|
|
(21), (22) Заявка: 2005112734/15, 25.09.2003
(24) Дата начала отсчета срока действия патента:
25.09.2003
(30) Конвенционный приоритет:
27.09.2002 (пп.1-31) FR 02 12018
(43) Дата публикации заявки: 27.02.2006
(46) Опубликовано: 10.02.2008
(56) Список документов, цитированных в отчете о поиске:
WO 01/58854 A1, 16.08.2001. JP 11302280 A, 01.11.1999. RU 2173152 C2, 10.09.2001. Харкевич Д.А. Фармакология. – М.: Медицина, 1987, с.47-48.
(85) Дата перевода заявки PCT на национальную фазу:
27.04.2005
(86) Заявка PCT:
FR 03/02823 (25.09.2003)
(87) Публикация PCT:
WO 2004/028441 (08.04.2004)
Адрес для переписки:
129010, Москва, ул. Б.Спасская, 25, стр.3, ООО “Юридическая фирма Городисский и Партнеры”, пат.пов. Е.Е.Назиной, рег. № 517
|
(72) Автор(ы):
БУЛЛЬ Кристоф (FR), РОЗО Роже (FR), ДАЛЬКО Мария (FR)
(73) Патентообладатель(и):
Л ОРЕАЛЬ (FR)
|
(54) ГЕТЕРОЦИКЛИЧЕСКОЕ СОЕДИНЕНИЕ, СТИМУЛИРУЮЩЕЕ ИЛИ ВЫЗЫВАЮЩЕЕ РОСТ ВОЛОС ИЛИ РЕСНИЦ И/ИЛИ ПРЕПЯТСТВУЮЩЕЕ ИХ ВЫПАДЕНИЮ, КОМПОЗИЦИЯ, СОДЕРЖАЩАЯ СОЕДИНЕНИЕ, ЕЕ ПРИМЕНЕНИЕ
(57) Реферат:
Изобретение относиться к медицине и описывает применение эффективного количества, по меньшей мере, одного гетероциклического соединения формулы (I) или его солей, причем соединение формулы (I) выбирают из (i) соединений формулы (III) или их солей, в которой Z, Z обозначают О, Х обозначает S (тиазолидиндионовая группа), G обозначает О или S; по меньшей мере один из R2 и R3 обозначает CF3, OR0 или COOR0, где R0 обозначает Н или насыщенный линейный или разветвленный С1-С20-алкил и предпочтительно С10-С10-алкил, (ii) соединений (VI) или их солей: в которой Z, Z и G независимо обозначают О или S, по меньшей мере один из R2 и R3 обозначает водород, CN, CF3, NO2, OR0, COOR0 или насыщенный линейный или разветвленный С1-С20-алкил и предпочтительно С1-С10-алкил, возможно, замещенный OR0, где R0 обозначает Н или насыщенный линейный или разветвленный С1-С20-алкил и предпочтительно С1-С10-алкил, (iii) соединений (VII) или их солей, в которой Z, Z и G независимо обозначают О или S; R обозначает насыщенный линейный или разветвленный С1-С10-алкил; по меньшей мере один из R2 и R3 обозначает насыщенный линейный или разветвленный С1-С20-алкил и предпочтительно С1-С10-алкил, NO2, OR0, где R0 обозначает Н или насыщенный линейный или разветвленный С1-С20-алкил и предпочтительно С1-С10-алкил. Данные соединения оказывают улучшенное действие на стимуляцию роста кератиновых волокон, в частности, человека, препятствуют их выпадению и повышают их плотность. 10 н. и 21 з.п. ф-лы, 6 табл.
Область техники, к которой относится изобретение
Изобретение касается применения эффективного количества гетероциклического соединения и более конкретно фенилфурана, фенилтиофена или фенилпиррола в композиции, вызывающей и/или стимулирующей рост кератиновых волокон, в частности, человека и/или препятствующей их выпадению, а также указанной композиции. Кроме того, оно относится к способу косметической обработки, а также к новым гетероциклическим соединениям, предназначенным для того, чтобы стимулировать рост кератиновых волокон и/или препятствовать их выпадению.
Кератиновыми волокнами человека, к которым применяют изобретение, являются, в частности, волосы, ресницы, волоски бороды, усов и лобковые волосы. Более конкретно изобретение применяют в отношении волос и/или ресниц человека.
В частности изобретение относится к композиции для ухода или макияжа волос или ресниц, в состав которой входит эффективное количество гетероциклического соединения, содержащего фенильный радикал, предназначенной для повышения их густоты и/или улучшения внешнего вида.
Предпосылки изобретения
Рост волос и их замена новыми главным образом обусловлены активностью волосяных фолликулов и их матричного окружения. Их активность имеет цикличный характер и включает в себя главным образом три фазы: анафазу, катафазу и телофазу.
После анафазы (активной фазы или фазы роста), которая продолжается в течение нескольких лет и во время которой волосы удлиняются, следует катафаза, очень короткая и переходная, которая продолжается в течение нескольких недель. Во время этой фазы волос развивается, фолликула атрофируется и его дермальное укоренение становится все более поверхностным.
Конечная фаза или телофаза, которая продолжается несколько месяцев, соответствует фазе покоя фолликула, и волос выпадает. В конце этого периода покоя на том же месте регенерируется новый фолликул и цикл возобновляется.
Таким образом, волосяной покров постоянно возобновляется в количестве примерно 150000 волос, которые его образуют, 10% находятся в фазе покоя и заменяются в течение нескольких месяцев.
Выпадение или естественная потеря волос составляет в среднем несколько сот волос в день при нормальном физиологическом состоянии. Этот процесс постоянного физического возобновления претерпевает естественное изменение при старении, волосы истончаются, и их циклы становятся более короткими.
Кроме того, значительная потеря волос, временная или окончательная, может быть вызвана различными причинами. Выпадение и повреждение волос может происходить в послеродовой период (post partum), при недостаточном питании или нарушении сбалансированного питания, при астении или гормональном нарушении, как, например, во время климакса или в постклимактерический период. Выпадение и повреждение волос могут также зависеть от времени года.
Алопеция, главным образом, связана с нарушением капиллярной регенерации, вызывающей на первой стадии ускорение смены циклов, происходящее за счет качества, а в дальнейшем количества волос. Последовательные циклы роста приводят к истончению волос и сокращению их длины с постепенным образованием непигментированного пушка, вызывая, таким образом, постепенное уменьшение количества волос. У мужчин процесс затрагивает в основном височные и лобные луковицы, у женщин отмечается диффузная алопеция темени.
Термин алопеция охватывает все виды поражения волосяного фолликула, вследствие которых происходит окончательная частичная или полная потеря волос. Во многих случаях раннее выпадение волос происходит у людей, имеющих генетическую предрасположенность, в этом случае речь идет об андрохроногенетической алопеции; этому виду алопеции подвержены, в частности, мужчины.
Кроме того, известно, что это явление может усиливаться под воздействием ряда факторов, таких как гормональные нарушения, физиологический стресс, недостаточное питание.
При некоторых дерматозах волосяного покрова черепа, имеющих воспалительный характер, таких, например, как псориаз или себорейная экзема, выпадение волос может значительно усиливаться или вызывать существенное нарушение циклов фолликулов.
В течение многих лет в косметической и фармацевтической промышленности разрабатывают композиции, предназначенные для того, чтобы устранять или уменьшать алопецию и, в частности, вызывать или стимулировать рост волос или уменьшать их выпадение.
В этой области уже было предложено множество композиций, содержащих разнообразные активные вещества, например, 2,4-диамино-6-пиперидинопиримидин-3-оксид или «миноксидил», описанный в патентах US 4139619 и US 4596812, или его многочисленные производные, такие, как описаны, например, в заявках на патент ЕР 0353123, ЕР 0356271, ЕР 0408442, ЕР 0522964, ЕР 0420707, ЕР 0459890, ЕР 0519819.
Клинические исследования показали, что аналоги PGF2- обладают свойством вызывать рост волос и ресниц у человека и у животных (Murray A. And Johnstone MD, 1997, Am. J. Opht., 124(4), 544-547. Опытные испытания, проведенные на волосяном покрове человека, показали, что аналог простогландина Е2 (випростол) обладает свойством увеличивать капиллярную плотность (Roenik HH., 1988, Clinic Dermatol., 6(4), 119-121).
Кроме того, в патенте WO 98/33497 описаны фармацевтические композиции, содержащие простогландины или производные простогландинов, предназначенные для борьбы с выпадением волос у человека. Простогландины типа А2, F и Е2 указаны в качестве предпочтительных.
Однако простогландины представляют собой молекулы с очень коротким периодом биологической полужизни и действующие по аутокринному или паракринному механизму, что отражает локальный и лабильный характер метаболизма простогландинов (Narumiya S. Et al., 1999, Physiol. Rev., 79(4), 1193-1226).
Следовательно, для того чтобы поддерживать и/или повышать капиллярную плотность, у человека представляется важным сохранять эндогенные резервы PGF2- , а также PGF2 различных компартментов волосяного фолликула или окружающей его кожи.
Решение, дающее хорошие результаты, заключается в использовании соединений, являющихся ингибиторами липоксигеназы и/или индукторами циклооксигеназы, с тем, чтобы способствовать росту волос; по-видимому, использование таких соединений ориентирует метаболизм жирных кислот предпочтительно в направлении других путей эндогенного синтеза простогландинов.
Однако для улучшения результатов желательно продлить период активности простогландинов, участвующих в росте и поддержании жизни волос.
Кроме того, хорошо известно, что программы дифференциации кератиноцитов эпидермиса и волосяного фолликула совершенно различны. Так, известно, что кератины волосяного стержня образуют семейство (Langbein et al., 2001, J. Biol. Chem. 276: 35123-35132), отличающееся от семейства, используемого в эпидермисе, что маркеры дифференциации, такие как кератины К1 и К10 не используются в волосяном фолликуле и, в частности, во внешней оболочке (Lenoir et al., 1988, Dev. Biol. 130: 610-620), что трихогиалин (O’Guin et al., 1992, J. Invest. Dermatol. 98: 24-32) и кератин К6irs (Porter et al., 2001, Br. J.Dermatol. 145: 558-568) используются в волосяном фолликуле, более конкретно во внутренней оболочке, но не в эпидермисе, и что циклооксигеназа типа 1, если она используется в эпидермисе, используется не в кератиноцитах волосяного фолликула, а в волосяном сосочке (Michelet et al., 1997, J. Invest. Dermatol. 108: 205-209).
Заявитель выявил, что фермент, специфически задействованный в разрушении таких простогландинов, присутствует в волосяном сосочке, который является определяющим компартментом для жизни волоса. Действительно, заявитель доказал присутствие 15-гидроксипростогландиндегидрогеназы (сокращенно 15-PGDH) на этом уровне. Кроме того, он показал, что ингибирование 15-PGDH имеет благоприятное воздействие на рост волоса.
Таким образом, настоящее изобретение относится к композиции для ухода или обработки кератиновых волокон человека, в частности для ухода за волосами, содержащей по меньшей мере один конкретный ингибитор 15-гидроксипростогландиндегидрогеназы и физиологически приемлемую среду.
15-PGDH является ключевым ферментом в дезактивации простогландинов, в частности PGF2- и PGЕ2, которые являются важными медиаторами роста и выживания волос. Она относится к классификации ЕС 1.1.1.141 и является NAD+зависимой. Ее получают из почки свиньи; было отмечено ее ингибирование дозами гормона щитовидной железы, трийодотиронина, значительно превышающими физиологические дозы.
Однако никогда ранее не предлагалось использовать ингибитор 15-PGDH для сохранения и/или увеличения плотности кератиновых волокон человека и, в частности, капиллярной плотности и/или уменьшения разнородности диаметров кератиновых волокон и, в частности, волос человека. Под увеличением плотности кератиновых волокон и, в частности, капиллярной плотности подразумевают увеличение числа кератиновых волокон и конкретно волос на см2 кожи или волосяного покрова.
ОПИСАНИЕ ИЗОБРЕТЕНИЯ
Заявителем было неожиданно обнаружено, что некоторые гетероциклические соединения и, в частности, некоторые фенилфураны, фенилтиофены, фенилпирролы в солевой или несолевой форме обладают активностью, способствующей увеличению плотности кератиновых волокон человека, в частности капиллярной плотности. Кроме того, было обнаружено, что такие соединения являются ингибиторами 15-гидроксипростогландиндегидрогеназы.
Таким образом, объектом изобретения является применение, в частности, в косметических целях, по меньшей мере одного гетероциклического соединения формулы (I) или одной из его солей

