|
|
(21), (22) Заявка: 2003117799/04, 07.11.2001
(24) Дата начала отсчета срока действия патента:
07.11.2001
(30) Конвенционный приоритет:
17.11.2000 (пп.1-30) US 60/249,877
(43) Дата публикации заявки: 27.10.2004
(46) Опубликовано: 10.02.2008
(56) Список документов, цитированных в отчете о поиске:
ЕР 0713876 A1, 29.05.1996. WO 99/24033 A1, 12.11.1997. RU 2124517 C1, 10.01.1999.
(85) Дата перевода заявки PCT на национальную фазу:
17.06.2003
(86) Заявка PCT:
US 01/49982 (07.11.2001)
(87) Публикация PCT:
WO 02/40486 (23.05.2002)
Адрес для переписки:
119034, Москва, Пречистенский пер., 14, стр.1, 4 этаж, “Гоулингз Интернэшнл Инк.”, В.Н.Дементьеву
|
(72) Автор(ы):
ЛЕФТЕРИС Кэтерина (US), БЭРРИШ Джоел (US), ХИНЕС Джон (US), ВРОБЛЕСКИ Стивен Т. (US)
(73) Патентообладатель(и):
БРИСТОЛ-МАЕРС СКВИББ КОМПАНИ (US)
|
(54) СПОСОБЫ ЛЕЧЕНИЯ СОСТОЯНИЙ, ОБУСЛОВЛЕННЫХ p38 КИНАЗАМИ, И ПИРРОЛОТРИАЗИНОВЫЕ СОЕДИНЕНИЯ, ПРИМЕНИМЫЕ В КАЧЕСТВЕ ИНГИБИТОРОВ КИНАЗ
(57) Реферат:
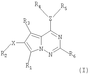
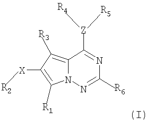
Изобретение относится к способу лечения состояний, обусловленных р38-киназной активностью, который заключается во введении нуждающемуся в этом больному, по меньшей мере, одного соединения формулы (I):

или его фармацевтически приемлемой соли или сольвата, где R3 обозначает водород, метил, перфторметил, метокси, галоген, циано или NH2; Х выбирают из -O-, -ОС(=O)-, -S-, -S(=O)-, -SO2-, -С(=O)-, -CO2-, -NR10-, -NR10C(=O)-, -NR10C(=O)NR11-, -NR10CO2-, -NR10SO2-, -NR10SO2NR11-, -SO2NR11-, -C(=O)NR10, галогена, нитро и циано или Х отсутствует, Z выбирают из О, S, N и CR20, причем, когда Z обозначает CR20, указанный атом углерода может образовывать с R4 или R5 необязательно замещенный бициклический арил или гетероарил; R1 обозначает водород, -СН3, -ОН, -ОСН3, -SH, -SCH3, -OC(=O)R21, -S(=O)R22, -SO2R22, -SO2NR24R25, -CO2R21, -C(=O)NR24R25, -NH2, -NR24R25, -NR2lSO2NR24R25, -NR2lSO2R22, -NR24C(=O)R25, -NR24CO2R25, -NR21C(=O)NR24R25, галоген, нитро или циано; R2 выбирают из группы: а) водород, при условии, что R2 не обозначает водород, если Х обозначает -S(=O)-, -SO2-, -NR10CO2– или -NR10SO2-; б) алкил, алкенил и алкинил, необязательно имеющий в качестве заместителей до четырех групп R26, или пентафторалкил; в) арил и гетероарил, необязательно имеющий в качестве заместителей до трех групп R27; и г)гетероцикло или циклоалкил, необязательно имеющий в качестве заместителей кетогруппу (=O), до трех групп R27 и/или включающий углерод-углеродный мостик, содержащий 3-4 атома углерода; или д) R2 отсутствует, если Х обозначает галоген, нитро или циано; R4 обозначает замещенный арил, арил, имеющий в качестве заместителя NHSO2алкил, замещенный гетероарил или необязательно замещенный бициклический 7-11-членный насыщенный или ненасыщенный карбоциклический или гетероциклический фрагмент, и R5 обозначает водород, алкил или замещенный алкил, за исключением тех случаев, когда Z обозначает О или S, тогда R5 отсутствует, или же R4 и R5 вместе с Z образуют необязательно замещенный бициклический 7-11-членный арил или гетероарил; R6 обозначает водород, алкил, замещенный алкил, арил, замещенный арил, гетероцикло, замещенный гетероцикло, -NR7R8, -OR7 или галоген; R10 и R11 независимо выбирают из группы: водород, алкил, замещенный алкил, арил, замещенный арил, циклоалкил, замещенный циклоалкил, гетероцикло и замещенный гетероцикло; R7, R8, R21, R24 и R25 независимо выбирают из группы: водород, алкил, замещенный алкил, арил, замещенный арил, гетероцикло и замещенный гетероцикло; R20 обозначает водород, низший алкил или замещенный алкил, или R20 может отсутствовать, если атом углерода, с которым он связан, вместе с R4 и R5 представляет собой часть бициклического арила или гетероарила; R22 обозначает алкил, замещенный алкил, арил, замещенный арил, гетероцикло или замещенный гетероцикло; R26 выбирают из группы: галоген, трифторметил, галоидалкокси, кето (=O), нитро, циано, -SR28, -OR28, -NR28R29, -NR28SO2, -NR28SO2R29, -SO2R28, -SO2NR28R29, -CO2R28, -C(=O)R28, -C(=O)NR28R29, -OC(=O)R28, -C(=O)NR28R29, -NR28C(=O)R29, -NR28CO2R29, =N-OH, =N-O-алкил; арил, необязательно имеющий в качестве заместителя от одной до трех групп R27; циклоалкил, необязательно имеющий в качестве заместителя кетогруппу (=O), от одной до трех групп R27, или содержащий углерод-углеродный мостик из 3-4 атомов углерода; и гетероцикло, необязательно имеющий в качестве заместителя кетогруппу (=O), от одной до трех групп R27 или включающий углерод-углеродный мостик, содержащий 3-4 атома углерода; причем R28 и R29, каждый, независимо выбирают из группы: водород, алкил, алкенил, арил, аралкил, С3-7-циклоалкил и С3-7-гетероцикл, или могут вместе образовывать С3-7-гетероцикл; и каждый из R28 и R29, в свою очередь, необязательно может содержать до двух заместителей, представляющих собой алкильные, алкенильные группы, атомы галогена, галоидалкильные группы, галоидалкокси, циано, нитро, амино, гидрокси, алкокси, алкилтио, фенил, бензил, фенилокси и бензилоксигруппы; и R27 выбирают из группы: алкил, R32 и С1-4алкил, содержащий в качестве заместителей от одной до трех групп R32, причем каждую из групп R32 независимо выбирают из группы: галоген, галоидалкил, галоидалкокси, нитро, циано, -SR30, -OR30, -NR30R31, -NR30SO2, -NR30SO2R31, -SO2R30, -SO2NR30R31, -COR30, -С(=O)R30, -C(=O)NR30R31, -ОСС(=О)R30, -OC(=)NR30R31, -NR30С(=O)R31, -NR30CO2R31 и из 3-7-членного карбоциклического или гетероциклического кольца, необязательно содержащего в качестве заместителя алкил, галоген, гидрокси, алкокси, галоидалкил, галоидалкокси, нитро, амино или циано, причем R30 и R31 каждый независимо, выбирают из группы: водород, алкил, алкенил, арил, аралкил, С3-7циклоалкил и гетероцикл, или вместе они могут образовывать С3-7гетероцикл. Также описываются пирролотриазиновые соединения, фармацевтическая композиция на их основе и способ лечения воспалительных заболеваний с их использованием. 8 н. и 22 з.п. ф-лы, 14 табл.
