|
|
(21), (22) Заявка: 2004111291/04, 16.09.2002
(24) Дата начала отсчета срока действия патента:
16.09.2002
(30) Конвенционный приоритет:
14.09.2001 (пп.1-16) US 60/322,318
(43) Дата публикации заявки: 10.09.2005
(46) Опубликовано: 10.02.2008
(56) Список документов, цитированных в отчете о поиске:
WO 01/19796 A1, 22.03.2001. WO 00/59881 A1, 12.10.2000. WO 00/69855 A2, 23.11.2000. WO 96/30353 A1, 03.10.1996. SU 1391496 A3, 23.04.1988.
(85) Дата перевода заявки PCT на национальную фазу:
14.04.2004
(86) Заявка PCT:
US 02/29323 (16.09.2002)
(87) Публикация PCT:
WO 03/024924 (27.03.2003)
Адрес для переписки:
129010, Москва, ул. Б.Спасская, 25, стр.3, ООО “Юридическая фирма Городисский и Партнеры”, пат.пов. Е.Е.Назиной, рег. № 517
|
(72) Автор(ы):
ГРАУП Майкл (US), ПАЛМЕР Джеймс Т. (US), ЭЛДОС Дэвид Дж. (US), ТУРАЙРАТНАМ Сукантини (US)
(73) Патентообладатель(и):
АВЕНТИС ФАРМАСЬЮТИКАЛЗ ИНК. (US), ЭКСИС ФАРМАСЬЮТИКАЛЗ, ИНК. (US)
|
(54) НОВЫЕ СОЕДИНЕНИЯ В КАЧЕСТВЕ ИНГИБИТОРОВ КАТЕПСИНА, ФАРМАЦЕВТИЧЕСКАЯ КОМПОЗИЦИЯ НА ИХ ОСНОВЕ, ИХ ПРИМЕНЕНИЕ И СПОСОБ ИХ ПОЛУЧЕНИЯ
(57) Реферат:
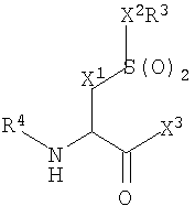
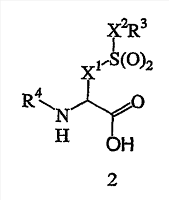
Настоящее изобретение относится к соединениям формулы I

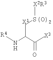
где: X1 и X2 оба представляют метилен; R3 представляет -CR5=CHR6, R5 и R6 вместе с атомами, к которым присоединены R5 и R6, образуют (С6-12)арил, где R3 необязательно замещен 1-5 радикалами -X4OR9, где X4 представляет связь, R9 представляет галогензамещенный (С1-3)алкил, и R4 представляет -С(O)Х5R11, где X5 представляет связь, и R11 представляет гетеро(С5-6)циклоалкил(С0-3)алкил, X3 представляет группу формулы (а), (b) или(с):
  
n представляет 0, 1 или 2; R20 представляет собой водород; R21 выбран из группы, состоящей из водорода, -C(O)R26, -S(O)2R26, -C(O)OR26; R23 выбран из Н и (С6-12)арил(С0-6)алкила; R25 выбран из водорода, (С6-12)арил(С0-6)алкила или -X4S(O)2R26, где X4 имеет указанные выше значения; R26 выбран из группы, состоящей из водорода, (С6-12)арил(С0-6)алкила; где X3 необязательно содержит, кроме того, 1 заместитель, который, находясь в алициклической или в ароматической кольцевой системе, представляет собой радикал, независимо выбранный из группы, состоящей из -X6OR17, где R17 представляет водород, (С1-6)алкил и X6 представляет связь или (С1-6)алкилен; и его N-оксидные производные, защищенные производные, индивидуальные изомеры и смеси данных изомеров; и фармацевтически приемлемые соли и сольваты таких соединений, его N-оксидных производных, защищенных производных, индивидуальных изомеров и смесей данных изомеров. Также описываются фармацевтическая композиция, обладающая ингибирующей активностью в отношении катепсина S протеаз на основе соединений формулы (I), применение соединения формулы (I), способ получения соединения формулы I и соединение формулы Ix. Технический результат – получены новые соединения, обладающие полезными биологическими свойствами. 5 н. и 10 з.п. ф-лы, 3 табл.
Данная заявка основана на и притязает на приоритет по предварительной заявке США S.N. 60/322318, поданной 14 сентября 2001 и включенной в данное описание в качестве ссылки.
Данная заявка относится к соединениям и композициям для лечения заболеваний, связанных с активностью цистеинпротеазы, в частности, заболеваний, связанных с активностью катепсина S.
Цистеинпротеазы представляют собой класс пептидаз, характеризующихся присутствием цистеинового остатка в каталитическом центре фермента. Цистеинпротеазы связаны с нормальным разложением и процессингом белков. Однако аберрантная активность цистеинпротеаз, например, в результате усиления экспрессии или повышенной активации, может иметь патологические последствия. В этом отношении некоторые цистеинпротеазы ассоциированы с рядом болезненных состояний, которые включают артриты, мышечную дистрофию, воспаление, образование опухолей, гломерулонефриты, малярию, периодонтные заболевания, метахроматическую лейкодистрофию и другие. Усиление активности катепсина S вносит свой вклад в патологию и/или симптоматологию ряда заболеваний. Соответственно, молекулы, которые ингибируют активность катепсин S протеазы, полезны в качестве терапевтических агентов при лечении таких заболеваний.
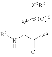
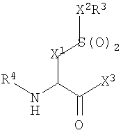
Данная заявка относится к соединениям формулы

где:
X1 и X2 оба представляют метилен, или X1 представляет этилен и X2 представляет связь;
R3 представляет -CR5=CHR6, -CR5(CR6 3)2 или -CR7=NR8, где R5 представляет водород и R6 представляет водород, или (C1-4)алкил, или R5 и R6 вместе с атомами, к которым присоединены R5 и R6, образуют (C3-12)циклоалкенил, гетеро(C5-12)циклоалкенил, (C6-12)арил, гетеро(C6-12)арил, (C9-12)бициклоарил или гетеро(C8-12)бициклоарил, и R7 и R8 вместе с атомами, к которым присоединены R7 и R8, образуют гетеро(C5-12)циклоалкенил, гетеро(C6-12)арил или гетеро(C8-12)бициклоарил, где R3 необязательно замещен 1-5 радикалами, независимо выбранными из группы, состоящей из (C1-4)алкила, циано, галогена, галогензамещенного (C1-4)алкила, нитро, -Х4NR9R9, -X4OR9, -X4SR9, -Х4С(О)NR9R9, -X4C(O)OR9, -X4S(О)R10, -X4S(О)2R10 и -X4С(О)R10, где X4 представляет связь или (C1-2)алкилен, R9 в каждом случае независимо представляет водород, (C1-3)алкил или галогензамещенный (C1-3)алкил, и R10 представляет (C1-3)алкил или галогензамещенный (C1-3)алкил; и
R4 представляет -C(O)X5R11 или -S(O)2X5R11, где X5 представляет связь, -O- или -NR12-, где R12 представляет водород или (C1-6)алкил, и R11 представляет
(i) (C1-6)алкил, необязательно замещенный -OR13, -SR13, -S(О)R13, -S(О)2R13, -C(О)R13, -C(О)OR13, -C(О)NR13R14, -NR13R14, -NR14C(O)R13, -NR14C(O)OR13, -NR14C(O)NR13R14 или -NR14C(NR14)NR13R14, где R13 представляет (C3-12)циклоалкил(C0-3)алкил, гетеро(C5-12)циклоалкил(C0-3)алкил, (C6-12)арил(C0-3)алкил, гетеро(C5-12)арил(C0-3)алкил, (C9-12)бициклоарил(C0-3)алкил или гетеро(C8-12)бициклоарил(C0-3)алкил, и R14 в каждом случае независимо представляет водород или (C1-6)алкил, или
(ii) (C3-12)циклоалкил(C0-3)алкил, гетеро(C5-12)циклоалкил(C0-3)алкил, (C6-12)арил(C0-3)алкил, гетеро(C5-12)арил(C0-3)алкил, (C9-12)бициклоарил(C0-3)алкил или гетеро(C8-12)бициклоарил(C0-3)алкил, или
(iii) (C3-6)циклоалкил(C0-3)алкил,
гетеро(C5-6)циклоалкил(C0-3)алкил, фенил(C0-3)алкил или
гетеро(C5-6)арил(C0-3)алкил, замещенный -X6OR15, -X6SR15, -X6S(О)R15, -X6S(О)2R15, -X6С(О)R15, -X6C(O)OR15, -Х6С(О)NR15R16, -Х6NR15R16, -Х6NR16 С(О)R15, -Х6NR16 С(О)OR15, -Х6NR16С(О)NR15R16, -Х6NR16 С(О)OR16, -Х6NR16С(NR16)NR15R16, где X6 представляет связь или метилен,
R15 представляет (C3-6)циклоалкил(C0-3)алкил,
гетеро(C5-6)циклоалкил(C0-3)алкил, фенил(C0-3)алкил или
гетеро(C5-6)арил(C0-3)алкил,
и R16 представляет водород или (C1-6)алкил; где R4 необязательно содержит, кроме того, 1-5 заместителей, которые, находясь в алициклической или ароматической кольцевой системе, представляют собой радикалы, независимо выбранные из группы, состоящей из (C1-6)алкила, (C1-6)алкилидена, циано, галогена, нитро, галогензамещенного (C1-3)алкила, -Х6NR17R17, -Х6NR17С(О)О R17, -Х6NR17С(О)NR17R17, -Х6NR17С(NR17)NR17R17, -X6OR17, -X6SR17, -X6C(O)OR17, -Х6С(О)NR17R17, -X6S(О)2NR17R17, -Х6Р(О)(OR18)OR17, -Х6ОР(О)(OR18)OR17, -X6NR17C(O)R18, -X6S(O)R18, -X6S(O)2R18 и -X6С(O)R18, и, находясь в алифатическом фрагменте, представляют собой радикалы, независимо выбранные из группы, состоящей из циано, галогена, нитро, -NR17R17, -NR17C(O)OR17, -NR17C(O)NR17R17, -NR17C(NR17)NR17R17, -OR17, -SR17, -C(O)OR17, -C(O)NR17R17, -S(O)2NR17R17, -P(O)(OR17)OR17, -OP(O)(OR17)OR17, -NR17C(O)R18, -S(O)R18, -S(O)2R18 и -C(O)R18, где X6 представляет связь или (C1-6)алкилен, R17 в каждом случае независимо представляет водород, (C1-6)алкил или галогензамещенный (C1-3)алкил и R18 представляет (C1-6)алкил или галогензамещенный (C1-3)алкил;
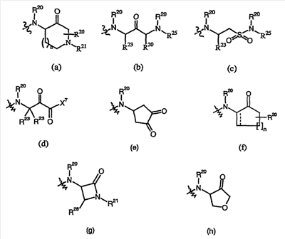
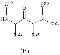
X3 представляет группу формулы (a), (b), (c), (d), (e), (f), (g) или (h):

