Патент на изобретение №2316568
|
||||||||||||||||||||||||||
(54) КОМПОЗИЦИЯ СВЯЗУЮЩЕГО ДЛЯ НАНОСИМОГО ВАЛИКОМ КЛЕЙСТЕРНОГО СОСТАВА
(57) Реферат:
Композиция связующего для клеев, по меньшей мере, содержащая, по меньшей мере, 10 мас.% прошедшего поверхностную обработку полисахарида в форме частиц или смеси двух или более таких прошедших поверхностную обработку полисахаридов в форме частиц и, по меньшей мере, 3 мас.% природного или синтетического слоистого силиката в форме частиц, либо смеси двух или более природных слоистых силикатов или смеси двух или более синтетических слоистых силикатов в форме частиц, либо смеси одного или нескольких природных и одного или нескольких синтетических слоистых силикатов. Композиция может также содержать, по меньшей мере, один водорастворимый или вододиспергируемый синтетический полимер. Описан также клей, содержащий, по меньшей мере, 20 мас.% воды и, по меньшей мере, 1 мас.% композиции. 2 н. и 10 з.п. ф-лы, 1 табл.
Настоящее изобретение относится к композиции, содержащей, по меньшей мере, один ингибированный полисахарид в форме частиц и, по меньшей мере, один природный или синтетический слоистый силикат в форме частиц. Композиции связующих, содержащие природный или синтетический полисахарид и синтетический полимер, в основном, известны. Подобные композиции связующих используют для склеивания, упрочнения или уплотнения. Конкретными примерами подобного использования являются, например, клейстер, дисперсионные клеи, грунтовки для минеральных оснований и подобное. Вышеназванные известные из уровня техники композиции связующих, в особенности их порошкообразные приготовляемые составы, используют затем для получения названных продуктов, в особенности, тогда, когда приготовление продукта возможно на месте его использования простым смешением с водой и, особенно, когда оно может быть выполнено потребителем и является для него желательным. Использование такого связующего при приготовлении клеев является особенно предпочтительным, когда способ использования клеев позволяет применять клеи, приготовленные самим пользователем. Использование таких композиций связующих, как правило, приводит к экономии транспортных затрат, так как исключается вес воды. Такие композиции связующих часто используют для поверхностного покрытия оснований бумагой или другими видами покрытий. Особенно часто встречающимся видом использования такого связующего являются обойные клейстеры, используемые для декоративного покрытия стен или потолков внутри помещения. Обычно используемая при этом техника нанесения покрытия учитывает часто преобладающие во внутренних помещениях основания. При нанесении обоев на стены и потолки преобладают, в особенности, впитывающие основания, причем соответствующие основания, как правило, поглощают определенное количество воды. Однако, с другой стороны, самими наносимыми обоями обычно поглощается большое количество воды. По этой причине используемый для нанесения обоев клей, как правило, сначала наносят на обои, причем даже после нанесения должно быть соблюдено определенное «время промокания», в течение которого обои увлажняются за счет впитывания воды. Такой метод покрытия позволяет наносить кистью достаточно большое количество клейстера на обратную сторону обоев, в результате чего после впитывания воды достигается достаточная высокая клеящая способность. Обойные клейстеры обычно должны быть способными к нанесению с использованием клейстерной кисти. Это требование задает клеевой структуре обойного клейстера обычно исчезающий характер, чтобы обойный клейстер был достаточно текучим для подобного метода нанесения. Так как покрытие обоев клейстером обычно осуществляют при горизонтальном положении обоев на обойно-оклеечном столе, то при этом, как правило, не встречается каких-либо проблем с точки зрения преждевременного стекания клейстера. Однако с недавних пор часто предлагаются и используются обои, состоящие не только из бумаги, но и содержащие включенные в них химические волокна. Такие обои обладают преимуществом формоустойчивости. Это означает, что такие обои могут наноситься на оклеиваемую обоями поверхность без периода намокания. Хотя этот способ также позволяет использовать уже описанную выше технологию оклеивания обоями, однако допустимы более простые варианты. Так, например, для потребителя привело бы к значительной экономии времени, если нужно было бы наносить клейстер не на обратную сторону обоев, а можно было бы наносить клейстер непосредственно на стену. В этом случае можно было бы сначала нанести клей, по существу, на любые как угодно большие поверхности стен, причем затем можно было бы простым способом закрепить обои. При таком ускорении процесса, кроме того, опали бы неудобства, связанные с покрытием обратной стороны обоев, например, сооружение обойно-оклеечного стола и очистка таких столов от излишних количеств клейстера. Однако для описанного упрощенного способа проблематичным является то, что известный из уровня техники обойный клейстер не отвечает требованиям подобного способа. Вследствие текучести известных клейстеров они могут наноситься на вертикальные поверхности только в виде относительно тонких пленок, причем впитывающая способность основания, как правило, приводит к слишком быстрому с точки зрения вышеописанного способа высыханию клейстера. Однако, если нанесение клейстера должно осуществляться в форме более толстой пленки, то известный клейстер в значительной степени склонен благодаря этому к стеканию на ненужную поверхность. Помимо этого, известный из уровня техники обойный клейстер, как правило, может быть нанесен только посредством специальных клейстерных кистей. Вышеописанный способ, который может связываться с покрытием больших площадей, однако, может быть осуществлен более экономично по времени и более эффективно методом накатки, таким как обычно используемый при окраске стен посредством пенопласта или валиков из овчины. Однако известные в настоящее время обойные клейстеры, как правило, также не позволяют использовать такие валики для нанесения покрытия. Если для приготовления обойного клейстера соответствующие композиции связующих должны быть переведены в пригодную для использования форму самим потребителем, то, кроме всего прочего, необходимо еще, чтобы выполнялся ряд требований, касающихся, с одной стороны, способности связующего к манипулированию им и, с другой стороны, касающихся как можно более высокого постоянства качества продукта как с точки зрения самих композиций связующего, так и с точки зрения продуктов, получаемых из таких композиций связующего. Подобные требования относятся, в особенности, к характеру растворения композиций связующего. Часто подобные композиции связующего склонны к агглютинации (комкованию) при перемешивании в воде, в результате чего требуется неприемлемо длительный период времени для ликвидации комков или же комки вообще не растворяются. Однако использование продуктов, содержащих такие комки, приводит к недостаткам в отношении оптических и технических дефектов. Например, если обойный клейстер содержит такие комки, то при склеивании гладкими неструктурированными обоями это может привести к дефектам в структуре поверхности. Кроме того, требуется способность к как можно более быстрому использованию продукта, полученного посредством названного связующего. При этом особенное значение придается как можно более быстрой растворимости или диспергируемости, связанных с как можно более быстрым увеличением вязкости продукта, причем, несмотря на как можно более быстрое повышение вязкости, растворение или диспергирование связующего должно еще происходить без образования комков. Следовательно, существует потребность в композициях связующего, позволяющих в используемых предварительно приготовленных составах осуществлять большие площади покрытия даже на впитывающих основаниях. Кроме того, существует потребность в композициях связующего, способных в готовых к применению составах быть нанесенными на основания посредством обычных валиков в виде больших площадей, причем нанесенные пленки имеют достаточную толщину. Кроме того, существует потребность в композициях связующего, которые в рамках использования готовых составов могут быть нанесены на основания посредством валиков, причем такие готовые составы имеют лишь незначительную склонность к разбрызгиванию. Поэтому в основу настоящего изобретения положена задача получить композиции связующих, не имеющие вышеназванных недостатков. Особенно в основу настоящего изобретения положена задача получить композиции связующих, которые могут быть превращены на месте самим потребителем посредством воды в составы, особенно пригодные в качестве обойного клейстера и удовлетворяющие, по меньшей мере, части из вышеназванных потребностей. Поэтому объектом настоящего изобретения является композиция связующего, по меньшей мере, содержащая, по меньшей мере, 1 мас.