Патент на изобретение №2315791
|
||||||||||||||||||||||||||
(54) АНТРАХИНОНОВЫЕ КРАСИТЕЛИ
(57) Реферат:
Изобретение относится к новым антрахиноновым красителям, пригодным для окрашивания в массе полимерных материалов. Описываются соединения формулы (I) в которой R1 и R3 каждый независимо друг от друга обозначает -NHR5, R2 и R4 каждый независимо друг от друга обозначает -OR6 или -SR7, R5 обозначает арил или гидроксиалкил, R6 обозначает арил и R7 обозначает арил или гидроксиалкил. Предлагаемые красители обладают высокой термостабильностью, светостойкостью и высокой красящей способностью, а окрашенные в массе полимерные материалы обладают высокими прочностными свойствами. 4 з.п. ф-лы, 1 табл.
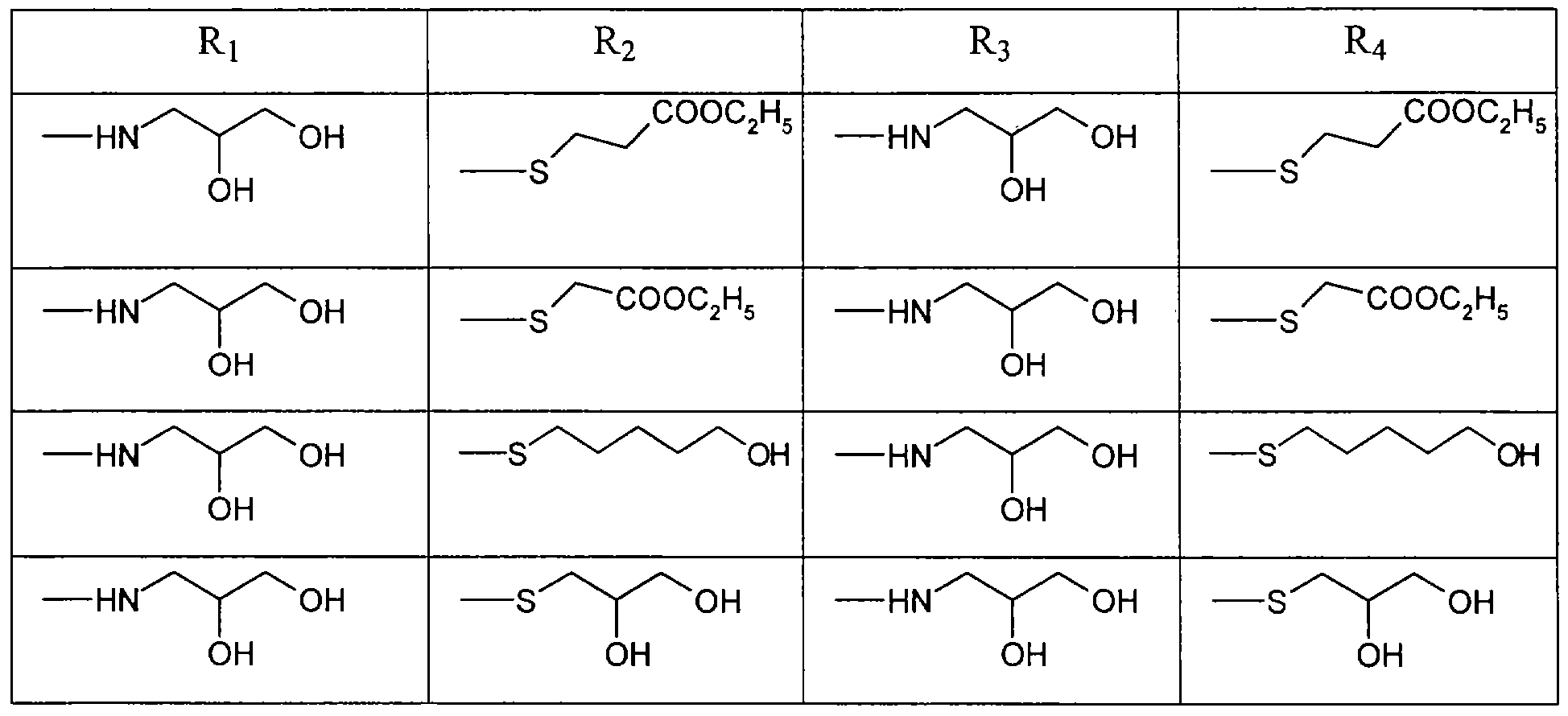
Настоящее изобретение относится к новым антрахиноновым красителям, к способу их получения и к их применению в способе приготовления окрашенных в массе пластиков или полимерных цветных частиц. Красители, в частности красители антрахинонового ряда для окрашивания пластиков в массе, известны. Так, например, в US 5367039 описаны 1,4,5,8-тетразамещенные антрахиноны, содержащие (мет)акрилоильные группы, которые могут быть сополимеризованы с виниловыми мономерами и, таким образом, приемлемы для приготовления окрашенных виниловых полимеров. Однако используемые до сих пор красители не удовлетворяют самым высоким требованиям в отношении светопрочности и, в особенности, термостабильности. Соответственно, существует потребность в новых, термостабильных красителях, которые обеспечивают окрашивания, характеризующихся высокой красящей способностью и проявляющих светопрочность, особенно высокотемпературную светопрочность, и которые обладают хорошими прочностными свойствами по всем показателям. Было установлено, что указанным выше критериям неожиданно в существенной мере удовлетворяют красители в соответствии с изобретением. Соответственно, объектом настоящего изобретения является соединение формулы I в которой R1 и R3 каждый независимо друг от друга обозначает -NHR5, -NHSO2R5, NHCOR5, -OR6 или -SR7, R2 и R4 каждый независимо друг от друга обозначает -OR6 или -SR7 при условии, что не все заместители с R1 по R4 представляют собой -SR7, R5 обозначает водородный атом, алкил, арил, аралкил или группу формулы -(CnH2nX)m-H, в которой Х обозначает -O-, -S-, -SO2-, -NH-, -NR8-, -CONH- или -CONR8-, a R8 обозначает алкил или арил, n обозначает число от 2 до 6, a m обозначает число от 1 до 10, R6 обозначает арил или гетероарил, R7 обозначает алкил, арил, гетероарил или группу формулы -(СnН2nХ)m-Н, в которой Х обозначает -O-, -S-, -SO2-, -NH-, -NR8-, -CONH- или -CONR8-, a R8 обозначает алкил или арил. Заместители R1 и R3 могут быть одинаковыми или разными, в предпочтительном варианте R1 и R3 одинаковы. Подобным же образом R2 и R4 могут быть одинаковыми или разными, но в предпочтительном варианте они одинаковы. Любой радикал, представляющий собой алкил, может быть прямоцепочечным или разветвленным алкильным радикалом, который может быть замещен одной или несколькими гидроксильными группами, аминогруппами или атомами галогена. Примеры алкильных групп включают метил, этил, н-пропил, изопропил, н-бутил, изобутил, втор-бутил, третбутил, н-пентил, изопентил, неопентил, н-гексил, н-гептил, н-октил, изооктил, н-децил