|
|
(21), (22) Заявка: 2006122156/09, 20.06.2006
(24) Дата начала отсчета срока действия патента:
20.06.2006
(46) Опубликовано: 27.01.2008
(56) Список документов, цитированных в отчете о поиске:
RU 2199807 С2, 27.02.2003. RU 2148289 C1, 20.05.2003. RU 2249894 С2, 10.04.2005. SU 1319162 A1, 23.06.1987. SU 1663693 A1, 04.04.1982. US 4538197 A, 27.08.1985. DE 3007181 A1, 04.09.1980. EP 0027757 A1, 29.04.1981. WO 9919956 В1, 22.04.1999.
Адрес для переписки:
690950, Приморский край, г.Владивосток, ул. Пушкинская, 10, ДВГТУ, патентный отдел
|
(72) Автор(ы):
Пастухов Виктор Степанович (RU), Иванов Константин Михайлович (RU)
(73) Патентообладатель(и):
Общество с ограниченной ответственностью “Пассат” (ООО “Пассат”) (RU)
|
(54) СПОСОБ ВЫЯВЛЕНИЯ И ЛИКВИДАЦИИ АСИНХРОННОГО РЕЖИМА В ЭНЕРГОСИСТЕМЕ УСТРОЙСТВОМ АВТОМАТИКИ
(57) Реферат:
Изобретение относится к электротехнике и может быть использовано в противоаварийной автоматике энергосистемы для выявления асинхронного режима. В способе вычисляют проекцию полного сопротивления на ось, повернутую в комплексной плоскости сопротивлений на расчетный угол относительно оси ординат. Вычисляют проекцию вектора измеряемого напряжения на ось, повернутую в комплексной плоскости относительно вектора тока на тот же расчетный угол. Определяют первую и вторую производные по времени от проекции вектора напряжения. Момент возникновения асинхронного режима фиксируют по несовпадению знака проекции вектора напряжения со знаками ее первой и скорректированной второй производной. С этого момента измеряют время и вычисляют полупериод асинхронного режима через первую производную проекции вектора напряжения. В случае превышения измеряемым временем полупериода асинхронного режима, уменьшенного на заданную величину, фиксируют наличие асинхронного режима для формирования действия автоматики по его ликвидации при благоприятном значении угла электропередачи. В способе уменьшается число неправильных действий автоматики за счет повышения селективности, устойчивости функционирования и адаптивности способа. 6 ил.
Изобретение относится к электротехнике, в частности к противоаварийной автоматике (ПА) энергосистем и может быть использовано, например, в автоматике ликвидации асинхронного режима (АЛАР).
Известен способ выявления асинхронного режима (АР) устройством автоматики, основанный на фиксации перехода фазового угла между напряжением и током в узле энергосистемы (ЭС) из одной области в другую при условии, что угол электропередачи, эквивалентирующей ЭС относительно этого узла, существенно отличен от нуля и находится в диапазоне значений, включающем =180° [1, с.40-45]. В устройстве автоматики реализация этого способа осуществляется путем фиксации переориентации реле мощности в зоне срабатывания реле сопротивления. При этом характеристика реле мощности соответствует границе, разделяющей области значений угла , а характеристика срабатывания реле сопротивления определяет требуемый диапазон углов и контролируемый по размещению электрического центра качаний (ЭЦК) участок сети.
Недостатком этого способа являются низкие селективность и устойчивость функционирования из-за зависимости от изменения угла э эквивалентного сопротивления электропередачи в пределах (60÷110)° при жесткой связи характеристики реле мощности с расчетным значением э, а также из-за неопределенности фиксируемого диапазона , вызванной неоднозначностью его связи с измеряемым сопротивлением. По той же причине рассматриваемый способ не позволяет селективно выявлять угрозу и момент возникновения АР.
Известен также способ выявления и ликвидации АР устройством автоматики, основанный на моделировании по локальным параметрам напряжений в узлах ЭС, ограничивающих контролируемую зону [2]. Здесь угол вычисляется по траекториям (годографам) векторов этих напряжений в комплексной плоскости. Такой метод дает приемлемые результаты в идеальных или близких к ним схемно-режимных условиях (длинные транзиты без существенных отборов мощности, простая, близкая к радиальной структура сети стабильность параметров эквивалентной электропередачи в ходе АР).
Однако несинфазность и самораскачивание внутри асинхронно идущих групп, многосвязность сети с распределенными по передачам отборами мощности, затрудняющая моделирование, изменение параметров схемы и нагрузки в процессе развития аварии приводят к сильным отклонениям годографов от окружностей и, как следствие, большим погрешностям в определении угла электропередачи . Это приводит к снижению селективности и устойчивости функционирования способа, а также замедлению выявления угрозы и момента возникновения АР из-за необходимости аппроксимации вычисляемых параметров.
Наиболее близким по технической сущности к достигаемым результатам к предлагаемому способу является способ, согласно которому измеряют по скалярным и векторным параметрам ток и напряжение в узле электропередачи и моделируют с их помощью параметры, по которым можно оценить расстояние до ЭЦК, а также определить знаки угла электропередачи, его первой и второй производных по времени [3]. При этом расстояние до ЭЦК, который должен при АР размещаться на контролируемом участке, находят по вычисляемому реактивному сопротивлению от точки измерения до точки с минимальным напряжением (ТМН) на электропередаче, т.к. ТМН практически совпадает с ЭЦК в диапазоне углов , при которых происходит выявление АР. В качестве угла электропередачи в этом способе используют угол ( л) между моделируемыми напряжениями по концам контролируемого участки сети. Возникновение АР фиксируют при совпадении знаков л и его первой и второй производных по времени, если сопротивление до ТМН находится в заданных пределах.
