|
|
(21), (22) Заявка: 2005119622/28, 18.11.2003
(24) Дата начала отсчета срока действия патента:
18.11.2003
(30) Конвенционный приоритет:
19.11.2002 US 60/427,630
(43) Дата публикации заявки: 27.02.2006
(46) Опубликовано: 27.02.2008
(56) Список документов, цитированных в отчете о поиске:
US 6445180 B1, 03.09.2002. US 6348792 B1, 19.02.2002. US 6291995 В1, 18.09.2001. RU 2115142 С1, 10.07.1998. RU 2104565 C1, 10.02.1998.
(85) Дата перевода заявки PCT на национальную фазу:
20.06.2005
(86) Заявка PCT:
US 03/036812 (18.11.2003)
(87) Публикация PCT:
WO 2004/046756 (03.06.2004)
Адрес для переписки:
101000, Москва, М.Златоустинский пер., 10, кв.15, “Евромаркпат”, пат.пов. Р.А.Каксику
|
(72) Автор(ы):
Карл М. ЭДУАРДС (US)
(73) Патентообладатель(и):
БЕЙКЕР ХЬЮЗ ИНКОРПОРЕЙТЕД (US)
|
(54) АЗИМУТАЛЬНАЯ ЯМР-ВИЗУАЛИЗАЦИЯ СВОЙСТВ ГОРНОЙ ПОРОДЫ ИЗ СТВОЛА СКВАЖИНЫ
(57) Реферат:
Изобретение относится к исследованиям околоскважинного пространства методом ядерно-магнитного резонанса (ЯМР). Технический результат: подавление в сигналах ЯМР составляющих, происходящих изнутри скважины. Сущность: в зоне исследования создают постоянное магнитное поле и излучают последовательность радиоимпульсов. Последовательность радиоимпульсов в зоне исследования создает радиочастотное магнитное поле с переменной в пространстве напряженностью. Длительность радиоимпульсов соответствует нулям функции Бесселя нулевого порядка первого рода. Сигналы ЯМР затухания свободной индукции или спинового эха инвертируются с получением спиновой плотности как функции напряженности поля. Затем эту инверсию отображают в положение с использованием известного характера изменения радиочастотного поля. Обеспечена возможность получения изображений спиновой плотности по углам азимута. 4 с. и 24 з.п. ф-лы, 7 ил.
Настоящее изобретение относится к измерительному оборудованию для исследований ядерно-магнитными методами. В частности, изобретение относится к устройству для ядерно-магнитных исследований горных пород, позволяющему визуализировать свойства горной породы по азимуту при бурении скважины.
При бурении скважин используется множество различных технологий, позволяющих определять присутствие в окружающих скважину горных породах углеводородов (нефти и газа) и оценивать их запасы. Эти методы предназначены для определения представляющих интерес параметров горной породы (в данном описании называемыми “искомыми параметрами”), к которым, помимо прочего, относятся пористость, насыщенность и проницаемость пласта-коллектора. Как правило, приборы, предназначенные для получения этой полезной информации, используются при каротаже скважины. Основная часть каротажных работ проводится по окончании бурения скважины. Подъем из скважины бурового оборудования для проведения каротажных измерений может оказаться дорогостоящим с точки зрения затрачиваемых времени и денег. В последнее время каротаж стали проводить одновременно с бурением скважины, что получило название “измерения в процессе бурения” (MWD, сокр. от англ. “measurement-while-drilling”) или “каротаж в процессе бурения” (LWD, сокр. от англ. “logging-while-drilling”). Измерения проводятся также во время подъема бурильной колонны из скважины. Эта операция называется “измерения в процессе подъема” (MWT, measurement-while-tripping).
Один из методов геофизических исследований скважин, непрерывно развивающихся в последнее время, предусматривает использование приборов ядерно-магнитного каротажа (ЯМК) для определения таких параметров, как пористость горных пород, их нефтегазонасыщенность и проницаемость. Приборы ЯМК используются для возбуждения ядер атомов флюидов в околоскважинной породе, что позволяет оценить значения определенных параметров, таких как спиновая плотность (концентрация спинов), время продольной, или спин-решеточной, релаксации (обычно обозначаемое как T1) и время поперечной, или спин-спиновой, релаксации (обычно обозначаемое как Т2) горных пород. По данным этих измерений определяют пористость, проницаемость и нефтегазонасыщенность, что дает компаниям ценную информацию о строении земных пород и запасах извлекаемого углеводородного сырья.
В состав прибора ЯМК, как правило, входит постоянный магнит для наведения в горной породе постоянного, или статического, магнитного поля и излучающая антенна, расположенная около этого магнита и имеющая такую форму, чтобы проходящие через антенну импульсы энергии в диапазоне радиочастот, называемые радиоимпульсами, наводили в породах переменное радиочастотное магнитное поле. Это радиочастотное магнитное поле, т.е. вектор его напряженности, обычно направлено перпендикулярно направлению постоянного магнитного поля. После прохождения радиоимпульса в приемной антенне наводится электродвижущая сила, обусловленная прецессией моментов вращения (ядерных моментов) ядер водорода или ядер других химических элементов относительно вектора постоянного магнитного поля. Прецессионное движение имеет место в зоне возбуждения, где напряженность постоянного магнитного поля соответствует частоте радиочастотного магнитного поля. Управлять намагниченностью ядер можно определенными последовательностями радиоимпульсов, что позволяет выявлять различные аспекты свойств ЯМР горных пород.
В технике ЯМК наиболее часто используется импульсная последовательность Карра-Перселла-Мейбума-Гилла (CPMG), которая включает один возбуждающий импульс и несколько рефокусирующих импульсов. Зона исследования ядерно-магнитными методами обычно полностью находится в теле породы. Однако чувствительный объем, определяемый величиной постоянного магнитного поля и частотой радиочастотного магнитного поля, может охватывать и ствол скважины, откуда могут исходить паразитные сигналы. Учитывая различия в геометрии скважин, были разработаны различные технологии ЯМК. Для небольших осесимметричных скважин, в которых обеспечено центрирование измерительного зонда в стволе скважины, искомую информацию можно получить из осесимметричной зоны исследования, лежащей в горной породе.
Актуальной задачей ЯМК является получение азимутальной информации об окружающих скважину горных породах. Для получения такой информации в патенте US 5977768 (Sezginer и др.) предлагается использовать сегментированную антенну. Постоянное магнитное поле создается парой расположенных друг напротив друга магнитов, создающих намагниченность, направленную параллельно продольной оси прибора. Зона исследования имеет вид расположенного вокруг скважины тороида. При использовании сегментированных антенн каждая антенна принимает сигналы преимущественно из своего квадранта. В патенте US 6255817 (Poitzsch и др.) предлагается способ анализа данных, получаемых с помощью прибора по патенту US 5977768. В патенте US 6326784 (Ganesan и др.) предлагается прибор, в котором для подавления сигналов спинового эха в отдельных областях зоны исследования используются градиентные катушки. Как известно специалистам, тороидальная область, определяемая использованием конфигурацией прибора с расположенными друг напротив друга магнитами, оказывается, как правило, меньше, чем в случае использования приборов с поперечным дипольным магнитом. Эта особенность ограничивает размеры области, из которой можно получить полезные сигналы, а также снижает уровень сигналов.
