Патент на изобретение №2159774
|
||||||||||||||||||||||||||
(54) ПРОИЗВОДНЫЕ СУЛЬФАМАТА, СПОСОБ ИХ ПОЛУЧЕНИЯ И ФАРМАЦЕВТИЧЕСКИЕ СОСТАВЫ
(57) Реферат: Изобретение относится к сульфаматным производным производных 1,3,5(10)-экстратриена общей формулы (I), где R1 – COR3, -COOR4, -CONR5R6, -SO2R4 или -SO2NR5R6, где R3 и R4 независимо C1 – C5алкил, C3 – C6циклоалкил или фенил, R5 и R6 независимо C1 – C5алкил; R2 – атом водорода или C1 – C5алкил; R7 и R8 независимо атом водорода или C1 – C5алкоксигруппа; R9 и R10 – атом водорода или совместно метиленовая группа; R11 – R13 независимо атом водорода или гидроксильная группа, при необходимости этерифицированная физиологически приемлемыми неорганическими или органическими кислотами, или R12 и R13 алкинил до 5 атомов углерода и R8, R11 и R12 независимо расположены в – или -положении. Кроме того, описан способ получения соединений I и фармацевтические составы, содержащие эти соединения. Соединения согласно изобретению обладают эстрогенным действием. 3 с. и 1 з. п. ф-лы, 4 табл.
(I)
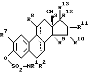
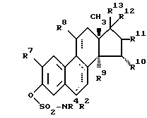
Изобретение относится к новым сульфаматным производным производных 1,3,5(10)-эстратриена, способу их получения и к фармацевтическим составам, содержащим эти соединения. Эстрогены играют значительную роль в гормональной контрацепции и в климаксном лечении восполнением гормонов, а также при лечении гинекологических (например, рак молочной железы) и андрологических (например, рак предстательной железы) картинах болезни. При лечении восполнением гормонов и для контрацепции эстрогены применяют в подавляющем большинстве случаев в комбинации с гестагеном, как, например, левоноргестрел, дезогестрел, норетистерон, ципротероназетат, хлормадиноназетат, диеногест. В случае контрацепции эстрогены необходимы, с одной стороны, для того, чтобы надежно подавить созревание фолликул и овуляцию, с другой стороны, они затем замещают в значительной степени подавленную эндогенную и яичниковую секрецию эстрадиола. Это замещение является существенным для сохранения искусственного менструального цикла и других функций половых органов, что с одним гестагеном достигается в неудовлетворительной степени. Наряду с этим эндогенные и экзогенные эстрогены имеют в женском организме функции, относящиеся к центральной нервной системе, и метаболические функции: нормальный уровень эстрогенов имеет решающее значение для хорошего самочувствия. Их присутствие противодействует возникновению сердечно-сосудистых заболеваний через различные механизмы: создание “благоприятных” структур липопротеина в крови, сдерживание отложения липидов на стенках сосудов, понижение давления крови за счет благоприятного воздействия на сосудистый тонус, снижение перфузионного сопротивления в важных областях сосудов, притупление контракционных раздражителей мышцы сосуда. Под воздействием эстрогенов внутренние стенки сосудов выделяют факторы, которые противодействуют образованию сгустков крови. Для женщины эстрогены являются жизненно необходимыми для сохранения костной структуры. Их потеря может вызывать развитие деструкции кости (остеопороз). Указанные выше “относящиеся к центральной нервной системе” и “метаболические” функции эстрогенов являются существенными для лечения восполнением гормонов. Можно считать доказанным, что эстрогены в организме мужчины выполняют аналогичные функции, и их отсутствие приводит к аналогичным нарушениям, как и у женщин. Только то обстоятельство, что производство гормонов у мужчин является менее регулярным и прекращается в более позднем возрасте, чем у женщин, определяет разницу полов. При всех положительных аспектах эстрогенной терапии имеются нерешенные проблемы, которые ограничивают терапевтическое применение эстрогенов или вызывают нежелательные воздействия. Известные эстрогены имеют фармакокинетические дефициты. Натуральные эстрогены (эстрадиол, эстрон, эстронсульфат, сложный эфир эстрадиола, эстриол) при оральном применении лишь в незначительной степени становятся биологически доступными. Это количество индивидуально так изменяется, что общие рекомендации относительно дозировки невозможны. Проблемным является также быстрое выведение веществ из крови. Замена эстрогенов при лечении восполнением гормонов очень часто должна подбираться индивидуально. То же относится к синтетическим эстрогенам. Важнейшим синтетическим модифицированным эстрогенным стероидом является этинилэстрадиол. Этот эстроген является наиболее часто применяемым в оральной гормональной контрацепции. Наряду с этинилэстрадиолом в некоторых продуктах используют местранол, который является “пролекарством” и путем обмена веществ превращается в организме в этинилэстрадиол. Этинилэстрадиол при оральном применении (человеком) биологически намного более доступен, чем названные выше натуральные эстрогены, однако оральная биологическая доступность индивидуально изменяется чрезвычайно сильно. Многие авторы указывали на это обстоятельство, а также на частично беспорядочное изменение его уровня в крови после орального применения этого вещества (Гольдциер Д.