|
|
(21), (22) Заявка: 2003131879/04, 27.03.2002
(24) Дата начала отсчета срока действия патента:
27.03.2002
(30) Конвенционный приоритет:
29.03.2001 US 60/279,938
(43) Дата публикации заявки: 10.05.2005
(46) Опубликовано: 10.02.2008
(56) Список документов, цитированных в отчете о поиске:
WO 00/66558 A1, 09.11.2000. WO 00/66559 A1, 09.11.2000.
(85) Дата перевода заявки PCT на национальную фазу:
29.10.2003
(86) Заявка PCT:
US 02/09491 (27.03.2002)
(87) Публикация PCT:
WO 02/079194 (10.10.2002)
Адрес для переписки:
103064, Москва, ул. Казакова,16, НИИР Канцелярия “Патентные поверенные Квашнин, Сапельников и партнеры”, В.П.Квашнину
|
(72) Автор(ы):
МИЛЛЕР Майкл В. (US)
(73) Патентообладатель(и):
ШЕРИНГ КОРПОРЕЙШН (US)
|
(54) ПРОИЗВОДНЫЕ ПИПЕРИДИНА, ФАРМАЦЕВТИЧЕСКАЯ КОМПОЗИЦИЯ НА ИХ ОСНОВЕ И ПРИМЕНЕНИЕ
(57) Реферат:
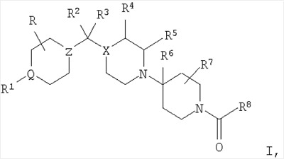
Настоящее изобретение относится к производным пиперидина общей формулы I или их фармацевтически приемлемым солям или изомерам,

Q означает N;
X и Z независимо выбранны из группы, состоящей из СН и N, при условии, что один или оба из Q и Z означают N;
R, R4, R5, R6 и R7 независимо выбраны из группы, состоящей из Н и (С1-С6)алкила;
R1 означает Н, (С1-С6)алкил, R9-арил(С1-С6)алкил-, (С1-С6)алкил-SO2-, (С3-С6)циклоалкил-SO2-, фтор(С1-С6)алкил-SO2-, R9-арил-SO2-, R9-гетероарил-SO2-, N(R22)(R23)-SO2-, (С1-С6)алкил-С(O)-, (С3-С6)циклоалкил-С(О)-, фтор(С1-С6)алкил-С(O)-, R9-арил-С(О)-, СН3СН2-NH-C(O)- или R9-арил-NH-C(O)-;
R2 означает Н или (С1-С6)алкил и
R3 означает Н, (С1-С6)алкил, (С1-С6)алкокси(С1-С6)алкил-, (С3-С10)циклоалкил-, (С3-С10)циклоалкил(С1-С6)алкил-, R9-арил, R9-арил(С1-С6)алкил- или R9-гетероарил при условии, что и X, и Z не являются каждый N;
или R2 и R3 вместе означают =NOR10;
Соединения могут быть использованы в качестве селективных антагонистов CCR5. Соединения полезны для лечения ВИЧ. Описаны также фармацевтическая композиция на основе соединений и комбинации с противовирусным или противовоспалительным средством. 4 н. и 12 з.п. ф-лы, 4 табл.
Текст описания приведен в факсимильном виде.                                                           
Формула изобретения
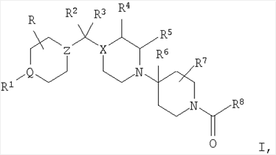
1. Производные пиперидина структурной формулы I

или их фармацевтически приемлемая соль или изомер, где Q означает N,
Х и Z независимо выбраны из группы, состоящей из СН и N, при условии, что один или оба из Q и Z означают N;
R, R4, R5, R6 и R7 независимо выбраны из группы, состоящей из Н и (С1-С6)алкила;
R1 означает Н, (С1-С6)алкил, R9-арил(С1-С6)алкил-, (С1-С6)алкил-SO2-, (С3-С6)циклоалкил-SO2-, фтор(С1-С6)алкил-SO2-, R9-арил-SO2-, R9-гетероарил-SO2-, N(R22)(R23)-SO2-, (С1-С6)алкил-С(O)-, (С3-С6)циклоалкил-С(О)-, фтор(С1-С6)алкил-С(O)-, R9-арил-С(О)-, СН3СН2-NH-C(O)- или R9-арил-NH-C(O)-;
R2 означает Н или (С1-С6)алкил и
R3 означает Н, (С1-С6)алкил, (С1-С6)алкокси(С1-С6)алкил-, (С3-С10)циклоалкил-, (С3-С10)циклоалкил(С1-С6)алкил-, R9-арил, R9-арил(С1-С6)алкил- или R9-гетероарил, при условии, что и X, и Z не являются каждый N;
или R2 и R3 вместе означают =NOR10;
R8 означает (R14, R15, R16)-замещенный фенил, (R14, R15)-замещенный 6-членный гетероарил, N-окись (R14,R15)-замещенного 6-членного гетероарила;
R9 означает 1, 2 или 3 заместителя, независимо выбранных из группы, состоящей из Н, галогена, (С1-С6)алкила, (С1-С6)алкоксила или -CF3;
R10 означает (С1-С6)алкил;
R14 и R15 независимо выбраны из (С1-С6)алкила;
R16 означает ОН или N-окись пиридила;
R22 и R23 независимо выбраны из группы, состоящей из Н и (С1-С6)алкила; причем термин “арил” означает фенил, а термин “гетероарил” означает тиенил, пиридил, N-окись пиридила или пиримидинил.
