Патент на изобретение №2316314
|
|||||||||||||||||||||||||||||||||||||||||||||||||||||||||||||||||||||||||||||||||||||||||||||||
(54) СПОСОБ ПОЛУЧЕНИЯ КОМПОЗИТА БЛОК-СОПОЛИМЕР-ЛЕКАРСТВО
(57) Реферат:
Изобретение относится к способам получения композита блок-сополимер-лекарство. Способ получения композита блок-сополимер-лекарство включает стадии растворения блок-сополимера АВ типа, состоящего из структурного фрагмента гидрофильного полимера, представляющего собой производное полиэтиленоксида, и структурного фрагмента гидрофобной полиаминокислоты, представляющей собой полиаспарагиновую кислоту, вместе с лекарством (доксорубицином или его солью) в смешанном растворителе из воды и низкокипящего органического растворителя, смешивающегося с водой, и концентрирования полученного раствора. 2 н. и 2 з.п. ф-лы, 2 табл.
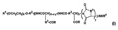
Область техники Настоящее изобретение относится к способу получения композита блок-сополимер-лекарство, не включающему ни процесс диализа, ни процесс ультрафильтрации при получении композита блок-сополимер-лекарство, который содержит лекарство в полимерной мицелле, образованной из блок-сополимера, состоящего из структурного фрагмента гидрофильного полимера и структурного фрагмента гидрофобной полиаминокислоты. Уровень техники Композит макромолекулярный блок-сополимер-лекарство, полученный за счет того, что доксорубицину дают возможность находиться в полимерной мицелле, образованной из блок-сополимера, состоящего из структурного фрагмента полиэтиленгликоля и фрагмента производного полиаспарагиновой кислоты, описан в публикации JP-A № 7-69900 и др., и показано, что такой композит проявляет более высокий противоопухолевый эффект в пределах низкой токсичности по сравнению со свободным доксорубицином. Такой композит блок-сополимер-лекарство получают путем растворения блок-сополимера и лекарства в смешанном растворителе из воды и диметилформамида (ДМФА: температура кипения 153°С (101,3 кПа)) и с последующей заменой органического растворителя диметилформамида водой с помощью операции диализа, также очищая смесь с помощью операций диализа и ультрафильтрации. Однако когда проводят операции диализа и ультрафильтрации, часть содержащегося лекарства (например, доксорубицина) также удаляется (Drug Delivery System, 16, № 5, 401-408 (2001); следовательно, лекарство используется неэффективно, и содержание лекарства в блок-сополимере не может быть увеличено, более того, это содержание непрерывно меняется и поэтому трудно достичь постоянного содержания лекарства. Кроме того, операции диализа и ультрафильтрации являются как простым, так и удобным способом для осуществления в лаборатории, но для промышленного производства необходимо специальное оборудование, и эти процессы требуют длительного периода времени для фактического производства, и они не являются практичными способами производства в широком промышленном масштабе. Публикация JP-А № 2001-226294 описывает способ производства композита макромолекулярный блок-сополимер-лекарство, включающий стадии эмульгирования хлороформенного раствора блок-сополимера и плохо растворимого в воде лекарства путем механического перемешивания, ультразвуком и т.д. и удаления хлороформа за счет упаривания, однако использование хлороформа и подобных растворителей в промышленности ограничено, то есть промышленный способ отсутствует по причинам, которые также включают использование галогенированных углеводородов, несмешивающихся с водой. Сущность изобретения Не известен допускающий промышленную реализацию способ получения композита блок-сополимер-лекарство, в котором не используются ни операция диализа, ни операция ультрафильтрации и не используется галогенированный углеводород, не найден практичный способ повышения содержания лекарства в блок-сополимере, и, следовательно, есть необходимость в практичном и новом способе производства композита блок-сополимер-лекарство. Заявители настоящего изобретения провели интенсивное исследование для решения названной выше проблемы и в результате представили настоящее изобретение. Таким образом, настоящее изобретение относится к: (1) способу получения композита блок-сополимер-лекарство, включающему стадии растворения блок-сополимера АВ типа, состоящего из структурного фрагмента гидрофильного полимера и структурного фрагмента гидрофобной полиаминокислоты, вместе с лекарством в воде или в смешанном растворителе из воды и низкокипящего органического растворителя, смешивающегося с водой, и