и н-додецил. Замещенные алкильные группы включают, например, 2-гидроксиэтил, 2-гидроксипропил, 4-гидроксибутил, 2-аминоэтил, 2-аминопропил, 4-аминобутил, 2-хлорэтил, 2-бромэтил и 4-хлорбутил. Арильные радикалы, обозначенные символами с R5 по R8, в предпочтительном варианте содержат от 5 до 24, преимущественно от 6 до 14, углеродных атомов и могут быть замещенными, например, гидроксилом, C1-С4алкилом, С1-С4алкокси, С1-С4гидроксиалкилом, атомом галогена или радикалом -NH-CO-R, у которого R обозначает аминогруппу, С1-С4алкил, незамещенный фенил или фенил, замещенный гидроксилом, С1-С4алкилом, С1-С4алкокси, С1-С4-гидроксиалкилом или атомом галогена. Примеры приемлемых арильных групп включают фенил, толил, мезитил, изитил, 2-гидроксифенил, 4-гидроксифенил, 2-хлорфенил, 4-хлорфенил, 2,6-дихлорфенил, 2-аминофенил, 3-аминофенил, 4-аминофенил, 4-метоксифенил, 4-этоксифенил, 4-ацетиламинофенил, нафтил и фенантрил. Аралкильные группы, обозначенные символом R5, в предпочтительном варианте содержат от 6 до 30, преимущественно из 7 до 12, углеродных атомов и могут быть незамещенными или замещенными одной или несколькими С1-С4алкильными группами, С1-С4алкоксигруппами, атомами галогена или радикалами -NH-CO-R, у которых R обозначает аминогруппу, С1-С4алкил, незамещенный фенил или фенил, замещенный С1-С4алкилом, С1-С4алкокси или атомом галогена. Примеры приемлемых аралкильных групп включают бензил, 2-фенилэтил, толилметил, мезитилметил и 4-хлорфенилметил. Гетероарил, обозначенный символом R6 или R7, в предпочтительном варианте содержит 4 или 5 углеродных атомов и один или два гетероатома из группы О, S и N. Им может быть, например, пирролил, фурил, тиофенил, оксазолил, тиазолил, пиридил, пиразинил, пиримидинил, пиридазинил, индолил, пуринил или хинолил. В формуле I R1 и R3 в предпочтительном варианте обозначают -NHR5 или -SR7. Предпочтение отдают соединениям формулы I, в которой R1 и R3 обозначают -NHR5 или -SR7, а R5 и R7 обозначают арил или гидроксиалкил. Особое предпочтение отдают соединениям формулы I, в которой R1 и R3 обозначают -NHR5 или -SR7, R5 обозначает фенил, мезитил или 2-гидроксиэтил, a R7 обозначает фенил. R2 и R4 в формуле I в предпочтительном варианте обозначают -SR7. У особенно предпочтительных соединений формулы I R2 и R4 обозначают -SR7, где R7 обозначает арил или гидроксиалкил, преимущественно фенил или 2-гидроксиэтил. Особое предпочтение отдают соединениям формул с Ia по Ic Соединения формулы I могут быть получены, например, из 1,3,5,7-тетрабромантрахинона реакцией с приемлемыми нуклеофилами. В ходе проведения этой реакции, целесообразно на первой стадии, радикалы R1 и R3, которые в предпочтительном варианте одинаковы, вводят по реакционноспособным 1,5-положениям. В последующей реакции нуклеофильного замещения оставшиеся атомы брома в 3,7-положениях замещают группами R2 и R4, которые также в предпочтительном варианте одинаковы. Когда радикалы с R1 по R4 одинаковы, эту реакцию можно также проводить в одну стадию. 