В. в 1989, Гольдциер Д.В. в 1990, Хюмпель М. в 1987, Кунц в 1993 г.). Наряду с этим, известные эстрогены имеют фармакодинамические дефициты. При оральном применении активные вещества после ресорбции из просвета кишки через печень попадают в организм. Для эстрогенных активных веществ это обстоятельство имеет особое значение, так как печень является органом-эффектором для эстрогенов и их оральное применение и связанный с этим проход через печень приводит к сильным эстрогенным эффектам в печени. К секреционной деятельности, которая в человеческой печени регулируется эстрогеном, принадлежит, среди прочего, синтез транспортных белков CBG, SHBG, TBG, ангиотензиноген, различные факторы, которые играют важную роль в физиологии очистки крови, и липопротеины. Если в женский организм вводят натуральные эстрогены в обход печени, например, при трансдермальном применении, то названные функции печени остаются практически неизменными. Терапевтически эквивалентные дозы натуральных эстрогенов (определение смотри выше) приводят при оральном применении к явным реакциям гепатитных параметров: повышение SHBG, CBG, ангиотензиноген, высокая плотность липопротеинов. Значительно более ярко выражены, чем для натуральных эстрогенов, соответствующие гепатитные эстрогенные эффекты для эквинных эстрогенных смесей, так называемых конъюгированных эстрогенов (С. Кэмпбелл и сотрудники, 1981 г.). Еще более сильную гепатитную эстрогеничность имеют этинилэстрадиол и DES. Из-за антигонадотропных свойств этинилэстрадиол в печени, примерно, в 4-18 раз более эффективен как эстроген, чем применяемые орально натуральные эстрогены (С.Кэмпбелл и сотрудники, 1981 г.). Таким образом, имеет место очень неблагоприятная диссоциация свойств. Эти дефициты имеют большое клиническое значение для применения известных натуральных и синтетических эстрогенов. В случае эстрогенной терапии с применением больших доз эстрогенов для мужчин с раком предстательной железы известным осложнением является тромбоэмболические заболевания со смертельным исходом. В более слабой форме возможность побочных явлений обычных эстрогенов в печени определяет стратегию оральной гормональной контрацепции. В отношении желательных контрацептивных эффектов и сохранения месячной менструации, с одной стороны, и учета значительного потенциала побочных явлений, с другой стороны, сложность управления желаемым уровнем этинилэстрадиола в крови является большой проблемой в смысле миграции. Значительное в процентном отношении число женщин не может применять оральные контрацептические средства возможно потому, что либо аномалии кровотечения, либо вызываемые эстрогеном побочные явления переходят допустимые границы. Гормональная терапия натуральными гормонами при современной технологии требует повсеместно индивидуального подбора дозировки. Соответствующее лечение во многом небезопасно и содержит конкретную опасность передозировки и недодозировки. Поэтому задачей данного изобретения является создание новых эстрогенно эффективных соединений, которые не имеют названных выше недостатков. Поставленная задача согласно изобретению решается созданием новых производных сульфамата общей формулы I ![]() где R1 является группой -CO-R3-, -CO-OR4-, -CO-NR5R6-, -SO2-R4– или -SO2– NR5R6-, где R3 является атомом водорода или имеет значение R4, R4 представляет собой C1-C5-алкил, C2-C5-алкенил, C3-C6-циклоалкил или арил с атомами углерода вплоть до 9, R5 и R6 независимо друг от друга обозначают атом водорода, C1-C5-алкил, арил вплоть до 9 атомов углерода или вместе с атомом азота обозначают полиметилениминовый остаток с 3-6 атомами углерода или морфолиновый остаток, R2 является атомом водорода или физиологически приемлемым металлом или имеет значение R4, R7 и R8 независимо друг от друга обозначают атом водорода, группу гидрокси или остаток C1-C5-алкокси, R9 и R10 каждый является атомом водорода или совместно обозначают метиленовую группу, R11, R12 и R13 независимо друг от друга обозначают атом водорода или группу гидрокси, которая при необходимости этерифицирована физиологически приемлемыми неорганическими или органическими кислотами, или R12 или R13 является алкиниловым остатком вплоть до 5 атомов углерода, кольца B и C, при необходимости, содержат одну или две двойных связи, и R8, R11 и R12 независимо друг от друга расположены в – или -положении.
Физиологически приемлемыми металлами, которые могут присутствовать в остатке R2, являются, например, щелочные или щелочноземельные металлы. Особенно предпочтительными являются натрий и калий.
Обычными физиологически приемлемыми неорганическими и органическими кислотами, которыми могут быть этерифицированы гидроксильные группы остатков R11, R12 и R13, являются, например, фосфорная, серная, щавелевая, малеиновая, фумаровая, молочная, винная, яблочная, лимонная, салициловая, адипиновая и бензойная кислоты.
Другие возможные для применения кислоты описаны, например, в сборнике Fortschritte der Arzneimittelforschung, том 10, стр. 224-225, издательство Birkhauser Verlag, Базель и Штутгарт, 1966, и в журнале Journal of Pharmaceutical Sciences, том 66, стр. 1-5 (1977).
