|
|
(21), (22) Заявка: 2005138676/02, 13.12.2005
(24) Дата начала отсчета срока действия патента:
13.12.2005
(43) Дата публикации заявки: 27.06.2007
(46) Опубликовано: 10.02.2008
(56) Список документов, цитированных в отчете о поиске:
RU 2231735 C1, 27.06.2004. RU 2021577 C1, 15.10.1994. RU 2210717 C2, 20.08.2003. US 4589610 A, 20.05.1986. US 4542870 A, 24.09.1985.
Адрес для переписки:
117342, Москва, ул. Введенского, 3, ЗАО НТК “Аметех”, генеральному конструктору и генеральному директору В.С. Вишневскому
|
(72) Автор(ы):
Вишневский Владимир Серафимович (RU), Кукушкин Владимир Николаевич (RU), Суворов Юрий Алексеевич (RU), Мерзляков Георгий Васильевич (RU), Финогенов Сергей Александрович (RU), Балагушкин Игорь Евгеньевич (RU), Одинцов Андрей Юрьевич (RU), Горшков Михаил Николаевич (RU)
(73) Патентообладатель(и):
Закрытое акционерное общество Научно-технический комплекс “Автоматизация и механизация технологий” (RU)
|
(54) СПОСОБ ФОРМИРОВАНИЯ СИГНАЛА НАВЕДЕНИЯ ВРАЩАЮЩЕГОСЯ КОРРЕКТИРУЕМОГО АРТИЛЛЕРИЙСКОГО СНАРЯДА С ИСПОЛЬЗОВАНИЕМ ДАТЧИКОВ ЛИНЕЙНЫХ УСКОРЕНИЙ
(57) Реферат:
Изобретение относится к области артиллерийского вооружения и может быть использовано при создании корректируемых артиллерийских снарядов (КАС). Технический результат – повышение точности при одновременном упрощении. Согласно изобретению устанавливают на продольной оси КАС датчики линейного ускорения (ДЛУ), с помощью которых измеряют кажущиеся ускорения снаряда по осям X, Y, Z в связанной системе координат, затем в бортовом вычислителе определяют углы атаки и скольжения. Формируют сигнал наведения КАС, а при проведении коррекции траектории с помощью ДЛУ контролируют наличие воздействия перегрузок на КАС, превышающих заданный уровень кажущихся ускорений. 2 з.п. ф-лы, 3 ил.
Изобретение относится к высокоточному артиллерийскому вооружению, в частности к корректируемым артиллерийским снарядам (КАС).
Известен (1) способ наведения КАС, вращающегося на участке коррекции со скоростью 4-10 об/с и наводящегося на цель по отраженному от цели лазерному лучу с использованием импульсной коррекции траектории, заключающийся в том, что на участке коррекции по показаниям неподвижно закрепленной в КАС оптико-электронной головки вычисляют углы пеленга цели, а частоту вращения снаряда (Wx) определяют по приращению фазового угла пеленга цели за несколько периодов подсвета цели, затем по показаниям флюгерных датчиков (ФД) вычисляют углы атаки и скольжения, по показаниям датчика температуры из таблицы определяют время формирования равнодействующей тяги импульсных двигателей коррекции (ИДК) и вычисляют моменты их включения.
Недостатком этого способа, принятого за прототип, является наличие подвижных частей, невысокая точность определения углов атаки и скольжения при использовании ФД из-за наличия неучитываемых нелинейностей при взаимодействии набегающего потока и элементов снаряда, механических и электрических погрешностей при съеме информации о положении флюгеров через датчики углов.
Задачей предлагаемого изобретения является повышение точности определения и при одновременном упрощении конструкторских решений при реализации предлагаемого способа формирования сигнала наведения КАС на цель при каждой коррекции и проведение контроля за результатом каждой коррекции.
Технический результат достигается за счет того, что при способе формирования сигнала наведения КАС (пункт 1 формулы изобретения), заключающемся в том, что в КАС (фиг.1), содержащем лазерный индикатор-координатор цели (ЛИК), бортовой вычислитель (БВ), устройство коррекции траектории (УК), сигналы с ЛИК обрабатывают в БВ, получают углы пеленга в связанной с КАС системе координат, а с помощью блока датчиков линейных ускорений (ДЛУ), расположенного на продольной оси КАС, измеряют проекции кажущегося ускорения снаряда (КУ), обрабатывают полученные сигналы в БВ и получают величины углов атаки св и скольжения св в связанной системе координат (ССК), затем суммируют их значения с углами пеленга в соответствующих плоскостях ССК, рассчитывают угол упреждения цели и формируют сигнал наведения, причем при коррекции траектории регистрируют превышение заданного значения измеренными значениями проекций кажущегося ускорения ау по оси у и аz по оси z.
Сущность изобретения по пункту 2 формулы заключается в измерении кажущегося ускорения с помощью 3-х ДЛУ, установленных в центре масс КАС с измерительными осями, совпадающими с осями ССК, что упрощает расчет св и св, в частности, для углов и <15° при известных значениях аэродинамических характеристик Сх и после измерения проекций кажущегося ускорения ax, ау и аz, св и св определяют по формулам:

где ax, ay, az – измеренные значения проекций кажущегося ускорения КАС на оси ССК,
Сх – коэффициент лобового сопротивления КАС,
– производная коэффициента подъемной силы КАС по углу атаки .
