Патент на изобретение №2159617
|
||||||||||||||||||||||||||
(54) ПРОИЗВОДНЫЕ КСАНТИНА, ИХ СТЕРЕОИЗОМЕРЫ И ФИЗИОЛОГИЧЕСКИ ПЕРЕНОСИМЫЕ СОЛИ, ФАРМАЦЕВТИЧЕСКАЯ КОМПОЗИЦИЯ, ОБЛАДАЮЩАЯ УМЕНЬШАЮЩЕЙ ПАТОЛОГИЧЕСКУЮ ГИПЕРАКТИВНОСТЬ ЭОЗИНОФИЛЬНЫХ ГРАНУЛЯТОВ АКТИВНОСТЬЮ
(57) Реферат: Изобретение относится к химии, медицине и фармакологии, к новым азотсодержащим гетероциклическим соединениям, обладающим биологической активностью, более конкретно к производным ксантина ф-лы I, их стереоизомерам и физиологически переносимым солям, а также к фармацевтической композиции, обладающей уменьшающей паталогическую гиперактивность эозинофильных гранулятов активностью. Изобретение позволяет повысить активность антиастматических средств. 2 с. и 3 з.п.ф-лы, 2 табл.
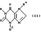
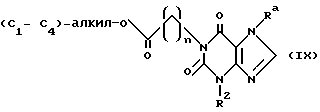
Изобретение относится к новым азотсодержащим гетероциклическим соединениям, обладающим биологической активностью, более конкретно к производным ксантина, их стереоизомерам и физиологически переносимым солям, а также к фармацевтической композиции, обладающей уменьшающей паталогическую гиперактивность эозинофильных гранулятов активностью. Известны производные триалкилксантина, обладающие биологической активностью, например, уменьшающей паталогическую гиперактивность эозинофильных гранулятов активностью (см. заявку ЕР N 0544391, A1, А 61 К 31/52, 02.06.1993). Задачей изобретения является расширение ассортимента производных ксантина, обладающих биологической активностью, в частности уменьшающей патологическую гиперактивность эозинофильных гранулоцитов активностью. Поставленная задача решается предлагаемыми производными ксантина общей формулы (I) ![]() где R1 – метил или этил, R2 – алкил с 1-4 атомами углерода, X – атом водорода или гидроксил, n – целое число от 1 до 5, причем при R1 – метил, R2 – метил, X – атом водорода, n означает число 1, 2, 3, 5, их стереоизомерами и физиологически переносимыми солями. В первую группу предпочтительных производных ксантина общей формулы (I) входят соединения, у которых R2 означает метил или этил. Во вторую группу предпочтительных производных ксантина общей формулы (I) входят соединения, у которых Х означает атом водорода. В третью группу предпочтительных производных ксантина общей формулы (I) входят соединения, у которых R1 – метил, R2 – метил или этил, X – атом водорода, n – целое число от 1 до 5. Новые производные ксантина общей формулы (I) можно получать известными способами. Преимущественно поступают таким образом, что 3,7-дизамещенное производное ксантина формулы (II), ![]() в которой R2 означает алкильную группу, содержащую oт одного до четырех атомов углерода, a Ra означает легкоудаляемую группу, например гидролитически отщепляемый метильный, этильный, пропильный или бутоксиметильный остаток или удаляемую восстановлением бензильную или дифенилметильную группу с незамещенными или замещенными фенильными кольцами, целесообразно в присутствии основного агента конденсации или его соли подвергают взаимодействию а) с алкилирующим средством формулы (III) ![]() в которой R1, X и n имеют вышеназванные значения, a Z означает галоген, предпочтительно хлор, бром или иод, либо группировку эфира сульфоновой кислоты или эфира фосфорной кислоты, до получения 1,3,7-тризамещенного ксантина формулы IV ![]() причем R1, R2, Ra, X и n имеют вышеопределенные значения или альтернативно для случая, когда Х означает водород, б) с кето – соединением формулы V, H3C – СО – (СН2)n – Z (V) в которой n и Z имеют вышеназванные значения, до получения 1,3,7 – тризамещенного ксантина формулы VI ![]() который затем с помощью метил-/ или этилметаллосоединения (R1 – М), предпочтительно в виде метил- или этиллития (R1-Li) или соответствующих соединений Гриньяра (R1-MgHal) в условиях восстановительного алкилирования карбонильной группы переводят в 1,3,7-тризамещенный ксантин формулы VII ![]() в которой R1, R2 и n имеют вышеназванные значения, или альтернативно для случая, когда X означает водород, a R1 означает метил, в) со сложным эфиром карбоновой кислоты формулы VIII (C1-C4)алкил-O-CO-(CH2)n, -Z (VIII) в которой n и Z имеют вышеназванные значения, до получения 1,3,7-тризамещенного ксантина формул IX ![]() в которой Ra, R2 и n имеют вышеуказанные значения, который затем действием двух эквивалентов метилметаллосоединения, предпочтительно CH3-Li или CH3-MgHal при двукратном восстановительном алкилировании сложноэфирной функции превращают в 1,3,7-тризамещенный ксантин формулы X ![]() в которой R2, Ra и n имеют вышеназванные значения, и наконец путем удаления группы R из промежуточного соединения формулы IV, VII или X получают ксантин формулы I согласно изобретению. Применяемые здесь в качестве исходных соединений 3,7 – дизамещенные ксантины формулы II и алкилирующие средства формулы III, V и VIII большей частью известны или могут быть легко получены известными в литературе методами. Так, третичные спирты формулы III могут быть, например, получены металлоорганическим синтезом, с помощью которого стерически не затрудненные галоидокетоны формулы Hal-(CH2)n-CO-СН2X преобразовывают так называемой реакцией построения с использованием восстановительного алкилирования карбонильной группы алкилметаллосоединениями R1-M, в которых М означает металл, главным образом, магний, цинк или литий, иногда в форме алкилмагнийгалогенидов R1-MgHal (соединения Гриньяра) или алкиллитий-соединений R1-Li в обычных условиях. Аналогичное преобразование галоидокетонов формулы Hal-(CH2)n-CO-R1 метилмагнийгалогенидами или метиллитием также приводит к соединениям формулы III, в которой X означает водород. Удобный подход к соединениям формулы III, в которой R1 представляет собой метил, а X означает атом водорода, дает также реакция алкиловых эфиров -галогеналкановых кислот (Hal-(CH2)n-COO-алкил) с двумя эквивалентами метилметаллосоединения, причем эфир реагирует через кетон с последующим образованием третичного спирта путем введения двух метильных остатков. Подобным образом эфиры -гидроксикарбоновой кислоты с незащищенной или защищенной гидроксильной группой, например в виде тетрагидропиран-2-илового или метоксиметилового эфиров или, в случае необходимости, в виде лактона как циклического сложного эфира, действием метилметаллосоединений могут быть превращены в диолы, из которых путем селективной этерификации первичной гидроксильной функции галогенидами или ангидридами сульфоновой кислоты или фосфорной кислоты могут быть получены активные алкилирующие средства формулы III.