Соединения согласно изобретению превосходят этинилэстрадиол в отношении системной оральной эстрогенной эффективности. Они имеют более благоприятное соотношение желательных и терапевтически нежелательных эффектов. При максимальных эстрогенных эффектах в матке, соответственно во влагалище, эти вещества в печени не более эстрогенны, чем натуральные эстрогены при парентеральном применении в системно эквипотенциальных дозах. За счет этого соотношения с помощью новых, эстрогенно эффективных соединений согласно изобретению достигаются преимущества по сравнению со всеми применяемыми сегодня в оральной терапии или известными натуральными и синтетическими эстрогенами.
Неожиданно было установлено, что ацилирование, сульфонирование или амидосульфонирование 3-сульфаматной группы производных 1,3,5(10)-эстратриена, в противоположность алкилированию, не ослабляет системное эстрогенное воздействие, а усиливает его. Доказанное для соединений согласно изобретению более слабое эстрогенное воздействие на гепатитные эстрогенные параметры по сравнению с сильной системной активностью является дополнительным преимуществом соединений согласно изобретению по сравнению с применяемыми в настоящее время в оральной терапии натуральными и синтетическими эстрогенами.
Доказательство преимущественных свойств соединений согласно изобретению проводилось экспериментами над животными:1. Индукция роста матки и вагинального ороговения после одноразового орального применения для овариэктомированных крыс (тест Аллена-Дойзи): тест для количественной оценки системного эстрогенного воздействия. 2. Измерение системного и гепатитного эстрогенного воздействия на овариэктомированных крысах в течение и после 7-дневного лечения: тест для определения соотношения системного и гепатитного эстрогенного воздействия. В тесте Аллен-Дойзи производилось одноразовое применение испытуемого вещества, соответственно лекарственной основы, в день 1 (= dl). Наблюдение и эксперимент заканчивались на 4-ый день (= d4). До этого ежедневно контролировали вагинальную цитологию. В конце эксперимента измеряли вес маток. В тесте на системную и гепатитную эстрогенную активность начало лечения обозначалось как день 1 (= dl), концом лечения был день 7 (=d7). В день 8 зверьков умерщвляли, извлекали и взвешивали различные органы (матки, надпочечники, печень). Кровь брали под эфирным наркозом перед лечением (= d0) в d4 и d8 из ретробульбарного сплетения. В полученной сыворотке определяли ангиотензин 1, холестерин, холестерин HDL и другие факторы. Ангиотензин 1 является показателем непосредственного эстрогенного воздействия в печени, это же относится к общему холестерину и к холестерину HDL. Методы измерений: Ангиотензин – модифицированный RIA для активности ренина, фирма Зорин; Холестерин/HDL – ферментативные тесты, фотометрическое измерение, реагенты фирмы Д-р Бруно Ланге ГмбХ. Результаты испытаний: 1. Системное эстрогенное воздействие: представлено дозировкой, при которой индуцируется вагинальная течка. 2. Гепатитное эстрогенное воздействие: представлено дозировкой, которая удваивает вес матки по сравнению с овариэктомированными контрольными животными: дозировками, которые вызывают 50% увеличение, соответственно уменьшение, определенных параметров по сравнению с контрольными животными или с исходными величинами. Подопытные животные: Взрослых самок крыс Вистар (питомник: фирма Тирцухт Шенвальде ГмбХ) овариэктомировали. После двух недель начали лечение. Приведенные дозировки сложных эфиров относятся к стероидному компоненту веществ. Соединение отдельных животных в группы производилось рандомизированием. Результаты экспериментов над животными представлены в таблицах 1 и 2: 1. Системная эстрогенная активность. В таблице 1 показано, что ацилсульфаматы эстрона и эстрадиола вызывают 100% вагинальное ороговение при более низкой дозировке, чем исходные эстрогены. Эти соединения превосходят даже этинилэстрадиол. Более высокая системная активность ацилсульфаматов следует также из сравнения роста матки под воздействием испытуемых эстрогенов. Из таблицы 1 следует, что ацилсульфаматы сильнее стимулируют рост матки, чем остальные испытуемые рекомендуемые эстрогены. Гепатитная эстрогенная активность. В таблице 2 указаны дозировки исследованных веществ, которые по сравнению с контрольными группами удваивают вес матки, соответственно на 50% изменяют уровень содержания в крови ангиотензина-1 и холестерина HDL. Для этинилэстрадиола определенное таким образом значение гепатитной активности составляет меньшую дозу, чем та, которая ведет к удвоению веса матки. Частично это относится также к исследованным натуральным эстрогенам. Ацилсульфаматные эстрогены проявляют гепатитную активность согласно определению только при дозировках, намного превышающих области воздействия на матку. Как следует из таблиц 1 и 2, производные согласно изобретению натуральных и синтетических эстрогенов проявляют по сравнению с их исходными эстрогенами сильно возросшее системное эстрогенное воздействие. За счет этого легче достигаются терапевтические эффекты, т.