== представляет простую связь или двойную связь;
X7 представляет арил, гетероарил или NR20R25;
n представляет 0, 1 или 2;
R20 выбран из группы, состоящей из водорода, (C1-6)алкила, (C3-12)циклоалкил(C0-6)алкила, гетеро(C5-12)циклоалкил(C0-6)алкила, (C6-12)арил(C0-6)алкила и гетеро(C5-12)арил(C0-6)алкила;
R21 выбран из группы, состоящей из водорода, (C1-9)алкила, (C3-12)циклоалкил(C0-6)алкила, гетеро(C5-12)циклоалкил(C0-6)алкила, (C6-12)арил(C0-6)алкила, гетеро(C5-12)арил(C0-6)алкила, (C9-12)бициклоарил(C0-3)алкила, гетеро(C8-12)бициклоарил(C0-3)алкила, -C(О)R26, -C(S)R26, -S(O)2R26, -C(O)OR26, -C(O)N(R26)R27, -C(S)N(R26)R27 и -S(О)2N(R27)R26;
R23 выбран из -H, (C1-6)алкила, (C4-6)алкенила, (C3-12)циклоалкил(C0-6)алкила, гетеро(C5-12)циклоалкил(C0-6)алкила, (C6-12)арил(C0-6)алкила, или гетеро(C5-12)арил(C0-6)алкила, необязательно замещенного амино, -NHC(O)R15 или -R15, где R15 имеет указанные выше значения;
R25 выбран из водорода, (C1-6)алкила, (C3-12)циклоалкил(C0-6)алкила, гетеро(C5-12)циклоалкил(C0-6)алкила, (C6-12)арил(C0-6)алкила, гетеро(C5-13)арил(C0-6)алкила, -X4NHR15, -X4S(O)2NHR26 или -X4C(O)R17NR17C(O)R17, где R15, R17 и X4 имеют указанные выше значения;
R26 выбран из группы, состоящей из водорода, (C1-6)алкила,
(C3-12)циклоалкил(C0-6)алкила, гетеро(C5-12)циклоалкил(C0-6)алкила,
(C6-12)арил(C0-6)алкила, гетеро(C5-12)арил(C0-6)алкила,
(C9-12)бициклоарил(C0-3)алкила и
гетеро(C8-12)бициклоарил(C0-3)алкила;
R27 представляет водород, (C1-6)алкил, (C3-12)циклоалкил(C0-6)алкил, гетеро(C5-12)циклоалкил(C0-6)алкил, (C6-12)арил(C0-6)алкил или гетеро(C5-12)арил(C0-6)алкил;
R28 представляет R20 или -O-C(=О)-R29;
R29 представляет (C1-6)алкил, (C3-12)циклоалкил(C0-6)алкил, гетеро(C5-12)циклоалкил(C0-6)алкил, (C6-12)арил(C0-3)алкил, гетеро(C5-12)арил(C0-3)алкил, (C9-12)бициклоарил(C0-3)алкил или гетеро(C8-12)бициклоарил(C0-3)алкил;
где X3 необязательно содержит, кроме того, 1-5 заместителей, которые, находясь в алициклической или в ароматической кольцевой системе, представляют собой радикалы, независимо выбранные из группы, состоящей из (C1-6)алкила, (C1-6)алкилидена, циано, галогена, нитро, галогензамещенного (C1-3)алкила, -Х6NR17R17, -Х6NR17С(О)OR17, -Х6NR17С(О)NR17R17, -Х6NR17С(NR17)NR17R17, -X6OR17, -X6С(О)R17, -X6OR15, -X6SR17, -X6C(O)OR17, -Х6С(О)NR17R17, -X6S(О)2NR17R17, -Х6Р(О)(OR8)OR17, -Х6ОР(О)(OR8)OR17, -X6NR17C(O)R18, -X6S(O)R18, -X6S(O)2R18 и -X6С(O)R18, и, находясь в алифатическом фрагменте, представляют собой радикалы, независимо выбранные из группы, состоящей из циано, галогена, нитро, -NR17R17, -NR17C(O)OR17, -NR17C(O)NR17R17, -NR17C(NR17)NR17R17, -OR17, -SR17, -C(O)OR17, -C(O)NR17R17, -S(O)2NR17R17, -P(O)(OR17)OR17, -OP(O)(OR17)OR17, -NR17С(O)R18, -S(O)R18, -S(O)2R18 и -C(O)R18, где R15, R17, R18 и X6 имеют указанные выше значения.
Вторым аспектом настоящего изобретения является фармацевтическая композиция, которая содержит соединение формулы I или его N-оксидные производные, индивидуальные изомеры или смесь данных изомеров, или их фармацевтически приемлемые соли, в смеси с одним или несколькими из подходящих эксципиентов.
Третьим аспектом настоящего изобретения является способ лечения заболеваний у животного, при котором ингибирование катепсина S может предотвратить, подавить или облегчить патологию и/или симптомы заболевания, причем указанный способ включает введение животному терапевтически эффективного количества соединения формулы I или его N-оксидного производного, индивидуального изомера или смеси данных изомеров; или их фармацевтически приемлемой соли.
Четвертым аспектом настоящего изобретения является способ получения соединения формулы I и его N-оксидных производных, пролекарственных форм производных, защищенных производных, индивидуальных изомеров и смесей данных изомеров; и их фармацевтически приемлемых солей.
Если нет других указаний, следующие определения, используемые в описании и формуле изобретения, представлены для целей данной заявки и имеют следующие значения.
Термин “алициклический” означает фрагмент, который характеризуется расположением атомов углерода в замкнутых неароматических кольцевых структурах, обладающих свойствами, напоминающими свойства алифатических структур, и может быть насыщенным или частично ненасыщенным, содержащим две или несколько двойных или тройных связей.
Термин “алифатический” означает фрагмент, который характеризуется неразветвленной или разветвленной структурой цепи, состоящей из атомов углерода, и может быть насыщенным или частично ненасыщенным, содержащим две или несколько двойных или тройных связей.
Термин “алкил” сам по себе означает неразветвленный или разветвленный, насыщенный или ненасыщенный, алифатический радикал, содержащий указанное число атомов углерода (например, (C1-6)алкил включает метил, этил, пропил, изопропил, бутил, втор-бутил, изобутил, трет-бутил, винил, аллил, 1-пропенил, изопропенил, 1-бутенил, 2-бутенил, 3-бутенил, 2-метилаллил, этинил, 1-пропинил, 2-пропинил и т.п.). Алкил, представленный вместе с другими радикалами (например, как арилалкил), означает неразветвленный или разветвленный, насыщенный или ненасыщенный алифатический двухвалентный радикал, содержащий указанное число атомов, или при отсутствии атомов означает связь (например, (C1-6)арил(C0-3)алкил включает фенил, бензил, фенетил, 1-фенилэтил, 3-фенилпропил и т.п.).
Термин “алкилен”, если нет других указаний, означает неразветвленный или разветвленный, насыщенный или ненасыщенный, алифатический двухвалентный радикал, содержащий указанное число атомов углерода (например, (C1-6)алкилен включает метилен(-CH2-), этилен (-CH2CH2-), триметилен (-CH2CH2CH2-), тетраметилен (-CH2CH2СН2CH2-), 2-бутенилен (-CH2CH=CHCH2-), 2-метилтетраметилен (-CH2CH(CH3)CH2CH2-), пентаметилен (-CH2CH2CH2CH2CH2-) и т.п.).
Термин “алкилиден” означает неразветвленный или разветвленный, насыщенный или ненасыщенный, алифатический двухвалентный радикал, содержащий указанное число атомов углерода (например, (C1-6)алкилиден включает метилен (=CH2), этилиден (=CHCH3), изопропилиден (=C(CH3)2), пропилиден (=CHCH2CH3), аллилиден (=CH-CH=CH2) и т.п.).
Термин “амино” означает радикал -NH2. Если нет других указаний, соединения настоящего изобретения, содержащие аминофрагменты, включают их защищенные производные. Подходящие защитные группы для аминофрагментов включают ацетил, трет-бутоксикарбонил, бензилоксикарбонил и т.п.
Термин “животное” включает людей, отличных от людей млекопитающих (например, собак, кошек, кроликов, крупный рогатый скот, лошадей, овец, коз, свиней, оленей и т.п.) и не млекопитающих (например, птиц и т.п.).
Термин “ароматический” означает фрагмент, где составляющие его атомы образуют ненасыщенную кольцевую систему, причем все атомы в кольцевой системе находятся в sp2 гибридизации и полное число пи электронов равно 4n+2.
Термин “арил” означает моноциклическую или конденсированную бициклическую кольцевую систему, содержащую указанное полное число кольцевых атомов углерода, где каждое кольцо состоит из 6 атомов углерода и является ароматическим, или если конденсировано со вторым кольцом, образует ароматическую кольцевую систему. Например, необязательно замещенный (C6-10)арил, как использовано в данном описании, включает, но не ограничивается ими, бифенил-2-ил, 2-бромфенил, 2-бромкарбонилфенил, 2-бромфтор-5-фторфенил, 4-трет-бутилфенил, 4-карбамоилфенил, 4-карбокси-2-нитрофенил, 2-хлорфенил, 4-хлорфенил, 3-хлоркарбонилфенил, 4-хлоркарбонилфенил, 2-хлор-4-фторфенил, 2-хлор-6-фторфенил, 4-хлор-2-нитрофенил, 6-хлор-2-нитрофенил, 2,6-дибромфенил, 2,3-дихлорфенил, 2,5-дихлорфенил, 3,4-дихлорфенил, 2-дифторметоксифенил, 3,5-диметилфенил, 2-этоксикарбонилфенил, 2-фторфенил, 2-йодофенил, 4-изопропилфенил, 2-метоксифенил, 4-метоксифенил, 2-метилфенил, 3-метилфенил, 4-метилфенил, 5-метил-2-нитрофенил, 4-метилсульфонилфенил, нафт-2-ил, 2-нитрофенил, 3-нитрофенил, 4-нитрофенил, 2,3,4,5,6-пентафторфенил, фенил, 2-трифторметоксифенил, 3-трифторметоксифенил, 4-трифторметоксифенил, 2-трифторметилфенил, 3-трифторметилфенил, 4-трифторметилфенил, 2-трифторметилсульфанилфенил, 4-трифторметилсульфанилфенил и т.п. Необязательно замещенный (C6-10)арил, как использовано в данном описании, включает 3-ацетилфенил, 3-трет-бутоксикарбониламинометилфенил, бифенил-4-ил, 3-гидроксифенил, 4-гидроксифенил, 3-метоксифенил, нафт-2-ил, 3-феноксифенил, фенил и т.п.
Термин “бициклоарил” означает бициклическую кольцевую систему, содержащую указанное число атомов углерода в кольце, где кольца связаны простой связью или конденсированы, и, по крайней мере, одно из колец, образующих кольцевую систему, является ароматическим, и любой карбоциклический кетон, тиокетон или его иминокетонное производное (например, (С9-10)бициклоарил включает циклогексилфенил, 1,2-дигидронафтил, 2,4-диоксо-1,2,3,4-тетрагидронафтил, инданил, инденил, 1,2,3,4-тетрагидронафтил и т.п.).
Термин “карбамоил” означает радикал -C(O)NH2-. Если нет других указаний, соединения настоящего изобретения, содержащие карбамоильные фрагменты, включают их защищенные производные. Подходящие защитные группы для карбамоильных фрагментов включают ацетил, трет-бутоксикарбонил, бензилоксикарбонил и т.п. и как незащищенные, так и защищенные производные входят в объем настоящего изобретения.
Термин “производное карбоциклического кетона” означает производное, содержащее фрагмент -С(О)-.
Термин “карбокси” означает радикал -C(O)OH. Если нет других указаний, соединения настоящего изобретения, содержащие карбоксифрагменты, включают их защищенные производные. Подходящие защитные группы для карбоксифрагментов включают бензил, трет-бутил и т.п.
Термин “циклоалкил” означает насыщенную или частично ненасыщенную, моноциклическую, конденсированную бициклическую или мостиковую полициклическую кольцевую систему, содержащую указанное число кольцевых атомов углерода, и любой карбоциклический кетон, тиокетон или его иминокетонное производное (например, (C3-10)циклоалкил включает циклопропил, циклобутил, циклопентил, циклогексил, циклогексенил, 2,5-циклогексадиенил, бицикло[2.2.2]октил, адамантан-1-ил, декагидронафтил, оксоциклогексил, диоксоциклогексил, тиоциклогексил, 2-оксобицикло[2.2.1]гепт-1-ил и т.п.).
Термин “циклоалкилен” означает двухвалентную насыщенную или частично ненасыщенную моноциклическую кольцевую или мостиковую полициклическую кольцевую систему, содержащую указанное число кольцевых атомов углерода, и любой карбоциклический кетон, тиокетон или его иминокетонное производное. Примеры того, когда R1 и R2 вместе с атомом углерода, к которому присоединены оба R1 и R2, образуют (C3-8)циклоалкилен, включает, но не ограничиваются ими, следующие:
Термин “заболевание” конкретно включает любое болезненное состояние животного или его органов и включает болезненное состояние, которое может быть вызвано или которое является следствием медицинского или ветеринарного лечения, предпринятого в отношении животного, т.е. “побочными эффектами” такого лечения.
Термин “галоген” означает фтор, хлор, бром или йод.
Термин “галогензамещенный алкил”, как выделенная группа или часть более крупной группы, означает “алкил”, замещенный одним или несколькими атомами “галогенов”, в соответствии с тем, как этот термин определен в данном описании. Галогензамещенные алкилы включают галогеналкил, дигалогеналкил, тригалогеналкил, пергалогеналкил и т.п. (например, галогензамещенный (C1-3)алкил включает хлорметил, дихлорметил, дифторметил, трифторметил, 2,2,2-трифторэтил, перфторэтил, 2,2,2-трифтор-1,1-дихлорэтил и т.п.).
Термин “гетероатомный фрагмент” включает -N=, -NR-, -N+(O)=, -O-, -S- или -S(O)2-, где R представляет водород, (C1-6)алкил или защитную группу.
Термин “гетероциклоалкилен” означает циклоалкилен, как определено в данном описании, при условии, что один или несколько из указанных кольцевых атомов углерода заменены гетероатомным фрагментом, выбранным из -N=, -NR-, -O-, -S- или -S(O)2-, где R представляет водород или (C1-6)алкил. Примеры того, когда R1 и R2 вместе с атомом углерода, к которому присоединены оба R1 и R2, образуют гетеро(C3-8)циклоалкилен, включают, но не ограничиваются ими, следующие:

где R представляет водород, (C1-6)алкил или защитную группу.
Термин “гетероарил” означает арил, как определено в данном описании, при условии, что один или несколько из указанных кольцевых атомов углерода заменены гетероатомным фрагментом, выбранным из -N=, -NR-, -N+(O–)=, -O- или -S-, где R представляет водород, (C1-6)алкил, защитную группу или представляет свободную валентность, которая служит точкой присоединения к кольцевому азоту, и каждое кольцо состоит из 5 или 6 кольцевых атомов. Например, необязательно замещенный гетеро(C5-13)арил в том смысле, как использовано в данном описании, включает, но не ограничивается ими, 4-амино-2-гидроксипиримидин-5-ил, дибензофуранил, бензотиазол-2-ил, 1H-бензоимидазол-2-ил, 2-бромпирид-5-ил, 5-бромпирид-2-ил, 4-карбамоилтиазол-2-ил, 3-карбоксипирид-4-ил, 5-карбокси-2,6-диметилпирид-3-ил, 3,5-диметилизоксазол-4-ил, 5-этокси-2,6-диметилпирид-3-ил, 5-фтор-6-гидроксипиримидин-4-ил, фур-2-ил, фур-3-ил, 5-гидрокси-4,6-диметилпирид-3-ил, 8-гидрокси-5,7-диметилхинолин-2-ил, 5-гидроксиметилизоксазол-3-ил, 3-гидрокси-6-метилпирид-2-ил, 3-гидроксипирид-2-ил, 1H-имидазол-2-ил, 1H-имидазол-4-ил, 1H-индол-3-ил, изотиазол-4-ил, изоксазол-4-ил, 2-метилфур-3-ил, 5-метилфур-2-ил, 1-метил-1Н-имидазол-2-ил, 5-метил-3H-имидазол-4-ил, 5-метилизоксазол-3-ил, 5-метил-2Н-пиразол-3-ил, 3-метилпирид-2-ил, 4-метилпирид-2-ил, 5-метилпирид-2-ил, 6-метилпирид-2-ил, 2-метилпирид-3-ил, 2-метилтиазол-4-ил, 5-нитропирид-2-ил, 2Н-пиразол-3-ил, 3Н-пиразол-4-ил, пиридазин-3-ил, пирид-2-ил, пирид-3-ил, пирид-4-ил, 5-пирид-3-ил-2H-[1,2,4]триазол-3-ил, пиримидин-4-ил, пиримидин-5-ил, 1Н-пиррол-3-ил, хинолин-2-ил, 1H-тетразол-5-ил, тиазол-2-ил, тиазол-5-ил, тиен-2-ил, тиен-3-ил, 2Н-[1,2,4]-триазол-3-ил, 3Н-[1,2,3]триазол-4-ил, 5-трифторметилпирид-2-ил и т.п. Подходящие защитные группы включают трет-бутоксикарбонил, бензилоксикарбонил, бензил, 4-метоксибензил, 2-нитробензил и т.п. Необязательно замещенный гетеро(C5-10)арил, как определено в данном описании для R4, включает бензофур-2-ил, фур-2-ил, фур-3-ил, пирид-3-ил, пирид-4-ил, хинол-2-ил, хинол-3-ил, тиен-2-ил, тиен-3-ил и т.п.
Термин “гетеробициклоарил” означает бициклоарил, как определено в данном описании, при условии, что один или несколько из указанных кольцевых атомов углерода заменены гетероатомным фрагментом, выбранным из -N=, -NR-, -O- или -S-, где R представляет водород, (C1-6)алкил, защитную группу или представляет свободную валентность, которая служит точкой присоединения к кольцевому азоту, и любой карбоциклический кетон, тиокетон или его иминокетонное производное. Например, необязательно замещенный гетеро(С8-10)бициклоарил, как использовано в данном описании, включает, но не ограничивается ими, 2-амино-4-оксо-3,4-дигидроптеридин-6-ил и т.п. В общем, термин гетеробициклоарил, как использовано в данном описании, включает, например, бензо[1,3]диоксол-5-ил,
3,4-дигидро-2Н-[1,8]нафтиридинил, 3,4-дигидро-2Н-хинолинил,
2,4-диоксо-3,4-дигидро-2H-хиназолинил,
1,2,3,4,5,6-гексагидро[2,2′]бипиридинилил,
3-оксо-2,3-дигидробензо[1,4]оксазинил,
5,6,7,8-тетрагидрохинолинил и т.п.
Термин “гетероциклоалкил” означает циклоалкил, как определено в данном описании, при условии, что один или несколько из указанных кольцевых атомов углерода заменены гетероатомным фрагментом, выбранным из -N=, -NR-, -O- или -S-, где R представляет водород, (C1-6)алкил, защитную группу, или представляет свободную валентность, которая служит точкой присоединения к кольцевому азоту, и любой карбоциклический кетон, тиокетон или его иминокетонное производное (например, термин гетеро(C5-10)циклоалкил включает имидазолидинил, морфолинил, пиперазинил, пиперидил, пирролидинил, пирролинил, хинуклидинил и т.п.). Подходящие защитные группы включают трет-бутоксикарбонил, бензилоксикарбонил, бензил, 4-метоксибензил, 2-нитробензил и т.п. Как незащищенные, так и защищенные производные входят в объем настоящего изобретения.
Термин “гидрокси” означает радикал -OH. Если нет других указаний, соединения настоящего изобретения, содержащие гидроксирадикалы, включают его защищенные производные. Подходящие защитные группы для гидрокси фрагментов включают бензил и т.п.
Термин “иминокетонное производное” означает производное, содержащее фрагмент -C(NR)-, где R представляет водород или (C1-6)алкил.
Термин “изомеры” означает соединения формулы I, имеющие идентичные молекулярные формулы, но отличающиеся природой или последовательностью связывания их атомов, или расположением их атомов в пространстве. Изомеры, которые отличаются расположением их атомов в пространстве, называют “стереоизомерами”. Стереоизомеры, которые не являются зеркальным отображением друг друга, называют “диастереомерами”, а стереоизомеры, которые не являются налагаемыми зеркальными изображениями, называют “энантиомерами” или иногда “оптическими изомерами”. Атом углерода, который связан с четырьмя неидентичными заместителями, называют “хиральным центром”. Соединение с одним хиральным центром имеет две энантиомерные формы противоположной хиральности, и их называют “рацемической смесью”. Соединение, которое содержит более одного хирального центра, имеет 2n-1 энантиомерные пары, где n означает число хиральных центров. Соединения, содержащие более одного хирального центра, могут существовать либо как индивидуальные диастереомеры, либо как смесь диастереомеров, называемую “диастереомерной смесью”. Если существует один хиральный центр, стереоизомер может отличаться абсолютной конфигурацией этого хирального центра. Абсолютная конфигурация относится к пространственной организации заместителей, присоединенных к хиральному центру. Энантиомеры характеризуются абсолютной конфигурацией их хиральных центров, и описываются правилами R- и S-чередования Кахна, Инголда и Прелога (Cahn, Ingold and Prelog). Правила стереохимической номенклатуры, методы определения стереохимии и разделения стереоизомеров хорошо известны специалистам в данной области (например, см. “Advanced Organic Chemistry”, 4th edition, March, Jerry, John Wiley & Sons, New York, 1992). Понятно, что названия и иллюстрации, использованные в данном описании для определения соединений формулы I, подразумевают то, что они включают все возможные стереоизомеры. Так, например, подразумевается, что название [1-(1-бензоил-4-оксопирролидин-3-илкарбамоил)-2-фенилметансульфонилэтил]амид морфолин-4-карбоновой кислоты включает [S-1-(1-бензоил-4-оксопирролидин-3-илкарбамоил)-2-фенилметансульфонилэтил]амид морфолин-4-карбоновой кислоты и [R-1-(1-бензоил-4-оксопирролидин-3-илкарбамоил)-2-фенилметансульфонилэтил]амид морфолин-4-карбоновой кислоты и любые их смеси, рацемические они или нет.
Термин “производное кетона” означает производное, содержащее фрагмент -C(O)-. Например, для 2-ацетоксиазетидин-3-ила, “производным карбоциклического кетона” должен быть 2-ацетокси-4-оксоазетидин-3-ил.
Термин “нитро” означает радикал -NO2.
Термин “возможно” или “необязательно” означает, что описываемое далее событие или обстоятельства могут наблюдаться, а могут и не наблюдаться, и что описание включает случаи, когда событие или обстоятельства наблюдаются, и случаи, когда они не наблюдаются. Например, фраза “где R3 и R4 в любой алициклической или ароматической кольцевой системе могут быть замещены, кроме того, 1-5 радикалами” означает, что R3 и R4 замещены они или нет, входят в объем настоящего изобретения.
Термин “оксоалкил” означает алкил, как определено выше, где один из указанного числа атомов углерода заменяют группой кислорода (-O-), например, оксо(C2-6)алкил включает метоксиметил и т.д.
Термин “N-оксидные производные” означает производные соединения формулы I, в которых атомы азота находятся в окисленном состоянии (т.е. O-N) и которые обладают нужной фармакологической активностью.
Термин “патология” заболевания относится к идиопатическому природному, вызванному и развивающемуся заболеванию, а также к структурным и функциональным изменениям, причиной которых является развитие заболевания.
Термин “фармацевтически приемлемый” означает, возможность использования при получении фармацевтической композиции, которая совершенно безопасна, нетоксична и не является нежелательной ни с биологической, ни с других точек зрения, и подразумевается возможность применения в ветеринарии, а также для фармацевтического применения в медицине.
Термин “фармацевтически приемлемые соли” означает соли соединения формулы I, которые фармацевтически приемлемы, как указано выше, и которые обладают нужной фармакологической активностью. Такие соли включают соли присоединения кислот, образованные с неорганическими кислотами, такими как хлористоводородная кислота, бромистоводородная кислота, серная кислота, азотная кислота, фосфорная кислота и т.п.; или с органическими кислотами, такими как уксусная кислота, пропионовая кислота, гексановая кислота, гептановая кислота, циклопентанпропионовая кислота, гликолевая кислота, пировиноградная кислота, молочная кислота, малоновая кислота, янтарная кислота, яблочная кислота, малеиновая кислота, фумаровая кислота, винная кислота, лимонная кислота, бензойная кислота, орто(4-гидроксибензоил)бензойная кислота, коричная кислота, миндальная кислота, метансульфоновая кислота, этансульфоновая кислота, 1,2-этандисульфоновая кислота, 2-гидроксиэтансульфоновая кислота, бензолсульфоновая кислота, парахлорбензолсульфоновая кислота, 2-нафталинсульфоновая кислота, паратолуолсульфоновая кислота, камфорсульфоновая кислота, 4-метилбицикло[2.2.2]окт-2-ен-1-карбоновая кислота, глюкогептоновая кислота, 4,4′-метиленбис(3-гидрокси-2-ен-1-карбоновая кислота), 3-фенилпропионовая кислота, триметилуксусная кислота, трет-бутилуксусная кислота, лаурилсерная кислота, глюконовая кислота, глутамовая кислота, гидроксинафтойная кислота, салициловая кислота, стеариновая кислота, муконовая кислота и т.п.
Фармацевтически приемлемые соли также включают соли присоединения оснований, которые могут образоваться при наличии кислотных протонов, которые способны реагировать с неорганическими или органическими основаниями. Приемлемые неорганические основания включают гидроксид натрия, карбонат натрия, гидроксид калия, гидроксид алюминия и гидроксид кальция. Приемлемые органические основания включают этаноламин, диэтаноламин, триэтаноламин, трометамин, N-метилглюкамин и т.п.
Термин “пролекарство” означает соединение, которое претерпевает превращения in vivo в результате метаболизма (например, в результате гидролиза) в соединение формулы I. Например, сложный эфир соединения формулы I, содержащий гидроксигруппу, в результате гидролиза может превратиться in vivo в родственную молекулу. Альтернативно сложный эфир соединения формулы I, содержащий карбоксигруппу, может превратиться в результате гидролиза in vivo в предшествующую молекулу. Подходящими сложными эфирами соединения формулы I, содержащими гидроксигруппу, являются, например, ацетаты, цитраты, лактаты, тартраты, малонаты, оксалаты, салицилаты, пропионаты, сукцинаты, фумараты, малеаты, метилен-бис-b-гидроксинафтоаты, гентизаты, изотианаты, дипаратолуолтартраты, метансульфонаты, этансульфонаты, бензолсульфонаты, паратолуолсульфонаты, циклогексилсульфаматы и хинаты. Подходящими сложными эфирами соединений формулы I, содержащими карбоксигруппу, являются, например, эфиры, описанные F.J.Leinweber, в Drug Metab. Res., 1987, 18, page 379. Особенно полезный класс сложных эфиров соединений формулы I, содержащих гидроксигруппу, может быть образован из кислотных фрагментов, выбранных из тех, которые описаны у Bundgaard et al., J. Med. Chem., 1989, 32, page 2503-2507, и включают замещенные (аминометил)бензоаты, например, диалкиламинометилбензоаты, в которых две алкильные группы могут быть объединены вместе и/или могут прерываться атомом кислорода или необязательно замещенным атомом азота, например, алкилированным атомом азота, более предпочтительно (морфолинометил)бензоаты, например, 3- или 4-(морфолинометил)бензоаты, и (4-алкилпиперазин-1-ил)бензоаты, например, 3- или 4-(4-алкилпиперазин-1-ил)бензоаты.
Термин “защищенные производные” означает производные соединения формулы I, в которых реакционно-способный сайт или сайты блокированы защитными группами. Защищенные производные соединения формулы I полезны при получении соединений формулы I или сами по себе они могут быть активными ингибиторами катепсина S. Исчерпывающий список подходящих защитных групп можно найти у T.W. Greene, Protective Groups in Organic Synthesis, 3rd edition, John Wiley & Sons, Inc. 1999.
Термин “терапевтически эффективное количество” означает такое количество, которое, будучи введено животному для лечения заболевания, оказывается достаточным для осуществления такого лечения заболевания.
Термин “тиокетонное производное” означает производное, содержащее фрагмент -C(S)-.
Термин “обработка” или “лечение” означает любое введение соединения настоящего изобретения и включает:
(1) профилактику заболевания у животного, которое может быть предрасположено к такому заболеванию, но до сих пор не испытывает или не проявляет патологии или симптоматики такого заболевания,
(2) ингибирование заболевания у животного, которое испытывает или проявляет патологию или симптомы такого заболевания (т.e., остановку дальнейшего развития патологии и/или симптомматики), или
(3) облегчение заболевания у животного, которое испытывает или проявляет патологию или симптоматику такого заболевания (т.e., ослабление патологии и/или симптоматики).
Соединения формулы I, промежуточные соединения и исходные вещества, используемые при их получении, названы в соответствии с правилами номенклатуры IUPAC, где характеристические группы обладают уменьшающимся приоритетом для цитирования, как основные группы, в следующем порядке: кислоты, сложные эфиры, амиды и т.д. Альтернативно, соединения названы в соответствии с AutoNom 4.0 (Beilstein Information Systems, Inc.). Например, соединение формулы I, где R3 представляет фенил, R4 представляет морфолин-4-карбонил и X3 представляет 1-бензоил-4-оксопирролидин-3-иламино; то есть, соединение формулы:

называется [1-(1-бензоил-4-оксопирролидин-3-илкарбамоил)-2-фенилметансульфонилэтил]амид морфолин-4-карбоновой кислоты.
Хотя наиболее широкие определения представлены выше, некоторые аспекты настоящего изобретения предпочтительны. Например, предпочтительны соединения формулы I, где X1 и X2 оба представляют метилен, или X1 представляет этилен, а X2 представляет связь; R3 представляет -CR5=CHR6, -CR5(CR6 3)2 или -CR7=NR8, где R5 представляет водород и R6 представляет водород или (C1-4)алкил, или R5 и R6 вместе с атомами, к которым присоединены R5 и R6, образуют (C3-12)циклоалкенил, (C6-12)арил, гетеро(C6-12)арил или (C9-12)бициклоарил, и R7 и R8 вместе с атомами, к которым присоединены R7 и R8, образуют гетеро(C5-12)циклоалкенил или гетеро(C6-12)арил, где R3 необязательно замещен 1-5 радикалами, независимо выбранными из группы, состоящей из (C1-4)алкила, циано, галогена, галогензамещенного (C1-4)алкила, -X4OR9 и -X4C(O)OR9, где X4 представляет связь или (C1-2)алкилен, R9 в каждом случае независимо представляет (C1-3)алкил или галогензамещенный (C1-3)алкил; R4 представляет -C(O)X5R11 или -S(O)2X5R11, где X5 представляет связь, -O- или -NR12-, где R12 представляет водород или (C1-6)алкил, и R11 представляет
(i) (C1-6)алкил или
(ii) гетеро(C5-12)циклоалкил(C0-3)алкил, (C6-12)арил(C0-3)алкил, гетеро(C5-12)арил(C0-3)алкил, (C9-12)бициклоарил(C0-3)алкил или гетеро(C8-12)бициклоарил(C0-3)алкил, или
(iii) гетеро(C5-6)циклоалкил(C0-3)алкил, фенил(C0-3)алкил, замещенный -X6OR15, -X6С(О)R15 или -Х6NR16 С(О)OR16, где X6 представляет связь или метилен, R15 представляет фенил(C0-3)алкил или гетеро(C5-6)арил(C0-3)алкил и R16 представляет водород или (C1-6)алкил;
где R4 необязательно содержит, кроме того, 1-5 заместителей, которые, находясь в алициклической или ароматической кольцевой системе, представляют собой радикалы, независимо выбранные из группы, состоящей из (C1-6)алкила, галогена, -Х6NR17R17, -X6OR17, -X6C(O)OR17, -X6NC(O)R16 и -X6С(O)R18; R17 в каждом случае независимо представляет водород, (C1-6)алкил или галогензамещенный (C1-3)алкил и R18 представляет (C1-6)алкил или галогензамещенный (C1-3)алкил.
В частности, X3 представляет группу формулы (a), (b) или (c), где n представляет 0, 1 или 2;
R20 выбран из группы, состоящей из водорода и (C1-6)алкила;
R21 выбран из группы, состоящей из (C1-9)алкила, (C6-12)арил(C0-6)алкила, -C(О)R26, -S(O)2R26, -C(O)OR26 и -C(O)N(R26)R27;
R23 выбран из (C1-6)алкила, необязательно замещенного амино, -NHC(O)R15 или -R15, где R15 имеет указанные выше значения;
R25 выбран из (C1-6)алкила, (C6-12)арил(C0-6)алкила, -X4S(O)2R26 или -X4C(O)R17NR17C(O)R17, где R17 и X4 имеют указанные выше значения; и
R26 выбран из группы, состоящей из (C1-6)алкила, гетеро(C5-12)циклоалкил(C0-6)алкила, (C6-12)арил(C0-6)алкила, гетеро(C5-12)арил(C0-6)алкила и (C9-12)бициклоарил(C0-3)алкила;
R27 представляет (C1-6)алкил;
где X3 необязательно содержит, кроме того, 1-5 заместителей, которые, находясь в алициклической или в ароматической кольцевой системе, представляют собой радикалы, независимо выбранные из группы, состоящей из (C1-6)алкила, циано, галогена, -Х6OR17, -Х6С(О)R17 и -Х6OR15.
R3 более предпочтительно выбран из группы, включающей фенил, пиридин-2-ил, пиридин-3-ил, пиридин-4-ил, винил, 2-дифторметоксифенил, 1-оксипиридин-2-ил, 4-метоксифенил, 4-метилфенил, 2-метилфенил, 4-хлорфенил, 3,5-диметилфенил, 4-трифторметилфенил, 4-трифторметоксифенил, 2-бромфенил, нафталин-2-ил, 3,4-дихлорфенил, 3-метилфенил, 3-трифторметилфенил, 3-трифторметоксифенил, 2,3,4,5,6-пентафторфенил, 2-фторфенил, 2-хлорфенил, 2-цианофенил, 2-трифторметилфенил, 4-трет-бутилфенил, 3-хлорфенил, 4-бромфенил, 2-фтор-3-хлорфенил, 2-фтор-3-метилфенил, 3-фторфенил, 2,5-дифторфенил, 3-бромфенил, 2,5-дихлорфенил, 2,6-дифторфенил, 3-цианофенил, 4-цианофенил, 2-трифторметоксифенил, 2,3-дифторфенил, бифенил, 2-бром-5-фторфенил, 4-фторфенил, 3,4-дифторфенил, 2,4-дифторфенил, 2,4,6-трифторфенил, 2,4,5-трифторфенил, 2,3,4-трифторфенил, 2-хлор-5-трифторметилфенил, 2,4-бистрифторметилфенил, 2,5,6-трифторфенил, 2-фтор-3-трифторметилфенил, 2-фтор-4-трифторметилфенил, 2-фтор-5-трифторметилфенил, 2,3,5-трифторфенил, 2-фтор-5-трифторметилфенил, 5-фтор-2-трифторметилфенил, 4-фтор-3-трифторметилфенил, 2-метоксифенил, 3,5-бистрифторметилфенил, 4-дифторметоксифенил, 3-дифторметоксифенил, 2,6-дихлорфенил, 4-карбоксифенил, циклогексил, циклопропил, изопропил, тиофен-2-ил, 5-хлортиофен-2-ил и 3,5-диметилизоксазол-4-ил.
R4 более предпочтительно выбран из группы, включающей бензоил, морфолин-4-карбонил, ацетил, фуран-3-карбонил, 2-метоксибензоил, 3-метоксибензоил, нафталин-2-карбонил, бензо[1,3]диоксол-5-карбонил, 3-пиридин-3-илакрилоил, бензофуран-2-карбонил, фуран-2-карбонил, трет-бутоксикарбонил, бифенил-4-карбонил, хинолин-2-карбонил, хинолин-3-карбонил, 3-ацетилбензоил, 4-феноксибензоил, 3-гидроксибензоил, 4-гидроксибензоил, пиридин-3-карбонил, 3-(трет-бутоксикарбониламинометилбензоил), трет-бутиловый эфир 4-карбонилпиперазин-1-карбоновой кислоты, этиловый эфир 4-карбонилпиперазин-1-карбоновой кислоты, 4-(фуран-2-карбонил)пиперазин-1-карбонил, пиридин-4-карбонил, 1-оксипиридин-4-карбонил, 1-оксипиридин-3-карбонил, тиофен-2-карбонил, тиофен-3-карбонил, 4-бензоилбензоил, 5-метилтиофен-2-карбонил, 3-хлортиофен-2-карбонил, 3-бромтиофен-2-карбонил, 4-хлорбензоил, 3-фтор-4-метоксибензоил, 4-метоксибензоил, 4-трифторметоксибензоил, 3,4-дифторбензоил, 4-фторбензоил, 3,4-дифторбензоил, 3-метилбензоил, 4-бромбензоил, 4-трифторметилбензоил, 3-бензоилбензоил, циклопентанкарбонил, бензо[b]тиофен-2-карбонил, 3-хлорбензо[b]тиофен-2-карбонил, бензолсульфонил, нафталин-2-сульфонил, 5-метилтиофен-2-сульфонил, тиофен-2-сульфонил, формамилметиловый сложный эфир, 4-метилпентаноил, формамилизобутиловый сложный эфир, формамилмоноаллиловый сложный эфир, формамилизопропиловый сложный эфир, N,N-диметилформамил, N-изопропилформамил, N-пиридин-4-илформамил, N-пиридин-3-илформамил, 3-фенилакрилоил, 1H-индол-5-карбонил, пиридин-2-карбонил, пиразин-2-карбонил, 3-гидроксипиридин-2-карбонил, 2-аминопиридин-3-карбонил, 2-гидроксипиридин-3-карбонил, 6-аминопиридин-3-карбонил, 6-гидроксипиридин-3-карбонил, пиридазин-4-карбонил, 3-феноксибензоил и 1-оксо-1,3-дигидроизоиндол-2-карбонил.
X3 более предпочтительно выбран из группы, включающей бензиловый эфир 4-амино-3-оксоазепан-1-карбоновой кислоты,
изобутиловый эфир 4-амино-3-оксоазепан-1-карбоновой кислоты,
4-амино-1-бензоилазепан-3-он,
4-амино-1-бензолсульфонилазепан-3-он,
4-амино-1-(пиридин-2-сульфонил)азепан-3-он,
4-амино-1-(1-оксипиридин-2-сульфонил)азепан-3-он,
4-амино-1-(3,4-дихлорбензолсульфонил)азепан-3-он,
4-амино-1-(2-фторбензолсульфонил)азепан-3-он,
4-амино-1-(3,4-диметоксибензолсульфонил)азепан-3-он,
4-амино-1-(2-цианобензолсульфонил)азепан-3-он,
4-амино-1-(нафталин-1-сульфонил)азепан-3-он,
4-амино-1-(тиофен-2-сульфонил)азепан-3-он,
4-амино-1-(тиазол-2-сульфонил)азепан-3-он,
4-амино-1-(пирролидин-1-сульфонил)азепан-3-он,
4-амино-1-метансульфонилазепан-3-он,
4-амино-1-(пирролидин-1-карбонил)азепан-3-он,
диметиламид 4-амино-3-оксоазепан-1-карбоновой кислоты,
бензиламид 4-амино-3-оксоазепан-1-карбоновой кислоты,
4-амино-1-бензилазепан-3-он, 4-амино-1-бензилпиперидин-3-он,
4-амино-1-бензоилпиперидин-3-он,
4-амино-1-бензоилпирролидин-3-он,
4-амино-1-бензилпирролидин-3-он,
4-амино-1-бензолсульфонилпирролидин-3-он,
4-амино-1-(5-метилгексил)пирролидин-3-он,
1-этил-2-оксо-3-(толуол-4-сульфониламино)бутиламино,
1-этил-2-оксо-3-(4-феноксибензолсульфониламино)пропиламино,
1-этил-2-оксо-3-[4-(пиридин-3-илокси)бензолсульфониламино]пропиламино,
3-(дибензофуран-2-сульфониламино)-1-этил-2-оксобутиламино,
1-этил-3-[4-метил-2-(4-метилпентаноиламино)пентаноиламино]-2-оксопропиламино,
5-амино-1-[(4-метоксифенилсульфамоил)метил]пентиламино,
5-бензилоксикарбониламино-1-[(4-метоксифенилсульфамоил)метил]пентиламино,
1-[(4-метоксифенилсульфамоил)метил]-3-фенилпропиламино,
1-{[4-(1-гидроксиэтил)фенилсульфамоил]метил}-3-фенилпропиламино,
1-[(4-ацетилфенилсульфамоил)метил]-3-фенилпропиламино,
1-[(4-гидроксифенилсульфамоил)метил]-3-фенилпропиламино и
3-фенил-1-[(2-фениламиноэтилсульфамоил)метил]пропиламино;
и их N-оксидные производные, пролекарственные производные, защищенные производные, индивидуальные изомеры и смеси данных изомеров; и фармацевтически приемлемые соли и сольваты таких соединений и N-оксидных производных, пролекарственных производных, защищенных производных, индивидуальных изомеров и смесей данных изомеров.
Подразумевается, что ссылки на предпочтительные варианты, представленные выше, включают все комбинации конкретных и предпочтительных групп.
Конкретные соединения настоящего изобретения можно получить, осуществляя присоединение атома углерода C* одного из фрагментов (A1 до A72), представленных в таблице 1, к атому азота (*N) одного из фрагментов (В1-В80), представленных в таблице 2, и осуществляя присоединение метинового атома углерода (CH*) одного из фрагментов (В1-В80), представленных в таблице 2, к ацильному атому углерода (С*) одного из фрагментов (С1-С37), представленных в таблице 3.
Таблица 1