Достоинства способа – выявление АР в момент его возникновения, одновременность срабатывания автоматики, основанной на этом способе, на всех линиях сечения АР, минимум задаваемых уставок и их расчетного обеспечения.
Однако анализ рассматриваемого способа обнаруживает в нем ряд недостатков, снижающих селективность и устойчивость функционирования.
Первый недостаток обусловлен нелинейной зависимостью л от угла электропередачи . Даже в случае однородной электропередачи без отборов мощности л и совпадают только при значениях 0, 180° и 360° в цикле АР [1, с.27]. В диапазоне от нуля до 180°, когда происходит выявление АР, превышение над л может достигать (60÷70)°. Обратная картина имеет место при 180°< <360°. Нелинейность функции л=f( ) и ее зависимость от изменяющихся в ходе АР параметров электропередачи (эквивалентного сопротивления и соотношения эквивалентных ЭДС k=E1/E2) приводит к разновременности изменения знаков вторых производных по времени от и л. При этом знак d2 л/dt2 может измениться значительно раньше момента возникновения АР, соответствующего переходу через ноль d2 л/dt2. Следовательно, в известном способе зачастую фиксируется угроза, а не момент возникновения АР, что приводит к снижению селективности по отношению к глубоким синхронным качаниям (СК) и нарушению одновременности фиксации АР по параллельным связям контролируемого сечения, что может вызывать сбои в работе автоматики и способствовать развитию аварии. Приближение л к за счет расширения контролируемого участка сети при определении местоположения ЭЦК по сопротивлению до ТМН не целесообразно, т.к. повышается вероятность ложной фиксации внешнего АР при существенном превышении углом э сопротивления угла л. К тому же отличие этих углов и многосвязность сети не позволяют осуществить достаточно точное моделирование и .
Второй недостаток известного способа заключается в том, что он не обеспечивает селективность по отношению к коротким замыканиям (КЗ) на контролируемом участке сети и требует при этом дополнительных мер для отстройки от ложной фиксации АР, т.к. появление ее условий вполне вероятно в процессе возникновения и отключения КЗ. Отстройка по скорости изменения л=f( ) не целесообразна из-за нелинейности этой функции, которая может привести к отказу способа в АР.
Третий недостаток проявляется в отсутствии адаптивности момента фиксации возникновения АР к благоприятным условиям деления системы (ДС) или реализации мероприятий по ресинхронизации (PCX) устройством автоматики. В худшем случае возможно отключение электропередачи при максимальном токе ( =180°), вызывающее сильные динамические перегрузки ЭС, которые могут привести к нарушению устойчивости функционирования автоматики на параллельных связях контролируемого сечения, где задействован известный способ. В итоге возникает задержка в ликвидации АР, чреватая вторичным нарушением устойчивости с последующим отказом автоматики при многомашинном АР. Кроме того, мероприятия по PCX при =180° наименее эффективны.
Задачей, на решение которой направлено заявленное техническое решение, является повышение селективности, устойчивости функционирования и адаптивности способа.
Полученный технический результат проявляется в уменьшении числа отказов, излишних и ложных срабатываний АЛАР, где это изобретение может быть использовано, а также повышении эффективности ДС и PCX, осуществляемых этой автоматикой. Такой технический результат снижает ущерб от возможных аварий в современных многосвязных энергосистемах.
Поставленная задача решается тем, что в способе выявления и ликвидации асинхронного режима в энергосистеме устройством автоматики, согласно которому измеряют по скалярным и векторным параметрам ток и напряжение в узле электропередачи и моделируют с их помощью параметры, по которым можно оценить расстояние до электрического центра качаний и определить знаки угла электропередачи, его первой и второй производных по времени, дополнительно измеряют вектор полного сопротивления как отношение вектора напряжения к вектору тока в контролируемом узле, вычисляют проекцию полного сопротивления на ось, повернутую в комплексной плоскости сопротивлений на расчетный угол относительно оси ординат, вычисляют проекцию вектора измеряемого напряжения на ось, повернутую в комплексной плоскости относительно вектора тока на тот же расчетный угол, фиксируют знак этой проекции в момент входа ее значений в установленный диапазон, вычисляют в этом диапазоне первую производную по времени проекции вектора напряжения, вычисляют моделируемое скольжение путем деления этой производной на квадратный корень из разности квадратов номинального напряжения и проекции вектора измеряемого напряжения, определяют модуль этого скольжения, вычисляют вторую производную по времени проекции вектора измеряемого напряжения, корректируют эту производную сложением с ней квадрата моделируемого скольжения, умноженного на проекцию вектора измеряемого напряжения, и для формирования действия автоматики на ликвидацию недопустимого асинхронного режима фиксируют его возникновение при несовпадении знака проекции вектора измеряемого напряжения со знаками ее первой и скорректированной второй производных по времени, если моделируемое скольжение не превысило по модулю заданной величины, а значения проекции вектора полного сопротивления находятся в установленном диапазоне, при соблюдении двух последних условий фиксируют момент изменения знака проекции вектора измеряемого напряжения, измеряют время, начиная с этого момента, вычисляют полупериод асинхронного режима как величину, обратную модулю моделируемого скольжения, деленному на /2, и в случае превышения измеряемым временем полупериода асинхронного режима, уменьшенного на заданную величину, при несовпадении знака проекции вектора напряжения с ее знаком в момент входа в установленный диапазон значений фиксируют наличие асинхронного режима для формирования действия автоматики по его ликвидации при благоприятном значении угла электропередачи.
