Патент на изобретение №2316550
|
|||||||||||||||||||||||||||||||||||||||||||||||||||||||||||||||||||||||||||||||||||||||||||||||||||||||||||||||||||||||||||||||||||||||||||||||||||||||||||||||||||||||||||||||||||||||||||||||||||||||||||||||||||||||||||||||||||||||||||||||||||||||||||||||||||||||||||||||||||||||||||||||||||||||||||||||||||||||||||||||||||||||||||||||||||||||||||||||||||||||||||||||||||||||||||||||||||||||||||||||||||||||||||||||||||||||||||||||||||||||||||||||||||||||||||||||||||||||||||||||||||||||||||||||||||||||||||||||||||||||||||||||||||||||||||||||||||||||||||||||||||||||||||||||||||||||||||||||||||||||||||||||||||||||||||||||||||||||||||||||||||||||||||||||||||||||||||||||||||||||||||||||||||||||||||||||||||||||||||||||||||||||||||||||||||||||||||||||||||||||||||||||||||||||||||||||||||||||||||||||||||||||||||||||||||||||||||||||||||||||||||||||||||||||||||||||||||||||||||||||||||||||||||||||||||||||||||||||||||||||||||||||||||||||||||||||||||||||||||||||||||||||||||||||||||||||||||||||||||||||
(54) ЗАМЕЩЕННЫЕ БЕНЗОИЛЦИКЛОГЕКСЕНОНЫ
(57) Реферат:
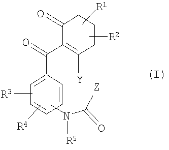
Описываются новые замещенные бензоилциклогексеноны общей формулы (I)
в которой Q, Y, Z, R1-R5 имеют указанные в формуле изобретения значения, включая их все возможные таутомерные формы и их возможные соли. Технический результат – замещенные бензоилциклогексеноны общей формулы (I) обладают гербицидной активностью. 1 з.п. ф-лы, 6 табл.
Изобретение относится к новым замещенным бензоилциклогексенонам, обладающих биологической активностью, в частности гербицидной активностью. К настоящему времени известно, что определенные замещенные бензоилциклогексеноны или бензоилциклогександионы, например такие, как соединения N-[2,6-дихлор-3-[(3,3-диметил-2,6-диоксо-циклогексил)карбонил]-фенил]ацетамид, N-[2-хлор-3-[(2,6-диоксо-циклогексил)-карбонил]-4-нитро-фенил]ацетамид, N-[2-хлор-3-[(2,6-диоксо-циклогексил)-карбонил]фенил]-ацетамид, N-[2,6-дихлор-3-[(2,6-диоксо-циклогексил)карбонил]-фенил]ацетамид (смотри патент США US-A-4780127), проявляют гербицидные свойства (смотри также европейские заявки на патент ЕР-А-090262, ЕР-А-135191, ЕР-А-137963, ЕР-А-186118, ЕР-А-186119, ЕР-А-186 120, ЕР-А-319075, международные заявки на патент WO-A-96/26200, WO-A-97/46530, WO-A-99/07688, WO-A-99/10327, WO-A-00/05221, WO-A-00/21924). Однако действие этих соединений не удовлетворяет всем необходимым требованиям. Задачей изобретения является расширение арсенала замещенных бензоилциклогексенонов, обладающих высокой биологической активностью, в частности гербицидной активностью. Поставленная задача решается предлагаемыми замещенными бензоилциклогексенонами общей формулы (I)
в которой Q представляет собой О (кислород) или S (серу), R1 представляет собой водород, алкил с 1-6 атомами углерода, R2 представляет собой водород, алкил с 1-6 атомами углерода, или вместе с R1 представляет алкандиил с 2-5 атомами углерода, R3 представляет собой галоген, галогеном замещенный алкил, содержащий до 4 атомов углерода, алкокси, содержащий до 4 атомов углерода, R4 представляет собой водород, галоген, R5 представляет собой водород, алкил с 1-6 атомомами углерода, Z представляет собой амино, алкиламино, при необходимости замещенный алкокси с 1-4 атомами углерода, алкоксиамино соответственно с 1-6 атомами углерода в алкильных группах; диалкиламино, N-алкилалкоксиамино или диалкилгидразино соответственно с 1-4 атомами углерода в алкильных группах; циклоалкиламино с 3-6 атомами углерода в циклоалкильной группе; замещенный галогеном фенил; арилалкиламино с 6 атомами углерода в арильной группе и с 1-4 атомами углерода в алкильной части; соответственно при необходимости алкилом с 1-4 атомами углерода, галогеналкилом с 1-4 атомами углерода, циклоалкилом с 3-6 атомами углерода замещенный гетероциклил, гетероциклиламино, -N=(гетероциклил) из ряда фурил, тетрагидрофурилметиламино, тиенил, пирролидинил, пирролидиниламино, оксоимидазолинил, изоксазолил, ди-гидроизоксазолил (изоксазолинил), тетрагидроизоксазолил (изоксазолидинил), тетрагидро-(2Н)-1,2-оксазин-2-ил, дигидротиазолил (тиазолинил), тиадиазолиламино, пиперидинил, пиперидиниламино, морфолинил, пиперазинил, 2-оксо-1,3-диазациклогексил, оксотетразолинилметил, включая их все возможными таутомерными формами и возможными солями. Новые замещенные бензоилциклогексеноны общей формулы (I), которые относятся к категории малотоксичных веществ, получают, если циклогександионы («гидроксициклогексеноны») общей формулы (II)
в которой R1 и R2 имеют вышеуказанные значения, подвергают взаимодействию с замещенными бензойными кислотами общей формулы (III),
в которой Q, R3, R4, R5 и Z имеют вышеуказанные значения, или с их реакционноспособными производными, например такими, как соответствующие хлорангидриды кислот, ангидриды кислот, цианиды кислот или сложные эфиры, при необходимости, в присутствии дегидратирующего агента, при необходимости, в присутствии одного или нескольких реакционных вспомогательных агентов и, при необходимости, в присутствии одного или нескольких разбавителей, и при необходимости, сразу после этого с полученными таким образом соединениями общей формулы (I) в рамках определения заместителей обычным образом проводят электрофильные или нуклеофильные реакции замещения или реакции окисления или восстановления, или соединения общей формулы (I) обычным образом переводят в соли. Новые замещенные бензоилциклогексеноны общей формулы (I) принципиально могут быть получены также, как схематически представлено ниже. Осуществляют взаимодействие аминобензоилциклогексенонов общей формулы (IV) с галоген(тио)карбонильными соединениями общей формулы (V) или, при необходимости, с соответствующими изи(тио)цианатами (Q, R1, R2, R3, R4, R5, Y и Z имеют при этом вышеуказанные значения, Х представляет собой галоген): Соединения, используемые при заявляемых способах ( Исходные вещества формулы (V) являются известными соединениями. Исходные вещества формулы (IV) могут быть получены по известным методам. Осуществляют взаимодействие изо(тио)цианатобензоилциклогексенонов общей формулы (VI) с нуклеофильными соединениями общей формулы (VII); (Q, R1, R2, R3, R4, Y и Z имеют при этом вышеуказанные значения): Если, например, в качестве исходных веществ используют циклогексан-1,3-дион и 2-хлор-4-[(диметиламинокарбонил-метиламино)]-бензойную кислоту, то течение реакции при заявляемом способе может быть представлено следующей схемой: Исходные вещества общей формулы (II) известны и/или могут быть получены по известным методам. Исходные вещества общей формулы (III) известны и/или могут быть получены по известным методам (смотри японскую заявку на патент JP-A-11292849, примеры получения). Замещенные бензойные кислоты общей формулы (III) получают, если эфир бензойной кислоты общей формулы (IIIa)
в которой Q, R3, R4, R5 и Z имеют вышеуказанные значения и R представляет собой алкил, в частности метил или этил, подвергают взаимодействию с водой, при необходимости, в присутствии гидролизующего вспомогательного агента, например такого, как натриевая щелочь, и при необходимости, в присутствии разбавителя, например такого, как тетрагидрофуран, при температурах между 0°С и 100°С (смотри примеры получения). Эфиры бензойной кислоты общей формулы (IIIa), необходимые как исходные продукты, известны и/или могут быть получены по известным методам (смотри японскую заявку на патент JP-A-11292849, примеры получения). Эфиры бензойной кислоты общей формулы (IIIa) получают, если (
в которой Q, R3, R4, R5 и Z имеют вышеуказанные значения и R представляет собой алкил, в частности метил или этил, подвергают взаимодействию с галоген(тио)карбонильными соединениями общей формулы (VI)
в которой Q и Z имеют вышеуказанные значения и Х представляет собой галоген, в частности фтор, хлор или бром, – или, при необходимости, с соответствующими изо(тио)цианатами – при необходимости, в присутствии акцептора кислоты, например такого, как карбонат калия или триэтиламин, или, при необходимости, в присутствии разбавителя, например такого, как метилизобутилкетон или ацетонитрил, при температурах между 0°С и 100°С (смотри примеры получения), или если (
в которой Q, R3 и R4 имеют вышеуказанные значения и R представляет собой алкил, в частности метил или этил, подвергают взаимодействию с нуклеофильными соединениями общей формулы (VIII)
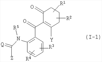
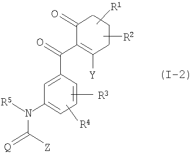
в которой Z имеет вышеуказанные значения, при необходимости, в присутствии реакционного вспомогательного агента, например такого, как триэтиламин, и, при необходимости, в присутствии разбавителя, например такого, как ацетонитрил или толуол, при температурах между 10°С и 120°С (смотри примеры получения). Исходные вещества формул (VI) и (VIII) являются известными соединениями. Исходные вещества формул (IX) и (X) могут быть получены известными способами. Способ получения новых замещенных бензоилциклогексенонов общей формулы (I) проводится предпочтительно с использованием дегидратирующего агента. При этом рассматриваются обычные химические реагенты, пригодные для связывания воды. В качестве примеров для этого следует назвать дициклогексилкарбодиимид, ангидрид пропанфосфоновой кислоты и карбонил-бис-имидазол. В качестве особенно хорошо пригодных дегидратирующих агентов следует назвать дициклогексилкарбодиимид и ангидрид пропанфосфоновой кислоты. Способ получения новых замещенных бензоилциклогексенонов общей формулы (I) проводится, при необходимости, с использованием вспомогательного агента. В качестве примеров для этого следует назвать цианид натрия, цианид калия, ацетоциангидрин, 2-циано-2-(триметилсилилокси)-пропан и триметилсилилцианид. В качестве особенно хорошо пригодного вспомогательного средства следует назвать триметилсилилцианид. В качестве вспомогательного агента также пригодны обычные неорганические или органические основания или акцепторы кислот. К ним предпочтительно относятся ацетаты, амиды, карбонаты, гидрокарбонаты, гидриды, гидроксиды или алконолаты щелочных или щелочноземельных металлов, например такие, как ацетат натрия, калия или кальция, амид лития, натрия, калия или кальция, карбонат натрия, калия или кальция, гидрокарбонат натрия, калия или кальция, гидрид лития, натрия, калия или кальция, гидроксид лития, натрия, калия или кальция, метанолат, этанолат, н- или изо-пропонолоат, н- или изо-, втор- или трет-бутанолат натрия или калия; кроме того, также основные органические азотистые соединения, например такие, как триметиламин, триэтиламин, трипропиламин, трибутиламин, этил-диизопропиламин, N,N-диметил-циклогексиламин, дициклогексиламин, этил-дициклогексиламин, N,N-диметиланилин, N,N-диметилбензиламин, пиридин, 2-метил-, 3-метил-, 4-метил-, 2,4-диметил-, 2,6-диметил-, 3,4-диметил- и 3,5-диметилпиридин, 5-этил-2-метил-пиридин, 4-диметиламинопиридин, N-метил-пиперидин, N-этил-пиперидин, N-метил-морфолин, N-этил-морфолин, 1,4-диазабицикло[2.2.2]-октан (ДАБЦО), 1,5-диазабицикло[4.3.0]-нон-5-ен (DBN), или 1,8-диазабицикло[5.4.0]-ундец-7-ен (ДБУ). В качестве дальнейших вспомогательных средств пригодны катализаторы фазового переноса. В качестве примеров таких катализаторов следует назвать: тетрабутиламмоний-бромид, тетрабутиламмоний-хлорид, тетраоктиламмоний-хлорид, тетрабутиламмоний-гидросульфат, метил-триоктил-аммоний-хлорид, гексадецил-триметиламмоний-хлорид, гексадецилтриметиламмоний-бромид, бензил-триметиламмоний-хлорид, бензил-триэтиламмоний-хлорид, бензил-триметиламмоний-гидроксид, бензил-триэтиламмоний-гидроксид, бензил-трибутиламмоний-хлорид, бензил-трибутиламмоний-бромид, тетрабутилфосфоний-бромид, тетрабутилфосфоний-хлорид, трибутил-гексадецилфосфоний-бромид, бутил-трифенилфосфоний-хлорид, этил-триоктилфосфоний-бромид, тетрафенилфосфоний-бромид. Способ получения соединений