Текст описания приведен в факсимильном виде.                                                                                      
Формула изобретения
1. Способ лечения состояний, обусловленных р38-киназной активностью, заключающийся во введении нуждающемуся в этом больному, по меньшей мере, одного соединения формулы (I)

или его фармацевтически приемлемой соли, пролекарства или сольвата,
где R3 обозначает водород, метил, перфторметил, метокси, галоген, циано или NH2;
X выбирают из -O-, -ОС(=O)-, -S-, -S(=O)-, -SO2-, -С(=O)-, -CO2-, -NR10-, -NR10C(=O)-, -NR10C(=O)NR11-, -NR10CO2-, -NR10SO2-, -NR10SO2NR11-, -SO2NR10-, -C(=O)NR10, галогена, нитро и циано или Х отсутствует.
Z выбирают из О, S, N и CR20, причем, когда Z обозначает CR20, указанный атом углерода может образовывать с R4 или R5 необязательно замещенный бициклический арил или гетероарил;
R1 обозначает водород, -СН3, -ОН, -ОСН3, -SH, -SCH3, -OC(=O)R21, -S(=O)R22, -SO2R22, -SO2NR24R25, -CO2R21, -C(=O)NR24R25, -NH2, -NR24R25, -NR2lSO2NR24R25, -NR2lSO2R22, -NR24C(=O)R25, -NR24CO2R25, -NR21C(=O)NR24R25, галоген, нитро или циано; R2 выбирают из группы:
а) водород, при условии, что R2 не обозначает водород, если Х обозначает -S(=O)-, -SO2-, -NR10CO2– или -NR10SO2-;
б) алкил, алкенил и алкинил, необязательно имеющий в качестве заместителей до четырех групп R26, или пентафторалкил;
в) арил и гетероарил, необязательно имеющий в качестве заместителей до трех групп R27; и
г) гетероцикло или циклоалкил, необязательно имеющий в качестве заместителей кетогруппу (=О), до трех групп R27 и/или включающий углерод-углеродный мостик, содержащий 3-4 атома углерода; или
д) R2 отсутствует, если Х обозначает галоген, нитро или циано;
R4 обозначает замещенный арил, арил, имеющий в качестве заместителя NHSO2алкил, замещенный гетероарил или необязательно замещенный бициклический 7-11-членный насыщенный или ненасыщенный карбоциклический или гетероциклический фрагмент, и
R5 обозначает водород, алкил или замещенный алкил, за исключением тех случаев, когда Z обозначает О или S, тогда R5 отсутствует, или же
R4 и R5 вместе с Z образуют необязательно замещенный бициклический 7-11-членный арил или гетероарил;
R6 обозначает водород, алкил, замещенный алкил, арил, замещенный арил, гетероцикло, замещенный гетероцикло, -NR7R8, -OR7 или галоген;
R10 и R11 независимо выбирают из группы: водород, алкил, замещенный алкил, арил, замещенный арил, циклоалкил, замещенный циклоалкил, гетероцикло и замещенный гетероцикло;
R7, R8, R21, R24 и R25 независимо выбирают из группы: водород, алкил, замещенный алкил, арил, замещенный арил, гетероцикло и замещенный гетероцикло;
R20 обозначает водород, низший алкил или замещенный алкил, или R20 может отсутствовать, если атом углерода, с которым он связан, вместе с R4 и R5 представляет собой часть бициклического арила или гетероарила;
R22 обозначает алкил, замещенный алкил, арил, замещенный арил, гетероцикло или замещенный гетероцикло;
R26 выбирают из группы: галоген, трифторметил, галоидалкокси, кето (=О), нитро, циано, -SR28, -OR28, -NR28R29, -NR28SO2, -NR28SO2R29, -SO2R28, -SO2NR28R29, -CO2R28, -C(=O)R28, -C(=O)NR28R29, -OC(=O)R28, -OC(=O)NR28R29, -NR28C(=O)R29, -NR28CO2R29, =N-OH, =N-O-алкил; арил, необязательно имеющий в качестве заместителя от одной до трех групп R27; циклоалкил, необязательно имеющий в качестве заместителя кетогруппу (=О), от одной до трех групп R27, или содержащий углерод-углеродный мостик из 3-4 атомов углерода; и гетероцикло, необязательно имеющий в качестве заместителя кетогруппу (=О), от одной до трех групп R27 или включающий углерод-углеродный мостик, содержащий 3-4 атома углерода; причем R28 и R29, каждый, независимо выбирают из группы: водород, алкил, алкенил, арил, аралкил, С3-7-циклоалкил и С3-7-гетероцикл, или могут вместе образовывать С3-7-гетероцикл; и каждый из R28 и R29, в свою очередь, необязательно может содержать до двух заместителей, представляющих собой алкильные, алкенильные группы, атомы галогена, галоидалкильные группы, галоидалкокси, циано, нитро, амино, гидрокси, алкокси, алкилтио, фенил, бензил, фенилокси и бензилоксигруппы;
и R27 выбирают из группы: алкил, R32 и С1-4алкил, содержащий в качестве заместителей от одной до трех групп R32, причем каждую из групп R32 независимо выбирают из группы: галоген, галоидалкил, галоидалкокси, нитро, циано, -SR30, -OR30, -NR30R31, -NR30SO2, -NR30SO2R31, -SO2R30, -SO2NR30R31, -CO2R30, -С(=O)R30, -C(=O)NR30R31, -ОС(=O)R30, -ОС(=)NR30R31, -NR30С(=O)R31, -NR30CO2R31 и из 3-7-членного карбоциклического или гетероциклического кольца, необязательно содержащего в качестве заместителя алкил, галоген, гидрокси, алкокси, галоидалкил, галоидалкокси, нитро, амино или циано, причем R30 и R31 каждый независимо, выбирают из группы: водород, алкил, алкенил, арил, аралкил, С3-7циклоалкил и гетероцикл, или вместе они могут образовывать С3-7гетероцикл.