концентрирования полученного раствора; (2) способу получения композита блок-сополимер-лекарство в соответствии с пунктом (1), где ни процесс диализа, ни процесс ультрафильтрации не включены в процесс производства; (3) способу получения композита блок-сополимер-лекарство в соответствии с пунктами (1) или (2), где структурный фрагмент гидрофильного полимера в блок-сополимере АВ типа представляет собой производное полиэтиленоксида, а структурный фрагмент полиаминокислоты в блок-сополимере АВ типа представляет собой полиаспарагиновую кислоту, содержащую аспарагиновую кислоту, имеющую в боковой цепи карбоксильную группу, связанную противораковым агентом на основе антрациклина; (4) способу получения композита блок-сополимер-лекарство в соответствии с пунктами (1) или (2), где структурный фрагмент гидрофильного полимера в блок-сополимере АВ типа представляет собой производное полиэтиленоксида, а структурный фрагмент гидрофобной полиаминокислоты в блок-сополимере АВ типа представляет собой полиглутаминовую кислоту, содержащую глутаминовую кислоту, имеющую в боковой цепи карбоксильную группу, связанную противораковым агентом на основе антрациклина; (5) способу получения композита блок-сополимер-лекарство в соответствии с пунктами (3) или (4), где противораковый агент на основе антрациклина, связанный с гидроксильной группой боковой цепи на структурном фрагменте гидрофобной аминокислоты, представляет собой доксорубицин; (6) способу получения композита блок-сополимер-лекарство в соответствии с любым из пунктов (1)-(5), где лекарство представляет собой противораковый агент на основе антрациклина; (7) способу получения композита блок-сополимер-лекарство в соответствии с пунктом (6), где противораковый агент на основе антрациклина представляет собой доксорубицин или его соль; (8) способу получения лиофилизированного препарата, содержащего композит блок-сополимер-лекарство, включающему стадии растворения блок-сополимера АВ типа, состоящего из структурного фрагмента гидрофильного полимера и структурного фрагмента гидрофобной полиаминокислоты, вместе с лекарством в воде или в смешанном растворителе из воды и низкокипящего органического растворителя, смешивающегося с водой, концентрирования полученного раствора и далее его лиофилизации. Наилучший способ осуществления изобретения Способ получения композита блок-сополимер-лекарство настоящего изобретения представляет собой способ, включающий стадии растворения блок-сополимера АВ типа, состоящего из структурного фрагмента гидрофильного полимера и структурного фрагмента гидрофобной полиаминокислоты, вместе с лекарством в воде или в смешанном растворителе из воды и низкокипящего органического растворителя, смешивающегося с водой, и концентрирования полученного раствора, и особенно не сопровождающегося ни операцией диализа, ни операцией ультрафильтрации. В настоящем изобретении диализ представляет собой операцию, в которой используется полупроницаемая мембрана для удаления низкомолекулярных компонентов (включая органический растворитель и соль) за счет диффузии, основанной на разнице в концентрации. Ультрафильтрация представляет собой операцию, в которой используется мембрана ультрафильтрации (фракция молекулярной массы: от 5000 до 50000) для удаления низкомолекулярных компонентов в композите блок-сополимер-лекарство при конденсировании раствора. Лекарство, используемое в настоящем изобретении, практически не имеет ограничений, а противораковые агенты предпочтительны, так как композит настоящего изобретения является прекрасным с точки зрения свойства накопления в опухоли, основанном на проницаемости кровеносных сосудов, и упомянуты различные противоопухолевые агенты, находящие клиническое применение, но особенно предпочтительными являются противораковые агенты на основе антрациклина. Примерами противоопухолевого агента на основе антрациклина являются даунорубицин, доксорубицин, пирарубицин, акрарубицин, эпирубицин, идарубицин и т.