При использовании приборов, выполненных по схеме с поперечным дипольным магнитом, возникает еще одна проблема, на первый взгляд не связанная с рассмотренной выше. Примером здесь может служить прибор ЯМК с “односторонним” зондированием, который чувствителен к возбуждению ЯМР с одной стороны прибора и менее чувствителен к возбуждению ЯМР с другой стороны. Такой прибор обычно прижимают более чувствительной стороной к стенке ствола скважины, граничащей с окружающей породой, тем самым обеспечивая минимальный зазор между генератором радиочастотного магнитного поля и зоной исследования породы. Соответственно, менее чувствительная сторона прибора обращена в полость ствола скважины. Эта техника ЯМК наиболее эффективна в тех случаях, когда диаметр ствола скважины намного превышает диаметр прибора ЯМК.
Обычно в приборах ЯМК с односторонним зондированием для достижения максимальной чувствительности к ЯМР характеристики постоянного и радиочастотного магнитных полей настраиваются таким образом, чтобы находиться друг с другом в определенном соотношении. Такие обычные технологии ЯМК с односторонним зондированием хорошо известны и раскрыты в патентах US 4717877 (Taicher и др.), US 5055787 (Kleinberg и др.), US 5488342 (Hanley), US 5646528 (Hanley) и US 6023164 (Prammer и др.).
В патенте US 5055787 рассмотрен прибор ЯМК с односторонним зондированием, генерирующий постоянное магнитное поле таким образом, чтобы зона чувствительности располагалась только с передней стороны прибора. В зоне чувствительности перед прибором создается поле с практически нулевым градиентом, тогда как позади прибора магнитное поле имеет относительно большой градиент. Следовательно, зона чувствительности к ЯМР, расположенная перед прибором, значительно больше, чем за прибором, и ее вклад в результирующий сигнал ЯМР более существенен. Однако описанная в патенте US 5055787 техника каротажа эффективна только в том случае, когда зона чувствительности с передней стороны прибора расположена очень близко к прибору. Таким образом, это условие накладывает ограничение на глубинность исследований породы ядерно-магнитным методом. Конструкция прибора по патенту US 5055787 также требует, чтобы градиент магнитного поля в зоне чувствительности был практически нулевым. Однако при ЯМК скважин отсутствие градиента не всегда целесообразно, так как в основе ряда соответствующих методов ЯМК лежит наличие конечного известного градиента поля в зоне чувствительности ЯМР.
В патенте US 5488342 предложен способ исследований породы прибором ЯМК, позволяющий получить расположенную перед прибором зону с однородной намагниченностью. Прибор по патенту US 5488342 позволяет избежать нежелательно близкого расположения прибора ЯМК к зоне чувствительности. Однако у него есть недостаток, заключающийся в том, что зона чувствительности не вытянута вдоль продольной оси прибора ЯМК или оси ствола скважины, что приводит к неприемлемым погрешностям, обусловленным влиянием движения прибора в скважине.
В патенте US 5646528 раскрыт другой вариант прибора Jackson’a, в котором рядом с комплектом катушек индуктивности со смещением вбок относительно них расположен экран из электропроводящего материала, вследствие чего генерируемое радиочастотной антенной магнитное поле асимметрично смещено от оси магнитов. Область однородного постоянного магнитного поля остается тороидальной, как и в приборе Jackson’a. Прибор по патенту US 5646528 можно использовать, располагая его эксцентрично в больших скважинах, с уменьшением сигналов, исходящих из ствола скважины. Недостаток приборов по патентам US 5488342 и US 5646528 состоит в малой осевой протяженности исследуемой области, что не позволяет использовать их при высоких скоростях каротажа.
Существуют несколько конструктивных схем приборов, посвященных решению проблемы ограниченной осевой протяженности исследуемой области в базовой конфигурации прибора Jackson’a с постоянными магнитами. В патенте US 4717877 (Taicher и др.) описано использование удлиненных цилиндрических постоянных магнитов, в которых полюса находятся на противоположных торцах изогнутого магнита. Постоянное поле такого магнита аналогично полю диполя, отцентрированного по геометрической оси удлиненных магнитов, и создает зону исследования, вытянутую параллельно оси ствола скважины. Радиочастотная катушка в приборе по патенту US 4717877 также представляет собой дипольную антенну с центром, совпадающим с геометрической осью магнита, что обеспечивает ортогональность постоянного и переменного полей по всем углам азимута (угловой интервал 360°) вокруг скважины.
В патенте US 6023164 (Prammer) описан вариант решения по патенту US 4717877, предусматривающий эксцентричное расположение прибора в стволе скважины. В приборе по патенту US 6023164 зонд ЯМК снабжен трубчатым элементом, имеющим полукруглый радиочастотный экран, закрывающий один из полюсов магнита. Экран задерживает сигналы с одной из сторон зонда. Зонд снабжен элементами, прижимающими его незакрытой стороной к стенке ствола скважины таким образом, чтобы сигналы, принимаемые с незакрытой стороны зонда, происходили главным образом из горной породы.
В случае приборов по патентам US 6023164 и US 5646528 для получения наибольшего затухания в поле позади прибора при сохранении чувствительности спереди прибора, экран должен быть расположен как можно дальше от передней зоны. Эффективность этого экрана ограничена диаметром прибора. При отсутствии экрана зона чувствительности приборов по патентам US 6023164 и US 5646528 становится кольцевой, и использование любого из этих приборов с эксцентричным расположением в скважине вызовет значительный сигнал от скважинной жидкости.
Такой пассивный радиочастотный экран обычно устанавливается как можно дальше от передней зоны, чтобы не ухудшать чувствительность прибора ЯМК в заданной области, и как можно ближе к задней зоне для того, чтобы максимально повысить эффективность. Поэтому очевидно, что эффективность применения пассивного экрана в конечном итоге ограничена диаметром прибора. Если при помощи располагающегося в приборе экрана не удается достичь достаточного ослабления сигналов, приходится принимать один из следующих нежелательных вариантов: использовать большой магнит, чтобы еще дальше отодвинуть заднюю зону, уменьшить величину сигнала из передней зоны, либо поместить экран за пределами прибора. Таким образом, ни один из двух вышеописанных подходов не дает рационального решения проблемы.