Сопоставительный анализ существенных признаков предлагаемого технического решения и существенных признаков аналогов и прототипа свидетельствуют о его соответствии критерию «новизна».
Существенные признаки отличительной части формулы предлагаемого изобретения решают следующие функциональные задачи.
1. Признак «…измеряют вектор полного сопротивления как отношение вектора напряжения к вектору тока в контролируемом узле, вычисляют проекцию полного сопротивления на ось, повернутую в комплексной плоскости сопротивлений на расчетный угол относительно оси ординат…» позволяет более точно и направленно измерять сопротивление от контролируемого узла ЭС до ЭЦК в рабочем диапазоне улов , что повышает устойчивость функционирования при внешних и внутренних АР, близких к границам контролируемого участка сети.
2. Признак «…вычисляют проекцию вектора измеряемого напряжения на ось, повернутую в комплексной плоскости относительно вектора тока на тот же расчетный угол…» позволяет использовать параметр, однозначно связанный с углом , с помощью которого можно установить его рабочий диапазон и достоверно оценить знак , его первой и второй производных.
3. Признак «…фиксируют знак этой проекции в момент входа ее значений в установленный диапазон…» необходим для реализации одного из условий наличия АР в момент, соответствующий формированию действия автоматики при благоприятных значениях угла .
4. Признак «…вычисляют в этом диапазоне первую производную по времени проекции вектора напряжения…» позволяет по ее знаку однозначно определить знак реального скольжения s=d /dt.
5. Признак «…вычисляют моделируемое скольжение путем деления этой производной на квадратный корень из разности квадратов номинального напряжения и проекции вектора измеряемого напряжения, определяют модуль этого скольжения…» требуется для нахождения полупериода АР и корректировки второй производной проекции вектора измеряемого напряжения Um по времени.
6. Признак «…вычисляют вторую производную по времени проекции вектора измеряемого напряжения, корректируют эту производную сложением с ней квадрата моделируемого скольжения, умноженного на проекцию вектора измеряемого напряжения и для формирования действия автоматики при недопустимости асинхронного режима…» позволяет получить параметр, знак которого однозначно связан со знаком d2 /dt2.
7. Признак «…фиксируют его возникновение при несовпадении знака проекции вектора измеряемого напряжения со знаками ее первой и скорректированной второй производных по времени, если моделируемое скольжение не превысило по модулю заданной величины, а значения проекции вектора полного сопротивления находятся в установленном диапазоне…» соответствует наличию АР в ЭС, причем ограничение моделируемого скольжения sm позволяет отстроиться от ложных срабатываний при КЗ, если вычисляемые проекции находятся в заданных диапазонах.
8. Признак «…фиксируют момент изменения знака проекции вектора измеряемого напряжения, измеряют время, начиная с этого момента, вычисляют полупериод асинхронного режима как величину обратную модулю моделируемого скольжения, деленному на /2, и в случае превышения измеряемым временем полупериода асинхронного режима, уменьшенного на заданную величину, при несовпадении знака проекции вектора напряжения с ее знаком в момент входа в установленный диапазон значений фиксируют наличие асинхронного режима…» необходим для реализации условия фиксации АР в момент, обеспечивающий действие автоматики при благоприятных значениях угла электропередачи, когда ДС с учетом уменьшения полупериода АР на величину, учитывающую задержку по выходным цепям и время отключения выключателей, происходит при минимальном токе ( 0).
На фиг.1 изображена двухмашинная схема замещения энергосистемы; на фиг.2 – векторная диаграмма электропередачи, являющейся эквивалентом ЭС при двухмашинном АР; на фиг.3 и фиг.4 показаны векторные диаграммы, включающие векторы эквивалентных ЭДС по концам электропередачи, а также векторы тока и напряжения, измеряемые в нулевом узле; фиг.4 содержит построенные в комплексной плоскости траектории изменения напряжения в контролируемом узле и в ЭЦК при АР; на фиг.5 показаны годографы комплексного сопротивления при АР по контролируемому сечению и при внешнем АР; на фиг.6 приведена блок-схема реализации предлагаемого способа.
При двухмашинном АР энергосистема может быть представлена в виде эквивалентной электропередачи с ЭДС и по ее концам и сопротивлениям и от точек приложения этих ЭДС до контролируемого узла 0 с напряжением и током (фиг.1). На векторной диаграмме электропередачи (фиг.2) кроме упомянутых параметров показан вектор напряжения в точке с минимальным напряжением (ТМН), совпадающий по направлению с осью перпендикулярной вектору . При этом проекция Um вектора на эту ось, совпадающая по модулю с может быть найдена как