2. Способ по п.1, заключающийся во введении больному, по меньшей мере, одного соединения формулы (I) или его фармацевтически приемлемой соли, или сольвата, у которого
R3 обозначает метил, -CF3 или -ОСН3;
Х выбирают из -С(=O)-, -CO2-, -NR10-, -NR10C(=O)-, -NR10CO2-, -NR10SO2-, -SO2NR10– и -C(=O)NR10, или Х отсутствует.
Z обозначает N;
R2 обозначает водород, С2-6алкил, С1-4алкил, имеющий в качестве заместителей до четырех групп R26, пентафторалкил, или арил или гетероарил, необязательно имеющий в качестве заместителей до двух групп R27;
R4 обозначает фенил, имеющий в качестве заместителей от 0 до трех групп R13;
R5 и R10 независимо выбирают из водорода и низшего алкила;
R12 обозначает карбамил, сульфонамидо, арилсульфонамин или уреидо, каждый из которых необязательно имеет в качестве заместителей до двух групп, выбираемых из ряда: гидрокси, алкил, замещенный алкил, алкокси, арил, замещенный арил или алкилсульфониламин;
R13 в каждом случае, когда он встречается, независимо выбирают из ряда: алкил, замещенный алкил, галоген, трифторметокси, трифторметил, -OR14, -С(=O)алкил, -ОС(=O)алкил, -NR15R16, -SR15, -NO2, -CN, -CO2R15, -CONH2, -SO3Н, -S(=O)алкил, -S(=O)арил, -NHSO2-арил-R17, -NHSO2-алкил, -SO2NHR17, -CONHR17 и -NHC(=O)NHR17;
R14 обозначает водород, алкил или арил;
R15 обозначает водород или алкил;
R16 обозначает водород, алкил, аралкил или алканоил;
R17 обозначает водород, гидрокси, алкил, замещенный алкил, алкокси, арил, замещенный арил или аралкил.
3. Способ лечения состояний, обусловленных р38-киназной активностью, заключающийся во введении нуждающемуся в этом больному, по меньшей мере, одного соединения формулы (I)

или его фармацевтически приемлемой соли или сольвата,
где R3 обозначает водород, метил, перфторметил, метокси, галоген, циано или NH2;
Х выбирают из -О-, -ОС(=O)-, -S-, -S(=O)-, -SO2-, -С(=O)-, -СО2-, -NR10-, -NR10C(=O)-, -NR10C(=O)NR11-, -NR10CO2-, -NR10SO2-, -NR10SO2NR11-, -SO2NR10-, -C(=O)NR10, галогена, нитро и циано, или Х отсутствует.
Z обозначает О, S, N или CR20;
R1 обозначает водород, -СН3, -ОН, -ОСН3, -SH, -SCH3, -OC(=O)R21, -S(=O)R22, -SO2R22, -SO2NR24R25, -CO2R21, -C(=O)NR24R25, -NH2, -NR21SO2NR24R25, -NR21SO2R22, -NR24C(=O)R25, -NR24CO2R25, -NR21C(=O) NR24R25, галоген, нитро или циано;
R2 обозначает водород, алкил, замещенный алкил, алкенил, замещенный алкенил, алкинил, замещенный алкинил, арил, замещенный арил, гетероцикло, замещенный гетероцикло, аралкил, замещенный аралкил, или гетероциклоалкил или замещенный гетероциклоалкил, или, когда Х обозначает галоген, нитро или циано, R2 отсутствует, при условии, что R2 не обозначает водород, когда Х обозначает -S(=O)-, -SO2-, -NR10CO2– или -NR10SO2-;
R4 обозначает замещенный арил, арил с NHSO2-алкильной группой в качестве заместителя, замещенный гетероарил или необязательно замещенную бициклическую 7-11-членную насыщенную или ненасыщенную карбоциклическую или гетероциклическую систему;
R5 обозначает водород, алкил или замещенный алкил, но в тех случаях, когда Z обозначает О или S, тогда R5 отсутствует;
R6 обозначает водород, алкил, замещенный алкил, арил, замещенный арил, гетероцикло, замещенный гетероцикло, -NR7R8, -OR7 или галоген;
R7, R8, R10, R11, R21, R24 и R25 независимо выбирают из группы: водород, алкил, замещенный алкил, арил, замещенный арил, гетероцикло и замещенный гетероцикло;
R20 обозначает водород, низший алкил или замещенный алкил; и
R22 обозначает алкил, замещенный алкил, арил, замещенный арил, гетероцикло или замещенный гетероцикло.