Реакция взаимодействия дизамещенных производных ксантина формулы II с упомянутыми алкилирующими средствами формул III, V или VIII обычно осуществляется в инертном по отношению к реагентам растворителе или диспергирующем агенте. В качестве таковых, прежде всего, подходят диполярные, апротонные растворители, например формамид, диметилформамид, диметилацетамид, N-метилпирролидон, тетраметилмочевина, гексаметилфосфотриамид, диметилсульфоксид, ацетон или бутанон; также могут применяться спирты, такие как метанол, этиленгликоль и его моно- или диалкиловые эфиры, содержащие от одного до четырех атомов углерода в алкильной группе, этанол, пропанол, изопропанол и различные бутанолы; углеводороды, такие как бензол, толуол или ксилол; галогенированные углеводороды, такие как дихлорметан или хлороформ; пиридин, а также смеси названных растворителей с водой.
Реакции алкилирования целесообразно осуществлять в присутствии щелочного агента конденсации средства. Для этого подходят, например гидроокиси, карбонаты, гидриды, алкоголяты щелочных или щелочноземельных металлов и органические основания, такие как триалкиламин, триэтил- или трибутиламин, четвертичные гидроокиси аммония или фосфония и сшитые смолы с фиксированными в случае необходимости замещенными группами аммония или фосфония. Однако производные ксантина могут применяться непосредственно в форме их отдельно полученных солей, например солей щелочных, щелочноземельных металлов или в случае необходимости замещенных аммониевых или фосфониевых солей. Кроме того, дизамещенные соединения ксантина можно удобно алкилировать как в присутствии вышеназванных неорганических конденсирующих средств, так и в форме их солей с щелочными или щелочноземельными металлами при помощи так называемых катализаторов переноса фазы, например третичных аминов, четвертичных аммониевых или фосфониевых солей или также краун-эфиров, предпочтительно в двухфазной системе в условиях катализа с переносом фазы. Подходящими чаще всего товарными катализаторами переноса фазы являются, в частности, соли тетраалкил-(содержащие от одного до четырех атомов углерода в алкильной группе) и метилтриоктиламмония и фосфония, метил-, миристил-, фенил- и бензил-триалкил-(содержащие от одного до четырех атомов углерода в алкильной группе) и цетилтриметиламмония, а также алкил-(содержащий от одного до двенадцати атомов углерода) и бензилтрифенилфосфониевые соли, причем, как правило, те соединения, которые имеют более объемный и более симметрично построенный катион, оказываются более эффективными. В общем, в вышеописанных способах процесс проводится при температуре реакции между 0oC и точкой кипения используемой в каждом случае реакционной среды, предпочтительно между 20 и 130oC, в случае необходимости при повышенном или пониженном давлении, но обычно при атмосферном давлении, причем время реакции может составлять от менее одного часа до нескольких часов.
При взаимодействии ксантинов VI и IX, имеющих в положении 1 функциональные группы, с металлоорганическим соединением процесс происходит таким же образом, как и при получении используемых в качестве алкилирующих средств третичных спиртов согласно формуле III. Так, восстановительное алкилирование кетонов VI или эфиров IX может осуществляться, например, алкилкалий-, алкилнатрий-, алкилитий-, алкилмагний-, алкилцинк-, алкилкадмий-, алкилаллюминий- и алкилоловосоединениями. Также применимы рекомендованные в последнее время алкилтитановые и алкилциркониевые соединения. Так как, однако, алкилметаллосоединения натрия и калия вследствие их высокой реакционной способности склонны к побочным реакциям, а аналогичные соединения цинка и кадмия относительно инертны, обычно предпочитают соединения алкиллития и алкилмагния (соединения Гриньяра).
Сильно нуклеофильные металлорганические соединения очень чувствительны к гидролизу и окислению. Их использование требует работы в безводной среде, в случае необходимости – в атмосфере защитного газа. Обычными растворителями или диспергаторами являются, прежде всего, те, которые также подходят и для получения алкилметаллосоединений. В качестве таковых речь прежде всего идет о простых эфирах с одним или несколькими эфирными атомами кислорода, например диэтиловом, дипропиловом, дибутиловом или диизоамиловом эфирах, 1,2-диметоксиэтане, тетрагидрофуране, диоксане, тетрагидропиране, фуране и анизоле и алифатических или ароматических углеводородах, таких как петролейный эфир, циклогексан, бензол, толуол, ксилол, диэтилбензол и тетрагидронафталин; также могут быть с успехом использованы третичные амины, такие как триэтиламин, или диполярные апротонные растворители типа гексаметилфосфотриамида, а также смеси названных растворителей. При взаимодействии карбонильных соединений VI или IX с соединениями Гриньяра формулы R1-MgHal можно также успешно проводить процесс таким образом, что металлоорганическое соединение помещают в простой эфир и прибавляют к нему по каплям кетон или сложный эфир в виде раствора в дихлорметане или 1,2-дихлорэтане. Часто целесообразна добавка бромистого магния, который из-за своего участия в комплексообразном циклическом переходном состоянии мог бы повышать нуклеофильность металлоорганического соединения.
