|
|
(21), (22) Заявка: 2005116309/04, 29.10.2003
(24) Дата начала отсчета срока действия патента:
29.10.2003
(30) Конвенционный приоритет:
31.10.2002 (пп.1-9) JP 2002-316942
(43) Дата публикации заявки: 27.02.2006
(46) Опубликовано: 27.01.2008
(56) Список документов, цитированных в отчете о поиске:
JP 05-117385 А, 14.05.1993. RU 2190613 С2, 10.10.2002. ЕР 757049 А1, 05.02.1997. WO 0192584 А1, 06.12.2001. WO 03000771 А1, 03.01.2003. JP 2003-342168 A, 03.12.2003. JP 2003-342167 A, 03.12.2003.
(85) Дата перевода заявки PCT на национальную фазу:
31.05.2005
(86) Заявка PCT:
JP 03/13838 (29.10.2003)
(87) Публикация PCT:
WO 2004/039869 (13.05.2004)
Адрес для переписки:
129010, Москва, ул. Б.Спасская, 25, стр.3, ООО “Юридическая фирма Городисский и Партнеры”, пат.пов. Е.Е.Назиной, рег. № 517
|
(72) Автор(ы):
КИТАГАВА Масаюки (JP), ОКАМОТО Казуя (JP)
(73) Патентообладатель(и):
НИППОН КАЯКУ КАБУСИКИ КАЙСЯ (JP)
|
(54) ВЫСОКОМОЛЕКУЛЯРНЫЕ ПРОИЗВОДНЫЕ КАМПТОТЕЦИНОВ
(57) Реферат:
Настоящее изобретение относится к высокомолекулярным производным камптотецинов, способу их получения и к применению указанного соединения. Рассматривается получение водорастворимых производных камптотецинов, обладающих превосходным терапевтическим действием и замедленным высвобождением, которые пригодны для химиотерапии рака. Высокомолекулярное производное камптотецинов имеет структуру, в которой группа карбоновой кислоты блок-сополимера полиэтиленгликоля и полимера, содержащего группу карбоновой кислоты в боковой цепи и являющегося полимером кислой аминокислоты, соединена с фенольной гидроксильной группой фенольных камптотецинов посредством сложноэфирной связи. Также заявлено высокомолекулярное производное камптотецинов общей формулы (I):

Способ получения высокомолекулярного производного камптотецинов включает объединение группы карбоновой кислоты блок-сополимера полиэтиленгликоля и полимера, содержащего группу карбоновой кислоты в боковой цепи, и являющегося полимером кислой аминокислоты, с фенольной гидроксильной группой фенольных камптотецинов посредством сложноэфирной связи, с использованием конденсирующего агента. Противораковое средство включает указанное производное камптотецинов и необязательно фармацевтически приемлемый носитель, 5 н. и 4 з.п. ф-лы, 2 ил., 2 табл.
Настоящее изобретение относится к высокомолекулярным производным камптотецинов, способу их получения и к применению указанного соединения.
Камптотецин представляет собой противоопухолевый алкалоид, содержащийся в растениях, таких как Camptotheca acuminata китайская, и характеризуется чрезвычайно слабой растворимостью в воде, поэтому изучены пригодные для клинического применения водорастворимые производные камптотецина. Кроме того, известно, что введение заместителя, такого как гидроксильная группа, алкоксильная группа, аминогруппа и тому подобного, в бензольное кольцо усиливает действие камптотецина.
Например, в патентном документе 1 и патентном документе 2 упоминаются в качестве пролекарств высокомолекулярные производные камптотецина, содержащие связанный полиэтиленгликоль. В этих патентах говорится о необходимости оптимизации молекулярной массы полиэтиленгликолевой части, и также, наряду с этим, о важности спейсерного связывания полиэтиленгликолевого участка с камптотецином. Желательно, чтобы спейсер постоянно присутствовал во время нахождения вышеупомянутого производного в организме и быстро иссекался только на заданном участке. В приведенной литературе делается вывод, что соединение спирта, просто связанного по сложноэфирному типу связи, характеризуется низкой скоростью гидролиза и получение достаточной концентрации на заданном участке невозможно, и описываются спейсеры, которые легко гидролизуются на заданном участке.
Известно водорастворимое производное камптотецина, CPT-11 (7-этил-10-пиперидинопиперидинокарбонилоксикамптотецин) (непатентный документ 1).
Далее, в патентном документе 3 описаны высокомолекулярные производные камптотецинов, содержащие связанную полиглутаминовую кислоту.
