Патент на изобретение №2316242
|
||||||||||||||||||||||||||||||||||||||||||||||||||||||||||||||||||||||||||||||||||||||||||||||||||||||||||||||||||||||||||||||||||||||||||||||||||||||||||||||||||||||||
(54) СОСТАВЫ ДЛЯ РТА И ИХ ИСПОЛЬЗОВАНИЕ
(57) Реферат:
Изобретение относится к области ухода за зубами и полостью рта. Изобретение включает использование составов для рта с определенными реологическими характеристиками в системах ухода за полостью рта, особенно в электрической зубной щетке, содержащей резервуар и средство для накачивания состава для рта из резервуара к аппликатору, такому как головка зубной щетки. Предусмотрены также составы для рта и резервуар для использования в системе ухода за полостью рта. Изобретение обеспечивает легкое накачивание состава и хорошее удержание его на щеточной головке. 4 н. и 12 з.п. ф-лы, 4 табл.
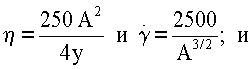
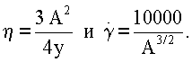
Область техники, к которой относится изобретение Предлагаются составы для рта для использования в системах комплексного ухода за ротовой полостью. Уровень техники В последнее время электрические зубные щетки стали очень популярны у потребителей, как и у дантистов. Считается, что эти устройства обеспечивают лучшую очистку и массирование внтуриротовых поверхностей, нежели традиционная ручная чистка. Однако электрические зубные щетки по-прежнему требуют нанесения зубной пасты на щетинки перед использованием. Начало чистки быстро приводит к снижению концентрации зубной пасты на щетинках и, возможно, дает худшую, чем ожидалось, очистку зубных поверхностей. В результате желательно иметь систему ухода за полостью рта, которая содержит состав для рта, распределяемый через щетинную головку и на щетинки в течение чистки либо автоматически, либо по желанию. Такая идея не нова. Например, патент США №3217720 раскрывает зубную щетку с контейнером жидкой зубной пасты. Патент США №5909977 раскрывает распределяющую зубную пасту зубную щетку, применяющую заправляемый картридж для хранения вещества зубной пасты и нажимаемую эластичную кнопку для накачивания вещества зубной пасты на головку зубной щетки. Дальнейшее развитие этой идеи включает в себя использование полых щетинок, через которые течет зубная паста, как раскрывается в патенте США №5309590. Однако интеграция такого типа создает новые проблемы в отношении реологического профиля интегрированного состава для рта. Этот состав для рта предпочтительно накачивается из резервуара хранения к месту применения через некоторую форму трубки. В зубной щетке шейка зубной щетки должна быть меньше некоторого максимального диаметра и больше некоторой минимальной длины, чтобы обеспечить ее удобное использование во рту. Это ограничение на размер шейки с необходимостью ограничивает максимальную площадь поперечного сечения и минимальную длину трубки, используемой внутри для доставки состава к головке зубной щетки из резервуара. Это ограничение на площадь поперечного сечения трубки приводит к более высоким скоростям деформации сдвига, развиваемым, когда состав для рта накачивается через трубку, увеличивая давление, требуемое для переноса состава для рта. Далее, зубные щетки по необходимости имеют ограниченное давление накачки, либо вследствие требований по мощности в системах с электрической накачкой, либо вследствие максимальной величины усилия, которое может быть с удобством приложено потребителем к ручным насосам. Таким образом, состав должен иметь конкретный реологический профиль, чтобы обеспечить его накачку через заданную трубу, при минимизации требования по давлению накачивающей системы. Далее, доступные составы для рта не оптимизированы для использования с системами ухода за полостью рта и могут приводить к слишком малому или избыточному давлению головки зубной щетки, прикладываемому потребителем к внутриротовым тканям для чистки зубов. Приложение слишком малого или избыточного давления к щетинной головке может привести к снижающейся эффективности чистки системы ухода за полостью рта. Поэтому желательно обеспечить составы для использования в системах ухода за полостью рта, которые могут легко накачиваться через трубки заданного диаметра и длины. Далее, желательно также обеспечить систему ухода за полостью рта, содержащую составы для рта, которые имеют реологические свойства, позволяющие легко накачивать состав и при этом позволяющие ему оставаться в щетинках при распределении. Далее, желательно также обеспечить набор, содержащий устройство, требуемое для использования состава для рта в системе ухода за полостью рта. В дополнение к этому, желательно обеспечить составы для рта, оптимизированные для применения в системах ухода за полостью рта, которые делают возможными манипулирование системой ухода за полостью рта и давление, прикладываемое потребителем к такой системе при использовании во рту. Эти и другие цели настоящего изобретения станут сразу очевидны из рассмотрения нижеследующих сущности изобретения, подробного описания и примеров. Сущность изобретения Предлагается использование состава для рта в системе ухода за полостью рта, причем это использование содержит накачивание состава для рта из резервуара к выпускному отверстию через трубку с площадью А внутреннего поперечного сечения и длиной у, при этом А равно от 0,0025 мм2 до 25 мм2, а у равно от 10 мм до 300 мм, состав же характеризуется тем, что он имеет вязкость не более чем
состав далее имеет вязкость по меньшей мере 10 Па·с при скорости деформации сдвига 1 с-1. В нижеследующем описании: “интегрированное устройство” или “интегрированная система ухода за полостью рта” относится к устройству или системе ухода за полостью рта, которые содержат встроенный резервуар, способный содержать состав для рта, такой как зубная паста, для доставки этого состава в полость рта; “трубка” означает закрытую внутреннюю полость, через которую от одного конца к другому могут проходить текучие вещества; “продольная ось” представляет собой ось, которая параллельна направлению потока в трубке; “внутреннее поперечное сечение” является поперечным сечением трубки, взятым в плоскости, перпендикулярной продольной оси, и окруженным внутренней поверхностью материала трубки; “длина” относится к длине трубки вдоль продольной оси; и “усилие отдачи насоса” означает усилие, развиваемое насосом или на насосе в течение заполняющей части цикла накачивания. Усилие отдачи насоса может быть определено измерением минимального усилия, требуемого для предотвращения наполнения насоса вслед за циклом выталкивания и удержания его в равновесии. Изобретение далее предлагает состав для рта, содержащий: а) от более чем 0,5% до 4% сгущающих ингредиентов, выбранных из: гекторита и его производных, гидратированных кремнеземов, третичных и четверичных производных силиката магния, бентонита, ксантановой смолы, каррагена и его производных, желлановой смолы, гидроксипропилметилцеллюлозы, склеротиновой смолы и ее производных, пуллулана, рамзановой смолы, велановой смолы, конжака, курдлана, карбомера, альгина, альгиновой кислоты, альгинатов и их производных, гидроксиэтилцеллюлозы и ее производных, гидроксипропилцеллюлозы и ее производных, производных крахмального фосфата, гуаровой смолы и ее производных, крахмала и его производных, сополимеров ангидрита малеиновой кислоты с алкенами и их производных, целлюлозной смолы и ее производных, сополимеров этиленгликоля/пропиленгликоля, полоксамеров и их производных, полиакрилатов и их производных, метилцеллюлозы и ее производных, этилцеллюлозы и ее производных, агара и его производных, гуммиарабика и его производных, пектина и его производных, хитозана и его производных, смолистых полиэтиленгликолей, таких как PEG-XM, где Х b) менее чем 20% нерастворимых твердых веществ; c) 20-70% общей воды; и d) от более чем 20% до 80% увлажнителей, выбранных из полиолей и полиэтиленгликолей; при этом состав имеет вязкость от 0,001 Па·с до 780 Па·с при скорости деформации сдвига 20 с-1 и по меньшей мере 10 Па·с при скорости деформации сдвига 1 с-1. В еще одном аспекте изобретение предлагает состав для ротовой полости, содержащий от 1% до 10% абразива; от 20% до 70% общей воды; и по меньшей мере 10% увлажнителей, выбранных из полиолей и полиэтиленгликолей; при этом композиция имеет RDA больше, чем 70 и вязкость по меньшей мере 10 Па·с при скорости деформации сдвига 1 с-1. Кроме того, предлагается набор для ухода за полостью рта, содержащий систему ухода за полостью рта и состав для рта согласно настоящему изобретению, причем система ухода за полостью рта содержит резервуар и средство для накачивания состава из резервуара к выпускному отверстию системы ухода за полостью рта. Все части, процентные доли и пропорции, которые упоминаются здесь и в приложенной формуле изобретения, взяты по весу от всего состава для ротовой полости, если не указано иное. Все измерения сделаны при 25°С на всем составе для рта, если не указано иное. Вязкость, как используется здесь, измеряется с помощью реометра Carrimed CSL2 с измерительной системой из двух параллельных пластин диаметром 2 см и зазором между пластинами 500 мкм. Если, однако, состав содержит ингредиенты из макрочастиц, которые нерастворимы в этом составе и имеют размер частиц больше, чем 50 мкм, то должен использоваться зазор между пластинами в десять раз больше размера частиц. Для