Патент на изобретение №2318179
|
||||||||||||||||||||||||||
(54) СПОСОБ ОЧИСТКИ СООРУЖЕНИЙ ОТ НАЛЕДЕЙ
(57) Реферат:
Изобретение относится к области обеспечения безопасной эксплуатации инженерных сооружений в условиях их обледенения. Способ очистки сооружения от наледей включает воздействие на них взрыва облака топливовоздушной смеси, накрывающей обледеневшее сооружение или его часть. При этом в области распыления, в том числе на поверхности наледи, размещают с плотностью распределения n=
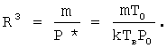
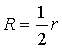
Изобретение относится к области обеспечения безопасной эксплуатации инженерных сооружений в условиях их обледенения. Обледенение представляет серьезную угрозу работоспособности технических устройств и может приводить к аварийным ситуациям, поэтому существует потребность принятия экстренных эффективных мер по очистке сооружений от наледей [1]. К известным способам борьбы с обледенением относятся различные варианты антиадгезионной обработки поверхности конструкций. Полностью исключить адгезию льда при этом не удается [2]. Применяется также механическое удаление наледей ударами, что является малоэффективным и трудоемким делом, особенно при необходимости удаления наледей на крупных сооружениях. Радикальным средством ударного воздействия можно считать взрыв, в частности взрыв топливовоздушной смеси (ТВС). В известном способе разрушения льда из подводного положения [3] в воду погружают оболочку, снаряженную инициирующими зарядами, закачивают в нее газовое топливо и окислитель и подрывают. В известном способе, применяемом в военном деле [4], объемно-детонирующую ТВС распыляют вышибным зарядом и поджигают вторым зарядом, замедленным относительно первого. В этих способах масса вышибных и инициирующих зарядов не ограничивается требованиями безопасности сооружения. Поэтому применение этих вариантов взрыва ТВС для удаления наледей, образующихся на сооружениях, не является безопасным для этих сооружений и рациональным в отношении использования энергии ТВС. Задачей изобретения является повышение эффективности и снижение трудоемкости очистки сооружений от наледей с соблюдением условий безопасного применения предлагаемой технологии. Поставленная задача достигается взрывом распыленного облака топливовоздушной смеси, накрывающего обледеневшее сооружение или его часть. При этом взрыв облака инициируется от взрывов поджигающих зарядов массой в смеси с красителем, где s – стехиометрическая концентрация топлива, Физические и технические основы способа заключаются в следующем. Взрывы ТВС производят ударно-вибрационное воздействие на сооружение. Если облако ТВС примыкает к обледеневшим конструкциям, обволакивая их, то при взрыве ТВС на наледь воздействуют: 1) ударная волна, имеющая пик давления порядка 2-3 МПа [4]; 2) волны сжатия, отраженные от границ с невозмущенной средой, которые инвертируются в волны разряжения; 3) после выгорания смеси (примерно через 0,1-0,5 с в зависимости от ее объема и состава) в облаке с продуктами сгорания наступает отрицательный перепад давления до уровня ниже атмосферного, который сменяется повторным ударным сжатием облака [5]. Наледи представляют собой сплоченный массив льда – «ледовую шубу» на элементах конструкции. Чтобы отделить «шубу» от конструкции, требуется сначала фрагментировать ее, т.е. сделать отверстия или надрезы. Для этого предлагается размещать часть поджигающих зарядов на поверхности льда, причем масса отдельного заряда должна быть такой, чтобы ударной волной от его взрыва не повредить конструкцию. Пик давления в ближней зоне ударной волны и в воздухе, и во льду описывается приблизительно одинаковой зависимостью [6]: где R – расстояние пробега волны. Поэтому условием фрагментации «шубы» будет: Взрыв ТВС необходимо осуществить одновременно во всем ее объеме, так как только в этом случае достигается максимальный эффект отрыва фрагментированной наледи волной разряжения на стадии полного выгорания ТВС. Для этого необходимо поддерживать детонационный режим возгорания ТВС по мере распространения ударной волны от инициирующих зарядов. Этого можно добиться, разместив поджигающие заряды избранной малой массы m по объему V распыленного облака ТВС с равномерной плотностью распределения (с расстоянием r между поджигающими зарядами) в количестве так, чтобы температура воздуха на фронте инициирующей ударной волны во всех точках заряда ТВС была Тв Температура воздуха на фронте инициирующей ударной волны зависит от давления P*(R) [5]: где k – табулировано [5], Р0 – атмосферное давление (0,1 МПа), Т0=288К. Принимая
