|
(21), (22) Заявка: 2006122143/09, 20.06.2006
(24) Дата начала отсчета срока действия патента:
20.06.2006
(46) Опубликовано: 27.01.2008
(56) Список документов, цитированных в отчете о поиске:
RU 2199807 С2, 27.02.2003. RU 2148289 C1, 20.05.2003. RU 2249894 C2, 10.04.2005. SU 1319162 A1, 23.06.1987. SU 1663693 A1, 04.04.1982. US 4538197 A, 27.08.1985. DE 3007181 A1, 04.09.1980. EP 0027757 A1, 29.04.1981. WO 9919956 В1, 22.04.1999.
Адрес для переписки:
690950, Приморский край, г.Владивосток, ул. Пушкинская, 10, ДВГТУ, патентный отдел
|
(72) Автор(ы):
Пастухов Виктор Степанович (RU), Югатов Дмитрий Александрович (RU)
(73) Патентообладатель(и):
Общество с ограниченной ответственностью “Пассат” (ООО “Пассат”) (RU)
|
(54) СПОСОБ ВЫЯВЛЕНИЯ И ЛИКВИДАЦИИ АСИНХРОННОГО РЕЖИМА В ЭЛЕКТРОЭНЕРГЕТИЧЕСКОЙ СИСТЕМЕ УСТРОЙСТВОМ АВТОМАТИКИ
(57) Реферат:
Изобретение относится к электротехнике и может быть использовано в средствах противоаварийной автоматики электроэнергетической системы. В способе преобразуют вычисленное по локальной информации (ток и напряжение в контролируемом узле) полное сопротивление путем уменьшения его угла на корректирующий угол. Корректирующий угол определяют в темпе процесса через отношение приращений реактивной и активной составляющих полного сопротивления. По реактивной составляющей преобразованного сопротивления фиксируют сопротивление до электрического центра качаний. По активной составляющей преобразованного сопротивления, умноженной на ток электропередачи, находят напряжение Um в этом центре. На основании напряжения Um путем тригонометрического преобразования вычисляют угол электропередачи m. По заданному диапазону моделируемого напряжения фиксируют диапазон углов электропередачи за пределами рабочего режима, в котором вычисляемый угол наиболее точно соответствует реальному и происходит выявление асинхронного режима. Используя угол электропередачи и его производные по времени и определяя местоположение центра качаний относительно контролируемого узла, последовательно фиксируется угроза, момент и факт возникновения асинхронного режима, чтобы сформировать оптимальное действие автоматики. В способе обеспечивается повышение адаптивности, селективности и устойчивости выявления асинхронного режима. 8 ил.
Изобретение относится к электротехнике, в частности к противоаварийной автоматике (ПА) электроэнергетических систем (ЭС), и может быть использовано, например, в автоматике ликвидации асинхронного режима (АЛАР) или автоматике предотвращения нарушения устойчивости (АПНУ).
Известен способ выявления асинхронного режима (АР) устройством автоматики, основанный на фиксации перехода фазового угла между напряжением и током в узле ЭС из одной области в другую при условии, что угол электропередачи, эквивалентирующей ЭС относительно этого узла, существенно отличен от нуля и находится в диапазоне значений, включающем =180° [1, с.40-45]. В устройстве автоматики реализация этого способа осуществляется путем фиксации переориентации реле мощности в зоне срабатывания реле сопротивления. При этом характеристика реле мощности соответствует границе, разделяющей области значений угла , а характеристика срабатывания реле сопротивления определяет требуемый диапазон углов и контролируемый по размещению электрического центра качаний (ЭЦК) участок сети.
Недостатком этого способа являются низкие селективность и устойчивость функционирования из-за зависимости от изменения угла э эквивалентного сопротивления электропередачи в пределах (60-110)° при жесткой связи характеристики реле мощности с расчетным значением э, а также из-за неопределенности фиксируемого диапазона , вызванной неоднозначностью его связи с измеряемым сопротивлением. По той же причине рассматриваемый способ не позволяет селективно выявлять угрозу и момент возникновения АР.
Изобретение относится к группе способов, использующих прямое моделирование угла электропередачи 5 по локальной информации.
Известен способ [2], согласно которому угол моделируют через угол 12 между напряжениями по концам контролируемого участка сети. Сами эти напряжения получают путем моделирования на основании тока и напряжения, измеряемых в узле ЭС (месте подключения автоматики). Момент возникновения АР определяют по совпадению знаков угла 12 со знаком его первой и второй производных по времени.
Местоположение ЭЦК на контролируемом участке фиксируют при попадании сопротивления до точки минимального напряжения (ТМН) в диапазон значений, ограниченный сопротивлениями от точки измерения до границ этого участка.
Очевидные достоинства способа – приемлемая быстрота срабатывания, выявление АР в момент его возникновения ( <180°), минимум задаваемых уставок и их расчетного обеспечения, повышающий устойчивость функционирования.
Однако этот способ имеет ряд существенных недостатков:
1. Нарушение селективности при глубоких синхронных качаниях (СК) из-за нелинейной зависимости 12 от , приводящей к более раннему изменению знака второй производной от 12 по отношению к моменту нарушения синхронизма.
2. Нарушение селективности при близких внешних АР из-за отличия реального угла э от задаваемого в виде константы (предлагается угол сопротивления линии л).
3. Отсутствие адаптивности к структуре прилегающей к контролируемому узлу сети, т.к. ее многосвязность, наличие промежуточных отборов и притоков мощности резко снижают возможности моделирования.
4. Ограниченная быстрота срабатывания (не выявляется угроза АР), что сужает возможности выбора и снижает эффективность управляющих воздействий (УВ) устройством автоматики.
Наиболее близким по технической сущности и достигаемым результатам к заявленному способу является способ выявления и ликвидации асинхронного режима в электроэнергетической системе устройством автоматики [3]. Способ заключается в измерении токов и напряжений в узле электропередачи, преобразовании измеренных величин в вектора токов и напряжений, определении на основе информации о сопротивлениях двухмашинной схемы замещения электропередачи модулей и углов векторов напряжений в узлах ЭС, ограничивающих зону размещения ЭЦК, формировании в АР траекторий напряжений в узле измерения и узлах, ограничивающих контролируемую зону, относительно выбранных координат, вычислении комплексных значений центров и радиусов дуг окружностей, формирующих эти траектории, определении по этим значениям угла электропередачи между векторами ЭДС эквивалентных генераторов двухмашинной схемы замещения ЭС, сравнении полученных значений с задаваемыми уставками и фиксации АР по результатам этого сравнения, вычислении для каждой траектории параметра в виде отношения модуля вектора радиуса окружности к модулю вектора ее центра, сравнении указанных параметров для траекторий напряжений на границах контролируемой зоны и в узле измерения, фиксации попадания ЭЦК на тот участок передачи, для которого один из параметров больше, а другой меньше единицы, а в случае равенства одного из параметров траектории напряжения узла единице фиксируется попадание ЭЦК в этот узел.
Кроме того, при использовании в качестве уставки критического значения кр угла электропередачи рассчитывают по его изменению за пределами углов рабочего режима взаимное скольжение векторов ЭДС эквивалентных генераторов (первую производную от по времени) и производную от скольжения (вторую производную от по времени) и по изменению знака производной от скольжения фиксируют наличие АР в ЭС.
Описанный способ имеет существенные недостатки.
Первый недостаток – отсутствие адаптивности к структуре контролируемого участка прилегающей к узлу измерения сети. Усиление многосвязности сети и вариативности расчетных схем, наличие промежуточных отборов и притоков мощности затрудняют или делают невозможным моделирование с приемлемой точностью напряжений в узлах, ограничивающих контролируемый участок. При этом снижается достоверность вычисления угла электропередачи и определения зоны размещения ЭЦК.
Второй недостаток – сложность процедуры вычисления , которая кроме моделирования напряжений, включает этапы, вносящие дополнительную труднопрогнозируемую при изменении схемно-режимных условий в ходе АР погрешность.
Прежде всего – это этапы формирования в АР траекторий напряжений по дугам окружностей и определения комплексных значений их центров и радиусов. Здесь погрешность связана с количеством измерений для каждой дуги. Однако их увеличение снижает быстроту выявления АР и усиливает влияние колебаний отношения ЭДС эквивалентных генераторов.
В целом перечисленные недостатки негативно сказываются на селективности и устойчивости функционирования способа, а также ограничивают его применение в сетях сложной конфигурации.
Кроме того, отсутствие выявления АР на стадии возникновения его угрозы ограничивает возможности автоматики по эффективной ликвидации АР путем наращивания интенсивности УВ.
Задачей, на решение которой направлено заявленное предложение, является повышение адаптивности, селективности, устойчивости функционирования.
Полученный технический результат проявляется в уменьшении числа отказов, излишних и ложных срабатываний автоматики (например, АЛАР), где это изобретение может быть использовано, а также повышении эффективности УВ, осуществляемых этой автоматикой. Такой технический результат снижает ущерб от возможных аварий в современных многосвязных энергосистемах.