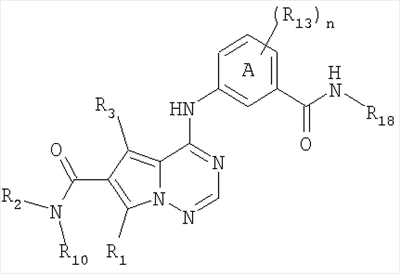
4. Способ по п.3, заключающийся во введении больному, по меньшей мере, одного соединения формулы (I), в которой R4 и R5 вместе с Z образуют
,
или его фармацевтически приемлемой соли или сольвата,
где R12 соединен с любым доступным углеродным атомом фенильного кольца А и выбирается из группы: карбамил, сульфонамидо, арилсульфониламин и уреидо, каждый из которых необязательно имеет в качестве заместителя до одной группы, выбираемой из ряда: гидрокси, алкил, замещенный алкил, алкокси, арил, замещенный арил и аралкил, или С1-4алкилсульфониламин;
R13 соединен с любым доступным углеродным атомом фенильного кольца А и, при его наличии, в каждом случае независимо выбирается из алкила, замещенного алкила, галогена, трифторметокси, трифторметила, -OR14, -С(=O)алкил, -ОС(=O)алкил, -NR15R16, -SR15, -NO2, -CN, -CO2R15, -CONH2, -SO3Н, -S(=O)алкил, -S(=O)арил, -NHSO2-арил-R17, -NHSO2С1-4-алкил, -SO2NHR17, -CONHR17 и -NHC(=O)NHR17;
R14 обозначает водород, алкил или арил;
R15 обозначает водород или алкил;
R16 обозначает водород, алкил, аралкил или алканоил;
R17 обозначает водород, гидрокси, алкил, замещенный алкил, алкокси, арил, замещенный арил или аралкил; и
n обозначает 0, 1, 2 или 3.
5. Способ по п.3, заключающийся во введении больному, по меньшей мере, одного соединения формулы (II)
,
или его фармацевтически приемлемой соли, пролекарства или сольвата,
где R3 обозначает метил или CF3;
Х обозначает -C(=O)NR10-, -NR10C(=O)-, -С(=O)- или -CO2-;
R1 обозначает водород, -СН3, -ОН, -ОСН3, галоген, нитро или циано;
Y обозначает -C(=O)NH-, -NHC(=O)NH-, -NHSO2– или -SO2NH-;
R10 обозначает водород или низший алкил;
R18 выбирают из группы: водород, алкил, алкокси, арил и арил, содержащий в качестве заместителей от одной до трех групп R19, за исключением тех случаев, когда Y обозначает -NHSO2-, тогда R18 обозначает С1-4алкил, арил или арил, имеющий в качестве заместителя группу R19;
R13 связан с любым подходящим углеродным атомом фенильного кольца А и в каждом случае, когда он присутствует, независимо выбирается из группы: алкил, замещенный алкил, галоген, трифторметокси, трифторметил, -OR14, -С(=O)алкил, -ОС(=O)алкил, -NR15R16, -SR15, -NO2, -CN, -CO2R15, -CONH2, -SO3Н, -S(=O)алкил, -S(=O)арил, -NHSO2-арил-R17, -NHSO2C1-4-алкил, -SO2NHR17, -CONHR17 и -NHC(=O)NHR17;
R14, R15, R16 и R17 обозначают водород или алкил;
R19 при его наличии в каждом случае выбирают из группы: алкил, галоген, трифторметокси, трифторметил, гидрокси, алкокси алканоил, алканоилокси, тиол, алкилтио, уреидо, нитро, циано, карбокси, карбоксиалкил, карбамил, алкоксикарбонил, алкилтионо, арилтионо, арилсульфониламин, сульфокислота; алкилсульфонил, сульфонамидо и арилокси, причем каждая группа R19 может дополнительно иметь в качестве заместителей гидрокси, алкил, алкокси, арил или аралкил; и
n обозначает 0,1 или 2.
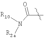
6. Способ по п.3, заключающийся во введении больному, по меньшей мере, одного соединения формулы (Ia), (Ib) или (Ic)

или его фармацевтически приемлемой соли или сольвата,
где R3 обозначает метил или CF3;
R2a и R2c независимо выбирают из водорода, С2-6алкила, замещенного С1-4алкила, арила, замещенного арила, бензила и замещенного бензила;
R2b обозначает гетероцикло или замещенный гетероцикл; и
R10 обозначает водород или низший алкил.
7. Соединение формулы (II)

или его фармацевтически приемлемая соль или сольват,
где R3 обозначает метил или CF3;
R5 обозначает водород;
Y обозначает -C(=O)NR23-, -NR23C(=O)NR23-, -SO2NR23– или -NR23SO2-;
R18 и R23 выбирают из водорода, алкила, алкокси, арила и арила, имеющего в качестве заместителя от одной до трех групп R19, но в тех случаях, когда Y обозначает -NR23SO2-, R18 обозначает С1-4алкил или арил, необязательно имеющий в качестве заместителя от одной до трех групп R19;
Х выбирают из -ОС(=O)-, -CO2-,-NR10SO2– и -C(=O)NR10-;
R1 обозначает водород;
R2 выбирают из группы:
а) водород, при условии, что R2 не обозначает водород, если Х обозначает -NR10SO2-;
б) алкил, необязательно имеющий в качестве заместителей до четырех групп R26 или пентафторалкил;
в) арил и гетероарил, необязательно имеющий в качестве заместителей до трех групп R27; и
г) гетероцикло или циклоалкил, необязательно имеющий в качестве заместителей до трех групп R27;
R6 обозначает водород;
R10 обозначает водород или алкил;
R13 и R19 при их наличии в каждом случае независимо выбирают из группы: алкил, галоген, трифторметил, алкокси, циано;
R26 выбирают из группы: галоген, циано, -OR28, -NR28R29, арил, необязательно имеющий в качестве заместителей от одной до трех групп R27; циклоалкил, необязательно имеющий в качестве заместителей от одной до трех групп R28; и гетероцикло, необязательно имеющий в качестве заместителей от одной до трех групп R28;
причем R28 и R29, каждый независимо выбирают из группы: водород, алкил, арил;
R27 выбирают из группы: алкил, R32 и С1-4алкил, содержащий в качестве заместителей от одной до трех групп R32, причем каждую из групп R32 независимо выбирают из группы:
галоген, галоидалкил, циано, -OR30, -NR30R31 и из 3-7-членного карбоциклического или гетероциклического кольца, необязательно содержащего в качестве заместителя алкил, галоген, алкокси, причем R30 и R31, каждый независимо, выбирают из группы: водород, алкил.