где э – угол эквивалентного сопротивления электропередачи Zэ=Z1+Z2, – угол между векторами и ; – угол между вектором тока и выбранной осью.
Решая треугольник векторов , и с учетом угла электропередачи , можно определить Um как высоту этого треугольника:

где m=2·k/(1+k2), если обозначить k=E1/E2. В реальном диапазоне k=0,8÷1,25 [1, с.19] отличие m от 1 составляет не более 2,5%. Поэтому в рабочем диапазоне =(60÷300)° можно пренебречь этой погрешностью. Тогда

Напряжение в контролируемом узле для однородной электропередачи можно вычислить следующим образом:

где =Z1/Z2, .
Напряжение в ЭЦК определяется при = ц=k/(k+1) [1, с.23]. При этом его проекция на ось, совпадающую с биссектрисой угла с учетом (4) равна

Следовательно, в соответствии с (3) и (5) и с учетом того, что Um.max и Uc.max отличаются не более чем на ±0,7% в реальном диапазоне Е1 и Е2 (0,9÷1,1 в о.е.) [1, с.17], можно вместо Uc использовать Um.
На фиг.3 и 4 приведены годографы и , построенные по (4) с учетом (5). Векторы и , характеризующие координаты центра и радиус окружностей, легко определяются по этим выражениям. Для годографа очевидно, что A=R=0,5·Uc.max, с приемлемой точностью можно принять Uc.max=Uном и при 90°< <270°, где Uн – номинальное напряжение.
Согласно предложенному способу вычисляют Um (1), чтобы получить параметр, связанный простой тригонометрической функцией с по (1) при заданном Um.max=Uном. С учетом этой связи рабочий диапазон , где выявляется АР, ставится в соответствие задаваемому диапазону значений Um:

На границе этого диапазона знак , как видно из векторной диаграммы (фиг.1) и (3), может быть определен как знак Um, изменяющийся при =180°.
Другим вычисляемым параметром является проекция Z0m вектора полного сопротивления на ось, повернутую относительно оси jX комплексной плоскости (R, jX) на тот же расчетный угол , который используется в (1) при определении Um ( = /2- э).
На фиг.5 в упомянутой плоскости построен годограф при АР на контролируемом участке (годограф 1), границы которого удалены от точки измерения (начала координат) на Z01 и -Z02 влево и вправо соответственно. Годограф , как известно [1, с.30], представляет собой окружность, центр которой находится на линии, совпадающей с вектором эквивалентного сопротивления электропередачи , а в случае ее однородности – с векторами Z1 и Z2, как на фиг.5, где угол э вектора сопротивления Zэ равен углу вектора относительно оси R. Радиус окружности зависит от k=E1/E2 и стремится к бесконечности при k=1. Точка пересечения годографа с соответствует ЭЦК. Проекция Z0m равна сопротивлению от точки измерения до ТМН. В рабочем диапазоне углов электропередачи =(90÷270)° ТМН и ЭЦК практически совпадают, как это видно на фиг.5 и следует из адекватности (3) и (5). Таким образом, с помощью параметра Z0m можно установить местоположение ЭЦК, попадающего на контролируемый участок при

При этом знак Z0m однозначно показывает, в какую сторону от контролируемого узла смещен ЭЦК – влево (+) или вправо (-).
Проекция Z0m вычисляется по формуле

В способе, выбранном в качестве прототипа, для контроля размещения ЭЦК используют реактивную составляющую Xmin сопротивления до ТМН, находящейся на реальной, а не эквивалентной передаче. Фактически ТМН совпадает с концом проекции на вектор сопротивления линии , a Xmin определяется реактивной координатой этой точки, как показано на фиг.5 для внешнего АР (годограф 2). В этом режиме Хmin еще находится в заданных для линии пределах, а угол уже достиг значений, при которых имеют место условия фиксации АР. Следовательно, при близких внешних АР устойчивость функционирования известного способа нарушается, в то время как предлагаемый способ не реагирует на такие режимы, т.к. условие (7) не выполняется.
Определив основные параметры, необходимые для оценки угла электропередачи (Um) и местоположения ЭЦК (Z0m), и установив по (6) рабочий диапазон , далее вычисляют в этом диапазоне первую производную по времени от Um. В соответствии с (3) при Um.max=Uном получим

Здесь по (3), a – реальное скольжение.
Моделируемое скольжение sm вычисляют путем деления dUm/dt на . Тогда sm и его модуль связаны с реальным скольжением следующим образом:


Очевидно, что знак dUm/dt и sm совпадают и всегда противоположны знаку s.
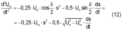
Далее вычисляют вторую производную от Um по времени, которая может быть определена путем дифференцирования (9) по следующей формуле:

Скорректированную вторую производную с учетом (10) получают следующим образом:

Отсюда видна однозначная связь знака (d2Um/dt2)cor со знаком ds/dt=d2 /dt2.
Признаком возникновения АР, фиксируемых по предлагаемому способу, является несовпадение знака Um со знаком его первой и скорректированной второй производных:

Это условие свидетельствует о соответствии знаков угла и его первой и второй производной, и момент его выполнения точно совпадает с моментом нарушения устойчивости. В способе-прототипе, как было отмечено ранее, такой эффект не всегда достижим из-за нелинейности л=f( ) и разновременности изменения знаков d2 л/dt2 и d л/dt. Следовательно, предлагаемый способ обладает более высокой селективностью и устойчивостью функционирования при глубоких СК.
Дополнительными к (14) условиями фиксации АР по контролируемому сечению являются нахождение Z0m в установленном по (7) диапазоне и ограничение моделируемого скольжения по модулю, задаваемое неравенством