Поставленная задача решается тем, что в способе выявления и ликвидации асинхронного режима в электроэнергетической системе устройством автоматики, заключающемся в измерении токов и напряжений в узле электропередачи, преобразовании измеренных величин в вектора напряжений и токов, определении угла электропередачи между векторами электродвижущих сил эквивалентных генераторов двухмашинной схемы замещения энергосистемы, сравнении полученных значений с задаваемыми уставками, определении места положения электрического центра качаний, определении дефицитной и избыточной частей энергосистемы в асинхронном режиме, вычислении первой и второй производных угла электропередачи по времени при нахождении его значений в установленном диапазоне за пределами углов рабочего режима, использовании изменения знака второй производной в качестве признака возникновения асинхронного режима и формировании действия автоматики выявления и ликвидации асинхронного режима по результатам сравнения угла электропередачи с задаваемыми уставками, дополнительно через отношение векторов напряжений и токов вычисляют полное сопротивление и характеризующие его параметры, включая модуль, угол, активную и реактивную составляющие, вычисляют корректирующий угол как обратную тангенциальную функцию от отношения приращений реактивной и активной составляющих полного сопротивления на интервалах времени между последовательными вычислениями их текущих значений, преобразуют полное сопротивление путем уменьшения его угла на корректирующий угол, вычисляют активную и реактивную составляющие преобразованного сопротивления, вычисляют моделируемое напряжение как произведение активной составляющей преобразованного сопротивления на абсолютное значение тока электропередачи, определяют угол электропередачи через удвоенную обратную косинусоидальную функцию от моделируемого напряжения, отнесенного к заданному, фиксируют знак моделируемого напряжения в момент вхождения его значений в заданный диапазон, соответствующий установленному диапазону углов электропередачи, увеличивают на 2 задаваемые уставки отрицательного знака при таком же фиксируемом знаке моделируемого напряжения, в случае нахождения значений реактивной составляющей преобразованного сопротивления в заданных пределах, указывающего на размещение электрического центра качаний на контролируемом участке сети, выявляют угрозу возникновения асинхронного режима по результатам сравнения с уставками, функционально связанными с первой производной угла электропередачи по времени в соответствии с фазовыми траекториями «скольжение-угол», фиксируют момент возникновения асинхронного режима при изменении знака второй производной угла электропередачи по времени в сторону совпадения со знаками его первой производной и моделируемого напряжения, определяют факт существования асинхронного режима по результатам сравнения угла электропередачи с другими постоянными уставками, и в зависимости от стадии развития асинхронного режима формируют оптимальное действие автоматики с целью предотвращения и ликвидации асинхронного режима в энергосистеме для асинхронного режима с ускорением при положительном знаке первой производной угла электропередачи по времени, а для асинхронного режима с торможением при ее отрицательном знаке.
Сопоставительный анализ существенных признаков предлагаемого технического решения и существенных признаков аналогов и прототипа свидетельствуют о его соответствии критерию «новизна».
Существенные признаки отличительной части формулы предлагаемого изобретения решают следующие функциональные задачи:
1. Совокупность признаков «…дополнительно через отношение векторов напряжений и токов вычисляют полное сопротивление и характеризующие его параметры, включая модуль, угол, активную и реактивную составляющие, вычисляют корректирующий угол как обратную тангенциальную функцию от отношения приращений реактивной и активной составляющих полного сопротивления на интервалах времени между последовательными вычислениями их текущих значений, преобразуют полное сопротивление путем уменьшения его угла на корректирующий угол…» позволяет вычислить общий комплексный параметр (преобразованное полное сопротивление), по составляющим которого можно достаточно точно определить угол электропередачи и сечение АР в любых схемно-режимных условиях независимо от значения угла эквивалентного сопротивления электропередачи.
2. Признаки «…вычисляют активную и реактивную составляющие преобразованного сопротивления, вычисляют моделируемое напряжение как произведение активной составляющей преобразованного сопротивления на абсолютное значение тока электропередачи, определяют угол электропередачи через удвоенную обратную косинусоидальную функцию от моделируемого напряжения, отнесенного к заданному…» позволяют получить параметры, определяющие сопротивление до ЭЦК по модулю и направлению измерения (величина и знак реактивной составляющей преобразованного сопротивления), напряжение в ЭЦК (моделируемое напряжение) и угол электропередачи через простую тригонометрическую функцию от напряжения в ЭЦК.
