|
| На основании пункта 3 статьи 13 Патентного закона Российской Федерации от 23 сентября 1992 г. № 3517-I патентообладатель обязуется передать исключительное право на изобретение (уступить патент) на условиях, соответствующих установившейся практике, лицу, первому изъявившему такое желание и уведомившему об этом патентообладателя и федеральный орган исполнительной власти по интеллектуальной собственности, – гражданину РФ или российскому юридическому лицу. |
|
(21), (22) Заявка: 2006135324/09, 05.10.2006
(24) Дата начала отсчета срока действия патента:
05.10.2006
(46) Опубликовано: 10.02.2008
(56) Список документов, цитированных в отчете о поиске:
SU 1319140 A1, 23.06.1987. RU 2127937 C1, 20.03.1999. SU 143871 A1, 01.01.1962. SU 805457 A1, 15.02.1981.
Адрес для переписки:
355021, г.Ставрополь, ул. Ленина, 320, СВВАИУ, НИО, В.И. Винокурову
|
(72) Автор(ы):
Винокуров Владимир Иванович (RU), Винокуров Дмитрий Владимирович (RU)
(73) Патентообладатель(и):
Винокуров Владимир Иванович (RU), Винокуров Дмитрий Владимирович (RU)
|
(54) СПОСОБ ЗАЩИТЫ ЛИНИИ ЭЛЕКТРОПЕРЕДАЧ И УСТРОЙСТВО ДЛЯ ЕГО ОСУЩЕСТВЛЕНИЯ
(57) Реферат:
Изобретение относится к системам защиты электрических линий, реагирующим на разность между токами, в которых сравниваются значения напряжения или тока в соответствующих точках на разных проводах одной и той же схемы, например током в прямом и обратном проводниках. Технический результат заключается в повышении быстродействия. Способ защиты линии электропередач заключается в измерении величины и направления токов по концам линии электропередачи, определении скорости изменения тока в прямом проводе, формировании рабочего сигнала на отключение линии электропередачи при превышении скорости изменения тока в прямом проводе заданного значения. Устройство защиты линии электропередач содержит выключатель, датчик тока, первое и второе пороговые устройства, триггер, элемент И, генератор импульсов, сдвиговый регистр и первый и второй электронные выключатели, причем выход датчика тока соединен со входами первого и второго пороговых устройств, выходы которых соединены соответственно с входом установки «единицы» и «нуля» триггера, выход которого соединен с первым входом элемента И, второй вход которого соединен с выходом генератора импульсов, выход элемента И соединен с входом сдвигового регистра, выход которого соединен с входами первого и второго электронных выключателей. 2 н.п. ф-лы, 1 ил.
Изобретение относится к системам защиты электрических линий, реагирующим на разность между токами, в которых сравниваются значения напряжения или тока в соответствующих точках на разных проводах одной и той же схемы, например током в прямом и обратном проводниках.
Известен способ продольной дифференциальной токовой защиты линии электропередачи с соединительными проводами, при котором измеряют величину и направление токов по концам линии электропередачи, формируют рабочий сигнал, пропорциональный геометрической схеме этих токов, формируют тормозные сигналы, пропорциональные величинам токов по концам линии, контролируют исправность соединительных проводов и при превышении рабочего сигнала над тормозным данного конца линии действуют на отключение линии электропередачи, измеряют скорость изменения тока данного конца линии и действуют на отключение линии при исправном состоянии соединительных проводов, превышении рабочего сигнала над тормозным и фиксированном увеличении скорости изменения тока линии. (Авторское свидетельство СССР №1319140, кл. Н02В 3/28, 1985.)
Известно устройство для продольной дифференциальной токовой защиты линии электропередачи с выключателями и трансформаторами тока, содержащее полукомплекты, соединенные проводным каналом связи (соединительными проводами), в каждый из которых входят входные преобразователи токов, формирователи абсолютного значения рабочего и тормозного сигналов, блок, на выходе которого формируется сигнал, пропорциональный скорости изменения тока защищаемой линии, реализующий орган, фиксирующий наличие сигнала на выходе блока, орган сравнения рабочего и тормозного сигналов, элемент выдержки времени, логический элемент И, исполнительный элемент, разделительный конденсатор, орган контроля исправности соединительных проводов и логический элемент НЕ. (Авторское свидетельство СССР №1319140, кл. Н02Н 3/28, 1985.)