Полученные выражения обеспечивают для дозвуковых скоростей полета на участке коррекции вычисление св и св с более высокой точностью, чем у прототипа.
Сущность предлагаемого изобретения по пункту 3 формулы заключается в том, что, если конструкция КАС не позволяет размещать блок из 3-х ДЛУ в центре масс снаряда, тогда для сохранения высокой точности определения углов атаки и скольжения КАС снабжают дополнительным блоком из 2-х ДЛУ с измерительными осями, перпендикулярными друг другу и продольной оси КАС, при этом первый и дополнительный блоки ДЛУ устанавливают на разных расстояниях от центра масс КАС, а сигналы от ДЛУ обрабатывают в бортовом вычислителе и получают значения углов атаки и скольжения.
Смещение датчиков от центра масс приводит к воздействию на датчики переносных угловых ускорений, обусловленных колебаниями КАС относительно экваториальных осей OY, OZ. В снимаемых с ДЛУ сигналах содержится информация как об угле атаки, так и угловой скорости колебаний КАС относительно экваториальной оси.
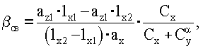
Используя сигналы, поступающие с этих датчиков, определяют значения углов атаки и скольжения в БВ по формулам:


где lx1, lх2 – расстояния от центра масс КАС до первого и второго блоков ДЛУ по продольной оси КАС соответственно;
ay1, az1, аy2, az2 – проекции КУ на оси У и Z первого и второго блоков ДЛУ.
В полученных выражениях не используются инерционные характеристики и моментные характеристики, что упрощает способ и уменьшает ошибку при вычислении св и св, так как ошибка измерения обусловлена только точностью установки ДЛУ относительно центра масс КАС. Вычисленные в БВ значения св и св затем суммируют с углами пеленга, измеряемыми с помощью ЛИК, и формируют сигнал наведения КАС.
Предлагаемый в пункте 2 формулы способ может быть реализован по схеме, показанной на фиг.2, с помощью устройства наведения КАС (фиг.1), содержащего:
– лазерный индикатор-координатор (ЛИК) цели для определения пеленга цели в связанной системе координат;
– датчики линейных ускорений (ДЛУ), расположенные вблизи центра масс КАС, измерительные оси которых направлены по осям X, У, Z связанной системы координат;
– устройство коррекции с импульсными двигателями коррекции (УК);
– бортовой вычислитель (БВ) для обработки сигналов, поступающих с ЛИК и ДЛУ и формирования сигналов наведения для УК.
Устройство наведения КАС работает следующим образом.
После начала движения КАС активизируют ЛИК и ДЛУ, обрабатывают в БВ сигналы, поступающие от них, получают значения и , затем на участке коррекции вырабатывают сигналы наведения для запуска УК, причем при работе УК производят регистрацию факта коррекции по превышению величиной кажущегося ускорения заданного уровня.
В случае невозможности реализации изобретения по пункту 2 формулы способа реализуют КАС согласно пункту 3 формулы изобретения с использованием дополнительного блока из двух ДЛУ по схеме, показанной на фиг.3, причем блоки ДЛУ можно располагать по одну сторону или по разные стороны от центра масс КАС.
Изобретение реализовано с использованием акселерометров, выдерживающих перегрузки при производстве артиллерийского выстрела и измеряющих на траектории полета КАС проекции кажущегося ускорения величиной до 6g.
Предлагаемое изобретение позволяет упростить конструкцию КАС и повысить точность определения и .
Источники информации
1. RU 2231735 C1, 27.06.2004, F41G 7/22.
Формула изобретения
1. Способ формирования сигнала наведения вращающегося корректируемого артиллерийского снаряда (КАС), включающий обработку сигналов, поступивших с лазерного индикатора-координатора цели, в бортовом вычислителе, определение углов пеленга цели и коррекцию траектории снаряда посредством импульсных двигателей коррекции, отличающийся тем, что на продольной оси КАС устанавливают блок в виде трех датчиков линейных ускорений (ДЛУ) с взаимно перпендикулярными измерительными осями, с помощью которых формируют сигналы, пропорциональные проекциям кажущегося ускорения, обрабатывают полученные значения в бортовом вычислителе и получают величины углов атаки и скольжения в связанной со снарядом системе координат, затем суммируют их с углами пеленга, рассчитывают угол упреждения и формируют сигнал наведения, причем при коррекции траектории КАС производят регистрацию факта коррекции по превышению величиной кажущегося ускорения заданного уровня.
2. Способ по п.1, отличающийся тем, что блок из 3-х ДЛУ располагают вблизи центра масс КАС.
3. Способ по п.1, отличающийся тем, что КАС снабжают дополнительным блоком из 2-х ДЛУ с измерительными осями, перпендикулярными друг другу и продольной оси КАС, при этом первый и дополнительный блоки ДЛУ устанавливают на разных расстояниях от центра масс КАС, а сигналы от ДЛУ обрабатывают в бортовом вычислителе и получают значения углов атаки и скольжения.
РИСУНКИ
|
|