д., и особенно предпочтительным является доксорубицин. Структурный фрагмент гидрофильного полимера в блок-сополимере, состоящем из структурного фрагмента гидрофильного полимера и структурного фрагмента гидрофобной полиаминокислоты, включает все из обычно известных полимерных соединений, проявляющих гидрофильность, и его конкретными примерами являются полиэтиленоксид, полисахарид, полиакриловая кислота, полиметакриловая кислота, поливинилпирролидон, поливиниловый спирт и др. и их производные, и особенно предпочтительны производные полиэтиленоксида. В качестве полиэтиленоксидного производного, например, специально приводится структурный фрагмент гидрофильного полимера в общей формуле (I), описанной ниже. Гидрофобный структурный фрагмент полиаминокислоты в настоящем изобретении не имеет особенных ограничений при условии, что его выбирают из Блок-сополимер АВ типа, состоящий из структурного фрагмента гидрофильного полимера и структурного фрагмента гидрофобной полиаминокислоты, используемый в настоящем изобретении, может представлять собой блок-сополимер, полученный на основе способов, описанных в публикациях JP-А №№ 7-69900, 5-955 и др. То есть полиэтиленгликоль с одной концевой метоксигруппой, одной концевой аминопропильной группой и ангидрид Порядок связывания составных частей в структурных фрагментах полиаминокислоты общей формулы (I) не имеет особых ограничений и может быть случайным или упорядоченным. В формуле заместитель R предпочтительно представляет собой гидроксильную группу или остаток противоракового агента на основе антрациклина, заместитель R1 предпочтительно представляет собой атом водорода или низшую алкильную группу, более предпочтительно низшую алкильную группу, заместитель R2 предпочтительно представляет собой низшую алкиленовую группу, заместитель R3 предпочтительно представляет собой метиленовую группу или этиленовую группу и заместитель R4 предпочтительно представляет собой атом водорода или низшую ацильную группу, более предпочтительно низшую ацильную группу. Предпочтительно n представляет собой целое число от 5 до 1000, m предпочтительно представляет собой целое число от 2 до 300, х+y предпочтительно представляет собой целое число от 0 до 300, более предпочтительно n составляет от 80 до 300, m составляет от 20 до 50, x+y составляет от 0 до 50, однако x+y имеет значения не больше m. Значения х и y могут быть любыми значениями, включая 0, при условии, что удовлетворяется упомянутое выше условие. Противораковый агент на основе антрациклина в остатке противоракового агента на основе антрациклина, представленном с помощью заместителя R, является тем же самым, что и противораковый агент на основе антрациклина, упомянутый как лекарство, используемое в настоящем изобретении, описанное выше, и предпочтительным противораковым агентом на основе антрациклина также является доксорубицин, как описано выше. Низшая алкильная группа, представленная с помощью заместителя R1, включает предпочтительно линейные или разветвленные алкильные группы, содержащие от 1 до 4 атомов углерода, причем их конкретными примерами являются метильная группа, этильная группа, н-пропильная группа, изопропильная группа, н-бутильная группа, трет.-бутильная группа и т.д., и более предпочтительной является метильная группа. Низшая алкиленовая группа, представленная заместителем R2, предпочтительно включает линейные или разветвленные алкиленовые группы, содержащие от 1 до 4 атомов углерода, и их конкретными примерами являются метиленовая группа, этиленовая группа, триметиленовая группа, 2-метилтриметиленовая группа, тетраметиленовая группа и т.д., и более предпочтительной является триметиленовая группа. Заместитель R3 предпочтительно представляет собой метиленовую группу или этиленовую группу, и более предпочтительно метиленовую группу. Низшая ацильная группа, представленная заместителем R4, предпочтительно представляет собой ацильные группы, содержащие от 1 до 4 атомов углерода, и их конкретными примерами являются формильная группа, ацетильная группа, пропионильная группа, бутирильная группа и т.д., и более предпочтительной является ацетильная группа. Модель связывания остатка противоракового агента на основе антрациклина с боковой цепочкой полиаминокислоты в общей формуле (I) не имеет особенных ограничений, и предпочтительными являются амидные связи или сложноэфирные связи аминогруппы или гидроксильной группы противоракового агента на основе антрациклина с карбоновой кислотой боковой цепи полиаминокислоты, особенно предпочтительными являются амидные связи первичной аминогруппы фрагмента аминосахара противоракового агента на основе антрациклина с карбоновой кислотой боковой цепи полиаминокислоты. Из блок-сополимеров, состоящих из структурного фрагмента гидрофильного полимера и структурного фрагмента гидрофобной полиаминокислоты, общей формулы (I) особенно предпочтительными являются блок-сополимеры, в которых заместитель R1 представляет собой метильную группу, заместитель R2 представляет собой триметиленовую группу, заместитель R3 представляет