|
|
(21), (22) Заявка: 2006113907/04, 24.04.2006
(24) Дата начала отсчета срока действия патента:
24.04.2006
(46) Опубликовано: 10.02.2008
(56) Список документов, цитированных в отчете о поиске:
Адрес для переписки:
450075, г.Уфа, пр-кт Октября, 141, ИНК РАН, патентная группа
|
(72) Автор(ы):
Ахметова Внира Рахимовна (RU), Шакурова Эльвира Рифовна (RU), Халилова Алия Зуфаровна (RU), Халилов Леонард Мухибович (RU)
(73) Патентообладатель(и):
Институт нефтехимии и катализа РАН (RU)
|
(54) СПОСОБ ПОЛУЧЕНИЯ 3 -АЦЕТОКСИ-20-ОКСОНОРТАРАКСАСТАНА
(57) Реферат:
Изобретение относится к новому способу получения 3 -ацетокси-20-оксонортараксастана.
Способ заключается во взаимодействии хлороформного экстракта цветоложа цветков растения татарника колючего Onopordum acanthium L., содержащего 3 -ацетокси-20-метилентараксастан с избытком озона в мольном соотношении 3 -ацетокси-20-метилентараксастан : озон, равном 1:1.5, при комнатной температуре и перемешивании. Выход целевого продукта составляет 40%. Соединение может найти применение в качестве противоопухолевого и противовоспалительного средства.
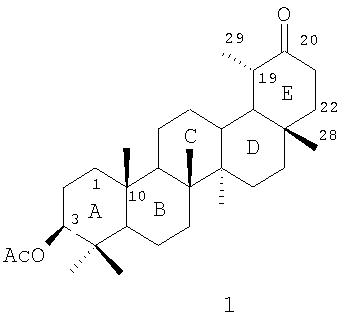
Предлагаемое изобретение относится к органической химии, в частности к способу получения 3 -ацетокси-20-оксонортараксастана, имеющего формулу:

Пентациклические тритерпеноиды тараксастанового ряда могут найти применение в фармакологической промышленности в качестве потенциальных антибиотических препаратов, подавляющих развитие грамм-положительных бактерий (Bacillus subtilis, Escherichia coli, Pseudomonas purida), а также в качестве средств противоопухолевой и противовоспалительной активности.
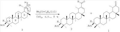
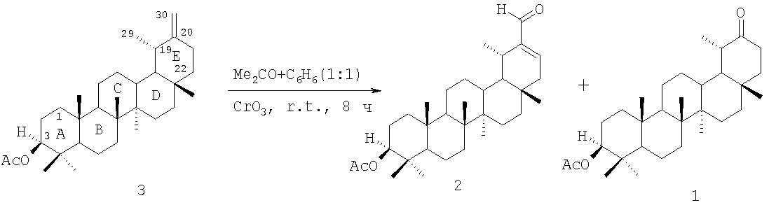
Известен способ (Pai P.P., Kulkarni G.H. Oxidation studies on taraxasterol, taraxasteryl acetate and taraxastenone. Indian J. Chem. 1977. 15B. p.1134-1136) получения 20-оксопроизводных нортараксастерилацетата, в частности 3 -ацетокси-20-оксонортараксастана (1) и 20-альдегидотараксастерилацетата (2) взаимодействием 3 -ацетокси-20-метилентараксастана (тараксастерилацетат) (3) с реактивом Джонса по схеме:

Известный способ не позволяет получить 3 -ацетокси-20-оксонортараксастан (1) селективно и приводит к получению смеси продуктов реакции 1 и 2.
Известен способ (Pai P.P., Kulkarni G.H. Oxidation studies on taraxasterol, taraxasteryl acetate and taraxastenone. Indian J. Chem. 1977. 15B. p.1134-1136) получения 20-оксопроизводных нортараксастерилацетата, в частности 3 -ацетокси-20-оксонортараксастана (1) и 3 -ацетокси-20-гидрокситараксастерил-ацетата (4) взаимодействием 3 -ацетокси-20-метилентараксастана (3) с m-хлорпербензойной кислотой (m-CPBA) по схеме:

Известный способ не позволяет получить 3 -ацетокси-20-оксонортараксастан (1) селективно и приводит к получению смеси продуктов реакции 1 и 4.
Предлагается новый способ синтеза 3 -ацетокси-20-оксонортараксастана (1).
Предлагаемый способ синтеза 3 -ацетокси-20-оксонортараксастана (1) заключается во взаимодействии хлороформного экстракта цветоложа цветков растения татарника колючего Onopordum acanthium L. содержащем 3 -ацетокси-20-метилентараксастан (3) с 1.5 мольным избытком озона при комнатной температуре и перемешивании. Образуется селективно 3 -ацетокси-20-оксонортараксастан (1). Реакция протекает по схеме:

Целевой 3 -ацетокси-20-оксонортараксастан (1) селективно образуется только в процессе озонолиза. При использовании других окислительных агентов (реактив Джонса, m-хлорпербензойная кислота) образование 3 -ацетокси-20-оксонортараксастана (1) происходит неселективно. Изменение соотношения исходных реагентов в сторону увеличения концентрации озона по отношению к 3 -ацетокси-20-метилентараксастану (3) не приводит к существенному повышению выхода целевого 3 -ацетокси-20-оксонортараксастана (1).
Существенные отличия предлагаемого способа:
В предлагаемом способе в качестве окислительного агента используется более дешевый и экологичный окислитель – озон, в известном способе в качестве окислителя используются реактив Джонса (CrO3-Н2SO4) и m-хлорпербензойная кислота (m-CPBA) и образование 3 -ацетокси-20-оксонортараксастана (1) происходит неселективно.
Преимущества предлагаемого способа.
Способ позволяет получать с высокой селективностью 3 -ацетокси-20-оксонортараксастан (1). Разработанный авторами способ отличается высокой селективностью, простотой проведения эксперимента, сокращением времени эксперимента и применением более дешевого и экологичного окислителя озона не приводящего к образованию вредных и побочных продуктов.
Способ поясняется примерами.
ПРИМЕР 1. Через смесь экстрактивных веществ хлороформного экстракта цветоложа цветков растения татарника колючего Onopordum acanthium L. 6.8 г, содержащую предположительно 1.7 г 3 -ацетокси-20-метилентараксастана (3) (4 ммоль) в 15 мл CHCl3, пропускают озонокислородную смесь при комнатной температуре со скоростью 30 л/ч (производительность озонатора 9.4 ммоль О3 в 1 ч) до поглощения 6 ммоль О3. Контроль реакции проводят по ТСХ и йод-крахмальной пробе на перекиси (в присутствии 2%-ного раствора KI и 1%-ного раствора крахмала). Продукты озонирования восстанавливают Ме2S (6 ммоль) при комнатной температуре в течение 24 ч. Реакционную смесь упаривают на роторном испарителе. Остаток хроматографируют на колонке с силикагелем (элюент – EtOAc-С6Н14, 1:15). Получают 0,75 г (40%) 3 -ацетокси-20-оксонортараксастана (1) в виде белого кристаллическое вещества с т.пл. 250-251,5°С, Rf=0,50.
Спектральные характеристики * 3 -ацетокси-20-оксонортараксастана: |
 |
Спектр ЯМР 1H (CDCl3). , м.д. (J, Гц): 0,91 с (6Н, Н23 и Н24), 0,86 с, (3Н, Н25), 0,99 с (3Н, Н26), 0,96 с (3Н, Н27), 0,94 с (3Н, Н28), 1,08 д (3Н, Н29), 3,75 с (6Н, ОСН3), 0,92-2,48 м (16Н, 8СН2), 2,05 с (3Н, ОС(О)СН3), 4.45 уш.с (1Н, Н3). |
Спектр ЯМР 13С (CDCl3), , м.д.: 80.94 с (С3), 21,31 с (ОС(О)СН3), 170,98 с (ОС=O), 27,92 и 16,48 к (С23 и С24), 15,86 и 16,32 к (С25 и С26), 14,70 к (С27), 19,41 к (С28), 25,17 к (С29), 218,45 с (С20). |
| * – Спектры ЯМР зарегистрированы на спектрометре “Bruker АМХ-300” (рабочая частота для для 1H – 300.13 МГц, 13С – 75 МГц), “Tesla BS-487” (для 1Н – 100 МГц), и на спектрометре “Jeol FX 90Q” (89.55 и 22.50 МГц), внутренний стандарт ТМС, растворитель CDCl3. |
Формула изобретения
Способ получения 3 -ацетокси-20-оксонортараксастана (1) имеющего формулу

отличающийся тем, что хлороформный экстракт цветоложа цветков растения татарника колючего Onopordum acanthium L. содержащий 3 -ацетокси-20-метилентараксастан взаимодействует с избытком озона в мольном соотношении 3 -ацетокси-20-метилентараксастан:озон, равном 1:1,5, при комнатной температуре и перемешивании, с последующим восстановлением перекисных продуктов озонирования Me2S в течение 24 ч при перемешивании.
MM4A – Досрочное прекращение действия патента СССР или патента Российской Федерации на изобретение из-за неуплаты в установленный срок пошлины за поддержание патента в силе
Дата прекращения действия патента: 25.04.2008
Извещение опубликовано: 10.06.2010 БИ: 16/2010
|
|