Присоединение кетона или сложного эфира к металлоорганическому соединению происходит, как правило, при температурах между -20oC и 100oC, предпочтительно между 0oC и 60oC или при комнатной температуре без внешнего охлаждения, причем алкилметаллосоединение обычно применяют в незначительном избытке. Затем замещение обычно завершается кратковременным нагреванием с обратным холодильником, для чего, как правило, бывает достаточно промежутка времени от нескольких минут до нескольких часов. Разложение образовавшегося алкоголята осуществляют предпочтительно водным раствором хлористого аммония или разбавленной уксусной кислотой.
Снятие отщепляемой группы R1 из соединений формул IV, VII и X при образовании ксантинов формулы I согласно изобретению осуществляют в стандартных условиях, которые прежде всего были разработаны в рамках технологии защитных групп в синтезах алкалоидов и пептидов и, следовательно, могут быть в значительной степени известны заранее.
Затем при необходимости, предпочтительно редуктивно, отщепляется замещающая в фенильном кольце бензильная или дифенилметильная группа. Наряду с химическим способом восстановления, в частности, бензильного соединения натрием в жидком аммиаке, преимущественно осуществляют элиинирование обеих вышеназванных аралкильных групп путем каталитического гидрогенолиза с помощью катализатора из благородного металла, причем часто заменителем молекулярного водорода оказывается формиат аммония как донор водорода. При этом реакционной средой служит обычно низший спирт, в случае необходимости с добавлением муравьиной кислоты или даже аммиака; апротонный растворитель, такой как диметилформамид или особенно ледяная уксусная кислота; но также могут применяться их смеси с водой. Подходящими катализаторами гидрирования, прежде всего, являются палладиевая чернь и палладий на активированном угле или сульфате бария, в то время как другие благородные металлы, такие как платина, родий и рутений из-за конкурирующей реакции гидрирования кольца часто предрасполагают к побочным реакциям и поэтому используются только в крайнем случае. На практике гидрогенолиз проводится при температурах между 20oC и 100oC при атмосферном давлении или предпочтительно при слегка повышенном давлении до примерно 10 бар, причем, как правило, для реакции требуется время от нескольких минут до нескольких часов.
1,3,7-тризамещенные ксантины формул IV, VII и X, содержащие в качестве Ra алкоксиметильную группу, представляют собой 0,N-ацетали и вследствие этого легко расщепляются в обычных условиях кислого гидролиза. Предпочтительными остатками являются, например, метоксигруппа, этоксигруппа, пропоксигруппа и бутоксиметильная группа. Реакция преимущественно проводится при нагревании в разбавленных минеральных кислотах, таких как соляная или серная кислота, в случае необходимости с добавлением ледяной уксусной кислоты, диоксана, тетрагидрофурана или низшего спирта в качестве агента растворения. Иногда используют также перхлорную кислоту или органические кислоты, такие как трихлоруксусная, муравьиная и уксусная кислоты, в сочетании с каталитическими количествами минеральных кислот. Расщепление эфирной группы может быть в принципе проведено также с помощью кислот Льюиса, таких как бромистый цинк и тетрахлористый титан, в безводной среде, предпочтительно в дихлорметане или хлороформе. При расщеплении в растворе минеральной кислоты температура реакции должна быть выбрана так, чтобы не происходило никакой заметной дегидратации находящейся в положении 1 третичной гидроксиалкильной группы; поэтому она не должна, как правило, превышать 60oC.
Соединения формулы I депротонируются в положении 7 и поэтому с веществами основного характера образуют соли и сольваты. Под ними подразумеваются фармацевтически приемлемые соли щелочных и щелочноземельных металлов и соли и сольваты с органическими основаниями, например, этилендиамином, или основными аминокислотами: лизином, орнитином и аргинином. Таким образом, изобретение касается также фармакологически переносимых солей и/или сольватов 1,3-диалкилксантинов согласно формуле (I).
Третичные 1-(гидроксиалкил)-3-алкилксантины формулы (I) содержат один асимметрический атом углерода, когда X означает гидроксил или X означает водород, a R1 означает этил. Таким образом, эти соединения могут существовать в стереоизомерных формах.
Как уже указывалось выше, предлагаемые производные ксантина общей формулы (I) обладают уменьшающей патологическую гиперактивность эозинофильных гранулоцитов активностью и поэтому они могут представлять собой активное вещество фармацевтической композиции соответствующего назначения.
Таким образом, вторым объектом изобретения является фармацевтическая композиция, обладающая уменьшающей патологическую гиперактивность эозинофильных гранулоцитов активностью, которая помимо по меньшей мере одной целевой добавки содержит по меньшей мере одно производное ксантина вышеприведенной общей формулы (I) и/или его стереоизомер и/или его физиологически переносимую соль в эффективном количестве.
Предлагаемая фармацевтическая композиция может иметься в виде стандартных жидких или твердых лекарственных форм для орального, ректального, локального, парентерального или ингаляционного применения при заболеваниях с патологически повышенной активностью эозинофильных гранулоцитов.