В патенте US 6348792 (Beard и др.), содержание которого полностью включено в данное описание в качестве ссылки, представлен каротажный зонд с основным магнитом для создания постоянного магнитного поля и вспомогательным формирующим магнитом. Формирующий магнит используется для формирования постоянного магнитного поля таким образом, чтобы оно соответствовало радиочастотному переменному полю в увеличенном секторе по азимуту относительно прибора. Экран в задней части зонда ослабляет радиочастотное поле позади прибора. Диполи, создающие постоянное и радиочастотное магнитные поля, повернуты по сравнению с известными конструкциями на 90° таким образом, чтобы диполь, создающий постоянное магнитное поле, был направлен в сторону от прибора, а диполь, создающий радиочастотное магнитное поле, – к передней части прибора. В такой схеме вихревые токи в экране существенно усиливаются, повышая его эффективность. В патенте US 6445180 (Reiderman и др.), который принадлежит правообладателю по данной заявке и содержание которого полностью включено в данное описание в качестве ссылки, предлагается использовать с прибором по патенту US 6348792 систему первичной и вторичной антенн. В этом решении первичная антенна, являясь большей по размеру, создает объемно протяженное магнитное поле, основная часть которого находится в горной породе, а небольшая – в стволе скважины. Вторичная антенна работает синхронно с первичной, но наводимый в ней ток циркулирует в направлении, противоположном направлению тока в первичной антенне, создавая магнитное поле, которое гасит магнитное поле первичной антенны в стволе скважины, тем самым значительно снижая относящуюся к стволу скважины составляющую принятого сигнала ЯМР.
Функциональные возможности рассмотренных выше решений ограничены тем, что прибор работает только в режиме одностороннего зондирования, что практично лишь в случае крупных скважин. Для малых же скважин целесообразно использовать режим кругового зондирования, в котором возбуждение сигналов происходит со всех сторон прибора ЯМК. Таким образом, для исследований скважин разного диаметра нужно применять отдельное оборудование, что соответственно увеличивает расходы в связи с расширением номенклатуры приборов. В патенте US 6525535 (Reiderman и др.), который принадлежит правообладателю по данной заявке и содержание которого полностью включено в данное описание в качестве ссылки, предлагаются способ и устройство, аналогичные описанным в патенте US 6445180, в котором вторичная антенна может использоваться в маленьких скважинах как вспомогательная антенна. Это решение позволяет использовать один и тот же каротажный прибор в скважинах разных размеров.
Если же диаметр скважины очень велик, устройство по патенту US 6525535 может оказаться не в состоянии полностью подавлять идущие из скважины сигналы. Эта ситуация отражена на фиг.3А и 3Б. На фиг.3А показан каротажный прибор 311, расположенный в стволе скважины 301. Прибор изображен в режиме одностороннего зондирования и совокупная зона исследования обозначена позициями 321, 323а и 323b. За счет применения аппаратных средств компенсации (к которым могут относиться не показанные на чертежах антенна-глушитель и базовая схема “магнит-антенна”) происходит подавление сигналов из области 325, находящейся в стволе скважины.
На фиг.3Б показан тот же каротажный прибор 311, но в скважине 301′ гораздо большего диаметра. Как видно на схеме, теперь часть зоны исследования, обозначенная позициями 323а и 323b, попадает в ствол скважины. Скважинные жидкости содержат много воды, вследствие чего сигналы от них могут быть намного сильнее, чем от породы. Аналогичная проблема возникает даже в скважинах меньшего размера, но со значительным размывом ствола. Поэтому желательно обеспечить подавление сигналов, исходящих изнутри скважины, с использованием способа, отличного от аппаратной компенсации, что позволит применять один и тот же каротажный прибор в скважинах гораздо более широкого диапазона размеров. Такое подавление сигналов из выбранного азимутального сектора является в принципе той же задачей, что была рассмотрена выше применительно к азимутальной визуализации горных пород. Настоящее изобретение направлено на решение этой задачи.
В настоящем изобретении в общем предлагается способ определения параметра горной породы в зоне ее исследования с помощью введенного в скважину прибора ЯМК. В области горной породы, включающей в себя зону исследования, при помощи имеющегося в приборе магнита создают постоянное магнитное поле. Излучают последовательность подобранных радиоимпульсов, создавая в зоне исследования радиочастотное магнитное поле, и получают сигналы, характеризующие интересующий параметр. В одном варианте изобретения длительности радиоимпульсов соотносятся с нулями функции Бесселя, а получаемые сигналы представляют собой сигналы затухания свободной индукции. В другом варианте последовательность радиоимпульсов включает в себя возбуждающий импульс, сопровождаемый несколькими рефокусирующими импульсами, длительности возбуждающих импульсов соотносятся с нулями функции Бесселя, а получаемые сигналы представляют собой сигналы спинового эха.
В обоих вариантах, применяя обратное преобразование Ганкеля, получают спиновое свойство среды как функцию напряженности радиочастотного магнитного поля. Зная распределение радиочастотного магнитного поля, можно получить пространственное распределение спинов. В частности, имеется возможность различать спины внутри скважины и за ее пределами, а также определять распределение спинов по азимуту.
Более конкретно, в соответствии с вышеизложенным в изобретении предлагается способ определения параметра горной породы в зоне ее исследования с помощью введенного в скважину прибора ядерно-магнитного каротажа (ЯМК), причем параметр выбран из группы, включающей функцию спиновой плотности, пористость, насыщенность, проницаемость, время продольной релаксации и время поперечной релаксации, заключающийся в том, что
а) в зоне исследования создают постоянное магнитное поле,
б) излучают последовательность радиоимпульсов и создают в зоне исследования радиочастотное магнитное поле, которое в зоне исследования имеет переменную в пространстве напряженность, причем длительность по меньшей мере одного из указанных радиоимпульсов удовлетворяет соотношению:
,
где 1max характеризует максимальное значение напряженности радиочастотного магнитного поля; n – длительность n-го импульса; j0,n – функция Бесселя,
в) принимают сигналы ядерно-магнитного резонанса (ЯМР), вызванные радиочастотным магнитным полем, и
г) с использованием принятых сигналов ЯМР определяют искомый параметр.
В предпочтительных вариантах осуществления сигналы ЯМР представляют собой сигналы затухания свободной индукции.
Последовательность радиоимпульсов может включать в себя отклоняющие импульсы и рефокусирующие импульсы, а сигналы ЯМР тогда представляют собой сигналы спинового эха. При этом при определении искомого параметра сигналы ЯМР подвергают обратному преобразованию Ганкеля и выполняют пространственное отображение, преобразующее спиновую плотность в положение в пространстве.
Последовательность радиоимпульсов может иметь вид:

где ТЕ – временной интервал между рефокусирующими импульсами R, j – отклоняющий импульс, TW – время ожидания, i – индекс порядкового номера рефокусирующего импульса и j – индекс порядкового номера импульсной последовательности Карра-Перселла-Мейбума-Гилла (КПМГ) или модифицированной последовательности КПМГ, полученной для одного отклоняющего импульса.
Причем при определении искомого параметра сигналы спинового эха, полученные в ответ на последовательность радиоимпульсов, суммируют по индексу у для выбранного значения i. При суммировании находят взвешенную сумму. А при определении искомого параметра выполняют пространственное отображение, преобразующее спиновую плотность в положение в пространстве.
В одном из вариантов определяют спины, относящиеся к определенной части зоны исследования, находящейся за пределами скважины, или спины разбивают на сектора по азимуту.
Упомянутые стадии (а) – (г) могут проводиться повторно для нескольких различных угловых положений прибора по азимуту.
Функция Бесселя представляет собой функцию Бесселя нулевого порядка и первого рода.
В изобретении также предлагается устройство для определения параметра горной породы в зоне ее исследования, выбранного из группы, включающей функцию спиновой плотности, пористость, насыщенность, проницаемость, время продольной релаксации и время поперечной релаксации, содержащее:
а) магнит, создающий в зоне исследования постоянное магнитное поле,
б) излучатель, излучающий последовательность радиоимпульсов и генерирующий в зоне исследования радиочастотное магнитное поле, имеющее в зоне исследования переменную в пространстве напряженность,
в) процессор, управляющий излучателем и задающий по меньшей мере один из указанных радиоимпульсов таким образом, чтобы его длительность удовлетворяла соотношению:
,
г) приемник, принимающий сигналы ядерного магнитного резонанса (ЯМР), вызванные радиочастотным магнитным полем, и
д) процессор, определяющий искомый параметр на основе сигналов ЯМР.
Далее, предлагается способ формирования последовательности радиоимпульсов для применения в приборе на основе ядерно-магнитного резонанса (ЯМР), заключающийся в том, что
а) задают длительность по меньшей мере одного импульса последовательности радиоимпульсов исходя из соотношения:
,
б) посредством указанной последовательности радиоимпульсов создают радиочастотное поле, и
в) анализируют сигналы ЯМР, вызванные созданным радиочастотным полем.
Кроме того, предлагается устройство на основе ядерно-магнитного резонанса (ЯМР), содержащее
а) процессор, задающий длительность по меньшей мере одного импульса последовательности радиоимпульсов, исходя из соотношения:
,
и посылающий эту последовательность радиоимпульсов в излучатель, создающий радиочастотное поле,
б) приемник, принимающий сигналы ЯМР, вызванные радиочастотным полем,
в) процессор, анализирующий принятые сигналы ЯМР.
На прилагаемых к описанию чертежах показано:
на фиг.1 (уровень техники) – схематичное изображение каротажного прибора с односторонним зондированием в том виде, как он обычно используется в скважинах, проходящих через горные породы,
на фиг.2 (уровень техники) – схематичное изображение прибора с использованием радиочастотной антенны-гасителя,
на фиг.3А и 3Б – иллюстрация проблемы, связанной с каротажем скважин большого диаметра,
на фиг.4 – затухание свободной индукции после радиоимпульса,
на фиг.5 – блок-схема осуществления изобретения в его первом варианте для определения времен продольной релаксации,
на фиг.5А – распределение радиочастотного магнитного поля для конструкции прибора, представленного на фиг.2,
на фиг.5Б – пример последовательности импульсов, используемой в одном варианте изобретения,
на фиг.5 В – сигналы затухания свободной индукции, соответствующие последовательности импульсов, показанной на фиг.5Б,
на фиг.6 – модифицированные последовательности CPMG, используемые в соответствии со вторым вариантом изобретения для определения времен поперечной релаксации,
на фиг.7А и 7Б – блок-схема осуществления настоящего изобретения в его втором варианте для определения времен поперечной релаксации, и
на фиг.7 В – последовательность импульсов, подходящая для осуществления изобретения в варианте, соответствующем фиг.7Б.
На фиг.1 (уровень техники) показан скважинный прибор ЯМК, подходящий для применения в предлагаемом способе. Каротажный прибор 102 размещен в стволе скважины 103, проходящей через пласты 107, 108 и 109 горных пород для их измерения свойств. Ствол скважины 103, показанной на фиг.1, обычно заполнен жидкостью, известной специалистам как буровой раствор. Прибор с односторонним зондированием имеет антенный блок 104 для генерирования импульсов возбуждения ЯМР в зоне 105 исследования и приема сигналов ЯМР из зоны 105 исследования, находящейся в пластах 107, 108 и 109 окружающих скважину 103 пород. Зона 105 исследования находится с одной стороны прибора. Обработка данных может производиться компьютером на дневной поверхности или процессором в составе скважинного оборудования.
На фиг.2 (уровень техники) представлен предпочтительный вариант конструкции зонда ЯМК, показанный в разрезе плоскостью, перпендикулярной продольной оси прибора ЯМК, которая обычно параллельна оси скважины 103. Блок магнитов 201 создает постоянное магнитное поле, имеющее заданное распределение в зоне 105 исследования окружающих скважину 103 горных пород. Главная радиочастотная антенна 202 при работе на передачу создает в зоне исследования радиочастотное магнитное поле, а при работе на прием принимает сигнал ЯМР из области возбуждения (зоны исследования) пласта пород. Главная радиоантенна, являющаяся первой (рабочей) антенной, включает в себя обмотку 203 и сердечник 204 из магнитомягкого материала, предназначенный для повышения эффективности работы первой антенны в режимах передачи и приема сигналов. В больших скважинах вторая антенна 205 служит активным глушителем паразитных сигналов и содержит обмотку 206 и предпочтительно сердечник 207 из магнитомягкого материала, предназначенный для повышения эффективности подавления паразитных сигналов. Обмотки рабочей антенны и антенны-глушителя могут состоять как из одного витка плоской проволоки, так и из множества витков. Прибор, выполненный по такой схеме, хорошо работает в скважинах диаметром 12 дюймов (30 см) или близких к тому. В скважинах меньшего размера (обычно менее 8 дюймов в диаметре) вторая антенна может использоваться в режиме вспомогательной антенны, описанном в патенте US 6525535.
Как было отмечено выше, в очень больших скважинах с диаметром ствола более 12,25 дюймов (30,75 см) или близких к тому, а также в скважинах меньшего размера, но с размывом ствола от умеренного до сильного значительная часть зоны исследования оказывается внутри ствола скважины. Предлагаемый в изобретении способ направлен на коррекцию влияния поступающих оттуда сигналов. Этот способ также применим для определения азимутального изменения свойств горной породы.
В основе рассматриваемого способа лежат принципы зейгматографии с вращающейся системой координат. Технику зейгматографии с вращающейся системой координат впервые описал Hoult (1979). Он предложил два метода. Первый метод предусматривает фазовое кодирование положения спинов, а по второму методу положение спинов кодируется в амплитуде сигнала. Согласно первому методу намагничивание происходит под воздействием переменного в пространстве радиочастотного магнитного поля. Под действием т.н. 90-градусного импульса (т.е. импульса, отклоняющего спины на 90°) с нулевым пространственным градиентом вектор намагниченности отклоняется в плоскость XY вращающейся системы координат. В этот момент фаза намагниченности во вращающейся системе координат содержит составляющую, пропорциональную положению. Следующим шагом в этой технике формирования изображений является изменение амплитуды или длительности действия переменного в пространстве радиочастотного магнитного поля и улавливание сигналов затухания свободной индукции (ЗСИ) после 90-градусного импульса. Затем для построения изображения полученные сигналы подвергаются преобразованию Фурье.
К настоящему изобретению имеет отношение второй из вышеупомянутых методов. Вместо фазового кодирования положения, положение кодируется в амплитуде сигналов затухания свободной индукции. Здесь угол наклона (вектора намагниченности) зависит от амплитуды радиочастотного магнитного поля. Изменяя ширину, или длительность, импульсов, регистрируют сигналы ЗСИ. Амплитуды сигнала представляют собой синус-преобразование Фурье положения.
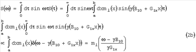
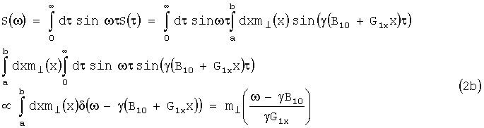
На фиг.4 иллюстрируется техника амплитудной зейгматографии с вращающейся системой координат. В дальнейшем для упрощения полагаем, что используются короткие импульсы. В результате любыми эффектами резонансных сдвигов можно пренебречь. Катушка индуктивности, создающая радиочастотное магнитное поле, прикладываемое во время импульса, выполнена такой формы, чтобы обеспечить линейное изменение радиочастотного магнитного поля в образце в данном направлении. Не теряя общности, это направление можно обозначить как ось X. Таким образом, для магнитного поля получаем выражение:

где B10 – константа, a G1x– линейный градиент радиочастотного магнитного импульса. После приложения импульса длительностью амплитуда сигнала ЗСИ определяется выражением:

где интегрирование проводится по всему объему образца. Выражение легко интегрируется по координатам Y и Z, и в результате получаем, что сигнал представляет собой синус-преобразование Фурье функции спиновой плотности в проекции на ось X, что можно записать следующим образом:

где m – проекция вектора намагниченности на данную ось (в данном случае на ось X). Пределы интегрирования а и b определяются наибольшим размером образца. Применяя синус-преобразование к уравнению (2а), получаем следующий результат:

Таким образом, синус-преобразование S( ) пропорционально спиновой плотности в проекции на ось Х при = (В10+G1xx). Предлагаемый в изобретении способ опирается на тот факт, что при использовании предпочтительной компоновки аппаратных средств, рассмотренной выше со ссылкой на фиг.2, радиочастотное поле изменяется от максимума спереди прибора почти до нуля сзади прибора. Существуют и другие варианты взаимного расположения магнитов и катушек индуктивности, в которых в чувствительном объеме возникает переменное в пространстве радиочастотное поле, и предлагаемый в изобретении способ может использоваться с каротажными приборами такой конфигурации.
Описанный выше пример можно распространить на радиочастотное магнитное поле, произвольным образом зависящее от пространственных переменных. Подставляя произвольно изменяющееся в пространстве радиочастотное магнитное поле В1=В1(х) вместо линейно изменяющегося поля В1=B10+G1xx, получим одномерное синус-преобразование Фурье сигналов:

где xn представляют собой нули функции B1(x)- . Это преобразование учитывает известные свойства дельта-функции от произвольной функции. Таким образом, при резком изменении радиочастотного магнитного поля преобразованный сигнал может содержать составляющие из многих различных точек. Однако для монотонной функции на каждой частоте с соответствующей точкой в образце существует единственный нуль. Сигналы, сопровождающие поля с малыми значениями В1, легко отличимы от сигналов, сопровождающих поля с большими значениями В1.
Выше принцип работы изобретения был описан в отношении ЗСИ. В условиях каротажа скважин на возбуждаемый объем могут накладываться ограничения по полосе пропускания частот аппаратуры. Этот объем определяется не объемом катушки индуктивности, а однородностью или пространственным распределением постоянного магнитного поля. Размер зоны чувствительности можно приблизительно оценить с помощью следующего выражения:

где B0 представляет собой разность постоянного магнитного поля и поля, соответствующего рабочей радиочастоте. Спины, находящиеся в далеком от резонанса состоянии, не вносят вклада в принимаемый сигнал и, следовательно, не учитываются при определении зоны чувствительности. Уравнение (4) является приблизительным, а вывод более точного выражения требует детального анализа конструкции скважинного каротажного прибора. Поэтому допущение использования коротких импульсов не применимо, и при анализе сигналов от любой последовательности импульсов необходимо учитывать нерезонансные эффекты.
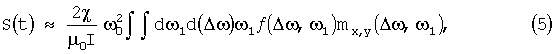
Рассмотрим одиночный импульс, сопровождаемый сигналом ЗСИ, как это показано на фиг.4. Теорема взаимности (Hoult и Richards, 1976) позволяет определить приращение электродвижущей силы в катушке как функцию напряженности радиочастотного магнитного поля и намагниченности. После некоторых алгебраических преобразований это соотношение превращается в следующее выражение (Hurlimann и Griffin, 2000):

где – ядерная магнитная восприимчивость, 0 – проницаемость свободного пространства, I – ток в катушке, = B, a  = 0– В0. Функция f представляет собой концентрацию протонов при данной частоте смещения и амплитуде радиочастотного магнитного поля. Величины mx,y представляют собой компоненты поперечной намагниченности, нормированные на единицу в равновесном состоянии. В обозначает магнитное поле, а 0 – угловую частоту радиочастотного магнитного поля. Интегрирование уравнения (5) следует проводить по всем значениям и  , но реально интегрирование по  можно ограничить несколькими кратными .
Компоненты поперечной намагниченности, возникающие непосредственно вслед за импульсом, могут быть определены с помощью следующих формул (Morris, 1986):