1,3,5,7-Тетрабромантрахинон может быть получен, например, из 1,5-диаминоантрахинона в две стадии. Бромированием в водной соляной кислоте получают 1,5-диамино-2,4,6,8-тетрабромантрахинон (R.Scholl, F.Eberle, W.Tritsch: Monatshefte Chemie 32, 1055 (1911)), который диазотированием и последующим восстановлением можно превращать в 1,3,5,7-тетрабромантрахинон (H.Kopf, J.Fuchs, K.H.Eisenmann: Annalen der Chemie 585. 178 (1954); F.Ullmann, O.Eiser: Chemische Berichte 49, 2154 (1916)). Объектом изобретения является также способ получения соединения формулы I, который включает реакцию 1,3,5,7-тетрабромантрахинона с соединением R1-H или смесью соединений R1-H и R3-Н на первой стадии реакции, а затем взаимодействие полученного таким образом промежуточного продукта с соединением R2-H или смесью соединений R2-H и R4-H, причем R1, R2, R3 и R4 имеют значения, которые указаны в настоящем описании выше. Соединения R1-H, R2-H, R3-H и R4-H известны или могут быть получены по методу, который известен. Объектом настоящего изобретения является также способ приготовления окрашенных в массе пластиков или полимерных цветных частиц, который включает смешение высокомолекулярного органического материала с эффективным в красильном отношении количеством по меньшей мере одного соединения формулы (I). Окрашивание высокомолекулярных органических веществ с использованием красителя формулы (I) проводят, например, подмешиванием такого красителя в эти материалы с помощью вальцов, смесителя или измельчителя, в результате чего краситель растворяют или тонко диспергируют в высокомолекулярном материале. Затем высокомолекулярный органический материал с подмешанным красителем перерабатывают в соответствии с методами, которые известны, такими как, например, каландрирование, прямое прессование, экструзия, нанесение покрытия, прядение, отливка или литье под давлением, благодаря чему окрашенный материал приобретает свою окончательную форму. Процесс подмешивания красителя можно также проводить непосредственно перед фактической стадией переработки, например, непрерывной подачей твердого, в частности порошкообразного, красителя и одновременно с ним гранулированного или порошкообразного высокомолекулярного органического материала, а также, когда это приемлемо, дополнительных компонентов, таких как добавки, прямо в приемную зону экструдера, в которой непосредственно перед переработкой происходит смешение этих компонентов. Однако в предпочтительном варианте краситель обычно следует подмешивать в высокомолекулярный органический материал заблаговременно, поскольку при этом может быть достигнуто более равномерное окрашивание таких материалов. С целью изготовить нежесткие отформованные изделия или понизить их хрупкость перед формованием в высокомолекулярные соединения часто необходимо вводить так называемые пластификаторы. При этом в качестве пластификаторов можно использовать, например, эфиры фосфорной кислоты, фталевой кислоты или себациновой кислоты. В способе в соответствии с изобретением пластификаторы можно вводить в полимеры перед или после введения красящего вещества. С целью достижения разных цветовых оттенков в высокомолекулярные органические вещества можно также в необходимых количествах добавлять, в дополнение к красителю формулы (I), другие пигменты или другие окрашивающие вещества необязательно вместе с другими добавками, например наполнителями или сиккативами. Предпочтение отдают