Таблица 2






Таблица 3



Соединения настоящего изобретения являются селективными ингибиторами катепсина S и, как таковые, полезны при лечении заболеваний, при которых активность катепсина S вносит свой вклад в патологию и/или симптоматику заболевания. Например, соединения настоящего изобретения полезны при лечении автоиммунных заболеваний, включая, но, не ограничиваясь ими, ювенильный диабет, рассеянный склероз, пузырчатку вульгарную, болезнь Грейвса, псевдопаралитическую миастению, красную волчанку, ревматоидный артрит и тироидоз Хашимото, аллергические заболевания, включая, но не ограничиваясь, астму, и аллергические иммунные реакции, включая, но, не ограничиваясь ими, случаи трансплантации органов или пересадки тканей.
Катепсин S участвует также в заболеваниях, включающих избыточный эластолиз, таких как хронические обструктивные болезни легких (например, эмфизему), бронхиолит, избыточный эластолиз дыхательных путей при астме и бронхите, пневмонии и сердечно-сосудистые заболевания, такие как отрыв бляшек и атерома. Катепсин S участвует в образовании фибрил, и поэтому ингибирование катепсина S можно использовать при лечении системного амилоидоза.
Активности соединений настоящего изобретения в отношении активности ингибирования цистеинпротеазы можно определить способами, известными специалистам в данной области. Известны подходящие in vitro анализы для измерения активности протеазы и ее ингибирования тестируемыми соединениями. Обычно, в анализе измеряют степень индуцируемого протеазой гидролиза субстрата на основе пептидов. Подробности анализа для определения активности ингибирования протеазы представлены ниже в примерах 14-17.
Обычно, соединения формулы I вводят в терапевтически эффективных количествах любым из обычных и приемлемых способов, известных в данной области, либо отдельно, либо в комбинации с одним или несколькими терапевтическими агентами. Терапевтически эффективное количество может меняться в широких пределах в зависимости от тяжести заболевания, возраста и относительного здоровья пациента, эффективности используемого соединения и других факторов. Например, терапевтически эффективные количества соединения формулы I могут меняться в интервале от около 1 микрограмма на килограмм массы тела (мкг/кг) в день до около 1 миллиграмма на килограмм массы тела (мг/кг) в день, обычно от около 10 мкг/кг/день до около 0,1 мг/кг/день. Поэтому терапевтически эффективное количество для пациента массой 80 кг может меняться в интервале от около 100 мкг/день до около 100 мг/день, обычно от около 1 мкг/день до около 10 мг/день. В общем, специалист в данной области, действуя в соответствии с собственными знаниями и описанием настоящего изобретения, сможет определить терапевтически эффективное количество соединения формулы I, необходимое при лечении конкретного заболевания.
Соединения формулы I можно вводить в форме фармацевтических композиций одним из следующих способов: перорально, системно (например, чрескожно, интраназально или используя суппозитории) или парентерально (например, внутримышечно, внутривенно или подкожно). Композиции могут быть в форме таблеток, пилюль, капсул полутвердых материалов, порошков, композиций с замедленным высвобождением активного вещества, растворов, суспензий, эликсиров, аэрозолей и других подходящих композиций, которые обычно состоят из соединения формулы I в комбинации с, по крайней мере, одним фармацевтически приемлемым эксципиентом. Приемлемые эксципиенты являются нетоксичными, способствуют введению и не оказывают вредного воздействия на терапевтический эффект активного ингредиента. Такими эксципиентами могут быть любые твердые, жидкие, полутвердые или, в случае аэрозольных композиций, газообразные эксципиенты, которые обычно доступны специалистам в данной области.
Твердые фармацевтические эксципиенты включают крахмал, целлюлозу, тальк, глюкозу, лактозу, сахарозу, желатин, солод, рис, муку, мел, силикагель, стеарат магния, стеарат натрия, моностеарат глицерина, хлорид натрия, сухое снятое молоко и т.п. Жидкие и полутвердые эксципиенты можно выбрать из воды, этанола, глицерина, пропиленгликоля и различных масел, включая нефтяные, животные, растительные или синтетические масла (например, арахисовое масло, соевое масло, минеральное масло, кунжутное масло и т.п.). Предпочтительные жидкие носители, в частности, для растворов для инъекций, включают воду, солевой раствор, водную декстрозу и гликоли.
Количества соединения формулы I в композиции могут широко меняться в зависимости от типа композиции, размера единичной дозы, типа эксципиентов и других факторов, известных специалистам в области фармацевтики. В общем, композиция соединения формулы I для лечения конкретного заболевания должна включать от 0,01 мас.% до 10 мас.%, предпочтительно, от 0,3 мас.% до 1 мас.% активного ингредиента, причем остальное будет составлять эксципиент или эксципиенты. Предпочтительно фармацевтическую композицию вводят в форме разовой единичной дозы для непрерывного лечения или в форме разовой единичной дозы на выбор, когда конкретно необходимо достичь ослабления симптомов. Репрезентативные фармацевтические композиции, содержащие соединение формулы I, раскрыты в примере 10 ниже.
Способы получения соединения формулы I:
Соединения настоящего изобретения можно получить, по изложенным в данном описании или адаптированным известным способам, под которыми подразумевают способы, которые использовали до сих пор, или способы, описанные в литературе, например, описанные R.C. Larock в Comprehensive Organic Transformations, VCH publishers, 1989.
При осуществлении описываемых ниже реакций, может оказаться необходимым защитить реакционно-способные функциональные группы, например, гидрокси, амино, имино, тио или карбоксигруппы, присутствие которых необходимо в конечном продукте, чтобы избежать их нежелательного участия в реакциях. Обычные защитные группы можно использовать в соответствии с обычной практикой; для примера см. T.W. Greene and P. G. M Wuts in “Protective Groups in Organic Chemistry” John Wiley and Sons, 1991.
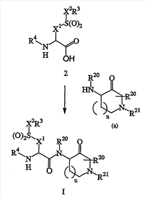
Соединения формулы I, где X3 представляет соединение формулы (a) (как определено выше в описании настоящего изобретения), можно получить в соответствии со схемой реакции 1:
Схема реакции 1

где каждый из X1, X2, R3, R4, R20 и R21 имеет значения, указанные для формулы I выше.
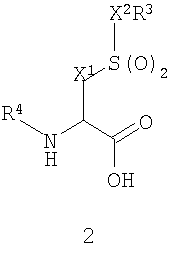
Соединения формулы I можно получить, конденсируя кислоту формулы 2 с аминосоединением формулы (a). Реакцию конденсации можно осуществить, используя соответствующий агент сочетания (например, гексафторфосфат бензотриазол-1-илокситриспирролидинофосфония PyBOP®), 1-(3-диметиламинопропил)-3-этилкарбодиимидгидрохлорид (EDCI), гексафторфосфат O-бензотриазол-1-ил-N,N,N’,N’-тетраметилурония (HBTU), 1,3-дициклогексилкарбодиимид (DCC) или т.п.), необязательно соответствующий катализатор (например, 1-гидроксибензотриазол (HOBt), 1-гидрокси-7-азабензотриазол (HOAt), гексафторфосфат O-(7-азабензотриазол-1-ил)-1,1,3,3-тетраметилурония (HATU) или т.п.) и ненуклеофильное основание (например, триэтиламин, N-метилморфолин и т.п. или любые подходящие их комбинации); при комнатной температуре и в течение 5-10 часов, требуемых для ее завершения.
Стадию окисления, при необходимости, можно осуществить, используя окисляющий агент (например, Oxone®, метахлорпербензойную кислоту или т.п.) в подходящем растворителе (например, метаноле, воде или т.п., или в любых подходящих их комбинациях) при комнатной температуре и в течение 16-24 часов, требуемых для ее завершения. Подробное описание синтеза соединения формулы I по способу, представленному на схеме реакции 1, приведено ниже в примерах 1-11.
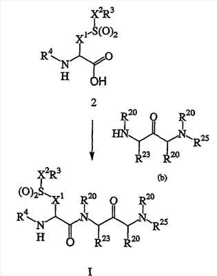
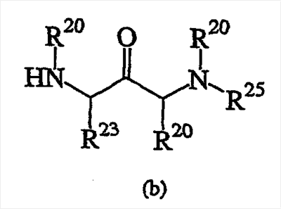
Соединения формулы I, где X3 представляет соединение формулы (b) (как определено выше), можно получить, используя следующую схему реакции 2:
Схема реакции 2

где каждый из X1, X2, R3, R4, R20, R23 и R25 имеет значения, указанные выше для формулы I.
Соединения формулы I можно получить, конденсируя кислоту формулы 2 с аминосоединением формулы (b). Реакцию конденсации можно осуществить, используя соответствующий агент сочетания (например, гексафторфосфат бензотриазол-1-илокситриспирролидинофосфония (PyBOP®), 1-(3-диметиламинопропил)-3-этилкарбодиимидгидрохлорид (EDCl), гексафторфосфат О-бензотриазол-1-ил-N,N,N’,N’-тетраметилурония (HBTU), 1,3-дициклогексилкарбодиимид (DCC) и т.п.), необязательно соответствующий катализатор (например, 1-гидроксибензотриазол (HOBt), 1-гидрокси-7-азабензотриазол(HOAt), гексафторфосфат O-(7-азабензотриазол-1-ил)-1,1,3,3-тетраметилурония (HATU) и т.п.) и не нуклеофильное основание (например, триэтиламин, N-метилморфолин и т.п., или любые подходящие их комбинации); при комнатной температуре и в течение 5-10 часов, требуемых для ее завершения.
Стадию окисления, при необходимости, можно осуществить, используя окисляющий агент (например, Oxone®, метахлорпербензойную кислоту и т.п.) в подходящем растворителе (например, метаноле, воде и т.п., или в любой подходящей их комбинации); при комнатной температуре и в течение 16-24 часов, требуемых для ее завершения.
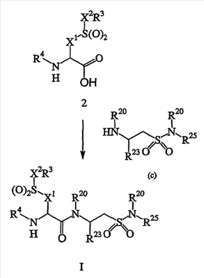
Соединения формулы I, где X3 представляет соединение формулы (c) (как определено выше), можно получить, взаимодействием соединения формулы 2 c соединением формулы (c) в соответствии со следующей схемой реакции:
Схема реакции 3

где каждый из X1, X2, R3, R4, R20, R23 и R25 имеет значения, указанные выше для формулы I.
Дополнительные способы получения соединений формулы I:
Соединение формулы I можно получить в виде фармацевтически приемлемой соли присоединения кислоты взаимодействием соединения в форме свободного основания с фармацевтически приемлемый неорганической или органической кислотой. Альтернативно, фармацевтически приемлемую соль присоединения основания соединения формулы I можно получить взаимодействием соединения в форме свободной кислоты с фармацевтически приемлемым неорганическим или органическим основанием. Неорганические и органические кислоты и основания, подходящие для получения фармацевтически приемлемых солей соединений формулы I, представлены выше при определении терминов, используемых в данном описании. Альтернативно, солевые формы соединения формулы I можно получить, используя соли исходных или промежуточных соединений.
Формы свободной кислоты или свободного основания соединения формулы I можно получить из соответствующей формы соли присоединения основания или присоединения кислоты. Например, соединение формулы I в форме соли присоединения кислоты можно превратить в соответствующее свободное основание, обрабатывая его подходящим основанием (например, раствором гидроксида аммония, гидроксида натрия и т.п.). Соединение формулы I в форме соли присоединения основания можно превратить в соответствующую свободную кислоту, обрабатывая его подходящей кислотой (например, хлористоводородной кислотой и т.д.).
N-оксиды соединения формулы I можно получить способами, известными специалистам в данной области. Например, N-оксиды можно получить, обрабатывая неокисленную форму соединения формулы I окисляющим агентом (например, трифторперуксусной кислотой, пермалеиновой кислотой, пербензойной кислотой, перуксусной кислотой, метахлорпероксибензойной кислотой или т.п.) в подходящем инертном органическом растворителе (например, галогенированном углеводороде, таком как дихлорметан) примерно при 0°С. Альтернативно, N-оксиды соединений формулы I можно получить из N-оксидов соответствующего исходного вещества.
Соединения формулы I в неокисленной форме можно получить из N-оксидов соединения формулы I, обрабатывая их восстанавливающим агентом (например, серой, диоксидом серы, трифенилфосфином, боргидридом лития, боргидридом натрия, трихлоридом фосфора, трибромидом фосфора или т.п.) в подходящем инертном органическом растворителе (например, ацетонитриле, этаноле, водном диоксане или т.п.) при температуре от 0 до 80°С.
Пролекарственные производные соединения формулы I можно получить обычными способами, известными специалистам в данной области (например, в отношении подробностей см. Saulnier et al. (1994), Bioorganic and Medicinal Chemistry Letters, Vol. 4, p. 1985). Например, соответствующие пролекарства можно получить взаимодействием предшествующего соединения формулы I с подходящим агентом карбамоилирования (например, 1,1-ацилоксиалкилкарбонхлоридатом, паранитрофенилкарбонатом или т.п.).
Защищенные производные соединений формулы I можно получить обычными способами, хорошо известными специалистам в данной области. Подробное описание методик, используемых для введения защитных групп и для их удаления, можно найти в T.W. Greene, Protecting Groups in Organic Synthesis, 3rd edition, John Wiley & Sons, Inc. 1999. Соединения настоящего изобретения могут быть удобно получены или образованы по способу настоящего изобретения в виде сольватов (например, гидратов). Гидраты соединений настоящего изобретения можно удобно получить перекристаллизацией из смеси водный/органический растворитель, используя органические растворители, такие как диоксан, тетрагидрофуран или метанол. Соединения формулы I можно получить в виде их индивидуальных стереоизомеров взаимодействием рацемической смеси соединения с оптически активным разделяющим агентом с образованием пары диастереоизомерных соединений, разделением диастереоизомеры и выделением оптически чистых энантиомеров. Хотя разделение энантиомеров можно осуществить, используя ковалентные диастереомерные производные соединения формулы I, предпочтительны диссоциирующие комплексы (например, кристаллические диастереоизомерные соли). Диастереоизомеры обладают различными физическими свойствами (например, точками плавления, точками кипения, растворимостью, реакционно-способностью и т.д.), и их можно легко разделить, используя преимущества их различий. Диастереоизомеры можно разделить хроматографией или, предпочтительно, методами выделения/разделения, основанными на различиях в растворимости. Затем выделяют оптически чистый энантиомер вместе с разделяющим агентом, используя любые практические средства, которые не приводят к рацемизации. Более подробное описание используемых методик для выделения стереоизомерных соединений из их рацемических смесей можно найти у Jean Jacues Andre Collet, Samuel H.Wilen, Enantiomers, Racemates and Resolutions, John Wiley & Sons, Inc. (1981).
Итак, соединения формулы I получают способом, который включает:
(А) взаимодействие соединения формулы 2:

с соединением формулы (а):

где Х1, Х2, R3, R4, R20 и R21 имеют значения, указанные выше для формулы I;
или
(В) взаимодействие соединения формулы 2 с соединением формулы (b):

где R20, R23 и R25 имеют значения, указанные выше для формулы I; или
(C) взаимодействие соединения формулы 2 с соединением формулы (c):

