Патент на изобретение №2316555
|
|||||||||||||||||||||||||||||||||||||||||||||||||||||||||||||||||||||||||||||||||||||||||||||||||||||||||||||||||||||||||||||||||||||||||||||||||||||||||||||||||||||||||||||||||||||||||||||||||||||||||||||||||||||||||||||||||||||||||||||||||||||||||||||||||||||||||||||||||||||||||||||||||||||||||||||||||||||||||||||||||||||||||||||||||||||||||||||||||||||||||||||||||||||||||||||||||||||||||||||||||||||||||||||||||||||||||||||||||||||||||||||||||||||||||||||||||||||||||||||||||||||||||||||||||||||||||||||||||||||||||||||||||||||||||||||||||||||||||||||||||||||||||||||||||||||||||||||||||||||||||||||||||||||||||||||||||||||||||||||||||||||||||||||||||||||||||||||||||||||||||||||||||||||||||||||||||||||||||||||||||||||||||||||||||||||||||||||||||||||||||||||||||||||||||||||||||||||||||||||||||||||||||||||||||||||||||||||||||||||||||||||||||||||||||||||||||||||||||||||||||||||||||||||||||||||||||||||||||||||||||||||||||||||||||||||||||||||||||||||||||||||||||||||||||||||||||||||||||||||||
(54) ЗАМЕЩЕННЫЕ ТИЕН-3-ИЛСУЛЬФОНИЛАМИНО(ТИО)КАРБОНИЛТРИАЗОЛИНОНЫ И ГЕРБИЦИДНОЕ СРЕДСТВО НА ИХ ОСНОВЕ
(57) Реферат:
Настоящее изобретение относится к замещенным тиен-3-илсульфониламино(тио)карбонилтриазолинонам формулы I и их солям,
в которой Q кислород или сера; R1, R2 алкил с 1-6 атомами углерода; R3 водород, галоген; алкил с 1-6 атомами углерода, при необходимости замещенный алкокси с 1-4 атомами углерода; алкокси с 1-6 атомами углерода, при необходимости замещенный галогеном или алкокси-группой с 1-4 атомами углерода; алкилтио с 1-6 атомами углерода; циклоалкил с 3-6 атомами углерода; или арил, арилокси или арилалкокси соответственно с 6 или 10 атомами углерода в арильной группе и в случае арилалкокси с 1-4 атомами углерода в алкильной части; R4 алкил с 1-6 атомами углерода; алкокси с 1-6 атомами углерода; диалкиламино соответственно с 1-4 атомами углерода в алкильных группах; циклоалкил с 3-6 атомами углерода; или вместе с R3 означает, при необходимости, разветвленный или замещенный алкилом с 1-4 атомами углерода оксаалкандиил, тиаалкандиил или азаалкандиил с 3-6 атомами углерода, причем окса-, тиа- или аза-группы могут находиться в начале, в конце или внутри алкандиильной группы. Соединения проявляют гербицидную активность. Описано также гербицидное средство на основе соединений формулы I. 2 н. и 8 з.п. ф-лы, 23 табл.
Изобретение касается новых замещенных триазолинонов, проявляющих гербицидную активность, в частности замещенных тиен-3-илсульфониламино(тио)-карбонилтриазолинонов, и гербицидного средства на их основе. Задачей изобретения является расширение ассортимента имеющих высокую гербицидную активность замещенных тиен-3-илсульфониламино(тио)карбонилтриазолинонов. Поставленная задача решается предлагаемыми соединениями общей формулы (I)
в которой Q означает кислород или серу, R1 означает алкил с 1-6 атомами углерода; R2 означает алкил с 1-6 атомами углерода; R3 означает водород, галоген; алкил с 1-6 атомами углерода, при необходимости замещенный алкокси с 1-4 атомами углерода; алкокси с 1-6 атомами углерода, при необходимости замещенный галогеном или алкокси-группой с 1-4 атомами углерода; алкилтио с 1-6 атомами углерода; циклоалкил с 3-6 атомами углерода; или арил, арилокси или арилалкокси соответственно с 6 или 10 атомами углерода в арильной группе и в случае арилалкокси с 1-4 атомами углерода в алкильной части; R4 означает алкил с 1-6 атомами углерода; алкокси с 1-6 атомами углерода; диал-киламино соответственно с 1-4 атомами углерода в алкильных группах; циклоалкил с 3-6 атомами углерода; или вместе с R3 означает при необходимости разветвленный или замещенный алкилом с 1-4 атомами углерода оксаалкандиил, тиаалкандиил или азаалкандиил с 3-6 атомами углерода, причем окса-, тиа- или азагруппы могут находиться в начале, в конце или внутри алкандиильной группы, а также солями соединений формулы (I), за исключением метилового эфира 4-[[[(4,5-дигидро-3-этокси-4-метил-5-оксо-1Н-1,2,4-триазол-1-ил)карбонил]амино]сульфонил]-5-метил-3-тиофенкарбоновой кислоты, метилового эфира 4-[[[(4,5-дигидро-3-метокси-4-метил-5-оксо-1Н-1,2,4-триазол-1-ил)карбонил]амино]сульфонил]-5-метил-3-тиофенкарбоновой кислоты, метилового эфира 4-[[[(4,5-дигидро-4-метил-5-оксо-3-н-пропокси-1Н-1,2,4-триазол-1-ил)карбонил]амино]сульфонил]-5-метил-3-тиофенкарбоновой кислоты, метилового эфира 4-[[[(4,5-дигидро-4-метил-5-оксо-3-изопропокси-1Н-1,2,4-триазол-1-ил)карбонил]амино]сульфонил]-5-метил-3-тиофенкарбоновой кислоты, метилового эфира 4-[[[(4-циклопропил-4,5-дигидро-3-метокси-5-оксо-1Н-1,2,4-триазол-1-ил)-карбонил]амино]сульфонил]-5-метил-3-тиофенкарбоновой кислоты, метилового эфира 4-[[[(4-циклопропил-4,5-дигидро-3-этокси-5-оксо-1Н-1,2,4-триазол-1-ил)карбонил]амино]сульфонил]-5-метил-3-тиофенкарбоновой кислоты, метилового эфира 4-[[[(4-циклопропил-4,5-дигидро-5-оксо-3-н-пропокси-1Н-1,2,4-триазол-1-ил)карбонил]амино]сульфонил]-5-метил-3-тиофенкарбоновой кислоты, метилового эфира 4-[[[(4-циклопропил-4,5-дигидро-5-оксо-3-изопропокси-1Н-1,2,4-триазол-1-ил)карбонил]амино]сульфонил]-5-метил-3-тиофенкарбоновой кислоты, метилового эфира 4-[[[(3,4-дициклопропил-4,5-дигидро-5-оксо-1Н-1,2,4-триазол-1-ил)карбонил]амино]сульфонил]-5-метил-3-тиофенкарбоновой кислоты, метилового эфира 4-[[[(4,5-дигидро-3,4-диметил-5-оксо-1Н-1,2,4-триазол-1-ил)карбонил]-амино]сульфонил]-5-метил-3-тиофенкарбоновой кислоты, метилового эфира 4-[[[(4,5-дигидро-3-этил-4-метил-5-оксо-1Н-1,2,4-триазол-1-ил)карбонил]амино]сульфонил]-5-метил-3-тиофенкарбоновой кислоты, метилового эфира 4-[[[(4,5-дигидро-4-метил-3-метилтио-5-оксо-1Н-1,2,4-триазол-1-ил)карбонил]амино]сульфонил]-5-метил-3-тиофенкарбоновой кислоты, этилового эфира 4-[[[(4,5-дигидро-3,4-диметокси-5-оксо-1Н-1,2,4-триазол-1-ил)карбонил]амино]сульфонил]-5-хлор-3-тиофенкарбоновой кислоты, метилового эфира 4-[[[(4,5-дигидро-3-этокси-4-метил-5-оксо-1Н-1,2,4-триазол-1-ил)тиоксокарбонил]амино]сульфонил]-5-фтор-3-тиофенкарбоновой кислоты, метилового эфира 4-[[[(4,5-дигидро-3-этил-4-метокси-5-тиоксо-1Н-1,2,4-триазол-1-ил)карбонил]амино]сульфонил]-5-трифторметил-3-тиофенкарбоновой кислоты, этилового эфира 4-[[[(4,5-дигидро-4-этил-3-метокси-5-оксо-1Н-1,2,4-триазол-1-ил)-карбонил]амино]сульфонил]-5-метил-3-тиофенкарбоновой кислоты и изопропиловый эфир 4-[[[(3,4-диметил-5-оксо-4,5-дигидро-1Н-1,2,4-триазол-1-ил)-карбонил]амино]сульфонил]-5-этил-3-тиофенкарбоновой кислоты. В первую группу предпочтительных соединений вышеуказанной формулы (I) входят соединения, у которых R1 означает метил, этил, н- или изопропил, н-, изо-, втор- или трет-бутил; R2 означает метил, этил, н- или изопропил, н-, изо-, втор- или трет-бутил; R3 означает водород, фтор, хлор, бром; метил, этил, н- или изопропил, н-, изо-, втор- или трет-бутил, н-, изо-, втор- или трет-пентил или неопентил, при необходимости соответственно замещенный метокси, этокси, н- или изопропоксигруппой, метокси, этокси, н- или изопропокси, н-, изо-, втор- или трет-бутокси, н-, изо-, втор- или трет-пентилокси, или неопентилокси, при необходимости соответственно замещенный фтором, хлором, метокси, этокси, н- или изопропокси, н-, изо-, втор- или