общей формулы (I) в каждом случае проводится предпочтительно с использованием одного или нескольких разбавителей. В качестве разбавителей рассматриваются, прежде всего, инертные органические растворители. К ним относятся, в частности, алифатические, алициклические или ароматические, при необходимости, галогенированные углеводороды, например такие, как бензин, бензол, толуол, ксилол, хлорбензол, дихлорбензол, петролейный эфир, гексан, циклогексан, дихлорметан, хлороформ, четыреххлористый углерод; простые эфиры, такие как диэтиловый эфир, диизопропиловый эфир, диоксан, тетрагидрофуран или диметиловый или диэтиловый эфир этиленгликоля; кетоны, такие как ацетон, бутанон или метил-изобутил-кетон; нитрилы, такие как ацетонитрил, пропионитрил или бутиронитрил; амиды, такие как N,N-диметилформамид, N,N-диметилацетамид, N-метилформанилид, N-метил-пирролидон или гексаметилтриамид фосфорной кислоты; сложные эфиры, такие как метиловый эфир уксусной кислоты или этиловый эфир уксусной кислоты, сульфоксиды, такие как диметилсульфоксид, спирты, такие как метанол, этанол, н- или изо-пропанол, монометиловый эфир этиленгликоля, моноэтиловый эфир этиленгликоля, монометиловый эфир диэтиленгликоля, моноэтиловый эфир диэтиленгликоля. Реакционные температуры могут варьироваться в широкой области. В общем случае работают при температурах между 0°С и 150°С, предпочтительно между 10°С и 120°С. В общем случае реакцию проводят при нормальном давлении. Но все-таки возможно проводить реакцию при повышенном или пониженном давлении – в общем случае между 0,1 бар и 10 бар. Исходные вещества используются в общем случае приблизительно в эквимолекулярных количествах. Но все-таки возможно также использовать компоненты в большем избытке. В общем случае взаимодействие проводится в подходящем разбавителе в присутствии реакционного вспомогательного агента, и реакционная смесь в общем случае перемешивается несколько часов при требуемой температуре. Обработка проводится по обычным методам (смотри примеры получения). Замещенные бензоилциклогексаноны (далее обозначаемые как «активные вещества») могут быть использованы как дефолианты, десиканты, средства для уничтожения ботвы и, особенно, как средство для искоренения сорняков. Под сорняками в самом широком смысле следует понимать все растения, которые произрастают в местах, где они нежелательны. Действуют ли активные вещества как гербициды сплошного или как гербициды избирательного действия, зависит от используемых количеств. Активные вещества могут быть использованы в следующих растениях: Двудольные сорняки видов: Abultion, Amaranthus, Ambrosia, Anoda, Anthemis, Aphanes, Atriplex, Bellis, Bidens, Capsella, Carduus, Cassia, Centaurea, Chenopodium, Cirsium, Convolvulus, Datura, Desmodium, Emex, Erysimum, Euphorbia, Galeopsis, Galinsoga, Galium, Hibiscus, Ipomoea, Kochia, Lamium, Lepidium, Lindernia, Matricaria, Mentha, Mercurialis, Mullugo, Myosotis, Papaver, Pharbitis, Plantago, Polygonum, Portulaca, Ranunculus, Raphanus, Rorippa, Rotala, Rumex, Salsola, Senecio, Sesbania, Sida, Sinapis, Solanum, Sonchus, Sphenoclea, Stellaria, Taraxacum, Thlaspi, Trifolium, Urtica, Veronica, Viola, Xanthium. Двудольные культуры видов: Arachis, Beta, Brassica, Cucumis, Cucurbita, Helianthus, Daucus, Glycine, Gossypium, Ipomoea, Lactuca, Linum, Lycopersicon, Nicotiana, Phaseolus, Pisum, Solanium, Vicia. Однодольные сорняки видов: Aegilops, Agropyron, Agrostis, Alopecurus, Apera, Avena, Brachiaria, Bromus, Cenchrus, Commelina, Cynodon, Cyperus, Dactyloctenium, Digitaria, Echinochloa, Eleocharis, Eleusine, Eragrostis, Eriochloa, Festuca, Fimbristylis, Heteranthera, Imperata, Ischaemum, Leptochloa, Lolium, Monochoria, Panicum, Paspalum, Phalaris, Phleum, Poa, Rottboellia, Sagittaria, Scirpus, Setaria, Sorghum. Однодольные культуры видов: Allium, Ananas, Asparagus, Avena, Hordeum, Oryza, Panicum, Saccharum, Secale, Sorghum, Triticale, Triticum, Zea. Однако использование активных веществ ни в коем случае не ограничивается указанными видами, а распространяется равным образом также на другие растения. Активные вещества в зависимости от концентрации пригодны для тотальной борьбы с сорняками, например, на промышленных предприятиях и рельсовых путях и на дорогах и местах с зелеными насаждениями и без них. Активные вещества могут использоваться также для борьбы с сорняками в многолетних культурах, например, в лесных насаждениях, декоративных посадках, фруктовых посадках, виноградниках, цитрусовых культурах, орехах, бананах, кофе, чае, каучуке, оливковых пальмах, какао, ягодных культурах и хмеле, на декоративных и спортивных газонах и пастбищах, а также для селективной борьбы с сорняками в однолетних культурах. Активные вещества формулы (I) проявляют сильную гербицидную активность и широкий спектр действия при нанесении на почву и на надземные части растений. В известном окружении они пригодны также для селективной борьбы с однодольными и двудольными сорняками в однодольных и двудольных культурах, как при внесении до всходов, так и в послевсходовом способе. Активные вещества при определенной концентрации или нормах расхода могут быть использованы также для борьбы с животными вредителями и грибковыми или бактериальными болезнями растений. При необходимости, они могут быть использованы также как промежуточные или исходные продукты для синтеза других активных веществ. Согласно изобретению могут обрабатываться все растения или части растений. Под растениями понимаются при этом все растения или популяции растений, такие как желательные или нежелательные дикие растения или культурные растения (включая встречающиеся в природе культурные растения). Культурные растения могут быть растениями, которые могут быть получены обычными методами выведения и оптимизации или с помощью биотехнологических и гентехнологических методов, или комбинацией указанных методов, включая трансгенные растения и включая