в которой:
– Ну обозначает 4, 5, 6, или 7-членный гетероцикл, возможно, содержащий по меньшей мере одну карбонильную функциональную группу и/или одну тиокарбонильную функциональную группу, причем указанный гетероцикл возможно замещен по меньшей мере одним заместителем, выбранным из галогена, групп OR, SR, NRR’, COR, CSR, NRCONR’R”, C(=NR)R’, C(=NR)NR’R”, NRC(=NR’)NR”R”’, OCOR, COSR, SCOR, CSNRR’, NRCSR’, NRCSNR’R”, COOR, CONRR’, CF3, CN, NRCOR’, SO2R’, SO2NRR’, NRSO2R’, линейных или разветвленных насыщенных или ненасыщенных С1-С20-алкилов, 4-7-членных циклов, насыщенных или ненасыщенных, возможно, содержащих по меньшей мере один гетероатом, причем такие циклы могут быть индивидуальными или сцепленными, кроме того, алкильные радикалы и циклы могут быть замещенными, где R, R’, R” и R”’, одинаковые или разные, обозначают водород, линейный или разветвленный С1-С20-алкил или возможно замещенный арил;
– G обозначает O, S, NH;
– R1, R2 и R3 независимо друг от друга обозначают водород, галоген, группу OR0, SR0, NR0R0‘, COR0, CSR0, NR0CONR0‘R0”, C(=NR0)R0‘, C(=NR0)NR0‘R0”, NR0C(=NR0‘)NR0”R0”’, OCOR0, COSR0, SCOR0, CSNR0R0‘, NR0CSR0‘, NR0CSNR0‘R0”, COOR0, CONR0R0‘, CF3, NO2, CN, NR0COR0‘, SO2R0‘, SO2NR0R0‘, NR0SO2R0‘, линейный или разветвленный насыщенный или ненасыщенный С1-С20-алкил, по меньшей мере один 4-7-членный цикл, насыщенный или ненасыщенный, возможно, содержащий по меньшей мере один гетероатом, причем такие циклы могут быть индивидуальными или сцепленными, кроме того, алкильные радикалы и циклы могут быть замещенными, где R0, R0‘, R0” и R0”’, одинаковые или разные, обозначают водород, линейный или разветвленный С1-С20-алкил, или арил, возможно, замещенный;
в качестве агента, вызывающего и/или стимулирующего рост кератиновых волокон, в частности, человека, таких как ресницы и волосы человека, и/или препятствующего их выпадению и/или повышающему их плотность.
Изобретение применяется также в отношении кератиновых волокон млекопитающих (например, собак, лошадей или кошек).
Кроме того, изобретение относится к применению в косметических целях по меньшей мере одного гетероцикла формулы (I) или одной из его солей в косметической композиции для ухода и/или макияжа кератиновых волокон, вызывающей и/или стимулирующей их рост, препятствующей их выпадению и/или увеличивающей их плотность и/или применяемой для лечения андрогенной алопеции, а также к применению по меньшей мере одного соединения формулы (I) или одной из его солей для получения композиции для ухода или обработки кератиновых волокон, вызывающей и/или стимулирующей рост волокон, препятствующей их выпадению и/или увеличивающей их плотность и/или применяемой для лечения андрогенной алопеции.
Кератиновыми волокнами человека, к которым применяют изобретение, являются волосы, брови, ресницы, волоски бороды, усов и лобковые волосы. Более конкретно изобретение применяется в отношении волос и/или ресниц человека.
Кроме того, изобретение относится к применению в косметических целях по меньшей мере одного гетероциклического соединения формулы (I) или одной из его солей в косметической композиции для ухода за волосами с тем, чтобы уменьшить выпадение волос у человека и/или увеличить их плотность. Объектом изобретения является также применение в косметических целях по меньшей мере одного гетероциклического соединения формулы (I) или одной из его солей для получения композиции для ухода за волосами, вызывающей и/или стимулирующей рост волос человека и/или препятствующей их выпадению и/или увеличивающей их плотность.
Более конкретно изобретение относится к применению в косметических целях по меньшей мере одного гетероциклического соединения формулы (I) или одной из его солей в косметической композиции для ухода за волосами в целях лечения алопеции человека, естественного и, в частности, андрохроногенетического происхождения или к применению по меньшей мере одного гетероциклического соединения формулы (I) или одной из его солей для получения композиции для ухода за волосами, предназначенной для лечения алопеции человека, естественного и, в частности, андрогенного происхождения. Так, указанная композиция позволяет поддерживать хорошее состояние волос и/или препятствовать естественному выпадению волос и более конкретно волос человека.
Кроме того, изобретение относится к применению в косметических целях по меньшей мере одного гетероциклического соединения формулы (I) или одной из его солей в косметической композиции для ухода и/или макияжа ресниц человека, вызывающей и/или стимулирующей рост ресниц и/или увеличивающей их плотность, а также к применению по меньшей мере одного гетероциклического соединения формулы (I) или одной из его солей для получения композиции для ухода и/или лечения ресниц человека, вызывающей и/или стимулирующей рост ресниц и/или увеличивающей их плотность. Эта композиция позволяет поддерживать хорошее состояние ресниц и/или улучшить их состояние и/или их внешний вид.
Объектом изобретения также является композиция для ухода и/или макияжа кератиновых волокон, в частности, человека, содержащая физиологически приемлемую среду и по меньшей мере одно гетероциклическое соединение формулы (I) или одну из его солей.
Объектом изобретения также является применение по меньшей мере одного гетероциклического соединения формулы (I) или одной из его солей в качестве ингибитора 15-гидроксипростогландиндегидрогеназы кожи человека. Его объектом также является применение по меньшей мере одного гетероциклического соединения формулы (I) или одной из его солей для получения композиции, предназначенной для лечения нарушений, связанных с 15-гидроксипростогландиндегидрогеназой, в частности, у человека.
Объектом изобретения также является способ косметической обработки кератиновых волокон (в частности, волос и ресниц) и/или кожи, на которой растут указанные волокна, включая волосяной покров черепа и веки, в частности стимулирующий рост кератиновых волокон человека и/или препятствующий их выпадению, отличающийся тем, что на кератиновые волокна и/или кожу, на которой растут указанные волокна, наносят косметическую композицию, содержащую эффективное количество по меньшей мере одного соединения формулы (I) или одной из его солей, оставляют в контакте с кератиновыми волокнами и/или кожей, на которой растут указанные волокна, и, возможно, ополаскивают волокна и/или указанную кожу.
Этот способ обработки имеет признаки косметического способа в той мере, в которой он делает кератиновые волокна более эстетичными, повышая их прочность и улучшая внешний вид. Кроме того, его можно применять ежедневно в течение нескольких месяцев без предписания врача.
Более конкретно объектом изобретения является способ косметической обработки волос и/или волосяного покрова черепа человека в целях улучшения их состояния и/или их внешнего вида, отличающийся тем, что на волосы и/или волосяной покров черепа наносят косметическую композицию, содержащую эффективное количество по меньшей мере одного соединения формулы (I) или одной из его солей, оставляют в контакте с волосами и/или волосяным покровом и, возможно, ополаскивают волосы и/или волосяной покров.
Объектом изобретения также является способ косметического ухода и/или макияжа ресниц человека в целях улучшения их состояния и/или внешнего вида, отличающийся тем, что на ресницы и/или веки наносят композицию для ресниц, содержащую эффективное количество по меньшей мере одного соединения формулы (I) или одной из его солей и оставляют в контакте с ресницами и/или веками. Эту композицию для ресниц можно наносить отдельно или в качестве нижнего слоя под обычную цветную тушь для ресниц и удалять также, как обычную цветную тушь для ресниц.
Объектом изобретения также является композиция для ухода или макияжа кератиновых волокон, содержащая в косметически приемлемой среде, в частности, косметической, по меньшей мере одно соединение формулы (I) или одну из его солей и по меньшей мере одну целевую добавку, способствующую росту кератиновых волокон человека и/или ограничивающую выпадение, выбранную из аминексила, миноксидила, латанопроста, бутапроста и травопроста.
Объектом изобретения также является применение в косметических целях по меньшей мере одного гетероциклического соединения формулы (I) или одной из его солей в косметической композиции для поддержания уровня и/или активности простогландинов в волосяном фолликуле.
Объектом изобретения также является применение по меньшей мере одного гетероциклического соединения формулы (I) или одной из его солей для получения композиции, предназначенной для поддержания уровня и/или активности простагландинов в волосяном фолликуле.
ПОДРОБНОЕ ОПИСАНИЕ ВАРИАНТОВ ОСУЩЕСТВЛЕНИЯ ИЗОБРЕТЕНИЯ
Далее в тексте и, если специально не оговорено, выражение «соединение формулы (I)» подразумевает соединение формулы (I) в нейтральной, кислой или основной форме, а также в солевой форме.
Термин «ингибитор 15-гидроксипростогландиндегидрогеназы» подразумевает соединение формулы (I), способное ингибировать или понижать активность фермента 15-PGDH, в частности, человека, и/или способное ингибировать, уменьшать или замедлять реакцию, катализатором которой является этот фермент.
В соответствии с предпочтительным вариантом осуществления изобретения соединение формулы (I) является специфическим ингибитором 15-PGDH; термин «специфический ингибитор» подразумевает активное вещество, которое является в незначительной степени или не является ингибитором синтеза простогландинов, в частности, синтеза PGF2- или PGE2. В соответствии с частным вариантом осуществления изобретения ингибитор 15-PGDH является в незначительной степени или не является ингибитором синтеза простогландинов, в частности, синтеза PGF2- или PGE2. В соответствии с частным вариантом осуществления изобретения ингибитор 15-PGDH является в незначительной степени или не является ингибитором простогландинсинтазы (PGF-синтазы).
Действительно, заявителем было обнаружено, что PGF-синтаза также используется в волосяном сосочке. Сохранение эффективного количества простогландинов на сайте активности является результатом сложного биологического равновесия между синтезом и распадом этих молекул. Экзогенное поступление соединений, ингибирующих катаболизм, является, следовательно, менее эффективным, если такая активность комбинируется с ингибированием синтеза этих простогландинов.
Преимущественно соединения формулы (I) в солевой или несолевой форме обладают более высокой ингибирующей активностью в отношении 15-PGDH, чем в отношении PGF-синтазы. Более конкретно соотношение между ингибирующими активностями в отношении соответственно PGF-синтазы и 15-PGDH при заданной концентрации, для которых определяющими являются, в частности, концентрации, ингибирующие на 50% энзиматическую активность соответственно PGF-синтазы IC50sf и 15-PGDH IC50dh, по меньшей мере больше 1 и, в частности, по меньшей мере составляет 3:1, предпочтительно больше или равно 5:1. Соотношение IC50sf/IC50dh предпочтительных соединений согласно изобретению больше или равно 10:1.
Термин “по меньшей мере” согласно изобретению подразумевает один или несколько (2, 3 или более). В частности, композиция может содержать одно или несколько соединений формулы (I). Это или эти соединения могут быть изомерами цис или транс или Z или E или смесью изомеров цис/транс или Z/E. Они также могут иметь таутомерную форму. Более конкретно гетероцикл Ну может быть в положении цис или транс или Z или E и предпочтительно в положении Z двойной смежной связи. Это или эти соединения могут быть энантиомерами и/или диастереоизомерами или смесью таких изомеров, в частности, рацемической смесью.
Термин “алкильный радикал” подразумевает согласно изобретению углеводородный радикал, который может быть линейным или разветвленным и насыщенным или ненасыщенным. Предпочтительно алкильный радикал содержит от 1 до 10 атомов углерода. В качестве примера алкильного радикала, используемого согласно изобретению, можно назвать радикалы метил, этил, изопропил, n-бутил, трет-бутил, n-гексил, этил-2-гексил, этилен, пропилен. Этот радикал может быть замещен, в частности, OR0, где R0 обозначает Н или насыщенный линейный или разветвленный С1-С20-алкил и предпочтительно С1-С10-алкил, например, С1-С5-алкил.
Согласно изобретению одним или несколькими гетероатомами Ну могут являться O, N, S, P, Si, Se и, в частности, O, N, S. Гетероцикл Ну может быть насыщенным или ненасыщенным. Кроме того, он может быть 4, 5, 6 или 7-членным и содержать одну или несколько карбонильных или тиокарбонильных функциональных групп или обе, причем углерод, содержащийся в этих группах, входит в гетероцикл.
В частном варианте осуществления изобретения Ну обозначает ароматический 5-членный цикл, содержащий в качестве гетероатома серу, азот и их сочетание. Кроме того, этот гетероцикл Ну содержит одну или несколько карбонильных функциональных групп, углерод которых входит в гетероцикл. В качестве примера такого гетеоцикла можно привести следующую формулу (II):