е. с меньшими дозами, чем при оральном применении исходных эстрогенов. Снижение нежелательных эффектов обмена веществ подтверждено наблюдаемым уменьшением гепатитного эстрогенного воздействия по сравнению с повышенной системной активностью. Другим предметом изобретения является способ получения производных сульфамата общей формулы I ![]() где остатки R1-R13 имеют указанные выше значения, в котором известным самим по себе способом подвергают взаимодействию а) производные эстра-1,3,5(10)-триен-3-ил-сульфамата, в которых с атомом азота сульфаматного остатка соединен, по меньшей мере, один атом водорода, с активированной карбоновой кислотой, карбамидной кислотой, сульфокислотой или амидосульфокислотой или b) производные 3-гидрокси-эстра-1,3,5(10)-триена подвергают взаимодействию, при необходимости, в присутствии основания с активированной N-ацил-амидосульфокислотой, N-сульфонил-амидосульфокислотой или N-амидосульфонил-амидосульфокислотой, полученные таким способом продукты, при необходимости, соответствующим образом подвергают взаимодействию далее и, при необходимости, полученные таким способом продукты переводят в физиологически приемлемые соли металлов. Другим предметом настоящего изобретения являются фармацевтические составы, содержащие, по меньшей мере, одно производное общей формулы I ![]() где остатки R1 – R13 имеют указанные выше значения, при необходимости, вместе с фармацевтически приемлемыми вспомогательными веществами и наполнителями. Предметом настоящего изобретения являются также фармацевтические составы и лекарственные средства для орального, ректального, вагинального, подкожного, чрескожного, внутривенного или внутримышечного применения, которые наряду с обычными наполнителями и разбавителями содержат соединение общей формулы I. Лекарственные средства согласно изобретению изготавливают известным способом в подходящих дозах с помощью обычных твердых или жидких наполнителей или разбавителей и применяемых обычно фармацевтически-технических вспомогательных средств в соответствии с желаемым способом применения. Предпочтительными формами приготовления являются формы применения, которые пригодны для орального применения. Такими формами применения являются, например, таблетки, таблетки в оболочке, драже, капсулы, пилюли, порошки, растворы или суспензии или препараты пролонгированного действия. Возможны также, естественно, парентеральные формы приготовления, например инъекционные растворы. Кроме того, в качестве форм приготовления необходимо назвать также, например, суппозитории и средства для вагинального применения. Соответствующие таблетки можно получать посредством смешивания активного вещества с известными вспомогательными веществами, например с инертными разбавителями, как, например, декстроза, сахар, сорбит, маннит, поливинилпирролидон, с разбрызгивающими средствами, как, например, кукурузный крахмал или альгиновая кислота, связующими средствами, как, например, крахмал или желатин, с мягчителями, например стеарат магния или тальк, и/или со средствами для обеспечения пролонгированного действия, как, например, карбоксилполиметилен, карбоксилметилцеллюлоза, ацетатфталат целлюлозы или поливинилацетат. Таблетки могут состоять также из нескольких слоев. Соответственно драже могут быть изготовлены посредством покрытия основы, изготовленной аналогично таблеткам, используемыми при производстве драже средствами, например поливинилпирролидон или шеллак, гуммиарабик, тальк, двуокись титана или сахар. При этом оболочка драже также может состоять из нескольких слоев, при этом могут быть использованы указанные для таблеток вспомогательные вещества. Растворы или суспензии с активным веществом согласно изобретению могут содержать дополнительные, улучшающие вкус средства, например сахарин, цикламат или сахар, а также, например, ароматические вещества, например ванилин или апельсиновый экстракт. Кроме того, они могут содержать суспендирующие средства, например натриевую соль карбоксиметилцеллюлозы, или консерванты, например п-оксибензоат. Капсулы, содержащие активные вещества, могут быть изготовлены, например, посредством смешивания активного вещества с инертным наполнителем, например молочным сахаром или сорбитом, и помещения в желатиновые капсулы. Соответствующие суппозитории могут быть изготовлены, например, посредством смешивания предусмотренных для этого наполнителей, как, например, нейтральных жиров, или полиэтиленгликоля, или их производных. Изобретение поясняется нижеследующими примерами: Пример 1. 