Подходящими твердыми или жидкими лекарственными формами являются, например грануляты, порошки, таблетки, драже, (микро)капсулы, свечи, сиропы, эмульсии, суспензии, лосьоны, кремы, мази, гели, аэрозоли, капли или инъекционные растворы в ампулированной форме, а также препараты с замедленным высвобождением биологически активного вещества, при изготовлении которых обычно используются вспомогательные средства, такие как носители, разрыхлители, связующие вещества для покрытий, для набухания, для смазки, вкусовые вещества, подсластители или вещества, способствующие растворению. В качестве часто применяемых вспомогательных веществ следует назвать карбонат магния, диоксид титана, лактозу, маннит и другие сахара, тапьк, молочный белок, желатин, крахмал, витамины, целлюлозу и ее производные, животные и растительные масла полиэтиленгликоль и растворители, как, например, дистиллированная вода, спирты, глицерин и многоатомные спирты.
Препараты предпочтительно изготавливаются и назначаются в дозированных единицах, причем каждая единица содержит в качестве активного компонента определенную дозу соединения формулы (I). В твердых лекарственных формах, таких, как таблетки, капсулы и суппозитории, эти дозировки могут составлять вплоть до 1000 мг, однако предпочтительно от 100 до 600 мг, а у инъекционных растворов в ампулированной форме – вплоть до 300 мг, но предпочтительно от 20 до 200 мг.
Для лечения взрослых пациентов определены – по эффективности воздействия соединений формулы (I) на людей – суточные дозы от 100 до 2000 мг биологически активного вещества, предпочтительно от 300 до 900 мг при оральном применении и от 10 до 500 мг, предпочтительно от 20 до 200 мг при внутривенном введении.
Однако при некоторых обстоятельствах могут быть установлены более высокие или более низкие суточные дозы. Получение суточной дозы может достигаться как путем однократного приема в виде одной единственной дозировочной единицы, так и несколькими, но более мелкими дозировками, а также путем многократного приема раздробленных доз через определенные интервалы времени.
И наконец, при производстве вышеупомянутых галеновых готовых форм производные ксантина формулы I, если потребуется, могут использоваться вместе с другими подходящими биологически активными веществами, например, антигистаминными, антихолинэргическими и 2-миметическими средствами, ингибиторами фосфодиэстеразы, фосфолипазы А2 и липоксигеназы, антагонистами ФАТ и лейкотриена, кортикостероидами, хромоглицином, недокромилом, а также циклоспорином А.
Получение производных ксантина общей формулы (I) поясняется следующими примерами.
Пример 11-(2-гидрокси-2-метилпропил)-3-метилксантин а) 1-хлор-2-гидрокси-3-метилпропан К 44,9 г (0,6 моль) хлористого метилмагния в виде 20%-ного раствора в тетрагидрофуране и 200 мл сухого диэтилового эфира прибавляли по каплям при перемешивании при температуре от 0 до 5oC раствор 46,3 г (0,5 моль) 1-хлор-2-пропанона в 50 мл безводного диэтилового эфира. Затем перемешивали сначала 1 час при комнатной температуре и потом еще 1 час при кипячении с обратным холодильником, образовавшийся третичный алкоголят разлагали добавлением 50%-ного водного раствора хлористого аммония, эфирный слой отделяли, а водный слой экстрагировали эфиром. Объединенные эфирные экстракты последовательно промывали водными растворами бисульфита натрия и бикарбоната натрия, а также небольшим количеством воды, высушивали над сульфатом натрия, фильтровали, концентрировали при пониженном давлении и жидкий остаток подвергали фракционной перегонке. Выход: 31,1 г (57,3 % от теор.) Т. кип. 125 – 127oC С4H9ClO (М.в. 108,6)- Соединение может быть также получено аналогичным образом из метилового или этилового эфиров хлоруксусной кислоты и двукратного молярного количества метилмагнийхлорида с выходами около 60% от теор. б) 7-бензил-1-(2-гидрокси-2-метилпропил)-3-метилксантин Смесь из 25,6 г (0,1 моль) карбоната калия и 11,9 г (0,11 моль) третичного спирта со стадии а) в 500 мл диметилформамида нагревали 8 часов при перемешивании и температуре от 110 до 120oС, затем в горячем виде фильтровали и упаривали при пониженном давлении. Остаток извлекали хлороформом, промывали сначала 1н. раствором едкого натра, затем водой до нейтральной реакции, высушивали, отгоняли растворитель в вакууме и твердый остаток перекристализовывали из этилацетата с добавлением петролейного эфира. Выход: 26,6 г (81,0% от теор.) Т.пл. 115-117oC C17H20N4O3 (М.