трет-бутокси, циклопропил, циклобутил, циклопентил, циклогексил, фенокси или бензилокси; R4 означает метил, этил, н- или изопропил, н-, изо-, втор- или трет-бутил, метокси, этокси, н- или изопропокси, н-, изо-, втор- или трет-бутокси, диметиламино или диэтиламино, циклопропил, циклобутил, циклопентил, циклогексил, или R3 и R4 совместно означают при необходимости соответственно от однократно до трехкратно замещенный метилом и/или этилом, 1-окса-триметилен, 1-тиатриметилен, 1-аза-триметилен, 1-окса-тетраметилен, 1-тиа-тетраметилен, 1-аза-тетраметилен, причем положение 1 означает место присоединения посредством R3. Во вторую группу предпочтительных соединений вышеуказанной формулы (I) входят соединения, у которых R1 означает метил, этил, н- или изопропил, R2 означает или метил, этил, н- или изопропил, R3 означает водород, хлор, бром, метил, этил, н- или изопропил, н-, изо-, втор- или трет-бутил, н-, изо-, втор- или трет-пентил или нео-пентил при необходимости соответственно замещенный метокси-, этокси-, н- или изопропоксигруппой, метокси, этокси, н- или изопропокси, н-, изо-, втор- или трет-бутокси, н-, изо-, втор- или трет-пентилокси, неопентилокси, при необходимости соответственно замещенный фтором, хлором, метокси-, этокси-, н- или изопропоксигруппой, фенокси или бензилокси, R4 означает метил, этил, н- или изопропил, при необходимости соответственно замещенный метокси- или этоксигруппой, метокси, этокси, н- или изопропокси, или циклопропил, или R3 и R4 совместно означают, при необходимости соответственно однократно или двукратно замещенный метилом, 1-окса-триметилен, 1-тиатриметилен, 1-аза-триметилен, 1-окса-тетраметилен, 1-тиа-тетраметилен, 1-аза-тетраметилен, причем положение 1 означает место присоединения посредством R3. При этом R3 более предпочтительно означает алкокси с 1-6 атомами углерода, замещенный галогеном или алкоксигруппой с 1-4 атомами углерода. Под солями соединений вышеприведенной формулы (I) понимаются, например, соли натрия, калия, лития, магния, кальция, аммония, алкиламмония с 1-4 атомами углерода в алкиле (причем алкильный остаток при необходимости замещен гидрокси), диалкиламмония с 1-4 атомами углерода в алкиле, триалкиламмония с 1-4 атомами углерода в алкиле, тетраалкиламмония с 1-4 атомами углерода в алкиле, триалкил-сульфония с 1-4 атомами углерода в алкиле, циклоалкиламмония с 5 атомами углерода в циклоалкиле, циклоалкиламмония с 6 атомами углерода в циклоалкиле и диалкилбензиламмония с 1-2 атомами углерода в алкиле, а также диалкилпириди-ниламмония с 1-2 атомами углерода в алкиле и пирролидония. Новые замещенные тиен-3-илсульфониламино(тио)карбонилтриазолиноны общей формулы (I) получают, если (а) замещенные тиофен-3-сульфамиды общей формулы (II)
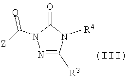
в которой R1 и R2 имеют указанные выше значения, подвергают взаимодействию с замещенными триазолин(ти)онами общей формулы (III)
в которой Q, R3 и R4 имеют указанные выше значения, и Z означает галоген, алкокси, арилокси или арилалкокси, при необходимости в присутствии реакционной добавки и при необходимости в присутствии разбавителя, или (b) замещенные тиен-3-илсульфонилизо(тио)цианаты общей формулы (IV)
в которой Q, R1 и R2 имеют указанные выше значения, подвергают взаимодействию с триазолинонами общей формулы (V)
в которой R4 и R5 имеют указанные выше значения, при необходимости в присутствии реакционной добавки и при необходимости в присутствии разбавителя, или (с) замещенные хлориды тиофен-3-сульфокислоты общей формулы (VI)
в которой R1 и R2 имеют указанные выше значения, подвергают взаимодействию с триазолинонами общей формулы (V)
в которой R3 и R4 имеют указанные выше значения, и металл(тио)цианатами общей формулы (VII)
в которой Q имеет указанные выше значения, при необходимости в присутствии реакционной добавки и при необходимости в присутствии разбавителя, или (d) замещенные хлориды тиофен-3-сульфокислоты общей формулы (VI)
в которой R1 и R2 имеют указанные выше значения, подвергают взаимодействию с триазолинон(тио)карбоксамидами общей формулы (VIII)
в которой Q, R3 и R4 имеют указанные выше значения, при необходимости в присутствии реакционной добавки и при необходимости в присутствии разбавителя, или (е) замещенные тиен-3-илсульфониламино(тио)карбонильные соединения общей формулы (IX)
в которой Q, R1 и R2 имеют указанные выше значения, и Z означает галоген, алкокси, арилокси или арилалкокси, подвергают взаимодействию с триазолинонами общей формулы (V)
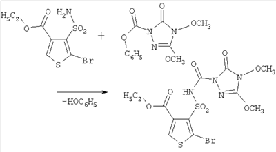
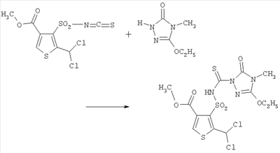
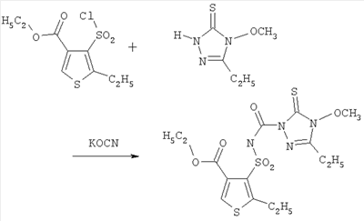
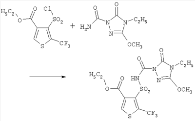
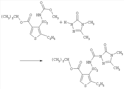
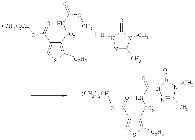
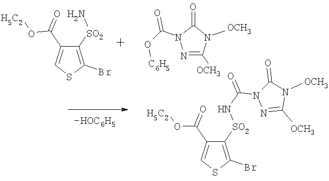
в которой R3 и R4 имеют указанные выше значения, при необходимости в присутствии реакционной добавки и при необходимости в присутствии разбавителя, и при необходимости полученные согласно способам (а), (b), (с), (d) или (е) соединения формулы (I) обычными методами переводят в соли. Если, например, в качестве исходных соединений используют 2-бром-4-этоксикарбо-нилтиофен-3-сульфамид и 4,5-диметокси-2-феноксикарбонил-2,4-дигидро-3Н-1,2,4-триазол-3-он, то реакция, протекающая по способу (а), может быть изображена следующей схемой: Если, например, в качестве исходных соединений используют (2-дихлор-метил-4-метоксикарбонилтиен-3-илсульфонилизотиоцианат и 5-этокси-4-метил-2,4-дигидро-3Н-1,2,4-триазол-3-он, то реакция, протекающая по способу (b), может быть изображена следующей схемой: Если, например, в качестве исходных соединений используют хлорид 4-этоксикарбонил-2-этилтиофен-3-сульфокислоты, 5-этил-4-метокси-2,4-дигидро-3Н-1,2,4-триазол-3-тион и цианат калия, то реакция, протекающая по способу (с), может быть изображена следующей схемой: Если, например, в качестве исходных соединений используют хлорид 4-этоксикарбонил-2-трифторметилтиофен-3-сульфокислоты и 4-этил-5-метокси-2,4-дигидро-3Н-1,2,4-триазол-3-он-2-карбоксамид, то реакция, протекающая по способу (d), может быть изображена следующей схемой: Если, например, в качестве исходных соединений используют N-(2-этил-4-изопро-поксикарбонилтиен-3-илсульфонил)-O-метилуретан и 4,5-диметил-2,4-дигидро-3Н-1,2,4-триазол-3-он, то реакция, протекающая по способу (е), может быть изображена следующей схемой: Замещенные тиофен-3-сульфамиды общей формулы (II) известны и/или могут быть получены известными способами (смотри J. Org. Chem. 45 (1980), 617-620, международную заявку на патент WO-A-01/05788). Замещенные тиофен-3-сульфамиды общей формулы (II) получают путем взаимодействия замещенных хлоридов тиофен-3-сульфокислоты общей формулы (VI)