где Z, Z’и X независимо обозначают S или O и R обозначает H или насыщенный линейный или разветвленный С1-С10-алкильный радикал. Х может также обозначать NH. Преимущественно Z и Z’ обозначают кислород, что соответствует циклу 1,3-тиазолидин-2,4-диона.
Согласно изобретению циклы, используемые в качестве заместителя (S1), содержат от 4 до 7 атомов, предпочтительно от 5 до 6 атомов. Они могут быть насыщенными или ненасыщенными и, возможно, содержать один или несколько гетероатомов, таких как S, N, O или их сочетание. Кроме того, эти циклы могут быть индивидуальными или соединенными с другим циклом, имеющим или не имеющим такую же химическую структуру. Если они сцеплены, они образуют конденсированный цикл.
В качестве применимых насыщенных углеводородных циклов можно назвать радикал циклопентил или циклогексил, а в качестве ненасыщенных углеводородных циклов можно назвать циклогексенильный или фенильный цикл. В качестве сцепленных углеводородных циклов можно назвать радикал нафтил. В качестве гетероцикла можно назвать циклы пиридиновый, пиперидиновый, морфолиновый, пирроловый, фурановый, тиазоловый. Кроме того, эти циклы могут быть замещены одним или несколькими заместителями, обозначенными выше как R или R0.
Согласно изобретению соединения формулы (I) имеют изолированную, т.е. неполимерную форму. Это фенилфураны, фенилтиофены или фенилпирролы. Кроме того, R1 может находиться в положении 3 или 4, если считать, что G находится в положении 1 пятичленного цикла. Кроме того, R2 и R3 могут находиться в любом положении содержащего их фенильного цикла и, в частности, в положении пара или мета следующей части (А):

Предпочтительно R1 обозначает атом водорода.
Преимущественно по меньшей мере один из R2 и R3 обозначает CF3, OR0 или COOR0, где R0 обозначает Н или насыщенный или ненасыщенный линейный или разветвленный С1-С20-алкил и предпочтительно С1-С10-алкил. В качестве примера применимого алкильного радикала можно назвать метил, этил, трет-бутил, изопропил, н-бутил, н-гексил. В частности COOR0 обозначает СООН или СООСН2-СН3. Кроме того, OR0 обозначает, в частности, ОН или ОСН3. Более конкретно R2 обозначает СООН или ОН и R3 обозначает Н; R2 обозначает СООСН2-СН3 и R3 обозначает Н; или R2 и R3 обозначают CF3 или ОСН3.
Соли соединения формулы (I) согласно изобретению – это органические или неорганические простые или двойные соли соединения формулы (I).
В качестве неорганических солей, используемых согласно изобретению, можно назвать: простые или двойные соли натрия или калия, а также соли цинка (Zn2+), кальция (Ca2+), меди (Cu2+), железа(Fe2+), стронция (Sr2+), магния (Mg2+), аммония и марганца (Mn2+); гидроксиды, карбонаты, галогениды (такие как хлориды), сульфаты, нитраты, фосфаты. Предпочтительно солью является соль натрия.
Органическими солями, используемыми согласно изобретению, являются, например, соли триэтаноламина, моноэтаноламина, диэтаноламина, гексадециламина, N,N,N’N’-тетракис(гидроксипропил-2)этилендиамина, трисгидроксиметиламинметана.
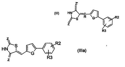
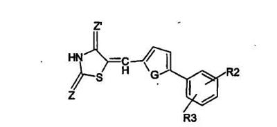
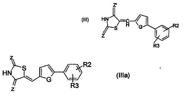
В соответствии с частным вариантом осуществления изобретения гетероциклические соединения, к которым относится изобретение, имеют следующие формулу (III) или предпочтительно формулу (IIIa) или соответствующую солевую форму (моно или двойную):

в которых Z, Z’ и G независимо обозначают О или S; по меньшей мере один из R2 и R3 обозначает CF3, OR0 или COOR0, где R0 обозначает Н или насыщенный или ненасыщенный линейный или разветвленный С1-С20-алкил и предпочтительно С1-С10-алкил.
Объектом изобретения также является новое гетероциклическое соединение следующей формулы (IV) или одна из его солей, обладающее, в частности, способностью ингибировать 15-PGDH и/или поддерживать уровень и/или активность простагландинов, в частности, в волосяном фолликуле человека:

в которой Z, Z’ и G независимо обозначают О или S; Х обозначает O, NH или S; R обозначает водород или насыщенный линейный или разветвленный С1-С10-алкильный радикал; по меньшей мере один из R2 и R3 обозначает водород, CN, NO2, CF3, фенильный радикал, OR0 или COOR0, насыщенный линейный или разветвленный С1-С20-алкил и предпочтительно С1-С10-алкил, возможно, замещенный OR0, где R0 обозначает Н или насыщенный линейный или разветвленный С1-С20-алкил и предпочтительно С1-С10-алкил, при условии, что если X=S и Z=Z’=G или Z Z’, то R2 и R3 не обозначают СООН.
В соответствии с частным вариантом осуществления гетероциклическое соединение имеет следующую формулу (V) или является соответствующей солью:

в которой Z, Z’ и G независимо обозначают О или S; по меньшей мере один из R2 и R3 обозначает фенил, NO2, CF3, OR0, COOR0 или насыщенный линейный или разветвленный С1-С20-алкил и предпочтительно С1-С10-алкил, возможно, замещенный OR0, где R0 обозначает Н или насыщенный линейный или разветвленный С1-С20-алкил и предпочтительно С1-С10-алкил, при условии, что если Z=Z’=G или Z Z’, то R2 и R3 не обозначают СООН.
Преимущественно, если Z=Z’=G, по меньшей мере один из R2 и R3 обозначает CF3, OR0 или COOR0, где R0 обозначает насыщенный линейный или разветвленный С1-С10-алкил и предпочтительно С1-С5-алкил. В соответствии с другим предпочтительным вариантом осуществления изобретения, если Z=Z’ и не обозначает G, по меньшей мере один из R2 и R3 обозначает CF3 или COOR0, где R0 обозначает Н.
В соответствии с другим предпочтительным вариантом осуществления изобретения гетероциклическое соединение имеет следующую формулу (VI) или является соответствующей солью:

в которой Z, Z’ и G независимо обозначают О или S; по меньшей мере один из R2 и R3 обозначает водород, CN, CF3, NO2, OR0, COOR0 или насыщенный линейный или разветвленный С1-С20-алкил и предпочтительно С1-С10-алкил, возможно, замещенный OR0, где R0 обозначает Н или насыщенный линейный или разветвленный С1-С20-алкил и предпочтительно С1-С10-алкил.
В соответствии с другим вариантом осуществления изобретения гетероциклическое соединение имеет следующую формулу (VII) или является соответствующей солью:

в которой Z, Z’и G независимо обозначают О или S; R обозначает насыщенный линейный или разветвленный С1-С10-алкил; по меньшей мере один из R2 и R3 обозначает насыщенный линейный или разветвленный С1-С20-алкил и предпочтительно С1-С10-алкил, NO2, OR0, где R0 обозначает Н или насыщенный линейный или разветвленный С1-С20-алкил и предпочтительно С1-С10-алкил.
Предпочтительно гетероциклическое соединение согласно изобретению имеет форму Z.
Насколько известно заявителю, ни в одном документе-аналоге не описано и не подразумевается, что гетероциклические соединения формулы (I) или одна из их солей обладают свойством вызывать и/или стимулировать рост кератиновых волокон человека и, в частности, волос и ресниц и/или препятствовать их выпадению и что эти соединения могут иметь местное применение для увеличения плотности кератиновых волокон человека и более конкретно волос и ресниц.
Соединения формулы (I) или их соли можно получить известным способом, описанным в документе WO 01/066541. При комнатной температуре соединения формулы (I) находятся в твердом состоянии.
Эффективное количество соединения формулы (I) или одной из его солей соответствует количеству, необходимому для получения желаемого результата (а именно, увеличения плотности кератиновых волокон человека, более конкретно волос и ресниц, или стимуляции их роста). Следовательно, специалист может определить такое эффективное количество в зависимости от природы применяемого соединения, от пользователя и от продолжительности этого применения.
Далее в тексте, если специально не оговорено, количества разных компонентов композиции приведены в массовых процентах по отношению к общей массе композиции.
С тем чтобы дать представление о порядке величин согласно изобретению, соединение формулы (I) или одна из его солей или смесь соединений формулы (I) и/или их солей можно использовать в количестве от 10-3 до 10% по отношению к общей массе композиции и предпочтительно в количестве от 10-3 до 5% и более предпочтительно от 10-2 до 2% по отношению к общей массе композиции, например от 0,5 до 2%.
Композицию согласно изобретению можно применять в косметических или лечебных целях. Предпочтительно композиция согласно изобретению применяется в косметических целях. Так, композиция должна содержать физиологически приемлемую нетоксичную среду, которую можно наносить на кожу, включая волосяной покров и веки, и на кератиновые волокна человека. Под «косметической» согласно настоящему изобретению подразумевают композицию, имеющую приятный вид, запах и приятную на ощупь.
Соединение формулы (I) в солевой или несолевой форме можно использовать в композиции, предназначенной для приема внутрь, инъекций или нанесения на кожу или на кератиновые волокна (на весь участок кожи или волокон, подлежащий обработке).
Согласно изобретению соединение формулы (I) или одну из его солей можно применять перорально в количестве от 0,1 до 300 мг в день, например от 5 до 10 мг/день.
Согласно изобретению предпочтительной является композиция для косметического применения и, в частности, для местного нанесения на кожу или кератиновые волокна и более конкретно на волосяной покров, волосы и ресницы.
Объектом изобретения также является композиция для ухода или макияжа кератиновых волокон, в частности композиция для ухода за волосами или для ресниц для местного применения, содержащая физиологически приемлемую среду и эффективное количество по меньшей мере одного соединения формулы (I) или одной из его солей, как описано выше.
Эта композиция может иметь любые известные и приемлемые галеновые формы.
Композиция для местного применения на коже может иметь форму раствора или водной, спиртовой или водно-спиртовой суспензии или масляной суспензии, эмульсии, имеющей более или менее текучую консистенцию и, в частности, жидкую или полужидкую, полученную путем диспергирования жирной фазы в водной фазе (Н/Е) или наоборот (Е/Н), твердой эмульсии (Н/Е) или (Е/Н), водного, водно-спиртового или масляного геля, более или менее текучего или твердого, обычной или компактной пудры, используемой как таковой или в физиологически приемлемой среде, или в виде микрокапсул или микрочастиц, везикулярных дисперсионных систем, ионного и/или неионного типа.
Композиция также может иметь форму пены, или спрея или аэрозоля и содержать в этом случае пропеллент под давлением.
Она также может быть в виде лосьона, сыворотки, молочка, крема Н/Е или Е/Н, геля, мази, помады, бальзама, пластыря, пропитанного тампона, бруска мыла, пенки.
Более конкретно композиция для нанесения на волосяной покров или волосы может быть в виде лосьона для ухода, используемого, например, ежедневно или два раза в неделю, шампуня или средства, применяемого после мытья шампунем для ухода за волосами, в частности, применяемого один или два раза в неделю, жидкого или твердого мыла для ежедневного очищения волосяного покрова, средства для укладки волос (лака, средства для завивки, геля для укладки), лечебной маски, пенящегося крема или геля для очищения волос. Она также может быть в виде краски или туши для ухода за ресницами, которую накладывают кисточкой или расческой.
Кроме того, для нанесения на ресницы или волоски композиция согласно изобретению может быть в виде цветной или бесцветной туши для ресниц, которую наносят щеточкой на ресницы или на волоски бороды или усов.
Композиция, применяемая для инъекций, может быть в виде водного лосьона или масляной суспензии. Для перорального применения композиция может быть в форме капсул, гранул, питьевых сиропов или таблеток.
В соответствии с частным вариантом осуществления композиция согласно изобретению может быть в виде крема или лосьона для ухода за волосами, шампуня или средства, применяемого после мытья шампунем для ухода за волосами, туши для ухода или туши для ресниц.
Содержание различных компонентов композиции согласно изобретению такое же, как обычно используют в указанных областях. Кроме того, эти композиции получают традиционными способами.
Если композиция представляет собой эмульсию, количество жирной фазы может достигать от 2 до 80 мас.%, предпочтительно от 5 до 50 мас.% по отношению к общей массе композиции. Содержание водной фазы регулируют в зависимости от содержания жирной фазы и соединения или соединений (I), а также содержания возможных дополнительных компонентов до получения 100 мас.%. На практике водная фаза составляет от 5 до 99,9%.
Жирная фаза может содержать алифатические или маслянистые соединения, жидкие при комнатной температуре (25°С) и атмосферном давлении (760 мм Hg), обычно называемые маслами. Эти масла могут быть совместимы или несовместимы друг с другом и образовывать алифатическую жидкую фазу, макроскопически однородную, или двух- или трехфазную систему.
Кроме масел алифатическая фаза может содержать воски, смолы, липофильные полимеры, «пастообразные» или вязкие вещества, содержащие твердые части или жидкие части.
Водная фаза содержит воду и, возможно, компонент, способный смешиваться с водой в любом количестве, такой как низшие (С1-С8)-спирты, например, этанол, изопропанол, полиолы, такие как пропиленгликоль, глицерин, сорбитол или ацетон или простой эфир.
Для получения композиции в виде эмульсии используют те же эмульгаторы и совместные эмульгаторы, которые обычно применяют в области косметики и фармацевтики. Кроме того, их природа зависит от направления эмульсии. На практике эмульгатор и возможно совместный эмульгатор содержатся в композиции в количестве от 0,1 до 30 мас.%, предпочтительно от 0,5 до 20 мас.% и более предпочтительно от 1 до 8%. Кроме того, эмульсия может содержать липидные везикулы и, в частности, липосомы.
Композиция в виде раствора или масляного геля может содержать алифатическую фазу в количестве более 90 мас.% от общей массы композиции.
Предпочтительно композиция для ухода представляет собой водный, спиртовой или водно-спиртовой раствор или суспензию и преимущественно раствор или суспензию вода/этанол. Спиртовая фракция может составлять от 5 до 99,9% и предпочтительно от 8 до 80%.
Композиция согласно изобретению для применения в виде туши для ресниц представляет собой дисперсную систему «воск в воде» или «воск в масле», желатинированное масло, водный гель, цветной или бесцветный.
Кроме того, композиция согласно изобретению может содержать другие компоненты, обычно применяемые в рассматриваемых областях, которые выбирают из растворителей, загустителей или средств, желатинирующих водную фазу или маслянистую фазу, красителей, растворимых в среде, входящей в состав композиции, твердых частиц типа наполнителей или пигментов, антиоксидантов, консервантов, отдушек, электролитов, нейтрализующих средств, пленкообразующих полимеров, блокаторов УФ, таких как солнечные фильтры, активных косметических или лечебных веществ, оказывающих благоприятное воздействие на кожу или кератиновые волокна, кроме соединений формулы (I), их смесей. Эти добавки могут содержаться в композиции в обычно используемых в косметологии и дерматологии количествах и, в частности, от 0,01 до 50% от общей массы композиции, предпочтительно от 0,1 до 20%, например, от 01 до 10%. В зависимости от их природы эти добавки можно вводить в алифатическую фазу, в водную фазу и/или в липидные везикулы, и более конкретно в липосомы.
Конечно специалист выберет возможные целевые добавки и/или их количество так, чтобы преимущественные свойства композиции согласно изобретению, а именно специфическая ингибирующая способность в отношении 15-PGDH и более конкретно увеличение плотности кератиновых волокон (волос или ресниц) не были или не были существенно изменены указанными добавками.
В качестве растворителей, приемлемых для целей изобретения, можно назвать низшие С2-С8-спирты, такие как этанол, изопропанол, пропиленгликоль и некоторые косметические легкие масла, такие как С6-С16-алканы.
В качестве жиров, приемлемых для целей изобретения, можно назвать масла минерального происхождения (вазелиновое масло, гидрогенизированный изопарафин), масла растительного происхождения (жидкая фракция жира плодов масляного дерева бассии, подсолнечное масло, масло из абрикосовых косточек, алифатический спирт или кислота), жиры животного происхождения (пергидросквалан), синтетические масла (эфир жирной кислоты, масло Purcellin), силиконовые масла (линейный или циклический полидиметилсилоксан, фенилтриметикон) и фторсодержащие масла (простые перфторполиэфиры). Из восков можно назвать силиконовые воски, воск пчелиный, рисовый, канделильский, карнаубский или парафиновый, полиэтиленовый.
В качестве эмульгаторов, приемлемых для целей изобретения, можно назвать, например, стеарат или лаурат глицерина, стеараты или олеаты сорбитола, алкилдиметиконкоополиолы (где алкил 8) и их смеси для получения эмульсии Е/Н. Можно также использовать моностеарат или монолаурат полиэтиленгликоля, полиоксиэтилированный стеарат или олеат сорбитола, диметиконкополиолы и их смеси для получения эмульсии Н/Е.
В качестве гидрофильных гелеобразующих веществ, приемлемых для целей изобретения, можно назвать карбоксивиниловые полимеры (карбомер), акриловые сополимеры, такие как сополимеры акрилатов/алкилакрилатов, полиакриламиды, полисахариды, такие как гидроксипропилцеллюлоза, натуральные смолы и глины, а в качестве липофильных гелеобразующих веществ можно назвать модифицированные глины, такие как бентонитовые, соли металлов и жирных кислот, такие как стеараты алюминия, гидрофобная модифицикация кремнезема, этилцеллюлозу, их смеси.
Кроме того, композиция может содержать косметическое или лекарственное активное вещество кроме соединений формулы (I), которое может быть гидрофильным и которое выбирают из протеинов, гидролизатов протеинов, аминокислот, полиолов, мочевины, аллантоина, сахаров и производных сахара, водорастворимых витаминов, растительных экстрактов (экстрактов касатиковых или сои) и гидроксикислот, таких как фруктовые кислоты или салициловая кислота; или которое может быть липофильным и которое выбирают из ретинола (витамин А) и его производных, в частности, сложного эфира (ретинола пальмитат), токоферола (витамин Е) и его производных, в частности, сложного эфира (токоферолацетат), основных жирных кислот, керамидов, эфирных масел, производных салициловой кислоты, таких как салициловый н-октаноил-5, эфиров гидроксикислот, фосфолипидов, таких как лецитин, их смесей.
В соответствии с частным вариантом осуществления изобретения соединение формулы (I) или одну из его солей можно объединять по меньшей мере с одним дополнительным активным соединением, способствующим росту и/или ограничивающим выпадение кератиновых волокон (волос, ресниц). Эти дополнительные соединения выбирают, в частности, из ингибиторов липоксигеназы, таких как описаны в ЕР 0648488, ингибиторов брадикинина, описанных, в частности, в ЕР 0845700, простогландинов и их производных, в частности, описанных в WO 98/33497, WO 95/11003, JP 97-100091, JP 96-134242, агонистов или антагонистов рецепторов простогландинов, непростоноидных аналогов простогландинов, описанных в ЕР 1175891 и ЕР 1175890, WO 01/74307, WO 01/74313, WO 01/74314, WO 01/74315 или WO 01/72268, их смесей.
В качестве других дополнительных активных веществ, способствующих росту кератиновых волокон (в частности волос) и/или ограничивающих их выпадение, в композиции согласно изобретению могут присутствовать вазодилататоры, антиандрогены, циклоспорины и их аналоги, противомикробные и противогрибковые вещества, противовоспалительные вещества, ретиноиды, индивидуально или в виде смеси.
Пригодными вазодилататорами являются, в частности, агонисты калиевых каналов, включая миноксидин и соединения, описанные в патентах US 3382247, 5756092, 5772990, 5760043, 5466694, 5438058, 4973474, кромакалим, никорандил и диаксозид, индивидуально или в виде сочетаний.
К пригодным антиандрогенам относятся, в частности, стероидные или нестероидные ингибиторы 5 -редуктазы, такие как финастерид, а также соединения, описанные в US 5516779, криптостеронацетат, азелаиновая кислота, ее соли и ее произодные и соединения, описанные в US 5480913, флутамид, оксендолон, спиронолактон, диэтилстилбестрол и соединения, описанные в патентах US 5411981, 5565467 и 4910226.
Противомикробные и противогрибковые средства могут быть выбраны из производных селена, октопирокса, кетоконазола, триклокарбана, триклозана, пиритиона цинка, итраконазола, азиатиновой кислоты, хинокитиола, мипироцина, тетрациклинов, в частности эритромицина и соединений, описанных в ЕР 0680745, хлоргидрата клиницина, пероксида бензоила или бензила, миноциклина и соединений, относящихся к классу имидазолов, таких как эконазол, кетоконазол или миконазол или их солей, эфиров никотиновой кислоты, в частности никотината токоферола, никотината бензила и никотинатов С1-С6-алкила, таких как метил- или гексилникотинаты.
Противовоспалительные вещества могут быть выбраны из стероидных противовоспалительных веществ, таких как глюкокортикоиды, кортикостероиды (например, гидрокортизон) и нестероидных противовоспалительных веществ, таких как глицирретиновая кислота и -бизаболол, бензидамин, салициловая кислота и соединения, описанные в ЕР 0770399, WO 94/06434 и FR 2268523.
Ретиноиды могут быть выбраны из изотретиноина, ацитретина и тазаротена.
В качестве других активных соединений, способствующих росту и/или ограничивающих выпадение волос, применимых в сочетании с соединением формулы (I), можно назвать аминексил, 6-0-[(9Z,12Z)-октадека-9,12-диеноил]гексапиранозу, хлорид бензалкония, хлорид бензетония, фенол, эстрадиол, малеат хлорфенирамина, производные хлорофилина, холестерин, цистеин, метионин, ментол, масло мяты перечной, пантотенат кальция, пантенол, резорцинол, активаторы протеинкиназы С, ингибиторы гликозидазы, ингибиторы гликозамингликоназы, эфиры пироглютаминовой кислоты, гексосахарных или ацилгексосахарных кислот, арил-замещенные этилены, N-ацилированные аминокислоты, флавоноиды, производные и аналоги аскомицина, антагонисты гистамина, сапонины, ингибиторы протеогликаназы, агонисты и антагонисты эстрогенов, псевдотерины, цитокины и промотеры факторов роста, ингибиторы IL-1 или IL-6, промотеры IL-10, ингибиторы TNF, бензофеноны и гидантоин, ретиноевая кислота; витамины, такие как витамин D, аналоги витамина В12 и пантотенола; тритерпены, такие как урсоловая кислота и соединения, описанные в US 5529769, US 5468888, US 5631282; противозудные средства, такие как теналдин, тримепразин или ципрогептадин; противопаразитарные средства, в частности метронидазол, кротамитон или пиретриноиды; антагонисты кальция, такие как циннаризин, дилтиазем, нимодипин, верапамил и нифедипин; гормоны, такие как эстриол или его аналоги, тироксин и его соли, прогестерон; агонисты рецептора FP (рецептор простогландинов типа F), такие как латанопрост, биматопрост, травопрост, унопростон; и их смеси.
Преимущественно композиция согласно изобретению содержит по меньшей мере один ингибитор 15-PGDH, описанный выше, и по меньшей мере один простогландин или одно производное простогландина, например простогландины серии 2, в частности PGF2- и PGЕ2, в виде солей или сложных эфиров (например, сложные изопропиловые эфиры), их производные, такие как 16,6-диметил PGЕ2, 17-фенил PGF2- , простогландины серии 1, такие как 11-деоксипростогландин Е1, 1-деоксипростогландин Е1, в виде солей или сложных эфиров, их аналоги, в частности латанопрост, травопрост, биматопрост, флупростенол, клопростенол, випростол, битапрост, мизопростол, унопростон, их соли или их сложные эфиры.
Предпочтительно композиция содержит по меньшей мере один непростаноидный агонист рецепторов ЕР2 и/или ЕР4, в частности, описанный в ЕР 1175892.
Композиция, содержащая по меньшей мере одно соединение формулы (I) в солевой или несолевой форме, может иметь липосомную форму, которая например, описана в документе WO 94/22468. Так, соединение, капсулированное в липосомах, может селективно поступать в волосяной фолликул или в основание ресницы.
Композицию согласно изобретению можно наносить на участки волосяного покрова, подверженные алопеции, и волосы человека и можно оставлять в контакте в течение нескольких часов, и возможно ополаскивать.
Можно, например, наносить композицию, содержащую эффективное количество соединения формулы (I) в солевой или несолевой форме, вечером и оставлять ее в контакте на ночь и, возможно, очищать кератиновые волокна, например, мыть шампунем, на следующее утро. Такие аппликации можно повторять ежедневно в течение одного или нескольких месяцев в зависимости от состояния пользователей.
Согласно предлагаемому способу на обрабатываемые участки волосяного покрова наносят преимущественно от 5 до 500 мкл раствора или композиции, описанной выше, содержащей от 0,001 до 5% ингибитора 15-PGDH.
В качестве иллюстрации ниже приведены примеры осуществления изобретения, не ограничивающие его объем.
ПРИМЕРЫ
В качестве примеров гетероциклических композиций формулы (I), пригодных для изобретения, можно назвать следующие соединения:
Соединение 1: 4-{5-[2,4-диоксо-1,3-тиазолидин-5-илиден)метил]-2-фурил}бензойная кислота