где

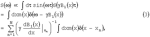
В особом случае, когда функция f( , 1) вблизи резонанса независима от  , что, например, имеет место для каротажного прибора с существенным радиальным градиентом, уравнения (5) и (5а) после интегрирования по  дают простые выражения для амплитуды сигнала, следующего непосредственно за импульсом. Синфазная составляющая или Х-компонента вектора намагниченности в результате интегрирования дает ноль, а Y-компонента или квадратурная (поперечная) составляющая после интегрирования приводится к виду:

где G – градиент постоянного магнитного поля, J0 – функция Бесселя нулевого порядка, a 1max – максимальное значение B1(x). Если G представляет собой константу и не зависит от 1, то уравнение (6) показывает, что амплитуда сигнала ЯМР является результатом конечного преобразования Ганкеля произведения концентрации протонов, зависящей от амплитуды радиочастотного магнитного поля, и самой амплитуды радиочастотного магнитного поля. Поскольку функции Бесселя представляют собой ортогональную (полную) систему функций, концентрацию протонов как функцию амплитуды радиочастотного магнитного поля можно найти обратным преобразованием результата конечного преобразования Ганкеля. Аккуратно заменив переменные, получаем следующее соотношение:

Здесь значения n соотносятся с нулями функции Бесселя нулевого порядка, j0,n, следующим образом:

На практике обратное преобразование Ганкеля осуществляют суммированием.
В таблице 1 приведены значения первых нулей функции J0(x).
Таблица 1 Нули J0(x) |
| N |
j0,n |
| 1 |
2,4048 |
| 2 |
5,5201 |
| 3 |
8,6537 |
| 4 |
11,7915 |
| 5 |
14,9309 |
Сумма в уравнении (6) бесконечна, не соответствуя условиям эксперимента, который проводится в течение конечного интервала времени. Поэтому в качестве приближения целесообразно усечь ряд, отбросив члены с большими порядковыми номерами. При таком усечении исключаются составляющие сигнала, совершающие быстрые колебания вместе с амплитудой радиочастотного поля, что позволяет получить более гладкую оценку спиновой плотности как функции амплитуды радиочастотного поля. Поскольку амплитуда радиочастотного поля является корректно ведущей себя функцией положения в зоне чувствительности, зависимость спиновой плотности от амплитуды радиочастотного поля можно путем отображения преобразовать в спиновую плотность как функцию положения. Например, в предпочтительном варианте, рассмотренном выше со ссылкой на фиг.2, используемый прибор выполнен таким образом, чтобы амплитуда излучаемых радиоимпульсов монотонно изменялась от максимума с передней стороны прибора до минимума (почти до нуля) с задней стороны прибора. Так простое преобразование превращает спиновую плотность как функцию 1 в функцию угла (углового положения), измеряемого от переднего направления к заднему.
На фиг.5 представлена блок-схема осуществления настоящего изобретения в его первом варианте. Максимальное число членов nmax для представляющего функцию Бесселя ряда в уравнении (7) уже выбрано. Этот выбор проводят опытным путем и на основании знания градиента радиочастотного магнитного поля, создаваемого прибором. Практическим ограничением здесь выступает время, затрачиваемое на получение данных. На шаге 501 значение n изначально устанавливается равным нулю и повышается на шаге 502. Длительность импульса 1 определяется из уравнения (8) по первому нулю функции Бесселя нулевого порядка, т.е. 2,4048. На шаге 503 принимается сигнал ЗСИ, соответствующий выбранному значению длительности импульса. На шаге 505 производится проверка непревышения максимального числа импульсов. При получении на шаге 507 ответа “нет” на шаге 502 происходит увеличение значения n, выбор другой длительности импульса и обнаружение сигнала ЗСИ. При получении на шаге 509 ответа “да” полученные данные после их преобразования в частотную область подвергаются на шаге 511 обратному преобразованию Ганкеля в соответствии с уравнением (7) с получением спиновой плотности как функции радиочастотного магнитного поля (в частотной области). С использованием известного изменения в пространстве напряженности радиочастотного поля на шаге 513 производится простое отображение радиочастотного магнитного поля в положение в пространстве. После выполнения этого этапа непосредственно определяется составляющая сигнала, полученная изнутри скважины (т.е. из скважинной жидкости), и составляющая сигнала, полученная извне скважины. В предпочтительном варианте устройства, рассмотренном выше со ссылкой на фиг.2, задается некоторое пороговое значение напряженности радиочастотного магнитного поля (порог отсечки), разделяющее распределение на две части. Часть распределения, оказавшаяся ниже порогового значения, соответствует сигналу из ствола скважины, а часть, оказавшаяся выше порогового значения, соответствует сигналу от породы. Используя описанный выше способ, можно определить представляющие интерес параметры горных пород, такие как функция спиновой плотности.
На фиг.5А показан пример распределения напряженности радиочастотного магнитного поля. Это распределение получено для устройства, изображенного на фиг.2. Азимутальный угол отсчитывается от передней стороны устройства к его задней стороне. Нулевое осевое положение соответствует оси симметрии устройства. В представленных единицах измерения максимальное значение В1 равно 0,022. Для данного осевого положения радиочастотное магнитное поле затухает почти равномерно примерно до нуля при углах, больших 100°.
Полученные результаты можно еще более улучшить, если использовать каверномер, предпочтительно акустический каверномер (на чертеже не показан), позволяющий определить точное положение прибора и возможные вымоины в стенке ствола скважины. Регулировкой порогового значения радиочастотного поля при помощи каверномера можно исправить возможные проблемы, связанные с вымоинами и/или неправильным положением прибора в скважине. Например, в патентах US 5638337 и US 5737277 (Priest) предлагаются способы определения геометрии ствола скважины по данным акустической кавернометрии. Для определения порогового значения радиочастотного магнитного поля можно использовать способы по патентам US 5638337 и US 5737277 или иной подходящий способ.
На фиг.5Б и 5В показана последовательность импульсов, которую можно использовать при осуществлении изобретения в соответствии с блок-схемой, приведенной на фиг.5. На фиг.5Б представлен пример последовательности импульсов, включающей три импульса 551, 553 и 555 длительностью 1, 2 и 3 соответственно, разделенных временем ожидания TW. Полученные в ответ на эти импульсы сигналы 561, 563 и 565 затухания свободной индукции представлены на фиг.5В. Выбор значений проведен по рассмотренной выше процедуре, а для анализа используется максимум сигнала ЗСИ.
В другом варианте осуществления изобретения предусмотрено использование сигналов спинового эха, получаемых модифицированными последовательностями импульсов CPMG. Hurlimann и Griffin показали, что асимптотическое поведение амплитуды эхо-сигналов в приближении первого порядка тождественно асимптотическому поведению амплитуд сигналов ЗСИ после одиночного импульса. Таким образом, предлагаемый в изобретении способ можно использовать с модифицированной последовательностью импульсов CPMG. Этот аспект изобретения рассмотрен ниже и поясняется фиг.6.
На фиг.6 изображен отклоняющий импульс 601, имеющий длительность а и сопровождаемый несколькими рефокусирующими импульсами 603, каждый из которых имеет длительность b. Показаны также сигналы 605 спинового эха, возникающие вслед за рефокусирующими импульсами. Блок-схема на фиг.7А-7Б иллюстрирует процесс извлечения из данных сигналов спинового эха информации о требуемых свойствах горной породы.
Согласно блок-схеме на фиг.7А значения n на шаге 701 изначально устанавливаются равными нулю и затем последовательно повышаются на шаге 703. На шаге 705 получают сигналы спинового эха, используя для этого модифицированную последовательность импульсов CPMG, причем длительность a отклоняющего импульса выбирают согласно уравнению (8).
Последовательность импульсов для получения сигналов спинового эха представлена на фиг.7В. На фиг.7В показана первая модифицированная последовательность CPMG 751, начинающаяся отклоняющим импульсом 1, за которым следует несколько рефокусирующих импульсов с интервалом ТЕ между ними. Рефокусирующие импульсы характеризуются углом отклонения спинов, меньшим 180°, как это описано в патенте US 6163153 (Reidermann и др.), принадлежащем правообладателю по данной заявке. Необходимо заметить, что предлагаемый в изобретении способ может также использоваться с рефокусирующими импульсами с углом отклонения спинов, равным 180° (т.н. 180-градусные импульсы).
Далее на фиг.7А показано, что на шаге 707 проверяется, необходимо ли генерирование дополнительных импульсных последовательностей. Если получен ответ “да”, то n на шаге 703 увеличивается, а на шаге 705 генерируется еще одна последовательность импульсов. Эта следующая последовательность импульсов обозначена на фиг.7В позицией 753 и следует за первой последовательностью 751 импульсов после времени ожидания TW. Эта последовательность импульсов, как показано на фиг.7В, включает отклоняющий импульс длительностью 2. Как показано фиг.7А, процесс получения дополнительных последовательностей импульсов продолжается до тех пор, пока на шаге 707 не будет установлено, что дополнительных последовательностей не требуется. Таким образом формируется набор данных S( а,n, m), где m означает порядковый номер эха, причем эхо вступает в момент времени mTE, где ТЕ – временной интервал, или раздвижка, между сигналами спинового эха, a a,n – угол отклонения для отклоняющего импульса n.
После выбора необходимого числа значений отклоняющих импульсов на шаге 709 начинается анализ сигналов спинового эха, при этом на шаге 709 индекс порядкового номера эхо-сигнала устанавливается на ноль, на шаге 711 этот индекс последовательно повышается на единицу, а на шаге 713 все импульсные последовательности суммируются по n вплоть до m-го сигнала спинового эха в соответствии с уравнением (7). Далее проверяется, остались ли подлежащие обработке значения m. Просуммированные сигналы спинового эха представляют спиновую плотность как функцию амплитуды радиочастотного магнитного поля и времени поступления эха S( 1, m). При сохранении значения 1 постоянным эти амплитуды эха можно инвертировать по известным специалистам методикам, и S( 1, m) превращается в S( 1, T2). Иными словами, на шаге 717 (фиг.7Б) создается многомерная характеристика спиновой плотности (концентрации спинов) как функции радиочастотного магнитного поля и T2. Далее эта многомерная характеристика спиновой плотности на шаге 719 преобразуется в положение в пространстве с использованием известного распределения амплитуд радиочастотного поля.
Удобный вид для обозначения показанной на фиг.7В импульсной последовательности дает следующая формула:

где ТЕ – временной интервал между рефокусирующими импульсами R, j – отклоняющий импульс, TW – время ожидания, i – индекс порядкового номера рефокусирующего импульса и j – индекс порядкового номера импульсных последовательностей CPMG (или модифицированных импульсных последовательностей CPMG), полученных для единственного отклоняющего импульса. Обычная импульсная последовательность CPMG содержит 180-градусные рефокусирующие импульсы. В модифицированной же импульсной последовательности CPMG рефокусирующие импульсы имеют угол отклонения спинов, меньший 180°.
В приведенном выше описании вариантов изобретения использовалось допущение, что амплитуды излучаемых радиоимпульсов и принимаемых сигналов совпадают. Другими словами, излучение и прием сигналов осуществляются одной и той же катушкой. Вместе с тем, настоящее изобретение вполне позволяет использовать для излучения и приема разные катушки, что представляет собой еще один вариант осуществления изобретения. В общем случае функцию спиновой плотности в уравнениях (6) и (7) можно заменить на:

где r – радиочастотное магнитное поле, создаваемое током I в катушке приемника, а f( 1, r) представляет собой распределение спиновой плотности как функцию амплитуд принятого и излученного радиочастотных полей. Первые два описанных варианта изобретения есть частные случаи этого общего случая.
Как показано на фиг.5А, для рассмотренного выше примера выполнения прибора ЯМК распределение радиочастотного магнитного поля имеет максимум приблизительно на расстоянии 25 см при азимуте 0°. На фигуре показана только половина распределения, при этом распределение поля при отрицательных азимутальных углах практически то же самое. Таким образом, в рассмотренном выше способе значения, получаемые при положительных и отрицательных азимутах, будут складываться. Может показаться, что это обстоятельство делает проблематичным полную азимутальную визуализацию свойств горной породы, т.е. построение изображения, характеризующего свойства породы, по всем углам азимута. Однако ниже показано, что это не так.
В еще одном варианте изобретения измерения проводятся с помощью вращающегося прибора. Этот дополнительный вариант легко реализовать при проведении измерений в процессе бурения, когда прибор ЯМК вводится в скважину в составе вращающейся забойной компоновки (также называемой компоновкой низа бурильной колонны), измерения проводятся во время вращения забойной компоновки, и сохраняется лишь часть получаемого изображения. Например, сохранять можно данные из сектора, раскрытого на 15° в обе стороны от линии нулевого азимута, что в сумме дает изображение сектора 30°. При дальнейшем вращении прибора ЯМК измерения повторяются в следующем секторе, позволяя сформировать изображение по этому сектору. Затем путем сложения изображений, полученных для отдельных секторов, строится полное изображение.
Затронутая выше проблема наложения сигналов из областей положительных и отрицательных относительно оси симметрии углов азимута, не столь серьезна, поскольку в любом случае получение сигналов ЯМР происходит во время вращения прибора, что приводит к некоторому смазыванию изображения. При реализации изобретения в варианте измерений в процессе бурения процессор устройства может быть размещен во вращающейся забойной компоновке.
Выше рассмотрено несколько вариантов изобретения, включая предпочтительный вариант, однако для специалиста должна быть очевидна возможность внесения в изобретение различных изменений. Поскольку данное описание рассчитано на специалистов, предполагается, что оно охватывает любые такие изменения, соответствующие сущности изобретения и объему патентных притязаний, изложенных в прилагаемой формуле изобретения.
Формула изобретения
1. Способ определения параметра горной породы в зоне ее исследования с помощью введенного в скважину прибора ядерно-магнитного каротажа (ЯМК), причем параметр выбран из группы, включающей функцию спиновой плотности, пористость, насыщенность, проницаемость, время продольной релаксации и время поперечной релаксации, заключающийся в том, что
а) в зоне исследования создают постоянное магнитное поле,
б) излучают последовательность радиоимпульсов и создают в зоне исследования радиочастотное магнитное поле, которое в зоне исследования имеет переменную в пространстве напряженность, причем длительность по меньшей мере одного из указанных радиоимпульсов удовлетворяет соотношению