3. Признаки «…фиксируют знак моделируемого напряжения в момент вхождения его значений в заданный диапазон, соответствующий установленному диапазону углов электропередачи, увеличивают на 2 задаваемые уставки отрицательного знака при таком же фиксируемом знаке моделируемого напряжения…» позволяют получить диапазон углов за пределами рабочего режима, в котором расчетные значения угла электропередачи и реактивной составляющей преобразованного сопротивления с приемлемой точностью соответствуют реальным значениям угла и сопротивления до ЭЦК соответственно, а также позволяют адаптировать уставки к знаку этого угла.
4. Признак «…в случае нахождения значений реактивной составляющей преобразованного сопротивления в заданных пределах, указывающего на размещение электрического центра качаний на контролируемом участке сети…» позволяет зафиксировать попадание ЭЦК на контролируемый участок для заданного сечения АР.
5. Признак «…выявляют угрозу возникновения асинхронного режима по результатам сравнения с уставками, функционально связанными с первой производной угла электропередачи по времени в соответствии с фазовыми траекториями «скольжение-угол»…» позволяет обнаружить угрозу возникновения АР и упреждающе сформировать устройством автоматики необходимые УВ.
6. Признак «…фиксируют момент возникновения асинхронного режима при изменении знака второй производной угла электропередачи по времени в сторону совпадения со знаками его первой производной и моделируемого напряжения…» позволяет в момент возникновения АР сформировать дополнительные УВ для его ликвидации.
7. Совокупность признаков «…определяют факт существования асинхронного режима по результатам сравнения угла электропередачи с другими постоянными уставками, и в зависимости от стадии развития асинхронного режима формируют оптимальное действие автоматики с целью предотвращения и ликвидации асинхронного режима в энергосистеме для асинхронного режима с ускорением при положительном знаке первой производной угла электропередачи по времени, а для асинхронного режима с торможением при ее отрицательном знаке…» позволяет последовательно наращивать УВ при переходе АР из одной стадии в другую (росте угла ), а также изменять их состав и интенсивность в зависимости от знака взаимного скольжения.
На фиг.1 представлена схема замещения электропередачи для двухмашинного АР относительно контролируемого узла 0. На фиг.2 приведена векторная диаграмма применительно к этой схеме замещения. На фиг.3 изображены годографы полного сопротивления для контролируемого узла и преобразованного сопротивления а также показаны составляющие этих сопротивлений и касательная к годографу при его минимальном значении. На фиг.4 и 5 показаны зависимости активной и реактивной составляющих (Rm, Хm) преобразованного сопротивления от угла электропередачи . На фиг.6 показано изменение моделируемого напряжения в зависимости от угла . На фиг.7 приведена кривая, показывающая изменение корректирующего угла  в функции угла электропередачи. На фиг.8 приведена зависимость вычисляемого угла m электропередачи от реального угла .
Все кривые показанные на фиг.3-8, соответствуют схеме замещения (фиг.1) при заданном отношении ЭДС E1 и Е2 (k=1, 2) и сопротивлений и ( =0,35) в о.е., а также заданных углах этих сопротивлений ( 1= 2=70°).
Сущность предлагаемого способа заключается в следующем.
Совокупность отличительных признаков позволяет решить ряд основных задач:
1. Вычисление с приемлемой точностью по локальной информации угла электропередачи .
2. Определение местоположения ЭЦК (сечения АР).
3. Последовательное выявление угрозы, момента и факта возникновения АР с целью формирования с нарастающей интенсивностью оптимального действия автоматики по ликвидации АР.
Выявление осуществляется через моделируемое напряжение в ТМН электропередачи, соответствующей ЭЦК в заданном диапазоне (от 90° до 270°) при двухмашинном АР.
Местоположение ЭЦК определяется по абсолютной величине сопротивления от точки измерения до ТМН, причем факт размещения ЭЦК слева или справа от контролируемого участка фиксируется в зависимости от знака этого сопротивления.
В связи с этим сначала рассмотрим некоторые соотношения между схемно-режимными параметрами, присущими двухмашинному АР.
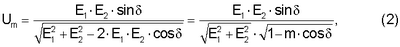
При двухмашинном АР энергосистема может быть представлена в виде эквивалентной электропередачи с ЭДС и по ее концам и сопротивлениями и от точек приложения этих ЭДС до контролируемого узла 0 с напряжением и током I (фиг.1). На векторной диаграмме электропередачи (фиг.2) кроме упомянутых параметров показан вектор напряжения в ТМН, совпадающий по направлению с осью, перпендикулярной вектору При этом проекция Um вектора на эту ось, совпадающая по модулю с может быть найдена как