8. Соединение по п.7, соответствующее формуле (IIa) или формуле (IIb)

или его фармацевтически приемлемая соль или сольват,
где R1 и R10 обозначает водород;
R13 обозначает низший алкил, галоген, трифторметил, циано;
R18 обозначает С1-4алкокси, фенил или фенил, имеющий в качестве заместителя одну или две группы R19;
R23 обозначает водород или низший алкил; и
n обозначает 0, 1 или 2.
9. Соединение по п.7 или его фармацевтически приемлемая соль или сольват, где
Х обозначает -СО2-, -C(=O)NR10-;
Y обозначает -C(=O)NH-, -NHC(=O)NH- или -NHSO2-;
R5 и R10 обозначают водород;
R13 и R19 при их наличии в каждом случае независимо выбирают из группы: низший алкил, галоген, трифторметил, циано;
и n обозначает 0 или 1.
10. Соединение формулы (II)

или его фармацевтически приемлемая соль или сольват, в котором X-R2 обозначают
или ;
где R2a выбирают из группы:
а) водород;
б) линейный или разветвленный С2-6алкил;
в) циклоалкил, необязательно имеющий в качестве заместителя кетогруппу и/или до двух групп R27;
г) фенил, необязательно имеющий в качестве заместителей до двух групп R27; и
д) гетероцикл, необязательно имеющий в качестве заместителя кетогруппу и/или до двух групп R27;
е) пентафторалкил или С1-4алкил, имеющий в качестве заместителей до трех групп, выбираемых из ряда: галоген, трифторметил, циано, OR28, NR28R29, CO2R28, арил, гетероцикл и/или циклоалкил, где арил, гетероцикл и/или циклоалкил, в свою очередь, необязательно могут иметь в качестве заместителей до двух групп, выбираемых из ряда: галоген, гидрокси, алкокси, галоидалкил, галоидалкокси, нитро, циано или алкил; и
R2b обозначает моноциклический или бициклический гетероцикл, необязательно имеющий в качестве заместителей до двух групп R27;
R27, при его наличии, в каждом случае независимо выбирают из водорода, алкила, трифторметила, трифторметокси, галогена, циано, нитро, амино, гидрокси, алкокси, фенила, бензила, фенилокси и бензилоксигрупп; и
R28 и R29 при их наличии, в каждом случае независимо выбирают из водорода, алкила.
11. Соединение по п.10 или его фармацевтически приемлемая соль или сольват, в котором R2a выбирают из
а) линейного или разветвленного С2-6алкила;
б) фенила, необязательно содержащего до двух заместителей, выбираемых из галогена, С1-4алкокси и трифторметила;
в) С3-6циклоалкила, необязательно содержащего в качестве заместителей до двух групп С1-4алкил и/или гидрокси;
г) линейного или разветвленного С1-4алкила, имеющего в качестве заместителей до трех групп, выбираемых из ряда:
i) галоген,
ii) трифторметил,
iii) циано,
iv) С1-4алкокси,
v) фенилокси,
vi) бензилокси,
vii) NH2, NH(С1-4)алкил и/или N(С1-4алкил)2,
viii) фенил, в свою очередь имеющий в качестве заместителей до двух атомов галогена и/или до двух метоксигрупп,
ix) гетероцикл, выбираемый из пиридинила, индолила, тиофенила, фуранила, тиазолила, тиенила, морфолинила, тетрагидрофуранила, триазинила, пиперазинила, инденила и пиперидинила; причем указанный гетероцикл необязательно имеет в качестве заместителя от одной до двух С1-4алкильных групп,
х) С3-6циклоалкил; и
R2b обозначает пяти-семи-членный моноциклический гетероцикл, выбираемый из диазепинила, морфолинила, пиперидинила и пирролидинила, причем указанный гетероцикл необязательно имеет в качестве заместителя С1-4алкильную, фенильную и/или бензильную группу.
12. Соединение по п.7 или его фармацевтически приемлемая соль или сольват, в котором R1 обозначает водород, a R10 обозначает водород или СН3.
13. Соединение по п.7 или его фармацевтически приемлемая соль или сольват, в котором Y обозначает -NHC(=O)NH-, или -NHSO2-; R18 обозначает арил или арил, имеющий в качестве заместителя алкил, ОСН3, CF3, циано или галоген.
14. Соединение по п.7 или его фармацевтически приемлемая соль или сольват, в котором Y обозначает -C(=O)NR23-, R23 обозначает водород или низший алкил, a R18 обозначает C1-4алкокси или арил, необязательно имеющий в качестве заместителя алкил, ОСН3, CF3, циано или галоген.
15. Соединение по п.7, имеющее формулу

где R33 обозначает низший алкил.
16. Соединение по п.15 или его фармацевтически приемлемая соль или сольват, в котором R3 и R33 обозначают метил, R1 и R6 обозначают водород, a R2 обозначает линейный разветвленный С2-6алкил или необязательно замещенный бензил.