окрашиванию термопластичных пластиков преимущественно в форме волокон. Предпочтительные высокомолекулярные органические материалы, которые могут быть окрашены в соответствии с изобретением, чаще всего представляют собой полимеры, обладающие диэлектрической постоянной Когда соединения формулы (I) в соответствии с изобретением содержат по меньшей мере две группы NH, ОН или SH, смешение красителя с мономерами и его введение в форме сомономера непосредственно в скелет полимера является возможным при условии, что мономеры содержат реакционноспособные группы, которые взаимодействуют с активными водородными атомами групп NH, ОН и SH. Примеры таких мономеров включают эпоксиды (эпоксидные смолы), изоцианаты (полиуретаны) и хлорангидриды карбоновых кислот (полиамиды, сложные полиэфиры). Соответственно, объектом изобретения является также способ приготовления окрашенных в массе пластиков или полимерных цветных частиц, который включает введение смеси, включающей по меньшей мере один мономер, который содержит по меньшей мере одну группу, способную взаимодействовать с NHOH- или SH-, и способен к реакциям полимеризации, полиприсоединения или поликонденсации, во взаимодействие с по меньшей мере одним соединением формулы (I), содержащим по меньшей мере две группы NH, ОН или SH. Объектом настоящего изобретения являются также применение соединений формулы I при получении окрашенных в массе пластиков или полимерных цветных частиц и сами пластмассы и полимерные цветные частицы, окрашенные с использованием соединений формулы I. Красители в соответствии с изобретением придают вышеупомянутым материалам, преимущественно полиэфирным материалам, однородные цветовые оттенки при высокой красящей способности, которые характеризуются хорошими эксплуатационными свойствами прочности, в особенности очень хорошей высокотемпературной светопрочностью. Кроме того, красители в соответствии с изобретением могут быть использованы для нанесения покрытий любого вида. Красители в соответствии с изобретением могут также быть легко использованы совместно с другими красителями с получением смешанных оттенков. Далее, антрахиноновые красители формулы (I) в соответствии с изобретением оказываются приемлемыми в качестве красящих веществ при изготовлении цветных светофильтров, преимущественно для излучения в видимой области спектра в диапазоне от 400 до 700 нм, для жидкокристаллических дисплеев (ЖКД) или приборов с зарядовой связью (ПЗС). Изготовление цветных светофильтров последовательным нанесением красного, синего и зеленого красящих веществ на подходящую подложку, например на аморфный кремний, описано в GB-A 2182165. На цветные светофильтры можно наносить покрытия, например, с использованием красок, преимущественно печатных красок, которые включают антрахиноновые красители в соответствии с изобретением или могут быть приготовлены, например, смешением антрахиноновых красителей в соответствии с изобретением с химически, термически или фотолитически структурируемым высокомолекулярным материалом. Дальнейший процесс изготовления можно проводить, например, аналогично изложенному в ЕР-А 654711, нанесением на подложку, такую как ЖКД, с последующими фотоструктурированием и обработкой. Другие документы, в которых описано