которое с учетом (11) адекватно неравенству

Здесь sm.пр и sпр – предельные значения моделируемого и реального скольжении на первом цикле АР, причем sпр=2 ·fs.m, где fs.m – максимально возможная разность частот эквивалентных ЭДС и , которая может быть принята равной (2÷3) Гц.
Выявление момента возникновения АР по факту одновременного выполнения условий (6), (7), (14) и (15) позволяет при его недопустимости сформировать быстрое действие автоматики на деление системы по определенному сечению на две части, внутри которых генераторы работают синхронно. Однако отключение связей может произойти при максимальных токах в них, если угол близок к 180°. Такое отключение воспринимается энергосистемой как сильное возмущение, которое сопровождается перегрузкой оборудования и вероятными сбоями в работе автоматики, чреватыми развитием аварийной ситуации. С этой точки зрения наиболее благоприятным условием отключения является минимум тока в линиях, имеющий место при значениях , близких к нулю. Для повышения адаптивности в предлагаемом способе в отличие от известного предусматривается фиксация наличия АР для формирования действия автоматики при благоприятном значении угла электропередачи. Такое действие целесообразно как при допустимости асинхронных проворотов (большинство случаев), так и при их недопустимости, чтобы резервировать возможный сбой в выявлении момента возникновения АР.
С этой целью в предлагаемом способе при соблюдении (6), (7) и (15) фиксируют момент изменения знака Um, соответствующий =180°, измеряют время t, начиная с этого момента, и вычисляют полупериод АР Tt на каждом шаге измерений по формуле

При этом учтены соотношение (11) и связь периода АР со скольжением s, равным угловой частоте вращения вектор относительно (T=1/fs=2 /s).
Наличие АР фиксируют при

