|
|
(21), (22) Заявка: 2006113901/04, 24.04.2006
(24) Дата начала отсчета срока действия патента:
24.04.2006
(46) Опубликовано: 10.02.2008
(56) Список документов, цитированных в отчете о поиске:
Адрес для переписки:
450075, г.Уфа, пр-кт Октября, 141, ИНК РАН, патентная группа
|
(72) Автор(ы):
Ахметова Внира Рахимовна (RU), Шакурова Эльвира Рифовна (RU), Халилова Алия Зуфаровна (RU), Халилов Леонард Мухибович (RU)
(73) Патентообладатель(и):
Институт нефтехимии и катализа РАН (RU)
|
(54) СПОСОБ ПОЛУЧЕНИЯ 3 -АЦЕТОКСИ-20,20-ДИМЕТОКСИНОРТАРАКСАСТАНА
(57) Реферат:
Изобретение относится к новому способу получения -ацетокси-20,20-диметоксинортараксастана формулы 1. Способ осуществляют взаимодействием 3 -ацетокси-20-метилентараксастана в растворе хлороформа с избытком озона в мольном соотношении 3 -ацетокси-20-метилентараксастан: озон, равном 1:1.5, с добавлением метанола, при комнатной температуре и перемешивании. Выход целевого продукта составляет 68%.

Предлагаемое изобретение относится к органической химии, в частности к способу получения 3 -ацетокси-20,20-диметоксинортараксастана, имеющего формулу:

Пентациклические тритерпеноиды тараксастанового ряда могут найти применение в фармакологической промышленности в качестве потенциальных антибиотических препаратов, подавляющих развитие грамположительных бактерий (Bacillus subtilis, Escherichia coli, Pseudomonas purida), а также в качестве средств противоопухолевой и противовоспалительной активности.
Известен способ (Pai P.P., Kulkarni G.H. Oxidation studies on taraxasterol, taraxasteryl acetate and taraxastenone. Indian J. Chem. 1977. 15B. P.1134-1136) получения 20-оксопроизводных нортараксастерилацетата, в частности 3 -ацетокси-20-оксонортараксастана (2) и 20-альдегидотараксастерилацетата (3) взаимодействием 3 -ацетокси-20-метилентараксастана (тараксастерилацетат) (4) с реактив Джонса по схеме:

Известный способ не позволяет получить 3 -ацетокси-20,20-диметоксинортараксастана (1) и приводит к получению смеси продуктов реакции 2 и 3.
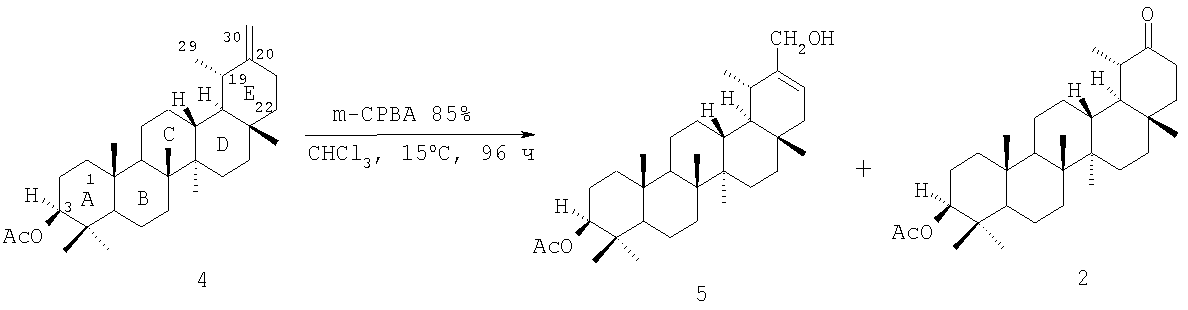
Известен способ (Pai P.P., Kulkarni G.H. Oxidation studies on taraxasterol, taraxasteryl acetate and taraxastenone. Indian J. Chem.1977. 15B. P.1134-1136) получения 20-оксопроизводных нортараксастерилацетата, в частности 3 -ацетокси-20-оксонортараксастана (2) и 3 -ацетокси-20-гидрокситараксастерил-ацетата (5) взаимодействием 3 -ацетокси-20-метилентараксастана (4) с m-хлорпербензойной кислотой (m-CPBA) по схеме:

Известный способ не позволяет получить 3 -ацетокси-20,20-диметоксинортараксастан (1) и приводит к получению смеси продуктов реакции 2 и 5.
Предлагается новый способ синтеза 3 -ацетокси-20,20-диметоксинортараксастана (1).
Предлагаемый способ синтеза 3 -ацетокси-20,20-диметоксинортараксастана (1) заключается во взаимодействии 3 -ацетокси-20-метилентараксастана (4) с 1.5-мольным избытком озона в присутствии хлороформа, с добавлением 4-мольного избытка метанола при комнатной температуре и перемешивании. Образуется селективно 3 -ацетокси-20,20-диметоксинортараксастан (1). Реакция протекает по схеме:

Целевой 3 -ацетокси-20,20-диметоксинортараксастан (1) селективно образуется только в процессе озонолиза. При использовании других окислительных агентов (реактив Джонса, m-хлорпербензойная кислота) образования 3 -ацетокси-20,20-диметоксинортараксастана (1) не происходит. Изменение соотношения исходных реагентов в сторону увеличения концентрации озона по отношению к 3 -ацетокси-20-метилентараксастану (4) не приводит к существенному повышению выхода целевого 3 -ацетокси-20,20-диметоксинор-тараксастана (1).
Существенные отличия предлагаемого способа.
В предлагаемом способе в качестве окислительного агента используется более дешевый и экологичный окислитель – озон, в известном способе в качестве окислителя используются реактив Джонса (CrO3-Н2SO4) и m-хлорпербензойная кислота (m-CPBA), и образования 3 -ацетокси-20,20-диметоксинортараксастана (1) не происходит.
Преимущества предлагаемого способа:
Способ позволяет получать с высокой селективностью 3 -ацетокси-20,20-диметоксинортараксастан (1). Разработанный авторами способ отличается высокой селективностью, простотой проведения эксперимента, сокращением времени эксперимента и применением более дешевого и экологичного окислителя озона, не приводящего к образованию вредных и побочных продуктов.
Способ поясняется примерами.
ПРИМЕР 1. Через раствор 0.16 г (0.34 ммоль) 3 -ацетокси-20-метилентараксастана (4) в 5 мл хлороформа, содержащий 0.06 мл МеОН (1.4 ммоль), пропускают озонокислородную смесь при комнатной температуре (производительность озонатора 9.4 ммоль О3 за 1 ч) до поглощения 0.35 ммоль О3. Образовавшуюся смесь перекисных продуктов озонирования (проба на перекиси в присутствии 2%-ного раствора KJ и 1%-ного раствора крахмала) восстанавливают Me2S (0,51 ммоль) при комнатной температуре, в течение 24 ч. Растворитель упаривают в вакууме и получают 0.13 г (68%) 3 -ацетокси-20,20-диметоксинортараксастана (1) в виде белого кристаллического вещества с т.пл. 210-212°С.
Спектральные характеристики* 3 -ацетокси-20,20-диметоксинортараксастана (1): |
 |
Спектр ЯМР 1Н (CDCl3), , м.д. (J, Гц): 0,91 с (6Н, H23 и H24), 0.86 c, (3H, Н25) 0.99 с (3H, H26), 0.96 с (3Н, Н27), 0.94 с (3Н, Н28), 1.08 д (3Н, Н29), 3.75 с (6Н, ОСН3), 0.92-2.48 м (16Н, 8CH2), 2.05 с (3H, OC(O)CH3) 4.49 уш. с (1H, с (1Н, H3). |
Спектр ЯМР 13С (CDCl3), , м.д.: 80.78 с (С3), 21.22 с (ОС(О)СН3), 171.01 с (ОС=O), 27.82 и 16.39 к (С23 и С24), 15.59 и 16.32 к (С25 и С26), 14.70 к (С27), 18.45 к (С28), 25.17 к (С29), 48.72 к (С30 и С31), 100.62 с (С20). |
| * – Спектры ЯМР зарегистрированы на спектрометре “Bruker АМХ-300” (рабочая частота для для 1Н – 300.13 МГц, 13С – 75 МГц). “Tesia BS-487” (для 1Н – 100 МГц), и на спектрометре “Jeol FX 90Q” (89.55 и 22.50 МГц), внутренний стандарт ТМС, растворитель CDCl3. |
Формула изобретения
Способ получения 3 -ацетокси-20,20-диметоксинортараксастана (1) имеющего формулу

отличающийся тем, что 3 -ацетокси-20-метилентараксастан в растворе хлороформа взаимодействует с избытком озона в мольном соотношении 3 -ацетокси-20-метилентараксастан:озон, равном 1:1,5, с добавлением метанола при комнатной температуре и перемешивании, с последующим восстановлением перекисных продуктов озонирования Me2S в течение 24 ч при перемешивании.
MM4A – Досрочное прекращение действия патента СССР или патента Российской Федерации на изобретение из-за неуплаты в установленный срок пошлины за поддержание патента в силе
Дата прекращения действия патента: 25.04.2008
Извещение опубликовано: 10.06.2010 БИ: 16/2010
|
|