% ингибированного полисахарида в виде частиц либо смеси двух или более таких ингибированных полисахаридов в форме частиц и, по меньшей мере, 3 мас.% природного или синтетического слоистого силиката в форме частиц, либо смеси двух или более природных слоистых силикатов или двух или более синтетических слоистых силикатов в форме частиц, либо смеси одного или нескольких природных и одного или нескольких синтетических слоистых силикатов. Под термином «полисахарид» в рамках настоящего описания понимают полимерные соединения на основе повторяющихся звеньев сахара. Природными в рамках настоящего изобретения полисахаридами являются, например полисахариды на основе целлюлозы или крахмала. «Полисахаридом» согласно изобретению может являться, например, полисахарид, находящийся в природной форме. Однако в рамках настоящего изобретения могут быть также использованы полисахариды, полученные синтетически или производные природных и синтетических полисахаридов. Особенно пригодными в рамках настоящего изобретения являются, например, водорастворимые или вододиспергируемые простые эфиры крахмала или простые эфиры целлюлозы. Если в нижеследующем тексте используют термин «простой эфир крахмала» или «простой эфир целлюлозы», то этот термин является в каждом конкретном случае синонимом всех природных полисахаридов, подпадающих под вышеназванное определение, если только с очевидностью не утверждается что-либо другое. Термин «водорастворимый» в рамках настоящего изобретения охватывает такие соединения, которые растворяются в воде в молекулярно-дисперсном состоянии или коллоидально. Термин «растворимый» в рамках предпочтительного варианта осуществления изобретения означает такие соединения, которые имеют растворимость, по меньшей мере, более чем 0,01 г в пересчете на 100 мл воды при 20°С. Однако, предпочтительно, растворимость водорастворимых соединений, охватываемых рамками настоящего описания, превышает это значение и составляет, например, 0,1 г или 0,5 г или 1 г в пересчете на 100 мл воды при 20°С. Однако, названные значения показателя водорастворимости не должны достигаться непосредственно после введения соответствующего вещества в воду. Например, может быть достаточным, если соответствующие показатели достигаются после периода времени около 10 или около 20 минут или более. Термин «вододиспергируемый» в рамках настоящего описания охватывает соединения, которые не образуют в воде молекулярно-дисперсного или коллоидного раствора, а распределяются в воде в виде дисперсионной фазы. Согласно первому варианту осуществления изобретения композиции связующего по изобретению содержат, например, водорастворимый или вододиспергируемый ингибированный крахмал и/или производное крахмала, либо ингибированные производные целлюлозы, предпочтительно простой эфир целлюлозы. Если в рамках композиций по изобретению используют ингибированный крахмал, то в рамках предпочтительного варианта осуществления настоящего изобретения используют водорастворимый или набухающий в воде модифицированный крахмал. Пригодны, например, частично расщепленный крахмал или набухший крахмал. Если используют производные крахмала, то пригодны, например, простой или сложный эфир крахмала, особенно, карбоксилированные или оксиалкилированные крахмалы. В качестве карбоксилированных или оксиалкилированных крахмалов пригодны все модифицированные соответствующим образом природные виды крахмала из картофеля, маиса, пшеницы, риса, мило, тапиока и тому подобное, причем предпочтительными являются производные крахмала на основе картофеля или маисового крахмала. Пригодные производные крахмала имеют, например, степень карбоксилирования от около 0,1 до около 2,0 (DS) или степень оксиалкилирования от 0,05 до 1,5 (MS). Производные крахмала могут также быть сшитыми. В качестве сшивающего агента пригодны, например, бифункциональные соединения, такие как известные из европейской заявки на патент ЕР-В0311873. В качестве простых эфиров пригодны, в особенности, следующие виды: карбоксиметилцеллюлоза (КМЦ), карбоксиметилметилцеллюлоза (КММЦ), этилцеллюлоза (ЭЦ), гидроксиэтилцеллюлоза (ГЭЦ), гидроксибутилметилцеллюлоза (ГБМЦ), гидроксибутилцеллюлоза (ГБЦ), гидроксиэтилкарбоксиметилцеллюлоза (ГЭКМЦ), гидроксиэтилэтилцеллюлоза (ГЭЭЦ), гидроксипропилцеллюлоза (ГПЦ), гидроксипропилкарбоксиметилцеллюлоза (ГПКМЦ), гидроксипропилметилцеллюлоза (ГПМЦ), гидроксиэтилэтилцеллюлоза (ГЭЭЦ), гидроксиэтилметилцеллюлоза (ГЭМЦ), метилгидроксиэтилцеллюлоза (МГЭЦ), метилцеллюлоза (МЦ) и пропилцеллюлоза (ПЦ), причем предпочтительны карбоксиметилцеллюлоза, метилцеллюлоза, метилгидроксиэтилцеллюлоза или метилгидроксипропилцеллюлоза, а также соли щелочных металлов карбоксиметилцеллюлозы, а также, при необходимости, оксиалкилированная, в особенности оксиэтилированная, метилцеллюлоза. Под термином «ингибированный» полисахарид в рамках настоящего изобретения подразумевают полисахарид, подвергнутый поверхностной обработке, особенно, поверхностной сшивке для регулирования его растворимости в воде или в водных растворах. Используемый в рамках настоящего изобретения «ингибированный» полисахарид по сравнению с таким же полисахаридом в неингибированной форме обладает замедленной растворимостью, то есть до растворения такого ингибированного полисахарида в воде или в водном растворе проходит больший промежуток времени, чем до растворения соответствующего «неингибированного» полисахарида. Используемые согласно изобретению ингибированные простые эфиры целлюлозы после такой обработки имеют замедленную растворимость. В рамках настоящего описания это означает, что полученные согласно описанному процессу производные простого эфира целлюлозы в сравнении с их природной формой, то есть до использования описанного процесса, растворяются в воде лишь к более позднему времени. Это более позднее время, при необходимости, может быть определено потребителем простого эфира целлюлозы или приготовленных составов, содержащих такой простой эфир целлюлозы, когда он осуществляет определенное действие, например, изменяет значение показателя рН, однако также предусмотрено, что используемый согласно изобретению простой эфир целлюлозы и без дополнительной обработки или внешнего воздействия, например, в основном, в нейтральной среде, имеет замедленную растворимость. Растворимость используемых для получения в рамках настоящего изобретения ингибированных полисахаридов, например, используемых ингибированных простых эфиров целлюлозы, как правило, составляет, по меньшей мере, около 0,5 масс. части на 100 масс. частей воды. Однако, преимущественно, растворимость составляет, по меньшей мере, около 0,5 масс. части на 30 масс. частей воды. Под простыми эфирами крахмала или целлюлозы подразумевают производные крахмала или целлюлозы, получаемые частичным или полным замещением атомов водорода в гидроксильных группах крахмала или целлюлозы на алкильные и/или (ар)алкильные группы. Алкильные и/или (ар)алкильные группы, преимущественно, содержат дополнительно неионогенные, анионные или катионные группы. При этом, как правило, отдельные молекулы замещены различно, вследствие чего степень их замещения является усредненным показателем. Кроме того, замещение может также включать «новые» образовавшиеся в процессе реакции гидроксильные группы, что может быть, например, в случае участия в реакции эпоксида. Используемые в рамках настоящего изобретения водорастворимые простые эфиры крахмала или целлюлозы содержат, по меньшей мере, одну гидроксильную группу. Получение простых эфиров крахмала или целлюлозы проводят, в общем случае, воздействием (ар)алкилгалогенидов, например, метилхлорида, этилхлорида и/или бензилхлорида, 2-хлорэтилдиэтиламина или хлоруксусной кислоты, и/или эпоксидов, например, оксидов этилена, пропилена и/или бутилена, глицидилтриметиламмонийхлорида и/или активированных олефинов, например акрилонитрила, акриламида, или винилсульфоновой кислоты на активированную основаниями, чаще всего, водным раствором едкого натрия, целлюлозу. В рамках настоящего изобретения предпочтительными являются карбоксиметилцеллюлоза, метилцеллюлоза, этилцеллюлоза, гидроксиалкилцеллюлоза, особенно, гидроксиэтилцеллюлоза или смешанные эфиры, такие как метилгидроксиэтилцеллюлоза или гидроксипропилцеллюлоза, карбоксиметилгидроксиэтилцеллюлоза и/или этилгидроксиэтилцеллюлоза. Для получения частично сшитых водорастворимых простых эфиров крахмала или целлюлозы, например, приводят в контакт водорастворимый простой эфир целлюлозы с глиоксалем и/или полиглиоксалем. Для проведения этой реакции, предпочтительно, используют водные растворы глиоксаля или полиглиоксаля. В рамках предпочтительного варианта осуществления изобретения используют водные растворы глиоксаля, имеющие концентрацию глиоксаля от около 0,1 до около 60 мас.