17. Соединение по п.7, выбираемое из группы, включающей
N-(2,2-Диметилпропил)-4-[[5-[(метоксиамино)карбонил]-2-метилфенил]амино]-N,5-диметилпирроло[2,1-f][1,2,4]триазин-6-карбоксамид;
3-[[6-[Гексагидро-4-метил-1Н-1,4-диазепин-1-ил)карбонил]-5-метилпирроло[2,1-f][1,2,4]триазин-4-ил]амино]-N-метокси-4-метилбензамид;
4-[[5[(Метоксиамино)карбонил]-2-метилфенил]амино]-5-метил-N-(1-метилэтил)пирроло[2,1-f][1,2,4]триазин-6-карбоксамид;
4-[[5[(Метоксиамино)карбонил]-2-метилфенил]амино]-5-метил-N-(2-метилпропил)пирроло[2,1-f][1,2,4]триазин-6-карбоксамид;
N-(2,2-Диметилпропил)-4-[[5-[(метоксиамино)карбонил]-2-метилфенил]амино]-5-метилпирроло[2,1-f][1,2,4]триазин-6-карбоксамид;
4-[[5[(Метоксиамино)карбонил]-2-метилфенил]амино]-5-метил-N-пропилпирроло[2,1-f] [1,2,4]триазин-6-карбоксамид;
N-(1,1-Диметилэтил)-4-[[5-[(метоксиамино)карбонил]-2-метилфенил]амино]-5-метилпирроло[2,1-f][1,2,4]триазин-6-карбоксамид;
4-[[5[(Метоксиамино)карбонил]-2-метилфенил]амино]-N-(2-метоксиэтил)-5-метилпирроло[2,1-f][1,2,4]триазин-6-карбоксамид;
N-Метокси-4-метил-3-[[5-метил-6-(4-морфолинилкарбонил)пирроло[2,1-f][1,2,4]триазин-4-ил]амино]бензамид;
N-Циклогексил-4-[[5-[(метоксиамино)карбонил]-2-метилфенил]амино]-5-метилпирроло[2,1-f][1,2,4]триазин-6-карбоксамид;
4-[[5[(Метоксиамино)карбонил]-2-метилфенил]амино]-5-метил-N-[(1R)-1-фенилэтил] пирроло[2,1-f][1,2,4]триазин-6-карбоксамид;
4-[[5[(Метоксиамино)карбонил]-2-метилфенил]амино]-5-метил-N-[(1S)-1-фенилэтил] пирроло[2,1-f][1,2,4]триазин-6-карбоксамид;
N-[(4-Фторфенил)метил]-4-[[5-[(метоксиамино)карбонил]-2-метилфенил]амино]-5-метилпирроло[2,1-f][1,2,4]триазин-6-карбоксамид;
4-[[5[(Метоксиамино)карбонил]-2-метилфенил]амино]-N-[(2-метоксифенил)метил]-5-метилпирроло[2,1-f][1,2,4]триазин-6-карбоксамид;
4-[[5[(Метоксиамино)карбонил]-2-метилфенил]амино]-5-метил-N-(4-пиридинилметил)пирроло[2,1-f][1,2,4]триазин-6-карбоксамид;
4-[[5[(Метоксиамино)карбонил]-2-метилфенил]амино]-5-метил-N-[2-(4-пиридинил)этил]пирроло[2,1-f][1,2,4]триазин-6-карбоксамид;
4-[[5[(Метоксиамино)карбонил]-2-метилфенил]амино]-5-метил-N-[2-(1-пиперидинил)этил]пирроло[2,1-f][1,2,4]триазин-6-карбоксамид;
4-[[5[(Метоксиамино)карбонил]-2-метилфенил]амино]-5-метил-N-[2-(4-морфолинил)этил]пирроло[2,1-f][1,2,4]триазин-6-карбоксамид;
N-[(1R,2S)-2,3-Дигидро-1Н-инден-1-ил]-4-[[5-[(метоксиамино)карбонил]-2-метилфенил]амино]-5-метилпирроло[2,1-f][1,2,4]триазин-6-карбоксамид;
N-[(1S,2R)-2,3-Дигидро-1Н-инден-1-ил]-4-[[5-[(метоксиамино)карбонил]-2-метилфенил]амино]-5-метилпирроло[2,1-f][1,2,4]триазин-6-карбоксамид;
N-Метокси-4-метил-3-[[5-метил-6-[[4-(фенилметил)-1-пиперидинил]карбонил]пирроло[2,1-f][1,2,4]триазин-4-ил]амино]бензамид;
N-Циклопропил-4-[[5-[(метоксиамино)карбонил]-2-метилфенил]амино]-5-метилпирроло[2,1-f][1,2,4]триазин-6-карбоксамид;
N-Циклопентил-4-[[5-[(метоксиамино)карбонил]-2-метилфенил]амино]-5-метилпирроло[2,1-f][1,2,4]триазин-6-карбоксамид;
N-[2-(4-Фторфенил)этил]-4-[[5-[(метоксиамино)карбонил]-2-метилфенил]амино]-5-метилпирроло[2,1-f][1,2,4]триазин-6-карбоксамид;
N-(Циклогексилметил)-4-[[5-[(метоксиамино)карбонил]-2-метилфенил]амино]-5-метилпирроло[2,1-f][1,2,4]триазин-6-карбоксамид;
4-[[5[(Метоксиамино)карбонил]-2-метилфенил]амино]-5-метил-N-[(тетрагидро-2-фуранил)метил]пирроло[2,1-f][1,2,4]триазин-6-карбоксамид;
N-(2-1Н-Индол-3-илэтил)-4-[[5-[(метоксиамино)карбонил]-2-метилфенил]амино]-5-метилпирроло[2,1-f][1,2,4]триазин-6-карбоксамид;
N-Бутил-4-[[5-[(метоксиамино)карбонил]-2-метилфенил]амино]-5-метилпирроло[2,1-f][1,2,4]триазин-6-карбоксамид;
N-(Циклопропилметил)-4-[[5-[(метоксиамино)карбонил]-2-метилфенил]амино]-5-метилпирроло[2,1-f][1,2,4]триазин-6-карбоксамид;
4-[[5[(Метоксиамино)карбонил]-2-метилфенил]амино]-5-метил-N-(2-метилбутил)пирроло[2,1-f][1,2,4]триазин-6-карбоксамид;