сорта растений, защищаемые или не защищаемые с использованием правил защиты сортов. Под частями растений должны пониматься все надземные или подземные части и органы растений, такие как побег, лист, цветок и корень, при этом в виде примера приводятся листья, иглы, стебли, стволы, цветки, плодовые тела, плоды и семена, а также корни, клубни и корневища. К частям растений принадлежат также плоды урожая, а также вегетативный и генеративный материал для размножения, например, черенки, клубни, корневища, горизонтальные отводки и семена. Обработка растений и частей растений активными веществами проводится прямо или через воздействие на их окружение, жизненное пространство или на места хранения по обычным методам обработки, например, погружением, разбрасыванием, обработкой парами, туманом, рассыпанием, намазыванием и в случае материала для размножения, в частности для семян, кроме того, с помощью однослойных или многослойных оболочек. Активные вещества могут быть переведены в обычные составы, такие как растворы, эмульсии, порошки для опрыскивания, суспензии, порошки, средства в виде пыли, пасты, растворимые порошки, грануляты, концентраты суспензий и эмульсий, пропитанные активными веществами природные и синтетические вещества, а также микрокапсулирования в полимерных веществах. Указанные составы могут быть получены известным способом, например, смешением активных веществ с наполнителями, а также жидкими растворителями и/или твердыми носителями, при необходимости, с использованием поверхностно-активных средств, а также эмульгаторов и/или диспергирующих средств и/или пенообразователей. В случае использования воды как наполнителя могут быть использованы также, например, органические растворители в качестве вспомогательного растворителя. В качестве жидких растворителей рассматриваются в основном: ароматические соединения, такие как ксилол, толуол или алкилнафталины, хлорированные ароматичесике соединения и хлорированные алифатические углеводороды, такие как хлорбензолы, хлорэтилены или метиленхлорид, алифатические углеводороды, такие как циклогексан или парафины, например нефтяные фракции, минеральные и растительные масла, спирты, такие как бутанол или гликоль, а также их простые и сложные эфиры, кетоны, такие как ацетон, метилэтилкетон, метилизобутилкетон или циклогексанон, сильно полярные растворители, такие как диметилформамид и диметилсульфоксид, а также вода. В качестве твердых носителей рассматриваются: например, аммонийные соли и природные измельченные горные породы, такие как каолины, глины, тальк, мел, кварц, аттапульгит, монтмориллонит или диатомитовые земли, и синтетические измельченные твердые породы, такие как высокодисперсная кремневая кислота, оксид алюминия и силикаты, в качестве твердых носителей для гранулятов рассматриваются: например, дробленые и фракционированные природные горные породы, такие как кальцит, мрамор, пемза, сепиолит, доломит, а также синтетические грануляты из неорганических и органических измельченных твердых пород, а также грануляты из органических материалов, таких как древесные опилки, оболочки кокосовых орехов, кукурузные початки и стебли табака; в качестве эмульгаторов и/или пенообразующих агентов рассматриваются: например, неионогенные и анионные эмульгаторы, такие как сложные эфиры полиоксиэтилированных жирных кислот, простые эфиры полиоксиэтилированных жирных спиртов, например, алкиларилполигликолевые эсриры, алкилсульфонаты, алкилсульфаты, арилсульфонаты, а также белковые гидролизаты; в качестве диспергирующих средств рассматриваются: например, лигнин-сульфитные щелока и метилцеллюлоза. В составах могут использоваться адгезионные средства, такие как карбоксиметилцеллюлоза, природные и синтетические порошкообразные, зернистые или латексные полимеры, такие как гуммиарабик, поливиниловый спирт, поливинилацетат, а также природные фосфолипиды, такие как кефалин и лецитин, и синтетические фосфолипиды. Другие добавки могут быть минеральными и растительными маслами. Могут использоваться красители, такие как неорганические пигменты, например оксид железа, оксид титана, ферроцианд голубой, и органические красители, такие как ализарин, азокрасители и фталоцианины металлов, и небольшие количества питательных веществ, таких как соли железа, марганца, бора, меди, кобальта, молибдена и цинка. В общем случае составы содержат между 0,1 и 95 массовыми процентами активного вещества, предпочтительно между 0,5 и 90%. Активные вещества могут использоваться как таковые или в своих составах, также в смеси с известными гербицидами и/или веществами, которые улучшают переносимость гербицидов культурными растениями при борьбе с сорняками (“Safener”), при этом возможны готовые составы или баковые смеси. Возможны также смеси со средствами борьбы с сорняками, которые содержат один или несколько известных гербицидов и вещество, улучшающее переносимость гербицидов культурными растенями (Safener). Для смесей могут рассматриваться известные гербициды, например, Ацетохлор, Ацифлуорфен (-натрий), Аклонифен, Алахлор, Аллоксидим (-натрий), Аметрин, Амикарбазон, Амидохлор, Амидосульфурон, Анилофос, Асулам, Атразин, Азафенидин, Азимсульфурон, Буфлубутамид, Беназолин (-этил), Бенфуресат, Бенсульфурон (-метил), Бентазон, Бензфендизон, Бензобициклон, Бензофенап, Бензоилпроп (-этил), Биалафос, Бифенокс, Биспирибак (-натрий), Бромобутид, Бромофеноксим, Бромоксинил, Бутахлор, Бутафенацил (-аллил), Бутроксидим, Бутилат, Кафенстрол, Калоксидим, Карбетамид, Карфентразон (-этил), Клометоксифен, Хлорамбен, Хлоридазон, Хлоримурон (-этил), Хлорнитрофен, Хлорсульфурон, Хлортолурон, Цинидион (-этил), Цинметилин, Циносульфурон, Клефоксидим, Клетодим, Клодинафоп (пропаргил), Кломазон, Кломепроп, Кпопиралид, Клопирасульфурон (-метил), Кпорансулам (-метил), Кумилурон, Цианазин, Цибутрин, Циклоат, Циклосульфамурон, Циклоксидим, Цигалофоп (-бутил), 2,4-Д, 2,4-ДБ, Десмедифам, Диаллат, Дикамба, Дихлорпроп (-Р), Диклофоп (-метил), Диклосулам, Диэтатил (-этил), Дифензокват, Дифлуфеникан, Дифлуфензопир, Димефурон, Димепиперат, Диметахлор, Диметаметрин, Диметенамид, Димексифлам, Динитрамин, Дифенамид, Дикват, Дитиопир, Диурон, Димрон, Эпроподам, ЕРТС, Эспрокарб, Эталфлуралин, Этаметсульфурон (-метил), Этофумесат, Этоксифен, Этоксисульфурон, Этобензанид, Феноксапроп (-Р-этил), Фентразамид, Флампроп (-изопропил, -изопропил-L, -метил), Флазасульфурон, Флорасулам, Флуазифоп (-Р-бутил), Флуазолат, Флукарбазон (-натрий), Флуфенацет, Флуметсулам, Флумиклорак (-пентил), Флумиоксазин, Флумипропин, Флуметсулам, Флуметурон, Флурохлоридон, Флурогликофен (-этил), Флупоксам, Флупропацил, Флурпирсульфурон (-метил, -натрий), Флуренол (-бутил), Флуридон, Флуроксипир (-бутоксипропил, -мептил), Флурпримидол, Флуртамон, Флутиацет (-метил), Флутиамид, Фомесафен, Форамсульфурон, Глюфосинат (-аммоний), Глифосат (изопропиламмоний), Галосафен, Галоксифоп (-этоксиэтил, -Р-метил), Гексазинон, Имазаметабенз (-метил), Имазаметапур, Имазамокс, Имазапик, Имазапир, Имазаквин, Имазетапир, Имазосульфурон, Йодосульфурон (-метил, -натрий), Иоксинил, Изопропалин, Изопротурон, Изоурон, Изоксабен, Изоксахлортол, Изоксафлутол, Изоксапирифоп, Лактофен, Ленацил, Линурон, МСРА, Мекопроп, Мефенацет, Мезотрион, Метамитрон, Метазахлор, Метабентиазурон, Метобензурон, Метобромурон, (альфа-) Метолахлор, Метосулам, Метоксурон, Метрибузин, Метсульфурон (-метил), Молинат, Монолинурон, Напроанилид, Напропамид, Небурон, Никосульфурон, Норфлуразон, Орбенкарб, Оризалин, Оксадиаргил, Оксадиазон, Оксасульфурон, Оксазикломефон, Оксифлуорфен, Паракват, Пеларгоновая кислота, Пендиметалин, Пендралин, Пентоксазон, Фенмедифам, Пиколинафен, Пиперофос, Претилахлор, Примисульфурон (-метил), Профлуразол, Прометрин, Пропахлор, Пропанил, Пропаквизафоп, Пропизохлор, Пропоксикарбазон (-натрий), Пропизамид, Просульфокарб, Просульфурон, Пирафлуфен (-этил), Пиразогил, Пиразолат, Пиразосульфурон (-этил), Пиразоксифен, Пирибензоксим, Пирибутикарб, Пиридат, Пиридатол, Пирифталид, Пириминобак (-метил), Пиритиобак (-натрий), Квинхлорак, Квинмерак, Квинокламин, Квизалофоп (-Р-этил, -Р-тефурил), Римсульфурон, Сетоксидим, Симазин, Симетрин, Сулькотрион, Сульфентразон, Сульфометурон (-метил), Сульфосат, Сульфосульфурон, Тебутам, Тебутиурон, Тепралоксидим, Тербутилазин, Тербутион, Тенилхлор, Тиафлуамид, Тиазопир, Тидиазимин, Тифенсульфурон (-метил), Тиобенкарб, Тиокарбазил, Тралкоксидим, Триаллат, Триасульфурон, Трибенурон (-метил), Триклопир, Тридифан, Трифлуралин, Трифлоксисульфурон, Трифлусульфурон (-метил), Тритосульфурон. Для смесей, кроме того, рассматриваются известные вещества, переносимость гербицидов культурными растенями (Safener), например, AD-67, ВА3-145138, Беноксакор, Клоквинтоцет (-мексил), Циометринил, 2,4-Д, DKA-24, Дихлормид, Димрон, Фенклорим, Фенхлоразол (-этил), Флуразол, Флуксофеним, Фурилазол, Изоксадифен (-этил), МСРА, Мекопроп (-Р), Мефенпир (-диэтил), MG-191, Оксабетринил, PPG-1292, R-29148. Смесь с другими известными активными веществами, такими как фунгициды, инсектициды, акарициды, нематициды, защитные вещества от птиц, питательные вещества для растений и средства, улучшающие структуру почвы, также возможна. Активные вещества могут вноситься как таковые, в форме своих составов или готовых форм, полученных из них за счет дальнейшего разбавления, таких как готовые к употреблению растворы, суспензии, эмульсии, порошки, пасты и грануляты. Внесение происходит обычным образом, например, с помощью полива, опрыскивания, разбрасывания, рассыпания. Активные вещества могут быть нанесены как до, так и после всходов растений. Они могут быть внесены в почву перед посевом. Вносимые количества активных веществ могут колебаться в широкой области. Они зависят в значительной степени от типа желаемого эффекта. В общем случае вносимые количества лежат между 1 г и 10 кг активного вещества на гектар поверхности почвы, предпочтительно между 5 г и 5 кг на гектар. Как уже было упомянуто, согласно изобретению, могут обрабатываться все растения и их части. В одной предпочтительной форме исполнения обрабатываются встречающиеся в природе дикие или полученные с помощью обычных биологических методов выведения, таких как скрещивание или слияние протоплазм, виды растений или сорта растений, а также их части. В другой предпочтительной форме исполнения обрабатываются трансгенные растения и сорта растений, которые были получены с помощью гентехнологических методов, при необходимости, в комбинации с обычными методами (генетически модифицированные организмы), и их части. Понятие “части” или “части растений” было разъяснено выше. Особенно предпочтительно, согласно изобретению обрабатываются, соответственно, растения продажных сортов или сортов, находящихся в употреблении. Под сортами растений понимают растения с определенными свойствами (“характерными чертами”), которые получены как обычным выведением, так и с помощью мутагенеза или с помощью рекомбинантной ДНК-технологии. Это могут быть сорта, био- и генотипы. В зависимости от видов растений или сортов растений, места их разведения и условий роста (почва, климат, вегетационный период, подкормка), за счет заявляемой обработки могут проявиться также сверхаддитивные (“синергические”) эффекты. Так, например, возможны сниженные нормы расхода и/или расширения спектра действия, и/или увеличение активности используемых согласно изобретению веществ и средств – также в комбинации с другими агрохимическими активными веществами, лучший рост саженцев культурных растений, повышенная толерантность культурных растений по отношению к высоким и низким температурам, повышенная толерантность культурных растений по отношению к засухе или по отношению к содержанию в почве воды или солей, повышенная интенсивность цветения, облегчение уборки урожая, ускорение созревания плодов, более высокая урожайность, более высокое