|
(21), (22) Заявка: 2006123784/06, 05.07.2006
(24) Дата начала отсчета срока действия патента:
05.07.2006
(46) Опубликовано: 10.02.2008
(56) Список документов, цитированных в отчете о поиске:
RU 2259498 C1, 27.08.2005. RU 2259499 C1, 27.08.2005. RU 2238426 C1, 20.10.2004. SU 1307085 A1, 30.04.1987.
Адрес для переписки:
109316, Москва, Остаповский пр-д, 13, В.Н. Мартынову
|
(72) Автор(ы):
Мартынов Владимир Николаевич (RU)
(73) Патентообладатель(и):
Общество с ограниченной ответственностью “Научно-производственная Компания “РАНКО” (RU)
|
(54) КОМПРЕССОР С ГИДРОЗАТВОРОМ
(57) Реферат:
Устройство предназначено для использования в области нагнетания неосушенных газов и газовых смесей машинами объемного вытеснения в ряде технологических процессов при добыче углеводородов. Компрессор с гидрозатвором содержит приводную часть возвратно-поступательного действия, нагнетатель плунжерного или поршневого типа, компрессионную камеру с всасывающим жидкостным и газовым клапанами, нагнетательный клапан, насос для подачи жидкости гидрозатвора. Компрессионная камера образована из центрального цилиндрического участка и двух усеченных конусных участков – верхнего и нижнего. Для согласования кинематики приводной части с оптимальными условиями движения гидрозатвора за счет профилирования компрессионной камеры приведены зависимости соотношения геометрических размеров участков компрессионной камеры (максимальный диаметр компрессионной камеры, высоты ее цилиндрического и конусных участков, меньший диаметр конусного участка). Верхняя конусная часть компрессионной камеры непосредственно сопрягается с седлом нагнетательного клапана. Минимальный диаметр конусного участка равен внутреннему диаметру седла нагнетательного клапана, а внутренняя поверхность седла выполнена в виде торовой поверхности, выпуклой в сторону от клапана, с радиусом, большим высоты седла. 1 з.п. ф-лы, 3 ил.
Настоящее предлагаемое изобретение относится к области нагнетания неосушенных газов и газовых смесей машинами объемного вытеснения и может найти применение в области добычи углеводородов в ряде технологических процессов, связанных с нагнетанием газов и газожидкостных смесей при высоком давлении (до 40 МПа).
В частности, оно реализует предложенный заявителем способ дожимания и перекачки неосушенного газа (патент РФ №2238426, кл. F04B 35/02, 39/06, опубл. 20.10.2004 г. в БИ №29 за 2004 г.).
Указанный способ в настоящее время применен в дожимающих мобильных насосно-компрессорных установках типа УБ, выпускаемых НПК «РАНКО».
За прототип заявляемого компрессора с гидрозатвором может быть принято устройство для нагнетания неосушенного газа в соответствии с пат. РФ №2259498, кл. F04B 35/02, 39/06, опубл. 27.08.2005 г., в БИ № 24 за 2005 г.
Это устройство содержит приводной блок возвратно-поступательного действия, нагнетатель, компрессионную камеру с всасывающим жидкостным и газовым клапанами, нагнетательный клапан, насос для подачи жидкости гидрозатвора.
Промышленная реализация данного технического решения может быть осуществлена на базе нефтепромысловых плунжерных насосов с кривошипно-шатунным приводом.
Идеальная работа компрессора с гидрозатвором в упрощенном виде описывается следующими условиями:
– в процессе всего цикла «всасывания-нагнетания» сохраняется четкая граница раздела «жидкость – компримируемый газ» и проникновение последнего в гидрозатвор не происходит;
– после завершения такта нагнетания в компрессионной камере отсутствует свободный газ, наличие которого могло бы привести к снижению объемного КПД насос-компрессора, т.е. происходит 100 % вытеснение газа, поступившего в камеру в такте всасывания.
Одним из основополагающих факторов устойчивой работы компрессора с гидрозатвором является стабильное, без возмущений движение гидрозатвора.
Реализация данных условий предполагает низкие скорости и малоинерционное движение гидрозатвора, а также низкие скорости ввода газа в камеру.
Следует отметить, что вместе с тем основным направлением совершенствования компрессоров с гидрозатвором является увеличение числа ходов нагнетателя, что позволяет существенно повысить эффективность их использования.
Инженерная задача совершенствования компрессоров с гидрозатвором заключается в нахождении технического компромисса между этими взаимопротивоположными факторами и сводится к оптимизации конструкции и выбору оптимальных режимов работы.
Для кривошипно-шатунного вида привода, принятого, в основном, для нефтепромысловых насосов, как известно, характерен синусоидальный характер изменения скорости нагнетателя в течение цикла работы, а следовательно, и ускорения перемещения гидрозатвора в компрессионной камере.
В то же время предпочтительным с точки зрения обеспечения устойчивости поверхности гидрозатвора является условие сохранения постоянства скорости (нулевого ускорения) поверхности гидрозатвора, что может быть обеспечено только согласованием профиля компрессионной камеры с кинематикой кривошипно-шатунного привода нагнетателя.
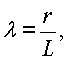
Теоретический профиль компрессионной камеры в продольном сечении, отвечающий данному условию, приведен на фиг.1 и описывается следующей формулой (горизонтальные сечения компрессионной камеры в любом месте по высоте представляют круг):