собой метиленовую группу, заместитель R4 представляет собой ацетильную группу, n составляет от 80 до 300, m составляет от 20 до 50 и х+y составляет от 0 до 50, но не более, чем m. Далее описан способ получения настоящего изобретения. Блок-сополимер АВ типа, состоящий из структурного фрагмента гидрофильного полимера и структурного фрагмента гидрофобной полиаминокислоты, растворяют в воде или в смешанном растворителе из воды и низкокипящего органического растворителя, смешивающегося с водой. В качестве низкокипящего органического растворителя в настоящем изобретении упоминаются органические растворители, имеющие температуру кипения 100°С (101,3 кПа) или менее, предпочтительно органические растворители, имеющие температуру кипения от 50 до 100°С (101,3 кПа), при этом конкретными примерами низкокипящего органического растворителя, смешивающегося с водой, являются метанол, этанол, изопропанол, ацетон и т.д., и этанол, который может растворять блок-сополимер в высокой концентрации, является особенно предпочтительным. Отношение органического растворителя к воде в смешанном растворителе не имеет особого ограничения, обеспечивая растворение блок-сополимера, и предпочтительно составляет от 1:9 до 9:1, более предпочтительно от 1:3 до 3:1. Растворитель может быть предварительно нагрет для облегчения растворения. Температура при нагревании может находиться в интервале, в котором блок-сополимер не разлагается и сохраняет стабильность, и предпочтительно находится в интервале от 30 до 100°С, более предпочтительно от 30 до 60°С. В способе производства настоящего изобретения концентрация блок-сополимера в воде или смешанном растворителе из воды и низкокипящего органического растворителя, смешивающегося с водой, не имеет особых ограничений, обеспечивая растворение сополимера, и обычно составляет предпочтительно от 2 до 10%. Затем, когда лекарство, например гидрохлорид доксорубицина, добавляют к раствору полученного блок-сополимера, оно растворяется с получением однородного раствора. Кроме того, значение рН этого раствора можно регулировать в зависимости от стабильности и других требований. В этом случае интервал значений рН не имеет особенных ограничений, обеспечивая отсутствие разложения лекарства, и в случае гидрохлорида доксорубицина рН предпочтительно составляет от 4 до 7. Если органический растворитель содержится в растворе, то, когда полученный раствор композита концентрируют, этот органический растворитель, например этанол, отгоняется с получением композита блок-сополимер-лекарство, в котором лекарство содержится во внутреннем ядре полимерной мицеллы, образованной блок-сополимером. Следовательно, нет необходимости выполнять операции, проводимые обычными методами, такие как диализ и ультрафильтрация. В полученном таким образом композите блок-сополимер-лекарство с помощью лазерного рассеивания света установлен размер частиц в несколько десятки нм и однозначно показано образование полимерных мицелл, а из количественного определения капсулированного лекарства с использованием гель-фильтрующей колонки подтверждено, что 80% или более лекарства, использованного при капсулировании, находится в капсулированном состоянии. Кроме того, в настоящем изобретении полученный композит блок-сополимер-лекарство может быть дополнительно лиофилизирован с получением лиофилизированного препарата. При лиофилизации могут быть добавлены соли, имеющие буферную способность, например фосфат натрия, ацетат натрия и т.д., чтобы сделать значение рН постоянным. Если такой лиофилизированный препарат, например, повторно растворяют в растворителе для инъекций, физиологическом растворе, физиологическом растворе, наделенном буферной способностью, и т.д., получают раствор композита блок-сополимер-лекарство. В рассматриваемом способе производства добавленное лекарство не теряется в ходе операции производства, как в случае обычных способов производства, следовательно, лекарство не тратится напрасно, и, кроме того, показатель капсулирования лекарства в блок-сополимере может быть увеличен. Например, в соответствии со способом производства, показанном в примерах публикации JP-A № 7-69900, коэффициент использования доксорубицина, использованного при производстве, и показатель содержания лекарства представлены в таблице 1, тогда как в примерах в соответствии со способом настоящего изобретения, описанном позднее, коэффициент использования лекарства и показатель содержания лекарства оба являются значительно улучшенными, как показано в таблице 1.