где – угол между векторами и – угол, дополняющий до 90° угол э эквивалентного сопротивления электропередачи 
Решая треугольник векторов и с учетом угла электропередачи можно определить Um как высоту этого треугольника:

где m=2·k/(1+k2), если обозначить k=E1/E2.
В реальном диапазоне k=0,8÷1,25 [1, с.19] отличие m от 1 составляет не более 2,5%. Поэтому в рабочем диапазоне =(60÷300)° можно пренебречь этой погрешностью. Тогда

Напряжение в контролируемом узле для однородной электропередачи можно вычислить следующим образом:

где =Z1/Zэ; .
Напряжение в ЭЦК определяется при = ц=k/(k+1) [1, с.23]. При этом его проекция на ось, совпадающую с биссектрисой угла с учетом (4), равна

Следовательно, в соответствии с (3) и (5) и с учетом того, что Um.max и Uc.max отличаются не более чем на ±0,7% в реальном диапазоне E1 и Е2 (0,9÷1,1 в о.е.) [1, с.17], можно вместо Uc использовать Um.
Вычисляя по (1), можно с учетом (3) определить угол электропередачи по локальной информации:

Сопротивление Z до ТМН можно определить через проекцию U вектора на ось, совпадающую с :


Очевидно Z будет иметь положительный знак при размещении ТМН (ЭЦК) справа от узла 0 и отрицательный – в противном случае.
Согласно предложенному способу вычисляют полное сопротивление через вектора напряжений и токов в точке измерения и характеризующие его параметры (модуль Z, угол , активную R и реактивную Х составляющие):

Годограф в комплексной плоскости R, jX при k 1 имеет в цикле АР форму окружности (фиг.3), причем угол э минимального значения сопротивления соответствует углу э эквивалентного сопротивления электропередачи и значению =180°.
Далее по способу вычисляют корректирующий угол  как обратную тангенциальную функцию от отношения приращений реактивной dX и активной dR составляющих полного сопротивления:

При бесконечно малых приращениях dX/dR представляет собой производную, а  определяет наклон касательной в точке годографа, соответствующей , к оси R (фиг.3).
При вычислении обратной функции тангенса угол  определяется в диапазоне ±90° и тогда

Это соотношение справедливо для всех точек годографа при k=1 (годограф – прямая). В реальном диапазоне 0,8 за пределами рабочего режима (90°< <270°).
Затем согласно формуле изобретения вычисляют преобразованное сопротивление и его составляющие:



где Rm и Хm – активная и реактивная составляющие преобразованного сопротивления .
Моделируемое напряжение Um вычисляется по способу следующим образом:

Годограф и его составляющие показаны на фиг.3.
При замене с учетом (11) на – получим соответствие формул (1) и (15), а также формул (8) и (14).
Таким образом, в диапазоне углов 90°< <270° в предлагаемом способе через составляющие Rm и Хm преобразованного сопротивления Zm вычисляют напряжение Um в ТМН, практически совпадающей с ЭЦК, и сопротивление Z=Хm до этой точки. Угол m, соответствующий углу электропередачи , вычисляют по (6).
Адаптивность способа в пакете реальных схемно-режимных условий проявляется в отсутствие зависимости результатов вычислений от изменения угла э и их приемлемой погрешности при отклонении k от 1. Это иллюстрируется зависимостями Rm, Хm, Um,  и m от угла , приведенными на фиг.4 – фиг.8.
Так, в диапазоне углов 100°< <260° за пределами рабочего режима, где происходит выявление АР, отклонение Хm от Zmin не превышает 4% от Zэ (фиг.5), отклонения по модулю  и составляют не более 8°, а отклонение m от находится в пределах ±15°, уменьшаясь практически до нуля при приближении к 180°. Серия расчетов при разных параметрах схемы подтверждает эти цифры.
После вычисления угла электропередачи и сопротивления до ЭЦК через m и Хm соответственно фиксируют согласно способу, знак Um в момент входа его значений в установленный диапазон углов за пределами рабочего режима.
Этот диапазон соответствует условию

где гр – угол, определяющий границы диапазона (90°-120°).
С учетом (5) диапазон фиксируют по установленному диапазону Um:

где Ucp – напряжение срабатывания, соответствующее гр и показанное на фиг.6.
Фиксируемый знак Um однозначно определяет знак и знак взаимного скольжения s=d /dt. Так как при изменении от 0 до -360° вычисляемый угол m уменьшается с 360° до 0 (он всегда положителен), то задаваемые уставки отрицательного знака следует увеличить на 2 .
Выявление АР на разных стадиях происходит только при размещении ЭЦК на контролируемом участке сети, когда имеет место попадание значений Хm в установленный диапазон:

где Xup и Xdown – значения Хm, определяющие верхнюю и нижнюю границы диапазона.
На самой ранней стадии выявляют угрозу АР до нарушения устойчивости, когда меньше критического значения кр. При этом m сравнивают с уставками, функционально связанными с первой производной ( m) по времени (скольжением) в соответствии с фазовыми траекториями «скольжение-угол».
Граничные фазовые траектории могут быть заданы, например, аппроксимирующей функцией, как в [4, ф.173 на с.144] при 0=0. Тогда упомянутые уставки для положительных + ср и отрицательных – ср значений определяются следующим образом:


где ср – некоторое значение , определяющее параметры аппроксимации ( ср 180°); k1 – постоянный коэффициент, обеспечивающий наибольшее соответствие фазовых траекторий и функции (19).
Угрозу возникновения АР фиксируют при

Выявление угрозы возникновения АР при < кр позволяет своевременно организовать действие автоматики, направленное на его предотвращение.
Если объем управляющих воздействий (УВ) или время их реализации оказались недостаточными, то согласно способу фиксируют момент возникновения АР ( = кр) для формирования дополнительных УВ с целью ресинхронизации (PCX).
Момент возникновения АР фиксируют по изменению знака второй производной от угла m по времени в сторону совпадения со знаками его первой производной и моделируемого напряжения Um:

Так как знак Um при <180° всегда совпадает со знаком (см. фиг.6 и 8), условие (22) адекватно условию (5) в [2].
Далее выявляют факт существования АР во второй половине цикла колебаний ( >180°), сравнивая m с постоянными, не зависящими от параметров АР уставками:


где + cp1 и – cp1 – постоянные уставки для положительных и отрицательных значений .
Подтверждение факта существования АР на первом и последующих циклах свидетельствует о недостаточной эффективности мероприятий по PCX и позволяет направить действие автоматики на деление системы (ДС) через заданное количество циклов АР с целью его ликвидации.
Характер и объем УВ, формируемых автоматикой, устанавливается в зависимости от знака взаимного скольжения (первой производной от угла m по времени), как, например, в типовой автоматике [1, с.45].
Реализация рассмотренного способа по условиям (6), (9)-(15), где используют простые математические операции и тригонометрические функции, а также по логическим условиям (17)-(24) не вызывает затруднений на базе современных микропроцессорных устройств, например АЛАР-Ц [2] или АЛАР-М [3].
Таким образом, предлагаемый способ обладает высокой селективностью и устойчивостью функционирования в сравнении с прототипом, благодаря более точному вычислению угла электропередачи через моделируемый угол m и сопротивления до ЭЦК через реактивную составляющую Хm сопротивления .
Адаптивность способа снимает ограничения по его использованию в сложных, многосвязных сетях благодаря отказу от моделирования напряжений в смежных узлах ЭС и от привязки условий функционирования к задаваемому значению угла э.
Источники информации
1. Гоник Я.Е., Иглицкий Е.С. Автоматика ликвидации асинхронного режима. – М.: Энергоатомиздат, 1988. – 112 с.: ил.
2. Патент RU 2199807 С2. Способ выявления асинхронного режима / авт. М.А.Эдлин, П.Я.Кац, А.В.Струков, МКП H02J 3/24. Опубл. 27.02.2003.
3. Патент RU 2204807 С2. Способ выявления и ликвидации асинхронного режима в электроэнергетической системе устройством автоматики / авт. И.В.Якимец, А.А.Налевин, А.В.Ваганов, МКП H02J 3/24. Опубл. 20.05.2003.
4. Розенблюм Ф.М. Измерительные органы противоаварийной автоматики энергосистем. – М.: Энергоатомиздат, 1981. – 159 с.: ил.
Формула изобретения
Способ выявления и ликвидации асинхронного режима в электроэнергетической системе устройством автоматики, заключающийся в измерении токов и напряжений в узле электропередачи, преобразовании измеренных величин в вектора напряжений и токов, определении угла электропередачи между векторами электродвижущих сил эквивалентных генераторов двухмашинной схемы замещения энергосистемы, сравнении полученных значений с задаваемыми уставками, определении места положения электрического центра качаний, определении дефицитной и избыточной частей энергосистемы в асинхронном режиме, вычислении первой и второй производных угла электропередачи по времени при нахождении его значений в установленном диапазоне за пределами углов рабочего режима, использовании изменения знака второй производной в качестве признака возникновения асинхронного режима и формировании действия автоматики выявления и ликвидации асинхронного режима по результатам сравнения угла электропередачи с задаваемыми уставками, отличающийся тем, что дополнительно через отношение векторов напряжений и токов вычисляют полное сопротивление и характеризующие его параметры, включая модуль, угол, активную и реактивную составляющие, вычисляют корректирующий угол как обратную тангенциальную функцию от отношения приращений реактивной и активной составляющих полного сопротивления на интервалах времени между последовательными вычислениями их текущих значений, преобразуют полное сопротивление путем уменьшения его угла на корректирующий угол, вычисляют активную и реактивную составляющие преобразованного сопротивления, вычисляют моделируемое напряжение как произведение активной составляющей преобразованного сопротивления на абсолютное значение тока электропередачи, определяют угол электропередачи через удвоенную обратную косинусоидальную функцию от моделируемого напряжения, отнесенного к заданному, фиксируют знак моделируемого напряжения в момент вхождения его значений в заданный диапазон, соответствующий установленному диапазону углов электропередачи, увеличивают на 2 задаваемые уставки отрицательного знака при таком же фиксируемом знаке моделируемого напряжения, в случае нахождения значений реактивной составляющей преобразованного сопротивления в заданных пределах, указывающего на размещение электрического центра качаний на контролируемом участке сети, выявляют угрозу возникновения асинхронного режима по результатам сравнения с уставками, функционально связанными с первой производной угла электропередачи по времени в соответствии с фазовыми траекториями «скольжение-угол», фиксируют момент возникновения асинхронного режима при изменении знака второй производной угла электропередачи по времени в сторону совпадения со знаками его первой производной и моделируемого напряжения, определяют факт существования асинхронного режима по результатам сравнения угла электропередачи с другими постоянными уставками, и в зависимости от стадии развития асинхронного режима формируют оптимальное действие автоматики с целью предотвращения и ликвидации асинхронного режима в энергосистеме для асинхронного режима с ускорением при положительном знаке первой производной угла электропередачи по времени, а для асинхронного режима с торможением при ее отрицательном знаке.
РИСУНКИ
|