где Dкам – диаметр компрессионной камеры;
Нк.к. – высота компрессионной камеры;
Dн – диаметр нагнетателя.
Практическая реализация данного профиля в компрессионных камерах создает определенные технологические сложности и в реальных условиях, с большой степенью приближения, теоретический профиль может быть заменен на упрощенный, состоящий из прямолинейных поверхностей.
В связи с изложенным, основной технической задачей заявляемого технического решения является устранение указанного недостатка и создание такого компрессора с гидрозатвором, геометрия профиля компрессионной камеры в продольном сечении которого была бы выполнена из условия согласования с кинематикой приводной части для обеспечения постоянной скорости перемещения поверхности гидрозатвора при такте нагнетания и всасывания газа.
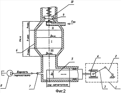
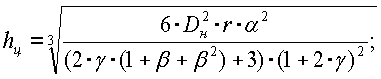
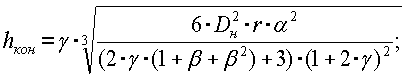
Решение поставленной технической задачи представляет собой устройство, содержащее приводную часть возвратно-поступательного действия, нагнетатель плунжерного или поршневого типа, компрессионную камеру с всасывающим жидкостным и газовым клапанами, нагнетательный клапан, насос для подачи жидкости гидрозатвора (фиг.2). Компрессионная камера образована из центрального цилиндрического участка и двух усеченных конусных участков – верхнего и нижнего. При этом соотношения геометрических размеров этих участков определяются следующими зависимостями:
Высота цилиндрического участка: 
Диаметр цилиндрического участка: 
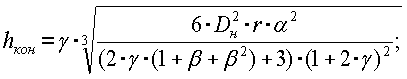
Высота конусного участка: 
Меньший диаметр конусного участка: 
где Dн – диаметр нагнетателя;
r – плечо кривошипа приводной части компрессора;
L – длина шатуна приводной части компрессора;

g – ускорение свободного падения.
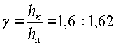
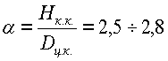
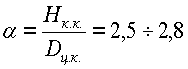
При этом эмпирические коэффициенты, определяющие соотношения базовых размеров компрессионной камеры, имеют следующие значения:

где Нк.к. – общая высота компрессионной камеры;
hк – высота конусного участка компрессионной камеры;
hц – высота цилиндрического участка компрессионной камеры.
Верхняя конусная часть компрессионной камеры непосредственно сопрягается с седлом нагнетательного клапана, при этом минимальный диаметр конусного участка равен внутреннему диаметру седла нагнетательного клапана, а внутренняя поверхность седла выполнена в виде торовой поверхности, выпуклой в сторону оси клапана, с радиусом, большим высоты седла rседл.>hседл. (фиг.3).
Технические признаки заявляемого компрессора с гидрозатвором могут быть реализованы с помощью средств, используемых в области нагнетания газов машинами объемного вытеснения.
Отличительные признаки, отраженные в формуле изобретения, необходимы и достаточны для его осуществления, поскольку обеспечивают решение поставленной выше технической задачи – выполнение профиля компрессионной камеры в продольном сечении из условия согласования с кинематикой приводной части для обеспечения постоянной скорости перемещения поверхности гидрозатвора при такте нагнетания и всасывания газа.
В дальнейшем настоящее предлагаемое изобретение поясняется примером его выполнения, схематически изображенным на прилагаемых чертежах, на которых:
фиг.1- продольный теоретический профиль компрессионной камеры, согласованный с кинематикой кривошипно-шатунного профиля компрессора с гидрозатвором;
фиг.2 – принципиальная схема заявляемого компрессора с гидрозатвором;
фиг.3 – конструктивное решение сопряжения профилированной части компрессионной камеры заявляемого компрессора с гидрозатвором с зоной нагнетательного клапана.
В соответствии с заявленным техническим решением компрессор с гидрозатвором включает приводную часть 1 (фиг.2), состоящую из кривошипа 2 (в реальных конструкциях приводов – коренной эксцентриковый вал), шатуна 3, крейцкопфа 4; нагнетатель 5 (плунжер или поршень); компрессионную камеру 6; всасывающий жидкостной клапан 7; насос 8 подачи нагнетательной воды для формирования гидрозатвора; газовый клапан 9; нагнетательный клапан 10 (фиг.3). Верхняя корпусная зона 11 непосредственно сопрягается с проходным отверстием 11 седла 12, выполненного в виде торовой поверхности 13, выпуклой в сторону оси нагнетательного клапана 10.
Соотношение основных размеров компрессионных камер выбирается из вышеприведенных зависимостей.
Работа описанного устройства осуществляется следующим образом.
Перед началом работы устройства компрессионная камера 6 полностью заполняется жидкостью, подаваемой в нее через узел ввода жидкости насосом. При этом нагнетатель 5 расположен в крайнем правом положении в нижней части компрессионной камеры. При выполнении первого такта нагнетания нагнетатель 5 перемещается влево до крайнего левого положения, вытесняя через нагнетательный клапан 10 объем жидкости, равный объему, описываемому нагнетателем 5. Оставшаяся жидкость образует в компрессионной камере 6 гидравлический затвор. При выполнении первого такта всасывания нагнетатель 5 движется вправо вниз, и жидкость гидравлического затвора опускается в соответствии с вытесненным объемом. Во время выполнения такта всасывания в компрессионную камеру 6 через узел ввода газа 9 подается газ от независимого источника.
При следующем ходе нагнетания жидкость гидрозатвора перемещается под действием нагнетателя 5 вверх и сжимает газ до требуемого потребителем давления, после чего газ выходит через нагнетательный клапан 10 и подается потребителю.
При сжатии газа в компрессионной камере 6 газ охлаждается жидкостью гидрозатвора.
Указанные выше соотношения, полученные из длительного эмпирического опыта и экспериментальных исследований, основываются на необходимости защиты от газопроникновения в гидрозатвор и базируется на физической закономерности условий всплытия пузырька газа в жидкости гидрозатвора, совершающей движение. В этом случае сила всплытия сообщает пузырьку газа ускорение, большее, чем ускорение жидкости гидрозатвора, отслеживающего движение нагнетателя, перемещающегося по синусоидальному закону. В противном случае пузырьки газа будут увлекаться в глубь гидрозатвора, что приведет к газонасыщению жидкости гидрозатвора и, в итоге, к снижению объемного КПД компрессора.
Также важным условием, снижающим газопроникновение в гидрозатвор, является правильное конструктивное оформление зоны нагнетательного клапана.
В заявляемой конструкции, верхняя конусная часть компрессионной камеры непосредственно сопрягается с внутренней поверхностью проходного отверстия седла нагнетательного клапана.
В этом случае в момент начала открытия нагнетательного клапана «зеркало» (поверхность) гидрозатвора находится в конической зоне компрессионной камеры, что определяет конфузорное течение нагнетаемой среды, минимизирующее возможные газодинамические воздействия на гидрозатвор, приводящие к насыщению его газом за счет волновых явлений и «захлестывания» отдельных областей газа жидкостью гидрозатвора.
Кроме того, для лучшей гидродинамики потока газожидкостной смеси, поступающей в открывающийся в конце такта нагнетания компрессора нагнетательный клапан, внутренняя часть проходного отверстия седла клапана, после зоны сопряжения с конусной частью компрессионной камеры, выполнена в виде торовой поверхности, выпуклой в сторону оси клапана с радиусом rседл. больше высоты седла hседд.:
rседл.>hседл.(фиг.3).
Формула изобретения
1. Компрессор с гидрозатвором, содержащий приводную часть возвратно-поступательного действия кривошипно-шатунного типа, нагнетатель плунжерного или поршневого типа, компрессионную камеру с всасывающими жидкостным и газовым клапанами, имеющую один цилиндрический и два – в форме усеченных конусов участка, нагнетательный клапан и насос для подачи жидкости гидрозатвора, отличающийся тем, что для условия согласования с кинематикой приводной части, обеспечивающего постоянную скорость перемещения поверхности гидрозатвора при такте нагнетания и всасывания газа, соотношение геометрических размеров указанных участков компрессионной камеры определяются следующими зависимостями:
высота цилиндрического участка 
диаметр цилиндрического участка 
высота конусного участка 
меньший диаметр конусного участка 
где Dн – диаметр нагнетателя;
r – плечо кривошипа приводной части компрессора;
L – длина шатуна приводной части компрессора;

g – ускорение свободного падения,
а эмпирические коэффициенты, определяющие соотношения базовых размеров компрессионной камеры, имеют следующие значения:

где Нк.к. – общая высота компрессионной камеры;
hк – высота конусного участка компрессионной камеры;
hц – высота цилиндрического участка компрессионной камеры.
2. Компрессор с гидрозатвором по п.1, отличающийся тем, что верхняя конусная часть компрессионной камеры непосредственно сопрягается с седлом нагнетательного клапана, при этом минимальный диаметр конусного участка равен внутреннему диаметру седла нагнетательного клапана, а внутренняя поверхность седла выполнена в виде торовой поверхности, выпуклой в сторону оси клапана с радиусом, большим высоты седла rседл.>hседл..
РИСУНКИ
|