1) НСКК умножения 4, где реализуется вычислительная модель (2), при этом весовые коэффициенты wi 7 равны . На выходах НСКК 4, кроме модуля делителя pj формируется результат частного без разряда делителя в виде [ ‘1, ‘2, …, ‘j-1, ‘j+1, …, a’n), которые являются выходами нейронной сети.
Неизвестная цифра ‘j по модулю делителя определяется путем расширения базы СОК по известным остаткам ‘i, которые поступают на вход нейронной сети для расширения кортежа числовой системы вычетов 5. Вычисленный остаток ‘j является разрядом частного по модулю pj и поступает на выход сети 6, восстанавливая кортеж частного ( 1, ‘2, …, ‘j, …, ‘n).
Время деления числа определяется тремя циклами синхронизации.
Аналогичным образом реализуется нейронная сеть для деления положительных чисел несколькими модулями.
Формула изобретения
Нейронная сеть для деления чисел, представленных в системе остаточных классов, содержащая входной слой нейронов, на входы которых поступают остатки делимого числа A=( 1, 2, …, n) по системе модулей p1, p2, …, pn, выходы которых соединены с входами (n-1) нейронных сетей конечного кольца для суммирования значений остатков по модулям p1, p2, …, pj-1, pj+1, …, pn, выходы которых соединены с входами (n-1) нейронных сетей конечного кольца для умножения, на выходах которых формируется результат частного без разряда делителя  j в виде ( 1,  2, …,  j-1,  j+1, …,  n), выходы которых соединены с входами нейронной сети для расширения кортежа числовой системы вычетов, которые суммируют выходной кортеж частного, для получения разряда делителя  j, при этом выходом нейронной сети для деления чисел, представленных в системе остаточных классов, являются выходы нейронной сети конечного кольца для умножения и выход нейронной сети для расширения кортежа числовой системы вычетов.
РИСУНКИ
|
|