N-(2-Фуранилметил)-4-[[5-[(метоксиамино)карбонил]-2-метилфенил]амино]-5-метилпирроло[2,1-f][1,2,4]триазин-6-карбоксамид;
4-[[5[(Метоксиамино)карбонил]-2-метилфенил]амино]-5-метил-N-(2-тиенилметил)пирроло[2,1-f][1,2,4]триазин-6-карбоксамид;
4-[[5[(Метоксиамино)карбонил]-2-метилфенил]амино]-5-метил-N-(2-феноксиэтил)пирроло[2,1-f][1,2,4]триазин-6-карбоксамид;
4-[[5[(Метоксиамино)карбонил]-2-метилфенил]амино]-5-метил-N-(2-метил циклогексил) пирроло[2,1-f][1,2,4]триазин-6-карбоксамид;
N-Этил-4-[[5-[(метоксиамино)карбонил]-2-метилфенил]амино]-N,5-диметилпирроло[2,1-f][1,2,4]триазин-6-карбоксамид;
4-[[5[(Метоксиамино)карбонил]-2-метилфенил]амино]-5-метил-N-(2,2,2-трифторэтил)пирроло[2,1-f][1,2,4]триазин-6-карбоксамид;
N-(2-Фторэтил)-4-[[5-[(метоксиамино)карбонил]-2-метилфенил]амино]-5-метилпирроло[2,1-f][1,2,4]триазин-6-карбоксамид;
N-(2,3-Дигидро-1Н-инден-2-ил)-4-[[5-[(метоксиамино)карбонил]-2-метилфенил]амино]-5-метилпирроло[2,1-f][1,2,4]триазин-6-карбоксамид;
N-Этил-4-[[5-[(метоксиамино)карбонил]-2-метилфенил]амино]-5-метилпирроло [2,1-f][1,2,4]триазин-6-карбоксамид;
4-[[5[(Метоксиамино)карбонил]-2-метилфенил]амино]-5-метил-N-(2,2,3,3,3-пентафторпропил)пирроло[2,1-f][1,2,4]триазин-6-карбоксамид;
4-[[5[(Метоксиамино)карбонил]-2-метилфенил]амино]-5,7-диметил-N-(1-метилэтил)пирроло[2,1-f][1,2,4]триазин-6-карбоксамид;
N-(4-Фторфенил)-4-[[5-[(метоксиамино)карбонил]-2-метилфенил]амино]-5-метилпирроло[2,1-f][1,2,4]триазин-6-карбоксамид;
4-[[5[(Метоксиамино)карбонил]-2-метилфенил]амино]-N-(2-метоксифенил)-5-метилпирроло[2,1-f][1,2,4]триазин-6-карбоксамид;
4-[[5[(Метоксиамино)карбонил]-2-метилфенил]амино]-N-[(3-метоксифенил)метил]-5-метилпирроло[2,1-f][1,2,4]триазин-6-карбоксамид;
4-[[5[(Метоксиамино)карбонил]-2-метилфенил]амино]-5-метил-Н-[3-(трифторметил) фенил]пирроло[2,1-f][1,2,4]триазин-6-карбоксамид;
N-[(2,6-Дихлорфенил)метил]-4-[[5-[(метоксиамино)карбонил]-2-метилфенил]амино]-5-метилпирроло[2,1-f][1,2,4]триазин-6-карбоксамид;
N-[(1S)-1-Циано-2-фенилэтил]-4-[[5-[(метоксиамино)карбонил]-2-метилфенил]амино]-5-метилпирроло[2,1-f][1,2,4]триазин-6-карбоксамид;
4-[[5[(Метоксиамино)карбонил]-2-метилфенил]амино]-5-метил-N-(2-фенилэтил)пирроло[2,1-f][1,2,4]триазин-6-карбоксамид;
N-Метокси-4-метил-3-[[5-метил-6-(1-пирролидинилкарбонил)пирроло[2,1-f][1,2,4]триазин-4-ил]амино]бензамид;
4-[[5[(Метоксиамино)карбонил]-2-метилфенил]амино]-5-метил-N-(2-пиридинилметил)пирроло[2,1-f][1,2,4]триазин-6-карбоксамид;
4-[[5[(Метоксиамино)карбонил]-2-метилфенил]амино]-5-метил-N-(фенилметил)пирроло[2,1-f][1,2,4]триазин-6-карбоксамид;
4-[[5[(Метоксиамино)карбонил]-2-метилфенил]амино]-5-метил-N-(4-метил-2-тиазолил)пирроло[2,1-f][1,2,4]триазин-6-карбоксамид;
4-[[5[(Метоксиамино)карбонил]-2-метилфенил]амино]-5-метил-N-[(1R)-1-метилпропил]пирроло[2,1-f][1,2,4]триазин-6-карбоксамид;
4-[[5[(Метоксиамино)карбонил]-2-метилфенил]амино]-5-метил-N-[(1S)-1-метилпропил]пирроло[2,1-f][1,2,4]триазин-6-карбоксамид;
N-[(3-Фторфенил)метил]-4-[[5-[(метоксиамино)карбонил]-2-метилфенил]амино]-5-метилпирроло[2,1-f][1,2,4]триазин-6-карбоксамид;
N-[1-(4-Фторфенил)этил]-4-[[5-[(метоксиамино)карбонил]-2-метилфенил]амино]-5-метилпирроло[2,1-f][1,2,4]триазин-6-карбоксамид;
N-[(2,4-Дифторфенил)метил]-4-[[5-[(метоксиамино)карбонил]-2-метилфенил]амино]-5-метилпирроло[2,1-f][1,2,4]триазин-6-карбоксамид; и
N-[(2,6-Дифторфенил)метил]-4-[[5-[(метоксиамино)карбонил]-2-метилфенил]амино]-5-метилпирроло[2,1-f][1,2,4]триазин-6-карбоксамид;
4-[[5-[[(4-Цианофенил)амино]карбонил]-2-метилфенил]амино]-N-этил-5-метилпирроло[2,1-f][1,2,4]триазин-6-карбоксамид;
4-[[5-[[(4-Цианофенил)амино]карбонил]-2-метилфенил]амино]-5-метил-N-[(1S)-1-фенилэтил]пирроло[2,1-f][1,2,4]триазин-6-карбоксамид;
4-[[5-[[[(4-Цианофенил)амино]карбонил]амино]-2-метилфенил]амино]-5-метил-N-пропилпирроло[2,1-f][1,2,4]триазин-6-карбоксамид;
или (ii) его фармацевтически приемлемая соль или гидрат.