изготовление цветных светофильтров, включают US-A 5624467, Displays 14/2, 115 (1993) и WO 98/45756. Цветные светофильтры, которые изготавливают для жидкокристаллических дисплеев (ЖКД) с использованием антрахиноновых красителей в соответствии с изобретением, отличаются высокой передачей цветных точек. Объектом изобретения является также применение антрахинонового красителя в соответствии с изобретением в качестве красящего вещества при изготовлении цветных светофильтров. Иллюстрациями сущности изобретения служат следующие примеры. Пример 1 А. 1,5-Бис(2-гидроксиэтиламино)-3,7-дибромантрахинон 90 г 1,3,5,7-тетрабромантрахинона, 142,3 г 2-аминоэтанола, 18,6 г ацетата натрия и 0,52 г ацетата меди(1) загружают в лабораторный реакционный аппарат и при 130°С перемешивают в течение 3 ч. После охлаждения до комнатной температуры (КТ) реакционную смесь растворяют в этаноле и выливают в воду. После фильтрования и сушки получают 24 г (65%-ный выход) продукта. Б. 1,5-Бис(2-гидроксиэтиламино)-3,7-бис(фенилмеркапто)антрахинон 24 г 1,5-бис(2-гидроксиэтиламино)-3,7-дибромантрахинона при КТ вводят в 100 мл диметилформамида (ДМФ). После добавления 16,3 г тиофенолята натрия смесь нагревают до 120°С и выдерживают при этой температуре в течение одного часа. После охлаждения смеси до КТ в нее добавляют 100 мл метанола. Осадок отфильтровывают, промывают смесью метанола/воды (1:1) и сушат под вакуумом. Выход: 18,6 г (68,5%) Пример 2 А. 1,5-Бис(фениламино)-3,7-дибромантрахинон 20 г 1,3,5,7-тетрабромантрахинона, 70 мл анилина, 9,3 г ацетата натрия и 0,26 г ацетата меди(1) загружают в лабораторный реакционный аппарат и перемешивают в течение 2 ч при 150°С. После охлаждения смеси до КТ с использованием этанола сырой продукт осаждают, отфильтровывают, промывают и сушат под вакуумом. Выход: 16,8 г (80%) Б. 1,5-Бис(фениламино)-3,7-бис(2-гидроксиэтилмеркапто)антрахинон 16,8 г 1,5-бис(фениламино)-3,7-дибромантрахинона и 5,6 г 2-гидроксиэтилмеркаптана при КТ вводят в 50 мл ДМФ. После нагревания смеси до 110°С добавляют раствор 8,16 г третбутанолята калия в 90 мл ДМФ. Смесь перемешивают в течение 2 ч при 110°С. Далее по каплям добавляют 500 мл воды. Осадок отфильтровывают, промывают и сушат под вакуумом. Выход: 11,4 г (70%) Пример 3 А. 1,5-Бис(мезитиламино)-3,7-дибромантрахинон 37 г 1,3,5,7-тетрабромантрахинона, 12,3 мл мезидина, 17,3 г ацетата натрия и 0,5 г ацетата меди(1) загружают в лабораторный реакционный аппарат и перемешивают в течение 7 ч при 170°С. После охлаждения до КТ добавлением 1 л 2н. HCl сырой продукт осаждают и перекристаллизовывают из этанола. После фильтрования и сушки получают 21 г (47%-ный выход) продукта. Б. 1,5-Бис(мезитиламино)-3,7-бис(фенилмеркапто)антрахинон 16,5 г 1,5-бис(мезитиламино)-3,7-дибромантрахинона при КТ суспендируют в 50 мл ДМФ и нагревают до 120°С. После охлаждения до 50°С в смесь добавляют суспензию 8,5 г тиофенолята натрия в 25 мл ДМФ. Затем смесь вновь нагревают до 120°С и при этой температуре перемешивают в течение 1,5 ч. После охлаждения смеси до 60°С добавляют 100 мл метанола и смесь перемешивают в течение ночи при КТ. Осадок отфильтровывают, промывают смесью метанола/воды (1:1) и сушат под вакуумом. Выход: 11,2 г (62%) Пример 4 