целей установки зазора следует взять размер частиц ингредиентов как наименьший размер ячейки сита, через которое проходит по меньшей мере 90% по весу сухого ингредиента. Описанные здесь составы для рта имеют значения радиоактивного истирания дентина (РИД) (RDA) по меньшей мере 70. Все процитированные здесь документы в их релевантной части включены сюда посредством ссылки; цитирование любого документа не следует интерпретировать как признание того, что он является аналогом по отношению к настоящему изобретению. Подробное описание Составы для рта по настоящему изобретению пригодны для использования в системах ухода за полостью рта, в которых состав для рта содержится в резервуаре и накачивается из резервуара в выпускное отверстие через трубку. Они имеют вязкости, которые оптимизируются для переноса через трубки заданных размера и длины с помощью средства накачивания с относительно низким усилием. Относительно низкое усилие означает, что требуемое усилие накачивания не является достаточно большим, чтобы потребовать ввода высокой мощности в отношении электрического насоса или потребовать приложения большого усилия от пальца пользователя на привод насоса. Относительно низкое усилие для переноса составов для рта относится к усилию, которое меньше, чем 100 Н, требуемому для приведения в действие насоса, чтобы добиться указанных скоростей доставки. Состав для ротовой полости для использования здесь обеспечивает доставку состава для ротовой полости через определенные площади поперечного сечения и длины трубки при скорости потока по меньшей мере 0,1 мл/с, предпочтительно 0,2 мл/с. Это выгодно при обеспечении быстрого и эффективного переноса состава для ротовой полости из резервуара к головке аппликатора. Составы для ротовой полости для использования здесь могут быть ньютоновскими составами или облегчающими сдвиг составами, предпочтительно облегчающими сдвиг так, что по мере того, как скорость деформации сдвига – и, следовательно, давление сдвига – увеличивается, вязкость состава для ротовой полости постепенно уменьшается. Использование состава для ротовой полости в системе ухода за ротовой полостью здесь обеспечивает эффективную доставку состава для ротовой полости к аппликатору и его удержание в аппликаторе без необходимости многократных применений или отрицательного влияния на эстетические свойства продукта. СИСТЕМА УХОДА ЗА ПОЛОСТЬЮ РТА Зубная щетка Составы для рта по настоящему изобретению пригодны для использования в широком диапазоне систем ухода за полостью рта, таких как интегрированные зубные щетки и электрические зубные щетки. Примерная система ухода за полостью рта раскрывается в международной заявке WO 02/064056 и патенте США №6402410. Такие системы содержат резервуар, аппликатор и средство для переноса состава для рта из резервуара к аппликатору. Предпочтительно, система ухода за полостью рта представляет собой ручное портативное устройство, пригодное для пользования одной рукой. Система для ухода за полостью рта предпочтительно содержит единый корпус, который можно удобно захватывать рукой пользователя, причем корпус предпочтительно содержит резервуар и средство для переноса состава для рта. Резервуар Система по настоящему изобретению содержит резервуар для хранения составов для рта. Резервуар может быть фиксированно или съемно прикреплен к системе ухода. Предпочтительно, резервуар вынимается из корпуса с возможностью замены, к примеру, чтобы обеспечить заправку резервуара и повторное вставление резервуара либо замену резервуара другим практически такой же конструкции, который может содержать дополнительные объемы состава для рта. В настоящем изобретении может использоваться любой подходящий резервуар. Следует понимать, что используемый резервуар может быть полностью или частично внутренним для корпуса системы ухода или полностью или частично внутренним для корпуса. Неограничивающие примеры резервуаров включают в себя резервуары типа положительного смещения, которые в общем случае имеют жесткие стенки, такие как картридж, а также включают в себя резервуары типа опорожняемых насосом, которые в общем случае имеют мягкие стенки, такие как саше, камеры и пузыри. Предпочтительно, резервуар имеет тип с мягкими стенками, опорожняемый насосом, более предпочтительно саше. Резервуар может быть изготовлен из материалов, пригодных к применению, известных специалистам в технике. Например, резервуары типа положительного смещения могут изготавливаться из металла, жесткой пластмассы и иных подходящих твердых материалов. Опорожняемые насосом резервуары с мягкими стенками предпочтительно изготавливаются из мягких гнущихся пластмасс, таких как ПЭТ, ПЭ, металлизированный ПЭ, ламинированный алюминий и других подходящих материалов, известных специалистам в технике. Предпочтительно, резервуар определяет внутренний объем от 5 мл до 25 мл. В варианте осуществления резервуар содержит средство для прикрепления к насосу. Это желательно, чтобы дать возможность резервуару крепиться к насосу, например, когда замененный резервуар прикрепляется к системе ухода за полостью рта. В другом варианте осуществления резервуар может содержать накачивающее средство и средство для крепления к транспортировочной трубке. Это выгодно, чтобы обеспечить резервуару и насосу возможность заменяться в одно и то же время как единому блоку. Подходящие примеры средства для крепления резервуара к насосу включают в себя захватные приспособления, сальниковые уплотнения, байонеты и винтовые приспособления. В еще одном варианте осуществления изобретения можно предложить заполнение резервуара на месте из отдельного картриджа заполнения, внешнего для корпуса системы, который предоставляется либо с системой, либо в качестве отдельного предмета. Это может быть выгодно, когда объемы состава, потребляемого во время ухода, относительно велики, и было бы дорого или неэффективно выбрасывать внутренний резервуар каждый раз, как он пустеет. Наружный картридж заполнения может формировать часть базовой станции, которая дополнительно выполняет функцию обеспечения держателя для корпуса системы ухода. Когда система ухода содержит электрическое средство, базовая станция может дополнительно содержать зарядное средство для заряда заряжаемого аккумулятора в системе ухода. Насос и трубка Система ухода за полостью рта по настоящему изобретению содержит средство для транспортировки состава для ротовой полости из резервуара к аппликатору. Средство для транспортировки составов для рта может содержать насос и (или) трубку. Предпочтительно, система ухода за полостью рта содержит насос, чтобы обеспечить механическое давление для транспортировки составов для рта из резервуара к аппликатору. Насос может содержать насос с электронным управлением или, например, работающий от эластичной нажимной кнопки механический насос, размещенный над резервуаром или на одной линии с трубкой, ведущей от насоса к резервуару. Предпочтительно, насос содержит насос положительного смещения. Насосы положительного смещения (см., к примеру, Chemical Engineering [Химическая инженерия], Volume 6, Design, R.K.Sinnott, Pergamon Press, 1983, стр.155) покрывают множество различных конструкций насосов, в которых материал не может течь назад через насос, когда он не активируется. Конкретные конструкции насосов положительного смещения, пригодные для использования в устройстве, таком как это, включают в себя перистальтические насосы, поршневые и диафрагменные насосы. Диафрагменные насосы здесь содержат, как правило, корпус насоса, в котором содержится насосная камера (пустота, которая может заполняться продуктом, подлежащим накачиванию), насосный активатор, состоящий из эластомерной мембраны, которая образует поверхность насосной камеры, впускной клапан и выпускной клапан. Насосный активатор может дополнительно содержать пружину, чтобы помогать ему возвращаться к максимальному объему насосной камеры вслед за отжатием. Корпус насоса включает в себя, кроме того, впускное сопло с каналом, соединенным с впускным клапаном, и выпускное сопло с каналом, соединенным с выпускным клапаном. Впускной клапан размещается между впускным соплом и насосной камерой и открывается, когда давление снаружи насоса ниже, чем на впускной стороне этого клапана, и закрывается, когда давление в насосе выше, чем на впускной стороне этого клапана. Впускной клапан, как правило, состоит из эластичного материала со способностью пружинить дверцу при удалении сниженного давления в камере; подходящим материалом является ПЭТ. Выпускной клапан размещается между насосной камерой и выпускным соплом и открывается, когда давление внутри насоса выше, чем на выпускной стороне этого клапана, и закрывается, когда давление в насосе ниже, чем на выпускной стороне этого клапана. Выпускной клапан, как правило, имеет те же свойства, что и впускной клапан. Эти клапаны могут быть установлены на клапанном корпусе, чтобы поддерживать их конструкцию и обеспечить их открывание только в одном направлении. Активатор заставляет объем насосного корпуса при отжатии уменьшаться, а при нажатии увеличиваться и выталкивать продукт через выпускной клапан. Активатор подпружинен, чтобы дать ему возможность восстанавливать максимальный объем при отпускании. Когда активатор отпущен, объем насосного корпуса увеличивается, заставляя давление в корпусе уменьшаться, а