17-оксо-эстра-1,3,5(10)-триен-3-ил-(N-ацетил)сульфамат (J 1046) Эстронсульфамат (2,0 г) растворяют в пиридине. В этот раствор добавляют ацетангидрид (100 мл) и размешивают смесь 2 часа при +23oC. Затем разлагают льдом, осадок отфильтровывают, промывают нейтрально водой и сушат в потоке воздуха. Перекристаллизация из ацетона ведет к образованию указанного в заголовке соединения. Температура текучести: 218-223oC (ацетон). Пример 2 17 -гидрокси-эстра-1,3,5(10)-триен-3-ил-(N-бутирил)-сульфаматЭстронсульфамат (1,3 г) растворяют в смеси дихлорметана (45 мл) и триэтиламина (0,5 мл). При помешивании добавляют при +23oC п-диметиламинопиридин (0,455 г) и ангидрид масляной кислоты (12 мл). После размешивания в течение 20 часов при +23oC 5 мл реакционного раствора промывают водой (каждый раз 70 мл), сушат над безводным сульфатом натрия и сгущают в ротационном вакуум-выпаривателе. Остаток разбавляют н-гексаном (50 мл), после чего проводят кристаллизацию. Часть отфильтрованных кристаллов (0,9 г), которые представляют собой 17-оксо-эстра-1,3,5(10)-триен-3-ил-(N-бутирил)сульфамат, растворяют в смеси тетрагидрофурана (36 мл) и метанола (36 мл). К охлажденному до +5oC раствору при помешивании добавляют боргидрид натрия (0,36 г). После окончания восстановления (контроль DC) смесь нейтрализуют уксусной кислотой, а продукт осаждают водой. Перекристаллизация из ацетона/н-гексана ведет к образованию указанного в заголовке соединения. Температура текучести: 197-201oC (ацетон/н-гексан). Пример 3 17-оксо-эстра-1,3,5(10)-триен-3-ил-(N-пропионил)-сульфамат В раствор эстронсульфамата (1,0 г) в дихлорметане (35 мл) добавляют один за другим триэтиламин (0,4 мл), п-диметиламинопиридин (0,35 г) и ангидрид пропионовой кислоты (7,4 мл). Реакционную смесь перемешивают в течение 20 часов при +23oC, затем разлагают льдом. Органическую фазу промывают насыщенным водным раствором бикарбоната натрия и водой, сушат над безводным сульфатом натрия и сгущают в ротационном вакуум-выпаривателе, в результате чего получают указанное в заголовке соединение. Температура текучести: 209-211oC. Пример 4 17-оксо-эстра-1,3,5(10)-триен-3-ил-(N-трет-бутокси-карбонил) сульфамат Эстронсульфамат (2,0 г), растворенный в дихлорметане (70 мл), аналогично примеру 3 этерифицируют Вос-ангидридом (2,5 г) в присутствии триэтиламина (0,8 мл) и п-диметиламинопиридина (0,7 г). Реакция заканчивается через один час при +23oC. Полученный после обработки продукт хроматографируют на силикагеле (растворитель: дихлорметан/этилацетат; 7/3 по объему) и затем перекристаллизовывают из ацетона/н-гексана. Температура текучести: 166-169oC (ацетон/н-гексан). Пример 5 17-гидрокси-19-нор-17 -прегна-1,3,5(10)-триен-20-ин-3-ил-(N-ацетил)сульфамат17-гидpoкcи-19-нop-17 -пpегнa-1,3,5(10)-триен-20- ин-3-ил-сульфамат (2 г) растворяют в пиридине (50 мл). В раствор добавляют ацетангидрид (50 мл) и перемешивают смесь 2 часа при +23oC. Обрабатывают в соответствии с примером 1 до образования указанного в заголовке соединения, которое перекристаллизовывали из ацетона.
Температура текучести: 218-221oC (ацетон).
Пример 616 ,17 -дигидрокси-эстра-1,3,5(10)-триен-3-ил-(N,N-диметилкарбамоил) сульфамат16 ,17 -бис-(трет-бутил-диметил) силилокси-эстра-1,3,5 10)-триен-3-ил-сульфамат (1,98 г) растворяют в дихлорметане (50 мл) и триэтиламине (4,9 мл). После добавления п-диметиламинопиридина (0,22 г) и диметилкарбамоилхлорида (3,3 мл) реакционную смесь перемешивают 20 часов при +23oC. Затем раствор последовательно промывают разбавленной соляной кислотой, водой, насыщенным водным раствором бикарбоната натрия и водой, сушат над безводным сульфатом натрия и сгущают в ротационном вакуум-выпаривателе. Остаток растворяют в смеси (75 мл) уксусной кислоты, воды и тетрагидрофурана (3/1/1 по объему). После отстаивания в течение 60 часов при +23oC смесь нейтрализуют насыщенным водным раствором бикарбоната натрия и экстрагируют дихлорметаном. Объединенные экстракты промывают водой, сушат над безводным сульфатом натрия м сгущают в ротационном вакуум-выпаривателе. Получают указанное в заголовке соединение в виде аморфной белой массы.
Пример 717-оксо-эстра-1,3,5(10)-триен-3-ил[N-метил-N-(N’-метил) сульфамоил]сульфамат В раствор эстрона (3,0 г) в дихлорметане (1,2 л) и триэтиламине (28,5 мл) по каплям добавляют N-метилсульфамоилхлорид (3 мл). Смесь перемешивают 1,5 часа при +23oC, затем разлагают водой (200 мл), промывают органическую фазу последовательно разбавленной соляной кислотой (1/1 по объему), водой, насыщенным водным раствором бикарбоната натрия и водой, сушат органическую фазу безводным сульфатом натрия и сгущают ее в ротационном вакуум-выпаривателе. Полученный полуфабрикат очищают посредством хроматографии на силикагеле (разбавитель: толуол/хлороформ/метанол; 80/15/5 по объему). После перекристаллизации из ацетона/н-гексана получают указанное в заголовке соединение. Температура текучести: 179-185oC (ацетон/н-гексан). Пример 8 