Особенность композита блок-сополимер-лекарство состоит в том, что лекарство содержится в мицелле, образованной блок-сополимером, и проявляет высокое противоопухолевое действие в пределах низкой токсичности по сравнению со свободным лекарством, а повышение коэффициента капсулирования лекарства обеспечивает относительное понижение в необходимом количестве блок-сополимера, следовательно, композит на практике является превосходным также с точки зрения экономики. Следующие примеры иллюстрируют настоящее изобретение, но не ограничивают его объем. Пример 1 К 20,00 г блок-сополимера описанной выше формулы (I), где R1 = метильная группа, R2 = триметиленовая группа, R3 = метиленовая группа, R4 = ацетильная группа, R = гидроксильная группа или остаток доксорубицина (средний показатель связывания доксорубицина: 45%), средняя молекулярная масса полиэтиленгликоля составляет 5287 и среднее число звеньев аспарагиновой кислоты составляет 28,1, добавляют 100 мл растворителя для инъекций (вода для инъекций), смесь нагревают при 35°С с получением суспензии. К полученной суспензии добавляют 6,0 мл 0,5 н. раствора гидроксида натрия и перемешивают, затем добавляют 100 мл безводного этанола. После подтверждения растворения блок-сополимера добавляют 3,906 г гидрохлорида доксорубицина и растворяют. Добавляют 5,9 мл 0,5 н. раствора гидроксида натрия до рН 6 и добавляют 188 мл растворителя для инъекций. Через 1 час раствор фильтруют через мембранный фильтр (Millipore; тип GV 0,22 мкм), затем растворитель отгоняют при пониженном давлении, получают раствор композита блок-сополимер-лекарство, и полученный продукт дополнительно лиофилизируют с получением 22,96 г. Лиофилизированное вещество, полученное в примере 1, растворяют в физиологическом растворе с фосфатным буфером (рН 7,4), получают раствор с концентрацией 1 мг/мл. Этому образцу раствора дают выстояться в течение ночи при 5°С, затем используют для анализа. Приблизительно 2 мл Sephadex G-25 (произведенного Farmacia: сорт, высокое качество), набухший с водой, фильтруют через стеклянную колонку. На эту колонку наносят 200 мкл образца раствора. Путем проявления с помощью воды часть, включающая мицеллы, в которых капсулировано лекарство, удаляют, затем разбавляют диметилформамидом (ДМФА) в таком же количестве, и далее доводят до 5 мл с использованием раствора вода-ДМФА (1:1) (это представляет собой раствор 1). Отдельно, 200 мкл образца раствора помещают в 5-мл мерную колбу и доводят до 5 мл с использованием раствора вода-ДМФА (1:1) (это представляет собой раствор 2). Растворы 1 и 2 анализируют с помощью ВЭЖХ с обращенной фазой, разрушающей мицеллярную структуру, рассчитывают отношение площади пика доксорубицина в полученной диаграмме (количество свободного доксорубицина в растворе 1/количество доксорубицина в растворе 2). Композит блок-сополимер-лекарство, полученный в примере 1, имеет показатель содержания лекарства 94,9%. Полученный результат показывает, что лекарство в композите блок-сополимер-лекарство содержится во внутреннем ядре мицеллы, образованной из блок-сополимера. Аналитические условия ВЭЖХ с обращенной фазой Колонка: Waters Symmetry C8 Температура колонки: 40°С; Элюент: (А) 0,05% MS-3 + 0,01 ТФУК (MS-3 представляет собой ион-парный реагент, производимый GL Science, ТФУК – трифторуксусная кислота); (В) CH3CN Градиент:
Детектор: УФ (485 нм) Скорость потока: 0,8 мл/мин Вводимое количество: 20 мкл. Пример применения 1 Клетки аденокарциномы Colon 26 трансплантируют подкожно в подмышечную область каждой самки мышей CDF1. Когда объем опухоли достигает приблизительно 100 мм3, композит блок-сополимер-лекарство, полученный в примере 1, или гидрохлорид доксорубицина вводят внутривенно. Композит блок-сополимер-лекарство, который был лиофилизирован и хранился на холоде и в темном месте, растворяют в физиологическом растворе (рН 7,4), которому придана буферирующая способность с помощью фосфорной кислоты, и дозу в этом случае определяют на основе количества лекарства в композите. Противоопухолевый эффект лекарства оценивают из количества мышей, показывающих исчезновение опухоли (излечение) через 60 дней после трансплантации, и коэффициента ингибирования пролиферации опухоли через 14 дней после введения. Полученные результаты представлены в таблице 2.