И более конкретно соединение 1а:

Соединение 2: 4-{5-[(2,4-диоксо-1,3-тиазолидин-5-илиден)метил]-2-фурил}этилбензоат

Соединение 3: 5-{5-[3,5-бис(трифторметил)фенил]-2-фурил}метилен-1,3-тиазолидин-2,4-дион

Соединение 4: 3-{5-[(2,4-диоксо-1,3-тиазолидин-5-илиден)метил]-2-фурил}бензойная кислота

Соединение 5: 4-{5-[(2,4-диоксо-1,3-тиазолидин-5-илиден)метил]-2-тиофил}бензойная кислота

Соединение 6: 4-{5-[(2-сульфо-4-оксо-1,3-тиазолидин-5-илиден)метил]-2-фурил}бензойная кислота

Соединение 7: 4-{5-[(2,4-дисульфо-1,3-тиазолидин-5-илиден)метил]-2-фурил}бензойная кислота

Соединение 8: двойная натриевая соль 4-{5-[(2,4-дисульфо-1,3-тиазолидин-5-илиден)метил]-2-фурил}бензойной кислоты (изомер Z)

Преимущественно соединение формулы (I) является двойной натриевой солью 4-{5-[(2,4-дисульфо-1,3-тиазолидин-5-илиден)метил]-2-фурил}бензойной кислоты и в частности изомером в форме Z.
В качестве других соединений формулы (I), применимых согласно изобретению, можно также назвать:
| Гетероциклическая структура D |
Внешний вид |
Чистота ЖХ* |
МС** |
Название |
 Соединение D1 |
Порошок рыжего цвета |
93 |
М + Н M + Na |
5-[5-(3,4-диметоксифенил)фуран-2-илметилен]-3-этил-2-тиоксооксазолидин-4-он |
 Соединение D2 |
красный порошок |
100 |
M + Na |
5-[5-(2,5-диметоксифенил)фуран-2-илметилен]-3-этил-2-тиоксооксазолидин-4-он |
 Соединение D3 |
красный порошок |
100 |
М – Н M + Na |
3-этил-5-[5-(4-метил-3-нитрофенил)фуран-2-илметилен]-2-тиоксооксазолидин-4-он |
| Гетероциклическая структура Е |
Внешний вид |
Чистота ЖХ |
МС |
Название |
 Соединение Е1 |
Красный порошок |
91 |
М + Н M + Na М – Н |
5-[5-(3,4-диметоксифенил)фуран-2-илметилен]-2-тиоксоимидазолидин-4-он |
 Соединение Е2 |
Красная смола |
100 |
М + Н М – Н |
5-[5-(3-гидроксиметилфенил)фуран-2-илметилен]-2-тиоксоимидазолидин-4-он |
 Соединение Е3 |
оранжевое твердое в-во |
100 |
М – Н |
2-тиоксо-5-[5-(4-трифторметилфенил)фуран-2-илметилен]имидазолидин-4-он |
 Соединение Е4 |
Красный порошок |
73 |
М – Н |
5-[5-(4-метил-3-нитрофенил)фуран-2-илметилен]-2-тиоксоимидазолидин-4-он |
 Соединение Е5 |
Порошок каштанового цвета |
93 |
М – Н |
4-[5-(5-оксо-2-тиоксоимидазолидин-4-илиденметил)фуран-2-ил]бензонитрил |
 Соединение Е6 |
Оранжевый порошок |
89 |
М + Н M + Na М – Н |
Метиловый эфир 3-[5-(5-оксо-2-тиоксоимидазолидин-4-илиденметил)фуран-2-ил]бензойной кислоты |
 Соединение Е7 |
Порошок каштанового цвета |
100 |
М – Н |
5-[5-(3,4-диметоксифенил)тиофен-2-илметилен]-2-тиоксоимидазолидин-4-он |
 Соединение Е8 |
Порошок бордового цвета |
65 |
М – Н |
5-[5-(2,5-диметоксифенил)тиофен-2-илметилен]-2-тиоксоимидазолидин-4-он |
 Соединение Е9 |
Оранжевый порошок |
90 |
М – Н |
2-тиоксо-5-[5-(4-трифторметилфенил)тиофен-2-илметилен]имидазолидин-4-он |
 Соединение Е10 |
Черный порошок |
66 |
М – Н |
4-[5-(5-оксо-2-тиоксоимидазолидин-4-илиденметил)тиофен-2-ил]бензонитрил |
 Соединение Е11 |
Порошок каштанового цвета |
90 |
М – Н |
Метиловый эфир 3-[5-(5-оксо-2-тиоксоимидазолидин-4-илиденметил)тиофен-2-ил]бензойной кислоты |
 Соединение Е12 |
Оранжевый порошок |
64 |
М – Н |
5-[4-(4-метил-3-нитрофенил)-тиофен-2-илметилен]-2-тиоксоимидазолидин-4-он |
 Соединение Е13 |
Желтый порошок |
53 |
М – Н |
4-[5-(5-оксо-2-тиоксоимидазолидин-4-илиденметил)тиофен-3-ил]бензонитрил |
 Соединение Е14 |
Желтый порошок |
91 |
М – Н |
Метиловый эфир 3-[5-(5-оксо-2-тиоксоимидазолидин-4-илиденметил)тиофен-3-ил]бензойной кислоты |
 Соединение Е15 |
Красная смола |
100 |
М – Н |
5-(5-фенилфуран-2-илметилен)-2-тиоксоимидазолидин-4-он |
 Соединение Е16 |
Оранжевое твердое в-во |
81 |
М – Н |
5-(5-фенилтиофен-2-илметилен)-2-тиоксоимидазолидин-4-он |
| Гетероциклическая структура F |
Внешний вид |
Чистота ЖХ |
МС |
Название |
 Соединение F1 |
Оранжевый порошок |
90 |
М – Н |
5-[5-(3,4-диметоксифенил)фуран-2-илметилен]тиазолидин-2,4-дион |
 Соединение F2 |
Желтый порошок |
88 |
М – Н |
5-(5-бифенил-4-илфуран-2-илметилен)тиазолидин-2,4-дион |
 Соединение F3 |
Желтый порошок |
91 |
М – Н |
5-[5-(3-гидроксиметилфенил)-фуран-2-илметилен]тиазолидин-2,4-дион |
 Соединение F4 |
Оранжевая вата |
100 |
М – Н |
5-[5-(2,5-диметоксифенил)фуран-2-илметилен]тиазолидин-2,4-дион |
 Соединение F5 |
Желтый порошок |
100 |
М – Н |
5-[5-(4-трифторметилфенил)фуран-2-илметилен]тиазолидин-2,4-дион |
 Соединение F6 |
Желтый порошок |
69 |
M + Na М – Н |
5-[5-(4-метил-3-нитрофенил)фуран-2-илметилен]тиазолидин-2,4-дион |
 Соединение F7 |
Смола каштанового цвета |
100 |
М – Н |
4-[5-(2,4-диоксотиазолидин-5-илиденметил)фуран-2-ил]бензонитрил |
 Соединение F8 |
Желтый порошок |
61 |
М – Н |
Метиловый эфир 3-[5-(2,4-диоксотиазолидин-5-илиденметил)фуран-2-ил]бензойной кислоты |
 Соединение F9 |
Оранжевый порошок |
93 |
М – Н |
5-[5-(3-гидроксиметилфенил)-тиофен-2-илметилен]тиазолидин-2,4-дион |
 Соединение F10 |
Оранжевый порошок |
59 |
М – Н |
5-[5-(2,5-диметоксифенил)тиофен-2-илметилен]тиазолидин-2,4-дион |
 Соединение F11 |
Красное твердое в-во |
100 |
М – Н |
5-[5-(4-трифторметилфенил)-тиофен-2-илметилен]тиазолидин-2,4-дион |
 Соединение F12 |
Порошок рыжего цвета |
56 |
М – Н |
5-[5-(4-метил-3-нитрофенил)тиофен-2-илметилен]тиазолидин-2,4-дион |
 Соединение F13 |
Красный порошок |
41 |
М – Н |
4-[5-(2,4-диоксотиазолидин-5-илиденметил)тиофен-2-ил]бензонитрил |
 Соединение F14 |
Красный порошок |
54 |
М – Н |
Метиловый эфир 3-[5-(2,4-диоксотиазолидин-5-илиденметил)тиофен-2-ил]бензойной кислоты |
 Соединение F15 |
Оранжевая смола |
50 |
М – Н |
5-[4-(4-метил-3-нитрофенил)тиофен-2-илметилен]тиазолидин-2,4-дион |
 Соединение F16 |
Желтый порошок |
59 |
М – Н |
Метиловый эфир 3-[5-(2,4-диоксотиазолидин-5-илиденметил)тиофен-3-ил]бензойной кислоты |
 Соединение F17 |
Желтые чешуйчатые кристаллы |
71 |
М – Н |
5-(5-фенилфуран-2-илметилен)тиазолидин-2,4-дион |
 Соединение F18 |
Желтый порошок |
84 |
М – Н |
5-(5-фенилтиофен-2-илметилен)тиазолидин-2,4-дион |
| Гетероциклическая структура G |
Внешний вид |
Чистота ЖХ |
МС |
Название |
 Соединение G1 |
Оранжевый порошок |
62 |
М + Н |
2-[5-(3,4-диметоксифенил)фуран-2-илметилен]бензо[4,5]имидазол-[2,1-b]тиазол-3-он |
*ЖХ: жидкостная хроматография
**МС: Масс-спектрометрия
Соединения согласно изобретению можно синтезировать описанным ниже способом.
Общая методика проведения синтеза соединений структуры D, E, F или G
Указанные гетероциклические структуры соответствуют 3-этил-2-тиоксо-4-оксазолидинону (номер CAS: 10574-66-0, молекулярная масса: 145, структура D), 2-тиогидантоину (номер CAS: 503-87-7, молекулярная масса: 116, структура Е), 2,4-тиазолидиндиону (номер CAS: 2295-31-0, молекулярная масса: 117, структура F), тиазоло(2,3-b)бензимидазол-3(2Н)-он (номер CAS: 3042-01-0, молекулярная масса: 190, структура G).
В пробирку для реакций Pyrex® системы для проведения синтеза в условиях микроволнового облучения с помощью Discover фирмы STEM вводят 100 мг альдегида, 1 эквивалент гетероцикла, имеющего структуру D, E, F или G, 20 мкл пиперидина, затем 1,5 мл абсолютного этанола.
Пробирку снабжают магнитным стержнем, после чего закрывают обжатой пробкой.
Затем реакционную среду облучают в аппарате Discover в соответствии со следующими параметрами:
Полезная мощность: 250 Вт
Заданная температура: 150°С
Время облучения: 2 минуты
Максимальное время достижения заданной температуры: 4 минуты.
После охлаждения реакционную среду фильтруют через пористое стекло, твердое вещество промывают минимальным количеством абсолютного этанола, затем сушат в вакууме.
Выход: 40-100%
Образцы подвергают анализу ЖХ-УФ-МС в следующих условиях:
Градиент: от ацетонитрил 10 – вода 90 до ацетонитрил 90 – вода 10 в течение 8 минут
Колонка: X-terra_MS C 3,5 мкм 3*50 мм
Расход: 0,5 мл/мин
УФ: диодный стержень 290 нм-450 нм
МС: электроспрей с положительной или отрицательной ионизацией при атмосферном давлении.
В качестве примера ниже приведена схема реакции способ получения соединений 1, 3, 4 и 8.
Пример 1: Соединение 1
Получение 4-{5-[2,4-диоксо-1,3-тиазолидин-5-илиден)метил]-2-фурил}бензойной кислоты
Схема реакции