в которой R1 и R2 имеют указанные выше значения, с аммиаком или солями аммония, например ацетатом аммония или карбонатом аммония, осуществляемого при необходимости в присутствии разбавителя, например воды или метиленхлорида, при температуре от 0 до 100°С. Исходные соединения общей формулы (III) известны и/или могут быть получены известными способами (смотри европейские заявки на патент ЕР-А-341489, ЕР-А-422469, ЕР-А-425948, ЕР-А-431291, ЕР-А-507171, ЕР-А-534266). Исходные соединения общей формулы (IV) известны и/или могут быть получены известными способами (смотри патент США US-A-4701535). Исходные соединения общей формулы (V) известны и/или могут быть получены известными способами (смотри европейские заявки на патент ЕР-А-341489, ЕР-А-422469, ЕР-А-425948, ЕР-А-431291, ЕР-А-507171, ЕР-А-534266). Замещенные хлориды тиофен-3-сульфокислоты общей формулы (VI) известны и/или могут быть получены известными способами (смотри J. Org. Chem. 45 (1980), 617-620, международную заявку на патент WO-A-01/05788). Замещенные хлориды тиофен-3-сульфокислоты общей формулы (VI) получают путем взаимодействия эфиров 3-аминотиофен-4-карбоновой кислоты общей формулы (X)
в которой R1 и R2 имеют указанные выше значения, или кислотных аддуктов соединений формулы (X), например гидрохлоридов, с нитритом щелочного металла, например нитритом натрия, осуществляемого в присутствии соляной кислоты при температуре от -10° до +10°С, и последующего взаимодействия полученного раствора соли диазония с диоксидом серы в присутствии разбавителя, например дихлорметана, 1,2-дихлорэтана или уксусной кислоты, и в присутствии катализатора, например хлорида меди (I) и/или хлорида меди (II), при температуре от -10° до +50°С. Фторпродукты общей формулы (X) известны и/или могут быть получены известными способами (смотри Austr. J. Chem. 48 (1995), 1907-1916; примеры получения). Исходные соединения общей формулы (VIII) известны и/или могут быть получены известными способами. Исходные соединения общей формулы (IX) известны и/или могут быть получены известными способами. Вышеприведенные способы получения новых соединений формулы (I) (a), (b), (с), (d) и (е) предпочтительно осуществляют в присутствии разбавителей. Пригодными для этого разбавителями являются практически любые инертные органические растворители. К ним предпочтительно относятся алифатические и ароматические, при необходимости галогенированные углеводороды, например пентан, гексан, гептан, циклогексан, петролейный эфир, бензин, лигроин, бензол, толуол, ксилол, метиленхлорид, этиленхлорид, хлороформ, тетрахлорметан, хлорбензол и о-дихлорбензол, простые эфиры, например диэтиловый эфир, дибутиловый эфир, диметилгликолевый эфир, диметилдигликолевый эфир, тетрагидрофуран и диоксан, кетоны, например ацетон, метилэтилкетон, метилизопропилкетон и метилизобутилкетон, сложные эфиры, например метилацетат и этилацетат, нитрилы, например ацетонитрил и пропионитрил, амиды, например, диметилформамид, диметилацетамид и N-метилпирролидон, а также диметилсульфоксид и триамид гексаметилфосфорной кислоты. В качестве реакционных добавок в способах (а), (b), (с), (d) и (е) могут использоваться любые средства, пригодные для связывания кислоты в подобных химических реакциях. Предпочтительными являются гидроксиды щелочных металлов, например гидроксид натрия и гидроксид калия, гидроксиды щелочно-земельных металлов, например гидроксид кальция, карбонаты и алкоголяты щелочных металлов, например карбонат натрия, карбонат калия, трет-бутилат натрия, трет-бутилат калия, и, кроме того, основные соединения азота, например триметиламин, триэтиламин, трипропиламин, трибутиламин, диизобутиламин, дицикпогексиламин, этилдиизопропиламин, этилдициклогексиламин, N,N-диметилбензиламин, N,N-диметил-анилин, пиридин, 2-метилпиридин, 3-метилпиридин, 4-метилпиридин, 2,4-диметилпиридин, 2,6-диметилпи-ридин, 2-этилпиридин, 4-этилпиридин, 5-этил-2-метилпиридин, 1,5-диазабицикло[4,3,0]нон-5-ен, 1,8-диазабицикпо-[5,4,0]ундец-7-ен и 1,4-диазабицикло[2,2,2]октан. Реакционную температуру в способах (а), (b), (с), (d) и (е) можно варьировать в широких пределах. В общем случае реакционная температура составляет от -20 до +150°С, предпочтительно от 0 до +100°С. Способы (а), (b), (с), (d) и (е) в общем случае осуществляют при нормальном давлении. Однако возможно осуществление способов и при повышенном или при пониженном давлении. При осуществлении способов (а), (b), (с), (d) и (е) в общем случае используют примерно эквимолекулярные количества соответствующих исходных соединений. Однако возможно использование повышенного избытка одного из соответствующих исходных компонентов. В общем случае реакции протекают в среде пригодного разбавителя в присутствии акцептора кислоты и реакционную смесь перемешивают при необходимой температуре в течение нескольких часов. Конечные продукты, полученные в способах (а), (b), (с), (d) и (е), выделяют, используя соответствующие обычные методы (смотри примеры получения). Из соединений общей формулы (I) согласно изобретению при необходимости могут быть получены соли. Такие соли получают простым способом, используя обычные методы образования солей, например путем растворения или диспергирования соединения формулы (I) в пригодном растворителе, например метиленхлориде, ацетоне, трет-бутилметиловом эфире или толуоле, и добавления пригодного основания. Полученные соли могут быть выделены концентрированием или отсасыванием, при необходимости после предварительного длительного перемешивания. Биологически активные вещества согласно изобретению могут использоваться в качестве дефолиантов, десиккантов, средств предуборочного уничтожения ботвы и особенно в качестве средств борьбы с сорными растениями. Под сорными растениями в широком смысле этого слова следует подразумевать любые растения, произрастающие в тех местах, где они являются нежелательными. Обладают соединения согласно изобретению эффектом гербицидов сплошного или избирательного действия, зависит главным образом от соответствующих норм расхода. Биологически активные вещества согласно изобретению могут применяться в следующих растениях. Двудольные сорные растения видов: Abutilon (абутилон), Amaranthus (амарант), Ambrosia (амброзия), Anoda (анода), Anthemis (пупавка), Aphanes, Atriplex (лебеда), Bellis (маргаритка), Bidens (череда), Capsella (сумочник), Carduus (чертополох), Cassia (кассия), Centaurea (василек), Chenopodium (марь), Cirsium (бодяк), Convolvulus (вьюнок), Datura (дурман), Desmodium (десмодиум), Emex (эмекс), Erysimum (желтушник), Euphorbia (молочай), Galeopsis (пикульник), Galinsoga (галинзога), Galium (подмаренник), Hibiscus (гибискус, китайская роза), Ipomoea (ипомея), Kochia (кохия), Lamium (яснотка), Lepidium (клоповник), Lindernia (линдерния), Matricaria (матрикария), Mentha (мята), Mercurialis (полесник), Mullugo, Myosotis (незабудка), Papaver (мак), Pharbitis (фарбитис), Plantago (подорожник), Polygonum (горец), Portulaca (портулак), Ranunculus (лютик), Raphanus (редька дикая), Rorippa (жерушник), Rotala (ротала), Rumex (щавель), Salsola (курайчи), Senecio (крестовник), Sesbania (сесбания), Sida (ключиа), Sinapis (горчица), Solanum (паслен), Sonchus (осот), Sphenoclea, Stellaria (звездчатка), Taraxacum (одуванчик), Thlaspi (ярутка), Trifolium (клевер), Utrica (крапива), Veronica (вероника), Viola (фиалка), Xanthium (дурнишник). Двудольные культурные растения видов: Arachis (арахис), Beta (свекла), Brassica (капуста), Cucumis (огурец), Cucurbita (тыква), Helianthus (подсолнечник), Daucus (морковь), Glycine (соя), Gossypium (хлопчатник), Ipomoea (ипомея), Lactuca (латук), Linum (лен), Lycopersicon (томат), Nicotiana (табак), Phaseolus (фасоль), Pisum (горох), Solanum (паслен), Vicia (вика). Однодольные сорные растения видов: Aegilops (эгилопс), Agropyron (житняк), Agrostis (полевица), Alopecurus (лисохвост), Арега (бесснежник), Avena (овсюг), Brachiaria, Bromus (костер), Cenchrus (ценхрус), Commelina, Cynodon (свинорой), Cyperus (сыть), Dactyloctenium, Digitaria (росичка), Echinochloa (ежовник), Eleocharis (болотница), Eleusine (элевсина), Eragrostis (эрагростис, полевичка), Eriochloa, Festuca (овсянница), Fimbristylis, Heteranthera (гетерантера), Imperata (солодка), Ischaemum (бородач – укр.), Leptochloa, Lolium (плевел), Monochoria (монохория), Panicum (просо), Paspalum (гречка), Phalaris (канареечник), Phleum (тимофеевка), Роа (мятлик), Rottboellia, Sagittaria (стрелолист), Scirpus (камыш), Setaria (щетинник), Sorghum (сорго). Однодольные культурные растения видов: Allium (лук), Ananas (ананас), Asparagus (спаржа), Avena (овес), Hordeum (ячмень), Oryza (рис), Panicum (просо), Saccharum (сахарный тростник), Secale (рожь), Sorghum (сорго), Triticale (тритикале), Triticum (пшеница), Zea (кукуруза). Однако применение биологически активных веществ согласно изобретению ни в коем случае не ограничивается лишь указанными видами растений, а равным образом распространяется и на другие их виды. Биологически активные вещества согласно изобретению в зависимости от их концентрации пригодны в качестве гербицидов сплошного действия для борьбы с сорными растениями, произрастающими, например, на территориях промышленных сооружений, рельсовых путях, дорогах и площадях с высаженными вдоль них деревьями или без деревьев. Кроме того, биологически активные вещества согласно изобретению могут использоваться для борьбы с сорняками, растущими в местах культивирования долголетних культур, например на территориях лесопосадок, декоративных рощ, фруктовых садов, виноградников, плантаций для выращивания цитрусовых культур, орехов, бананов, кофе, чая, каучуконосных деревьев, масличных культур, какао, хмеля, плодово-ягодных питомников, на газонах, спортивных площадках и пастбищах, а также для избирательной борьбы с сорными растениями в местах выращивания однолетних сельскохозяйственных культур. Соединения формулы (I) согласно изобретению обладают сильной гербицидной активностью и широким спектром воздействия при попадании на почву и надпочвенные части растений. В известной степени они пригодны также для избирательного подавления роста однодольных и двудольных сорных растений в местах выращивания однодольных и двудольных сельскохозяйственных культур при использовании способов как предвсходовой, так и послевсходовой обработки. Кроме того, при соблюдении определенных концентраций и норм расхода биологически активные вещества согласно изобретению могут использоваться для борьбы с вредными животными и в качестве противогрибковых средств или бактерицидов для защиты растений от болезней. При необходимости их можно использовать также в качестве промежуточных или исходных продуктов для синтеза других биологически активных веществ. Согласно изобретению обработке могут быть подвергнуты любые растения и любые части растений. При этом под растениями подразумеваются любые их виды и популяции: желательные или нежелательные, дикие или культурные (включая произрастающие в естественных условиях культурные растения). Культурными могут быть растения, которые можно вырастить, используя обычные методы селекции и оптимизации, методы биотехнологии и генной технологии или сочетания указанных методов, включая трансгенные растения, а также те сорта растений, которые защищены или не защищены сортовыми свидетельствами. Под частями растений следует подразумевать любые надпочвенные и подземные части и органы растений, включая побеги, листья, цветки и корни, при этом типичными частями растений являются листья, хвоя, стебли, стволы, цветки, околоцветники, плоды и семена, а также корни, клубни и ризомы. Кроме того, к частям растений относится собранный урожай, а также предназначенный для размножения вегетативный и генеративный материал, например, черенки, клубни, ризомы, отводки и семена. Согласно изобретению обработку растений и частей растений биологически активными веществами осуществляют непосредственно или путем воздействия на окружающую их местность, среду обитания или закрытое хранилище, используя обычные способы обработки, например окунание, опрыскивание, испарение, тонкое распыление, разбрасывание, нанесение покрытий, а обработку материала, предназначенного для размножения, например, семян, осуществляют путем однослойного или многослойного обертывания. Биологически активные вещества могут быть преобразованы в обычные, готовые к употреблению формы, например, растворы эмульсии, смачивающиеся порошки, суспензии, дусты, пылевидные препараты, пасты, растворимые порошки, грануляты, суспензионно-эмульсионные концентраты, пропитанные биологически активными веществами природные и синтетические материалы, а также микрокапсулы в тонкой полимерной оболочке. Указанные готовые формы получают известными способами, например путем смешивания биологически активных веществ с нейтральными наполнителями, то есть жидкими растворителями и/или твердыми носителями, при необходимости с использованием поверхностно-активных веществ, то есть эмульгаторов и/или диспергаторов и/или пенообразователей. Если нейтральным наполнителем является вода, то могут использоваться, например, органические растворители в качестве вспомогательных растворителей. Жидкими растворителями являются главным образом ароматические углеводороды, например ксилол, толуол или алкилнафталины; хлорированные ароматические и хлорированные алифатические углеводороды, например хлорбензолы, хлорэтилены или метилен-хлорид; алифатические углеводороды, например, циклогексан или парафины, в частности, нефтяные фракции, минеральные и растительные масла; спирты, например бутанол или гликоль, а также соответствующие простые и сложные эфиры; кетоны, например ацетон, метилэтилкетон, метилизобутилкетон или циклогексанон; растворители, обладающие высокой полярностью, например диметилформамид и диметил-сульфоксид, а также вода. В качестве твердых носителей пригодны соли аммония, измельченные природные горные породы, например каолин, глинозем, тальк, мел, кварц, аттапульгит, монтмо-риллонит или диатомовая земля; измельченные синтетические горные породы, например высокодисперсная кремниевая кислота, оксид алюминия и силикаты; в качестве твердых носителей для приготовления гранулятов пригодны, например размолотые и фракционированные природные горные породы, в частности кальцит, мрамор, пемза, сепиолит, доломит, а также синтетические гранулы из неорганических и органических порошков, гранулы из органических материалов, например древесных опилок, скорлупы кокосовых орехов, кукурузных початков и табачных стеблей; в качестве эмульгирующих и/или пенообразующих средств пригодны, например, неионогенные и анионные эмульгаторы, в частности сложные эфиры полиэтиленоксида и кислот жирного ряда, простые эфиры полиэтиленоксида и алифатических спиртов, например алкиларилполигликоли, алкилсульфонаты, алкилсульфаты, арилсульфонаты, а также продукты гидролиза белков; в качестве диспергаторов пригодны, например лигнинсульфитные щелоки и метилцеллюлоза. В готовых формах могут использоваться средства, повышающие адгезию, например карбоксиметилцеллюлоза, природные и синтетические полимеры в порошкообразном состоянии или в виде гранул и латексов, в частности гуммиарабик, поливиниловый спирт, поливинилацетат, а также природные (кефалины и лецитины) и синтетические фосфолипиды. Другими добавками могут служить, например, минеральные и растительные масла. Могут использоваться красящие вещества, например неорганические пигменты, в частности оксид железа, оксид титана, берлинская лазурь, органические красители, в частности азокрасители, ализариновые и металлофталоцианиновые красители, а также микроэлементы, в частности, соли железа, марганца, бора, меди, кобальта, молибдена и цинка. Содержание биологически активных веществ в готовых формах в общем случае составляет от 0,1 до 95 мас.