где R20, R23 и R25 имеют значения, указанные выше для формулы I; и
(D) необязательно превращая соединение формулы I в фармацевтически приемлемую соль;
(E) необязательно превращая соединение формулы I в форме соли в несолевую форму;
(F) необязательно превращая неокисленную форму соединения формулы I в фармацевтически приемлемый N-оксид;
(G) необязательно превращая N-оксидную форму соединения формулы I в его неокисленную форму;
(H) необязательно выделяя индивидуальные изомеры соединения формулы I из смеси изомеров;
(I) необязательно превращая исходную форму соединения формулы I в фармацевтическое пролекарственное производное; и
(J) необязательно превращая пролекарственное производное соединения формулы I в его исходную форму.
Примеры:
Далее настоящее изобретение разъясняется, но не ограничивается ими, следующими примерами, которые иллюстрируют получение соединений формулы I (примеры) и промежуточных соединений (сравнительные примеры) в соответствии с настоящим изобретением.
Сравнительный пример 1
Трет-бутиловый эфир 3-амино-4-гидроксипирролидин-1-карбоновой кислоты
Трет-бутиловый эфир 6-окса-3-азабицикло[3.1.0]-гексан-3-карбоновой кислоты (12,1 г, 65,3 ммоль) растворяют в смеси 8:1 метанол/вода (108 мл). Добавляют хлорид аммония (15 г) и азид натрия (21,4 г, 329 ммоль) и смесь нагревают при 60°С в течение ночи. После разбавления эфиром (500 мл) смесь промывают насыщенным водным NaHCO3 (200 мл) и насыщенным раствором соли (200 мл), сушат над MgSO4 и выпаривают в вакууме. Неочищенный продукт растворяют в метаноле (200 мл). Добавляют 10% палладий-на-активированном угле (1,5 г) и смесь перемешивают при комнатной температуре в атмосфере водорода до тех пор, пока по данным ТСХ анализа не подтверждается исчезновение исходного вещества. Смесь фильтруют через слой целита и выпаривают досуха в вакууме. Продукт очищают флэш-хроматографией на силикагеле. Элюент: 5% метанол в этилацетате до 20% метанола, 3% триэтиламин в этилацетате. Выход: 4,3 г трет-бутилового эфира 3-амино-4-гидроксипирролидин-1-карбоновой кислоты в виде желтоватого твердого вещества.
Сравнительный пример 2
Бензиловый эфир 4-амино-3-гидроксиазепан-1-карбоновой кислоты
Гидрид натрия (60% в минеральном масле, 10 г, 250 ммоль) суспендируют в сухом ДМФ. По каплям при комнатной температуре добавляют бензиловый эфир аллилкарбаминовой кислоты (19,1 г, 100 ммоль). После перемешивания в течение 5 мин по каплям добавляют 5-бром-1-пентен (25 г, 168 ммоль). Перемешивание продолжают при 50°С в течение 1 час. Реакционную смесь гасят водой и затем распределяют между диэтиловым эфиром и водой. Эфирный слой промывают водой и насыщенным раствором соли, сушат над MgSO4 и выпаривают в вакууме. Используя флэш-хроматографию (этилацетат/гексан 1:9), получают бензиловый эфир аллилпент-4-енилкарбаминовой кислоты (15,5 г).
Бензиловый эфир аллилпент-4-енилкарбаминовой кислоты (15,5 г, 59,8 ммоль) растворяют в дихлорметане и добавляют бис(трициклогексилфосфин)бензилидендихлорид рутения(IV) (1 г). Смесь кипятят с обратным холодильником в атмосфере азота до тех пор, пока данные ТСХ не свидетельствуют о завершении реакции. Растворитель выпаривают в вакууме, остаток очищают флэш-хроматографией (этилацетат/гексан 1:9), получая бензиловый эфир 2,3,4,7-тетрагидроазепин-1-карбоновой кислоты (7,8 г).
К раствору бензилового эфира 2,3,4,7-тетрагидроазепин-1-карбоновой кислоты (4,5 г, 19,45 ммоль) в дихлорметане (50 мл) добавляют метахлорпербензойную кислоту (60 ммоль). Смесь перемешивают при комнатной температуре в течение 16 час. Добавляют насыщенный водный раствор K2CO3 и смесь экстрагируют дихлорметаном. Объединенные органические слои промывают насыщенным водным NaHCO3 и насыщенным раствором соли, сушат над MgSO4 и выпаривают в вакууме. Неочищенный эпоксид растворяют в смеси 8:1 метанол/вода (100 мл). Добавляют хлорид аммония (3,2 г, 60 ммоль) и азид натрия (3,9 г, 60 ммоль) и смесь нагревают при 60°С в течение 48 час. Большую часть растворителя удаляют в вакууме. Остаток экстрагируют этилацетатом. Объединенные органические слои промывают насыщенным водным NaHCO3 (200 мл) и насыщенным раствором соли (200 мл), сушат над MgSO4 и выпаривают в вакууме. В результате флэш-хроматографии остатка (гексан/этилацетат 3:1) получают бензиловый эфир 4-азидо-3-гидроксиазепан-1-карбоновой кислоты (3,3 г).
К раствору бензилового эфира 4-азидо-3-гидроксиазепан-1-карбоновой кислоты (3,3 г, 11,37 ммоль) в метаноле (50 мл) добавляют триэтиламин (5 мл) и 1,3-пропандитиол (3,42 мл, 35 ммоль). Смесь перемешивают при комнатной температуре до тех пор, пока результаты анализа по данным ТСХ не свидетельствуют о полном расходовании исходного вещества. Белый осадок удаляют фильтрованием и фильтрат выпаривают досуха. Остаток растирают со смесью 1:1 гексан/диэтиловый эфир для удаления избытка дитиола и сушат в вакууме, получая бензиловый эфир 4-амино-3-гидроксиазепан-1-карбоновой кислоты.
Сравнительный пример 3
Гидрохлорид 2S-амино-N-(4-метоксифенил)-4-фенилбутан-1-сульфонамида
Раствор, содержащий неочищенный трет-бутил 1-(4-метоксифенилсульфамоилметил)-3-фенилпропилкарбамат (1,92 г, 4,42 ммоль), полученный в сравнительном примере 2, в DCM (10 мл) обрабатывают 4M раствором хлористого водорода в диоксане (11 мл). Смесь перемешивают в течение 16 час при комнатной температуре и разбавляют диэтиловым эфиром. Полученный осадок собирают фильтрованием, промывают несколько раз диэтиловым эфиром и гексаном, сушат с подсосом и получают гидрохлорид 2S-амино-N-4-метоксифенил-4-фенилбутан-1-сульфонамида с количественным выходом.
1H ЯМР (ДМСО): 2,05 (2H, м); 2,6-2,7 (2H, м); 3,4 (3H, м*); 3,72 (3H, с); 6,9 (2H, д, J=7Гц); 7,25 (5H, м); 7,3 (2H, д, J=7Гц); 8,5 (шир.с); 10,0 (1H, с).
ПРИМЕР 1
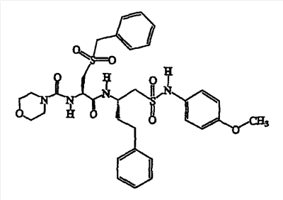
[1-(1-бензоил-4-оксопирролидин-3-илкарбамоил)-2-фенилметансульфонилэтил]амид морфолин-4-карбоновой кислоты
(Соединение 1)

Объединяют 2-[(морфолин-4-карбонил)амино]-3-фенилметансульфонилпропионовую кислоту (1 г, 2,8 ммоль), трет-бутиловый эфир 3-амино-4-гидроксипирролидин-1-карбоновой кислоты (700 мг, 3,46 ммоль), полученный по способу сравнительного примера 1, EDC (1,5 г, 7,8 ммоль, и HOBt (1,5 г, 9,6 ммоль). Добавляют дихлорметан (10 мл) и затем 4-метилморфолин (1,5 мл). Смесь перемешивают при комнатной температуре в течение 2 час. После разбавления этилацетатом (200 мл) раствор промывают насыщенным водным NaHCO3 (100 мл) и насыщенным раствором соли (100 мл), сушат над MgSO4 и выпаривают в вакууме. Трет-бутиловый эфир 3-гидрокси-4-{2-[(морфолин-4-карбонил)амино]-3-фенилметансульфонилпропиониламино}пирролидин-1-карбоновой кислоты (1,05 г, 1,94 ммоль) получают в виде желтоватой пены и растворяют в дихлорметане (6 мл). Добавляют трифторуксусную кислоту (6 мл), смесь перемешивают при комнатной температуре в течение 1 час. В результате выпаривания в вакууме получают неочищенный [1-(4-гидроксипирролидин-3-илкарбамоил)-2-фенилметансульфонилэтил]амид морфолин-4-карбоновой кислоты в виде соли ТФУК, которую используют без дальнейшей очистки.
ТФУК соль [1-(4-гидроксипирролидин-3-илкарбамоил)-2-фенилметансульфонилэтил]амида морфолин-4-карбоновой кислоты (215 мг, 0,39 ммоль) растворяют в 1,4-диоксане (20 мл). Добавляют насыщенный водный раствор NaHCO3 (10 мл), затем бензоилхлорид (0,2 мл, 1,72 ммоль). Смесь перемешивают при комнатной температуре в течение 1 часа и затем экстрагируют этилацетатом. Объединенные органические слои промывают насыщенным водным NaHCO3 и насыщенным раствором соли, сушат над MgSO4 и выпаривают в вакууме. Остаток очищают флэш-хроматографией на силикагеле (элюент: 5% метанол в этилацетате до 20% метанола в этилацетате), получая [1-(1-бензоил-4-гидроксипирролидин-3-илкарбамоил)-2-фенилметансульфонилэтил]амид морфолин-4-карбоновой кислоты (92 мг).
[1-(1-бензоил-4-гидроксипирролидин-3-илкарбамоил)-2-фенилметансульфонилэтил]амид морфолин-4-карбоновой кислоты (92 мг, 0,169 ммоль) растворяют в ДМСО (5 мл). Добавляют триэтиламин (0,5 мл) и затем комплекс SO3/пиридин (150 мг), смесь перемешивают при комнатной температуре в течение 3 час. После разбавления этилацетатом (100 мл) раствор промывают водой (50 мл) и насыщенным раствором соли, сушат над MgSO4 и выпаривают в вакууме. Остаток очищают флэш-хроматографией на силикагеле (элюент: 5% метанол в этилацетате), получая [1-(1-бензоил-4-гидроксипирролидин-3-илкарбамоил)-2-фенилметансульфонилэтил]амид морфолин-4-карбоновой кислоты в виде смеси диастереомеров (желтоватое твердое вещество; 38 мг);
1Н ЯМР: (ДМСО) 8,50-8,35 (м, 1H), 7,55-7,34 (м, 10H), 7,16-6,95 (м, 1H), 4,80-4,65 (м, 1H), 4,54-4,22 (м, 3H), 3,98-3,25 (м, 14H); МС: (M+H)+ 543.
ПРИМЕР 2
[1-(1-бензолсульфонил-4-оксопирролидин-3-илкарбамоил)-2-фенилметансульфонилэтил]амид морфолин-4-карбоновой кислоты
(Соединение 2)

[1-(1-бензоил-4-гидроксипирролидин-3-илкарбамоил)-2-фенилметансульфонилэтил]амид морфолин-4-карбоновой кислоты получают по способу примера 1, заменяя бензоилхлорид бензолсульфонилхлоридом.
1H ЯМР: (ДМСО) [8,35 (д, J=7,4Гц), 8,28 (д, J=7,6Гц), 1Н], 7,87-7,62 (м, 5H), 7,41-7,32 (м, 5H), 7,06-6,98 (м, 1Н), 4,72-4,60 (м, 1Н), 4,45 (с, 2H), 4,42-4,23 (м, 1Н), 3,92-3,79 (м, 2H), 3,55-3,20 (м, 11H), 3,06-2,97 (м, 1Н). МС: (M+H)+ 579.
ПРИМЕР 3
Бензиловый эфир 4-{2-[(морфолин-4-карбонил)амино]-3-фенилметансульфонилпропиониламино}-3-оксоазепан-1-карбоновой кислоты
(Соединение 3)

Объединяют неочищенный бензиловый эфир 4-амино-3-гидроксиазепан-1-карбоновой кислоты (150 мг, 0,57 ммоль), полученный по способу сравнительного примера 2, 2-[(морфолин-4-карбонил)амино]-3-фенилметансульфонилпропионоую кислоту (400 мг, 1,12 ммоль), EDC (400 мг, 2,1 ммоль) и HOBt (400 мг, 2,5 ммоль). Добавляют дихлорметан (10 мл), затем 4-метилморфолин (0,5 мл). Смесь перемешивают при комнатной температуре в течение 2 час. После разбавления этилацетатом (100 мл) раствор промывают 1н HCl, насыщенным водным NaHCO3 и насыщенным раствором соли, сушат над MgSO4 и выпаривают в вакууме. Остаток очищают флэш-хроматографией (этилацетат/метанол 9:1), получая бензиловый эфир 3-гидрокси-4-{2-[(морфолин-4-карбонил)амино]-3-фенилметансульфонилпропиониламино}азепан-1-карбоновой кислоты (320 мг).
Бензиловый эфир 3-гидрокси-4-{2-[(морфолин-4-карбонил)амино]-3-фенилметансульфонилпропиониламино}азепан-1-карбоновой кислоты (100 мг, 0,167 ммоль) растворяют в ДМСО (5 мл). Добавляют триэтиламин (0,3 мл), затем комплекс SO3/пиридин (150 мг) и смесь перемешивают при комнатной температуре в течение 3 час. После разбавления этилацетатом (100 мл) раствор промывают водой (50 мл) и насыщенным раствором соли, сушат над MgSO4 и выпаривают в вакууме. Остаток очищают флэш-хроматографией на силикагеле (элюент: 5% метанол в этилацетате) и получают бензиловый эфир 4-{2-[(морфолин-4-карбонил)амино]-3-фенилметансульфонилпропиониламино})-3-оксоазепан-1-карбоновой кислоты (75 мг);
1H ЯМР: (ДМСО) 8,23-8,08 (м, 1Н), 7,40-7,29 (м, 10H), 7,06-6,98 (м, 1Н), 5,20-5,09 (м, 2H), 4,79-4,65 (м, 1Н), 4,52-4,31 (м, 3H), 4,02-3,80 (м, 2H), 3,62-3,23 (м, 11H), 3,00-2,78 (м, 1Н), 1,88-1,55 (м, 4H); МС:(M+H)+ 601.
ПРИМЕР 4
[1-(3-бензолсульфониламино-2-оксопропилкарбамоил)-2-фенилметансульфонилэтил]амид морфолин-4-карбоновой кислоты
(Соединение 4)

ТФУК соль N-(3-амино-2-гидроксипропил)бензолсульфониламида получают по способу, представленному Renee L. DesJarlais et. Al. J. Am. Chem. Soc. 1998, 120, 9114-9115.
Объединяют 2-[(морфолин-4-карбонил)амино]-3-фенилметансульфонилпропионовую кислоту (50 мг, 0,14 ммоль), ТФУК соль N-(3-амино-2-гидроксипропил)бензолсульфонамида (60 мг, 0,17 ммоль), EDC (100 мг, 0,52 ммоль) и HOBt (100 мг, 0,64 ммоль). Добавляют ДМФА (3 мл) и затем 4-метилморфолин (0,3 мл). Смесь перемешивают при комнатной температуре в течение 3 часов. После разбавления этилацетатом (100 мл) раствор промывают 1н HCl, насыщенным водным NaHCO3 и насыщенным раствором соли, сушат над MgSO4 и выпаривают в вакууме. Остаток растворяют в ацетоне (5 мл). Добавляют реагент Джонса до тех пор, пока существует оранжевая окраска. Смесь перемешивают в течение 2 час, гасят изопропанолом и разбавляют этилацетатом (100 мл). Раствор промывают водой, насыщенным водным раствором NaHCO3 и насыщенным раствором соли, сушат над MgSO4 и выпаривают в вакууме. Неочищенный продукт перекристаллизовывают из смеси этилацетат/диэтиловый эфир, получая [1-(3-бензолсульфониламино-2-оксопропилкарбамоил)-2-фенилметансульфонилэтил]амид морфолин-4-карбоновой кислоты в виде белого твердого вещества (19 мг).
1H ЯМР: (ДМСО) 8,17 (т, J=5,7Гц, 1Н), 7,93 (т, J=5,9Гц, 1Н), 7,76-7,48 (м, 5H), 7,36-7,29 (м, 5H), 7,05 (д, J=8,1Гц, 1Н), 4,68-4,59 (м, 1Н), 4,45 (с, 2H), 3,89 (д, J=5,7Гц, 2H), 3,79-3,75 (м, 2H), 3,56-3,22 (м, 10H); МС: (M+H)+ 567.
ПРИМЕР 5
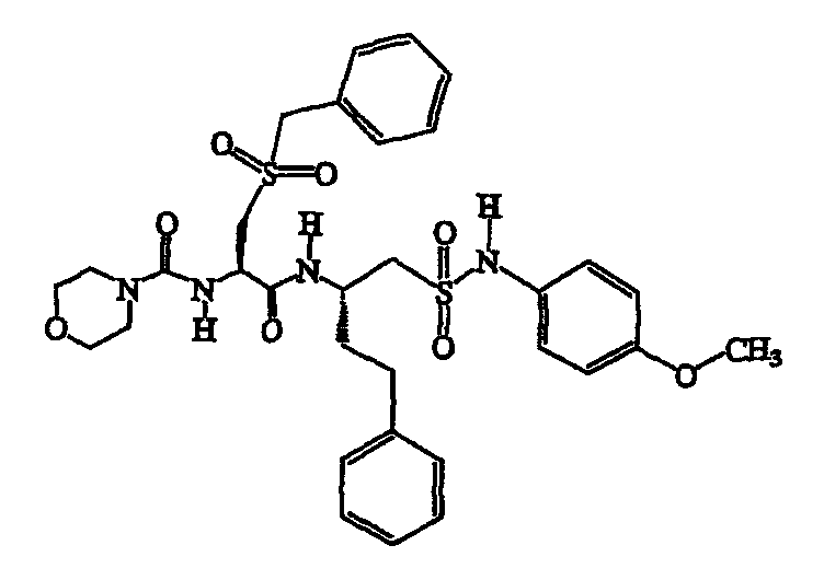
N-{1S-[1S-(4-метоксифенилсульфамоилметил)-3-фенилпропилкарбамоил]-2-бензилсульфонилэтил}морфолин-4-карбоксамид
(Соединение 7)