2. Производные пиперидина по п.1, где Z означает СН и Q и Х означают каждый N.
3. Производные пиперидина по п.1, где R1 означает R9-арил(С1-С6)алкил-, (С1-С6)алкил-SO2-, (С3-С6)циклоалкил-SO2-, фтор(С1-С6)алкил-SO2-, R9-арил-SO2– или R9-арил-NH-C(O)-.
4. Производные пиперидина по п.1, где R2 означает водород и R3 означает (С1-С6)алкил, R9-арил, R9-арил(С1-С6)алкил или R9-гетероарил.
5. Производные пиперидина по п.1, где R, R5 и R7 означают каждый водород и R6 означает -СН3.
6. Производные пиперидина по п.1, где R8 означает (R14, R15)-фенил, (R14, R15)-пиридил или его N-окись, или (R14, R15)-пиримидил.
7. Производные пиперидина по п.1, выбранные из группы, состоящей из соединений формулы

где R1, R3 и R6 являются такими, как представлено ниже
| R1 |
R3 |
R6 |
| 4-СН3ОС6Н4СН2 |
С6Н5 |
СН3 |
| СН3SO2 |
C6H5 |
СН3 |
| 4-СН3ОС6Н4СН2 |
СН2C6Н5 |
СН3 |
| СН3SO2 |
СН2CH2СН3 |
СН3 |
| 4-СН3С6Н4SO2 |
СН2CH2СНз |
СН3 |
| 4-СН3С6Н4SO2 |
С6Н5 |
СН3 |
| C6H5NHC(O) |
C6H5 |
СН3 |
| 4-СН3ОС6Н4СН2 |
С6Н5 |
Н |
| 4-СН3ОС6Н4SO2 |
C6H5 |
СН3 |
| 3-Cl-С6Н4SO2 |
С6Н5 |
СН3 |
| СН3SO2 |
СН2C6Н5 |
СН3 |
| 3-Cl-С6Н4SO2 |
СН2C6Н5 |
СН3 |
| СН3СН2SO2 |
СН2C6Н5 |
СН3 |
| 4-СН3ОС6Н4SO2 |
4-F-C6H4 |
СН3 |
| СН3SO2 |
4-F-C6H4 |
СН3 |
| 3-Cl-С6Н4SO2 |
4-F-C6H4 |
СН3 |
| CF3С(О) |
4-F-C6H4CH2 |
СН3 |
| СН3SO2 |
3-F-C6H4 |
СН3 |
| 3-Cl-С6Н4SO2 |
3-F-С6Н4 |
СН3 |
| 4-СН3ОС6Н4SO2 |
3-F-C6H4 |
СН3 |
| СН3SO2 |
4-F-C6H4CH2 |
СН3 |
| 3-Cl-С6Н4SO2 |
4-F-C6H4CH2 |
СН3 |
| 4-СН3ОС6Н4SO2 |
4-F-C6H4CH2 |
СН3 |
| 4-СН3ОС6Н4СН2 |
2-тиенил |
СН3 |
| CF3СН2SO2 |
C6H5 |
СН3 |
| CF3SO2 |
C6H5 |
СН3 |
| 4-СН3ОС6Н4СН2 |
3-тиенил |
СН3 |
| 3-Cl-С6Н4SO2 |
2-тиенил |
СН3 |
| 4-СН3ОС6Н4SO2 |
2-тиенил |
СН3 |
| СН3SO2 |
2-тиенил |
СН3 |
| СН3SO2 |
3-тиенил |
СН3 |
| 3-Cl-С6Н4SO2 |
3-тиенил |
СН3 |
| 4-F-С6Н4SO2 |
СН2C6Н5 |
СН3 |
| 2-тиенил-SO2 |
СН2C6Н5 |
СН3 |
| С6Н5SO2 |
СН2C6Н5 |
СН3 |
| CF3SO2 |
СН2C6Н5 |
СН3 |
| CF3СН2SO2 |
СН2C6Н5 |
СН3 |
| (CH3)2NSO2 |
СН2C6Н5 |
СН3 |
| циклопропил-SO2 |
3-F-C6H4 |
СН3 |
| 4-F-С6Н4SO2 |
3-F-C6H4 |
СН3 |
| 4-СН3ОС6Н4СН2 |
н-бутил |
СН3 |
| 3-Cl-С6Н4SO2 |
н-бутил |
СН3 |
| 4-СН3ОС6Н4SO2 |
н-бутил |
СН3 |
| 3-Cl-С6Н4SO2 |
3-пиридил |
СН3 |
| 4-СН3ОС6Н4SO2 |
3-пиридил |
СН3 |
| 3-Cl-С6Н4SO2 |
2-пиридил |
СН3 |
| циклопропил-SO2 |
C6H5 |
СН3 |
| СН3СН2SO2 |
C6H5 |
СН3 |
| СН3CH2СН2SO2 |
C6H5 |
СН3 |
| изопропил-SO2 |
C6H5 |
СН3 |
| СН3С(О) |
C6H5 |
СН3 |
| циклопропил-С(О) |
C6H5 |
СН3 |
| СН3СН2С(O) |
C6H5 |