Проведение опыта
Стадия 1
В трехгорлой колбе объемом 50 мл, снабженной системой охлаждения, а также магнитной мешалкой, растворяют 1,99 г (6,16 ммоль) бромида тетрабутиламмония в 100 мл воды, затем вводят 1,12 г (6,7 ммоль) 4-карбоксифенилбороновой кислоты (реагент В), 1,08 г (6,16 ммоль) 5-бром-2-фуральдегида (реагент А), 30 мг (2 мол.%) ацетата палладия и 2,12 г (15,4 ммоль) карбоната калия. Реакционную среду выдерживают при комнатной температуре (20-25°С) в течение 12 часов. Затем смесь промывают этилацетатом (трехкратно 50 мл). Водную фазу подкисляют до получения рН 1-2 35% раствором соляной кислоты. Полученное твердое вещество бежево-желтого цвета (соединение А) фильтруют, затем промывают водой (трехкратно 20 мл) и сушат в вакууме в присутствии 1,2 г пентоксида фосфора. Выход реакции составляет 90%.
Стадия 2
В трехгорлой колбе объемом 50 мл, снабженной системой “Dean-Stark”, термометром, а также магнитной мешалкой, растворяют 0,38 г (3,25 ммоль) тиазолидин-2,4-диона в 20 мл толуола, затем вводят 0,7 г (3,25 ммоль) твердого бежево-желтого вещества, полученного на стадии 1 (соединение А). Затем добавляют 0,15 мл уксусной кислоты и 0,15 мл пиперидина, после чего смесь нагревают с обратным холодильником в течение 5 часов. Образуется твердое вещество желтого цвета, которое фильтруют, затем промывают толуолом (дважды 20 мл). Затем продукт сушат в вакууме в присутствии 0,85 г пентоксида фосфора. Выход неочищенного продукта реакции составляет 78%.
Анализ
Ядерный магнитный резонанс: полученный спектр соответствует предлагаемой структуре.
Пример 2: соединение 3
Получение 5-({5-[3,5-бис(трифторметил)фенил]-2-фурил}-метилен-1,3-тиазолидин-2,4-диона
Схема реакции

Проведение опыта
В трехгорлой колбе объемом 50 мл, снабженной системой “Dean-Stark”, термометром, а также магнитной мешалкой, растворяют 0,38 г (3,25 ммоль) тиазолидин-2,4-диона (реагент А) в 20 мл толуола, затем вводят 1 г (3,25 ммоль) 5-[3,5-бис(трифторметил)фенил]-2-фуральдегида (реагент В). Затем добавляют 0,15 мл уксусной кислоты (АсОН) и 0,15 мл пиперидина, после чего смесь нагревают с обратным холодильником в течение 5 часов. В процессе реакции образуется твердое вещество желтого цвета. Его фильтруют, затем промывают толуолом (дважды 20 мл). Далее продукт сушат в вакууме в присутствии 0,86 г пентоксида фосфора. Выход реакции составляет 65%.
Анализ
Масс-спектрометрия: обнаружен квазимолекулярный ион (М-Н)-целевой молекулы С16Н7F6NO3S.
Ядерный магнитный резонанс: полученный спектр соответствует предлагаемой структуре.
Пример 3: соединение 4
Получение 3-{5-[2,4-диоксо-1,3-тиазолидин-5-илиден)метил]-2-фурил}бензойной кислоты
Схема реакции

Проведение опыта
Стадия 1
В трехгорлой колбе объемом 50 мл, снабженной системой охлаждения, а также магнитной мешалкой, растворяют 1,99 г (6,16 ммоль) бромида тетрабутиламмония в 100 мл воды, затем вводят 1,12 г (6,7 ммоль) 3-карбоксифенилбороновой кислоты (реагент В), 1,08 г (6,16 ммоль) 5-бром-2-фуральдегида (реагент А), 30 мг (2 мол.%) ацетата палладия и 2,12 г (15,4 ммоль) карбоната калия. Реакционную среду выдерживают при комнатной температуре (20-25°С) в течение 12 часов. Затем смесь промывают этилацетатом (трехкратно 50 мл). Водную фазу подкисляют до получения рН 1-2 35% раствором соляной кислоты. Полученное твердое вещество бежево-розового цвета (соединение А) фильтруют, затем промывают водой (трехкратно 20 мл) и сушат в вакууме в присутствии 1,1 г пентоксида фосфора. Выход реакции составляет 82%.
Стадия 2
В трехгорлой колбе объемом 50 мл, снабженной системой “Dean-Stark”, термометром, а также магнитной мешалкой, растворяют 0,542 г (4,62 ммоль) тиазолидин-2,4-диона в 20 мл толуола, затем вводят 1 г (4,62 ммоль) твердого бежево-розового вещества, полученного на стадии 1 (соединение А). Затем добавляют 0,15 мл уксусной кислоты (АсОН) и 0,15 мл пиперидина, после чего смесь нагревают с обратным холодильником в течение 5 часов. Образуется твердое вещество желтого цвета, которое фильтруют, затем промывают толуолом (дважды 20 мл). Затем твердое вещество диспергируют в 100 мл воды. Добавляют водный раствор 2н. гидроксида натрия до полного растворения продукта, затем подкисляют до получения рН 1-2 водным раствором 1н. соляной кислоты. Полученное твердое вещество коричневого цвета фильтруют, затем промывают водой (двукратно 50 мл) и сушат в вакууме в присутствии 0,86 г пентоксида фосфора. Выход составляет 63%.
Анализ
Ядерный магнитный резонанс: полученный спектр соответствует предлагаемой структуре.
Пример 4: Соединение 8
Получение двойной натриевой соли 4-{5-[2,4-диоксо-1,3-тиазолидин-5-илиден)метил]-2-фурил}бензойной кислоты
Схема реакции