в. 328,4) Анализ: Вычислено: С 62,18%; H 6,14%, N 17,06%. Найдено: С 62,60%; H 6,18%; N 17,00%. Соединение было также получено способом, по которому 7-бензил-3-метилксантин сначала в вышеописанных условиях взаимодействием с 1-хлор-2-пропаноном либо метиловым или этиловым эфиром хлоруксусной кислоты превращали в 7-бензил-3-метил-1-(2-оксопропил)-ксантин или 7-бензил-1-мет (или эт)оксикарбонилметил-3-метилксантин и затем оксопропильную или алкоксикарбонилметильную боковую цепь восстановительно метилировали метилмагнийхлоридом в безводном диэтиловом эфире аналогично описанному в стадии а). в) 1-(2-гидрокси-2-метилпропил)-3-метилксантин 13,1 г (0,04 моль) 7-Бензилксантина со стадии б) в 200 мл ледяной уксусной кислоты гидрировали при встряхивании над 1,5 г палладия (10%) на активированном угле при 60oC и 3,5 бар в течение 100 часов. После охлаждения продували азотом, отфильтровывали катализатор, концентрировали при пониженном давлении и твердый остаток перекристализовывали из этилацетата. Выход: 7,8 г (81,8% от теор.) Т.пл. 215-217oC C10H14M4O3 (М.в. 238,3) Анализ: Вычислено: С 50,41%; H 5,92%, N 23,52%. Найдено: С 50,10%; H 5,90%; N 23,40%. Пример 2 3-Этил-1-(2-гидрокси-2-метилпропил)-ксантин а) 7-бензил-3-этилксантин К суспензии 90 г (0,5 моль) 3-этилксантина в 500 мл метанола добавляли 20 г (0,5 моль) растворенного в 200 мл воды едкого натра и перемешивали 1 час при 70oC, прибавляли по каплям при той же температуре 69,6 г (0,55 моль) бензилхлорида и выдерживали реакционную смесь 3 часа при температуре между 70 и 80oC. Затем охлаждали, в холодном виде отфильтровывали на нутч-фильтре, промывали продукт на нутч-фильтре водой, растворяли в 1000 мл горячего 1н. едкого натра, фильтровали и с помощью 4 н. соляной кислоты медленно, при перемешивании доводили до pH 9,5. Продукт кристаллизации отфильтровывали от еще теплого раствора, промывали безхлоридной водой и сушили в вакууме. Выход: 131 г (96,9 % от теор.) Т.пл. 217-218oC C14H14N4O2 (М.в. 270,3) б) 3-этил-1-(2-гидрокси-2-метилпропил)-ксантин Реакцией взаимодействия 7-бензил-3-этилксантина со стадии а) с 1-хлор-2-гидрокси-2-метилпропаном из примера 1а) с образованием 7-бенэил-3-этил-1-(2-гидрокси-2-метилпропил)-ксантина C18H22N4O3 (М.в. 342,4); выход: 46,1% от теор. ) и его последующим гидрогенолитическим дебензилированием (выход: 97,9% от теор. ) в соответствии с примером 1в) был получен сырой конечный продукт, очищенный перекристаллизацией из этанола. Т.пл. 217-219oC C11H16N4O3 (М.в. 252,3) Анализ: Вычислено 52,37%; H 6,39%; N 22,21%, Найдено: С 52,19%; H 6,29%; N 21,75%. Пример 3 1-(3-гидрокси-3-метилбутил)-3-метилксантин а) 1-хлор-3-гидрокси-метилбутан. Соединение было получено из метилмагниййодида и 1-хлор-3-бутанона (который может быть получен присоединением хлористого водорода к метилвинилкетону в диэтиловом эфире) или из метилмагнийхлорида и этилового эфира 3-хлорпропионовой кислоты в дихлорметане как реакционной среде аналогично примеру 1 а). Выход: 60 – 70% от теор. Т.кип (18 мбар) 66 – 68oC C5H11ClO (М.в. 122,6). б) 7-бензил-1-(3-гидрокси-3-метилбутил)-3-метилксантин получен аналогично примеру 1б) из 7-бензил-3-метилксантина и третичного спирта со стадии а). Выход: 70% от теор. Т.пл. 92-94oC C18H22N4O3 (М.в. 342,4) Анализ: Вычислено: С 63,14%; H 6,48%; N 16,36%. Найдено: С 63,10%; H 6,43%; N 16,28%. в) 1 -(3-гидрокси-3-метилбутил)-3-метилксантин Получен гидрогенолитическим дебензилированием продукта со стадии б) аналогично примеру 1 в). Выход: 87,27% от теор. Т.пл. 203 – 205oC C11H16N4O3 (М.в. 252,3) Анализ: Вычислено: С 52,37%; H 6,39%;, N 22,21%. Найдено: С 52,13%; H 6,52%; N 22,08%. Пример 4 3-этил-1-(3-гидрокси-3-метилбутил)-ксантин а) 7-бензил-3-этил-1-(3-гидрокси-3-метилбутил)-ксантин Получен аналогично примеру 1б) из 7-бензил-3-этилксантина (пример 2а) и 1-хлор–гидрокси-3-метилбутана (пример 3а). Выход: 71,8% от теории Т.пл. 133-135oC C19H24N4O3 (М.в. 356,4) б) 3-этил-1 -(3-гидрокси-3-метилбутил)-ксантин Получен в соответствии с примером 1в) путем гидрогенолитического дебензилирования продукта со стадии а). Выход: 88,2% от теор. Т.пл. 241-243oC C19H18N4O3 (М.в. 266,3) Анализ: Вычислено: С 54,12%; H 68,1%; N 21,04%. Найдено: С 53,89%; H 6,86%; N 21,03%. Пример 5 1-(гидрокси-4-метилпентил)-3-метилксантин а) 7-бензил-3-метил-1-(4-оксопентил)-ксантин Сначала 38,4 г (0,15 моль) 7-бензил-3-метилксантина, 22,4 г (0,162 моль) карбоната калия и 26,7 г (0,162 моль) этиленкеталя 1-хлор-4-пентанона в 600 мл диметилформамида аналогично описанному в примере 1б) были превращены в 7-бензил-1-(4,4-этилендиоксипентил)-3-метилксантин, который без дальнейшей очистки подвергали кетальному расщеплению путем двухчасового нагревания с обратным холодильником в 600 мл 1н. соляной кислоты. Образовавшийся кетон после нейтрализации смеси концентрированным раствором едкого натра был извлечен хлороформом и хлороформный экстракт был промыт водой, высушен над сульфатом натрия и упарен досуха под пониженным давлением. Выход: 50,4 г (98,7% от теор.) Т.