так как из (2) и (4)
Тогда, учитывая, что n= Пример расчета: Выбираем в качестве топлива керосин. Температура воспламенения паров керосина в воздухе Тв=508÷538К. По таблице параметров ударной волны в воздухе [5] для температуры Тв находим: k Рассмотрим случай обледенения с параметрами: Предположим, что предельно допустимое воздействие ударной волны на конструкцию определяется допустимыми напряжениями на срез для сварных швов: Для осуществления одновременности подрыва ТВС поджигающие заряды включают в цепь электроподрыва по возможности без замедления в цепи, т.е. параллельным включением. Необходимая масса топлива выбирается из расчета полного ее выгорания в воздухе при сохранении стехиометрической концентрации в облаке заряда ТВС. Так как масса кислорода в воздухе составляет 23%, то массу топлива желательно выбирать не менее определяемой уравнением (1). На основании ранжирования дистанций безопасности по давлению ударной волны от взрыва выбранной смеси, определяемой соотношением [5]: где q – тротиловый эквивалент теплоты сгорания топлива, проводятся предохранительные мероприятия с чувствительным оборудованием и живыми организмами. При этом для ранжирования используют критерии разрушения сооружений и материалов и критерии поражения живых организмов [7]. После этого можно распылять топливо в намеченном поджигающими зарядами объеме обледеневшего сооружения. Подача и распыление топлива осуществляется устройством, в состав которого входят пульверизаторы, компрессор и шланги-воздухопроводы. Компрессор находится за чертой безопасности, а пульверизаторы с топливом – в зоне предполагаемого распыления. Пульверизаторы запускаются в работу одновременно от одного компрессора. При визуальном наблюдении расширения капельно-воздушного облака ТВС замыкают цепь электроподрыва в момент перекрытия облаком совокупности поджигающих зарядов. Для осуществления визуального наблюдения за облаком ТВС с дистанции безопасности в состав топлива включают краситель, который поможет определить нештатную ситуацию, например, в связи с действием ветра, и вовремя отказаться от взрыва ТВС. Для усиления энергетики взрыва в качестве красителя полезно использовать термит (смесь порошка алюминия с окислами железа). Следует отметить, что в экологическом отношении эпизод взрыва ТВС не более опасен, чем работа двигателя внутреннего сгорания. Источники информации 5. Физика взрыва / под ред. Л.П.Орленко. – М.: Физматлит, 2002. – Т.1. – 823 с. 7. Баткер У. и др. Взрывные явления. Оценка и последствия / перевод с англ. – М.: Мир, 1986. – Кн.1, 2.
Формула изобретения
1. Способ очистки сооружения от наледей взрывом облака распыленной топливовоздушной смеси, накрывающей обледеневшее сооружение или его часть, отличающийся тем, что в области распыления, в том числе на поверхности наледи, размещают с плотностью распределения n= 2. Способ по п.1, отличающийся тем, что топливо распыляют из пульверизаторов, распределенных по позициям возле сооружения и подключенных к одному воздушному компрессору. 3. Способ по п.1 или 2, отличающийся тем, что в качестве красителя используют термит.
|
||||||||||||||||||||||||||

Tв/m, шт/м3; поджигающие заряды ВВ массой
кh3>m
N/n, кг, в смеси с красителем, где s – стехиометрическая концентрация топлива, 



и производя соответствующие подстановки, получим:


3 при давлении Р*
120÷130 шт/м3.
7 кг/мм2 (70 МПа). Тогда максимально допустимая масса поджигающего заряда будет равна m