В момент выполнения этого условия формируется действие автоматики за время опережения tоп до истечения полупериода, когда достигнет нулевого значения. Задавая tоп с учетом задержки, вносимой выходными устройствами автоматики и времени отключения выключателя, обеспечивают деление системы при наиболее благоприятных условиях, соответствующих минимуму тока в связях сечения.
Блок-схема реализации предлагаемого способа, приведенная на фиг.6, содержит блок 1 датчиков тока и напряжения, вычислитель 2 сопротивления Z, вычислитель 3 проекции сопротивления Z0m, вычислитель 4 проекции напряжения Um, определитель 5 знака Um, блок 6 контроля диапазона изменения Um, определитель 7 первой производной Um по времени, вычислитель 8 моделируемого скольжения sm, определитель 9 модуля sm, определитель 10 второй производной Um по времени, вычислитель 11 скорректированной производной (d2Um/dt2)cor, фиксатор 12 знака проекции напряжения Um при входе в установленный диапазон, фиксатор 13 знака Um при выходе из установленного диапазона, логический элемент 14 «исключающее ИЛИ», блок 15 сравнения «меньше», блок 16 контроля диапазона изменения Z0m, блок 17 сравнения знаков проекции Um и ее производных, конъюнкторы 18 и 24-26 (логические элементы «И»), счетчик 19 времени, вычислитель 20 периода T1, блок 21 вычисления разности, дизъюнктор 22 (логический элемент «ИЛИ»), блок 23 сравнения «больше».
Схема функционирует следующим образом. Поступающие от измерительных трансформаторов мгновенные величины напряжения u и тока i используют в блоке 1 для получения действующих значений напряжения U и тока I, а также фазного угла между ними. В блоке 2 определяется модуль измеряемого сопротивления Z=U/I. Проекции сопротивления Z0m и напряжения Um вычисляются блоками 3 и 4 соответственно. Блок 5 предназначен для определения знака текущей проекции Um. Если Um>0, на выходе Y1 появится логическая единица. Сигнал Y2 на выходе блока 6 принимает единичное значение только в случае выполнения условия (6), когда величина Um находится в установленном диапазоне. Первая производная Um по времени определяется в блоке 7. Полученное значение dUm/dt используется далее блоком 8 для вычисления моделируемого скольжения sm no выражению (10). Блок 9 определяет абсолютное значение моделируемого скольжения .
Для определения второй производной Um по времени предназначен блок 10. Величина d2Um/dt2 затем корректируется блоком 11 на основании выражения (13). Блоки 12 и 13 фиксируют знаки Um при входе и выходе из установленного диапазона соответственно. Так, на выходе Y3 появляется единица, только если в момент установки Y2 в единичное значение Um>0. Сигнал Y4 станет равным «1», если Um>0 в момент обратного перехода Y2 в нулевое значение. В блоке 14 контролируется неравенство знаков Um при входе и выходе из установленного диапазона (Y5=1 только при Y3 Y4). Функция отстройки от коротких замыканий реализуется с помощью блока 15, где проверяется условие (15). В случае истинности данного условия сигнал Y6 принимает единичное значение. В блоке 16 осуществляется контроль установленного диапазона для Z0m по условию (7), при выполнении которого Y7=1. Проверка истинности обоих условий (7) и (15) производится блоком 18, представляющим собой логический элемент «И», на выходе которого Y9=Y6·Y7. Блок 17 предназначен для проверки условия (14). Истинность этого условия является одним из признаков существования АР. Выявление момента начала АР осуществляют с помощью логического элемента «И» (блок 19), контролирующего одновременное выполнение условий (7), (14) и (15) и срабатывающего по выходу Y10=Y8·Y9.
Блок 20 выполняет функцию счетчика времени t, отсчет которого начинается от момента смены знака Um (сигнал Y1) при выполнении условий (7) и (15). Период T1 для задержки срабатывания АЛАР вычисляется в блоке 21 по выражению (17). Затем блок 22 производит вычитание из T1 величины tоп. Срабатывание автоматики разрешается только в случае превышения величиной t определенного значения в соответствии с условием (18). Тогда выходной сигнал Y11 блока 23, осуществляющего это сравнение, установится в единичное значение. Если при этом будет присутствовать условие возникновения АР (Y5=1), то на выходе Y12=Y5·Y11 блока 24 появится сигнал для формирования УВ при АР.
Предложенный способ легко реализуется на микропроцессорной базе. Для этих целей, в частности, может быть использован микропроцессорный комплекс противоаварийной автоматики МКПА (разработан в ООО «НПФ Прософт-Е», г.Екатеринбург), который, обладая высокой степенью гибкости программных и аппаратных средств, позволяет создавать алгоритмы практически любой сложности. В настоящее время осуществляется программа широкого внедрения комплектов МКПА в энергосистеме Дальнего Востока.
Источники информации
1. Гоник Я.Е., Иглицкий Е.С. Автоматика ликвидации асинхронного режима. – М.: Энергоатомиздат, 1988.
2. Патент RU 2204877 С1, МКП Н02Н 3/48, 2003 г.
3. Патент RU 2199807 С2, МКП H02J 3/24, 2003 г.
Формула изобретения
Способ выявления и ликвидации асинхронного режима в энергосистеме устройством автоматики, согласно которому измеряют по скалярным и векторным параметрам ток и напряжение в узле электропередачи и моделируют с их помощью параметры, по которым можно оценить расстояние до электрического центра качаний и определить знаки угла электропередачи, его первой и второй производных по времени, отличающийся тем, что дополнительно измеряют вектор полного сопротивления как отношение вектора напряжения к вектору тока в контролируемом узле, вычисляют проекцию полного сопротивления на ось, повернутую в комплексной плоскости сопротивлений на расчетный угол относительно оси ординат, вычисляют проекцию вектора измеряемого напряжения на ось, повернутую в комплексной плоскости относительно вектора тока на тот же расчетный угол, фиксируют знак этой проекции в момент входа ее значений в установленный диапазон, вычисляют в этом диапазоне первую производную по времени проекции вектора напряжения, вычисляют моделируемое скольжение путем деления этой производной на квадратный корень из разности квадратов номинального напряжения и проекции вектора измеряемого напряжения, определяют модуль этого скольжения, вычисляют вторую производную по времени проекции вектора измеряемого напряжения, корректируют эту производную сложением с ней квадрата моделируемого скольжения, умноженного на проекцию вектора измеряемого напряжения, и для формирования действия автоматики на ликвидацию недопустимого асинхронного режима фиксируют его возникновение при несовпадении знака проекции вектора измеряемого напряжения со знаками ее первой и скорректированной второй производных по времени, если моделируемое скольжение не превысило по модулю заданной величины, а значения проекции вектора полного сопротивления находятся в установленном диапазоне, при соблюдении двух последних условий фиксируют момент изменения знака проекции вектора измеряемого напряжения, измеряют время, начиная с этого момента, вычисляют полупериод асинхронного режима как величину обратную модулю моделируемого скольжения, деленному на /2, и в случае превышения измеряемым временем полупериода асинхронного режима, уменьшенного на заданную величину, при несовпадении знака проекции вектора напряжения с ее знаком в момент входа в установленный диапазон значений фиксируют наличие асинхронного режима для формирования действия автоматики по его ликвидации при благоприятном значении угла электропередачи.
РИСУНКИ
|
|