продукт втягиваться в насосную камеру через впускной клапан. Активатор, как правило, состоит из термопластичного эластомера, например ТРЕ (полиэфирэстер). В другом варианте осуществления насос может содержать поршень. Поршень, такой как в шприце, сводит на нет необходимость для насоса заполняться продуктом. Предпочтительными здесь являются диафрагменные насосы. Система ухода за полостью рта здесь содержит средство для транспортировки состава для рта из резервуара через насос к аппликатору. Подходящее транспортное средство включает в себя трубки. Неограничивающие примеры трубок включают в себя силиконовую трубку, отлитые в форму пластиковые каналы и пластиковые трубки. Предпочтительно, трубка имеет достаточно малую площадь внутреннего поперечного сечения, чтобы она могла вмещаться в шейке аппликатора без увеличения диаметра самой шейки аппликатора. Внутренне поперечное сечение внутренней поверхности трубки перпендикулярно продольной оси может быть любой замкнутой формы, такой как, к примеру, круг, овал или многоугольник, такой как квадрат или прямоугольник. В одном варианте осуществления трубка имеет достаточно малую площадь внутреннего поперечного сечения, чтобы она могла помещаться в шейке аппликатора вместе с приводным валом для моторизованной манипуляции головкой аппликатора, причем шейка аппликатора достаточно узкая, чтобы поддерживать эргономические свойства аппликатора. Площадь внутреннего поперечного сечения трубки составляет предпочтительно от 0,0025 мм2 до 25 мм2. Более предпочтительно, площадь внутреннего поперечного сечения трубки составляет от 0,01 мм2 до 20,25 мм2, еще более предпочтительно от 0,25 мм2 до 16 мм2. Наиболее предпочтительно, площадь внутреннего поперечного сечения трубки составляет от 0,5 мм2 до 10 мм2. Далее, трубка требует такой длины, чтобы резервуар и насос могли располагаться на таком расстоянии от головки аппликатора, чтобы насос мог легко активироваться рукой, держащей систему ухода за полостью рта. Предпочтительно, трубка имеет длину от 10 мм до 300 мм, более предпочтительно от 50 мм до 250 мм, еще более предпочтительно от 100 мм до 200 мм. Наиболее предпочтительно, чтобы длина трубки составляла от 120 мм до 180 мм. Помимо этого, трубка для использования здесь имеет соотношение длины к площади внутреннего поперечного сечения (у:А) по меньшей мере 1:1 мм-1, предпочтительно по меньшей мере 2:1 мм-1. Когда трубка имеет множество различных площадей внутреннего поперечного сечения, то площадь внутреннего поперечного сечения, используемая для нахождения минимальной длины, допустимой вышеприведенным соотношением, должна быть наименьшей площадью внутреннего поперечного сечения трубки. Когда трубка расширяется под действием потока состава для рта, площадь внутреннего поперечного сечения, используемая для определения минимальной длины согласно вышеприведенному соотношению, является площадью, определяемой максимальным расширением трубки. Аппликатор Система ухода за полостью рта по настоящему изобретению включает в себя аппликатор для приложения состава для рта к полости рта. Аппликатор может быть фиксированно или съемно прикреплен к корпусу системы ухода за полостью рта. Предпочтительно, аппликатор съемно прикреплен к корпусу. Это выгодно, чтобы обеспечить замену аппликатора другим практически такой же конструкции без необходимости заменять всю систему ухода за полостью рта. Аппликатор может быть любым устройством, пригодным для приложения состава для рта здесь к зубам или внутриротовым мягким тканям, и может содержать шеечную часть, проходящую от средства крепления и заканчивающуюся головочной частью, которая содержит прикладываемую поверхность, которая может быть щеткой или тампоном. Предпочтительно, головка аппликатора содержит щетку. Как правило, шеечная часть имеет длину от 20 мм до 100 мм и диаметр от 5 мм до 115 мм. В дополнение к трубке аппликатор может содержать средство для приведения в действие моторизованной головки аппликатора. Примеры такого средства включают в себя приводной вал или зубчатое приспособление. СОСТАВ ДЛЯ РТА Вязкость Состав для рта по настоящему изобретению представляет собой жидкостный состав, имеющий выбранный профиль вязкости. Без желания связывать себя теорией, считается, что давление, требуемое для накачивания состава для ротовой полости через трубку заданных площадей внутреннего поперечного сечения и длины, пропорционально вязкости состава для рта при скорости деформации сдвига, определенной размером трубки. Вследствие ограничений на давление накачивания, либо для обеспечения минимизации энергии в случае электрически запитываемых насосов, либо для предотвращения требования избыточного усилия для ручных насосов составы для рта по настоящему изобретению предпочтительно имеют вязкость при 25°С не более чем уравнение 1: при этом А и у являются соответственно площадью внутреннего поперечного сечения (мм2) и длиной (мм) трубки, используемой для транспортировки состава для рта из резервуара к головке аппликатор через насос. Составы для рта, имеющие вязкость меньше, чем Таблица 1 ниже представляет примеры предпочтительных комбинаций длины и площади внутреннего поперечного сечения трубки для использования в системе ухода за полостью рта по настоящему изобретению и требуемые пределы вязкости для состава для рта для использования в ней согласно уравнению 1.
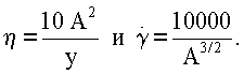
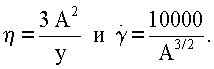
Кроме того, составы для рта по настоящему изобретению имеют вязкость при скорости деформации сдвига 20 с-1 от 0,001 Па·с до 780 Па·с, предпочтительно от 0,1 Па·с до 500 Па·с, более предпочтительно от 1 Па·с до 100 Па·с. Если иное не установлено здесь, вязкости, как они упоминаются здесь, измеряются на составах по настоящему изобретению без какого бы то ни было конкретного сдвига, прикладываемого к составу, хотя следует признать, что на практике небольшая величина сдвига будет неизбежно прикладываться к составу, т.к. реометр Carrimed смонтирован для частной запрограммированной скорости деформации сдвига, при которой проводится измерение. Для того чтобы имитировать эффекты более точного приложения сдвига, такие как те, что получаются, когда состав накачивается через трубку к щеточной головке, вязкость может также измеряться на Carrimed после определенного запрограммированного сдвига. Составы для рта по настоящему изобретению предпочтительно имеют “послесдвиговую” вязкость по меньшей мере 10 Па·с при скорости деформации сдвига 1 с-1. Как используется здесь, “послесдвиговая вязкость” означает вязкость состава при 1 с-1 вслед за тем, как состав подвергается линейному изменению скорости деформации сдвига от 0 до 450 с-1 за период 30 секунд, за которым следует линейное изменение скорости деформации сдвига от 450 с-1 до 0 за период 30 секунд, при этом послесдвиговая вязкость находится как вязкость при 1 с-1 на втором изменении скорости деформации сдвига от 450 с-1 до 0 с-1. Образцы загружаются на базовую пластину реометра Carrimed CSL2 с помощью шпателя, после чего пластины придвигаются на соответствующее расстояние зазора (обычно 500 мкм) с помощью экспоненциально ослабляющей сжатие установки. Затем образцы оставляются в равновесии на 5 минут, вслед за чем инициируется тестовый протокол. Желательно иметь послесдвиговую вязкость по меньшей мере 10 Па·с при скорости деформации сдвига 1 с-1, чтобы не дать составу для рта убежать с головки аппликатора после распределения. Предпочтительно, состав для рта для использования здесь имеет послесдвиговую вязкость при 25°С по меньшей мере 25 Па·с при скорости деформации сдвига 1 с-1. Далее, предпочтительно, чтобы составы для рта по настоящему изобретению имели ограниченный гистерезис, чтобы, когда вязкость состава понижена путем увеличения напряжения сдвига, как при накачивании через трубку, состав быстро возвращался к своей вязкости с низкой деформацией сдвига по удалении высокого напряжения сдвига. Предпочтительно, составы для рта по настоящему изобретению имеют отношение начальной вязкости, измеренной при скорости деформации сдвига 1 с-1 в течение начального изменения скорости деформации сдвига от 0 с-1 до 450 с-1, к послесдвиговой вязкости, измеренной при скорости деформации сдвига 1 с-1 в течение второго изменения скорости деформации сдвига от 450 с-1 до 0 с-1, меньше, чем 10:1, предпочтительно меньше, чем 5:1, еще более предпочтительно меньше, чем 2:1. Обнаружено, что это отношение начальной вязкости к послесдвиговой вязкости является индикатором уровня гистерезиса, присутствующего в составах для рта по настоящему изобретению. Отношение больше, чем 10 указывает, что состав для рта проявляет слишком большой гистерезис, следующий за тем, как подвергается сильной деформации сдвига, а потому имеющий ограниченный возврат к вязкости, предшествующей сильной деформации сдвига, после удаления напряжения сдвига. Если средство для накачивания состава содержит насос прямого смещения, состав для рта предпочтительно имеет вязкость не более чем уравнение 2: Таблица 2 ниже представляет примеры предпочтительных комбинаций длины и площади внутреннего поперечного сечения трубки для использования в системе ухода за полостью рта по настоящему изобретению и предпочтительные пределы вязкости для состава для рта для использования в ней с насосом прямого смещения согласно уравнению 2.