качество и/или более высокая питательная ценность продуктов урожая, лучшая способность к хранению и/или к обработке продуктов урожая, которые превосходят первоначально ожидаемые эффекты. К предпочтительным трансгенным (полученным гентехнически) растениям или сортам растений, подлежащим обработке согласно изобретению, принадлежат все растения, которые получены с помощью гентехнологической модификации генетического материала, который придает этим растениям особенно предпочтительные ценные свойства (характерные черты). Примерами таких свойств являются лучший рост растений, повышенная толерантность по отношению к высоким и низким температурам, повышенная толерантность по отношению к засухе или по отношению к содержанию в почве воды или солей, повышенная мощность интенсивность цветения, облегчение уборки урожая, ускорение созревания плодов, более высокая урожайность, более высокое качество и/или более высокая питательная ценность продуктов урожая, лучшая способность к хранению и/или к обработке продуктов урожая. Другими и особенно отмечаемыми примерами таких свойств являются повышенная сопротивляемость растений к повреждению со стороны животных и микробиологических вредителей, например по отношению к насекомым, клещам, патогенным растительным грибам, бактериям и/или вирусам, а также повышенная толерантность растений по отношению к определенным гербицидным активным веществам. В качестве примеров трансгенных растений упоминаются важные культурные растения, например злаковые (пшеница, рис), кукуруза, соя, картофель, хлопчатник, рапс, а также фруктовые растения (с плодами яблок, груш, цитрусовых и винограда), при этом кукуруза, соя, картофель, хлопчатник и рапс отмечаются особо. В качестве свойств (характерных черт) особенно отмечаются повышенная сопротивляемость растений по отношению к насекомым за счет возникающих в растениях токсинов, в частности таких, которые образуются за счет генетического материала из Bacillus Thuringiensis [например, за счет генов CrylA(a), CrylA(b), CrylA(c), CryllA, CrylllA, CryIIIB2, Cry9c, Cry2Ab, Сrу3Вb и CrylF, а также их комбинаций] в растениях (далее Bt-растения). В качестве свойств (характерных черт) особенно подчеркиваются также повышенная сопротивляемость растений в отношении грибов, бактерий и вирусов за счет системной приобретенной резистенции (SAR), Системина, Фитоалексина, Элициторена, а также резистентных генов и соответственно экспримированных протеинов и токсинов. В качестве свойств (характерных черт) особенно отмечаются повышенная толерантность растений по отношению к определенным гербицидным активным вещества, например имидазолинонам, сульфонилмочевинам, Глифосату или Фосфинотрицину (например, “PAT” – ген). Гены, сопровождающие соответственно, желаемые свойства (характерные черты), могут встречаться также в комбинации друг с другом в трансгенных растениях. В качестве примеров “Bt-растений” следует назвать сорта кукурузы, сорта хлопчатника, сорта сои и сорта картофеля, которые продаются под торговыми наименованиями YIELD GARD® (например, кукуруза, хлопчатник, соя), KnockOut® (например, кукуруза), StarLink® (например, кукуруза), Bollgard® (хлопчатник), Nucotn® (хлопчатник) и NewLeaf® (картофель). В качестве примеров толерантных к гербицидам растений следует назвать сорта кукурузы, сорта хлопчатника и сорта сои, которые продаются под торговыми наименованиями Roundup Ready® (толерантность по отношению к Глифосату, например, кукуруза, хлопчатниик, соя), Liberty Link® (толерантность по отношению к Фосфинотрицину, например рапс), IMI® (толерантность по отношению к имидазолинонам) и STS® (толерантность по отношению к сульфонилмочевинам, например кукуруза). В качестве резистентных к гербицидам растений (обычно выведенных на толерантность к гербицидам) следует упомянуть также сорта (например, кукурузы), продающиеся под наименованием Clearfield®. Понятно, что указанные положения действуют также для сортов растений, которые будут выведены в будущем или поступят в будущем на рынок, с указанными или выведенными в будущем генетическими свойствами (характерными чертами). Приведенные растения, согласно изобретению могут быть особенно предпочтительно обработаны соединениями формулы (I) или смесями активных веществ, при этом в дополнение к эффективной борьбе с сорными растениями проявляются вышеназванные синергические эффекты с трансгенными растениями или сортами растений. Предпочтительные области, указанные выше для активных веществ или смесей, действуют также для обработки указанных растений. Особенно следует подчеркнуть обработку растений соединениями или смесями, приведенными специально в настоящем тексте. Получение и применение заявляемых активных веществ видно из следующих примеров. Примеры получения: Пример 1-1 Смесь 2,80 г (8,43 ммоль) 2,4-дихлор-3-[[(3-метил-2-оксо-1-имидазолидинил)-карбонил]-амино]-бензойной кислоты, 0,945 г (8,43 ммоль) циклогексан-1,3-диона, 2,10 г (10,1 ммоль) дициклогексилкарбодиимида и 30 мл ацетонитрила перемешивают 18 часов при комнатной температуре (примерно 20°С) и затем фильтруют. К фильтрату добавляют 0,335 г (3,37 ммоль) триметилсилилцианида и 1,70 г (16,9 ммоль) триэтиламина, смесь перемешивают 18 часов при комнатной температуре и затем упаривают под уменьшенным давлением. Остаток размешивают с 10%-ным водным раствором карбоната натрия и затем встряхивают с диэтиловым эфиром. После отделения (и отбрасывания) органической фазы водный раствор подкисляют концентрированной соляной кислотой и выделяют с помощью отсасывания выпавший при этом кристаллический продукт. Получают 2,20 г (49% от теории) N-[2,6-дихлор-3-[(2,6-диоксо-циклогексил)-карбонил]-фенил]-3-метил-2-оксо-1-имидазолидинкарбоксамида. logP(рН 2,3):2,07 Аналогично примеру 1 и соответственно общему описанию способа получения могут быть получены также, например, приведенные в нижеследующих таблицах I-1 – I-5 соединения общей формулы (I-1) или (I-2).