%, предпочтительно от 0,5 до 90 мас.%. Биологически активные вещества согласно изобретению могут использоваться как таковые или в виде смеси соответствующих готовых форм с известными гербицидами и/или так называемыми защитными средствами (антидотами), то есть веществами, повышающими толерантность биологически активных веществ по отношению к культурным растениям при борьбе с сорняками, причем возможно как создание соответствующих готовых к употреблению выпускных форм, так и перемешивание в емкости. Таким образом, возможно создание смесей биологически активных веществ со средствами борьбы с сорными растениями, содержащих один или несколько известных гербицидов и одно защитное средство. В состав подобных смесей могут входить, например, следующие известные гербициды. Ацетохлор, ацифлуорфен (-натрий), аклонифен, алахлор, аллоксидим (-натрий), аметрин, амикарбазон, амидохлор, амидосульфурон, анилофос, асулам, атразин, азафенидин, азимсульфурон, бефлубутамид, беназолин (-этил), бенфурезат, бенсульфурон (-метил), бентазон, бензфендизон, бензобициклон, бензофенап, бензоилпроп (-этил), биалафос, бифенокс, биспирибак (-натрий), бромобутид, бромофеноксим, бромоксинил, бутахлор, буфенацил (-аллил), бутроксидим, бутилат, кафенстрол, калоксидим, карбетамид, карфентразон (-этил), хлометоксифен, хлорамбен, хлоридазон, хлоримурон (-этил), хлорнитрофен, хлорсульфурон, хлортолурон, цинидон (-этил), цинметилен, циносульфурон, клефоксидим, клетодим, клодинафоп (-пропаргил), кломазон, кломепроп, клопиралид, клопирасульфурон (-метил), клорансулам (-метил), кумилурон, цианазин, цибутрин, циклоат, циклосульфамурон, цикло-ксидим, цихалофоп (-бутил), 2,4-D, 2,4-DB, десмедифам, диаллат, дикамба, дихлопроп (-Р), диклофоп (-метил), диклосулам, диэтатил (-этил), дифензокват, дифлуфеникан, дифлуфензопир, димефурон, димепиперат, диметахлор, диметаметрин, диметенамид, димексифлам, динитрамин, дифенамид, дикват, дитиопир, диурон, димрон, эпроподан, ЕРТС, эспро-карб, эталфлуралин, этаметсульфурон (-метил), этофумезат, этоксифен, этоксисульфурон, этобензанид, феноксапроп (-Р-этил), фентразамид, флампроп (-изопропил, -изопропил-L, -метил), флазасульфурон, флорасулам, флуазифоп (-Р-бутил), флуазолат, флукарбазон (-натрий), флуфенацет, флуфенпир, флуметсулам, флумикпорак (-пентил), флумиоксазин, флумипропин, флуметсулам, флуометурон, флуорохлоридон, флуорогликофен (-этил), флупоксам, флупропацил, флурпирсульфурон (-метил, -натрий), флуренол (-бутил), флуридон, флуроксипир (-бутоксипропил, -мептил), флурпримидол, флуртамон, флутиацет (-метил), флутиамид, фомезафен, форамсульфурон, глуфозинат (-аммоний), глуфозат (-изопропиламмоний), галосафен, галоксифоп (-этоксиэтил, -Р-метил), гексазинон, имазаметабенз (-метил), имазаметапир, имазамокс, имазапик, имазапир, имазаквин, имазетапир, имазосульфурон, йодосульфурон (-метил, -натрий), иоксинил, изопропалин, изопротурон, изоурон, изоксабен, изоксахлортол, изоксафлутол, изоксапирифоп, кетоспирадокс, лактофен, ленацил, линурон, МСРА, мекопроп, мефенацет, мезотрион, метамитрон, метазахлор, метабензтиазурон, метобензурон, метобромурон, (альфа-) метолахлор, метосулам, метоксурон, метрибуцин, метсульфурон (-метил), молинат, монолинурон, напроанилид, напропамид, небурон, никосульфурон, норфлуразон, орбенкарб, оризалин, оксадиаргил, оксадиазон, оксасульфурон, оксацикломефон, оксифлуорфен, паракват, пеларгоновая кислота, пендиметалин, пендралин, пеноксисулам, пентоксазон, петоксамид, фенмедифам, пиколинафен, пиперофос, претилахлор, примисульфурон (-метил), профлуазол, профоксидим, прометрин, пропахлор, пропанил, пропаквизафоп, пропизохлор, пропоксикарбазон (-натрий), пропизамид, просульфокарб, просульфурон, пирафлуфен (-этил), пиразогил, пиразолат, пиразосульфурон (-этил), пиразоксифен, пирибензоксим, пирибутикарб, пиридат, пиридатол, пирифталид, пириминобак (-метил), пиритиобак (-натрий), квинхлорак, квинмерак, квино-кламин, квизалофоп (-Р-этил, -Р-тефурил), римсульфурон, сетоксидим, симазин, симетрин, сулкотрион, сульфентразон, сульфометурон (-метил), сульфозат, сульфосульфурон, тебутам, тебутиурон, тепралоксидим, тербутилазин, тербутрин, тенилхлор, тиафлуамид, тиазопир, тидиазимин, тифенсульфурон (-метил), тиобенкарб, тиокарбазил, тралкоксидим, триаллат, триасульфурон, трибенурон (-метил), триклопир, тридифан, трифлуралин, трифлокси-сульфурон, трифлусульфурон (-метил), тритосульфурон. Кроме того, в состав смесей могут входить известные защитные средства, например: AD-67, BAS-145138, беноксакор, клоквинтоцет (-мексил), циометринил, 2,4-D, DKA-24, дихлормид, димрон, фенклорим, фенхлоразол (-этил), флуразол, флуксофеним, фурилазол, изоксадифен (-этил), МСРА, мекопроп (-Р), мефенпир (-диэтил), MG-191, оксабетринил, PPG-1292, R-29148. Кроме того, возможно смешивание соединений согласно изобретению с другими известными биологически активными веществами, в частности фунгицидами, инсектицидами, акарицидами, нематицидами, средствами защиты растений от птиц, питательными веществами для подкормки растений и средствами, улучшающими структуру почвы. Биологически активные вещества могут использоваться как таковые, в виде готовых форм или полученных из них путем дополнительного разбавления рабочих форм, например готовых к употреблению растворов, суспензий, эмульсий, дустов, паст и гранулятов. Непосредственное применение осуществляют обычными способами, например поливом, разбрызгиванием, распылением, разбрасыванием. Биологически активные вещества согласно изобретению подлежат непосредственному применению как перед всходом, так и после всхода растений. Кроме того, их можно вносить в почву перед севом. Нормы расхода биологически активных веществ могут колебаться в широких пределах. Они определяются главным образом тем, какого эффекта необходимо добиться. В общем случае расход биологически активных веществ составляет от 1 г до 10 кг на гектар поверхности почвы, предпочтительно от 5 г до 5 кг на гектар. Как указано выше, обработке согласно изобретению могут подвергаться целые растения или их части. Согласно предпочтительному варианту осуществления изобретения обработке подвергают растения дикого происхождения или виды и сорта растений, полученных с использованием обычных биологических