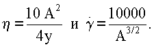
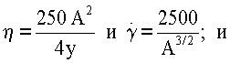
Более предпочтительно, если средство для накачивания состава содержит насос положительного смещения, состав для рта предпочтительно имеет вязкость не более чем уравнение 3: Таблица 3 ниже представляет примеры предпочтительных комбинаций длины и площади внутреннего поперечного сечения трубки для использования в системе ухода за полостью рта по настоящему изобретению и предпочтительные пределы вязкости для состава для рта для использования в ней с насосом положительного смещения согласно уравнению 3.
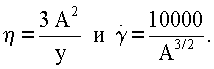
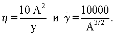
Более предпочтительно, если средство для накачивания состава содержит диафрагменный насос, состав для рта предпочтительно имеет вязкость не более чем уравнение 4: Таблица 4 ниже представляет примеры предпочтительных комбинаций длины и площади внутреннего поперечного сечения трубки для использования в системе ухода за полостью рта по настоящему изобретению и предпочтительные пределы вязкости для состава для рта для использования в ней с диафрагменным насосом согласно уравнению 4.
Еще более предпочтительно, если средство для накачивания состава содержит диафрагменный насос, состав для рта предпочтительно имеет вязкость не более чем
В более предпочтительном варианте осуществления, если средство для накачивания состава содержит диафрагменный насос, состав для рта предпочтительно имеет вязкость не более чем
Составы для рта, имеющие вязкости в пределах, определенных вышеприведенными уравнениями, являются превосходными для использования в системах ухода за полостью рта, содержащих средство для накачивания состава для рта, при этом состав для рта накачивается из резервуара к аппликатору через трубку. Составы с вязкостями выше тех, которые определены в настоящей заявке, являются слишком вязкими, чтобы эффективно накачиваться через трубку определенных диаметра и длины. Хотя эти составы могут течь через трубку определенных площади внутреннего поперечного сечения и длины, усилие, требуемое для эффективной транспортировки этих составов с эффективной скоростью потока доставки, выше того, которое может эффективно прикладываться работающим от аккумулятора насосом или от ручной манипуляции насосного активатора потребителем. Понятно, что инструменты, используемые для измерения напряжения сдвига и скорости деформации сдвига (такие как использованный здесь реометр Carrimed CSL2), неспособны достигать некоторых скоростей деформации сдвига, указанных уравнениями для
где
Далее, составы для рта по настоящему изобретению предпочтительно имеют вязкость при скорости деформации сдвига 450 с-1 менее чем 10 Па·с. Более предпочтительно, составы для рта имеют вязкость менее чем 5 Па·с, еще более предпочтительно менее чем 2 Па·с при скорости деформации сдвига 450 с-1. Поразительно, что составы для использования здесь требуют этих низких вязкостей при высоких скоростях деформации сдвига, чтобы гарантировать, что они способны адекватно дозироваться на щетинную головку системы ухода за полостью рта. Обнаружено, что составы с высокими вязкостями сдвига существенно выше, чем указанные здесь, имеют непригодные для распределения скорости потока. Помимо этого, предпочтительно, чтобы состав для рта для использования в настоящем изобретении имел такую вязкость, чтобы, когда насос при его активации проталкивает содержащий в нем состав для рта, этот состав для рта имел скорость потока в насос по меньшей мере 0,2 мл/с и при этом возвратное усилие насоса было меньше, чем 100 Н. Это желательно, чтобы дать насосу возможность эффективно заполняться вслед за распределением продукта. Кроме того, предпочтительно, чтобы состав для рта по настоящему изобретению при разведении в воде до жидкого 16,67% раствора имел вязкость больше, чем 0,1 Па·с при скорости деформации сдвига 1 с-1. Это выгодно, чтобы обеспечить состав для рта, который при разведении в полости рта имеет вязкость, которая достаточно высока, чтобы обеспечить его удержание в полости рта без чрезмерных манипуляции или приложения давления аппликатора потребителем. Более предпочтительно, состав для рта для использования согласно настоящему изобретению имеет вязкость при разведении в воде до жидкого 16,67% раствора больше, чем 0,2 Па·с при скорости деформации сдвига 1 с-1, еще более предпочтительно больше, чем 0,3 Па·с при скорости деформации сдвига 1 с-1. Обнаружено, что составы для рта с разведенными вязкостями больше, чем 0,1 Па·с при скорости деформации сдвига 1 с-1 вызывают большее удобство потребителя и лучшую эффективность очистки. Считается, что это является результатом меньшего давления, развиваемого системой ухода за полостью рта, на внутриротовые ткани потребителем для удержания разведенного состава во рту. Снижение развиваемого давления приводит к лучшему и более эффективному воздействию очистки и уменьшает раздражение внутриротовых тканей. Эти два признака приводят к улучшенному впечатлению потребителя и поэтому увеличивают удобство потребителя. На реологию состава для рта влияют типы и уровни сгустителей, а также типы и уровни опциональных ингредиентов. Специалистам известно, что различные сгустители могут использоваться при разных уровнях, чтобы обеспечить аналогичную вязкость при одной скорости деформации сдвига. Однако сгустители могут показывать отличающиеся профили вязкости по диапазону скоростей деформации сдвига. Некоторые сгустители или сгущающие системы, такие как те, которое содержат синтетическую гекторитовую глину, показывают уровни гистерезиса от умеренного до высокого, ограничивая возврат вязкости состава к его начальной вязкости при низкой скорости деформации сдвига после того, как он подвергается высокой скорости деформации сдвига, но все же желательны, т.к. они являются сильно облегчающими сдвиг. Другие сгустители не имеют облегчения сдвига достаточного, чтобы разрешить их применение здесь. Чтобы поддерживать свойства облегчения сдвига состава для рта, предпочтительно избегать высоких уровней веществ, которые чрезмерно увеличивают вязкость с высокой деформацией сдвига. Примеры таких веществ включают в себя ньютоновские жидкости, такие как глицерин, сорбитоловый сироп и гидролизаты гидрогенированного крахмала (известные также как сироп гидрогенированной глюкозы). Эти вещества, хотя и являются желательными в качестве увлажнителей и опциональных ингредиентов, при добавлении при высоких уровнях могут изменить разрежающие свойства состава, так что он станет непригодным для использования здесь. Большинство жидких ингредиентов имеют более высокую вязкость, чем вода, которую они обычно замещают. Это включает в себя другие увлажнители, такие как пропиленгликоль и полиэтиленгликоли (ПЭГ). Если заменить воду одним из этих ингредиентов, состав для рта будет иметь более высокую вязкость как при высоких, так и при низких скоростях деформации сдвига. Вместе с тем, предпочтительно избегать высоких уровней твердых веществ из макрочастиц, таких как абразивы. Эти вещества снижают величину облегчения сдвига в составах для рта, делая их непригодными для транспортировки через насос и трубку. Обнаружено, что составы для рта, содержащие высокие уровни твердых веществ из макрочастиц, иногда не способны втягиваться в насос из резервуара, что приводит к блокировке насоса. Сгустители Рецептура должна иметь достаточно низкую вязкость при высокой скорости деформации сдвига, чтобы обеспечить адекватные скорости потока через объединенное устройство, несмотря на достаточно высокую вязкость при низких скоростях деформации сдвига вслед за тем, как она подвергается высокой скорости деформации сдвига, чтобы предотвратить вытекание продукта из щетки после распределения. Оптимальный сгуститель или сгущающая система для рецептуры объединенного устройства должны увеличивать жидкостную вязкость при низкой скорости деформации сдвига (1 с-1), добавляя в то же время как можно меньше вязкости при высоких скоростях деформации сдвига. Для того чтобы удовлетворить эти цели, сгуститель или сгущающая система должны придавать рецептуре высокую степень псевдопластичности, заставляя рецептуру существенно уменьшать вязкость по мере увеличения скорости деформации сдвига. Как правило, сгустителями, придающими высокие уровни псевдопластичности, являются те, которые образуют структуру путем взаимодействий заряд-заряд или водородной связи, такие как коллоидальные кремнеземы и гекторитовые глины. С точки зрения скорости потока эти вещества имеют идеальные характеристики, сильно облегчая сдвиг. Сгустители, образующие поперечно связанные сети, такие как производные полисахаридов, включающие в себя ксантановую смолу, или полимеры, включающие карбомер, также дают высокую степень псевдопластичности. Сгустители, которые выстраивают