Смесь, состоящую из 2S-морфолин-4-карбониламино-3-бензилсульфонилпропионовой кислоты (0,194 г, 0,599 ммоль), гидрохлорида 2S-амино-N-(4-метоксифенил)-4-фенилбутан-1-сульфонамида (0,222 г, 0,599 ммоль), полученного по способу сравнительного примера 3, и HATU (0,228 г, 0,599 ммоль) в ДМФА (5 мл) обрабатывают 4-метилморфолином (0,198 г, 1,80 ммоль). Смесь перемешивают при комнатной температуре в течение примерно 12 час и затем распределяют между смесью 4:1:2:3 (всего 100 мл) этилацетат/ТГФ/вода/насыщенный раствор соли, соответственно. Органическую фазу выделяют и промывают насыщенным водным раствором бикарбоната натрия (30 мл), насыщенным раствором соли (30 мл), сушат над (MgSO4), фильтруют и концентрируют. Остаток растирают со смесью 5:1 эфир/этилацетат (100 мл), собирают фильтрованием, промывают эфиром (30 мл), гексаном (30 мл) и сушат с подсосом, получая N-{1S-[1S-(4-метоксифенилсульфамоилметил)-3-фенилпропилкарбамоил]-2-бензилсульфонилэтил}морфолин-4-карбоксамид.
ТСХ Rf (этилацетат): 0,65;
1H ЯМР (ДМСО): 1,74 (1Н, м); 1,92 (1Н, м); 2,39-2,61 (2H, м); 3,1-3,35 (2H, 2 x дд*); 3,34 (4H, м); 3,42-3,65 (6H, м*); 3,72 (3H, с); 4,24 (1H, м); 4,51 (2H, с); 4,61 (1Н, м); 6,88 (2H, д, J=9Гц); 7,1-7,34 (8H, м); 7,4 (5H, с); 8,12 (1Н, д, J=8,7Гц); МС (M+l): 673.
По способу примера 5 получают следующие соединения формулы I:
Гидробромид N-{1S-[5-амино-1S-(4-метоксифенилсульфамоилметил)пентилкарбамоил}-2-бензилсульфонилэтилморфолин-4-карбоксамида (Соединение 5)1H ЯМР (ДМСО): 1,15-1,73 (6H, м*); 2,71 (2H, м); 3,05-3,25 (2H, 2 x дд); 3,37 (4H, м); 3,45-3,6 (6H, м*); 3,72 (3H, с); 4,21 (1Н, м); 4,49 (2H, дд); 4,5 (1Н, м*); 6,89 (2H, д, J=8,9Гц); 7,09 (1Н, м*); 7,15 (2H, д, J=8,9Гц); 7,39 (5H, с); 7,73 (3H, шир.с); 8,03 (1Н, д, J=8,6Гц); 9,47 (1Н, с); МС (M+l): 640, свободное основание); и
Бензил 6-(4-метоксифенилсульфамоил)-5S-(2S-морфолин-4-илкарбониламино-3-бензилсульфонилпропиониламино)гексилкарбамат (Соединение 6); ТСХ Rf (этилацетат): 0,3;
1H ЯМР (ДМСО): 1,1-1,65 (6H, м); 2,94 (2H, кв, J=6Гц); 3,05-3,22 (2H, 2 x дд); 3,34 (4H, м*); 3,35-3,59 (2H, м*); 3,53 (4H, шир.с); 3,71 (3H, с); 4,19 (1Н, м*); 4,53 (2H, дд, J=15Гц); 4,57 (1Н, м*); 5,00 (2H, с); 6,89 (2H, д, J=8,4Гц); 7,05 (1Н, д, J=8Гц); 7,15 (2H, д, J=8,4Гц); 7,24 (1Н, т); 7,3-7,45 (10H, 2 x с); 7,99 (1Н, J=8Гц); МС (M+): 774.
ПРИМЕР 6
[(R)-1-(6-оксоциклогекс-1-енилкарбамоил)-2-фенилметансульфонилэтил]амид морфолин-4-карбоновой кислоты
(Соединение 8)

Раствор 2-аминоциклогексан-1,3-диола (0,55 г) в диметилформамиде (30 мл) обрабатывают диизопропилэтиламином (1,6 мл, 9,2 ммоль). После перемешивания при комнатной температуре в течение 5 мин смесь обрабатывают (R)-2-[(морфолин-4-карбонил)амино]-3-фенилметансульфонилпропионовой кислотой (1,73 г, 4,86 ммоль), затем HATU (1,68 г, 4,42 ммоль). Смесь перемешивают при комнатной температуре в течение ночи и затем выпаривают. Остаток подвергают флэш-хроматографии на силикагеле, элюируя этилацетатом и затем смесью этилацетата и метанола, и получают [(R)-1-(2,6-дигидроксициклогексилкарбамоил)-2-фенилметансульфонилэтил]амид морфолин-4-карбоновой кислоты в виде белого твердого вещества (210 мг). МС: 470 (MH+).
Раствор (R)-1-(2,6-дигидроксициклогексилкарбамоил)-2-фенилметансульфонилэтил]амид морфолин-4-карбоновой кислоты (90 мг, 0,19 ммоль) в метиленхлориде (6 мл) обрабатывают периодинаном Десс-Мартина (162 мг, 0,38 ммоль). После перемешивания при комнатной температуре в течение 2 часов реакционную смесь промывают раствором Na2S2O3 в воде (0,26M), затем насыщенным водным бикарбонатным раствором, затем водой, затем сушат над Na2SO4 и затем выпаривают при пониженном давлении. Остаток подвергают флэш-хроматографии на силикагеле, элюируя смесью этилацетата и гептана, и получают [(R)-1-(6-оксоциклогекс-1-енилкарбамоил)-2-фенилметансульфонилэтил]амида морфолин-4-карбоновой кислоты (8 мг).
1H ЯМР (CDCl3): 9,00 (с, 1Н), 7,82 (т, J=5Гц, 1Н), 7,53-7,38 (м, 5H), 6,06 (д, J=6Гц, 1Н), 5,00 (м, 1Н), 4,47-4,27 (м, 2H), 3,85 (м, 1Н), 3,77-3,62 (м, 4H), 3,48-3,36 (м, 4H), 3,27 (м, 1Н), 2,58-2,46 (м, 4H), 2,08-1,97 (м, 2H). МС: 450 (MH+).
ПРИМЕР 7
[(R)-2-циклопропилметансульфонил-1-(6-оксоциклогекс-1-енилкарбамоил)этил]амид морфолин-4-карбоновой кислоты
(Соединение 9)

Смесь [(R)-3-циклопропилметансульфонил-2-[(морфолин-4-карбониламино]пропионовой кислоты (0,352 г, 1,1 ммоль) и N-циклогексилкарбодиимида N’-метилполистирола (1,93 ммоль/г, 1,03 г) в DCM (10 мл) обрабатывают гидроксибензотриазолом (0,27 г, 2 ммоль). После перемешивания при комнатной температуре в течение 5 мин смесь обрабатывают 2-аминоциклогексан-1,3-диолом (0,0131 г, 1 ммоль) и перемешивание продолжают далее в течение 2 дней. Реакционную смесь обрабатывают PS трисамином (3,75 ммоль/г, 1,3 г), после перемешивания при комнатной температуре в течение 2 час смолу отфильтровывают и промывают DCM. Объединенные фильтрат и промывки выпаривают при пониженном давлении, получая [(R)-2-циклопропилметансульфонил-1-(2,6-дигидроксициклогексилкарбамоил)этил]амид морфолин-4-карбоновой кислоты (0,32 г) в виде густого бледно-желтого масла.
МС: 434(MH+).
К раствору [(R)-2-циклопропилметансульфонил-1-(2,6-дигидроксициклогексилкарбамоил)этил]амида (0,32 г) в DCM (10 мл) добавляют периодинан Десс-Мартина (0,688 г, 1,62 ммоль), смесь перемешивают при комнатной температуре в течение 3 час, затем обрабатывают связанным на смоле Na2S2O3 (1,5 ммоль/г, 1,9 г) и перемешивают при комнатной температуре в течение еще 24 час. Реакционную смесь разбавляют DCM (2 мл), затем фильтруют. Фильтрат промывают раствором 0,25M Na2S2O3, затем насыщенным NaHCO3, затем сушат (MgSO4) и затем выпаривают при пониженном давлении. Остаток подвергают колоночной хроматографии, элюируя смесью этилацетата и гептана, и получают [(R)-2-циклопропилметансульфонил-1-(6-оксоциклогекс-1-енилкарбамоил)этил]амид морфолин-4-карбоновой кислоты.
1H ЯМР (CDCl3): 9,00 (с, 1Н), 7,78 (т, 1Н), 6,18 (д, 1Н), 4,9 (м, 1Н), 3,85 (м, 1Н), 3,77-3,62 (м, 4H), 3,58-3,45 (дд, 1Н), 3,48-3,36 (м, 4H), 3,0 (д, 2H), 2,55-2,42 (м, 4H), 2,08-1,97 (м, 2H), 1,2 (м, 1Н), 0,8-0,7 (м, 2H), 0,6-0,4 (м, 2H). МС: 414 (MH+).
ПРИМЕР 8
[(R)-1-(3,4-диоксоциклопентилкарбамоил)-2-фенилметансульфонилэтил]амид морфолин-4-карбоновой кислоты
(Соединение 10)

Раствор 4-аминоциклопентан-1,2-диола; соединение с трифторуксусной кислотой (745 мг, 3,23 ммоль) в ДМФА (15 мл) обрабатывают DIPEA (1,12 мл, 6,4 ммоль) и смесь перемешивают при комнатной температуре в течение 5 мин. Затем добавляют (R)-2-[(морфолин-4-карбонил)амино]-3-фенилметансульфонилпропионовую кислоту (1,15 г, 3,23 ммоль), затем HATU (1,23 г, 3,24 ммоль). Смесь перемешивают при комнатной температуре в течение ночи и затем выпаривают. Остаток подвергают флэш-хроматографии на силикагеле, элюируя этилацетатом, затем смесью этилацетата и метанола, и получают [(R)-1-(3,4-дигидроксициклопентилкарбамоил)-2-фенилметансульфонилэтил]амид морфолин-4-карбоновой кислоты в виде твердого коричневого вещества (680 мг).
ЖХ/МС: RT=2,64 мин. (215 и 254 нм) MH+=456.
Раствор [(R)-1-(3,4-дигидроксициклопентилкарбамоил)-2-фенилметансульфонилэтил]амида морфолин-4-карбоновой кислоты (670 мг, 1,47 ммоль) в метиленхлориде (40 мл) обрабатывают периодинаном Десс-Мартина (624 мг, 1,47 ммоль) и реакционную смесь перемешивают при комнатной температуре в течение ночи. Добавляют еще периодинан Десс-Мартина (642 мг, 1,51 ммоль) и реакционную смесь перемешивают при комнатной температуре в течение 6 час и затем в течение ночи. Реакционную смесь промывают раствором Na2S2O3 в воде (0,26M), затем насыщенным водным раствором бикарбоната, затем водой, затем сушат над Na2SO4 и затем выпаривают при пониженном давлении. Остаток подвергают флэш-хроматографии на силикагеле, элюируя смесью этилацетата и гептана, затем этилацетатом, и получают [(R)-1-(3,4-диоксоциклопентилкарбамоил)-2-фенилметансульфонилэтил]амид морфолин-4-карбоновой кислоты в виде не совсем белого твердого вещества (45 мг).
1H ЯМР (CDCl3): 7,50-7,38 (м, 5H), 6,62 (м, 1H), 5,91 (д, J=5Гц, 1H), 4,81 (м, 1H), 4,58-4,35 (м, 3H), 3,73-3,61 (м, 5H), 3,44-3,32 (м, 4H), 3,22 (м, 1H), 2,72-2,12 (м, 4H). МС: 452(MH+).
ПРИМЕР 9
[2-(2-дифторметоксифенилметансульфонил)-1-(2-оксоциклогексилкарбамоил)этил]амид морфолин-4-карбоновой кислоты
(Соединение 11)

Объединяют 3-(2-дифторметоксифенилметансульфонил)-2-[(морфолин-4-карбонил)амино]пропионовую кислоту (100 мг, 0,237 ммоль), 2-аминоциклогексанол (58 мг, 0,5 ммоль), EDC (100 мг, 0,52 ммоль) и HOBt (100 мг, 0,64 ммоль). Добавляют дихлорметан (2 мл) и затем 4-метилморфолин (0,2 мл). Смесь перемешивают при комнатной температуре в течение 2 часов. После разбавления этилацетатом (100 мл) раствор промывают 1н водной HCl (30 мл), насыщенным водным NaHCO3 (30 мл) и насыщенным раствором соли (30 мл), сушат над MgSO4 и выпаривают в вакууме. Неочищенный продукт растворяют в дихлорметане (10 мл). Добавляют периодинан Десс-Мартина (300 мг, 0,71 ммоль) и реакционную смесь перемешивают при комнатной температуре в течение 1 часа. После разбавления этилацетатом (100 мл) раствор промывают 0,26M Na2S2O3 в насыщенном водном NaHCO3 (30 мл), насыщенным водным NaHCO3 и насыщенным раствором соли, сушат над MgSO4 и выпаривают в вакууме. В результате очистки флэш-хроматографией на силикагеле (этилацетат/гексан) получают [2-(2-дифторметоксифенилметансульфонил)-1-(2-оксоциклогексилкарбамоил)этил]амид морфолин-4-карбоновой кислоты (78 мг, 0,151 ммоль) в виде белого твердого вещества.
Смесь диастереоизомеров:
1H ЯМР: (ДМСО) [8,03 (д, J=7,2Гц), 7,96 (д, J=7,2Гц), 1H], 7,50-7,42 (м, 2H), 7,30-7,21 (м, 2H), 7,10 (т, JH,F=74Гц, 1Н), 7,03 (д, J=8,4Гц, 1Н), 4,78-4,69 (м, 1Н), 4,54 (с, 2H), 4,41-4,33 (м, 1Н), 3,62-3,25 (м, 10H), 2,55-1,40 (м, 8H). МС: (M+H)+ 518.
По способу примера 9, но, используя 2-аминоциклопентанол, получают [2-(2-дифторметоксифенилметансульфонил)-1-(2-оксоциклопентилкарбамоил)этил]амид морфолин-4-карбоновой кислоты (Соединение 12) в виде смеси диастереоизомеров:
1H ЯМР: (ДМСО) [8,19 (д, J=8Гц), 7,15 (д, J=8Гц), 1Н], 7,49-7,42 (м, 2H), 7,30-7,21 (м, 2H), 7,10 (т, JH,F=74Гц, 1Н), [7,02 (д, J=8,4Гц), 7,00 (д, J=8,4Гц), 1Н], 4,77-4,70 (м, 1Н), [4,53 (с), 4,52 (с), 2H], 4,10-3,91 (м, 1Н), 3,60-3,23 (м, 10H), 2,28-1,70 (м, 6H). МС: (M+H)+ 504.
По способу примера 9, но, используя 2-аминоциклобутанол, получают [2-(2-дифторметоксифенилметансульфонил)-1-(2-оксоциклобутилкарбамоил)этил]амид морфолин-4-карбоновой кислоты (Соединение 13) в виде смеси диастереоизомеров:
1H ЯМР: (ДМСО) 8,49 (д, J=7,6Гц, 1Н), 7,48-7,42 (м, 2H), 7,30-7,21 (м, 2H), 7,11 (т, JH,F=74Гц, 1Н), 7,02 (д, J=8,8Гц, 1Н), 4,88-4,67 (м, 2H), 4,53 (с, 2H), 3,64-3,23 (м, 10H), 2,93-2,70 (м, 2H), 2,23-1,99 (м, 2H). МС: (M+H)+ .
ПРИМЕР 10
[1-(2-бензилкарбамоил-2-оксоэтилкарбамоил)-2-фенилметансульфонилэтил]амид морфолин-4-карбоновой кислоты
(Соединение 14).