пл. 104 – 105oC C18H20N4O3 (М.в. 340,4) б) 7-бензил-1-(4 гидрокси-4-метилпентил)-3-метилксантин Смесь из 9 г (0,12 моль) метилмагнийхлорида в виде стандартного 20% раствора в тетрагидрофуране и 300 мл дихлорметана была охлаждена до -25oC и затем по каплям добавлена к раствору 34 г (0,1 моль) продукта со стадии а), при этом температура повышалась до 20oC. Перемешивание продолжали еще один час при комнатной температуре, затем был прибавлен насыщенный раствор хлористого аммония, органический слой был отделен, водный слой несколько раз экстрагирован дихлорметаном, объединенные дихлорметановые экстракты были промыты водой, сушены и упарены, а твердый остаток перекристаллизован из этилацетата. Выход: 28,3 г (79,4 % от теор.) Т.пл. 132-133oC C19H24N4O3 (М.в. 356,4) в) 1-(4-гидрокси-4-метилпентил)-3-метилксантин Получен в соответствии с примером 1в) гидрогенолитическим дебензилированием продукта со стадии б). Выход: 65,9% от теор. Т.пл. 188 – 189oC C12H18N4O3 (М.в. 266,3) Анализ: Вычислено: С 54,12%; Н 6,81%; N 21,04%. Найдено: С 53,86%; Н 6,88%; N 20,93%. Пример 6 3-этил-1-(4-гидрокси-4-метилпентил)-ксантин а) 7-бензил-3-этил-1-(4-оксопентил)-ксантин Получение осуществляют аналогично описанному в примере 5a) с использованием в качестве исходного вещества 7-бензил-3-этил-ксантина из примера 2a) Выход: 82,4 % от теор. Т.пл. 139-141oC C19H22N4O3 (М.в. 354,4) б) 7-бензил-3-этил-1-(4-гидрокси-4-метилпентил)-ксантин. Продукт реакции стадии а) был введен во взаимодействие с метилмагнийхлоридом аналогично описанному в примере 5б). Выход: 81,1 % от теор. Т.пл. 155-157oC C20H26N4O3 (М.в. 370,5) Анализ: Вычислено: С 64,84%; H 7,07%; N 15,12%. Найдено: С 64,95%; H 7,18%; N 15,10%. в) 3-этил-1-(4-гидрокси-4-метилпентил)-ксантин. Соединение получено путем гидрогенолитического дебензилирования продукта реакции стадии б) аналогично примеру 1в). Выход: 71,3% от теор. Т.пл. 214-216oC C13H20N4O3 (М.в. 280,3) Анализ: Вычислено: С 55,70%; H 7,19%; N 19,99%. Найдено: С 55,50%; H 7,20%; N 20,23%. Пример 7 1-(5,6-дигидрокси-5-метилгексил)-3-метилксантин а) 1 -хлор-5,б-изопропилиденокси-5-метилгексан К продутой азотом смеси из 264 г (1,2 моль) триметилсульфониййодида и 28,8 г (1,2 моль) гидрида натрия прибавляли по каплям в течение 10 минут при перемешивании при 40oC 1000 мл безводного диметилсульфоксида. По окончании выделения газа (около 2-х часов) прибавляли по каплям раствор 134,6 г (1 моль) 1-хлор-5-гексанона в 30 мл диметилсульфоксида. Перемешивали два часа при комнатной температуре, при охлаждении льдом медленно смешивали с 500 мл ледяной воды и образовавшийся 1-хлор-5,6-эпокси-5-метилгексан экстрагировали диэтиловым эфиром (выход: 130,5 г (87,8% от теор.); C7H13ClO (М.в. 148,6)). Для гидролитического расщепления эпоксигидрина его перемешивали в смеси из 60 мл воды, 600 мл тетрагидрофурана и 1 мл 70% перхлорной кислоты в течение 5 дней при комнатной температуре. Затем нейтрализовывали содовым раствором, отгоняли тетрагидрофуран и образовавшийся 1-хлор-5,6-дигидрокси-5-метилгексан экстрагировали хлороформом (выход: 124,8 г (85,3% от теор. ); C17H15ClO2 (М.в. 166,6)). Затем обычным образом действием 2,2-диметоксипропана в ацетоне в условиях кислого катализа диол был превращен в диоксолан. Выход: 67,2% от теор. Т.кип. (0,5 бар) 84 – 86oC C10H19ClO2 (М.в. 206,7) б) 1-(5,6-дигидрокси-5-метилгексил)-3-метилксантин Диол со стадии а) подвергали взаимодействию с 7-этоксиметил-3-метил-ксантином аналогично описанному в примере 1б) с количественным образованием 7-этоксиметил-1-(5,6-изопропилидендиокси-5-метилгексил)-3-метилксантина (C19H30N4O5, М.в. 394,5), из которого путем кислого гидролиза с одновременным раскрытием диоксоланового цикла и отщеплением находящейся в положении 7-этоксиметильной группы получили конечный продукт. Для этого 19,7 г (0,05 моль) соединения ксантина в смеси из 300 мл 1н. соляной кислоты и 30 мл ледяной уксусной кислоты нагревали 15 часов при перемешивании до 70oC, после охлаждения подщелачивали карбонатом натрия и промывали хлороформом, затем нейтрализовывали 1н. соляной кислотой и экстрагировали хлороформом. Остаток от упаривания после фильтрации через колонку с силикагелем с использованием в качестве подвижной фазы смеси хлороформ/метанол (10:1) перекристаллизовывали из этилацетата. Выход: 11,5 г (77,6 % от теор.) Т.пл. 181-182oC C13H20N4O4 (М.