|
(21), (22) Заявка: 2006137597/09, 24.10.2006
(24) Дата начала отсчета срока действия патента:
24.10.2006
(46) Опубликовано: 10.02.2008
(56) Список документов, цитированных в отчете о поиске:
RU 2284548 C1, 27.09.2006. RU 2256193 C1, 10.07.2005. RU 2249832 C1, 10.04.2005. EP 0334560 A2, 27.09.1989. US 5847673 A, 08.12.1998. US 5610609 A, 11.03.1997.
Адрес для переписки:
390005, г.Рязань, ул. Гагарина, 59/1, РГРТУ, патентная служба
|
(72) Автор(ы):
Клочко Владимир Константинович (RU)
(73) Патентообладатель(и):
Рязанский государственный радиотехнический университет (RU)
|
(54) СПОСОБ НАБЛЮДЕНИЯ ЗА ПОВЕРХНОСТЬЮ И ВОЗДУШНОЙ ОБСТАНОВКОЙ НА БАЗЕ МНОГОКАНАЛЬНОЙ БОРТОВОЙ РЛС
(57) Реферат:
Изобретение относится к радиолокации. Техническим результатом является повышение разрешающей способности по азимуту и углу места в заданных элементах (диапазонах) дальности с расширением зоны обзора по азимуту и углу места и увеличение точности и быстродействия оценивания амплитуд сигналов в синтезированных элементах разрешения по угловым координатам. Способ наблюдения за поверхностью и воздушной обстановкой на базе многоканальной бортовой РЛС в режиме реального луча с электронным сканированием заключается в формировании матрицы трехмерного радиоизображения поверхности или воздушной обстановки, при этом за счет быстрого электронного переключения луча РЛС смещают луч по азимуту и углу места построчно соответственно на величину (2n+1)-й и (2m+1)-й части ширины диаграммы направленности антенны (ДН) размером в (2n+1)(2m+1) элементов дискретизации и обрабатывают полученные при каждом положении луча амплитуды отраженных сигналов на выходе многоканальной системы приемных элементов путем их суммирования с весами, вычисленными заранее по определенной методике, в результате чего формируется амплитудное изображение в координатах дальность – азимут – угол места с повышенной точностью оценивания амплитуд в элементах дискретизации азимута и угла места и соответственно повышенным разрешением по угловым координатам.
Изобретение относится к радиолокации, а именно к радиолокационным системам наблюдения за поверхностью и воздушной обстановкой на базе бортовой РЛС, работающей в режиме “реального луча” (РЛ) с многоканальной приемной системой, где многоканальность достигается или наличием большого числа пространственно разнесенных приемных элементов типа фазированной антенной решетки (ФАР), или за счет частотного (фазового) сканирования излучаемого сигнала [1].
При наблюдении бортовой моноимпульсной РЛС за радиоконтрастными наземными и воздушными объектами в режиме РЛ осуществляется построчное сканирование лучом РЛС заданного участка поверхности или воздушного пространства путем последовательного смещения луча по азимуту и углу места на малую часть ширины диаграммы направленности антенны (ДН) на уровне 0,5 мощности с последующей алгоритмической обработкой принятых сигналов, прошедших амплитудное детектирование в заданных элементах (диапазонах) дальности, с целью формирования трехмерного радиоизображения поверхности или воздушной обстановки в координатах дальность – азимут – угол места с повышенной разрешающей способностью по угловым координатам [2].
Точность определения угловых координат объектов, определяемая разрешающей способностью радиоизображения, при малом числе каналов измерения (суммарном и разностном) потенциально ограничена из-за низкого отношения сигнал-шум после амплитудного детектирования.
Возникает проблема дальнейшего повышения разрешающей способности РЛС по азимуту и углу места, которая может быть решена на основе формирования более узкого передающего луча в системах с ФАР и расширения зоны обзора по угловым координатам. Однако формирование узкого луча требует существенного увеличения энергетических затрат станции. Другое направление повышения разрешения основано на алгоритмической обработке амплитуд приемных сигналов с целью синтезирования элементов разрешения значительно меньшего размера, чем ширина ДН, и формирования на этой основе радиоизображения поверхности при сохранении формы ДН передающей антенны.
Известны также методы пеленгации одиночных воздушных объектов и определения их угловых координат [3]. Однако при наличии группы объектов в одном элементе (диапазоне) дальности в пределах одной ДН (тем более при наблюдении за поверхностью) такие методы не работают.
Наиболее близким по технической сущности является способ синтезирования элементов разрешения по угловым координатам в режиме РЛ в элементах (диапазонах) дальности [2], который заключается в следующем. Повышение разрешающей способности с расширением зоны обзора РЛС по азимуту и углу места и формирование матрицы трехмерного изображения поверхности в координатах дальность – азимут – угол места в режиме РЛ достигается за счет быстрого перемещения луча РЛС по азимуту (по j) и по углу места (по k) соответственно на величину (2n+1)-й и (2m+1)-й части ширины ДН размером в (2n+1)(2М+1) элементов дискретизации и обработки амплитуд отраженных сигналов РЛС, полученных при разных положениях луча на выходе суммарного канала после амплитудного детектирования в элементах (диапазонах) дальности, которая заключается в следующем.
1. Амплитуды y(i,j+j1,k+k1) , , n1 n, m1 m, полученные в суммарном канале РЛС при 2n+1 j1-x положениях луча (относительно центрального j-го направления по азимуту) в i-x элементах разрешения дальности суммируются с весами h1(j1), и h2(k1), , которые вычисляются заранее по определенной методике. Результатом такой обработки являются оценки , , амплитуд сигнала отражения от поверхности в i-x элементах дальности, соответствующие центральному элементу дискретизации ДН при j,k-м положении луча:

где I – число элементов дальности в матрице изображения, соответствующих зоне обзора по дальности, а повторное суммирование технически реализуется в виде двухэтапной процедуры: вначале матрица измерений y(i,j,k) обрабатывается по строкам путем суммирования измерений с весами h1(j1), результатом чего является матрица промежуточных оценок, затем матрица промежуточных оценок обрабатывается по столбцам путем суммирования промежуточных оценок с весами h2(j1).
2. Для расширения зоны обзора по углам увеличивается число j1,k1-x сканирований луча по азимуту и углу места относительно j,k-го центрального направления: , (N1>n1, M1>m1) и соответственно увеличивается число измерений: y(i,j+j1, k+k1). Это приводит к появлению оценок , , , , (l1=N1-n1, l2=M1-m1), формирующих матрицу А трехмерного амплитудного изображения поверхности или воздушной обстановки в зоне обзора размером в I элементов дальности и (2l1+1)(2l2+1) синтезированных элементов разрешения (дискретизации) по угловым координатам, размеры которых в (2n+1)(2m+1) раз меньше размера ДН.
3. Способ допускает обобщение на случай обработки данных, полученных одновременно в суммарном и разностном каналах моноимпульсной РЛС, что увеличивает точность оценивания, которое принимает вид тройного суммирования:

где Q – число каналов (Q=2), q – номер канала.
Однако такой способ обладает следующими недостатками.
1. Сканирование (смещение) луча в зоне обзора для движущейся (установленной на носителе) РЛС приводит к независимости и случайности фаз сигналов, отраженных от одних и тех же пространственных элементов дискретизации и распределенных по равномерному закону на [0,2 ]. Устранение влияния случайности фазы с помощью амплитудного детектирования после прохождения отраженных сигналов тракта первичной обработки и фазового детектирования в квадратурных каналах приводит к существенному увеличению уровня помех и снижению отношения сигнал-шум. Следствием этого является невысокая разрешающая способность в режиме РЛ.
2. Для получения начальной оценки амплитуды сигнала отражения в центральном элементе дискретизации требуется накопление (2n1+1)(2m1+1) измерений при (2n1+1)(2m1+1) положениях луча. При непрерывном построчном обзоре пространства последующие оценки находятся последовательно. Однако при разрывном обзоре (в разных угловых направлениях) требуется первоначальное накопление измерений, что снижает быстродействие.
3. Использование данных двух каналов с разными характеристиками ДН (суммарного и разностного) в моноимпульсных РЛС дает возможность без сканирования луча одновременно принимать сигналы, отраженные от одних и тех же пространственных элементов дискретизации, и обрабатывать эти сигналы после прохождения квадратурных каналов без амплитудного детектирования, что существенно снижает уровень шумов. Однако число каналов в таких РЛС значительно меньше числа оцениваемых параметров поля отражения, что не позволяет достичь необходимой точности оценивания.
Технический результат направлен на повышение разрешающей способности по азимуту и углу места в заданных элементах (диапазонах) дальности с расширением зоны обзора РЛС по двум угловым координатам и увеличение точности и быстродействия оценивания амплитуд сигналов в синтезированных элементах разрешения по угловым координатам.
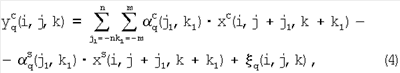
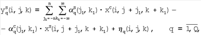
Технический результат предлагаемого технического решения достигается тем, что способ наблюдении за поверхностью и воздушной обстановкой на базе многоканальной бортовой РЛС в режиме реального луча с электронным сканированием заключается в формировании матрицы трехмерного радиоизображения поверхности или воздушной обстановки в координатах дальность – азимут – угол места, при этом за счет быстрого электронного переключения луча РЛС последовательно смещают луч по азимуту и углу места соответственно на величину (2n+1)-й и (2m+1)-й части ширины ДН размером в (2n+1)(2m+1) элементов дискретизации на уровне 0,5 мощности и обрабатывают полученные при каждом j,k-м положении луча в i-x элементах (диапазонах) дальности амплитуды отраженного сигнала, отличающийся тем, что при обработке измеряют амплитуды , отраженного сигнала в квадратурных каналах фазового детектирования (С – косинусном и S – синусном) одновременно в каждом q-м приемном канале антенной системы, состоящей из большого числа Q (Q 2n+1) разнесенных по фазе приемных элементов, полученные измерения , , , суммируют с весами , , , найденными заранее, и тем самым оценивают косинусную и синусную составляющие амплитуды отраженного сигнала, соответствующие центру j,k-го луча (центральному элементу дискретизации ДН):