структуру только за счет запутанности цепи, такие как целлюлозная смола, также являются псевдопластичными, но стремятся иметь более низкий уровень псевдопластичности, нежели те, которые имеют трехмерный порядок. Сгустители могут применяться поодиночке или в сочетании, чтобы формировать “сгущающие системы”. Некоторые сгустители, например гекторит, обеспечивают фазное разделение составов, в которых они используются в отсутствие второго сгустителя. Аналогично, могут быть ограничения на уровень, при котором может применяться отдельный сгуститель, требующий добавления дополнительных сгустителей для достижения требуемого реологического профиля. Как описано выше, составы, содержащие бентонитовую глину и гекторитовые глины, такие как лапонит, сильно облегчают сдвиг и поэтому желательны для использования в настоящем изобретении. Однако составы, содержащие эти сгустители, показывают уровни гистерезиса от умеренного до высокого, ограничивая их достижимую послесдвиговую вязкость после того, как их подвергают высоким скоростям деформации сдвига. Далее, эти сгустители непригодны для использования с некоторыми активными веществами ухода за полостью рта, такими как фторид натрия. Составы, содержащие более предпочтительные полисахаридные смолы, такие как ксантановая смола, и карраген, не облегчают сдвиг до такой же степени, как и те, которые содержат лапонит или бентонитовую смолу, но показывают меньший гистерезис после распределения. Поэтому необходимо выбирать соответствующие сгустители и уровни, чтобы достичь установленных здесь реологических требований. Для конкретного сгустителя или сочетания сгустителей достижение правильного реологического профиля, чтобы дать возможность продукту иметь подходящую скорость потока при высокой деформации сдвига и поддерживать структуру состава после того, как он подвергается высокой скорости деформации сдвига для того, чтобы остаться в и (или) на щетинках, будет сильно зависеть от уровня рецептуры, при котором применяется сгуститель или сочетание сгустителей. Как правило, увеличение уровня сгустителя приведет к увеличению вязкостей как при низкой скорости деформации сдвига, так и при высокой скорости деформации сдвига. Поэтому имеется окно в уровнях сгустителя, которое позволяет составу накачиваться и оставаться на щетинках. Оптимальный уровень или уровни сгустителя или сочетания сгустителей будут также находиться посредством сортировки применяемого вещества, как правило, в функции молекулярного веса или длины полимерной цепи, причем более длинные цепи приводят к более высокой вязкости. Сгуститель может также проявлять синергическое взаимодействие с другими ингредиентами в рецептуре, так что изменяется уровень, требуемый для достижения правильных вязкостей как при высоких, так и при низких скоростях деформации сдвига. Многие иные факторы могут регулировать выбор частного сгустителя в частной рецептуре. Конкретный заряд на сгустителе может требоваться, например, для того, чтобы избежать нежелательных взаимодействий с другими ингредиентами. Сгустители, пригодные для настоящего изобретения, включают в себя органические и неорганические сгустители и их смеси. Неорганические сгустители включают в себя гекторит и его производные, гидратированные кремнеземы, третичные и четверичные производные силиката магния, бентонит и их смеси. Предпочтительными неорганическими сгустителями являются гекторит и его производные, гидратированные кремнеземы и их смеси. Органические сгустители включают в себя ксантановую смолу, карраген и его производные, желлановую смолу, гидроксипропилметилцеллюлозы, склеротиновую смолу и ее производные, пуллулан, рамзановую смолу, велановую смолу, конжак, курдлан, карбомер, альгин, альгиновую кислоту, альгинаты и их производные, гидроксиэтилцеллюлозу и ее производные, гидроксипропилцеллюлозы и ее производные, производные крахмального фосфата, гуаровую смолу и ее производные, крахмал и его производные, сополимеры ангидрита малеиновой кислоты с алкенами и их производные, целлюлозную смолу и ее производные, сополимеры этиленгликоля/пропиленгликоля, полоксамеры и их производные, полиакрилаты и их производные, метилцеллюлозу и ее производные, этилцеллюлозу и ее производные, агар и его производные, гуммиарабик и его производные, пектин и его производные, хитозан и его производные, смолистые полиэтиленгликоли, такие как PEG-XM, где Х Объемы сгустителей могут изменяться от больше, чем 0,5% до 4%, предпочтительно больше, чем 0,5% до 3%, более предпочтительно больше, чем 0,5% до 2% по весу. Поверхностно-активные вещества Состав для рта по настоящему изобретению содержит более чем 0,1% по весу поверхностно-активного вещества или смеси поверхностно-активных веществ. Уровни поверхностно-активных веществ, указанные здесь, основаны на 100% активности, даже хотя общие сырые вещества, такие как лаурилсульфат натрия, могут подаваться как водные растворы с более низкой активностью. Поверхностно-активное вещество является важным для очистки рта как через удаление загрязнения с поверхностей, так и при выработке пены для суспендирования удаленного загрязнения. Подходящими уровнями поверхностно-активных веществ являются от примерно 0,1% до примерно 15%, предпочтительно от примерно 0,25% до примерно 10%, более предпочтительно от примерно 0,5% до примерно 5%, по весу от общего состава. Пригодные для использования здесь поверхностно-активные вещества включают в себя анионные, амфотерные, неионные, цвиттер-ионные и катионные поверхностно-активные вещества, хотя анионные, амфотерные, неионные и цвиттер-ионные поверхностно-активные вещества являются предпочтительными. Полезные анионные поверхностно-активные вещества здесь включают в себя водорастворимые соли алкилсульфатов и алкилэфирсульфатов, имеющих от 10 до 18 атомов углерода в алкиловом радикале, и водорастворимые соли сульфонатных моноглицеридов жирных кислот, имеющих от 10 до 18 атомов углерода. Лаурилсульфат натрия и коконат моноглицерид сульфонаты натрия являются примерами анионных поверхностно-активных веществ этого типа. Предпочтителен лаурилсульфат натрия. В предпочтительных вариантах осуществления состав для рта содержит по меньшей мере примерно 0,125%, предпочтительно по меньшей мере 0,5%, анионного поверхностно-активного вещества, более предпочтительно по меньшей мере примерно 2%. Подходящие катионные поверхностно-активные вещества, полезные в настоящем изобретении, могут быть широко определены как производные от алифатических соединений четверичного аммония, имеющих одну длинную алкиловую цепь, содержащую от примерно 8 до 18 атомов углерода, такие как лаурил триметиламмониум хлорид; сетил пиридиниум хлорид; бензалкониум хлорид; сетил триметиламмониум бромид; диизобутилфеноскиетил-диметилбензиламмониум хлорид; коконат алкилтриметиламмониум нитрит; сетил пиридиниум фторид и т.д. Некоторые катионные поверхностно-активные вещества могут также действовать как бактерициды в раскрытых здесь составах. Подходящие неионные поверхностно-активные вещества, которые могут использоваться в составах по настоящему изобретению, могут быть широко определены как соединения, вырабатываемые конденсацией алкилен оксидных групп (гидрофильных по своей природе) с органическим гидрофобным соединением, которое может быть по своей природе алифатическим и(или) ароматическим. Примеры подходящих неионных поверхностно-активных веществ включают в себя полоксамеры; производные сорбитана, такие как ди-изостеарат сорбитана; этиленоксидные конденсаты гидрогенизированного касторового масла, такие как ПЭГ-30 гидрогенизированное касторовое масло; этиленоксидные конденсаты алифатических спиртов или алкиловых фенолов; продукты, выделенные из конденсации этиленоксида с реакционным продуктом пропиленоксида и этилендиамина; длинноцепочечные третичные аминоксиды; длинноцепочечные третичные фосфиноксиды; длинноцепочечные диалкилсульфоксиды и смеси таких веществ. Эти вещества полезны для стабилизации пены без внесения избыточной вязкости, созданной для состава для рта. Цвиттер-ионные поверхностно-активные вещества могут быть широко описаны как производные от алифатических соединений четверичного аммония, фосфониума и сульфониума, в которых алифатические радикалы могут быть прямыми цепями или ветвящимися, и при этом один из алифатических заместителей содержит от примерно 8 до 18 атомов углерода и один содержит анионную водорастворимую группу, например, карбокси, сульфонат, сульфат, фосфат или фосфонат. Предпочтительные цвиттер-ионные поверхностно-активные вещества включают в себя бетаиновые поверхностно-активные вещества, раскрытые в патенте США №5180577. Жидкие несущие вещества Состав для рта по данному изобретению содержит более чем примерно 50% жидких несущих веществ. Обычно присутствует вода. Вода, применяемая при