17-оксо-эстра-1,3,5(10)-триен-3-ил(N-трет-бутил-N-трет-бутоксикарбонил)сульфамат Эстронсульфамат (2,0 г), растворенный в дихлорметане (70 мл), аналогично примеру 3 этерифицируют Вос-ангидридом (2,5 г) в присутствии триэтиламина (0,8 мл) и п-диметиламинопиридина (0,7 г), при этом реакционную смесь оставляют на ночь при +23oC. Полученный после обработки продукт хроматографируют на силикагеле (растворитель: дихлорметан/этилацетат; 7/3 по объему) и затем перекристаллизовывают из ацетона/н-гексана. Tемпepaтуpa текучести: 162-167oC (ацетон/н-гексан). Пример 9 17 -гидрокcи-экcтpa-1,3,5(10)-триен-3-ил-(N-ацетил)-сульфамат (J 1045)17-оксо-эстра-1,3,5(10)-триен-3-ил-(N-ацетил)сульфамат (1,0 г), полученный по примеру 1, восстанавливают при 0oC в смеси тетрагидрофурана (100 мл) и метанола (100 мл) бораном натрия (0,68 г). После нейтрализации реакционного раствора уксусной кислотой (2 мл) его сгущают в ротационном вакуум-выпаривателе до сухого состояния. Остаток растворяют в смеси воды (150 мл) и этилацетата (150 мл). Отделяют органическую фазу, промывают водой, сушат безводным сульфатом натрия и сгущают в ротационном вакуум-выпаривателе. Остаток перекристаллизовывают из ацетона/н-гексана, при этом получают целевое соединение. Температура текучести: 198-200oC (ацетон/н-гексан). Пример 10 Эстра-1,3,5(10)-триен-3-ил-(N-ацил)сульфамат К раствору эстра-1,3,5(10)-триен-3-ил-сульфамата (1 ммоль) и п-диметиламинопиридина (1,1 ммоль) в смеси дихлорметана (14 мл) и триэтиламина (1 ммоль) при комнатной температуре добавляли хлорид или ангидрид кислоты (от 10 до 40 ммолей). Через 1,5-3 часа промывали реакционный раствор 5 раз 10%-ным водным раствором гидроокиси калия и затем водой до нейтральной реакции. Затем раствор сушили над безводным сульфатом магния и сгущали в ротационном вакуумном испарителе. Ацилсульфамат выделяли путем колоночной хроматографии на силикагеле с помощью смеси толуол/хлороформ/метанол при объемном соотношении 25/25/10 в качестве элюента и проводили кристаллизацию с помощью пригодного растворителя. Пример 11 17 -гидpoкcи-2-мeтoкcи-эcтpa-1,3,5(10)-триен-3-ил-(N- пентаноил)сульфаматСогласно примеру 10 получали 2-метокси-17-оксо- эстра-1,3,5(10)-триен-3-ил-/N-пентаноил/сульфамат исходя из 2-метокси- 17-оксо-эстра-1,3,5(10)-триен-3-ил-сульфамата и ангидрида пентановой кислоты. Температура плавления 60-63oC – (н-гексан). Восстановление этого соединения с помощью боргидрида натрия в смеси метанола и тетрагидрофурана в соответствии с примером 9 приводит к получению целевого продукта в виде бесцветного масла. 1H-ЯМР (ДМCO, ТМС): 0,67 (3H, s, 18-Н); 0,85 (3H, t, 8 Гц, CH3-(CH2)3, -); 3,52 (1H, t, 9 Гц, 17 -H); 3,73 (3H, s, 2-CH3О); 4,50 (1H, широкий сигнал, NH); 6,90 (1H, s, 4-Н); 6,96 (1H, s, 1-H) ppm.
Пример 1217 -гидрокси-14 15 -метилен-эстра-1,3,5(10)-триен-3-ил-(N-бензоил) сульфаматСогласно примеру 10 получали 17-оксо -14 ,15 – метилен-эстра- 1,3,5(10)-триен-З-ил-(N-бензоил)сульфамат исходя из 17-оксо-14 15 -метилен-эстра-1,3,5(10)-триен-3-ил-сульфамата и ангидрида бензойной кислоты. Температура плавления 232-234oC (диэтиловый эфир). Восстановление этого соединения с помощью боргидрида натрия в смеси метанола и тетрагидрофурана в соответствии с примером 9 приводит к получению целевого продукта в виде бесцветной пены.
1H-ЯМР (ДМСО/H2О, ТМС): 0,225 (2H, m, 14 15 -CHг); 0,88 (3H, s, 18-Н); 3,375 (1H, dd, 9 Гц, 6 Гц, 17 – Н); 6,93 (1H, d, 1,5 Гц, 4-H); , 99 (1H, dd, 8 Гц, 1,5 Гц, 2-Н); 7,44 (1H, d, 9 Гц, 1-H); 7,89 (2H, d, Гц, ,![]() -H от -CO-арила) ppm.
Пример 13Эстра-1,3,5(10)-триен-3,16 17/ -триил-16 17 -ди-п-гексаноат- 3-(H-гексаноил)сульфаматСогласно примеру 10 исходя из эстриол-3-сульфамата и ангидрида гексановой кислоты получают целевое соединение. Температура плавления 212-217oC (н-гексан). Пример 14 17 -гидрокси-эстра-1,3,5(10), 9(11)-тетраен-3-ил-N(гептаноил) сульфаматСогласно примеру 10 получают 17-оксо-1,3,5(10), 9(11)-тетраен-3-ил-(N-гептаноил)сульфамат исходя из 17-оксо-эстра- 1,3,5(10), 9(11)-тетраен-3-ил-сульфамата и ангидрида гептановой кислоты. Восстановлением этого соединения с помощью боргидрида натрия согласно примеру 9 получали целевое соединение. Температура плавления 148-154oC (трет-бутилметиловый эфир). Пример 15 17 -гидрокси-11 -метокси-эстра-1,3,5(10)-триен-3-ил-N -этоксикарбонил)сульфаматСогласно примеру 10 получали 11 – метокси-17-оксо-1,3,5(10)-триен-3-ил-(N-этоксикарбонил)сульфамат исходя из 11 – метокси-17-оксо-эстра-1,3,5(10)-триен-3-ил-сульфамата и этилхлорформиата. Восстановлением полученного соединения с помощью боргидрида натрия согласно примеру 9 получают целевое соединение в виде аморфной массы. 1H-ЯМР (ДМСО/D2О, ТМС): 0,83 (3H, s, 18-H); 1,19 (3H, t, Гц, CH3-CH2-); 3,17 (3H, s, 11 – OCH3); 4,09 (2H, q, Гц, CH3-CH2); 4,16 (1H, m, 11 – H); 6,875 (1H, d, 3 Гц, 4-Н); 6,96 (1H, dd, 2 Гц, 8,5 Гц, 2-Н); 7,23 (1H, d, 9 Гц, 1-H) ppm.