С другой стороны, в патентном документе 4 и непатентном документе 2 показано, что агрегат из молекул, полученный связыванием лекарственного средства с блок-сополимером полиэтиленгликоля и полиаспарагиновой кислоты, может образовывать мицеллу, тем самым, увеличивая растворимость и повышая содержание лекарственного средства в расчете на полимерную молекулу, в патентном документе 5 описано полимерное противораковое средство, полученное связыванием противоракового вещества с боковой цепью карбоновой кислоты блок-сополимера полиэтиленгликоля и полиглутаминовой кислоты, и в патентном документе 6 описан носитель для полимерного лекарственного средства, полученный связыванием гидрофобного вещества с боковой цепью карбоновой кислоты блок-сополимера полиэтиленгликоля и полимера кислой аминокислоты. Однако в патентном документе 4, патентном документе 5 и патентном документе 6 отсутствует описание связанного соединения камптотецинов.
Список литературы
Патентный документ 1: Japanese Patent Application Laying Open (KOHYO) № 10-513187.
Патентный документ 2: Japanese Patent Application Laying Open (KOHYO) № 2000-517304.
Патентный документ 3: International Publication № WO01/70275 pamphlet.
Патентный документ 4: Japanese Patent № 2694923.
Патентный документ 5: Japanese Patent Application Laying Open (KOKAI) № 5-955.
Патентный документ 6: Japanese Patent № 3268913.
Непатентный документ 1: S. Miyasaka et al, Anticancer Agent Irinotecan, Gendai Kagaku, October 1999 issue, Tokyo Kagaku Dozin, pp. 58 to 66.
Непатентный документ 2: T. Nakanishi et al., Development of the polymer micelle carrier system for doxorubicin, Journal of Controlled Release, 2001, 74, Elsevier, pp. 295 to 302.
Пролекарства, содержащие связанный полиэтиленгликоль, описанные в патентном документе 1 и патентном документе 2, могут содержать связанными только 1-2 молекулы лекарственных средств на молекулу полиэтиленгликоля, по причине своей структуры, и поэтому, для дозированного введения эффективного количества лекарственных средств требуется введение большого количества полимеров.
CPT-11, являющийся водорастворимым производным камптотецина, оказывает опасные побочные действия и является неудобным для применения лекарственным средством, поэтому существует потребность в новых производных камптотецина.
В соединениях связанного адриамицина, описанных, в частности, в патентном документе 4, патентном документе 5 и непатентном документе 2, блок-сополимер и остаток адриамицина связаны амидной связью, которая представляет собой химически устойчивый тип связи, и обычно, как описано в непатентном документе 2, химически связанный адриамицин не обладает противоопухолевой активностью.
Настоящими заявителями проведена интенсивная работа по решению вышеуказанных проблем и в результате были раскрыты высокомолекулярные производные камптотецинов, получаемые связыванием группы карбоксиловой кислоты сополимера полиэтиленгликоля и полимера, содержащего группу карбоновой кислоты в боковой цепи, с фенольными камптотецинами через структуру сложного фенилэфира, которые привели к настоящему изобретению.
А именно, настоящее изобретение включает
(1) Высокомолекулярное производное камптотецинов, имеющее структуру, где группа карбоксиловой кислоты сополимера полиэтиленгликоля и полимера, содержащего группу карбоновой кислоты в боковой цепи, соединена с фенольной гидроксильной группой фенольных камптотецинов посредством сложноэфирной связи.
(2) Высокомолекулярное производное камптотецинов по п.(1), где сополимер полиэтиленгликоля и полимера, содержащего группу карбоновой кислоты в боковой цепи, является блок-сополимером полиэтиленгликоля и полимера, содержащего группу карбоновой кислоты в боковой цепи.
(3) Высокомолекулярное производное камптотецинов по п.(1) или (2), где полимер, содержащий группу карбоновой кислоты в боковой цепи, является полимером кислой аминокислоты.
(4) Высокомолекулярное производное камптотецинов по п.(3), где полимер кислой аминокислоты означает полиглутаминовую кислоту или полиаспарагиновую кислоту.
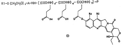
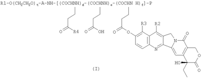
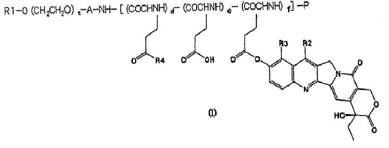
(5) Высокомолекулярное производное камптотецинов общей формулы (I):

[где R1 означает атом водорода или (C1-C6)-алкильную группу, необязательно содержащую заместитель, t означает целое число от 5 до 11500, A означает связывающую группу, d+e+f равно целому числу от 3 до 200, R2 означает атом водорода или (C1-C6)-алкильную группу, необязательно содержащую заместитель, или силильную группу, необязательно содержащую заместитель, R3 означает атом водорода или (C1-C6)-алкильную группу, необязательно содержащую заместитель, R4 может быть одинаковым или различным и означает (C1-C20)-алкоксильную группу, необязательно содержащую заместитель, (C1-C20)-алкиламиногруппу, необязательно содержащую заместитель, ди-(C1-C20)-алкиламиногруппу, необязательно содержащую заместитель, или (C1-C20)-алкиламинокарбонил-(C1-C20)-алкиламиногруппу, необязательно содержащую заместитель, и P означает атом водорода, (C1-C6)-ацильную группу или (C1-C6)-алкоксикарбонильную группу].