в. 296,3) Анализ: Вычислено: С 52,69%; H 6,80%; N 18,91%; Найдено: С 52,46%; H 6,90%; N 18,66%. Пример 8 1-(5-гидрокси-5-метилгептил)-3-метилксантин 7-бензил-3-метил-1-(5-оксогексил)-ксантин, полученный из 7-бензил-3-метил-ксантина и 1-хлор-5-гексанона аналогично примеру 1б), восстановительно этилировали по кетогруппе этилмагнийхлоридом в соответствии с примером 5б) и образовавшийся при этом 7-бензил-1-(5-гидрокси-5-метилгептил)-3-метилксантин дебензилировали в условиях примера 1в). Выход: 70,2% от теор. Т.пл. 169 – 170oC C14H22N4O3 (М.в. 294,4) Анализ: Вычислено: С 57,13%; H 7,53%; N 19,03%, Найдено: С 56,90%; H 7,55%; N 18,96% Пример 9 3-этил-1-(5-гидрокси-5-метилгексил)-ксантин 7-бензил-3-этил-1-(5-гидрокси-5-метилгексил)-ксантин, полученный из 7-бензил-3-этилксантина (пример 2а) и 1-хлор-5- гидрокси-5-метилгексана согласно примеру 1б) с выходом 65% от теор. (C21H28N4O3; М.в. 384,5; т.пл. 112 – 114oC), гидрогенолитически дебензилировали с использованием формиата аммония как источника водорода. Для этого 3,84 г (0,01 моль) бензильного производного и 1,0 г (0,016 моль) формиата аммония в 30 мл этанола перемешивали несколько дней над 2 г палладия (10%) на активированном угле при 35oC, при этом дало хороший результат постепенное внесение дополнительного количества формиата аммония до общего его количества 4,4 г (0,07 моль). Реакционную смесь фильтровали, фильтрат упаривали, остаток переводили в раствор карбоната натрия, промывали хлороформом, водный слой доводили соляной кислотой до pH 4, продукт встряхивали с хлороформом и после высушивания и упаривания перикристаллизовывали из этилацетата. Выход: 67,9 % от теор. Т.пл. 180-182oC C14H22N4O3 (М.в. 294,4) Анализ: Вычислено: С 57,12%; H 7,53%; N 19,04%. Найдено: С 56,77%; H 7,66%; N18,93% Пример 10 3-этил-1-(5-гидрокси-5-метилгептил)-ксантин 7-бензил-3-этилксантин (пример 2а) и 1-хлор-5-гексанон аналогично примеру 16) превращали в 7-бензил-3-этил-1-(5- оксогексил)-ксантин (C20H24N4O3; М. в. 368,4; выход: 81,7% от теор.; т.пл. 123-125oC). Восстановительное этилирование кетогруппы этилмагнийхлоридом согласно примеру 5б) привело к 7-бензил-3-этил-1-(5-гидрокси-5-метилгептил)-ксантину (C22H30N4O3, М.в. 398,5; выход: 86,9% от теор.; т.пл. 93-94oC), который гидрогенолитически дебензилировали аналогично примеру 9. Конечный продукт перекристаллизовывали из этанола. Выход: 66,5% от теор. Т.пл. 165 – 166oC C15H24N4O3 (М.в. 308,4) Анализ: Вычислено: С 58,42%; H 7,84%; N 18,17%, Найдено: С 58,30%; H 8,05%; N 18,33%. Пример 11 1-(6-гидрокси-6-метилгептил)-3-метилксантин 7-бензил-1-(6-гидрокси-6-метилгептил)-3-метилксантин (C21H28N4O3, М.в. 384,5; т. пл.: 83-85oC, полученный с выходом 77,5% из 7-бензил-3-метилксантина и 1-бром-6-гидрокси-6-метилгептана аналогично примеру 1б), гидрогенолитически дебензилировали согласно примеру 1в). Выход: 82,2% от теор. Т.пл. 166-167oC C14H22N4O3 (М.в. 294,4) Анализ: Вычислено: С 57,12%; H 7,53%:; N 19,04%. Найдено: С 56,82%; H 7,74%; N 19,01%. Пример 12 3-этил-1-(6-гидрокси-6-метилгептил)-ксантин В соответствии с примером 12 осуществлена последовательность реакций с 7-бензил-3-этил-ксантином из примера 2a), причем гидрогенолитическое дебензилирование формиатом аммония проводили аналогично примеру 9. Выход: 72,4% от теор. Т.пл. 163-165oC C15H24N4O3 (М.в. 308,4) Анализ: Вычислено: С 58,42%; H 7,84%; N 18,17%. Найдено: С 57,83%; H 7,64%; N 18,04%. Фармакологические опыты и его результаты 1. Ингибирующая активность против провоспалительных медиаторов реакции ранней фазы Ингибирующая активность соединений согласно формуле 1 против провоспалительных медиаторов ранней фазы – гистамина, ФАТ и лейкотриена Д4 (ЛТД4) была исследована на изолированных сегментах органов дыхательных путей морских свинок-альбиносов, причем параметром измерения служило ингибирование провоцируемых этими медиаторами сокращений. Для проведения опытов каждый раз использовались свежепрепарированные органы самцов. Трахею разрезали по кольцам, из которых в каждом случае 5 хрящевых колец трахеи, соединенных шелковыми нитями в цепочку, подвешивали под нагрузкой на растяжение 0,5 г в ванну для органов с нагретым до 37oC и пробарботированным карбогеном раствором Тироде и путем добавления дигидрохлорида гистамина (концентрация в ванне: 3 10-7/мл), в отсутствие (контрольный опыт) или в присутствии испытуемых веществ доводили до сокращения.
Легкое разрезали вдоль на 2 – 3 полосы, с которыми поступали так же, как это описано выше, однако нагрузка на растяжение составляла 1 г и сокращение вызывалось ФАТ или ЛТД4 при концентрации в ванне 10-9 или 10-8 г/мл.
Каждый опыт включал в себя параллельное исследование 6 заготовок органов (n=6).
