Патент на изобретение №2159677
|
||||||||||||||||||||||||||
(54) СПОСОБ ПОЛУЧЕНИЯ ГЕТЕРОГЕНИЗИРОВАННЫХ АРИЛГИДРАЗОНИМИНАТОВ МЕДИ (II)
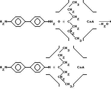
(57) Реферат: Изобретение относится к области получения закрепленных на носителе гомогенных катализаторов, которые могут быть использованы для жидкофазных или газофазных процессов окисления непредельных соединений. Настоящий способ заключается в последовательной обработке дегидратированного цеолита СаА дипропилкетоном, бензидином в кипящем органическом растворителе и добавлении арилгидразониминатов меди (II) с последующим выдерживанием кипящей смеси в течение 1-3 ч. Настоящий способ закрепления арилгидразониминных комплексов меди (II) позволяет повышать максимальную степень превращения циклогексена в жидкофазном окислении молекулярным кислородом в среднем на 10-12% (с 49 до 61%) при использовании нанесенных хелатов меди (II) в качестве гетерогенизированных катализаторов. Предлагаемый способ относится к области получения закрепленных на носителе гомогенных катализаторов, которые могут быть использованы для жидкофазных или газофазных процессов окисления непредельных соединений. Известно, что гомогенные катализаторы закрепляют на носителях для последующего использования в качестве гетерогенизированных катализаторов [Ф. Хартли. Закрепленные металлокомплексы. Новое поколение катализаторов. М.: Мир, 1989]. Известен способ нанесения (1-ацетил)фталоцианината железа(II) на цеолит NaY последовательной обработкой цеолита диэтилкетоном, гексаметилендиамином и хелатным соединением железа(II) в кипящем бензоле в анаэробных условиях [Can.J.Chem.1997. Vol.76. P.955]. ![]() Арилгидразониминные хелатные соединения меди (II) никогда не наносили на щелочные формы цеолитов, и результаты закрепления на этих подложках неизвестны. Данная задача решается предложенным способом, который состоит в том, что дегидратированный цеолит CaA последовательно обрабатывают дипропилкетоном (ДПК), бензидином в кипящем органическом растворителе и арилгидразониминатами меди (II) с последующим выдерживанием кипящей смеси в течение 1-3 ч. Арилгидразониминные хелатные соединения меди (II) являются гомогенными катализаторами [Координац. химия. 1989. Т.15. Вып.8. С. 1069], которые неудобно использовать в таком виде из-за смешиваемости с продуктами и реакционной средой. ![]() В предлагаемом способе в качестве подложки выбран цеолит CaA, поскольку эффективный диаметр входных окон в его большие полости ( 0,5 нм) достаточен для адсорбции ДПК, молекулы которого могут проникать в пустоты носителя только в одном направлении, совпадающем с осью углеводородного скелета кетона.
Предварительная термообработка цеолита CaA необходима для удаления молекул воды из больших полостей с целью размещения в них молекул предшественника якорного фрагмента (ДПК).
Выбор ДПК обусловлен требованиями, которые предъявляются к молекулам предшественника якорного фрагмента:1) молекулы предшественника должны иметь близкую к линейной (псевдоцилиндрическую) форму, поскольку цеолит CaA адсорбирует углеводороды и простейшие соединения исключительно нормального строения; 2) длина молекулы предшественника вдоль углеводородного остова должна превышать эффективный размер входного окна в большую полость; 3) молекулы предшественника должны иметь карбонильную группу в середине углеводородного скелета для последующего образования Т-образного фрагмента, выполняющего роль топологического якоря. Молекула ДПК имеет линейное строение и эффективные размеры 0,49 нм х1,15 нм, отвечающие перечисленным условиям. После введения ДПК добавляют бензидин в кипящем органическом растворителе. Выбор бензидина обусловлен следующими причинами: 1) для образования Т-образного якорного фрагмента и последующего связывания хелата необходим , – -диамин с первичными аминогруппами;2) молекула диамина должна быть негибкой для образования жесткого Т-образного якоря и линейной, т.е. иметь длину много больше эффективного диаметра поперечного сечения, который, в свою очередь, должен быть сопоставим с эффективным диаметром входного окна. Перечисленным условиям отвечает молекула бензидина, имеющая эффективные размеры 0,6 нм х 1,4 нм. Выбор растворителя диктуется необходимостью растворения твердого бензидина, а кипячение смеси требуется для ускорения процесса конденсации амина с адсорбированным в полости цеолита кетоном. При низкой температуре вероятность десорбции ДПК в раствор с последующей реакцией с бензидином в объеме растворителя возрастает, что нежелательно, поскольку приводит к снижению числа якорных фрагментов, связанных с цеолитом. Предлагаемая последовательность обработки цеолита реагентами вызвана тем, что стерически затрудненный фрагмент Т-образного якорного интермедиата (енамина) образуется в большой полости из кетона, который предварительно должен быть адсорбирован в цеолите. Закрепление енамина происходит только тогда, когда реакция между ДПК и аминогруппой бензидина осуществляется на границе между раствором и большой полостью, открывающейся на внешнюю поверхность. При этом енамин, “захватывается” цеолитом согласно схеме. Все остальные случаи взаимодействия ДПК и кетона не