В сравнении со случаем введения самого гидрохлорида доксорубицина, когда вводят композит блок-сополимер-лекарство настоящего изобретения, более сильный эффект уменьшения опухоли наблюдается во всех группах с введением лекарства. Количество выздоровевших мышей по окончании периода наблюдения (60 дней) больше, чем в случае введения самого гидрохлорида доксорубицина, и это показывает, что композит блок-сополимер-лекарство проявляет более высокий противоопухолевый эффект при более низком интервале токсичности по сравнению со свободным лекарством. Технический результат изобретения В соответствии со способом получения композита блок-сополимер-лекарство мицеллярного типа настоящего изобретения технологические характеристики значительно улучшаются, так как не проводится ни процесс диализа, ни процесс ультрафильтрации, а коэффициент использования лекарства является превосходным, содержание лекарства может быть повышено и воспроизведено успешно, а также композит может быть получен за более короткий период времени по сравнению с обычными способами производства. Так как специальное оборудование не требуется и нет потребности в использовании большого количества воды, этот процесс производства может быть легко осуществлен и может быть успешно реализован в промышленности. В соответствии с настоящим изобретением композит блок-сополимер-лекарство, проявляющий более высокий противоопухолевый эффект при более низком интервале токсичности, может быть получен экономично и просто.
Формула изобретения
1. Способ получения композита блок-сополимер-лекарство, включающий стадии растворения лекарства и блок-сополимера типа АВ, состоящего из структурного фрагмента гидрофильного полимера, представляющего собой производное полиэтиленоксида, и структурного фрагмента гидрофобной полиаминокислоты, представляющей собой полиаспарагиновую кислоту, где боковая цепь аспарагиновой кислоты имеет карбоксильную группу, связанную с лекарством, представляющим собой противораковый агент доксорубицин или его соль, в смешанном растворителе из воды и смешивающегося с водой низкокипящего органического растворителя, и концентрирования при пониженном давлении полученного раствора. 2. Способ по п.1, где низкокипящий органический растворитель представляет собой метанол, этанол, изопропанол или ацетон. 3. Способ получения лиофилизированного препарата, содержащего композит блок-сополимер-лекарство, включающий стадии растворения лекарства и блок-сополимера типа АВ, состоящего из структурного фрагмента гидрофильного полимера, представляющего собой производное полиэтиленоксида, и структурного фрагмента гидрофобной полиаминокислоты, представляющей собой полиаспарагиновую кислоту, где боковая цепь аспарагиновой кислоты имеет карбоксильную группу, связанную с лекарством, представляющим собой противораковый агент доксорубицин или его соль, в смешанном растворителе из воды и смешивающегося с водой низкокипящего органического растворителя, концентрирования при пониженном давлении полученного раствора, и последующей его лиофилизации. 4. Способ по п.1, где низкокипящий органический растворитель представляет собой метанол, этанол, изопропанол или ацетон.
|
|||||||||||||||||||||||||||||||||||||||||||||||||||||||||||||||||||||||||||||||||||||||||||||||

-аминокислот,
-аминокислот и т.д. или их производных и т.д., и предпочтительными являются полиаминокислоты, содержащие аминокислоту, имеющую в боковой цепи карбоксильную группу, связанную с противораковым агентом на основе антрациклина. Конкретными примерами полиаминокислоты являются полиаспарагиновая кислота, полиглутаминовая кислота и др. В качестве остатка противоракового агента на основе антрациклина, связанного с карбоксильной группой боковой цепи, указаны остатки противораковых агентов на основе антрациклина, упомянутых как лекарство, используемое в настоящем изобретении, описанное выше, и особенно предпочтительной в качестве гидрофобной аминокислоты является полиаспарагиновая кислота, содержащая аспарагиновую кислоту, связанную с доксорубицином. Массовое отношение противоракового агента на основе антрациклина в структурном фрагменте полиаминокислоты в одной молекуле блок-сополимера предпочтительно составляет от 20 до 70%, более предпочтительно от 25 до 60%.
-бензил-L-глутамат-N-карбоновой кислоты вступают в реакцию, концевая аминогруппа полученного блок-сополимера ацилируется и бензиловый эфир боковой цепи подвергается гидролизу с помощью щелочи, полученная свободная карбоновая кислота в боковой цепи и противораковый агент на основе антрациклина конденсируют с использованием конденсирующего агента и вспомогательного вещества для реакции. Блок-сополимер, полученный с помощью этих описанных в публикациях методов, оценивают как имеющий, например, структуру следующей общей формулы (I):
4,6 × 250 мм;