Недостатком данных способа и устройства является низкое быстродействие.
Технической задачей изобретения является повышение быстродействия.
Сущность предлагаемого изобретения заключается в том, что в способе защиты линии электропередач, заключающемся в измерении величины и направления токов по концам линии электропередачи, дополнительно определяют скорость изменения тока в прямом проводе, формируют рабочий сигнал на отключение линии электропередачи при превышении скорости изменения тока в прямом проводе заданного значения.
Устройство, реализующее способ защиты линии электропередач, содержащее выключатель, дополнительно имеет датчик тока, первое и второе пороговые устройства, триггер, элемент И, генератор импульсов, сдвиговый регистр и первый и второй электронные выключатели, причем выход датчика тока соединен со входами первого и второго пороговых устройств, выходы которых соединены соответственно с входом установки «единицы» и «нуля» триггера, выход которого соединен с первым входом элемента И, второй вход которого соединен с выходом генератора импульсов, выход элемента И соединен с входом сдвигового регистра, второй выход которого соединен с входами первого и второго электронных выключателей.
Технический результат изобретения обеспечен за счет повышения его быстродействия за счет формирования сигнала на отключение при превышении скорости нарастания тока в прямом проводе заданного значения.
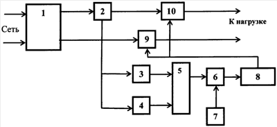
На чертеже приведена функциональная схема устройства защиты линии электропередач.
Устройство защиты линии электропередач содержит выключатель 1, датчик тока 2, первое 3 и второе 4 пороговые устройства, триггер 5, элемент И 6, генератор 7 импульсов, сдвиговый регистр 8 и первый 9 и второй 10 электронные выключатели, причем выход датчика тока 2 соединен со входами первого 3 и второго 4 пороговых устройств, выходы которых соединены соответственно с входом установки «единицы» и «нуля» триггера 5, выход которого соединен с первым входом элемента И 6, второй вход которого соединен с выходом генератора 7 импульсов, выход элемента И 6, соединен с входом сдвигового регистра 8, второй выход которого соединен с входами первого 9 и второго 10 электронных выключателей.
Устройство функционирует следующим образом. При включении в сеть нагрузки в первом датчике тока 2, включенном в прямой провод, возникает скачок тока, скорость которого определяется величиной нагрузки, пороги срабатывания пороговых устройств выбраны таким образом, что первым срабатывает первое 3 пороговое устройство и переводит триггер 5 в «единичное» состояние. Срабатывание второго 4 порогового устройства приводит к установке триггера 5 в «нулевое» состояние. Длительность импульса на выходе триггера 5 будет пропорциональна скорости нарастания скачка тока в прямом проводе. Во время действия импульса с выхода триггера 5 на вход элемента И 6 на его выходе формируется последовательность импульсов с генератора 7 импульсов, поступающая на вход сдвигового регистра 8. Выходной сигнал сдвигового регистра 8 формируется таким образом, что он формируется при малом числе импульсов (высокой скорости нарастания скачка тока) на его входе. Сигналом с выхода сдвигового регистра 8 первый 9 и второй 10 электронные выключатели переводятся в разомкнутое состояние. Перевод схемы в исходное состояние производится с помощью выключателя 1.
Формула изобретения
1. Способ защиты линии электропередач, заключающийся в измерении величины и направления токов по концам линии электропередачи, отличающийся тем, что определяют скорость изменения тока в прямом проводе, формируют рабочий сигнал на отключение линии электропередачи при превышении скорости изменения тока в прямом проводе заданного значения.
2. Устройство защиты линии электропередач, содержащее выключатель, отличающееся тем, что имеет датчик тока, первое и второе пороговое устройство, триггер, элемент И, генератор импульсов, сдвиговый регистр и первый и второй электронные выключатели, причем выход датчика тока соединен со входами первого и второго пороговых устройств, выходы которых соединены соответственно с входом установки «единицы» и «нуля» триггера, выход которого соединен с первым входом элемента И, второй вход которого соединен с выходом генератора импульсов, выход элемента И соединен с входом сдвигового регистра, выход которого соединен с входами первого и второго электронных выключателей.
РИСУНКИ
|
|