приготовлении коммерчески пригодного состава для рта, должна быть предпочтительно деионизирована и свободна от органических загрязнителей. Вода в общем случае содержит здесь по меньшей мере 10%, предпочтительно от примерно 20% до 70%, по весу составов жидкой зубной пасты. Более предпочтительно, составы включают в себя по меньшей мере примерно 30% воды, приемлемо от примерно 30% до примерно 50% воды. Эти количества воды включают в себя свободную воду, которая добавляется к той, которая вводится с другими веществами, такими как сорбитол, и с растворами поверхностно-активных веществ. В общем случае, жидкий носитель будет далее включать в себя один или более увлажнителей. Подходящие увлажнители включают в себя глицерин, сорбитол и другие годные в пищу поливодородосодержашие спирты, такие как полиэтиленгликоли низкомолекулярного веса при уровнях от примерно 15% до примерно 50%. Чтобы обеспечить наилучший баланс пенящих свойств и сопротивления к высушиванию, отношение общей воды к общему увлажнителю равно предпочтительно от примерно 0,65:1 до 1,5:1, предпочтительно от примерно 0,85:1 до 1,3:1. На вязкости с высокой скоростью деформации сдвига составов для рта здесь в сильной степени влияет вязкость ньютоновских жидкостей, присутствующих в составе. Как используется здесь, “ньютоновские жидкости” включают в себя жидкие вещества, подчиняющиеся тому закону, что однородное напряжение сдвига является произведением коэффициента вязкости и скорости деформации сдвига. Они могут быть либо чистыми жидкостями, такими как глицерин или вода, либо растворами растворенного вещества в растворителе, такими как раствор сорбитола в воде. Уровень вклада ньютоновской жидкости в вязкость в неньютоновском составе для рта будет зависеть от уровня, при котором смешивается ньютоновская жидкость. Вода обычно присутствует в значительном количестве в составе для рта и имеет ньютоновскую вязкость приблизительно 1 мПа·с при 25°С. Увлажнители, такие как растворы глицерина и сорбитола, как правило, имеют значительно более высокую ньютоновскую вязкость, нежели вода. В результате общий уровень увлажнителя – отношение воды к увлажнителю – и выбор увлажнителей является критичным для нахождения вязкости при высокой скорости деформации сдвига у составов для рта. Могут использоваться общеизвестные увлажнители, такие как сорбитол, глицерин, полиэтиленгликоли, пропиленгликоли и их смеси, но конкретные используемые уровни и отношения будут отличаться в зависимости от выбора увлажнителя. Сорбитол может использоваться, но вследствие его относительно высокой ньютоновской вязкости не может смешиваться при уровнях выше 45% по весу от состава для рта. Наоборот, пропиленгликоль может применяться при более высоких уровнях, т.к. он имеет более низкую ньютоновскую вязкость, чем сорбитол, и, следовательно, не вносит столько же в вязкость при высокой скорости деформации сдвига у состава для рта. Глицерин имеет промежуточную ньютоновскую вязкость между вязкостями сорбитола и полиэтиленгликоля. Этанол может также присутствовать в составах для рта. Его количества могут меняться от 0,5 до 5%, оптимально от 1,5 до 3,5%, по весу. Этанол может быть полезным растворителем и может служить для усиления воздействия запаха, хотя в этом последнем отношении обычно применяются только низкие уровни. Могут также применяться неэтаноловые растворители, такие как пропиленгликоль. Полезными здесь являются также полиэтиленгликоли с низкомолекулярным весом. Прочие компоненты Состав для рта будет здесь, как правило, содержать множество иных компонентов, таких как абразивы, источники ионов фтора, хелатообразующие агенты, антимикробные агенты, сгустители, силиконовые масла и другие вспомогательные вещества, такие как консерванты и окрашивающие агенты. Абразивы Состав для рта по настоящему изобретению может содержать зубной абразив. Абразивы служат для полировки зубов и (или) удаления поверхностных отложений. Абразивное вещество, предполагаемое для использования здесь, может быть любым веществом, которое не чрезмерно стирает дентин. Подходящие абразивы включают в себя нерастворимые фосфатные полирующие агенты, такие как, к примеру, дикальций фосфат, трикальций фосфат, кальций пирофосфат, бета-фазный кальций пирофосфат, дикальций фосфат дигидрат, безводный кальций фосфат, нерастворимый натрий метафосфат и тому подобное. Также пригодными являются меловые абразивы, такие как карбонаты кальция и магния, ксерогели с включением кремнеземов, гидрогели, аэрогели и осадки, глинозем и его гидраты, такие как альфа-глинозем тригидрат, алюминосиликаты, такие как кальцинированный алюминиевый силикат и алюминиевый силикат, силикаты магния и циркония, такие как магний трисиликат, и термоусадочные полимеризованные смолы, такие как продукты конденсации макрочастиц мочевины и формальдегида, полиметилметакрилат, порошковый полиэтилен и прочие, такие как раскрытые в патенте США №3070510, 25 декабря 1962 года. Можно также использовать смеси абразивов. Абразивные полирующие вещества в целом имеют средний размер частиц от примерно 0,1 до примерно 30 мкм, предпочтительно от примерно 1 до 15 мкм. Составы для рта, описанные здесь, предпочтительно имеют значения радиоактивного истирания дентина (РИД) (RDA) от примерно 70 до примерно 200, более предпочтительно от примерно 70 до примерно 140, наиболее предпочтительно от примерно 80 до примерно 125. Значения РИД находят согласно способу, изложенному Hefferen, “Journal of Dental Research” июль-август 1976, стр.563-573 и описанному в патентах США №№4340583, 4420312 и 4421527, выданных на имя Wason. Неабразивные вещества, такие как полифосфаты, также могут вносить вклад в значение РИД. Значение РИД может, однако, измеряться для абразива в отсутствие этих веществ. В составах по настоящему изобретению предпочтительно, чтобы сами абразивы имели значение РИД от примерно 70 до примерно 140, более предпочтительно от примерно 80 до примерно 125, когда используются при 5% нагрузке. РИД абразива при 5% нагрузке может быть измерено путем применения следующего метода. Подготавливается тестовый состав, содержащий 50% глицерина, 44% воды, 5% абразива и 1% ксантановой смолы, путем смешивания ксантановой смолы в глицерин, добавления воды и смешивания, а затем добавления абразива и смешивания. РИД этого тестового состава можно затем измерить с помощью стандартного способа РИД, чтобы обеспечить измерение РИД для абразива при 5% нагрузке. Альтернативная мера оценивания качества очистки составов служит здесь для оценки их воздействия на собирающей пленке. Описанные здесь составы для рта предпочтительно имеют также значения отношения очистки пленки (ООП) (PCR) по меньшей мере примерно 70, предпочтительно от примерно 70 до примерно 140, более предпочтительно от примерно 80 до примерно 125. Значения очистки ООП находят посредством теста ООП, описанного в “In Vitro Removal of Stain With Dentifrice” [“Удаление in vitro пятен зубной пастой”], G.K.Stookey, T.A.Burkhard and B.R.Schemerhom, J.Dental Research, 61, 1236-9, 1982. Кремнеземные зубные абразивы различных типов предлагают исключительное качество зубной очистки и полирования без чрезмерного истирания зубной эмали или дентина. Кремнеземный абразив может быть осадочным кремнеземом или кремнеземными гелями, такими как кремнеземные ксерогели, описанные в патенте США №3538230, выданном 2 марта 1970 года на имя Pader et al., и в патенте США №3862307, выданном 21 июня 1975 года на имя DiGiulio, например кремнеземные ксерогели, продаваемые под товарным знаком “Sytoid” фирмой W.R.Grace & Company, Davison Chemical Division. Подходящие осадочные кремнеземы включают в себя те, которые продаются фирмой INEOS под товарными названиями Sorbosil AC 43 и AC 33. Предпочтительными являются кремнеземы, которые имеют абсорбцию масла от 30 г на 100 г до 100 г на 100 г кремнезема. Обнаружено, что кремнеземы с низкими уровнями абсорбции масла являются менее структурированными и поэтому не доводят вязкость состава для рта до той же самой степени, что и кремнеземы, которые имеют более высокую структурированность, а потому имеют более высокие уровни абсорбции масла. Как используется здесь, абсорбция масла измеряется путем измерения максимального количества льняного масла, которое может абсорбировать кремнезем при 25°С. Подходящие уровни абразива составляют от примерно 0% до примерно 20%, предпочтительно менее 10%, к примеру от 1% до 10%. Уровни абразива от 3% до 5% предпочтительны. Обнаружено, что составы для рта с высокими уровнями абразива не имеют реологических свойств, пригодных для использования в настоящем изобретении. Без желания связывать себя теорией, считается, что составы для рта, содержащие более высокие уровни абразивов, хотя и имеют хорошую вязкость при низкой скорости деформации сдвига для стабильности после