%, например, от около 2 до около 50 мас.%. Особенно пригодными являются, например, растворы глиоксаля, имеющие концентрацию глиоксаля от около 20 до около 45 мас.%, особенно, от около 30 до около 40 мас.%. Если для получения используемого согласно изобретению простого эфира целлюлозы используют водные растворы полиглиоксаля, то они, преимущественно, имеют концентрацию полиглиоксаля от около 70 до около 90 мас.%. Предпочтительно, используют коммерческую (Highlink 80, производитель Tromsal) приблизительно 80 мас.% форму. В рамках настоящего изобретения можно также использовать для получения ингибированного простого эфира целлюлозы совместно глиоксаль и полиглиоксаль, а именно, одновременно или последовательно. Глиоксаль и/или полиглиоксаль, как правило, используют в количестве от около 0,05 до около 8 мас.%, в расчете на массу водорастворимого простого эфира целлюлозы, преимущественно, от около 0,1 до около 5 мас.% и, особенно предпочтительно, в количестве от около 0,5 до около 3 мас.%. Так полиглиоксаль может использоваться, например, в количестве более 1 мас.%, особенно, в количестве от около 1,3 до около 1,9 или от около 1,45 до около 1,75 мас.%, в расчете на массу водорастворимого простого эфира целлюлозы. Описанные способы получения ингибированных простых эфиров целлюлозы могут, например, осуществляться посредством лишь одного единственного вида водорастворимого простого эфира целлюлозы. Однако, в рамках настоящего изобретения предусмотрена также возможность использования смеси двух или более водорастворимых простых эфиров целлюлозы, подвергнутых описанной обработке. Для проведения реакции ингибирования водорастворимый простой эфир целлюлозы или смесь двух или более таких простых эфиров целлюлозы должен находиться, предпочтительно, в сухой форме, то есть в форме с влагосодержанием максимум около 15 мас.%, предпочтительно, максимум около 10 мас.%. При этом предназначенный для обработки простой эфир целлюлозы может иметь влагосодержание, например, от около 5 до около 15 мас.% или от около 6 до около 9 мас.%. В рамках способа ингибирования возможно также использование влажных, то есть содержащих воду, простых эфиров целлюлозы, таких как получают в виде неочищенного продукта-сырца в процессе получения простого эфира целлюлозы. Влажный простой эфир целлюлозы, как правило, имеет влагосодержание от более около 15 мас.% до около 70 мас.%, предпочтительно, от около 20 до около 40 мас.%. Предназначенный для обработки простой эфир целлюлозы может использоваться, например, в порошкообразной форме. При этом простой эфир целлюлозы может находиться, например, в гранулированной или порошкообразной форме. Если используют порошкообразный простой эфир целлюлозы, то, например, около 60% его, особенно предпочтительно около 70% и, наиболее предпочтительно, около 80% его имеют размеры частиц около менее 0,4 мм, предпочтительно, около менее 0,3 мм и, особенно предпочтительно, около менее 0,2 мм (определенные по DIN 4188). Предпочтителен, однако, простой эфир целлюлозы с размером частиц менее 0,1 мм в диаметре. Контактирование водорастворимого полисахарида или смеси двух или более водорастворимых полисахаридов с глиоксалем или полиглиоксалем или с их смесью может осуществляться любым способом. Если используют влажный простой эфир целлюлозы или смесь двух или более влажных простых эфиров целлюлозы, то добавление водного раствора глиоксаля к простому эфиру целлюлозы или к смеси двух или более простых эфиров целлюлозы может осуществляться, например, распылением, прикапыванием или любым другим пригодным способом. Возможно также смешивать водный раствор глиоксаля или полиглиоксаля или их смеси и водорастворимый простой эфир целлюлозы либо смесь двух или более водорастворимых простых эфиров целлюлозы в устройстве для смешения, например в экструдере. Однако пригодно также любое другое устройство для смешения, например роторно-струйное устройство для смешения. Для получения пригодных к использованию по изобретению ингибированных полисахаридов реакцию ингибирования можно проводить при температуре окружающей среды, то есть при температуре от около 10°С до около 30°С. Однако, возможно также проводить реакцию ингибирования при более высокой температуре, например, при температуре от около 30°С до около 60°С. При необходимости, реакцию ингибирования можно также проводить при еще более высокой температуре, например, при температуре от около 60°С до около 100°С или при температуре кипения используемого раствора глиоксаля или полиглиоксаля в случае его использования. После описанной здесь реакции ингибирования полисахарид или смесь двух или более полисахаридов и глиоксаля и/или полиглиоксаля могут подвергаться хранению. Такое хранение может осуществляться, например, в резервуаре, который уже использовался для проведения реакции ингибирования. Обработанные в рамках реакции ингибирования смеси в процессе хранения могут подвергаться дальнейшему перемешиванию, например, при хранении в соответствующем устройстве с перемешиванием, например в обогреваемом смесителе с плужным лемехом или обогреваемом вращающемся барабане. Хранение осуществляют, предпочтительно, при температуре, по меньшей мере, около 70°С. Однако, в рамках другого предпочтительного варианта осуществления настоящего изобретения в процессе хранения используют более высокую температуру, например, по меньшей мере, около 75°С или, по меньшей мере, около 80°С. Обнаружено, что хранение может проводиться даже при еще более высокой температуре, например, при 85°С, 90°С и 95°С или даже при 100°С. Верхним пределом безопасной при осуществлении хранения температуры, как правило, является температура кипения находящегося в смеси количества воды или водного раствора глиоксаля и/или полиглиоксаля. Используемые в рамках настоящего изобретения в качестве компонента композиций связующего по изобретению указанные полисахариды находятся в композициях связующего по изобретению в форме частиц. Термин «в форме частиц» означает при этом фактически преобладающее состояние названных полисахаридов внутри композиции связующего в форме частиц. При этом в рамках настоящего изобретения возможно, чтобы частицы полисахарида, охарактеризованные в рамках настоящего изобретения как находящиеся «в форме частиц», находились в виде агломерата различных частичек (например, первичных частичек) с размерами частичек, меньшими, чем размеры частиц. Термин «в форме частиц», который используется в рамках последующего текста описания, относится к находящимся внутри композиции связующего частицам, которые могут быть измерены любыми методами классификации размеров частиц, например, ситовым анализом, методом электронной микроскопии или светорассеяния, без дополнительного измельчения. При этом не имеет значения, являются ли находящиеся в связующем по изобретению частицы в виде агломерата первичных частичек или же сами частицы являются первичными частицами. В рамках предпочтительного варианта осуществления настоящего изобретения в композиции связующего по изобретению частицы полисахарида имеют такой состав частиц по размерам, при котором максимум 8 мас.% частиц, предпочтительно, однако, менее, чем 8 мас.% частиц имеют размер более 200 мкм. Предпочтительно, от около 40 до около 95 мас.%, особенно от около 60 до около 90 мас.% или 80 мас.% или более указанного полисахарида в форме частиц имеет размер частиц от 0,125 до 0,2 мкм. В рамках настоящего изобретения предпочтительно используют указанный полисахарид в форме частиц, обладающий вязкостью в виде 2 мас.% раствора в воде от около 2000 до около 10000 мПа·с, особенно, от около 4000 до около 7000 мПа·с или от около 5000 до около 6000 мПа·с. В другом предпочтительном варианте осуществления настоящего изобретения ингибированные полисахариды в форме частиц или смесь двух или более ингибированных полисахаридов в форме частиц имеют такой характер растворения в воде или в водных растворах, при котором максимум через около 60 минут, однако, особенно через 30 минут или менее, например, чем через около 20, 15 или 10 минут достигается, по меньшей мере, около 40% максимальной вязкости, то есть той вязкости, которая достигается, например, у соответствующего раствора через от около 3 до около 10 часов. Предпочтительно, частицы используемого по изобретению указанного полисахарида достигают, по меньшей мере, около 50%, предпочтительно, по меньшей мере, около 60% максимальной вязкости через от около 5 до около 10 минут. Композиции связующего по изобретению содержат ингибированный полисахарид или смесь двух или более ингибированных полисахаридов в количестве, по меньшей мере, около 10 мас.%. В предпочтительном варианте осуществления настоящего изобретения содержание ингибированных полисахаридов составляет от около 20 до около 80 мас.