методов разведения, например скрещивания или слияния протопласты, а также части таких растений. Согласно другому предпочтительному варианту осуществления изобретения обработке подвергают трансгенные растения и сорта растений, которые были созданы методами генной технологии, при необходимости в сочетании с обычными методами (генетически модифицированные организмы), а также части таких растений. Термины «части», а также «части растений» или «органы растений» были разъяснены выше. Согласно изобретению особенно предпочтительно обработке подвергают растения соответствующих стандартных или принятых в торговле сортов. Под сортами растений подразумеваются растения, обладающие определенными генетическими признаками, которые были культивированы путем обычного выращивания, мутагенеза или использования рекомбинантной техники ДНК. Речь при этом может идти о сортах, биотипах и генотипах. Осуществляемая согласно изобретению обработка растений в зависимости от их видов и сортов, места и условий произрастания (почвы, климатических условий, вегетационного периода, питания) может сопровождаться сверхаддитивными (синергическими) эффектами. Так, например, возможны следующие выходящие непосредственно за пределы ожидаемого эффекты: пониженные нормы расхода и/или расширение спектра эффективности и/или усиление эффективности применяемых согласно изобретению активных веществ и средств (в том числе и при их использовании в сочетании с другими агрохимическими биологически активными веществами), более интенсивный рост культурных растений, повышенная толерантность культурных растений по отношению к высоким или низким температурам, повышенная толерантность культурных растений по отношению к засушливости почвы или ее высокому влагосодержанию и засоленности, повышенная интенсивность цветения, облегчение уборки урожая, ускорение созревания, более высокая фактическая урожайность, повышенное качество и/или повышенная пищевая ценность собранного урожая, более высокая пригодность урожая для хранения и/или переработки. К подлежащим предпочтительной обработке согласно изобретению трансгенным (выращенным посредством генной технологии) растениям и сортам растений относятся любые растения, которые благодаря модифицированию посредством генной технологии содержат генетический материал, придающий этим растениям особенно предпочтительные ценные признаки. Примерами подобных генетических признаков растений являются более интенсивный рост, повышенная толерантность по отношению к высоким или низким температурам, повышенная толерантность по отношению к засушливости почвы или ее высокому влагосодержанию и засоленности, повышенная интенсивность цветения, облегчение уборки урожая, ускорение созревания, более высокая фактическая урожайность, повышенное качество и/или повышенная пищевая ценность собранного урожая, более высокая пригодность урожая для хранения и/или переработки. Другими достойными особого упоминания примерами подобных признаков растений являются повышенная защищенность от воздействия вредных животных и микроорганизмов, например насекомых, клещей, болезнетворных грибков, бактерий и/или вирусов, а также повышенная толерантность по отношению к определенным гербицидным биологически активным веществам. Примерами трансгенных растений являются такие важнейшие культурные растения, как зерновые культуры (пшеница, рис), кукуруза, соя, картофель, хлопчатник, рапс, а также плодовые растения (яблони, груши, цитрусовые и виноград), причем особого упоминания в этой связи заслуживают кукуруза, соя, картофель, хлопчатник и рапс. Одним из наиболее важных генетических признаков растений является повышенная защищенность от воздействия насекомых благодаря образующимся в самих растениях (называемых ниже «Bt растениями») токсинам, в частности, веществам, которые продуцируются в них благодаря наличию генетического материала из Bacillus Thuringiensis (например, генов CryIA(a), CryIA(b), CryIA(c), CryIIA, CryIIIA, CryIIIB2, Cry9c, Cry2Ab, Сгу3Вb и CryIF, a также сочетаний указанных генов). Одним из заслуживающих особого упоминания генетических признаков растений является также их повышенная защищенность от воздействия грибков, бактерий и вирусов благодаря приобретенной системной устойчивости, системину, фитоалексину, элициторам, а также генам резистентности и соответствующим экспримированным белкам и токсинам. Кроме того, одним из заслуживающих особого упоминания генетических признаков растений является повышенная толерантность по отношению к определенным гербицидным биологически активным веществам, например имидазолинонам, сульфонилкарбамидам, глифозату или фосфинотрицину (например, благодаря «РАТ»-гену). В трансгенных растениях могут также присутствовать комбинации генов, обеспечивающие соответствующие желательные признаки. В качестве примеров «Bt растений» следует упомянуть некоторые сорта кукурузы, хлопчатника, сои и картофеля, продаваемые под торговыми наименованиями YIELD GARD® (например, кукуруза, хлопок, соя), KnockOut® (например, кукуруза), StarLink® (например, кукуруза), Bollgard® (хлопок), Nucotn® (хлопок) и NewLeaf® (картофель). В качестве примеров растений, обладающих толерантностью по отношению к гербицидам, следует упомянуть определенные сорта кукурузы, хлопка и сои, продаваемые под торговыми наименованиями Roundup Ready® (толерантность по отношению к глифозату, например, кукурузы, хлопка, сои), Liberty Link® (толерантность по отношению к фосфинотрицину, например, рапса), IMI® (толерантность по отношению к имидазолинону) и STS® (толерантность по отношению к сульфонилкарбамиду, например, кукурузы). В качестве растений, резистентных по отношению к гербицидам (обычно выращенных в условиях толерантности по отношению к гербициду), следует также упомянуть сорта, продаваемые под торговым наименованием Clearfield® (например, кукуруза). Вышесказанное, разумеется, справедливо и для тех сортов растений, которые будут разрабатываться и поставляться на рынок сбыта впредь и обладать описанными выше или усовершенствованными генетическими признаками. Особенно предпочтительно указанные растения могут быть обработаны в соответствии с изобретением соединениями общей формулы (I) и смесями биологически активных веществ согласно изобретению, которые наряду с высокой активностью по отношению к сорным растениям проявляют в трансгенных растениях или сортах растений отмеченные выше синергические эффекты. Предпочтительные варианты указанных выше биологически активных веществ и смесей справедливы и для обработки этих растений. Особого внимания заслуживает обработка растений соединениями и смесями, особо отмеченными в предыдущем тексте. Получение и применение биологически активных веществ согласно изобретению иллюстрируют следующие примеры. Примеры получения Пример 1