СН3 |
| изопропил-С(О) |
C6H5 |
СН3 |
| 4-СН3ОС6Н4СН2 |
3,5-дифторфенил |
СН3 |
| циклопропил-SO2 |
3,5-дифторфенил |
СН3 |
| СН3SO2 |
циклогексил |
СН3 |
8. Производные пиперидина по п.1, выбранные из группы, состоящей из
 .
9. Фармацевтическая композиция, обладающая свойствами антагониста CCR5, содержащая активное вещество на основе производного пиперидина и фармацевтически приемлемый носитель, отличающаяся тем, что в качестве производного пиперидина содержит соединение по п.1 в эффективном количестве.
10. Фармацевтическая композиция по п.9, отличающаяся тем, что дополнительно содержит один или несколько противовирусных или других средств, полезных при лечении ВИЧ.
11. Фармацевтическая композиция по п.9 или 10, отличающаяся тем, что она представляет собой мазь.
12. Фармацевтическая композиция по п.11, отличающаяся тем, что в качестве активного вещества содержит соединение формулы

13. Применение соединения по п.1 или его фармацевтически приемлемой соли для приготовления лекарственного средства для лечения вируса иммунодефицита человека или отторжения трансплантата сòлидного органа, гомологичной болезни, артрита, ревматоидного артрита, воспалительного заболевания кишечника, атопического дерматита, псориаза, астмы, аллергий или рассеянного склероза.
14. Применение по п.13, отличающееся тем, что дополнительно в случае лечения вируса иммунодефицита человека соединение по п.1 применяют в комбинации с одним или несколькими противовирусными или другими средствами, полезными при лечении вируса иммунодефицита человека.
15. Применение по п.13, отличающееся тем, что дополнительно в случае лечения отторжения трансплантата сòлидного органа, гомологичной болезни, артрита, ревматоидного артрита, воспалительного заболевания кишечника, атопического дерматита, псориаза, астмы, аллергий или рассеянного склероза соединение по п.1 применяют в комбинации с одним или несколькими средствами, полезными при лечении указанных заболеваний.
16. Комплект для лечения вируса иммунодефицита человека, содержащий в одной упаковке имеющуюся в одном контейнере фармацевтическую композицию, включающую эффективное количество соединения по п.1 в фармацевтически приемлемом носителе, и одну или несколько имеющихся в отдельных контейнерах фармацевтических композиций, включающих эффективное количество противовирусного или другого средства, полезного для лечения вируса иммунодефицита человека, в фармацевтически приемлемом носителе.
|
|