% в особенности, от около 30 до около 80 мас.%, например, от около 40 до около 70 мас.% или от около 45 до около 60 мас.%. Композиция связующего по изобретению может содержать названные полисахариды или производные полисахаридов, в зависимости от конкретного случая, как отдельные соединения. Однако возможно также и предусматривается в рамках настоящего изобретения, что композиция связующего по настоящему изобретению может содержать смесь двух или более вышеназванных производных полисахаридов, например, 3-х, 4-х, 5-ти, 6-ти, 7-ми, 8-ми, 9-ти или 10-ти или более различных производных полисахаридов. При этом по изобретению предусматривается, что композиция связующего должна содержать, по меньшей мере, один ингибированный полисахарид. Однако согласно изобретению возможно также, что композиция связующего содержит один ингибированный полисахарид или смесь нескольких ингибированных полисахаридов вместе с одним или несколькими неингибированными полисахаридами, такими как вышеназванные неингибированные полисахариды. В качестве других компонентов композиции связующего по изобретению содержат еще, по меньшей мере, 3 мас.% природного или синтетического слоистого силиката в виде частиц или смесь двух или более природных слоистых силикатов, либо двух или более синтетических слоистых силикатов в виде частиц или смесь одного или нескольких природных либо одного или нескольких синтетических слоистых силикатов. Пригодными слоистыми силикатами являются, например сепиолиты, монтморрилониты, гекториты или смектиты, причем предпочтительны гекторит или смектит и, особенно, гекторит. Слоистые силикаты, которые могут быть использованы в качестве компонентов композиций связующего по изобретению в рамках настоящего изобретения, могут иметь природное или синтетическое происхождение. В рамках предпочтительного варианта осуществления настоящего изобретения в качестве слоистых силикатов используют синтетические слоистые силикаты, особенно, синтетический гекторит. Пригодными синтетическими слоистыми силикатами являются, например синтетические слоистые силикаты под условным названием Laponite от Solvay Alkali. В рамках предпочтительного варианта осуществления настоящего изобретения в качестве компонента композиций связующих по изобретению используют такие слоистые силикаты, которые вызывают повышение вязкости в воде или в водных растворителях. С точки зрения времени, необходимого для повышения вязкости, повышение вязкости должно соизмеряться таким образом, чтобы отношение вязкости к определенному моменту времени с максимальной вязкостью для слоистых силикатов и для полисахарида находилось в интервале соотношений от около 10:1 до около 1:10, в особенности, от около 1:5 до около 5:1 или от около 1:2 до около 2:1. В рамках предпочтительного варианта осуществления настоящего изобретения в качестве компонента композиций связующего по изобретению используют такие слоистые силикаты, имеющие на кристаллической поверхности отрицательный заряд (eine negative Ladung), по меньшей мере, 30 ммоль на 100 грамм, предпочтительно, от около 50 до около 80 ммоль на 100 грамм и, например, от около 50 до около 60 ммоль на 100 грамм. Размер частиц слоистых силикатов, используемых в рамках настоящего изобретения, предпочтительно соразмеряется таким образом, чтобы время, требуемое для повышения вязкости, как это описано выше, находилось в пределах вышеназванных соотношений к увеличению вязкости полисахаридов. Преимущественно, в рамках настоящего изобретения используют слоистые силикаты, размер частиц которых находится в пределах от около 1 до около 500 мкм, особенно, от около 20 до около 200 мкм, например, от около 30 до около 80 нм, или от около 40 до около 60 нм. Относительно названных здесь размеров частиц речь идет, главным образом, о частицах такой величины, которая достигается, например, при измельчении слоистых силикатов до определенных размеров. Например, после измельчения измеряемые обычными уже указанными выше методами размеры частиц относятся в этом случае к агломератам, состоящим из отдельных также агломерированных первичных или вторичных частичек. Предпочтительно используемые согласно изобретению слоистые силикаты, как правило, первоначально имеют вид агломерированных штапельных частиц (частиц небольшой длины). При добавлении слоистого силиката к воде агломерированные частицы сначала распадаются на отдельные, но все еще агломерированные штапельные частицы. При диспергировании в воде агломерированные штапельные частицы сначала растворяются до отдельных штапельных частиц. Эти штапельные частицы в течение определенного времени набухают в воде, причем происходит разделение отдельных штапельных частиц на отдельные составляющие штапельные частицы первичные частички. В рамках другого предпочтительного варианта осуществления настоящего изобретения используют слоистые силикаты, первичные частички которых, составляющие штапельные частицы, имеют размер менее 1 мкм, особенно, менее 500 нм и, предпочтительно, менее около 100 нм. В рамках предпочтительного варианта осуществления настоящего изобретения в качестве слоистого силиката используют гекторит, например синтетический гекторит с условным названием Laponite RD (поставщик Solvay Alkali GmbH). В рамках предпочтительного варианта осуществления настоящего изобретения соотношение средних размеров частиц полисахаридов или слоистых минералов составляет от около 5:1 до около 1:5, например, от около 3:1 до около 1:3 или от около 2:1 до около 1:2. Композиция связующего по изобретению содержит слоистый силикат, предпочтительно, в количестве от около 3 до около 30 мас.%, особенно, от около 3,5 до около 20 мас.% или от около 4 до около 10 мас.%, например, от около 5 до около 8 мас.%. Помимо уже описанных соединений, то есть помимо частично сшитого водорастворимого простого эфира целлюлозы или смеси двух или более таких простых эфиров целлюлозы и, при необходимости, водорастворимого или вододиспергируемого соединения приготовленные водорастворимые составы по изобретению могут еще содержать полимер. Такие полимеры могут добавляться в приготовленные водорастворимые составы, например, с целью повышения клеящей способности. В качестве полимеров пригодны, например, вододиспергируемые полимеры, такие как винилпирролидон, полиакриламид, поливиниловый спирт либо эфир или соли полиакриловой кислоты или полиметакриловой кислоты либо смеси двух или более названных полимеров. В рамках предпочтительного варианта осуществления настоящего изобретения в качестве полимера используют полиакрилаты или полиметакрилаты, так называемые полимеры сложного эфира акриловой или метакриловой кислоты, содержащего от 1 до около 8 атомов углерода, в спиртовой компоненте, а также виниловые полимеры, особенно, поливинилацетат. Кроме того, в качестве полимеров может использоваться редиспергируемый дисперсный порошок, полученный полимеризацией. При этом речь идет, например, о гомо- или сополимерах сложного винилового эфира, стирола, эфиров акриловой или метакриловой кислоты или винилхлорида. Пригодными полимерами сложного винилового эфира являются, например, гомополимеры винилацетата, сополимеры винилацетата с этиленом или винилхлоридом или сополимеры других сложных виниловых эфиров, таких как виниллаурат, виниловый эфир версатиковой кислоты, винилпивалат или сложный эфир малеиновой кислоты или фумаровой кислоты, либо гомополимеры сложных виниловых эфиров насыщенных алкил-карбоновых кислот с 3-8 атомами углерода или их сополимеры с этиленом, винилхлоридом или другими сложными виниловыми эфирами, либо сополимеры из смеси двух или более названных мономеров, либо смеси двух или более названных гомо- или сополимеров. Если в качестве сополимера используют соединения, полученные из акриловой или метакриловой кислоты или стирола, то преимущественно, используют полимеры, которые могут быть получены полимеризацией стирола или эфиров акриловой или метакриловой кислоты с прямоцепочечными или разветвленными или циклическими алифатическими спиртами с 1-20 атомами углерода. Пригодными являются также сополимеры стирола, например сополимеры стирола и бутадиена. Пригодны также полимеры винилхлорида, например сополимеры винилхлорида и этилена. В рамках предпочтительного варианта осуществления настоящего изобретения в качестве полимеров используют гомополимеры винилацетата, сополимеры винилацетата и этилена или сополимеры сложных виниловых эфиров насыщенных алкилкарбоновых кислот с 3-8 атомами углерода в алкильной части и этилена с содержанием этилена от 1 до 40 мас.% и от 0 до около 40 мас.% другого сложного винилового эфира из группы сложного винилового эфира насыщенных алкилкарбоновых кислот с 3-8 атомами углерода в алкильной части или винилхлорида, сополимеры стирола и эфиров акриловой или метакриловой кислоты, такие как сополимеры стирола и бутилакрилата или сополимеры стирола и этилгексилакрилата с содержанием стирола от 1 до около 70 мас.