0,45 г (2,19 ммоль) 5-метокси-4-метил-2-феноксикарбонил-2,4-дигидро-3Н-1,2,4-три-азол-3-она растворяют в 50 мл ацетонитрила и при комнатной температуре (около 20°С) и перемешивании порциями смешивают с 0,60 г (2,41 ммоль) 4-этоксикарбонил-2-метилтиофен-3-сульфамида и 0,37 г (2,41 ммоль) 1,8-диазабицикло[5.4.0]ундец-7-ена. Реакционную смесь перемешивают в течение 12 часов при комнатной температуре и затем концентрируют при пониженном давлении. Остаток переводят в метиленхлорид, промывают последовательно 1Н соляной кислотой и водой, сушат над сульфатом натрия и фильтруют. Фильтрат концентрируют при пониженном давлении, остаток выдерживают в изопропаноле и выпавшие кристаллы продукта выделяют отсасыванием. Получают 0,60 г (68% от теоретического) этилового эфира 4-[[[(3-метокси-4-метил-5-оксо-1Н-1,2,4-триазол-1-ил)карбонил]амино]сульфонил]-5-метил-3-тиофенкарбоновой кислоты в виде светло-желтого твердого вещества с точкой плавления 176°С. Натриевая соль получаемого по примеру 1 соединения может быть синтезирована, например, следующим образом. 1,0 г (2,5 ммоль) этилового эфира 4-[[[(3-метокси-4-метил-5-оксо-1Н-1,2,4-триазол-1-ил)карбонил]амино]сульфонил]-5-метил-3-тиофенкарбоновой кислоты загружают в 25 мл метиленхлорида и смешивают с 0,10 г (2,5 ммоль) гидроксида натрия (в виде микрошариков). Смесь в течение 15 часов перемешивают при комнатной температуре (около 20°С). Затем кристаллический продукт выделяют отсасыванием. Получают 1,0 г натриевой соли этилового эфира 4-[[[(3-метокси-4-метил-5-оксо-1Н-1,2,4-триазол-1-ил)карбонил]амино]сульфонил]-5-метил-3-тиофенкарбоновой кислоты с точкой плавления 220°С. Аналогично примеру 1, а также в соответствии с общим описанием способа получения согласно изобретению могут быть получены, например, и следующие, представленные в таблице 1 соединения общей формулы (I)
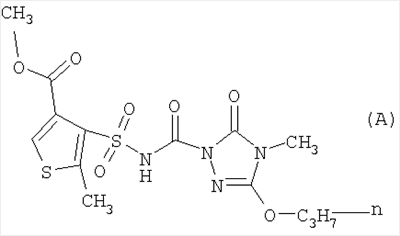
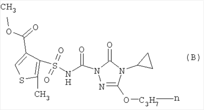
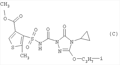
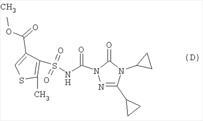
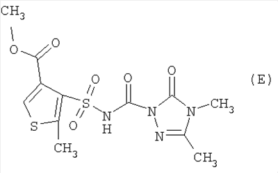
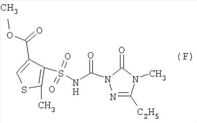
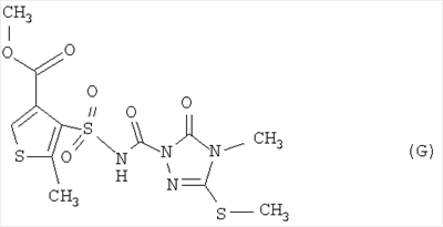
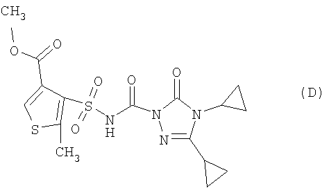
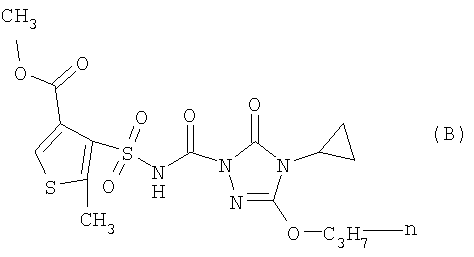
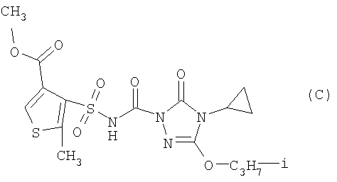
Примеры применения В примерах применения для сравнения используют следующие уже известные соединения (все они описаны в международной заявке на патент WO-A-01/05788): Метиловый эфир 4-[[[(4,5-дигидро-4-метил-5-оксо-3-н-пропокси-1Н-1,2,4-триазол-1-ил)карбонил]амино]сульфонил]-5-метил-3-тиофенкарбоновой кислоты (А). Метиловый эфир 4-[[[(4-циклопропил-4,5-дигидро-5-оксо-3-н-пропокси-1Н-1,2,4-три-азол-1-ил)карбонил]амино]сульфонил]-5-метил-3-тиофен-карбоновой кислоты (В). Метиловый эфир 4-[[[(4-циклопропил-4,5-дигидро-5-оксо-3-изопропокси-1Н-1,2,4-три-азол-1-ил)карбонил]амино]сульфонил]-5-метил-3-тиофен-карбоновой кислоты (С). Метиловый эфир 4-[[[(3,4-дициклопропил-4,5-дигидро-5-оксо-1Н-1,2,4-триазол-1-ил)карбонил]амино]сульфонил]-5-метил-3-тиофенкарбоновой кислоты (D). Метиловый эфир 4-[[[(4,5-дигидро-3,4-диметил-5-оксо-1Н-1,2,4-триазол-1-ил)карбонил]амино]сульфонил]-5-метил-3-тиофенкарбоновой кислоты (Е). Метиловый эфир 4-[[[(4,5-дигидро-3-этил-4-метил-5-оксо-1Н-1,2,4-триазол-1-ил)карбонил]амино]сульфонил]-5-метил-3-тиофенкарбоновой кислоты (F), Метиловый эфир 4-[[[(4,5-дигидро-4-метил-3-метилтио-5-оксо-1Н-1,2,4-триазол-1-ил)карбонил]амино]сульфонил]-5-метил-3-тиофенкарбоновой кислоты (G).
Для получения целевого препарата 1 мас. часть биологически активного вещества смешивают с указанным количеством растворителя, добавляют указанное количество эмульгатора и полученный концентрат разбавляют до желаемой концентрации водой. Приготовленным препаратом опрыскивают тестируемые растения высотой от 5 до 15 см таким образом, чтобы на единицу площади почвы приходились желаемые количества биологически активного вещества. Концентрацию рабочего раствора подбирают таким образом, чтобы желаемые количества биологически активного вещества, используемые для обработки одного гектара, содержались в 1000 л воды. Спустя три недели оценивают степень подавления роста растений в процентах по отношению к их росту в контрольном опыте (без обработки биологически активным веществом). Обозначают: 0% = полное отсутствие эффективности (как в контрольном опыте), 100% = полное поражение растений. В данном тесте, например, соединения согласно примерам получения 1, 15, 18, 20, 22, 39, 42, 45, 46, 47, 48, 55 и 56 проявляют гораздо более сильную активность по отношению к сорным растениям и значительно лучшую толерантность по отношению к культурным растениям, в частности кукурузе, рапсу и пшенице, по сравнению с известными соединениями (А) и (В).
Для получения целевого препарата 1 мас. часть биологически активного вещества смешивают с указанным количеством растворителя, добавляют указанное количество эмульгатора и полученный концентрат разбавляют до желаемой концентрации водой. Семена тестируемых растений высеивают в обычную почву. Через 24 часа почву опрыскивают приготовленным препаратом таким образом, чтобы на единицу площади почвы приходилось желаемое количество биологически активного вещества. Концентрацию рабочего раствора подбирают таким образом, чтобы желаемое количество биологически активного вещества, используемое для обработки одного гектара, содержалось в 1000 л воды. Спустя три недели оценивают степень подавления роста растений в процентах по отношению к их росту в контрольном опыте (без обработки биологически активным веществом). Обозначают: 0% = полное отсутствие эффективности (как в контрольном опыте), 100% = полное поражение растений. В данном тесте, например, соединения согласно примерам получения 1, 15, 18, 20, 22, 38, 39, 41, 42, 43, 45, 46, 47, 48, 55 и 56 при очень высокой толерантности по отношению к культурным растениям, в частности кукурузе, сое и пшенице. проявляют гораздо более сильную активность по отношению к сорным растениям по сравнению с известными соединениями (А), (В), (С), (D), (Е), (F) и (G).
Формула изобретения
1. Соединения общей формулы (I)
в которой Q означает кислород или серу, R1 означает алкил с 1-6 атомами углерода; R2 означает алкил с 1-6 атомами углерода; R3 означает водород, галоген; алкил с 1-6 атомами углерода, при необходимости, замещенный алкокси с 1-4 атомами углерода; алкокси с 1-6 атомами углерода, при необходимости, замещенный галогеном или алкокси-группой с 1-4 атомами углерода; алкилтио с 1-6 атомами углерода; циклоалкил с 3-6 атомами углерода; или арил, арилокси или арилалкокси, соответственно, с 6 или 10 атомами углерода в арильной группе и, в случае арилалкокси, с 1-4 атомами углерода в алкильной части; R4 означает алкил с 1-6 атомами углерода; алкокси с 1-6 атомами углерода; диалкиламино, соответственно, с 1-4 атомами углерода в алкильных группах; циклоалкил с 3-6 атомами углерода; или вместе с R3 означает, при необходимости, разветвленный или замещенный алкилом с 1-4 атомами углерода, оксаалкандиил, тиаалкандиил или азаалкандиил с 3-6 атомами углерода, причем окса-, тиа- или азагруппы могут находиться в начале, в конце или внутри алкандиильной группы, а также соли соединений формулы (I), за исключением метилового эфира 4-[[[(4,5-дигидро-3-этокси-4-метил-5-оксо-1Н-1,2,4-триазол-1-ил)карбонил]амино]сульфонил]-5-метил-3-тиофенкарбоновой кислоты, метилового эфира 4-[[[(4,5-дигидро-3-метокси-4-метил-5-оксо-1Н-1,2,4-триазол-1-ил)карбонил]амино]сульфонил]-5-метил-3-тиофенкарбоновой кислоты, метилового эфира 4-[[[(4,5-дигидро-4-метил-5-оксо-3-н-пропокси-1Н-1,2,4-триазол-1-ил)карбонил]амино]сульфонил]-5-метил-3-тиофенкарбоновой