В этих таблицах использованы следующие условные сокращения: i=изо-строение n=нормальное строение. Таблица I-1: Примеры соединений формулы (I), при этом соответственно R1 и R2 представляют собой водород и Y представляет собой гидрокси.
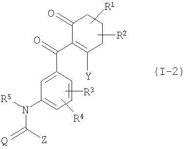
Таблица I-2: Примеры соединений формулы (I), при этом соответственно R1 представляет собой метил в 4-положении, R2 представляет собой метил в 4-положении и Y представляет собой гидрокси.
Таблица I-3: Примеры соединений формулы (I), при этом соответственно R1 представляет собой метил в 5-положении, R2 представляет собой водород и Y представляет собой гидрокси.
Таблица I-4: Примеры соединений формулы (I), при этом соответственно R1 представляет собой метил в 5-положении, R2 представляет собой метил в 5-положении и Y представляет собой гидрокси.
Таблица I-5: Примеры соединений формулы (I), при этом соответственно R1 и R2 представляют собой диметиленовую группу между положениями 4 и 6 – “(4)-СН2СН2-(6)” – и Y представляет собой гидрокси.
Определение значений logP, указанных в примере I-1, в таблицах I-1, I-2, I-3, I-4, I-5 и в следующих таблицах 2, 3 проводят согласно ЕЕС-распоряжению 79/831, приложение V.A8 с помощью ВЭЖХ (высокоэффективная жидкостная хроматография) на колонке с обратимой фазой (С 18) в кислой области (0,1%-ная водная фосфорная кислота) при температуре 43°С. При этом в качестве элюента используют ацетонитрил при линейном градиенте от 10% ацетонитрила до 90% ацетонитрила. Калибровку проводят с неразветвленными алкан-2-онами (с 3-16 атомами углерода), значения logP которых известны (определение значений logP на основе времен удерживания с помощью линейной интерполяции между двумя следующими друг за другом алканонами). Исходные вещества формулы (III): Пример (III-1) Смесь 11,3 г (32,9 ммоль) метилового эфира 2,4-дихлор-3-[[(3-метил-2-оксо-1-имидазолидинил)-карбонил]амино]-бензойной кислоты, 50 мл воды, 50 мл тетрагидрофурана и 1,3 г гидроксида натрия перемешивают 18 часов при комнатной температуре (примерно 20°С) и затем упаривают под пониженным давлением приблизительно до половины объема. Затем встряхивают с диэтиловым эфиром, органическую фазу отделяют (и отбрасывают) и водную фазу подкисляют концентрированной соляной кислотой. Выпавший при этом кристаллический продукт выделяют с помощью отсасывания. Получают 9,1 г (81,5% от теории) 2,4-дихлор-3-[[(3-метил-2-оксо-1-имидазолидинил)-карбонил]амино]-бензойной кислоты. logP (рН 2,3):1,35. Аналогично примеру (III-1) могут быть получены также, например, соединения общей формулы (III), приведенные в таблице 2.
Таблица 2: Примеры соединений формулы (III)
Исходные вещества формулы (IIIa): Пример (IIIa-1) Смесь 12,3 г (50 ммоль) метилового эфира 2,4-дихлор-3-изоцианатобензойной кислоты, 5,0 г (50 ммоль) 1-метил-2-оксо-имидазолидина, нескольких капель триэтиламина и 100 мл ацетонитрила перемешивают 18 часов при комнатной температуре (примерно 20°С) и затем упаривают под пониженным давлением. После этого остаток растирают с диэтиловым эфиром, и кристаллический продукт выделяют с помощью отсасывания. Получают 11,4 г (60% от теории) метилового эфира 2,4-дихлор-3-[[(3-метил-2-оксо-1-имидазолидинил)-карбонил]амино]-бензойной кислоты. logP(рН 2,3):1,94. Аналогично примеру (IIIa-1) могут быть получены также, например, соединения общей формулы (IIIa), приведенные в таблице 3.
Таблица 3: Примеры соединений формулы (IIIa)
Примеры применения Пример А Тест перед прорастанием на поверхность Растворитель: 5 массовых частей ацетона Эмульгатор: 1 массовая часть алкиларилполигликолевого эфира Для получения целевого состава с активным веществом смешивают 1 массовую часть активного вещества с указанным количеством растворителя, добавляют указанное количество эмульгатора и концентрат разбавляют водой до желаемой концентрации. Семена тестируемых растений высаживают в нормальную почву. Через 24 часа почву опрыскивают составом с активным веществом таким образом, чтобы на единицу площади наносилось соответственно желаемое количество активного вещества. Концентрация активного вещества в отваре для опрыскивания выбирается таким образом, чтобы в 1000 л воды на гектар наносилось, соответственно, желаемое количество активного вещества. Через три недели оценивают степень повреждения растений в % повреждения в сравнении с развитием необработанного контроля. При этом принимают: 0% = отсутствие действия (как необработанный контроль), 100% = полное уничтожение. Активные вещества, их норма расхода, обработанные растения и результаты опыта сведены в таблице 4.
Пример В Тест после прорастания на поверхность Растворитель: 5 массовых частей ацетона Эмульгатор: 1 массовая часть алкиларилполигликолевого эфира Для получения целевого состава с активным веществом смешивают 1 массовую часть активного вещества с указанным количеством растворителя, добавляют указанное количество эмульгатора и концентрат разбавляют водой до желаемой концентрации. Тестируемые растения, которые имеют высоту от 5 до 15 см, опрыскивают составом с активным веществом таким образом, чтобы наносилось, соответственно желаемые количества активного вещества на единицу площади. Концентрация отвара для опрыскивания выбирается таким образом, чтобы в 1000 л воды/га наносились, соответственно желаемые количества активного вещества. Через три недели оценивают степень повреждения растений в % повреждения в сравнении с развитием необработанного контроля. При этом принимают: 0% = отсутствие действия (как необработанный контроль), 100% = полное уничтожение. Активные вещества, их норма расхода, обработанные растения и результаты опыта сведены в таблице 5.