%. Редиспергируемые полимеры этого вида получают, например, распылительной сушкой дисперсий полимеров в башне для распылительной сушки. В рамках настоящего изобретения предусматривается, что вышеназванные полимеры используют в приготовленных водорастворимых составах по изобретению по отдельности или в виде смесей двух или более из них. Поэтому объектом настоящего изобретения являются также приготовленные составы связующего, содержащие помимо вышеназванных ингибированных полисахаридов и слоистого силиката еще, по меньшей мере, один синтетический водорастворимый или вододиспергируемый полимер. Приготовленные составы связующего по изобретению, при необходимости, могут содержать добавки, вызывающие подщелачивание клея, полученного при растворении приготовленных водорастворимых составов по изобретению. К ним относятся, например, гидроксид аммония, гидроксид щелочных и/или щелочноземельных металлов, водорастворимые, преимущественно, порошкообразные силикаты щелочных металлов (жидкое стекло), в особенности, натриевое или калиевое жидкое стекло, а также аммиак и амины или основные и нейтральные соли, полученные из сильных и слабых кислот. К ним принадлежат, например, щелочные соли угольной кислоты или карбоновых кислот или третичные фосфаты. Названные соединения могут использоваться по отдельности или в виде смеси двух и более из них. Если в рамках растворения приготовленных водорастворимых составов по изобретению должно осуществляться подщелачивание, то количество вышеназванных добавок, в общем случае, составляет от около 0,05 до около 3 мас.% водорастворимого основания от массы общего приготовленного состава связующего по изобретению. В рамках другого варианта осуществления настоящего изобретения приготовленный водорастворимый состав содержит наполнители. Пригодными наполнителями являются, например, карбонаты (особенно, карбонат кальция), силикаты (например, тальк, глина, слюда), кизельгур, сульфаты, такие как сульфат кальция или бария, гидроксид алюминия, а также целлюлозные волокна, стекловолокна или стеклянные шарики. Такие наполнители могут содержаться в водорастворимом составе по изобретению, например, в количестве до около 20 мас.%, предпочтительно, от около 0,1 до около 10 мас.% от общей массы приготовленного водорастворимого состава. Такие синтетические полимеры обеспечивают, например, повышение клеящей способности или водостойкости при использовании целевого продукта, полученного из продукта, содержащего агломерат связующего по изобретению. В рамках настоящего изобретения в качестве синтетических полимеров особенно пригодны редиспергируемые дисперсные порошки полностью синтетических полимеров (базисные полимеры). При этом речь идет, главным образом, о гомо- и сополимерах сложных виниловых эфиров, стирола, эфиров акриловой кислоты и винилхлорида. Пригодными в качестве базисного полимера полимерами сложных виниловых эфиров являются, например, гомополимеры винилацетата, сополимеры винилацетата с этиленом и/или винилхлоридом и/или с другими сложными виниловыми эфирами, такими как виниллаурат, виниловые эфиры версатиковой кислоты, винилпивалат или сложные эфиры малеиновой кислоты либо фумаровой кислоты, или сополимеры двух или более названных мономеров или гомополимеры сложных виниловых эфиров насыщенных алкилкарбоновых кислот с 3-8 атомами углерода в алкильной части или их сополимеры с этиленом, винилхлоридом или другими сложными виниловыми эфирами. Вышеназванные полимеры эфиров акриловой или метакриловой кислоты или полимеры стирола получают полимеризацией стирола или эфиров акриловой или метакриловой кислоты. В качестве эфира акриловой или метакриловой кислоты используют, преимущественно, эфир прямоцепочечными или разветвленными или циклическими алифатическими спиртами с 1-20 атомами углерода. Другими полимерами стирола могут быть, например, сополимеры стирола с одним или несколькими другими мономерами. Пригодными являются, например, сополимеры стирола и бутадиена. В качестве полимеров винилхлорида пригодны сополимеры винилхлорида и этилена. В качестве редисперсионного порошка в рамках настоящего изобретения, предпочтительно, используют гомополимеры винилацетата, сополимеры винилацетата с этиленом или сополимеры сложных виниловых эфиров насыщенных алкилкарбоновых кислот и этилена с содержанием от 1 до около 40 мас.% этилена и от 0 до около 40 мас.% других сложных виниловых эфиров из группы сложных эфиров насыщенных алкилкарбоновых кислот с 3-8 атомами углерода в алкильной части или винилхлорида или смесей двух или более из них, стиролакрилатов, таких как стиролбутилакрилат или стиролэтил-гексилакрилат с содержанием стирола от 1 до около 70 мас.%. Эти редиспергируемые полимеры получают как обычно распылительной сушкой полимерных дисперсий в башне для распылительной сушки. Особенно пригодными являются, например, гомополимеры или сополимеры сложных виниловых эфиров, например, сополимеры с этиленом, мономерными звеньями основной структуры которых являются сложные виниловые эфиры прямоцепочечных или разветвленных карбоновых кислот, содержащих от около 2 до около 44 атомов углерода, например, от около 3 до около 15 атомов углерода. В качестве мономеров для этих гомополимеров или сополимеров поливиниловых сложных эфиров пригодны винилформиат, винилацетат, винилпропионат, винилизобутират, винилпивалат, винил-2-этилгексаноат, сложный виниловый эфир насыщенных разветвленных монокарбоновых кислот с от 9 до около 15 атомами углерода в кислотном остатке, сложный виниловый эфир длинноцепочечных насыщенных или ненасыщенных жирных кислот, таких как виниллаурат, винил-стеарат или сложный виниловый эфир бензойной кислоты и замещенных производных бензойной кислоты, такой как винил-п-трет.бутилбензоат. Названные сложные виниловые эфиры могут находиться в полимерах сложных виниловых эфиров, в зависимости от конкретного случая, в виде индивидуальных соединений или в виде смесей двух или более названных сложных эфиров. Может быть целесообразным, если в рамках настоящего изобретения агломераты связующего по изобретению содержат два или более названных синтетических полимеров. В рамках другого предпочтительного варианта осуществления настоящего изобретения в качестве частиц полимера используют смеси гомополимера и сополимера. В качестве гомополимера пригодны вышеописанные уже гомополимеры, однако, особенно пригодны гомополимеры сложных виниловых эфиров, предпочтительно, поливинилацетата. В качестве сополимеров пригодны также вышеназванные сополимеры. Однако, в рамках предпочтительного варианта осуществления изобретения в вышеназванных смесях частиц двух или более полимеров используют сополимеры этилена и винилацетата, винилацетата и винилверсатата или терполимеры, в особенности, терполимеры этилена, винилацетата и акрилата. Содержание гомополимеров в таких смесях частиц полимеров составляет, предпочтительно, по меньшей мере, около 20 мас.%, однако, предпочтительно, 40 мас.% или более, например, по меньшей мере, около 50 мас.%. Предпочтительное соотношение гомополимеров и сополимеров в смеси составляет, например, около 75:25 или около 80:20. Помимо названных компонентов, а именно, по меньшей мере, одного природного или синтетического полисахарида и, по меньшей мере, одного синтетического полимера, агломераты связующего по изобретению могут содержать еще и другие добавки. Пригодными добавками являются, например, соединения, вызывающие подщелачивание клея, полученного растворением приготовленных водорастворимых составов по изобретению. К ним относятся, например, гидроксид аммония, гидроксид щелочных и/или щелочноземельных металлов, водорастворимые, предпочтительно, порошкообразные силикаты щелочных металлов (жидкое стекло), особенно, натриевое или калиевое жидкое стекло, а также аммиак и амины или основные и нейтральные соли, полученные из сильных и слабых кислот. К ним относятся, например, щелочные соли угольной кислоты или карбоновых кислот, а также третичные фосфаты. Названные соединения могут использоваться по отдельности или в виде смесей двух и более из них. Если в рамках растворения приготовленных водорастворимых составов по изобретению должно осуществляться подщелачивание, то содержание вышеназванных добавок составляет, в общем случае, от около 0,1 до около 2 мас.