1,3,5,7-Тетракис(фенилмеркапто)антрахинон 90 г 1,3,5,7-тетрабромантрахинона и 50 г тиофенолята натрия в лабораторном реакционном аппарате при 70°С суспендируют в 150 мл ДМФ. Реакционную смесь перемешивают в течение 5 ч при 120°С. После охлаждения до КТ осадок отфильтровывают, промывают этанолом и сушат под вакуумом. Выход: 22,6 г (73%) II. Примеры применения II.1. Изготовление цветного светофильтра для жидкокристаллических дисплеев (ЖКД) В 100-миллилитровом стеклянном сосуде, содержащем 83,3 г циркониевого керамического бисера, 2,8 г антрахинонового красителя в соответствии с примером 1, 0,28 г продукта Solsperse® 5000, 4,10 г продукта Disperbyk® 161 (диспергатор, 30%-ный раствор высокомолекулярного блок-сополимера, содержащего группы, обладающие сродством к пигменту, в н-бутилацетате/1-метокси-2-пропилацетате 1:6, фирма BYK Chemie) и 14,62 г 1-метокси-2-пропилацетата (МПА) при 23°С с помощью устройства Dispermat осуществляют перемешивание в течение 10 мин при скорости вращения 1000 об/мин и в течение 180 мин при скорости вращения 3000 об/мин. После добавления 4,01 г акрилатного полимерного связующего вещества (35%-ный раствор в МПА) перемешивание проводят при комнатной температуре в течение 30 мин при скорости вращения 3000 об/мин. После удаления бисера дисперсию разбавляют такой же массой МПА. С помощью установки для нанесения покрытия по методу центрифугирования на стеклянную подложку (типа Corning 1737-F) с использованием приготовленной дисперсии наносят покрытие и центрифугируют в течение 30 с при скорости вращения 1000 об/мин. Слой сушат на горячей плите в течение 2 мин при 100°С и в течение 5 мин при 200°С. Толщина полученного слоя составляет 0,4 мкм. Аналогично примеру 1 могут быть получены следующие антрахиноновые красители (таблица 1), которые также приемлемы для окрашивания пластиков в массе.
Формула изобретения
1. Соединение формулы I
в которой R1 и R3 каждый независимо друг от друга обозначает -NHR5, R2 и R4 каждый независимо друг от друга обозначает -OR6 или -SR7, R5 обозначает арил или гидроксиалкил, R6 обозначает арил и R7 обозначает арил или гидроксиалкил. 2. Соединение формулы I по п.1, в которой R5 обозначает фенил, мезитил или 2-гидроксиэтил, а R7 обозначает фенил. 3. Соединение формулы I по п.1, в которой R2 и R4 обозначают -SR7, а R7 имеет значения, которые указаны в п.1. 4. Соединение формулы I по п.3, в которой R7 обозначает фенил или 2-гидроксиэтил. 5. Соединение формулы I по п.1 в соответствии с одной из формул с Ia по Ic
|
||||||||||||||||||||||||||




2,5, преимущественно сложный полиэфир, поликарбонат (ПК), полистирол (ПС), полиметилметакрилат (ПММА), полиамид, полиэтилен, полипропилен, стирол-акрилонитрильный (САН) и акрилонитрил-бутадиен-стирольный (АБС) сополимеры. Особенно предпочтительны сложный полиэфир и полиамид. Еще более предпочтительны линейные ароматические сложные полиэфиры, которые могут быть получены реакцией поликонденсации терефталевой кислоты и гликолей, преимущественно этиленгликоля, или продукты реакций конденсации терефталевой кислоты и 1,4-бис(гидроксиметил)циклогексана, например полиэтилентерефталат (ПЭТ) или полибутилентерефталат (ПБТ), а также поликарбонаты, например те, которые получены из
,
