Изосерин (3,11 г, 29,6 ммоль) растворяют в смеси 1,4-диоксан/H2O 3:1 (40 мл) и добавляют К2СО3 (0,5 г) и NaHCO3 (0,5 г). Добавляют ди-трет-бутил дикарбонат (6,45 г, 29,6 ммоль) и смесь перемешивают при комнатной температуре в течение ночи. Реакционную смесь экстрагируют дихлорметаном (3 x 100 мл). Объединенные органические фазы промывают насыщенным раствором соли, сушат над MgSO4 и выпаривают в вакууме. Неочищенную 3-трет-бутоксикарбониламино-2-гидроксипропионовую кислоту (4,76 г, 23,2 ммоль) получают в виде бесцветного масла, которое отверждается при стоянии, и которое используют без дальнейшей очистки.
Объединяют 3-трет-бутоксикарбониламино-2-гидроксипропионовую кислоту (1,5 г, 7,31 ммоль), бензиламин (1,1 мл, 10,0 ммоль), EDC (2,5 г, 13,1 ммоль) и HOBt (2,0 г 12,8 ммоль). Добавляют дихлорметан (15 мл) и затем 4-метилморфолин (2 мл). Смесь перемешивают при комнатной температуре. После разбавления этилацетатом (300 мл) раствор промывают водной HCl (100 мл), насыщенным водным NaHCO3 (100 мл) и насыщенным раствором соли (100 мл), сушат над MgSO4 и выпаривают в вакууме. Выход: 1,83 г, 6,22 ммоль; трет-бутилового эфира (2-бензилкарбамоил-2-гидроксиэтил)карбаминовой кислоты.
Трет-бутиловый эфир (2-бензилкарбамоил-2-гидроксиэтил)карбаминовой кислоты (0,2 г, 0,68 ммоль) растворяют в дихлорметане (2 мл) и трифторуксусной кислоте (2 мл). После перемешивания при комнатной температуре в течение 2 часов раствор выпаривают в вакууме и остаток сушат в условиях высокого вакуума. К остатку добавляют EDC (200 мг, 1,05 ммоль), HOBt (200 мг, 1,28 ммоль), 2-[(морфолин-4-карбонил)амино]-3-фенилметансульфонилпропионовую кислоту (200 мг, 0,56 ммоль), дихлорметан (5 мл) и 4-метилморфолин (0,5 мл). Смесь перемешивают при комнатной температуре в течение 2 часов. После разбавления этилацетатом (100 мл) раствор промывают 1н. водной HCl (30 мл), насыщенным раствором NaHCO3 (30 мл) и насыщенным раствором соли (30 мл), сушат над MgSO4 и выпаривают в вакууме. Неочищенный продукт растворяют в дихлорметане (10 мл). Добавляют периодинан Десс-Мартина (500 мг, 1,18 ммоль) и реакционную смесь перемешивают при комнатной температуре в течение 1 часа. После разбавления этилацетатом (100 мл) раствор промывают 0,26M Na2S2O3 в насыщенном водном NaHCO3 (30 мл), насыщенным водным NaHCO3 и насыщенным раствором соли, сушат над MgSO4 и выпаривают в вакууме. Продукт ([1-(2-бензилкарбамоил-2-оксоэтилкарбамоил)-2-фенилметансульфонилэтил]амид морфолин-4-карбоновой кислоты) кристаллизуют из смеси этилацетат/диэтиловый эфир и получают белое твердое вещество (153 мг, 0,29 ммоль).
1H ЯМР: (ДМСО) 9,24 (т, J=6,4Гц, 1Н), 8,19 (т, J=5,6Гц, 1Н), 7,39-7,19 (м, 10H), 7,08 (д, J=8Гц, 1Н), 4,83-4,76 (м, 1Н), 4,49 (с, 2H), 4,48-4,33 (м, 2H), 4,31 (д, J=6,8Гц, 2H), 3,68-3,25 (м, 10H). МС: (M+H)+ 531.
ПРИМЕР 11
3-{2-[(морфолин-4-карбонил)амино]-3-фенилметансульфонилпропиониламино}-4-оксоазетидин-2-иловый эфир уксусной кислоты
(Соединение 15)

3-бензилоксикарбониламино-4-оксоазетидин-2-иловый эфир уксусной кислоты получают по способу J.C. Arnould et al. Eur. J. Med, Chem 1992, 27, 131-140.
3-бензилоксикарбониламино-4-оксоазетидин-2-иловый эфир уксусной кислоты (100 мг, 0,36 ммоль) гидрируют в шейкере Парра над 10% палладием-на-угле (100 мг) в этилацетате (20 мл) при давлении 50 ф/кв.д в течение 5 часов. Смесь фильтруют через целит и выпаривают, получая 3-амино-4-оксоазетидин-2-иловый эфир уксусной кислоты с количественным выходом.Объединяют 2-[(морфолин-4-карбонил)амино]-3-фенилметансульфонилпропионовую кислоту (100 мг, 0,28 ммоль), 3-амино-4-оксоазетидин-2-иловый эфир уксусной кислоты (52 мг, 0,36 ммоль), EDC (100 мг, 0,52 ммоль) и HOBt (100 мг, 0,64 ммоль). Добавляют дихлорметан (2 мл) и затем 4-метилморфолин (0,2 мл). Смесь перемешивают при комнатной температуре в течение 2 часов. После разбавления этилацетатом (100 мл) раствор промывают водной HCl (30 мл), насыщенным водным NaHCO3 (30 мл) и насыщенным раствором соли (30 мл), сушат над MgSO4 и выпаривают в вакууме. Остаток подвергают флэш-хроматографии на силикагеле, элюируя этилацетатом, и получают 3-{2-[(морфолин-4-карбонил)амино]-3-фенилметансульфонилпропиониламино}-4-оксоазетидин-2-иловый эфир уксусной кислоты (17 мг, 0,035 ммоль).
1Н ЯМР: (ДМСО) 9,18 (с, 1Н), 8,72 (д, J=6,4Гц, 1Н), 7,41-7,30 (м, 5H), 7,08 (м, 1Н), 5,76 (с, 1Н), 4,80-4,61 (м, 2H), 4,49 (с, 2H), 3,63-3,22 (м, 10H), 2,08 (с, 3H). МС: (M+H)+ 483.
ПРИМЕР 12
[1-(4-оксотетрагидрофуран-3-илкарбамоил)-2-фенилметансульфонилэтил]амид морфолин-4-карбоновой кислоты
(Соединение 16)

4-аминотетрагидрофуран-3-ол получают по способу Marquis, Robert W. et al. J. Med. Chem 2001, 44, 725-736.
Объединяют 2-[(морфолин-4-карбонил)амино]-3-фенилметансульфонилпропионовую кислоту (100 мг, 0,28 ммоль), 4-аминотетрагидрофуран-3-ол (100 мг, 0,96 ммоль), EDC (200 мг, 1,04 ммоль) и HOBt (200 мг, 1,28 ммоль). Добавляют ДМФА (2 мл) и затем 4-метилморфолин (0,2 мл). Полученную смесь перемешивают при комнатной температуре в течение 2 часов. После разбавления этилацетатом (100 мл) раствор промывают 1н. водной HCl (30 мл), насыщенным водным NaHCO3 (30 мл) и насыщенным раствором соли (30 мл), сушат над MgSO4 и выпаривают в вакууме. Неочищенный продукт растворяют в дихлорметане (10 мл). Добавляют периодинан Десс-Мартина (300 мг, 0,71 ммоль) и реакционную смесь перемешивают при комнатной температуре в течение 1 часа. После разбавления этилацетатом (100 мл) раствор промывают 0,26M Na2S2O3 в насыщенном водном NaHCO3 (30 мл), насыщенным водным NaHCO3 и насыщенным раствором соли, сушат над MgSO4 и выпаривают в вакууме. В результате очистки флэш-хроматографией на силикагеле (этилацетат) получают [1-(4-оксотетрагидрофуран-3-илкарбамоил)-2-фенилметансульфонилэтил]амид морфолин-4-карбоновой кислоты (8,6 мг, 0,020 ммоль) в виде бесцветного стекла. Смесь диастереоизомеров:
1H ЯМР: (ДМСО) [8,42 (д, J=6,8Гц), 7,15 (д, J=7,2Гц), 1H], 7,40-7,32 (м, 5H), [7,06 (д, J=8Гц), 7,05 (д, J=8Гц), 1Н], 4,78-4,68 (м, 1Н), [4,49 (с), 4,48 (с), 2H], 4,32-3,75 (м, 5H), 3,60-3,23 (м, 10H). МС: (M+H)+ 440.
ПРИМЕР 13
[1-(2-гидрокси-1,1-диметил-3-оксо-3-фенилпропилкарбамоил)-2-фенилметансульфонилэтил]амид морфолин-4-карбоновой кислоты
(Соединение 17)

Стадия 1. В колбу, снабженную мембраной и магнитной мешалкой, содержащую 4,1 г (20 ммоль) 2-фенил-1,3-дитиана (Aldrich) добавляют в атмосфере азота сухой, перегнанный ТГФ (20 мл). Раствор охлаждают до -30°С и медленно через шприц добавляют н-бутиллитий (1,6M в пентане, 16,8 ммоль, 10,5 мл). Реакционную смесь нагревают до -20°С и выдерживают при этой температуре в течение 30 мин, а затем выдерживают при -10°С в течение 15 мин. Желтый раствор охлаждают до -78°С, быстро (в течение 30 сек) добавляют трет-бутиловый эфир (1,1-диметил-2-оксоэтил)карбаминовой кислоты (1,5 г, 8 ммоль, в 5 мл ТГФ) и через 60 сек быстро добавляют раствор, состоящий из 2 мл уксусной кислоты и 5 мл ТГФ. Охлаждающую баню удаляют, спустя 4 мин добавляют воду и смесь экстрагируют этилацетатом. Растворитель удаляют при пониженном давлении и затем перекристаллизовывают из 10 мл этилацетата. Белые кристаллы трижды промывают этилацетатом и сушат при пониженном давлении, получая трет-бутиловый эфир [2-гидрокси-1,1-диметил-2-(2-фенил[1,3]дитиан-2-ил)этил]карбаминовой кислоты (1,6 г, 52%).
Стадия 2. К трет-бутиловому эфиру [2-гидрокси-1,1-диметил-2-(2-фенил[1,3]дитиан-2-ил)этил]карбаминовой кислоты (1 г, 2,6 ммоль) в 4,8 мл диоксана при 10°С добавляют хлористоводородную кислоту (4,8 мл, 4M в диоксане). Раствор нагревают до 23°С. Спустя 2 часа раствор концентрируют до 4 мл и разбавляют эфиром, получая белый осадок, который собирают фильтрованием. Маточный раствор концентрируют до состояния пасты и растирают с эфиром. Твердые части объединяют, получая 726 мг 2-амино-2-метил-1-(2-фенил[1,3]дитиан-2-ил)пропан-1-ола (98% выход).
Стадия 3. 2-Амино-2-метил(2-фенил[1,3]дитиан-2-ил)пропан-1-ол и 2-[(морфолин-4-карбонил)амино]-3-фенилметансульфонилпропионовую кислоту подвергают сочетанию, используя стандартную, описанную выше реакцию сочетания пептидов в стандартных условиях, получая {1-[2-гидрокси-1,1-диметил-2-(2-фенил[1,3]дитиан-2-ил)этилкарбамоил]-2-фенилметансульфонилэтил}амид морфолин-4-карбоновой кислоты (270 мг, 78%).
Стадия 4. К {1-[2-гидрокси-1,1-диметил-2-(2-фенил[1,3]дитиан-2-ил)этилкарбамоил]-2-фенилметансульфонилэтил}амиду морфолин-4-карбоновой кислоты 200 мг, 0,32 ммоль) в 5,25 мл смеси 4:1 ацетонитрил:вода при 23°C одновременно добавляют тонко измельченный HgCl2 (192 мг, 0,7 ммоль) и тонко измельченный карбонат кальция (80 мг, 0,8 ммоль) при перемешивании. Смесь перемешивают в течение 10 мин и затем разбавляют этилацетатом. Добавляют метиленхлорид и органическую часть промывают водой. После выделения органический слой концентрируют до смолы, которая отверждается после добавления эфира. Эфир удаляют при пониженном давлении, получая белое твердое вещество. Твердое вещество растворяют в минимальном количестве метиленхлорида и фильтруют для удаления нерастворимого вещества. Раствор концентрируют, получая [1-(2-гидрокси-1,1-диметил-3-оксо-3-фенилпропилкарбамоил)-2-фенилметансульфонилэтил]амид морфолин-4-карбоновой кислоты (165 мг, 100% выход).
Стадия 5. [1-(2-гидрокси-1,1-диметил-3-оксо-3-фенилпропилкарбамоил)-2-фенилметансульфонилэтил]амид окисляют обычным способом, получая [1-(2-гидрокси-1,1-диметил-3-оксо-3-фенилпропилкарбамоил)-2-фенилметансульфонилэтил]амид морфолин-4-карбоновой кислоты.
1H ЯМР: (CDCl3) [8,0 (д, J=8Гц) 1H], 7,7-7,2 (м, 10H), [5,9 (д, J=6Гц) 1H], [4,8 (д, J=6Гц) 1H], [4,3 (д, J=14Гц) 1H], [4,1 (д, J=14Гц) 1H], 3,7 (м, 4H), 3,36 (м, 4H), [3,3 (д, J=2Гц) 1H], [3,29 (д, J=2Гц) 1H], 1,7 (с, 6H).
ЖХ-МС: время элюирования=3,71 мин. 527,6(M-1), 529,6(M+1). (МС: API 150EX. ЖХ: HP Agilent 1100 Series. Колонка: Phenomenex, 5 мк ODS3 100A 100 X 3 мм; Скорость потока: 2 мл/мин. Градиент двух растворителей: Растворитель A, 99% вода, 1% ацетонитрил, 0,1% AcOH. Растворитель B, 99% ацетонитрил, 1% вода, 0,1% AcOH. Градиент jn 100% A, 0% B до 0% A, 100% B начиная с t=0 до t=6 мин. Затем обратный градиент до 100% A, 0% B, начиная с t=7 до t=15 мин).
По способу примера 13, но, используя 3-(2-дифторметоксифенилметансульфонил)-2-[(морфолин-4-карбонил)амино]пропионовую кислоту на стадии 3, получают [2-(2-дифторметоксифенилметансульфонил)-1-(1,1-диметил-2,3-диоксо-3-фенилпропилкарбамоил)этил]амид морфолин-4-карбоновой кислоты.
ЖХ-МС: время элюирования=3,95 мин. 593,4 (M-1), 596,2 (M+1). (МС: API 150EX. ЖХ: HP Agilent 1100 Series. Колонка: Phenomenex, 5 мк ODS3 100A 100 х 3 мм; Скорость потока: 2 мл/мин. Градиент двух растворителей: Растворитель A, 99% вода, 1% ацетонитрил, 0,1% AcOH. Растворитель B, 99% ацетонитрил, 1% вода, 0,1% AcOH. Градиент от 100% A, 0% B до 0% A, 100% B от t=0 до t=6 мин. Затем обратный градиент до 100% A, 0% B, начиная с t=7 до t= 15 мин).
ПРИМЕР 14
Анализ катепсина S
Приготавливают растворы тестируемых соединений в различных концентрациях в 10 мкл диметилсульфоксида (ДМСО) и затем разводят аналитическим буфером (40 мкл, содержит: MES, 50 мМ (pH 6,5); EDTA, 2,5 мМ; и NaCl, 100 мМ). Катепсин S человека (0,158 пмоль в 25 мкл аналитического буфера) добавляют к разведениям. Аналитические растворы перемешивают в течение 5-10 сек на плоском шейкере, накрывают и инкубируют в течение 30 мин при комнатной температуре. Z-Val-Val-Arg-AMC (9 нмоль в 25 мкл аналитического буфера) добавляют к аналитическим растворам и после гидролиза анализируют спектрофотометрически ( 460 нм) в течение 5 мин. Константы кажущегося ингибирования (Ki) рассчитывают на основании кривых прогресса фермента, используя стандартные математические модели.
ПРИМЕР 15
Анализ катепсина B
Растворы тестируемых соединений в различных концентрациях приготавливают в 10 мкл диметилсульфоксида (ДМСО) и затем разводят аналитическим буфером (40 мкл, содержит: N,N-бис(2-гидроксиэтил)-2-аминоэтансульфоновую кислоту (BES), 50 мМ (pH 6); полиоксиэтиленсорбитанмонолаурат, 0,05% и дитиотреитол (DTT), 2,5 мМ). Катепсин В человека (0,025 пмоль в 25 мкл аналитического буфера) добавляют к разведениям. Аналитические растворы перемешивают в течение 5-10 сек на плоском шейкере, накрывают и инкубируют в течение 30 мин при комнатной температуре. Z-FR-AMC (20 нмоль в 25 мкл аналитического буфера) добавляют к аналитическим растворам и после гидролиза анализируют спектрофотометрически ( 460 нм) в течение 5 мин. Константы кажущегося ингибирования (Ki) рассчитывают на основании кривых прогресса фермента, используя стандартные математические модели.
ПРИМЕР 16
Анализ катепсина K
Приготавливают растворы тестируемых соединений в различных концентрациях в 10 мкл диметилсульфоксида (ДМСО) и затем разводят аналитическим буфером (40 мкл, содержащий: MES, 50 мМ (pH 5,5); EDTA, 2,5 мМ и DTT, 2,5 мМ). Катепсин К человека (0,0906 пмоль в 25 мкл аналитического буфера) добавляют к разведениям. Аналитические растворы перемешивают в течение 5-10 сек на плоском шейкере, накрывают и инкубируют в течение 30 мин при комнатной температуре. Z-Phe-Arg-AMC (4 нмоль в 25 мкл аналитического буфера) добавляют к аналитическим растворам и после гидролиза анализируют спектрофотометрически ( 460 нм) в течение 5 мин. Константы кажущегося ингибирования (Ki) рассчитывают на основании кривых прогресса фермента, используя стандартные математические модели.
ПРИМЕР 17
Анализ катепсина L
Приготавливают растворы тестируемых соединений в различных концентрациях в 10 мкл диметилсульфоксида (ДМСО) и затем разводят аналитическим буфером (40 мкл, содержит: MES, 50 мМ (pH 5,5); EDTA, 2,5 мМ и DTT, 2,5 мМ). Катепсин L человека (0,05 пмоль в 25 мкл аналитического буфера) добавляют к разведениям. Аналитические растворы перемешивают в течение 5-10 сек на плоском шейкере, накрывают и инкубируют в течение 30 мин при комнатной температуре. Z-Phe-Arg-AMC (1 нмоль в 25 мкл аналитического буфера) добавляют к аналитическим растворам и после гидролиза анализируют спектрофотометрически ( 460 нм) в течение 5 мин. Константы кажущегося ингибирования (Ki) рассчитывают на основании кривых прогресса фермента, используя стандартные математические модели.
Обнаружено, что некоторые из соединений настоящего изобретения, протестированные в соответствии с указанными выше анализами в отношении ингибирования протеаз, демонстрируют селективную активность ингибирования катепсина S. Кажущиеся константы ингибирования (Ki) для соединений настоящего изобретения в отношении катепсина S, находятся в интервале примерно от около 10-10M до около 10-7M.
ПРИМЕР 18
Представительные фармацевтические композиции, содержащие соединения формулы I
Композиции для перорального введения
| Соединение формулы I |
10-100 мг |
| Моногидрат лимонной кислоты |
105 мг |
| Гидроксид натрия |
18 мг |
| Вкусовой агент |
|
| Вода |
до 100 мл |
Композиции для внутривенного введения
| Соединение формулы I |
0,1-100 мг |
| Моногидрат декстрозы |
до придания изотоничности |
| Моногидрат лимонной кислоты |
1,05 мг |
| Гидроксид натрия |
0,18 мг |
| Вода для инъекций |
до 1,0 мл |
Композиция для таблеток
| Соединение формулы I |
1% |
| Микрокристаллическая целлюлоза |
73% |
| Стеариновая кислота |
25% |
| Коллоидный диоксид кремния |
1% |
Формула изобретения
1. Соединение формулы I