18. Соединение по п.7, выбираемое из группы, включающей
N-Этил-4-[[5-[(метоксиамино)карбонил]-2-метилфенил]амино]-5-метилпирроло [2,1-f][1,2,4]триазин-6-карбоксамид;
4-[[5[(Метоксиамино)карбонил]-2-метилфенил]амино]-5-метил-N-(1-метилэтил)пирроло[2,1-f][1,2,4]триазин-6-карбоксамид;
4-[[5[(Метоксиамино)карбонил]-2-метилфенил]амино]-5-метил-N-пропил пирроло[2,1-f][1,2,4]триазин-6-карбоксамид;
4-[[5[(Метоксиамино)карбонил]-2-метилфенил]амино]-5-метил-N-[1-фенилэтил]пирроло[2,1-f][1,2,4]триазин-6-карбоксамид; и
4-[[5[(Метоксиамино)карбонил]-2-метилфенил]амино]-5-метил-N-[1-метилпропил]пирроло[2,1-f][1,2,4]триазин-6-карбоксамид; и его фармацевтически приемлемая соль.
19. Соединение формулы (II)
,
или его фармацевтически приемлемая соль или сольват,
где R3 обозначает метил или CF3;
R5 обозначает водород;
Y обозначает -C(=O)NR23-, -NR23C(=O)NR23-, -NR23SO2– или -SO2NH2-;
R18 и R23 выбирают из водорода, алкила, алкокси, арила и арила, имеющего в качестве заместителей от одной до трех групп R19, но в тех случаях, когда Y обозначает -NR23SO2-, R18 обозначает С1-4алкил или арил, необязательно имеющий в качестве заместителей от одной до трех групп R19;
Х выбирают из -ОС(=О)-, -CO2-, -NR10SO2-, -C(=O)NR10;
R1 обозначает водород;
R2 обозначает алкил, замещенный алкил, арил, замещенный арил, гетероцикло, замещенный гетероцикло;
R6 обозначает водород;
R13 и R19 при их наличии в каждом случае независимо выбирают из группы: алкил, галоген, трифторметил, циано;
и n обозначает 0,1 или 2.
20. Соединение по п.19 формулы

или его фармацевтически приемлемая соль или сольват,
где R18 обозначает алкокси, арил или арил с группой R19 в качестве заместителя;
R1 и R10 обозначают водород; и
R13 обозначает низший алкил, галоген, трифторметил, циано.
21. Соединение по п.20 формулы

или его фармацевтически приемлемая соль или гидрат,
где R2 обозначает линейный или разветвленный С2-6алкил или необязательно замещенный бензил, a R13a и R13b выбирают из водорода, С1-4алкила, гидрокси, галогена, циано и трифторметила.
22. Соединение по п.20, которое представляет собой N-Этил-4-[[5-[(метоксиамино)карбонил]-2-метилфенил]амино]-5-метилпирроло[2,1-f][1,2,4]триазин-6-карбоксамид или его фармацевтически приемлемую соль, представляющую собой метансульфонат этого соединения.
23. Соединение по п.20, которое представляет собой 4-[[5[(Метоксиамино)карбонил]-2-метилфенил]амино]-5-метил-N-(1-метилэтил)пирроло[2,1-f][1,2,4]триазин-6-карбоксамид или его фармацевтически приемлемую соль.
24. Соединение по п.20, которое представляет собой 4-[[5[(Метоксиамино)карбонил]-2-метилфенил]амино]-5-метил-N-пропилпирроло[2,1-f][1,2,4]триазин-6-карбоксамид или его фармацевтически приемлемую соль.
25. Соединение по п.20, которое представляет собой 4-[[5[(Метоксиамино)карбонил]-2-метилфенил]амино]-5-метил-N-[1-фенилэтил]пирроло[2,1-f][1,2,4]триазин-6-карбоксамид или его фармацевтически приемлемую соль.
26. Соединение по п.20, которое представляет собой 4-[[5[(Метоксиамино)карбонил]-2-метилфенил]амино]-5-метил-N-[1-метилпропил]пирроло[2,1-f][1,2,4]триазин-6-карбоксамид или его фармацевтически приемлемую соль.
27. Фармацевтическая композиция, пригодная для ингибирования р38 киназ, содержащая, по меньшей мере, одно соединение по п.7 и фармацевтически приемлемый носитель или разбавитель.
28. Фармацевтическая композиция, пригодная для ингибирования р38 киназ, содержащая, по меньшей мере, одно соединение по п.20 и фармацевтически приемлемый носитель или разбавитель.
29. Способ лечения воспалительного нарушения, заключающийся во введении нуждающемуся в таком лечении больному фармацевтической композиции по п.28.
30. Способ по п.30, в котором воспалительное нарушение выбирают из группы: астма, респираторный дистресс-синдром взрослых, хроническая закупорка легких, хроническое воспаление легких, диабет, воспалительное заболевание кишечника, остеопороз, псориаз, гомологичная болезнь, атеросклероз и артрит, включая ревматоидный артрит, псориатический артрит, травматический артрит, артрит при коревой краснухе, подагрический артрит и остеоартрит.
|
|