кислоты, метилового эфира 4-[[[(4,5-дигидро-4-метил-5-оксо-3-изопропокси-1Н-1,2,4-триазол-1-ил)карбонил]амино]сульфонил]-5-метил-3-тиофенкарбоновой кислоты, метилового эфира 4-[[[(4-циклопропил-4,5-дигидро-3-метокси-5-оксо-1Н-1,2,4-триазол-1-ил)карбонил]амино]сульфонил]-5-метил-3-тиофенкарбоновой кислоты, метилового эфира 4-[[[(4-циклопропил-4,5-дигидро-3-этокси-5-оксо-1Н-1,2,4-триазол-1-ил)карбонил]амино]сульфонил]-5-метил-3-тиофенкарбоновой кислоты, метилового эфира 4-[[[(4-циклопропил-4,5-дигидро-5-оксо-3-н-пропокси-1Н-1,2,4-триазол-1-ил)карбонил]амино] сульфонил]-5-метил-3-тиофенкарбоновой кислоты, метилового эфира 4-[[[(4-циклопропил-4,5-дигидро-5-оксо-3-изопропокси-1Н-1,2,4-триазол-1-ил)карбонил]амино]сульфонил]-5-метил-3-тиофенкарбоновой кислоты, метилового эфира 4-[[[(3,4-дициклопропил-4,5-дигидро-5-оксо-1Н-1,2,4-триазол-1-ил)карбонил]амино]сульфонил]-5-метил-3-тиофенкарбоновой кислоты, метилового эфира 4-[[[(4,5-дигидро-3,4-диметил-5-оксо-1Н-1,2,4-триазол-1-ил)карбонил]амино]сульфонил]-5-метил-3-тиофенкарбоновой кислоты, метилового эфира 4-[[[(4,5-дигидро-3-этил-4-метил-5-оксо-1Н-1,2,4-триазол-1-ил)карбонил]амино]сульфонил]-5-метил-3-тиофенкарбоновой кислоты, метилового эфира 4-[[[(4,5-дигидро-4-метил-3-метилтио-5-оксо-1Н-1,2,4-триазол-1-ил)карбонил]амино]сульфонил]-5-метил-3-тиофенкарбоновой кислоты, этилового эфира 4-[[[(4,5-дигидро-3,4-диметокси-5-оксо-1Н-1,2,4-триазол-1-ил)карбонил]амино]сульфонил]-5-хлор-3-тиофенкарбоновой кислоты, метилового эфира 4-[[[(4,5-дигидро-3-этокси-4-метил-5-оксо-1Н-1,2,4-триазол-1-ил)тиоксокарбонил]амино]сульфонил]-5-фтор-3-тиофенкарбоновой кислоты, метилового эфира 4-[[[(4,5-дигидро-3-этил-4-метокси-5-тиоксо-1Н-1,2,4-триазол-1-ил)карбонил]амино]сульфонил]-5-трифторметил-3-тиофенкарбоновой кислоты, этилового эфира 4-[[[(4,5-дигидро-4-этил-3-метокси-5-оксо-1Н-1,2,4-триазол-1-ил)карбонил]амино]сульфонил]-5-метил-3-тиофенкарбоновой кислоты и изопропиловый эфир 4-[[[(3,4-диметил-5-оксо-4,5-дигидро-1Н-1,2,4-триазол-1-ил)карбонил]амино]сульфонил]-5-этил-3-тиофенкарбоновой кислоты. 2. Соединения по п.1, отличающиеся тем, что R1 означает метил, этил, н- или изопропил, н-, изо-, втор- или трет-бутил; R2 означает метил, этил, н- или изопропил, н-, изо-, втор- или трет-бутил; R3 означает водород, фтор, хлор, бром; метил, этил, н- или изопропил, н-, изо-, втор- или трет-бутил, н-, изо-, втор- или трет-пентил или нео-пентил, при необходимости, соответственно, замещенный метокси, этокси, н- или изопропоксигруппой, метокси, этокси, н- или изопропокси, н-, изо-, втор- или трет-бутокси, н-, изо-, втор- или трет-пентилокси, или неопентилокси, при необходимости, соответственно, замещенный фтором, хлором, метокси, этокси, н- или изопропокси, н-, изо-, втор- или трет-бутокси, циклопропил, циклобутил, циклопентил, циклогексил, фенокси или бензилокси; R4 означает метил, этил, н- или изопропил, н-, изо-, втор- или трет-бутил, метокси, этокси, н- или изопропокси, н-, изо-, втор- или трет-бутокси, диметиламино или диэтиламино, циклопропил, циклобутил, циклопентил, циклогексил, или R3 и R4 совместно означают при необходимости соответственно от однократно до трехкратно замещенный метилом и/или этилом, 1-окса-триметилен, 1-тиатриметилен, 1-аза-триметилен, 1-окса-тетраметилен, 1-тиа-тетраметилен, 1-аза-тетраметилен, причем положение 1 означает место присоединения посредством R3. 3. Соединения по п.1, отличающиеся тем, что R1 означает метил, этил, н- или изопропил, R2 означает метил, этил, н- или изопропил, R3 означает водород, хлор, бром, метил, этил, н- или изопропил, н-, изо-, втор- или трет-бутил, н-, изо-, втор- или трет-пентил или неопентил при необходимости соответственно замещенный метокси-, этокси-, н- или изопропоксигруппой, метокси, этокси, н- или изопропокси, н-, изо-, втор- или трет-бутокси, н-, изо-, втор- или трет-пентилокси, неопентилокси при необходимости соответственно замещенный фтором, хлором, метокси-, этокси-, н- или изопропоксигруппой, фенокси или бензилокси, R4 означает метил, этил, н- или изопропил при необходимости соответственно замещенный метокси- или этоксигруппой, метокси, этокси, н- или изопропокси, или циклопропил, или R3 и R4 совместно означают при необходимости соответственно однократно или двукратно замещенный метилом 1-окса-триметилен, 1-тиатриметилен, 1-аза-триметилен, 1-окса-тетраметилен, 1-тиа-тетраметилен, 1-аза-тетраметилен, причем положение 1 означает место присоединения посредством R3. 4. Соединения по п.3, отличающиеся тем, что R1 означает метил. 5. Соединения по п.3, отличающиеся тем, что R1 означает этил. 6. Соединения по п.3, отличающиеся тем, что R1 означает н-пропил. 7. Соединения по п.3, отличающиеся тем, что R1 означает изопропил. 8. Соединения по п.3, отличающиеся тем, что R3 и R4 совместно означают при необходимости соответственно однократно или двукратно замещенный метилом, 1-окса-триметилен, 1-тиатриметилен, 1-аза-триметилен, 1-окса-тетраметилен, 1-тиа-тетраметилен, 1-аза-тетраметилен, причем положение 1 означает место присоединения посредством R3. 9. Соединения по п.3, отличающиеся тем, что R3 означает алкокси с 1-6 атомами углерода, замещенный галогеном или алкоксигруппой с 1-4 атомами углерода. 10. Гербицидное средство, содержащее соединение по одному из пп.1-9 и обычный наполнитель и/или поверхностно-активный агент.
TH4A – Переиздание описания изобретения к патенту Российской Федерации
Причина переиздания: Коррекция текста описания изобретения
Извещение опубликовано: 27.03.2009 БИ: 09/2009
TZ4A – Поправки к описаниям изобретений
Часть описания, где обнаружена ошибка: Текст опис., страница 24,строка 52 Пример 163
Напечатано: графа 5 OC2H5
Следует читать: графа 5 C2H5
Номер и год публикации бюллетеня: 9-2009
Извещение опубликовано: 20.05.2009 БИ: 14/2009
MM4A – Досрочное прекращение действия патента СССР или патента Российской Федерации на изобретение из-за неуплаты в установленный срок пошлины за поддержание патента в силе
Дата прекращения действия патента: 22.10.2009
Извещение опубликовано: 27.09.2010 БИ: 27/2010
|
|||||||||||||||||||||||||||||||||||||||||||||||||||||||||||||||||||||||||||||||||||||||||||||||||||||||||||||||||||||||||||||||||||||||||||||||||||||||||||||||||||||||||||||||||||||||||||||||||||||||||||||||||||||||||||||||||||||||||||||||||||||||||||||||||||||||||||||||||||||||||||||||||||||||||||||||||||||||||||||||||||||||||||||||||||||||||||||||||||||||||||||||||||||||||||||||||||||||||||||||||||||||||||||||||||||||||||||||||||||||||||||||||||||||||||||||||||||||||||||||||||||||||||||||||||||||||||||||||||||||||||||||||||||||||||||||||||||||||||||||||||||||||||||||||||||||||||||||||||||||||||||||||||||||||||||||||||||||||||||||||||||||||||||||||||||||||||||||||||||||||||||||||||||||||||||||||||||||||||||||||||||||||||||||||||||||||||||||||||||||||||||||||||||||||||||||||||||||||||||||||||||||||||||||||||||||||||||||||||||||||||||||||||||||||||||||||||||||||||||||||||||||||||||||||||||||||||||||||||||||||||||||||||||||||||||||||||||||||||||||||||||||||||||||||||||||||||||||||||||||



































