приводят к продуктивному закреплению. В силу стерических затруднений перемещение енамина возможно только в пределах одной плоскости. ![]() Таким образом подготовленный цеолит CaA содержит Т-образные якорные фрагменты с аминогруппами, обращенными в сторону внешней поверхности кристаллитов. Полученный образец обрабатывали насыщенным раствором арилгидразониминного хелата меди (II) в органическом растворителе при кипячении смеси в течение 1-3 ч. В результате конденсации “поверхностных” аминогрупп с карбонильной функцией хелата меди (II) образуется топологическая связь комплекса с носителем в соответствии со схемой. ![]() Полученные таким образом образцы охарактеризованы данными электронных спектров диффузного отражения. В электронных спектрах обнаружены полосы d-d-переходов, положение которых совпадает с максимумами поглощения в спектрах индивидуальных арилгидразониминных хелатов меди (II), а также их механических смесей с исходным цеолитом CaA. Характер спектров полученных образцов не изменяется после экстракции теплым растворителем (бензолом или толуолом) в аппарате Сокслета, что свидетельствует о связывании хелатов с якорными фрагментами, топологически закрепленными в полостях цеолита. Результаты элементного анализа подтверждают наличие меди на поверхности носителя. Об этом же свидетельствуют окраска образца, не исчезающая после экстракции растворителем, растворяющим исходный арилгидразониминный хелат меди (II), а также каталитическая активность в реакции жидкофазного окисления циклогексена молекулярным кислородом. ![]() Предложенный способ получения гегерогенизированных арилгидразониминных хелатов меди (II) позволяет проводить в их присутствии жидкофазное окисление циклогексена молекулярным кислородом в гетерогенном режиме, т.е. исключить стадию отделения реагентов и продуктов от катализатора. В присутствии гетерогенизированных арилгидразониминатов меди (II) конверсия циклогексена увеличивается в среднем на 10-12% без изменения состава катализата и без выделения третьей фазы, поскольку цеолитная основа катализатора выполняет роль дегидратирующего агента и связывает воду, выделяющуюся в процессе окисления. Поглощение воды инертной цеолитной матрицей способствует также более эффективному закреплению остова Т-образного якоря в результате заполнения адсорбционного пространства цеолита. Адсорбированная вода удаляется вакуумной сушкой образца при 50-70oC в течение 5-6 ч с полным сохранением исходного состояния и каталитической активности гетерогенизированных арилгидразониминных хелатов меди (II). Примеры Пример 1. Цеолит CaA в количестве 0,2 г прокаливают при 550oC на воздухе в течение 6 ч. К полученному дегидратированному образцу добавляют 0,5 см3 ДПК, смешивают с 10 см3 0,01 моль/л раствора бензидина в бензоле, нагревают до кипения и кипятят в течение 30 мин. Полученную суспензию декантируют и осадок экстрагируют бензолом в аппарате Сокслета до полного удаления избытка бензидина. К образцу добавляют 50 см3 5х10-4 моль/л раствора N,N’-этиленбис(1-бензоилглиоксаль-1-фенилгидразониминато) медь (II) в бензоле и нагревают в течение 1 ч. Осадок отделяют от раствора, переносят в аппарат Сокслета и экстрагируют бензолом. При использовании нанесенного арилгидразониминного хелата меди (II) в качестве гетерогенного катализатора в жидкофазном окислении циклогексена молекулярным кислородом при 50oC степень превращения циклогексена за 1 ч возрастает на 7% по сравнению с конверсией в гомогенном процессе, проведенном в сопоставимых условиях. Пример 2. В условиях эксперимента, аналогичных примеру 1, добавляют 50 см3 5 х 10-4 моль/л раствора N,N’-гексаметиленбис(1-фенилпропан- 1,2,3-трион-2-фенилгидразониминато) медь (II) в толуоле вместо бензольного раствора N,N’-этиленбис(1-бензоилглиоксаль-1-фенилгидразониминато) медь (I) и нагревают в течение 3 ч. Цеолит отделяют от раствора и экстрагируют толуолом. Примеры с остальными арилгидразониминатами меди (II) протекают в условиях, аналогичных примеру 1. Таким образом, предложенный способ позволяет наносить арилгидразониминные комплексы меди (II) на цеолит CaA, обладающий средним размером входных окон, и повышать максимальную степень превращения циклогексена в жидкофазном окислении молекулярным кислородом в среднем на 10-12% (с 49 до 61%) при использовании их в качестве гетерогенизированных катализаторов. Формула изобретения
MM4A Досрочное прекращение действия патента Российской Федерации на изобретение из-за неуплаты в установленный срок пошлины за поддержание патента в силе
Дата прекращения действия патента: 05.10.2001
Номер и год публикации бюллетеня: 12-2003
Извещение опубликовано: 27.04.2003
|
||||||||||||||||||||||||||



0,5 нм) достаточен для адсорбции ДПК, молекулы которого могут проникать в пустоты носителя только в одном направлении, совпадающем с осью углеводородного скелета кетона.
Предварительная термообработка цеолита CaA необходима для удаления молекул воды из больших полостей с целью размещения в них молекул предшественника якорного фрагмента (ДПК).
Выбор ДПК обусловлен требованиями, которые предъявляются к молекулам предшественника якорного фрагмента:
,
– -диамин с первичными аминогруппами;