Проведение опыта
15 г 3-{5-[2,4-диоксо-1,3-тиазолидин-5-илиден)метил]-2-фурил}бензойной кислоты растворяют в 500 мл водного раствора гидроксида натрия (2 эквивалента). Полученный раствор промывают дважды с помощью 50 мл дихлорметана, затем частично концентрируют. Этот раствор вливают в ацетон. В результате получают 11 г осадка желто-оранжевого цвета, соответствующего двойной натриевой соли 4-{5-[2,4-диоксо-1,3-тиазолидин-5-илиден)метил]-2-фурил}бензойной кислоты в форме Z.
Анализ
Ядерный магнитный резонанс: полученный спектр соответствует предлагаемой структуре.
Пример 5: Выявление специфических ингибирующих свойств соединений формулы (I) в отношении 15-PGDH.
1)Опыт в отношении 15-PGDH
Фермент 15-PGDH получают, как описано в заявке FR-А-02/05067 фирмы L’Oréal, в суспензии в адаптированной среде с концентрацией 0,3 мг/мл, затем блокируют при -80°С. Для проведения опыта эту суспензию размораживают и хранят на льду.
Отдельно готовят буфер Tris 100 мМ, рН 7,4, содержащий 0,1 мМ дитиотреитола (D5545, Sigma-Aldrich, L’isle d’Abeau Chesne, BP 701, 38297, Saint Quentin Fallavier), 1,5 мМ -NAD (N6522, Sigma-Aldrich, L’isle d’Abeau Chesne, BP 701, 38297, Saint Quentin Fallavier), 50 мкм простогландина Е2 (Р4172, Sigma-Aldrich, L’isle d’Abeau Chesne, BP 701, 38297, Saint Quentin Fallavier).
В резервуар спектрофотометра (Perkin-Elmer, Lambda 2), термостатированного при 37°С, с измерительной длиной волны 340 нм, вводят 0,965 мл указанного буфера (предварительно нагретого до 37°С). 0,035 мл суспензии фермента при 37°С вводят в резервуар, одновременно проводя регистрацию (повышения оптической плотности при 340 нм). Максимальная скорость реакции повышается.
Полученные данные (в присутствии соединения (1)) сравнивают с контрольными (без соединения (1)); полученные результаты показывают, при какой концентрации, обозначенной IC50dh, соединение (1) ингибирует энзиматическую активность 15-PGDH на 50%.
2)Опыт в отношении PGFS
Фермент PGF-синтазу получают, как описано в документе FR-A-02/05067, в концентрации 0,5 мг/мл в виде суспензии в соответствующей среде и блокируют при -80°С. Для проведения опыта эту суспензию размораживают и хранят на льду.
Отдельно в колбе темного стекла готовят буфер Tris 100 мМ, рН 6,5, содержащий 20 мМ 9,10 фенантренхинона* (* маточный раствор с титром 1 мМ готовят в абсолютном этаноле при 40°С; колбу помещают в резервуар в условиях ультразвукового воздействия, способствующего растворению продукта.) (Р2896, Sigma-Aldrich, L’isle d’Abeau Chesne, BP 701, 38297, Saint Quentin Fallavier) и 100 мкм -NADPH (N1630, Sigma-Aldrich, L’isle d’Abeau Chesne, BP 701, 38297, Saint Quentin Fallavier).
В резервуар спектрофотометра (Perkin-Elmer, Lambda 2), термостатированного при 37°С, с измерительная длина волны 340 нм, вводят 0,950 мл указанного буфера (предварительно нагретого до 37°С). 0,05 мл суспензии фермента при 37°С вводят в резервуар, одновременно проводя регистрацию (понижения оптической плотности при 340 нм). Максимальная скорость реакции повышается.
Полученные данные (в присутствии соединения (1)) сравнивают с контрольными (без соединения (1)); полученные результаты показывают, при какой концентрации, обозначенной IC50fs, соединение (1) ингибирует энзиматическую активность 15-PGFS на 50%.
| Соединение |
Структура |
Ингибирование 15-PGDH IC50dh(мкм) |
Ингибирование PGFS IC50fs (мкм) |
| 1 |
 |
0,3 |
4 |
Таблица показывает, что отношение IC50fs/IC50dh соединения 1 больше 13. Таким образом, соединение 1 действительно обладает ингибирующей активностью в отношении 15-PGDH и, в частности, селективной ингибирующей активностью в отношении PGFS.
Указанные ниже соединения получают традиционными способами, широко применяемыми в области косметики и фармацевтики.
Пример 6: Лосьон для ухода за волосами
| Соединение 1 |
0,80 г |
| Пропиленгликоль |
10,00 г |
Изопропиловый спирт – количество, достаточное до 100,00 г
Этот лосьон наносят на волосяной покров один-два раза в день из расчета 1 мл на одно применение, легко массируют волосяной покров для проникновения активного вещества. Затем волосы сушат на воздухе. Этот лосьон уменьшает выпадение волос и способствует их росту.
Пример 7: Лосьон для ухода за волосами
| Соединение 2 |
1,00 г |
| Пропиленгликоль |
30,00 г |
| Этиловый спирт |
40,00 г |
| Вода |
количество до 100,00 г |
Этот лосьон наносят на волосяной покров один-два раза в день из расчета 1 мл на одно применение, легко массируют волосяной покров для проникновения активного вещества. Затем волосы сушат на воздухе.
Пример 8: Лосьон для ухода за волосами
| Соединение 1 |
1,00 г |
| Этиловый спирт |
40,00 г |
| NaOH |
достаточное количество(*) |
| Вода |
количество до 100,00 г |
(*) количество, достаточное для нейтрализации кислотной функциональной группы, находящейся в фенильном ядре (R1).
Этот лосьон наносят на волосяной покров один-два раза в день из расчета 1 мл на одно применение, легко массируют волосяной покров для проникновения активного вещества.
Пример 9: Выявление эффективности ингибирования специфической 15-PGDH на клеточной модели.
Настоящее исследование позволяет дать оценку соединениям формулы (I) на клеточной модели. Это исследование позволяет определить проникновение активного вещества в цитозол, а также его эффективность в качестве селективного ингибитора 15-PGDH в более сложных условиях, чем просто реакционная среда.
Оборудование и методика
J-2. Культура U937 (CRL-1593 American Type Cells Collection) в среде RPMI 1640+10% сыворотки бычьего эмбриона+2 мМ L-глютамина + антибиотики при 37°С в атмосфере, содержащей 5% СО2.
J-1. Получают суспензию U937 (1·106 клеток/мл) в среде RPMI 1640+10% сыворотки бычьего эмбриона +2 мМ глютамина + антибиотики +10 нм ФМА (форбол-12-миристат-13-ацетат); в 96-луночный планшет вводят 200 мкл этой суспензии на лунку (3 лунки на молекулу при тестируемой концентрации + соответствующие контрольные образцы); инкубируют в течение 36 часов при 37°С в атмосфере, содержащей 5% СО2.
J0. Удаляют отстоявшуюся жидкость (клетки прикреплены к дну лунок: микроскопический контроль) и в каждую лунку вводят 100 мкл RPMI 1640+2 мМ L-глютамина+10 нг липополисахарида (ЛПС)(кроме абсолютного контрольного образца) + тестируемую молекулу в требуемой концентрации (здесь 5 и 25 мкм).
Инкубируют в течение 6 часов в атмосфере, содержащей 5% СО2.
Концентрация маточных растворов тестируемых молекул в диметилсульфоксиде (ДМСО) составляет 25 мМ.
Все лунки содержат одинаковое количество ДМСО.
Проводят экспресс-анализ на содержание PGF , секретированного клетками (50 мкл) в разных условиях (молекулы и контрольные образцы) с помощью иммуноэнзиматического дозатора (Cayman 516011).
Ниже приведены результаты в % контрольного образца ЛПС
| Молекула (5 мкМ) |
% контрольного образца |
| Соединение 1 |
+76±20 |
| Соединение 8 |
+44±16 |
Результаты подтверждают, что соединения согласно изобретению являются селективными ингибиторами 15-PGDH в клеточном окружении и защищают простогландины.
Пример 10: Лосьон для ухода за волосами
| Соединение 8 |
1 г |
| Этиловый спирт |
40,00 г |
| Пропиленгликоль |
30,00 г |
| Вода |
количество до 100,00 г |
Пример 11: Тушь для ресниц воск/вода
| Пчелиный воск |
6,00% |
| Парафин |
13,00% |
| Гидрогенизированное масло жожоба |
2,00% |
| Водорастворимый пленкообразующий полимер |
3,00% |
| Стеарат триэтаноламина |
8,00% |
| Соединение 5 |
1,00% |
| Черный краситель |
5,00% |
| Консервант |
достаточное количество |
| Вода |
достаточное количество до 100,00% |
Эту тушь наносят на ресницы, как обычную тушь для ресниц, с помощью обычной щетки, используемой с этой целью.
Пример 12: Лосьон для ухода за волосами
| Соединение 8 |
0,10 г |
| Латанопрост |
0,10 г |
| Пропиленгликоль |
30,00 г |
| Этиловый спирт |
40,00 г |
| Вода |
количество до 100,00 г |
Пример 13: Лосьон для ухода за волосами
| Соединение 8 |
1% |
| Этиловый спирт |
49,5% |
| Вода |
количество до 100% |
Этот лосьон наносят на волосяной покров один-два раза в день из расчета 1 мл на одно применение, легко массируют волосяной покров для проникновения активного вещества. Затем волосы сушат на воздухе. Этот лосьон уменьшает выпадение волос и способствует их росту. Он также способствует улучшению внешнего вида волос.
Формула изобретения
1. Применение эффективного количества по меньшей мере одного гетероциклического соединения формулы (I) или его солей

в которой Z и Z независимо обозначают О или S; Х обозначает О, NH или S; G обозначает О, S, NH, R обозначает водород или насыщенный линейный или разветвленный С1-С10-алкил; R1, R2 и R3 независимо друг от друга обозначают водород, галоген, группу OR0, SR0, NR0R0 , COR0, CSR0, NR0CONR0 R0 , C(=NR0)R0 , C(=NR0)NR0 R0 , NR0С(=NR0 )NR0 R0  , OCOR0, COSR0, SCOR0, CSNR0R0 , NR0CSR0 , NR0CSNR0 R0 , COOR0, CONR0R0 , CF3, NO2, CN, NR0COR0 , SO2R0 , SO2NR0R0 , NR0SO2R0 , линейный или разветвленный насыщенный или ненасыщенный С1-С20-алкил, по меньшей мере один 4-7-членный цикл, насыщенный или ненасыщенный, возможно содержащий по меньшей мере один гетероатом, причем такие циклы могут быть индивидуальными или сцепленными, кроме того, алкильные радикалы и циклы могут быть замещенными, где R0, R0 , R0 и R0  , одинаковые или разные, обозначают водород, линейный или разветвленный С1-С20-алкил, или арил, возможно замещенный, отличающееся тем, что соединение формулы (I) выбирают из
(i) соединений формулы (III) или их солей

в которой Z, Z обозначают О, Х обозначает S (тиазолидиндионовая группа), G обозначает О или S; по меньшей мере один из R2 и R3 обозначает CF3, OR0 или COOR0, где R0 обозначает Н или насыщенный линейный или разветвленный С1-С20-алкил и предпочтительно С1-С10-алкил,
(ii) соединений (VI) или их солей

в которой Z, Z и G независимо обозначают О или S, по меньшей мере один из R2 и R3 обозначает водород, CN, CF3, NO2, OR0, COOR0 или насыщенный линейный или разветвленный С1-С20-алкил и предпочтительно С1-С10-алкил, возможно замещенный OR0, где R0 обозначает Н или насыщенный линейный или разветвленный С1-С20-алкил и предпочтительно С1-С10-алкил,
(iii) соединений (VII) или их солей
,
в которой Z, Z и G независимо обозначают О или S; R обозначает насыщенный линейный или разветвленный С1-С10-алкил; по меньшей мере один из R2 и R3 обозначает насыщенный линейный или разветвленный С1-С20-алкил и предпочтительно С1-С10-алкил, NO2, OR0, где R0 обозначает Н или насыщенный линейный или разветвленный С1-С20-алкил и предпочтительно С1-С10-алкил
в качестве агента, вызывающего и/или стимулирующего рост кератиновых волокон, в частности, человека, и/или препятствующего их выпадению, и/или повышающему их плотность.
2. Применение по п.1, отличающееся тем, что COOR0 обозначает СООН или СООСН2-СН3.
3. Применение по любому из пп.1 и 2, отличающееся тем, что R2 обозначает СООН и R3 обозначает Н; R2 обозначает СООСН2-СН3 и R3 обозначает Н; или R2 и R3 обозначают CF3 или ОСН3.
4. Применение по любому из пп.1 и 2, отличающееся тем, что соль соединения (I), является солью, выбранной из солей натрия, калия, солей цинка (Zn2+), кальция (Са2+), меди (Cu2+), железа (Fe2+), стронция (Sr2+), магния (Mg2+), марганца (Mn2+), аммония; солей триэтаноламина, моноэтаноламина, диэтаноламина, гексадециламина, N,N,N N -тетракис(гидроксипропил-2)этилендиамина, трисгидроксиметиламинметана, гидроксидов, карбонатов, галогенидов, сульфатов, фосфатов, нитратов.
5. Применение по п.1 или 2, отличающееся тем, что соединение выбрано из





, 2Na+
6. Применение по любому из пп.1 и 2, отличающееся тем, что соединение формулы (I) или смесь этих соединений используют в концентрации от 10-3 до 10%, предпочтительно от 10-2 до 2%, по отношению к общей массе композиции.
7. Применение по п.1 или 2, отличающееся тем, что композиция является композицией для местного применения.
8. Применение по меньшей мере одного гетероциклического соединения формулы (I) или его солей

в которой Z и Z независимо обозначают О или S; Х обозначает О, NH или S; G обозначает О, S, NH, R обозначает водород или насыщенный линейный или разветвленный С1-С10-алкил; R1, R2 и R3 независимо друг от друга обозначают водород, галоген, группу OR0, SR0, NR0R0 , COR0, CSR0, NR0CONR0 R0 , C(=NR0)R0 , C(=NR0)NR0 R0 , NR0C(=NR0 )NR0 R0 , OCOR0, COSR0, SCOR0, CSNR0R0 , NR0CSR0 , NR0CSNR0 R0 , COOR0, CONR0R0 , CF3, NO2, CN, NR0COR0 , SO2R0 , SO2NR0R0 , NR0SO2R0 , линейный или разветвленный насыщенный или ненасыщенный С1-С20-алкил, по меньшей мере один 4-7-членный цикл, насыщенный или ненасыщенный, возможно содержащий по меньшей мере один гетероатом, причем такие циклы могут быть индивидуальными или сцепленными, кроме того алкильные радикалы и циклы могут быть замещенными, где R0, R0 , R0 и R0  , одинаковые или разные, обозначают водород, линейный или разветвленный С1-С20-алкил, или арил, возможно замещенный, отличающееся тем, что соединение формулы (I) выбирают из
(i) соединений формулы (III) или их солей
,
в которой Z, Z обозначают О, Х обозначает S (тиазолидиндионовая группа), G обозначает О или S; по меньшей мере один из R2 и R3 обозначает CF3, OR0 или COOR0, где R0 обозначает Н или насыщенный линейный или разветвленный С1-С20-алкил и предпочтительно С1-С10-алкил,
(ii) соединений (VI) или их солей