распределения, не разжижаются в достаточной степени при более высоких скоростях деформации сдвига, чтобы обеспечить хорошие характеристики наполнения и опустошения насоса. Источники ионов фтора Для защиты от кариеса в составе для рта будет обычно присутствовать источник иона фтора. Источники фтора включают в себя фторид натрия, фторид калия, фторид кальция, фторид двухвалентного олова, монофторфосфат двухвалентного олова и монофторфосфат натрия. Подходящие уровни обеспечивают от 25 до 2500 миллионных долей доступного иона фторида по весу жидкой зубной пасты. Хелатообразующие агенты Другим предпочтительным опциональным агентом является хелатообразующий агент, в значении противокамневого агента. Подходящие хелатообразующие агенты включают в себя органические кислоты и их соли, такие как винная кислота и ее фармацевтически приемлемые соли, лимонная кислота и цитраты щелочных металлов и их смеси. Хелатообразующие агенты способны собирать кальций, найденный на стенках клеток бактерий. Хелатообразующие агенты могут также разрушать бляшки удалением кальция из кальциевых перемычек, что помогает поддерживать эту биомассу невредимой. Однако возможно использовать хелатообразующий агент, который имеет сродство для кальция, которое слишком высоко. Это приводит к деминерализации зуба и является обратным целям и стремлениям настоящего изобретения. Предпочтительные хелатообразующие агенты имеют постоянную связывания кальция от примерно 101 до 105, чтобы обеспечить улучшенную очистку со сниженными бляшками и образованием камня. Количества хелатообразующего агента, пригодного для использования в настоящем изобретении, составляют примерно 0,1% до примерно 2,5%, предпочтительно от примерно 0,5% до примерно 2,5% и более предпочтительно от примерно 1,0% до примерно 2,5%. Хелатообразующий агент соли винной кислоты может использоваться один или в сочетании с другими опциональными хелатообразующими агентами. Другую группу агентов, пригодных, в частности, для использования в качестве хелатообразующих агентов в настоящем изобретении, составляют водорастворимые полифосфаты, полифосфонаты и пирофосфаты, которые полезны в качестве противокамневых агентов. Соли пирофосфатов, используемые в настоящих составах, могут быть любыми из солей пирофосфатов щелочных металлов. Эффективное количество соли пирофосфата, полезное в данном составе, в общем достаточно, чтобы обеспечить по меньшей мере 1,0% иона пирофосфата, предпочтительно от примерно 1,5% до примерно 6% таких ионов. Соли пирофосфатов описываются более подробно в Kirk & Othmer, Encyclopedia of Chemical Technology, Second Edition, Volume 15, Interscience Publishers (1968). Предпочтительными являются водорастворимые полифосфаты, такие как натрий триполифосфат, калий триполифосфат и натрий гексаметафосфат. Другие длинноцепочечные противокамневые агенты этого типа описываются в международной заявке WO 98/22079. Также предпочтительными являются водорастворимые дифосфонаты. Пригодные водорастворимые дифосфонаты включают в себя этан-1-гидрокси-1,1-дифосфонат (EHDP) и аза-циклогептан-дифосфонат (АНР). Триполифосфаты и дифосфонаты особенно предпочтительны, т.к. они обеспечивают как противокамневую активность, так и активность в удалении бляшек без создания вязкости настолько же большой, насколько меньше водорастворимых химических агентов удаления бляшек, и являются стабильными по отношению к гидролизу в воде. Вследствие ограниченной абразивной нагрузки, которую можно включить в настоящие составы по причинам поддержания низкой вязкости, водорастворимые полифосфаты и дифосфонаты выгодны в качестве удаляющих бляшки активных веществ. Без желания связывать себя теорией, считается, что эти ингредиенты удаляют бляшки путем десорбирования дающей пятна пленки с эмалевой поверхности зуба. Подходящие уровни водорастворимых полифосфатов и дифосфонатов составляют от примерно 0,1% до примерно 10%, предпочтительно от примерно 1% до примерно 5% и более предпочтительно от примерно 1,5% до примерно 3%, по весу от состава для рта. Более предпочтительными для использования здесь являются соли щелочных металлов триполифосфатов. Еще одной возможной группой хелатообразующих агентов, пригодных для использования в настоящем изобретении, являются анионные полимерные поликарбоксилаты. Такие вещества общеизвестны в технике, будучи применяемы в виде их свободных кислот или частично или предпочтительно полностью нейтрализованных водорастворимых солей щелочных металлов (например, калия и предпочтительно натрия) или аммония. Дополнительные полимерные поликарбоксилаты раскрываются в патенте США №4138477 на имя Gaffar и в патенте США №4183914 на имя Gaffar et al. и включают в себя сополимеры малеинового ангидрида со стиреном, изобутиленом или этил винил эфиром, полиакриловую, полиитаконовую и полималеиновую кислоты и сульфоакриловые олигомеры с таким низким МБ (молекулярным весом), как 1000, доступные как Uniroyal ND-2. Антимикробные агенты Также полезными для включения в составы по настоящему изобретению являются антимикробные агенты. Может использоваться широкое разнообразие антимикробных агентов, в том числе соли двухвалентного олова, такие как пирофосфат двухвалентного олова и глюконат двухвалентного олова; соль цинка, такая как лактат цинка и цитрат цинка; соли меди, такие как бисглицинат меди; соли четверичного аммония, такие как сетил пиридиниум хлорид и тетрадесилэтил пиридиниум хлорид; соли бис-бигуанида и неионные антимикробные агенты, такие как триклозан. Некоторые ароматические масла, такие как тимол, могут также иметь антимикробную активность. Такие агенты раскрываются в патенте США №2946725, выданном 26 июля 1960 года на имя Norris et al., и в патенте США №4051234, выданном 27 сентября 1977 года на имя Gieske et al. Полезным также является хлорит натрия, описанный в международной заявке WO 99/43290. Антимикробные агенты, если они присутствуют, как правило, включаются при уровнях от примерно 0,01% до примерно 1-0%. Предпочтительно удерживать уровень оловянных и катионных антимикробных агентов меньше, чем 5%, предпочтительно меньше, чем 1%, чтобы избежать проблем с пятнами. Предпочтительным антимикробным агентом является некатионный антимикробный агент, такой как описанный в патенте США №5037637. Особенно предпочтительный антимикробный агент представляет собой 2′,4,4′-трихлоро-2-гидрокси-дифенил эфир (триклозан). Силиконовые масла Опциональным ингредиентом в данных составах является силиконовое масло. Силиконовые масла могут быть полезны в качестве барьеров для бляшек, как раскрыто в международной заявке WO 96/19191. Подходящие классы силиконовых масел включают в себя – но не ограничиваются ими – диметиконы, диметиконолы, сополиоли диметикона и аминоалкилсиликоны; предпочтительные силиконовые масла выбираются из сополиолей диметикона и аминоалкилсиликонов, более предпочтительно из сополиолей диметикона. Силиконовые масла в общем случае присутствуют на уровне от примерно 0,1% до примерно 15%, предпочтительно от примерно 0,5% до примерно 5%, более предпочтительно от примерно 0,5% до примерно 3%, по весу. Прочие вспомогательные вещества Подслащивающие агенты, такие как сахарин натрия, цикламат натрия, ацесульфам К, аспатрам, сахароза и тому подобные, могут быть включены на уровнях от примерно 0,1 до 5% по весу. Другие вспомогательные вещества также могут быть включены, в том числе ароматизаторы, консерванты, придающие непрозрачность, и красители. Типичными красителями являются D&C желтый №10, FD&C синий №1, FD&C красный №40, D&C красный №33 и их сочетания. Уровни красителей могут изменяться от 0,0001 до 0,1%. Нижеследующие примеры будут более полно иллюстрировать варианты осуществления данного изобретения. Составы для рта в вышеприведенных примерах упаковывались в очищенных вакуумом разборных саше, сделанных из термогерметизированного алюмопластикового ламината. Саше прикреплялось к впускному соплу диафрагменного насоса с объемом диафрагменной камеры 0,3 мл через зажимный соединитель. Выпускное сопло насоса присоединялось к силиконовой трубке круглого сечения площадью внутреннего поперечного сечения 3,14 мм2 и длиной 120 мм. Дистальный к насосу конец силиконовой трубки оканчивался силиконовым щелевым невозвратным клапаном в головке щеточного аппликатора. Весь узел саше/насос/трубка помещался в корпусе электрической зубной щетки с размером для удобного захвата рукой пользователя, так что свод диафрагменного насоса нажимался вручную снаружи корпуса для того, чтобы накачивать состав. Когда свод насоса нажимался вручную, составы для рта по вышеприведенным примерам распределялись при скорости потока приблизительно 0,3 мл/с без необходимости приложения пользователем избыточного усилия. После распределения составы для рта быстро достигали приемлемой вязкости при 1 с-1.