Пример 1617 -гидрокси-эстра-1,3,5(10),7-тетраен-3-ил-(N-ацетил) сульфаматСогласно примеру 10 получают 17-оксо-1,3,5(10),7- тетраен-3-ил-(N-aцeтил)cульфaмaт исходя из 17-оксо-эстра-1,3,5(10),7-тетраен-3-ил-сульфамата и ацетангидрида. Восстановлением этого соединения с помощью боргидрида натрия согласно примеру 9 получали целевое соединение. Температура плавления 224-227oC (н-гексан). Пример 17 Эстра-1,3,5(10)-триен-3,17 -диил-17-циклопентаноат-3- (N-циклопентанкарбонил)сульфамат. Целевое соединение получали согласно примеру 10 исходя из 17 – гилрокси-эстра-1,3,5(10)-триен-3-ил- сульфамата и циклопентанкарбонилхлорида в виде масла.
1H-ЯМР (ДМCO, ТМС): 0,752 (3H, s, 18-H); 4,76 (1H, d, 6 Гц, 17 -H); 6,89 (1H, d, 2,4 Гц, 4-H), 6,97 (1H, dd, 8,4 Гц, 2,4 Гц, 2-H); 7,40 (1H, d, 8,4 Гц, 1-H) ppm.
Пример 1817 -гидрокси-эстра-1,3,5(10)-триен-3-ил-(N-пропионил) сульфамат 17-оксо-эстра-1,3,5(10)-триен-3-ил-(N-пропионил) сульфамат, полученный по примеру 3, восстанавливали с помощью боргидрида натрия согласно примеру 9 и получали целевое соединение.
Температура плавления 199-203oC (ацетон/н-гексан).
Пример 1917 -гидрокси-эстра-1,3,5(10)-триен-3-ил-(N-фенилацетил) сульфаматСогласно примеру 10 получали 17-оксо-1,3,5(10)-триен-3-ил-(N-деканоил)сульфамат исходя из 17-оксо-эстра-1,3,5(10)- триен-3-ил-сульфамата и фенилацетилхлорида. Восстановлением этого соединения с помощью боргидрида натрия согласно примеру 9 получали целевое соединение. Температура плавления 182,5-185oC (ацетон/н-гексан). Пример 20 17 -гидрокси-эстра-1,3,5(10)-триен-3-ил- (N-трет-бутоксикарбонил)сульфаматСогласно примеру 10 получали 17-оксо-1,3,5(10)-триен-3-ил-(N- трет-бутоксикарбонил)сульфамат исходя из 17-оксо-эстра-1,3,5(10)-триен-3-ил-сульфамата и Вос-ангидрида. Температура плавления 159-165oC (ацетон/н-гексан). Восстановлением этого соединения с помощью боргидрида натрия согласно примеру 9 получали целевое соединение. Температура плавления 157-163oC (ацетон). Пример 21 16 ,17 -дигидрокси-эстра-1,3,5(10)-триен-3-ил-(N-ацетил) сульфаматСогласно примеру 10 подвергали взаимодействию 16 17 -бис-(трет-бутил-диметил)силилокси-эстра-1,3,5(10) -триен-3-ил-сульфамат с ацетангидридом. Затем силилэфирные группы удаляли, как описано в примере 6. Получали некристаллическое целевое соединение.
1H-ЯМР (ДМСО/Н2О, ТМС): 0,672 (3H, s, 18-Н); 1,75 (3H, s, CH3CO-); 3,30 (1H, d, 5,4 Гц, 17 -Н); 3,85 (1H, dd, 7,8 Гц, 6 Гц, 16 -H); 6,834 (1H, d, 2,1 Гц, 4-Н); 6,89 (1H, dd, 8,4 Гц, 2,4 Гц, 2-Н); 7,20 (1H, d, 8,7 Гц, 1-H) ppm.