в которой Z, Z и G независимо обозначают О или S, по меньшей мере один из R2 и R3 обозначает водород, CN, CF3, NO2, OR0, COOR0 или насыщенный линейный или разветвленный С1-С20-алкил и предпочтительно С1-С10-алкил, возможно замещенный OR0, где R0 обозначает Н или насыщенный линейный или разветвленный С1-С20-алкил и предпочтительно, С1-С10-алкил,
(iii) соединений (VII) или их солей

в которой Z, Z и G независимо обозначают О или S; R обозначает насыщенный линейный или разветвленный С1-С10-алкил; по меньшей мере один из R2 и R3 обозначает насыщенный линейный или разветвленный С1-С20-алкил и предпочтительно С1-С10-алкил, NO2, OR0, где R0 обозначает Н или насыщенный линейный или разветвленный С1-С20-алкил и предпочтительно С1-С10-алкил
в качестве ингибитора 15-гидроксипростогландиндегидрогеназы.
9. Композиция для ухода или макияжа кератиновых волокон, вызывающая и/или стимулирующая рост кератиновых волокон, в частности, человека, и/или препятствующая их выпадению, и/или повышающая их плотность, содержащая физиологически приемлемую среду и эффективное количество по меньшей мере одного гетероциклического соединения (I) или его солей

в которой Z и Z независимо обозначают О или S; Х обозначает О, NH или S; G обозначает О, S, NH, R обозначает водород или насыщенный линейный или разветвленный С1-С10-алкил; R1, R2 и R3 независимо друг от друга обозначают водород, галоген, группу OR0, SR0, NR0R0 , COR0, CSR0, NR0CONR0 R0 , C(=NR0)R0 , C(=NR0)NR0 R0 , NR0C(=NR0 )NR0 R0  , OCOR0, COSR0, SCOR0, CSNR0R0 , NR0CSR0 , NR0CSNR0 R0 , COOR0, CONR0R0 , CF3, NO2, CN, NR0COR0 , SO2R0 , SO2NR0R0 , NR0SO2R0′, линейный или разветвленный насыщенный или ненасыщенный С1-С20-алкил, по меньшей мере один 4-7-членный цикл, насыщенный или ненасыщенный, возможно содержащий по меньшей мере один гетероатом, причем такие циклы могут быть индивидуальными или сцепленными, кроме того, алкильные радикалы и циклы могут быть замещенными, где R0, R0 , R0 и R0  , одинаковые или разные, обозначают водород, линейный или разветвленный С1-С20-алкил, или арил, возможно замещенный, отличающаяся тем, что соединение формулы (I) выбирают из
(i) соединений формулы (III) или их солей

в которой Z, Z обозначают О, Х обозначает S (тиазолидиндионовая группа), G обозначает О или S; по меньшей мере один из R2 и R3 обозначает CF3, OR0 или COOR0, где R0 обозначает Н или насыщенный линейный или разветвленный С1-С20-алкил и предпочтительно С1-С10-алкил,
(ii) соединений (VI) или их солей

в которой Z, Z и G независимо обозначают О или S, по меньшей мере один из R2 и R3 обозначает водород, CN, CF3, NO2, OR0, COOR0 или насыщенный линейный или разветвленный С1-С20-алкил и предпочтительно С1-С10-алкил, возможно замещенный OR0, где R0 обозначает Н или насыщенный линейный или разветвленный С1-С20-алкил и предпочтительно С1-С10-алкил,
(iii) соединений (VII) или их солей

в которой Z, Z и G независимо обозначают О или S; R обозначает насыщенный линейный или разветвленный С1-С10-алкил; по меньшей мере один из R2 и R3 обозначает насыщенный линейный или разветвленный С1-С20-алкил и предпочтительно С1-С10-алкил, NO2, OR0, где R0 обозначает Н или насыщенный линейный или разветвленный С1-С20-алкил и предпочтительно С1-С10-алкил.
10. Композиция по п.9, отличающаяся тем, что COOR0 обозначает СООН или СООСН2-СН3.
11. Композиция по любому из пп.9-10, отличающаяся тем, что R2 обозначает СООН и R3 обозначает Н; R2 обозначает СООСН2-ОН3 и R3 обозначает Н; или R2 и R3 обозначают CF3 или ОСН3.
12. Композиция по любому из пп.9-10, отличающаяся тем, что соль соединения формулы (I) является солью, выбранной из солей натрия, калия, солей цинка (Zn2+), кальция (Са2+), меди (Cu2+), железа (Fe2+), стронция (Sr2+), магния (Mg2+), марганца (Mn2+), аммония; солей триэтаноламина, моноэтаноламина, диэтаноламина, гексадециламина, N,N,N N -тетракис(гидроксипропил-2)этилендиамина, трисгидроксиметиламинметана, гидроксидов, карбонатов, галогенидов, сульфатов, фосфатов, нитратов.
13. Композиция по п.9 или 10, отличающаяся тем, что соединение формулы (I) выбрано из




, 2Na+
14. Композиция по любому из пп.9-10, отличающаяся тем, что соединение формулы (I) или смесь этих соединений используют в концентрации от 10-3 до 10%, предпочтительно от 10-2 до 2%, по отношению к общей массе композиции.
15. Композиция по любому из пп.9-10, отличающаяся тем, что она имеет форму крема или лосьона для ухода за волосами, шампуня или средства, применяемого после шампуня, туши для волос или для ресниц.
16. Композиция по любому из пп.9-10, отличающаяся тем, что композиция имеет форму водного, спиртового или водно-спиртового раствора или суспензии.
17. Композиция по любому из пп.9-10, отличающаяся тем, что она содержит другие компоненты, которые выбирают из растворителей, загустителей или средств, желатинирующих водную фазу или масляную фазу, красителей, растворимых в среде, входящих в состав композиции, наполнителей или пигментов, антиоксидантов, консервантов, отдушек, электролитов, нейтрализующих средств, пленкообразующих полимеров, блокаторов УФ, активных косметических или лечебных веществ, кроме соединений формулы (I), их смесей.
18. Композиция по любому из пп.9-10, отличающаяся тем, что она содержит, по меньшей мере, дополнительное активное соединение, способствующее росту и/или ограничивающее выпадение кератиновых волокон.
19. Композиция по любому из пп.9-10, отличающаяся тем, что она содержит, по меньшей мере, активное дополнительное соединение, способствующее росту и/или ограничивающее выпадение волос, которое выбирают из аминексила, 6-0-[(9Z,12Z)-октадека-9,12-диеноил]гексапиранозы, агонистов калиевых каналов, ингибиторов липоксигеназы, ингибиторов брадикинина, простогландинов и их производных, агонистов или антагонистов рецепторов простогландинов, непростоноидных аналогов простогландинов, вазодилататоров, антиандрогенов, циклоспоринов и их аналогов, противомикробных веществ, противовоспалительных веществ, ретиноидов, хлорида бензалкония, хлорида бензетония, фенола, эстрадиола, малеата хлорфениламина, производных хлорофилина, холестерина, цистеина, метионина, ментола, масла мяты перечной, пантотената кальция, пантенола, резорцинола, активаторов протеинкиназы С, ингибиторов гликозидазы, ингибиторов гликозамингликаназы, эфиров пироглютаминовой кислоты, гексосахарных или ацилгексосахарных кислот, арил-замещенных этиленов, N-ацилированных аминокислот, флавоноидов, производных и аналогов аскомицина, антагонистов гистамина, сапонинов, ингибиторов протеогликаназы, агонистов и антагонистов эстрогенов, псевдотеринов, цитокинов и промотеров факторов роста, ингибиторов IL-1 или IL-6, промотеров IL-10, ингибиторов TNF, витаминов, бензофенонов, гидантоина, октопирокса, ретиноевой кислоты, противозудных средств, противопаразитарных средств, противогрибковых средств, эфиров никотиновой кислоты антагонистов кальция, гормонов, тритерпенов, антиандрогенов, стероидных или нестероидных ингибиторов 5- -редуктаз, агонистов рецептора FP, их смесей.
20. Композиция по п.19, отличающаяся тем, что дополнительное соединение выбирают из аминексила, агонистов рецептора FP и вазодилататоров.
21. Композиция по любому из пп.9-10, отличающаяся тем, что, кроме того, она содержит другое активное вещество, выбранное из протеинов, гидролизатов протеинов, аминокислот, полиолов, мочевины, аллантоина, сахаров и производных сахара, растительных экстрактов, гидроксикислот, производных ретинола или токоферола, основных жирных кислот, керамидов, эфирных масел, салициловой кислоты и ее производных, таких как салициловый н-октаноил-5, сложных эфиров гидроксикислот и фосфолипидов.
22. Композиция по п.20, отличающаяся тем, что дополнительное активное вещество выбирают из аминексила, миноксидила, латанопроста, бутапроста и травопроста.
23. Способ косметической обработки кератиновых волокон и/или кожи, на которой растут указанные волокна, отличающийся тем, что на волокна и/или кожу наносят косметическую композицию, описанную по любому из пп.9-22, оставляют ее в контакте с волокнами и/или кожей и возможно ополаскивают.
24. Способ, вызывающий стимулирующий рост ресниц человека, и/или препятствующий их выпадению, и/или повышающему их плотность, отличающийся тем, что на ресницы и/или веки наносят композицию туши для ресниц, содержащую по меньшей мере одно соединение (I) или одну из его солей, и оставляют ее в контакте с ресницами и/или веками.
25. Способ, вызывающий стимулирующий рост волос человека и/или препятствующий их выпадению, и/или повышающему их плотность, отличающийся тем, что на волосы и/или волосяной покров наносят косметическую композицию, содержащую эффективное количество по меньшей мере одного соединения (I) или одной из его солей, указанных в п.1, оставляют ее в контакте с волосами и/или волосяным покровом и возможно ополаскивают волосы и/или волосяной покров.
26. Гетероциклическое соединение, выбранное из следующих соединений:



, 2Na+
27. Гетероциклическое соединение следующей формулы (VI) или его соответствующая соль:

в которой Z, Z и G независимо обозначают О или S; по меньшей мере один из R2 и R3 обозначает водород, CN, CF3, OR0, COOR0 или насыщенный линейный или разветвленный С1-С20-алкил и предпочтительно С1-С10-алкил, возможно замещенный OR0, где R0 обозначает Н или насыщенный линейный или разветвленный С1-С20-алкил и предпочтительно С1-С10-алкил.
28. Гетероциклическое соединение следующей формулы (VII) или его соответствующая соль:

в которой Z, Z и G независимо обозначают О или S; R обозначает насыщенный линейный или разветвленный С1-С10-алкил; по меньшей мере один из R2 и R3 обозначает насыщенный линейный или разветвленный С1-С20-алкил и предпочтительно С1-С10-алкил, NO2, OR0, где R0 обозначает Н или насыщенный линейный или разветвленный С1-С20-алкил и предпочтительно С1-С10-алкил.
29. Соединение по п.27 или 28, отличающееся тем, что оно имеет форму Z.
30. Применение в косметических целях по меньшей мере одного гетероциклического соединения формулы (I) как оно определено в п.1, или одной из его солей в косметической композиции в качестве агента для сохранения уровня и/или активности простогландинов в волосяном фолликуле.
31. Применение по меньшей мере одного гетероциклического соединения формулы (I) как оно определено в п.1, или одной из его солей для получения композиции, предназначенной для сохранения уровня и/или активности простогландинов в волосяном фолликуле.
MM4A – Досрочное прекращение действия патента СССР или патента Российской Федерации на изобретение из-за неуплаты в установленный срок пошлины за поддержание патента в силе
Дата прекращения действия патента: 26.09.2009
Извещение опубликовано: 27.09.2010 БИ: 27/2010
|
|