затем полученные оценки возводят в квадрат, суммируют и извлекают корень, тем самым вычисляют оценки амплитуд отраженного сигнала в i-x элементах дальности и j,k-м синтезированном элементе разрешения по углам:

указанные операции повторяют для всех j,k-x положений луча по азимуту и углу места в зоне обзора и получают матрицу А оценок амплитуд , представляющую трехмерное радиоизображение поверхности или воздушной обстановки с повышенным разрешением по угловым координатам.
Способ осуществляют следующим образом.
1. Луч РЛС последовательно смещают по азимуту (по j) и углу места (по k) построчно соответственно на величину (2n+1)-й и (2m+1)-й части ширины ДН, размер которой составляет (2n+1)(2m+1) элементов дискретизации по углам (на уровне 0,5 мощности). Антенная система состоит из большого числа Q (Q 2n+1) измерительных каналов – приемных элементов, разнесенных по фазе принимаемого сигнала.
2. При каждом j,k-м положении луча в i-x элементах (диапазонах) дальности измеряют амплитуды отраженного сигнала и в квадратурных каналах фазового детектирования (С – косинусном и S – синусном) одновременно в каждом q-м приемном канале .
3. Результаты измерений и , , в каждом i-м элементе дальности суммируют с весами и , , найденными заранее по определенной методике, тем самым оценивают косинусную xC(i,j,k) и синусную xS(i,j,k) составляющие амплитуды x(i,j,k) отраженного сигнала, соответствующего центру j,k-го луча (ДН):


4. Вычисляют оценки амплитуд отраженного сигнала в j,k-м синтезированном элементе разрешения по формуле:

5. Указанные операции повторяют для всех j,k-x положений луча по азимуту и углу места в зоне обзора и тем самым получают матрицу А оценок амплитуд , , , , представляющую амплитудное изображение поверхности или воздушной обстановки в координатах дальность – азимут – угол места с повышенной точностью оценивания амплитуд в элементах дискретизации азимута и угла места и соответственно повышенным разрешением по угловым координатам по сравнению с альтернативным способом.
Расчет весовых коэффициентов сводится к следующему. Модель комплексной огибающей отраженного сигнала, прошедшего тракт первичной обработки, на выходе фильтров низких частот квадратурных каналов фазового детектирования q-го приемного канала имеет вид (например, [4]):

где Q – число приемных каналов; – сигнал в квадратурных каналах фазового детектирования с измеряемой амплитудой sq(t) и измеряемой фазой q(t); – нормированные комплексные коэффициенты ДН q-го канала, характеризующие интенсивность прихода сигналов от j,k-го углового направления относительно центрального направления; – полезная составляющая сигнала с амплитудой хjk(t), несущей информацию о поле отражения, и фазой jk(t);  q(j,k) – известный фазовый сдвиг при приеме отраженного сигнала c j,k-го углового направления q-м приемным элементом; – комплексный гауссовский белый шум, действительная q(t) и мнимая q(t) составляющие которого распределены по нормальному закону с нулевым математическим ожиданием и дисперсией . Амплитуды хjk(t) и фазы jk(t) в общем случае случайны по j,k-м элементам дискретизации, а также на множестве положений антенны и их статистические характеристики определены. Случайность и равномерность распределения фазы на [0,2 ] обусловлена движением носителя РЛС и тем, что длина волны излучения (например, 8 мм), отражающейся в i-м элементе (диапазоне) дальности намного меньше размера этого элемента.
Представим (1) в виде