где n – длительность n-го импульса; j0,n – функция Бесселя,
в) принимают сигналы ядерно-магнитного резонанса (ЯМР), вызванные радиочастотным магнитным полем, и
г) с использованием принятых сигналов определяют искомый параметр.
2. Способ по п.1, в котором сигналы ЯМР представляют собой сигналы затухания свободной индукции.
3. Способ по п.1, в котором последовательность радиоимпульсов включает в себя отклоняющие импульсы и рефокусирующие импульсы, а сигналы ЯМР представляют собой сигналы спинового эха.
4. Способ по п.3, в котором при определении искомого параметра указанные сигналы подвергают обратному преобразованию Ганкеля.
5. Способ по п.4, в котором при определении искомого параметра выполняют пространственное отображение, преобразующее спиновую плотность в положение в пространстве.
6. Способ по п.3, в котором используемые последовательности радиоимпульсов имеют вид

где ТЕ – временной интервал между рефокусирующими импульсами R; j – отклоняющий импульс; TW – время ожидания; i – индекс порядкового номера рефокусирующего импульса и j – индекс порядкового номера импульсной последовательности Карра-Перселла-Мейбума-Гилла (КПМГ) или модифицированной последовательности КПМГ, полученной для одного отклоняющего импульса.
7. Способ по п.6, в котором при определении искомого параметра сигналы спинового эха, полученные в ответ на последовательность радиоимпульсов, суммируют по индексу j для выбранного значения i.
8. Способ по п.7, в котором при суммировании находят взвешенную сумму.
9. Способ по п.8, в котором при определении искомого параметра выполняют пространственное отображение, преобразующее спиновую плотность в положение в пространстве.
10. Способ по п.5, в котором также определяют спины, относящиеся к определенной части зоны исследования, находящейся за пределами скважины.
11. Способ по п.9, в котором также определяют спины, относящиеся к определенной части зоны исследования, находящейся за пределами скважины.
12. Способ по п.5, в котором спины также разбивают на сектора по азимуту.
13. Способ по п.9, в котором спины также разбивают на сектора по азимуту.
14. Способ по п.1, в котором стадии (а)-(г) проводят повторно для нескольких различных угловых положений прибора по азимуту.
15. Способ по п.14, в котором прибор ЯМК вводят в скважину в составе забойной компоновки.
16. Способ по п.1, в котором функцией Бесселя является функция Бесселя нулевого порядка и первого рода.
17. Устройство для определения параметра горной породы в зоне ее исследования, выбранного из группы, включающей функцию спиновой плотности, пористость, насыщенность, проницаемость, время продольной релаксации и время поперечной релаксации, содержащее
а) магнит, создающий в зоне исследования постоянное магнитное поле,
б) излучатель, излучающий последовательность радиоимпульсов и генерирующий в зоне исследования радиочастотное магнитное поле, имеющее в зоне исследования переменную в пространстве напряженность,
в) процессор, управляющий излучателем и задающий по меньшей мере один из указанных радиоимпульсов таким образом, чтобы его длительность удовлетворяла соотношению

где n – длительность n-го импульса; j0,n – функция Бесселя,
г) приемник, принимающий сигналы ядерного магнитного резонанса (ЯМР), вызванные радиочастотным магнитным полем, и
д) процессор, определяющий искомый параметр на основе сигналов ЯМР.
18. Устройство по п.17, в котором сигналы ЯМР представляют собой сигналы затухания свободной индукции.
19. Устройство по п.17, в котором последовательность радиоимпульсов включает в себя отклоняющие импульсы и рефокусирующие импульсы, а принимаемые сигналы ЯМР представляют собой сигналы спинового эха.
20. Устройство по п.17, в котором процессор, определяющий искомый параметр, выполнен с возможностью определения спиновой плотности как функции напряженности радиочастотного магнитного поля.
21. Устройство по п.20, в котором процессор, определяющий искомый параметр, выполнен с возможностью преобразования спиновой плотности в положение в пространстве.
22. Устройство по п.20, в котором последовательности радиоимпульсов имеют вид

где ТЕ – временной интервал между рефокусирующими импульсами R; j – отклоняющий импульс; TW – время ожидания; i – индекс порядкового номера рефокусирующего импульса и j – индекс порядкового номера импульсной последовательности Карра-Перселла-Мейбума-Гилла (КПМГ) или модифицированной последовательности КПМГ, полученной для одного отклоняющего импульса.
23. Устройство по п.17, в котором для излучения радиоимпульсов и приема вызванных ими сигналов ЯМР используется одна и та же антенна.
24. Устройство по п.17, в котором функцией Бесселя является функция Бесселя нулевого порядка и первого рода.
25. Способ формирования последовательности радиоимпульсов для применения в приборе на основе ядерно-магнитного резонанса (ЯМР), заключающийся в том, что
а) задают длительность по меньшей мере одного импульса последовательности радиоимпульсов, исходя из соотношения

где n – длительность n-го импульса; j0,n – функция Бесселя,
б) посредством указанной последовательности радиоимпульсов создают радиочастотное поле и
в) анализируют сигналы ЯМР, вызванные созданным радиочастотным полем.
26. Способ по п.25, в котором функцией Бесселя является функция Бесселя нулевого порядка и первого рода.
27. Устройство на основе ядерно-магнитного резонанса (ЯМР), содержащее
а) процессор, задающий длительность по меньшей мере одного импульса последовательности радиоимпульсов, исходя из соотношения

где n – длительность n-го импульса; j0,n – функция Бесселя, и посылающий эту последовательность радиоимпульсов в излучатель, создающий радиочастотное поле,
б) приемник, принимающий сигналы ЯМР, вызванные радиочастотным полем,
в) процессор, анализирующий принятые сигналы ЯМР.
28. Устройство по п.27, в котором функцией Бесселя является функция Бесселя нулевого порядка и первого рода.
РИСУНКИ
|
|