где X1 и X2 оба представляют метилен;
R3 представляет -CR5=CHR6, R5 и R6 вместе с атомами, к которым присоединены R5 и R6, образуют (С6-12)арил, где R3 необязательно замещен 1-5 радикалами -X4OR9, где X4 представляет связь, R9 представляет галогензамещенный (С1-3)алкил, и
R4 представляет -C(О)Х5R11, где X5 представляет связь, и R11 представляет гетеро(С5-6)циклоалкил(С0-3)алкил,
X3 представляет группу формулы (а), (b) или(с)
  
n представляет 0, 1 или 2;
R20 представляет собой водород;
R21 выбран из группы, состоящей из водорода, -C(O)R26, -S(O)2R26, -C(O)OR26;
R23 выбран из Н и (С6-12)арил(С0-6)алкила;
R25 выбран из водорода, (С6-12)арил(С0-6)алкила или -X4S(O)2R26, где X4 имеет указанные выше значения;
R26 выбран из группы, состоящей из водорода, (С6-12)арил(С0-6)алкила,
где X3 необязательно содержит, кроме того, 1 заместитель, который, находясь в алициклической или в ароматической кольцевой системе, представляет собой радикал, независимо выбранный из группы, состоящей из -X6OR17, где R17 представляет водород, (С1-6)алкил и X6 представляет связь или (С1-6)алкилен; и
его N-оксидные производные, защищенные производные, индивидуальные изомеры и смеси данных изомеров; и фармацевтически приемлемые соли и сольваты таких соединений, его N-оксидных производных, защищенных производных, индивидуальных изомеров и смесей данных изомеров.
2. Соединение по п.1, где Х1 и Х2 оба представляют метилен, R3 представляет -CR5=CHR6, где R5 и R6 вместе с атомами, к которым присоединены R5 и R6, образуют (С6-12)арил, где R3 необязательно замещен 1-5 радикалами -X4OR9, где X4 представляет связь и R9 представляет галогензамещенный (С1-3)алкил, его N-оксидные производные, защищенные производные, индивидуальные изомеры и смеси данных изомеров; и фармацевтически приемлемые соли и сольваты таких соединений и N-оксидных производных, защищенных производных, индивидуальных изомеров и смесей данных изомеров.
3. Соединение по п.2, где R4 представляет -C(O)X5R11, где X5 представляет связь, и R11 представляет гетеро(С5-6)циклоалкил(С0-3)алкил, и
его N-оксидные производные, защищенные производные, индивидуальные изомеры и смеси данных изомеров; и фармацевтически приемлемые соли и сольваты таких соединений, его N-оксидных производных, защищенных производных, индивидуальных изомеров и смесей данных изомеров.
4. Соединение по п.3, где X3 представляет группу формулы (а), (b) или (с)
  
n представляет 0, 1 или 2;
R20 представляет собой водород;
R21 представляет собой -C(O)R26, -S(O)2R26, -C(O)OR26;
R25 представляет собой (С6-12)арил(С0-6)алкил;
R26 представляет собой (С6-12)арил(С0-6)алкил,
где X3 необязательно содержит, кроме того, 1 заместитель, который, находясь в алициклической или в ароматической кольцевой системе, представляет собой радикал, независимо выбранный из -X6OR17, где X6 представляет связь или (С1-6)алкилен и R17 представляет водород, (С1-6)алкил,
его N-оксидные производные, защищенные производные, индивидуальные изомеры и смеси данных изомеров; и фармацевтически приемлемые соли и сольваты таких соединений, его N-оксидных производных, защищенных производных, индивидуальных изомеров и смесей данных изомеров.
5. Соединение по п.4, где R3 выбран из группы, включающей фенил, 4-метилфенил, 2-метилфенил, 3,5-диметилфенил, 4-трифторметилфенил, нафталин-2-ил, 3-метилфенил, 3-трифторметилфенил, 2-трифторметилфенил, 4-трет-бутилфенил, 2-фтор-3-метилфенил, бифенил, 2-хлор-5-трифторметилфенил, 2,4-бистрифторметилфенил 2-фтор-3-трифторметилфенил, 2-фтор-4-трифторметилфенил, 2-фтор-5-трифторметилфенил, 2-фтор-5-трифторметилфенил, 5-фтор-2-трифторметилфенил, 4-фтор-3-трифторметилфенил, 3,5-бистрифторметилфенил.
6. Соединение по п.5, где R4 представляет бензоил, морфолин-4-карбонил, фуран-3-карбонил, 2-метоксибензоил, 3-метоксибензоил, бензо[1,3]диоксол-5-карбонил, 3-пиридин-3-илакрилоил, бензофуран-2-карбонил, фуран-2-карбонил, бифенил-4-карбонил, хинолин-2-карбонил, хинолин-3-карбонил, пиридин-3-карбонил, трет-бутиловый эфир 4-карбонилпиперазин-1-карбоновой кислоты, этиловый эфир 4-карбонилпиперазин-1-карбоновой кислоты, 4-(фуран-2-карбонил)пиперазин-1-карбонил, пиридин-4-карбонил, 1-оксипиридин-4-карбонил, 1-оксипиридин-3-карбонил, тиофен-2-карбонил, тиофен-3-карбонил, 5-метилтиофен-2-карбонил, 3-хлортиофен-2-карбонил, 3-бромтиофен-2-карбонил, циклопентанкарбонил, бензо[b]тиофен-2-карбонил, 3-хлорбензо[b]тиофен-2-карбонил, 5-метилтиофен-2-сульфонил, тиофен-2-сульфонил, N-пиридин-4-ил-формамил, N-пиридин-3-илформамил, 1Н-индол-5-карбонил, пиридин-2-карбонил, пиразин-2-карбонил, 3-гидроксипиридин-2-карбонил, 2-аминопиридин-3-карбонил, 2-гидроксипиридин-3-карбонил, 6-аминопиридин-3-карбонил, 6-гидроксипиридин-3-карбонил, пиридазин-4-карбонил, и 1-оксо-1,3-дигидроизоиндол-2-карбонил.
7. Соединение по п.6, где X3 выбран из группы, включающей бензиловый эфир 4-амино-3-оксоазепан-1-карбоновой кислоты,
изобутиловый эфир 4-амино-3-оксоазепан-1-карбоновой кислоты,
4-амино-1-бензоилазепан-3-он,
4-амино-1-бензолсульфонилазепан-3-он,
4-амино-1-(пиридин-2-сульфонил)азепан-3-он,
4-амино-1-(1-оксипиридин-2-сульфонил)азепан-3-он,
4-амино-1-(3,4-диметоксибензолсульфонил)азепан-3-он,
4-амино-1-(нафталин-1-сульфонил)азепан-3-он,
4-амино-1-(тиофен-2-сульфонил)азепан-3-он,
4-амино-1-(пирролидин-1-сульфонил)азепан-3-он,
4-амино-1-метансульфонилазепан-3-он,
4-амино-1-(пирролидин-1-карбонил)азепан-3-он,
диметиламид 4-амино-3-оксоазепан-1-карбоновой кислоты,
бензиламид 4-амино-3-оксоазепан-1-карбоновой кислоты,
4-амино-1-бензилазепан-3-он, 4-амино-1 -бензилпиперидин-3-он,
4-амино-1-бензоилпиперидин-3-он,
4-амино-1-бензоилпирролидин-3-он,
4-амино-1-бензилпирролидин-3-он,
4-амино-1-бензолсульфонилпирролидин-3-он,
4-амино-1-(5-метилгексил)пирролидин-3-он,
3-(дибензофуран-2-сульфониламино)-1-этил-2-оксобутиламино,
5-амино-1-[(4-метоксифенилсульфамоил)метил]пентиламино,
5-бензилоксикарбониламино-1-[(4-метоксифенилсульфамоил)метил]пентиламино.
8. Соединение по п.7, выбранное из группы, состоящей из
(1-{5-амино-1-[(4-метоксифенилсульфамоил)метил]пентилкарбамоил}-2-фенилметансульфонилэтил)амида морфолин-4-карбоновой кислоты,
бензилового эфира (6-(4-метоксифенилсульфамоил)-5-{2-[(морфолин-4-карбонил)амино]-3-фенилметансульфонилпропиониламино}гексил)карбаминовой кислоты,
(1-{1-[(4-метоксифенилсульфамоил)метил]-3-фенилпропилкарбамоил}-2-фенилметансульфонилэтил)амида морфолин-4-карбоновой кислоты,
[1-(3-бензолсульфониламино-2-оксопропилкарбамоил)-2-фенилметансульфонилэтил] амида морфолин-4-карбоновой кислоты,
[1-(1-бензоил-4-оксопирролидин-3-илкарбамоил)-2-фенилметансульфонилэтил] амида морфолин-4-карбоновой кислоты,
1-(1-бензолсульфонил-4-оксопирролидин-3-илкарбамоил)-2-фенилметансульфонилэтил] амида морфолин-4-карбоновой кислоты и
бензилового эфира 4-{2-[(морфолин-4-карбонил)амино]-3-фенилметансульфонилпропиониламино}-3-оксоазепан-1-карбоновой кислоты.
9. Фармацевтическая композиция, обладающая ингибирующей активностью в отношении катепсина S протеаз, включающая терапевтически эффективное количество соединения по п.1 в сочетании с фармацевтически приемлемым эксципиентом.
10. Применение соединения по п.1 для изготовления лекарственного средства для лечения заболевания у животного, при котором активность катепсина S вносит вклад в патологию и/или симптомы заболевания.
11. Способ получения соединения формулы I

где Х1 и Х2 оба представляют метилен;
R3 представляет -CR5=CHR6, R5 и R6 вместе с атомами, к которым присоединены R5 и R6, образуют (С6-12)арил, где R3 необязательно замещен 1-5 радикалами -X4OR9, где X4 представляет связь, R9 представляет галогензамещенный (С1-3)алкил, и
R4 представляет -С(O)Х5R11, где X5 представляет связь, и R11 представляет гетеро(С5-6)циклоалкил(С0-3)алкил,
X3 представляет группу формулы (а), (b) или(с)
  
n представляет 0, 1 или 2;
R20 представляет собой водород;
R21 выбран из группы, состоящей из водорода, -C(O)R26, -S(O)2R26, -C(O)OR26;
R23 выбран из Н и (С6-12)арил(С0-6)алкила;
R25 выбран из водорода, (С6-12)арил(С0-6)алкила или -X4S(O)2R26, где X4 имеет указанные выше значения;
R26 выбран из группы, состоящей из водорода, (С6-12)арил(С0-6)алкила,
где X3 необязательно содержит, кроме того, 1 заместитель, который, находясь в алициклической или в ароматической кольцевой системе, представляет собой радикал, независимо выбранный из группы, состоящей из -X6OR17, где R17 представляет водород, (С1-6)алкил и Х6 представляет связь или (С1-6)алкилен; причем указанный способ включает:
(А) взаимодействие соединения формулы 2

с соединением формулы (а)

где X1, X2, R3, R4, R20 и R21 имеют значения, указанные выше для формулы I; или
(В) взаимодействие соединение формулы 2 с соединением формулы (b)

где R20, R23 и R25 имеют значения, указанные выше для формулы I; или
(С) взаимодействие соединения формулы 2 с соединением формулы (с)

где R20, R23 и R25 имеют значения, указанные выше для формулы I; и
(D) необязательное превращение соединение формулы I в фармацевтически приемлемую соль;
(Е) необязательное превращение соединения формулы I в форме соли в несолевую форму;
(F) необязательное превращение неокисленной формы соединения формулы I в фармацевтически приемлемый N-оксид;
(G) необязательное превращение N-оксидной формы соединения формулы I в его неокисленную форму;
(Н) необязательное выделение индивидуального изомера соединения формулы I из смеси изомеров.
12. Соединение формулы Ix

где X1 и X2 оба представляют метилен,
R3 представляет -CR5=CHR6, где R5 и R6 вместе с атомами, к которым присоединены R5 и R6, образуют (С3-12)циклоалкенил или (С6-12)арил, где R3 необязательно замещен 1 радикалом -X4OR9, где X4 представляет связь и R9 представляет галогензамещенный (С1-3)алкил;
R4 представляет -C(O)Х5R11, где X5 представляет связь, и R11 представляет гетеро(С5-12)циклоалкил(С0-3)алкил;
X3 представляет группу формулы (а), (b), (с), (d), (e), (f), (g)
или (h)
  
  
 
___ представляет простую или двойную связь;
X7 представляет (С6-10)арил или NR20R25;
n представляет 0, 1 или 2;
R20 представляет собой водород;
R21 выбран из группы, состоящей из водорода, -C(O)R26, -S(O)2R26, -C(O)OR26;
R23 выбран из Н, (С6-12)арил(С0-6)алкила;
R25 выбран из водорода, (С6-12)арил(С0-6)алкила, -X4S(O)2R26, где X4 имеет указанные выше значения;
R26 выбран из группы, состоящей из водорода, (С6-12)арил(С0-6)алкила;
R28 представляет собой водород или -O-C(=O)-R29;
R29 представляет (С1-6)алкил,
где X3 необязательно содержит, кроме того, 1 заместитель, который, находясь в алициклической или в ароматической кольцевой системе, представляет собой радикал, независимо выбранный из -X6OR17, где R17 представляет водород, (С1-6)алкил и X6 представляет связь или (С1-6)алкилен; и одно из его N-оксидных производных, защищенных производных, индивидуальных изомеров и смеси данных изомеров; и фармацевтически приемлемых солей и сольватов таких соединений и N-оксидных производных, защищенных производных, индивидуальных изомеров и смесей данных изомеров.
13. Соединение по п.12, где R23 выбран из (С6-12)арил(С0-6)алкила.
14. Соединение по п.13, выбранное из группы, состоящей из
[1-(1-бензоил-4-оксопирролидин-3-илкарбамоил)-2-фенилметансульфонилэтил]амида морфолин-4-карбоновой кислоты;
[1-(1-бензолсульфонил-4-оксопирролидин-3-илкарбамоил)-2-фенилметансульфонилэтил]амида морфолин-4-карбоновой кислоты;
бензилового эфира 4-{2-[(морфолин-4-карбонил)амино]-3-фенилметансульфонилпропиониламино}-3-оксоазепан-1-карбоновой кислоты;
[1-(3-бензолсульфониламино-2-оксопропилкарбамоил)-2-фенилметансульфонилэтил]амида морфолин-4-карбоновой кислоты или
N-{1S-[1S-(4-метоксифенилсульфамоилметил)-3-фенилпропилкарбамоил]-2-бензилсульфонилэтил}морфолин-4-карбоксамида.
15. Соединение по п.13, выбранное из группы, состоящей из
[(R)-1-(6-оксоциклогекс-1-енилкарбамоил)-2-фенилметансульфонилэтил]амида морфолин-4-карбоновой кислоты;
[(R)-1-(3,4-диоксоциклопентилкарбамоил)-2-фенилметансульфонилэтил]амида морфолин-4-карбоновой кислоты;
[2-(2-дифторметоксифенилметансульфонил)-1-(2-оксоциклогексилкарбамоил)этил]амида морфолин-4-карбоновой кислоты;
[2-(2-дифторметоксифенилметансульфонил)-1-(2-оксоциклопентилкарбамоил)этил]амида морфолин-4-карбоновой кислоты;
[2-(2-дифторметоксифенилметансульфонил)-1-(2-оксоциклобутилкарбамоил)этил]амида морфолин-4-карбоновой кислоты;
[1-(2-бензилкарбамоил-2-оксоэтилкарбамоил)-2-фенилметансульфонилэтил]амида морфолин-4-карбоновой кислоты;
3-{2-[(морфолин-4-карбонил)амино-3-фенилметансульфонилпропиониламино}-4-оксоазетидин-2-илового эфира уксусной кислоты;
[1-(2-гидрокси-1,1-диметил-3-оксо-3-фенилпропилкарбамоил)-2-фенилметансульфонилэтил]амида морфолин-4-карбоновой кислоты;
[1-(4-оксотетрагидрофуран-3-илкарбамоил)-2-фенилметансульфонилэтил]амида морфолин-4-карбоновой кислоты или
[2-(2-дифторметоксифенилметансульфонил)-1-(1,1-диметил-2,3-диоксо-3-фенилпропилкарбамоил)этил]амида морфолин-4-карбоновой кислоты.
MM4A – Досрочное прекращение действия патента СССР или патента Российской Федерации на изобретение из-за неуплаты в установленный срок пошлины за поддержание патента в силе
Дата прекращения действия патента: 17.09.2008
Извещение опубликовано: 27.07.2010 БИ: 21/2010
|
|