Формула изобретения
1. Использование состава для рта для ухода за полостью рта, содержащее накачивание состава для рта из резервуара ручной зубной щетки, которая содержит единый корпус, который можно с удобством захватывать рукой пользователя, причем корпус содержит резервуар к выпускному отверстию зубной щетки через трубку с площадью внутреннего поперечного сечения А и длиной у, где А составляет от 0,0025 до 25 мм2, а у равно от 10 до 300 мм, состав характеризуется тем, что он имеет вязкость не более чем
состав далее имеет вязкость по меньшей мере 10 Па·с при скорости деформации сдвига 1 с-1. 2. Использование по п.1, в котором зубная щетка является электрической зубной щеткой. 3. Использование по п.2, в котором состав для рта накачивается насосом положительного смещения. 4. Использование по п.3, в котором трубка имеет отношение длины к площади внутреннего поперечного сечения по меньшей мере 1:1 мм-1. 5. Использование по п.4, в котором
6. Использование по п.3, в котором насос положительного смещения содержит диафрагменный насос. 7. Использование по п.6, в котором
8. Использование по п.1, при этом состав для рта характеризуется далее тем, что он обеспечивает скорость потока по меньшей мере 0,2 мл/с в насос положительного смещения, причем возвратное усилие насоса меньше чем 100 Н. 9. Состав для рта для использования по п.1, содержащий а) от более чем 0,5 до 4% сгущающих ингредиентов, выбранных из гекторита и его производных, гидратированных кремнеземов, третичных и четверичных производных силиката магния, бентонит, ксантановой смолы, каррагена и его производных, желлановой смолы, гидроксипропил метил целлюлозы, склеротиновой смолы и ее производных, пуллулана, рамзановой смолы, велановой смолы, конжака, курдлана, карбомера, альгина, альгиновой кислоты, альгинатов и их производных, гидроксиэтил целлюлозы и ее производных, гидроксипропил целлюлозы и ее производных, производных крахмального фосфата, гуаровой смолы и ее производных, крахмала и его производных, сополимеров ангидрита малеиновой кислоты с алкенами и их производных, целлюлозной смолы и ее производных, сополимеров этилен гликоля/пропилен гликоля, полоксамеров и их производных, полиакрилатов и их производных, метил целлюлозы и ее производных, этил целлюлозы и ее производных, агара и его производных, гуммиарабика и его производных, пектина и его производных, хитозана и его производных, смолистых полиэтилен гликолей, таких как PEG-XM, где Х b) менее чем 20% нерастворимых твердых веществ; c) 20-70% общей воды; и d) от более чем 20 до 80% увлажнителей, выбранных их полиолей и полиэтилен гликолей; при этом состав имеет вязкость от 0,001 до 780 Па·с при скорости деформации сдвига 20 с-1 и по меньшей мере 10 Па·с при скорости деформации сдвига 1 с-1. 10. Состав для рта по п.9, содержащий a) от более чем 0,5 до 4% сгущающих ингредиентов, выбранных из ксантановой смолы, каррагена и его производных, желлановой смолы, гидроксипропил метил целлюлозы, склеротиновой смолы и ее производных, пуллулана, рамзановой смолы, велановой смолы, конжака, курдлана, карбомера, альгина, альгиновой кислоты, альгинатов и их производных, гидроксиэтил целлюлозы и ее производных, гидроксипропил целлюлозы и ее производных, производных крахмального фосфата, гуаровой смолы и ее производных, крахмала и его производных, сополимеров ангидрита малеиновой кислоты с алкенами и их производных, целлюлозной смолы и ее производных, сополимеров этиленгликоля/пропиленгликоля, полоксамеров и их производных, гекторита и его производных, гидратированных кремнеземов и их смесей; b) менее чем 10% нерастворимых твердых веществ; c) от 30 до 60% увлажнителей, выбранных их полиолей и полиэтилен гликолей; и d) от 30 до 60% общей воды. 11. Состав для рта по п.10, содержащий от более чем 0,5 до 2% сгущающих ингредиентов, выбранных из ксантановой смолы, каррагена и его производных, желлановой смолы, гидроксипропил метил целлюлозы, склеротиновой смолы и ее производных, пуллулана, рамзановой смолы, велановой смолы, конжака, курдлана, гекторита и его производных, гидратированных кремнеземов и их смесей. 12. Состав для рта по п.10, содержащий от 0,1 до 10% противокамневого агента, выбранного из группы, состоящей из соли щелочного металла триполифосфата и дифосфонатов, предпочтительно солей щелочных металлов триполифосфата. 13. Состав для рта по п.10, характеризующийся далее тем, что он имеет вязкость больше, чем 0,1 Па·с, предпочтительно больше, чем 0,2 Па·с, более предпочтительно больше, чем 0,3 Па·с при скорости деформации сдвига 1 с-11 в случае разведения водой до жидкого 16,67%-ного раствора. 14. Состав для рта, содержащий a) от 1 до 10% абразива; b) от 20 до 70% общей воды; c) по меньшей мере 10% увлажнителей, выбранных из полиолей и полипропилен гликолей; при этом состав имеет РИД от 70 до 200 и вязкость по меньшей мере 10 Па·с при скорости деформации сдвига 1 с-1. 15. Состав для рта по п.14, содержащий от 1 до 10% водорастворимых полифосфата или дифосфоната. 16. Резервуар для использования в системе ухода за полостью рта, содержащий a) состав для рта согласно любому из пп.9-15; b) средство для соединения резервуара с системой ухода за полостью рта. Приоритет по пунктам: 04.10.2002 по пп.1-11, 13, 16; 31.10.2002 по пп.1-8, 12, 16; 13.06.2003 по пп.1-8, 12, 14-16.
|
||||||||||||||||||||||||||||||||||||||||||||||||||||||||||||||||||||||||||||||||||||||||||||||||||||||||||||||||||||||||||||||||||||||||||||||||||||||||||||||||||||||||

(в Па·с) при скорости
(в с-1), где 
1, смолы карайя, смолы рожкового дерева, смолы натто, сополимеров винилпирролидона с алкенами, трагакантовой смолы, полиакриламидов, производных хитина, желатина, бета-глюкана, декстрина, декстрана, циклодекстрина, метакрилатов, микрокристаллической целлюлозы, поликватерниумов, фурцеллареновой смолы, смолы гатти, смолы псиллиум, айвовой смолы, тамариндовой смолы, лиственничной смолы, смолы тара и их смесей;





представляет собой напряжение сдвига,
представляет собой консистенцию (вязкость при 1 с-1), а n есть показатель сдвига. Когда значения 

сдвига (в с-1), где 