Пример 2217 -гидpoкcи-эcтpa-1,3,5(10),9(П)-тетраен-3-ил-(N-ацетил)сульфаматСогласно примеру 10 получали 17-оксо-1,3,5(10),9(11)- тетраен-3-ил-(N-ацетил)сульфамат исходя из 17-оксо-эстра-1, 3,5(10), 9(11)-тетраен-3-ил-сульфамата и ацетангидрида. Восстановлением этого соединения с помощью боргидрида натрия согласно примеру 9 получали целевое соединение. Температура плавления 200-203oC (ацетон/н-гексан). Пример 23 17 -гидрокси-эстра-1,3,5(10)-триен-3-ил-(N-ацетил) сульфаматСогласно примеру 10 подвергали взаимодействию 17 – (трет-бутил-диметил)силилокси-эстра-1,3,5(10)-триен-3-ил-сульфамат с ацетангидридом. Затем силилэфирные группы удаляли, как описано в примере 6. Путем хроматографии и кристаллизации из н-гексана выделяли целевое соединение.
Температура плавления 185-188oC (н-гексан).
В таблицах 3 и 4 приведены данные по токсичности N-ацилсульфаматэстрогенов. Данные, приведенные в этих таблицах, подтверждают терапевтическую пригодность N-ацилсульфаматэстрогена.
Соединения согласно изобретению (заменители экстрогена) повышают желаемую утеротропную активность по сравнению с исходными веществами.
Одинаковая утеротропная активность достигается в случае эстрадиола при 280 мг/день по сравнению с 2,5-4 мг/день предлагаемых согласно изобретению N-ацилсульфаматных производных.
В случае эстриола за счет соответствующего замещения достигается увеличение утеротропной активности фактора 4.
С увеличением утеротропной активности наблюдается понижение нежелательного токсического эффекта.
В случае эстрадиола наблюдается отчетливое изменение липопротеинов (HDL) и ангиотензиногена при дозировке, которая удваивает вес матки по сравнению с контролем. Соединения согласно изобретению, являющиеся производными эстрогена, проявляют этот эффект только в случае фактора 20 увеличенными дозировками. В случае эстриола порог воздействия на печень лежит ниже, чем порог воздействия на матку. Предлагаемые согласно изобретению заменители этого эстрогена усиливают воздействие на матку (фактор 4) и понижают нежелательное токсическое воздействие на печень на фактор 4, т.е. предлагаемые согласно изобретению соединения примерно на фактор 16 лучше переносимы, менее токсичны, чем исходный эстриол.
Эти данные позволяют сделать вывод, что экстроген согласно изобретению более эффективен в эстрогентерапии и является менее токсичным, чем известные соединения.
Формула изобретения
![]() где R1 – группа -CO – R3, -CO – OR4, -CO – NR5R6, -SO2 – R4 или SO2NR5R6, где R3 и R4 независимо друг от друга – C1 – C5 – алкильный остаток, C3 – C6 – циклоалкильный остаток или фенильный остаток, R5 и R6 независимо друг от друга – C1 – C5 – алкильный остаток; R2 – атом водорода или C1 – C5 – алкильный остаток; R7 и R8 независимо друг от друга – атом водорода или C1 – C5 – алкоксигруппа; R9 и R10 каждый – атом водорода или совместно метиленовая группа; R11, R12 и R13 независимо друг от друга – атом водорода или гидроксильная группа, которая при необходимости этерифицирована физиологически приемлемыми неорганическими или органическими кислотами, или R12 или R13 является алкинильным остатком с числом атомов углерода до 5, и R8, R11 и R12 независимо друг от друга расположены в – или -положении.
2. Способ получения производных сульфамата по п.1, отличающийся тем, что подвергают взаимодействию производные эстра-1,3,5(10)-триен-3-ил-сульфамата, в которых с атомами азота сульфаматного остатка соединен по меньшей мере один атом водорода, с активированной карбоновой кислотой, карбамидной кислотой, сульфокислотой или амидосульфокислотой в случае необходимости в присутствии основания и при необходимости полученные продукты переводят в физиологически приемлемые соли.
3. Фармацевтические составы, проявляющие эстрогенное действие, содержащие по меньшей мере одно сульфаматное производное по п.1 при необходимости вместе с фармацевтически приемлемыми вспомогательными веществами и носителями.
РИСУНКИ
PC4A – Регистрация договора об уступке патента Российской Федерации на изобретение
Номер и год публикации бюллетеня: 34-2003
(73) Патентообладатель:
Дата и номер государственной регистрации перехода исключительного права: 06.10.2003 № 17460
Извещение опубликовано: 10.12.2003
PC4A – Регистрация договора об уступке патента Российской Федерации на изобретение
Номер и год публикации бюллетеня: 4-2004
(73) Патентообладатель:
(73) Патентообладатель:
Дата и номер государственной регистрации перехода исключительного права: 06.10.2003 № 17460
Извещение опубликовано: 10.02.2004
MM4A Досрочное прекращение действия патента Российской Федерации на изобретение из-за неуплаты в установленный срок пошлины за поддержание патента в силе
Дата прекращения действия патента: 20.09.2004
Извещение опубликовано: 20.04.2006 БИ: 11/2006
|
||||||||||||||||||||||||||

– или
-положении. Кроме того, описан способ получения соединений I и фармацевтические составы, содержащие эти соединения. Соединения согласно изобретению обладают эстрогенным действием. 3 с. и 1 з. п. ф-лы, 4 табл.
(I)



, 99 (1H, dd, 8 Гц, 1,5 Гц, 2-Н); 7,44 (1H, d, 9 Гц, 1-H); 7,89 (2H, d,
-H от -CO-арила) ppm.
Пример 13