% от общей массы приготовленного водорастворимого состава. Кроме того, в качестве добавок пригодны вспомогательные вещества или наполнители, смачиватели и консерванты, регуляторы консистенции и добавочные компоненты с клеящей способностью, такие как декстрины или ионогенный простой эфир целлюлозы. В рамках другого предпочтительного варианта осуществления настоящего изобретения приготовленный водорастворимый состав содержит вспомогательные вещества или наполнители. Пригодными вспомогательными веществами или наполнителями являются, например, карбонаты (особенно, карбонат кальция), силикаты (например, тальк, глина, слюда), кизельгур, сульфаты, такие как сульфат кальция или бария, гидроксид алюминия, а также стекловолокна или стеклянные шарики. Такие вспомогательные вещества или наполнители могут содержаться в приготовленном водорастворимом составе по изобретению, например, в количестве до около 30 мас.%, предпочтительно, от около 0,1 до около 20 мас.% от общей массы приготовленного водорастворимого состава. Кроме того, композиция связующего по изобретению может содержать еще добавки. В качестве таких добавок пригодны, особенно водорастворимые ионогенные или неионогенные полимеры из группы поливинилпирролидонов, сополимеров винилпирролидона и сложного винилового эфира, водорастворимые амфотерные полимеры из группы сополимеров акриламида и акриловой кислоты, сополимеров акриламида и метакриловой кислоты, сополимеров акриламида, метилметакриловой кислоты, сополимеров акриламида, акриловой кислоты и алкиламиноалкил(мет)акриловой кислоты, сополимеров алкилакриламида, метакриловой кислоты и алки-ламиноалкил(мет)акриловой кислоты, сополимеров алкилакриламида, метилметакриловой кислоты и алкиламиноалкил(мет)акриловой кислоты, сополимеров алкилакриламида, алкилметакрилата, алкиламиноэтилметакрилата и алкилметакрилата, сополимеров насыщенных карбоновых кислот, производных ненасыщенных карбоновых кислот, содержащих катион, и, при необходимости, других ионогенных или неионогенных мономеров, водорастворимых амфотерных полимеров из группы сополимеров акриламидоалкилтриалкиламмонийхлорида и акриловой кислоты, а также их щелочных и аммониевых солей, сополимеров акриламидоалкилтриалкиламмонийхлорида и метакриловой кислоты, а также их щелочных и аммониевых солей, метакрилэтилбетаина и метакрилата, водорастворимых анионных полимеров из группы сополимеров винилацетата и кротоновой кислоты, сополимеров винилпирролидона и винилакрилата, терполимеров акриловой кислоты, этилакрилата и N-трет.бутилакриламида, привитых сополимеров сложных виниловых эфиров, эфиров акриловой или метакриловой кислоты в отдельности или в смеси, сополимеризованных с кротоновой кислотой, акриловой кислотой или метакриловой кислотой, с полиалкиленоксидами и/или полиалкиленгликолями, привитых или сшитых сополимеров, полученных сополимеризацией, по меньшей мере, одного мономера неионного типа, по меньшей мере, одного мономера ионного типа, полиэтиленгликоля и сшивающего агента, сополимеров, полученных сополимеризацией, по меньшей мере, одного мономера из любых трех следующих групп: эфира ненасыщенных спиртов и короткоцепочечных насыщенных карбоновых кислот и/ли сложного эфира короткоцепочечных насыщенных спиртов и ненасыщенных карбоновых кислот, ненасыщенных карбоновых кислот, эфира длинноцепочечных карбоновых кислот и ненасыщенного спирта и/или эфира карбоновых кислот группы с насыщенными или ненасыщенными прямоцепочечными или разветвленными спиртами с 8-18 атомами углерода, терполимеров кротоновой кислоты, винилацетатов и сложного аллилового или металлилового эфира, тетра- и пентаполимеров кротоновой кислоты или аллилоксиуксусной кислоты, винилацетата или винилпропионата, сложных разветвленных аллиловых или металлиловых эфиров, простых виниловых эфиров, сложных виниловых эфиров, или прямоцепочечных аллиловых или металлиловых эфиров, сополимеров кротоновой кислоты с одним или несколькими мономерами из группы этилена, винилбензола, простого винилметилового эфира, акриламида и их водорастворимых солей, терполимеров винилацетата, кротоновой кислоты и сложных виниловых эфиров насыщенных алифатических монокарбоновых кислот, разветвленных в В качестве добавок пригодны также водорастворимые полмеры, такие как полученные привитой сополимеризацией. В качестве основы для прививки пригодны, например, полиалкиленгликоли, особенно, полиэтиленгликоль с молекулярной массой от около 100 до около 50 000, особенно, от около 1000 до около 10000. Для получения привитых сополимеров в качестве прививаемых мономеров могут использоваться, по существу, все способные к прививке на полиалкиленгликоли соединения, по меньшей мере, с одной олефинненасыщенной двойной связью. Однако, для получения привитых сополимеров, предпочтительно, используют сложный эфир винилового спирта с прямоцепочечными или разветвленными насыщенными монокарбоновыми кислотами с 2-24 атомами углерода, особенно, содержащими от 2 до около 18 атомов углерода. Сложные эфиры такого вида уже описаны выше в рамках настоящего описания. Например, могут быть использованы привитые сополимеры с содержанием основы для прививки от около 10 до около 90 мас.% и содержанием прививаемого полимера от около 90 до около 10 мас.%. Соотношение основы для прививки к прививаемому полимеру, преимущественно, выбирают таким, чтобы привитые сополимеры были водорастворимыми, причем водорастворимость при 20°С должна составлять около 1 г/л, однако, преимущественно, она должна быть, например, более около 2,5 или 10 г/л. В качестве добавки может быть использован, например, привитой сополимер, содержащий в качестве основы для прививки около 40 мас.% полиэтиленгликоля (ПЭГ) со среднемассовой молекулярной массой (Mw) около 6000 и в качестве прививаемого полимера около 60 мас.% поливинилацетата. Названные добавки могут содержаться в композициях связующего по изобретению в количестве от около 0,1 до около 10 мас.%, например, от около 1 до около 7 мас.%. В рамках другого варианта осуществления настоящего изобретения композиция связующего по изобретению может содержать, по меньшей мере, одно четвертичное аммониевое соединение. Под термином «четвертичное аммониевое соединение» в рамках настоящего описания подразумевают соединение азота, содержащее, по меньшей мере, один атом азота, связанный с тремя или четырьмя органическими остатками. В качестве органического остатка с особым расположением в рамках настоящего изобретения рассматриваются также такие остатки, которые получаются от связывания соответствующего атома азота в циклическую структуру. В рамках предпочтительного варианта осуществления настоящего изобретения в качестве четвертичного аммониевого соединения используют соединения с одним или двумя атомами азота, причем, по меньшей мере, один атом азота обладает вышеописанным свойством. В рамках другого предпочтительного варианта осуществления настоящего изобретения используют четвертичные аммониевые соединения, содержащие только один атом азота. В принципе, в рамках настоящего изобретения могут использоваться четвертичные аммониевые соединения с любыми органическими остатками у атома азота. Однако в рамках предпочтительного варианта осуществления настоящего изобретения используют четвертичные аммониевые соединения, содержащие у атома азота четыре органических остатка, выбранных из группы, включающей прямоцепочечные или разветвленные насыщенные или ненасыщенные алкильные остатки с 1-4 атомами углерода или ненасыщенные циклоалкильные остатки с 4-24 атомами углерода, либо арильные остатки с 6-24 атомами углерода. Названные остатки, при необходимости, могут иметь, независимо друг от друга, один или несколько заместителей. В рамках другого предпочтительного варианта осуществления настоящего изобретения используют четвертичные аммониевые соединения, у которых связанные с атомом азота органические остатки имеют различное число атомов углерода. Так, возможно, например, использовать четвертичные аммониевые соединения, у которых с атомом азота связаны два вида различных органических остатков, причем, например, два или три из находящихся у атома азота органических остатков, в зависимости от конкретного случая, могут быть идентичными. Помимо этого, возможно также использовать четвертичные аммониевые соединения, у которых с атомом азота связаны три или четыре различных органических остатка. В рамках другого предпочтительного варианта осуществления настоящего изобретения в качестве четвертичных аммониевых соединений используют соединения, содержащие три или более, особенно, десять или более четвертичных атомов азота. Примерами таких соединений являются полимеры, получаемые посредством кватернизированных аминогрупп. Пригодными полимерами являются, например, полиакрилаты или полиметакрилаты с диалкиламиногруппами, протонизированными или кватернизированными соответствующими агентами кватернизации. Пригодны также соответствующие полимеры, содержащие атомы азота в циклическом структурном элементе, например, поливинилпирролидон. Пригодные четвертичные аммониевые соединения могут содержать один или несколько противоионов. Пригодными противоионами являются, например, ионы галогенидов, таких как фторид, хлорид, бромид или иодид. В качестве противоионов пригодны также