где 
Сигнал в (2) , где , , содержит действительную и мнимую составляющие:


где



Выражение (3) представляет систему 2Q уравнений с 2N неизвестными и , N=(2n+1)(2m+1), причем

После стробирования сигнала в i-x элементах разрешения дальности на промежутке [t -1,t ] получается следующая общая модель измерения в q-м канале в i-м элементе дальности при j,k-м положении луча:


которая используется для восстановления искомого поля X={x(i,j,k)} на множестве интегральных (суммарных) измерений Yq={yq(i,j,k)}, , зашумленных помехами q и q. Так как корреляцией сигналов в соседних i-x стробах дальности можно пренебречь, то обработка измерений ведется независимо в i-x элементах разрешения дальности.
Для многоканальной антенной системы с Q излучающими и Q приемными элементами модель (1) принимает вид:

где – коэффициенты ДН, характеризующие интенсивность отраженного сигнала в q-м приемном элементе при q1-м излучающем элементе; , – фазовый сдвиг сигнала от q1-го излучателя, отраженного в j,k-м угловом направлении и принятого q1-м приемным элементом. После замены в (5) получается выражение (1), и справедливы предыдущие рассуждения.
Отношение сигнал-шум в модели (3) можно оценить, представив искомую амплитуду xjk(t) в виде суммы детерминированной (средней) составляющей и случайного отклонения xjk(t):

С учетом некоррелированности случайных составляющих и равномерности распределения jk(t) на [0,2 ] отношение сигнал-шум по мощности для косинусной (аналогично синусной) составляющей модели (4) найдется:

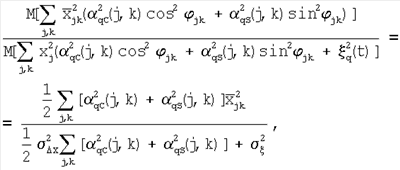
где М – символ математического ожидания; и – дисперсии случайных величин xjk(t) и q(t), если принять приближенно , для 2n+1=2m+1=5-7 ( =0,58-0,26), то отношение сигнал-шум по мощности составит , . С учетом осреднения на множестве L повторений измерений отношение сигнал-шум будет равно , что значительно больше, чем для модели амплитудного детектирования:

где отношение сигнал-шум при тех же условиях составляет примерно независимо от мощности полезного сигнала . Дальнейшее увеличение отношения сигнал-шум осуществляется в процессе алгоритмической обработки (3)-(4) за счет избыточного числа каналов измерения: Q>N, N=(2n+1)(2m+1). Соответственно точность оценивания в многоканальной системе с моделью измерения (3), (4) при раздельной обработке составляющих сигнала в квадратурных каналах выше, чем в моноимпульсных системах с моделью (6).
Оптимальное оценивание сводится к следующему. Выражения (3)-(4) представляются в матричной форме:

где Y-2Q – вектор действительных измерений и ; А – (2Q)×(2N)-матрица действительных коэффициентов ДН и ; Х – 2N-вектор действительных параметров поля отражения и , подлежащих оцениванию; Р – 2Q-вектор помех q и q.
Матричная запись (7) в случае некоррелированных помех Р позволяет находить стандартные МНК-оценки 2N-вектора X:

где H=( ·Е+АTА)-1АT – матрица весовых коэффициентов; – параметр регуляризации, необходимый для обращения плохо обусловленной матрицы АTА, который с позиции статистической регуляризации [5] для некоррелированных полей имеет смысл отношения дисперсий:

Точность оценивания (8) характеризуется корреляционной матрицей К X ошибок оценивания : . При этом наибольшая точность при малом числе каналов Q(Q N) достигается для тех составляющих вектора , которые соответствуют центру j,k-го луча (j1=0, k1=0). Эти составляющие и вычисляются по формулам:


где – весовые коэффициенты центральной строки матрицы Н, соответствующие наименьшей дисперсии ошибки оценивания (в общем случае зависящие от j,k-го положения луча вследствие изменения формы ДН при электронном сканировании), и используются для вычисления оценки амплитуды центрального j,k-го элемента дискретизации по углам в i-x элементах дальности:

Для получения амплитудного радиоизображения в зоне обзора (на множестве элементов дискретизации по углам) осуществляется построчное сканирование луча (электронное или механическое) со смещением на один элемент дискретизации по азимуту и углу места и многократно повторяется оценивание (9), (10). При избыточном числе каналов (Q>>N) точность оценивания увеличивается и отпадает необходимость поэлементного сканирования луча. В этом случае для расширения зоны обзора осуществляется сканирование со смешением по азимуту и углу места на ширину ДН, а в векторе оценок (8) используются все компоненты.
Предложенный способ позволяет без увеличения энергетических затрат станции повысить разрешающую способность многоканальной РЛС по азимуту и углу места в режиме РЛ за счет увеличения точности оценивания параметров поля отражения с расширением зоны обзора по азимуту и углу места и сформировать на основе (9), (10) матрицу радиоизображения поверхности и воздушной обстановки в виде совокупности оценок , , , амплитуд сигналов, отраженных от соответствующих i,j,k-x пространственных элементов дискретизации, которая позволяет наблюдать на экране индикатора наземные и воздушные объекты в условиях отсутствия оптической видимости с более высоким разрешением по сравнению с известными способами обзора реальным лучом.
Литература
1. Воскресенский Д.И. Антенны с обработкой сигнала: Учеб. пособие для вузов. – М.: САЙНС-ПРЕСС, 2002. 80 с.
2. Патент RU 2284548 С1. Способ наблюдения за поверхностью и воздушной обстановкой на базе бортовой РЛС. / В.К.Клочко. МПК: G 01 S 13/02. Приоритет 23.06.2005. Опубл.: 27.09. 2006. Бюл. №27.
3. Финкельштейн М.И. Основы радиолокации: Учебник для вузов. – М.: Радио и связь, 1983. С.416-428.
4. Радиолокационные станции с цифровым синтезированием апертуры антенны. / В.Н.Антипов, В.Т.Горяинов, А.Н.Кулин, Толстов Е.Ф. и др. Под ред. В.Т.Горяинова. – М.: Радио и связь, 1988. С.13-14.
5. Василенко Г.И., Тараторин A.M. Восстановление изображений. – М.: Радио и связь, 1986. С.76-82.
Формула изобретения
Способ наблюдения за поверхностью и воздушной обстановкой на базе многоканальной бортовой РЛС в режиме реального луча с электронным сканированием, заключающийся в формировании матрицы трехмерного радиоизображения поверхности или воздушной обстановки в координатах дальность – азимут – угол места, при этом за счет быстрого электронного переключения луча РЛС последовательно смещают луч по азимуту на величину (2n+1)-й части ширины диаграммы направленности антенны (ДН) размером в (2n+1) элементов дискретизации на уровне 0,5 мощности и обрабатывают полученные при каждом j-м положении луча в i-x элементах (диапазонах) дальности амплитуды отраженного сигнала, отличающийся тем, что при обработке измеряют амплитуды , отраженного сигнала в квадратурных каналах фазового детектирования (С – косинусном и S – синусном) одновременно в каждом q-м приемном канале антенной системы, состоящей из большого числа Q(Q 2n+1) разнесенных по фазе приемных элементов, полученные измерения , , суммируют с весами , , , найденными заранее, и тем самым оценивают косинусную и синусную составляющие амплитуды отраженного сигнала, соответствующие центру j, k-го луча (центральному элементу дискретизации ДН)


затем полученные оценки возводят в квадрат, суммируют и извлекают корень, тем самым вычисляют оценки амплитуд отраженного сигнала в i-x элементах дальности и j, k-м синтезированном элементе разрешения по углам

указанные операции повторяют для всех j, k-x положений луча по азимуту и углу места в зоне обзора и получают матрицу А оценок амплитуд , представляющую трехмерное радиоизображение поверхности или воздушной обстановки с повышенным разрешением по угловым координатам.
MM4A – Досрочное прекращение действия патента СССР или патента Российской Федерации на изобретение из-за неуплаты в установленный срок пошлины за поддержание патента в силе
Дата прекращения действия патента: 25.10.2008
Извещение опубликовано: 27.05.2010 БИ: 15/2010
|