Пример С Опыт в посеянном рисе (теплица) Растворитель: 5 массовых частей ацетона, Эмульгатор: 1 массовая часть алкиларилполигликолевого эфира. Для получения целевого состава с активным веществом смешивают 1 массовую часть активного вещества с указанным количеством растворителя и эмульгатора и путем смешения с водой разбавляют до желаемой концентрации. Сосуды для растений (размеры: 20 см × 20 см × 9 см; поверхность 1/200 ар) заполняют почвой с рисового поля. Семена риса и сорняков высаживают во влажную питательную землю. На стадии 1,5-2 листа риса вносят разбавленный состав активного вещества в форме опрыскивания (обработка листьев). Через день после обработки тестируемые сосуды погружают в воду, чтобы высота воды над ними составляла 3 см. Затем тестируемые образцы выдерживают в условиях затопления (глубина воды 3 см). Через 4 недели после внесения активного вещества оценивают степень повреждения растений в % повреждения (или воздействия на сорняки) в сравнении с необработанным контролем. При этом принимают: 0% = отсутствие действия (как необработанный контроль), 100% = полное уничтожение. Активные вещества, их норма расхода, обработанные растения и результаты опыта сведены в таблице 6. Остальные заявленные соединения обладают аналогичной активностью.
Формула изобретения
1. Замещенные бензоилциклогексеноны общей формулы (I)
в которой Q представляет собой О (кислород) или S (серу), R1 представляет собой водород, алкил с 1-6 атомами углерода, R2 представляет собой водород, алкил с 1-6 атомами углерода, или вместе с R1 представляет алкандиил с 2-5 атомами углерода, R3 представляет собой галоген, галогеном замещенный алкил, содержащий до 4 атомов углерода, алкокси, содержащий до 4 атомов углерода, R4 представляет собой водород, галоген, R5 представляет собой водород, алкил с 1-6 атомами углерода, Y представляет собой гидрокси, Z представляет собой амино, алкиламино, при необходимости замещенный алкокси с 1-4 атомами углерода, алкоксиамино, соответственно, с 1-6 атомами углерода в алкильных группах; диалкиламино, N-алкилалкоксиамино или диалкилгидразино, соответственно с 1-4 атомами углерода в алкильных группах; циклоалкиламино с 3-6 атомами углерода в циклоалкильной группе; замещенный галогеном фенил; арилалкиламино с 6 атомами углерода в арильной группе и с 1-4 атомами углерода в алкильной части; соответственно, при необходимости алкилом с 1-4 атомами углерода, галогеналкилом с 1-4 атомами углерода, циклоалкилом с 3-6 атомами углерода замещенный гетероциклил, гетероциклиламино, -N=(гетероциклил) из ряда фурил, тетрагидрофурилметиламино, тиенил, пирролидинил, пирролидиниламино, оксоимидазолинил, изоксазолил, дигидроизоксазолил (изоксазолинил), тетрагидроизоксазолил (изоксазолидинил), тетрагидро-(2Н)-1,2-оксазин-2-ил, дигидротиазолил (тиазолинил), тиадиазолиламино, пиперидинил, пиперидиниламино, морфолинил, пиперазинил, 2-оксо-1,3-диаза-циклогексил, оксотетразолинилметил, включая их все возможные таутомерные формы и возможные соли. 2. Замещенные бензоилциклогексеноны по п.1, имеющие формулу
в которой Q, R1, R2, R3, R4, R5, Y и Z имеют указанное в п.1 значение. Приоритет по признакам: 16.05.2001 – все значения радикалов R1-R5, Y, Z и Q, за исключением значений радикала Z, касающихся замещенного циклоалкилом с 3-6 атомами углерода гетероциклила, гетероциклиламино, -N=(гетероциклила) из ряда фурил, тетрагидрофурилметиламино, тиенил, пирролидинил, пирролидиниламино, оксоимидазолинил, изоксазолил, тетрагидризоксазолил (изоксазолидинил), дигидроизоксазолил (изоксазолинил), тетрагидроизоксазолил (изоксазолидинил), тетрагидро-(2Н)-1,2-оксазин-2-ил, дигидротиазолил (тиазолинил), тиадиазолиламино, пиперидинил, пиперидиниламино, морфолинил, пиперазинил, 2-оксо-1,3-диаза-циклогексил, оксотетразолинилметила, незамещенного тетрагидро-(2Н)-1,2-оксазин-2-ила, которые имеют приоритет от 03.05.2002.
TZ4A – Поправки к описаниям изобретений
Часть описания, где обнаружена ошибка: Текст опис., страница 22, таблица 3 Пример IIIа-9
Следует читать:
Номер и год публикации бюллетеня: 4-2008
Извещение опубликовано: 27.11.2008 БИ: 33/2008
TZ4A – Поправки к описаниям изобретений
Часть описания, где обнаружена ошибка: Пример IIIа-10
Следует читать:
Номер и год публикации бюллетеня: 4-2008
Извещение опубликовано: 27.11.2008 БИ: 33/2008
MM4A – Досрочное прекращение действия патента СССР или патента Российской Федерации на изобретение из-за неуплаты в установленный срок пошлины за поддержание патента в силе
Дата прекращения действия патента: 04.05.2009
Извещение опубликовано: 20.07.2010 БИ: 20/2010
|
|||||||||||||||||||||||||||||||||||||||||||||||||||||||||||||||||||||||||||||||||||||||||||||||||||||||||||||||||||||||||||||||||||||||||||||||||||||||||||||||||||||||||||||||||||||||||||||||||||||||||||||||||||||||||||||||||||||||||||||||||||||||||||||||||||||||||||||||||||||||||||||||||||||||||||||||||||||||||||||||||||||||||||||||||||||||||||||||||||||||||||||||||||||||||||||||||||||||||||||||||||||||||||||||||||||||||||||||||||||||||||||||||||||||||||||||||||||||||||||||||||||||||||||||||||||||||||||||||||||||||||||||||||||||||||||||||||||||||||||||||||||||||||||||||||||||||||||||||||||||||||||||||||||||||||||||||||||||||||||||||||||||||||||||||||||||||||||||||||||||||||||||||||||||||||||||||||||||||||||||||||||||||||||||||||||||||||||||||||||||||||||||||||||||||||||||||||||||||||||||||||||||||||||||||||||||||||||||||||||||||||||||||||||||||||||||||||||||||||||||||||||||||||||||||||||||||||||||||||||||||||||||||||||||||||||||||||||||||||||||||||||||||||||||||||||||||||||||||||||||






) и (
) как исходные вещества, в общем случае определены формулами (IV) и (V). В формулах (IV) и (V) Q, R1, R2, R3, R4, R5, Y и Z имеют те значения, которые уже были указаны выше в связи с описанием заявляемых соединений формулы (I).



































