карбоксилаты, сульфаты или фосфаты. В рамках другого предпочтительного варианта осуществления настоящего изобретения в качестве четвертичных аммониевых соединений используют, например, N,N-дидецил-N,N-диметиламмонийхлорид, N,N-дидецил-N,N-диметиламмонийпропионат, N,N-дидецилметилоксиэтил-аммоний-хлорид, N,N-дидецилметилоксиэтиламмонийпропионат, цетилтри-метиламмонийхлорид, дистеарилдиметиламмонийхлорид, лаурилдиметилбензиламмонийхлорид, лаурилтриметиламмонийхлорид или оксиэтил-алкиламмонийфосфаты. Пригодны также, например, такие соединения, как диоктилдиметиламмонийхлорид, дидецилметилполи(оксиэтил)аммоний-пропионат, бензилалконийхлориды, такие как бензэтонийхлориды, алкиламиноалкилглициналкиламины, полигексаметиленбигуанидгидрохлорид или алкилпропилендиамингуанидиний. В рамках другого варианта осуществления настоящего изобретения в качестве добавок в композициях связующего по изобретению используют еще соединения, содержащие, по меньшей мере, одну кислотную и одну основную группу. Соединения, содержащие, по меньшей мере, одну кислотную и одну основную группу, часто называют цвиттерионными (амфотерными) соединениями. Из цвиттерионных соединений пригодны, например, бетаины. Бетаины представляют собой известные соединения, главным образом, получаемые карбоксиалкилированием, предпочтительно, карбоксиметилированием аминосоединений. Исходные соединения, предпочтительно, конденсируют с галогенкарбоновыми кислотами или их солями, особенно, с натрийхлорацетатом, причем на один моль бетаина образуется один моль соли. Кроме того, возможно также присоединение насыщенных карбоновых кислот, например, таких как акриловая кислота. Обзоры на эту тему даны, например, A. O’Lennick et al. in HAPPI, Nov. 70 (1986); S. Hoizman et al. Tens. Del, 23, 309 (1986); R. Bibo et al. Soap Cosm. Chem. Spec. Apr. 46 (1990) и P. Ellis et al. Euro Cosm. 1, 14 (1994). Примеры пригодных бетаинов представляют собой продукты карбоксилирования вторичных и, особенно, третичных аминов, соответствующие формуле (I):
в которой R1 означает алкильный и/или алкенильный остаток с 6-22 атомами углерода, R2 означает водород или алкильный остаток с 1-4 атомами углерода, R3 означает алкильный остаток с 1-4 атомами углерода, n означает число от 1 до 6 и Х означает щелочной и/или щелочноземельный металл или аммоний. Типичными примерами являются, например, продукты карбоксиметилирования гексилметиламина, гексилдиметиламина, октилдиметиламина, децилдиметиламина, додецилметиламина, додецилдиметиламина, додецилэтиламина, кокоалкилдиметиламина с 12-14 атомами углерода, миристилдиметиламина, цетилдиметиламина, стеарилди-метиламина, стеарилэтилметиламина, олеилдиметиламина, C16/18-талловыйалкил-диметиламина, а также их технических смесей. Кроме того, в качестве бетаинов пригодны такие продукты карбокси-алкилирования амидоаминов, соответствующие формуле (II): в которой R4CO означает алифатический ацильный остаток с 6-22 атомами углерода, не содержащий или содержащий от 1 до 3 двойных связей, m означает число от 1 до 3 и R2, R3, n и Х имеют вышеуказанные значения. Типичными примерами являются конденсированные с натрийхлорацетатом продукты взаимодействия жирных кислот с 6-22 атомами углерода, а именно, капроновой кислоты, каприловой кислоты, каприновой кислоты, лауриновой кислоты, миристиновой кислоты, пальмитиновой кислоты, пальмолеиновой кислоты, стеариновой кислоты, изостеариновой кислоты, олеиновой кислоты, элаидиновой кислоты, петрозелиновой кислоты, линолевой кислоты, линоленовой кислоты, элеостеариновой кислоты, арахиновой кислоты, гадолеиновой кислоты, бегеновой кислоты и эруковой кислоты, а также их смесей с N,N-диметиламиноэтиламином, N,N-диметиламинопропиламином, N,N-диэтиламиноэтиламином и N,N-диэтиламинопропиламином. Предпочтительным является использование продуктов конденсации N,N-диметиламинопропиламина кокосовых жирных кислот с 8-18 атомами углерода с натрийхлорацетатом. Кроме того, в качестве пригодных исходных веществ для используемых по изобретению бетаинов рассматриваются имидазолины, соответствующие формуле (III):
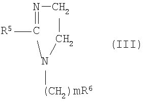
в которой R5 означает алкильный остаток с 5-21 атомами углерода, R6 означает гидроксильную группу, остаток OCOR5 или NHCOR5 и m означает 2 или 3. У этих веществ речь идет также об известных веществах, которые могут быть получены, например, циклизированной конденсацией 1 или 2 молей жирной кислоты с многоатомными аминами, такими как, например, аминоэтилэтаноламин (АЭЭА) или диэтилтриамин. Соответствующие продукты карбоксилирования представляют собой смеси различных коротко-цепочечных бетаинов. Типичными примерами продуктов конденсации вышеназванных жирных кислот с аминоэтилэтаноламином (АЭЭА) являются, предпочтительно, имидазолины на основе лауриновой кислоты или опять-таки кокосовых жирных кислот с 12-14 атомами углерода, бетаинизированные затем натрийхлорацетатом. Композиции связующего по изобретению могут содержать цвиттерионные соединения, в зависимости от конкретного случая, по отдельности, то есть лишь только одно цвиттерионное соединение, или в смеси двух и более цвиттерионных соединений. Композиции связующего по изобретению содержат четвертичные аммониевые соединения или цвиттерионные соединения или смесь двух или более из них в количестве более 4 мас.%. При этом верхний предел содержания четвертичных аммониевых или цвиттерионных соединений или смеси двух или более из них составляет около 40 мас.%. В рамках предпочтительного варианта осуществления настоящего изобретения композиция связующего по изобретению содержит, по меньшей мере, 5, 6, 7, 8, 9 или, по меньшей мере, около 10 мас.% четвертичных аммониевых соединений или цвиттерионных соединений или смеси двух или более из них. Пригодное содержание составляет, например, величину порядка от около 8% до около 30%, например, от около 9% до около 25% или около 15% либо до менее чем около 20%. Вышеназванные процентные данные относятся к массе четвертичных аммониевых соединений или цвиттерионных соединений или смеси двух или более из них. В принципе, композиции связующего по изобретению могут содержать вышеперечисленные соединения, в зависимости от конкретного случая, в отдельности или в смеси двух или более видов соединений. Однако, в рамках настоящего изобретения предусматривается также, чтобы композиции связующего по изобретению содержали смесь двух или более различных соединений различного вида. В качестве других добавок композиция связующего по изобретению может содержать, например, биоциды, красители, пигменты, диспергаторы, смачиватели и/или поверхностно-активные вещества, гликоли или регуляторы вязкости. В качестве биоцидов пригодны, например, четвертичные аммониевые соединения, альдегиды, предпочтительно формальдегид, изотиазолоны или бензизотиазолоны или смеси двух или более из них. В качестве красителей и пигментов, пригодны, например, мел, рутил, сажа и подобные неорганические красители и пигменты, а также органические красители и пигменты, такие как азокрасители или анилиновые красители. В качестве диспергатора или смачивателя и/или поверхностно-активного вещества пригодны анионоактивные, катионоактивные или неионогенные поверхностно-активные вещества. Типичными примерами анионоактивных поверхностно-активных веществ являются содержащие в качестве менее двух кислотных групп алкилбензолсульфонаты, алкансульфонаты, олефинсульфонаты, алкил-эфирсульфонаты, эфирсульфонаты глицерина, метилэфирсульфонаты, жирные сульфокислоты, алкилсульфаты, эфирсульфаты жирного спирта, эфирсульфаты глицерина, смешанные гидроксиэфирсульфаты, моно-глицерид(эфир)эфирсульфаты, амид(эфир)эфирсульфаты жирной кислоты, моно- и диалкилсульфосукцинаматы, сульфотриглицериды, амидомыла, простые эфиры карбоновых кислот и их соли, изотионаты жирных кислот, саркозинаты жирных кислот, тауриды жирных кислот, ациллактилаты, алкилолигоглюкозидсульфаты, конденсаты протеиновых жирных кислот (особенно, растительные продукты на основе сои) и алкил(эфир)фосфаты. Поскольку анионоактивные поверхностно-активные вещества содержат полигликольэфирные цепочки, то они могут иметь обычное, однако, преимущественно, узкое гомологическое распределение. Кроме того, в рамках настоящего изобретения пригодны также неионогенные поверхностно-активные вещества, синтезированные не на основе целлюлозы. Типичными примерами таких неионогенных поверхностно-активных веществ являются полигликолевые эсриры жирных спиртов, полигликолевый эфир алкилфенолов, полигликолевый эфир жирных кислот, полигликолевый эфир амидов жирных кислот, полигликолевый эфир жирных аминов, оксиалкилированные триглицериды, алк(ен)илолигоглюкозиды, N-алкилглюкамиды жирных кислот, гидролизаты протеинов (особенно, растительные продукты на основе сои), эфир полиоловых жирных кислот, сложный эфир сахара, сорбитановый