Оценку активности препарата осуществляли с помощью значений ИК50, т.е. той концентрации, выраженной в мк/мл, при которой вызванные в контрольном опыте сокращения органа уменьшались наполовину. Результаты обобщены в таблице 1.
Морские свинки – альбиносы обоего пола с весом тела от 180 до 220 г были сенсибилизированы путем подкожного введения каждый раз по 1 мг овальбумина (0,1%-ный раствор в физиологическом растворе хлористого натрия) в течение двух дней подряд. Опыт проводили через 20 дней по методу Konzett и Rossler (Arch. exp. Path. und Pharmak. (1940) 195: 75). Для этого животных наркотизировали пентобарбиталом, делали им искусственное дыхание, для исключения самопроизвольного дыхания применяли алькуронийхлорид и делили их на группы по 6 животных в каждой. Путем внутривенного введения овальбумина в качестве антигена в дозе 1 мг/кг вызывали продолжительный приступ астмы, как результат острого бронхоспазма, индуцированного медиаторами в рамках астматической ранней реакции, интенсивность которого характеризовали амплитудой сокращений в торакограмме.
Испытуемые препараты применяли каждый раз внутривенно за 15 минут до провокации антигеном. Вместо него животные контрольной группы получали чистый 0,9%-ный раствор хлористого натрия. Для оценки действия препарата было установлено количество животных соответствующей группы, у которых астматическая реакция контрольных особей была снижена, по крайней мере, на 40%.
Результаты обобщены в таблице 2.
Формула изобретения
![]() где R1 – метил или этил; R2 – алкил с 1 – 4 атомами углерода; X – атом водорода или гидроксил; n – целое число от 1 до 5; причем при R1 – метил, R2 – метил, X – атом водорода, n означает число 1, 2, 3, 5, их стереоизомеры и физиологически переносимые соли. 2. Производные ксантина общей формулы I по п.1, у которых R2 означает метил или этил. 3. Производные ксантина общей формулы I по п.1, у которых X означает атом водорода. 4. Производные ксантина общей формулы I по п.1, у которых R1 – метил, R2 – метил или этил, X – атом водорода, n – целое число от 1 до 5. 5. Фармацевтическая композиция, обладающая уменьшающей патологическую гиперактивность эозинофильных гранулоцитов активностью, содержащая активное вещество на основе производных ксантина и по меньшей мере одну целевую добавку, отличающаяся тем, что в качестве активного вещества она содержит, по меньшей мере, одно соединение общей формулы I ![]() где R1 – метил или этил; R2 – алкил с 1 – 4 атомами углерода; X – атом водорода или гидроксил; n – целое число от 1 до 5, причем при R1 – метил, R2 – метил, X – атом водорода, n означает 1, 2, 3, 5, и/или его стереоизомер, и/или его физиологически переносимую соль в эффективном количестве. РИСУНКИ
MM4A Досрочное прекращение действия патента Российской Федерации на изобретение из-за неуплаты в установленный срок пошлины за поддержание патента в силе
Дата прекращения действия патента: 22.03.2003
Извещение опубликовано: 20.11.2004 БИ: 32/2004
|
||||||||||||||||||||||||||









-галогеналкановых кислот (Hal-(CH2)n-COO-алкил) с двумя эквивалентами метилметаллосоединения, причем эфир реагирует через кетон с последующим образованием третичного спирта путем введения двух метильных остатков. Подобным образом эфиры
2-миметическими средствами, ингибиторами фосфодиэстеразы, фосфолипазы А2 и липоксигеназы, антагонистами ФАТ и лейкотриена, кортикостероидами, хромоглицином, недокромилом, а также циклоспорином А.
Получение производных ксантина общей формулы (I) поясняется следующими примерами.
Пример 1
10-7/мл), в отсутствие (контрольный опыт) или в присутствии испытуемых веществ доводили до сокращения.
Легкое разрезали вдоль на 2 – 3 полосы, с которыми поступали так же, как это описано выше, однако нагрузка на растяжение составляла 1 г и сокращение вызывалось ФАТ или ЛТД4 при концентрации в ванне 10-9 или 10-8 г/мл.
Каждый опыт включал в себя параллельное исследование 6 заготовок органов (n=6).
Оценку активности препарата осуществляли с помощью значений ИК50, т.е. той концентрации, выраженной в мк/мл, при которой вызванные в контрольном опыте сокращения органа уменьшались наполовину. Результаты обобщены в таблице 1.
Морские свинки – альбиносы обоего пола с весом тела от 180 до 220 г были сенсибилизированы путем подкожного введения каждый раз по 1 мг овальбумина (0,1%-ный раствор в физиологическом растворе хлористого натрия) в течение двух дней подряд. Опыт проводили через 20 дней по методу Konzett и Rossler (Arch. exp. Path. und Pharmak. (1940) 195: 75). Для этого животных наркотизировали пентобарбиталом, делали им искусственное дыхание, для исключения самопроизвольного дыхания применяли алькуронийхлорид и делили их на группы по 6 животных в каждой. Путем внутривенного введения овальбумина в качестве антигена в дозе 1 мг/кг вызывали продолжительный приступ астмы, как результат острого бронхоспазма, индуцированного медиаторами в рамках астматической ранней реакции, интенсивность которого характеризовали амплитудой сокращений в торакограмме.
Испытуемые препараты применяли каждый раз внутривенно за 15 минут до провокации антигеном. Вместо него животные контрольной группы получали чистый 0,9%-ный раствор хлористого натрия. Для оценки действия препарата было установлено количество животных соответствующей группы, у которых астматическая реакция контрольных особей была снижена, по крайней мере, на 40%.
Результаты обобщены в таблице 2.