эфир и полисорбаты. Так как неионогенные поверхностно-активные вещества содержат полигликольэфирные цепочки, то они могут иметь обычное, однако, предпочтительно, узкое гомологическое распределение. Средство по изобретению, предпочтительно, содержит в качестве дополнительного компонента неионогенные поверхностно-активные вещества, такие, например, как продукты присоединения, в среднем, от 15 до 30 молей оксида этилена к жирному спирту, содержащему от 8 до 18 атомов углерода. В рамках предпочтительного варианта осуществления настоящего изобретения в качестве компонента суспензии полисахарида по изобретению используют неионогенное малопенящееся поверхностно-активное вещество, особенно, смешанный простой эфир оксида этилена/оксида пропилена, содержащий около 5 звеньев оксида этилена и 5 звеньев оксида пропилена. В качестве гликолей в рамках настоящего изобретения пригодны, в особенности, низкомолекулярные гликоли или олигогликолевые простые эфиры, такие как этиленгликоль, пропиленгликоль, бутиленгликоль, диэтиленгликоль, дипропиленгликоль и тому подобные В качестве регулятора вязкости в рамках настоящего изобретения пригодны, в особенности, ксантановая камедь или кремневая кислота либо смеси двух и более из них. Композиция связующего по изобретению содержит, например, следующие компоненты: – от около 20 до около 80 мас.% ингибированного простого эфира целлюлозы, – от около 0,2 до около 80 мас.% карбоната натрия, – от около 10 до около 50 мас.% гомополимеров поливинилацетата, – от около 2 до около 8 мас.% мела, – от около 4 до около 15 мас.% слоистого силиката, особенно, Laponite RD, – от около 0,2 до около 2 мас.% четвертичного аммониевого соединения. Композиции связующего по изобретению посредством смешения потребителем на месте с водой или водными растворителями могут быть превращены в готовый к употреблению водный состав клея. Объектом настоящего изобретения является, кроме того, также состав клея, содержащий, по меньшей мере, 20 мас.% воды и, по меньшей мере, 1 мас.%, например, от около 2 до около 20 мас.% или от около 5 до около 10 мас.% композиции связующего по изобретению. В рамках предпочтительного варианта осуществления настоящего изобретения состав клея по изобретению содержит, по меньшей мере, около 30 мас.%, однако, особенно, по меньшей мере, около 40 мас.% или, по меньшей мере, около 70 мас.%, или, по меньшей мере, около 80 мас.%, или, по меньшей мере, около 90 мас.% воды. Состав клея по изобретению готовят, например, введением композиции связующего по изобретению в воду в массовом соотношении от около 1:10 до около 1:25, например, от около 1:15 до около 1:22, особенно, около 1:20 (массовые соотношения). Состав клея по изобретению через период времени от около 1 до около 5 минут после его приготовления имеет, преимущественно, вязкость по Брукфильду (относительную вязкость RVT, 20°С) от около 1000 до около 3000 мПа·с. В рамках другого предпочтительного варианта осуществления настоящего изобретения состав клея по изобретению через от около 20 до около 40 минут, особенно через от около 25 до около 35 минут после его приготовления имеет, преимущественно, вязкость по Брукфильду (относительную вязкость RVT, 20°C) от около 10 000 до около 20 000 мПа·с, особенно, от около 11 000 до около 16 000 мПа·с. Показатель рН состава клея по изобретению в рамках настоящего изобретения, равен, по меньшей мере, около 6. В рамках предпочтительного варианта осуществления настоящего изобретения показатель рН состава клея по изобретению равен, по меньшей мере, около 7, например, от около 7,1 до около 10, особенно, от около 8 до около 9. Приготовление составов клея по изобретению осуществляется потребителем на месте простым размешиванием вышеописанных композиций связующих с водой. Само размешивание может осуществляться, по существу, любым известным методом. Так, например, пригодны простые приспособления, такие как сосуд и шпатель для перемешивания, причем сначала наливают воду и при перемешивании в воду вводят композицию связующего по изобретению. Однако в рамках настоящего изобретения также предусмотрена возможность готовить состав клейстера по изобретению с помощью, например, перемешивающих устройств с принудительным приводом. Более подробно изобретение иллюстрируется нижеследующими примерами. Примеры Были приготовлены следующие рецептуры в качестве примеров: Рецептура 1: 54,0 мас.% МНЕС 6000 PR 30,0 мас.% дисперсного порошка поливинилацетата 7,0 мас.% целлюлозных волокон 6,0 мас.% Laponite RD 0,5 мас.% соды 0,2 мас.% диметилдидодециламмонийхлорида 2,3 мас.% кристаллического мела Рецептура 2: 54,0 мас.% МНЕС 6000 PR 30,0 мас.% дисперсного порошка поливинилацетата 7,0 мас.% целлюлозных волокон 6,0 мас.% бентонита (Bentone EW) 0,5 мас.% соды 0,2 мас.% диметилдидодециламмонийхлорида 2,3 мас.% кристаллического мела Рецептура 3: 54,0 мас.% МНЕС 6000 PR 30,0 мас.% дисперсного порошка поливинилацетата 7,0 мас.% целлюлозных волокон 6,0 мас.% Smectit (Tixogel CD) 0,5 мас.% соды 0,2 мас.% диметилдидодециламмонийхлорида 2,3 мас.% кристаллического мела Рецептура 4: 54,0 мас.% МНЕС 6000 PR 30,0 мас.% дисперсного порошка поливинилацетата 7,0 мас.% целлюлозных волокон 0,5 мас.% соды 0,2 мас.% диметилдидодециламмонийхлорида 8,3 мас.% кристаллического мела Рецептура 5: Обычный коммерческий клей Metylan Spezial. Композиции согласно вышеуказанным рецептурам перемешивали с водой в соотношении при приготовлении 1:2 (массовое соотношение). Через 15 минут полученные композиции клейстера наносили на новый слой штукатурки посредством обычного коммерческого валика из овчины. Склонность к разбрызгиванию и нанесенное количество клейстера оценивали визуально. Результаты приведены в таблице.
При этом означает: ++++ очень мало брызг / плотное покрытие, большое нанесенное количество покрытия; +++ отдельные брызги / хорошее покрытие, приемлемое количество нанесенного покрытия; ++ умеренно большое количество брызг / посредственное покрытие; + много брызг / плохое покрытие, незначительное количество нанесенного покрытия.
Формула изобретения
1. Композиция связующего для клеев, по меньшей мере, содержащая, по меньшей мере, 10 мас.% прошедшего поверхностную обработку полисахарида в форме частиц или смеси двух или более таких прошедших поверхностную обработку полисахаридов в форме частиц и, по меньшей мере, 3 мас.% природного или синтетического слоистого силиката в форме частиц, либо смеси двух или более природных слоистых силикатов или смеси двух или более синтетических слоистых силикатов в форме частиц, либо смеси одного или нескольких природных и одного или нескольких синтетических слоистых силикатов. 2. Композиция по п.1, отличающаяся тем, что в качестве прошедшего поверхностную обработку полисахарида она содержит, по меньшей мере, один простой эфир целлюлозы. 3. Композиция по п.1 или 2, отличающаяся тем, что она содержит дополнительно, по меньшей мере, один водорастворимый или вододиспергируемый синтетический полимер. 4. Композиция по п.1, отличающаяся тем, что в качестве слоистого силиката она содержит слоистый силикат типа гекторита. 5. Композиция по п.1, отличающаяся тем, что слоистым силикатом является синтетический слоистый силикат. 6. Композиция по п.1, отличающаяся тем, что массовое соотношение указанного полисахарида или указанных полисахаридов к слоистому силикату или слоистым силикатам составляет от 1:4 до 4:1. 7. Композиция по п.2, отличающаяся тем, что 8 мас.% или менее поверхностную обработку полисахарида в форме частиц имеет размер частиц более 200 мкм. 8. Композиция по п.7, отличающаяся тем, что 80 мас.% или более поверхностную обработку полисахарида в форме частиц имеет размер частиц от 0,125 до 0,2 мкм. 9. Композиция по п.6, отличающаяся тем, что соотношение величины частиц поверхностную обработку полисахарида к величине частиц слоистого силиката составляет от 10:1 до 1:10. 10. Композиция по п.1, отличающаяся тем, что она содержит от 0,05 до 3 мас.% водорастворимого основания. 11. Состав клея, содержащий, по меньшей мере, 20 мас.% воды и, по меньшей мере, 1 мас.% композиции по п.1. 12. Состав клея по п.11, отличающийся тем, что он содержит, по меньшей мере, 40 мас.% воды.
|
||||||||||||||||||||||||||

-,
– и
-положении, растворимых катионных полимеров из группы квартенизированных производных целлюлозы, полисилоксанов с четвертичными группами, катионных гуар-производных, полимеров диметилдиаллиламмониевых солей и их сополимеров со сложными эфирами и амидами акриловой и метакриловой кислоты, сополимеров винилпирролидона с четвертичными производными диалкиламино-акрилатов и диалкиламинометакрилатов, сополимеров винилпирролидона и метоимидазолитийхлорида, кватернизированного поливинилового спирта, полимеров с INC названиями Polyquaternium 2, Polyquaternium 17, Polyquaternium 18 и Polyquaternium 27.
,
,