(6) Высокомолекулярное производное камптотецинов по п.(5), где R1 означает (C1-C4)-алкильную группу, необязательно содержащую заместитель, t равно целому числу от 100 до 300, A означает (C2-C6)-алкиленовую группу, d+e+f равно целому числу от 6 до 60, показатель степени d равен 0-60%, показатель степени e равен 0-60% и показатель степени f равен 1-100% в расчете на d+e+f, R2 означает атом водорода или (C1-C4)-алкильную группу, необязательно содержащую заместитель, R3 означает атом водорода или (C1-C4)-алкильную группу, не содержащую заместитель, R4 может быть одинаковым или различным и означает (C1-C8)-алкоксильную группу, необязательно содержащую заместитель, (C1-C8)-алкиламиногруппу, необязательно содержащую заместитель, ди-(C1-C8)-алкиламиногруппу, необязательно содержащую заместитель, или (C1-C8)-алкиламинокарбонил-(C1-C8)-алкиламиногруппу, необязательно содержащую заместитель, и P означает (C2-C4)-ацильную группу.
(7) Высокомолекулярное производное камптотецинов по п.(6), где R1 означает метильную группу, A означает триметиленовую группу, R2 означает атом водорода, R3 означает диметиламинометильную группу, R4 означает изопропиламинокарбонилизопропиламиногруппу и P означает ацетильную группу.
(8) Высокомолекулярное производное камптотецинов по п.(6), где R1 означает метильную группу, A означает триметиленовую группу, R2 означает этильную группу, R3 означает атом водорода, R4 означает изопропиламинокарбонилизопропиламиногруппу и P означает ацетильную группу.
(9) Высокомолекулярное производное камптотецинов, полученное взаимодействием блок-сополимера полиэтиленгликольной составляющей и полиаминоглутаминовой кислоты или полиаспарагиновой кислоты с фенольным камптотецином в органическом растворителе с использованием конденсирующего средства.
(10) Способ получения высокомолекулярного производного камптотецинов по одному из пп.(1)-(8), включающий соединение группы карбоксиловой кислоты сополимера полиэтиленгликоля и полимера, содержащего группу карбоновой кислоты в боковой цепи, с фенольной гидроксильной группой фенольных камптотецинов посредством сложноэфирной связи, с использованием конденсирующего средства.
(11) Противораковое средство, включающее высокомолекулярное производное камптотецинов по любому одному из пп.(1)-(9).
Фиг.1 представляет собой графическое изображение высвобождаемого количества лекарственных средств в отсутствии гидролитического фермента, выраженное в процентах по отношению к суммарному количеству лекарственного средства в примере 3. По абсциссе отложено время, а по ординате – высвобождаемое количество.
Фиг.2 представляет собой графическое изображение высвобождаемого количества лекарственных средств в присутствии плазмы мышей, выраженное в процентах по отношению к суммарному количеству лекарственного средства в примере 4. По абсциссе отложено время, а по ординате – высвобождаемое количество.
Высокомолекулярное производное камптотецинов по настоящему изобретению характеризуется тем, что имеет структуру, где фенольная гидроксильная группа фенольных камптотецинов соединена с группой карбоновой кислоты полимера, содержащего группу карбоновой кислоты в боковой цепи и полиэтиленгликолевую составляющую, посредством сложноэфирной связи.
По настоящему изобретению фенольные камптотецины означают производное камптотецина, содержащее фенольную гидроксильную группу, и не имеют особых ограничений. Вышеуказанная фенольная гидроксильная группа может быть связана с участками ароматического цикла в скелете камптотецина, в частности, по любому из 1-4 положений, выбираемых из 9 положения, 10 положения, 11 положения и 12 положения. Конкретные примеры вышеуказанных фенольных камптотецинов включают 7-этил-10-гидроксикамптотецин, топотекан (9-диметиламинометил-10-гидроксикамптотецин; промышленно выпускаемый Glaxo Smith-Kline К.К.) и тому подобное.
Сополимер полиэтиленгликоля и полимера, содержащего группу карбоновой кислоты в боковой цепи, по настоящему изобретению включает привитые полимеры, блок-полимеры и тому подобное.
В качестве привитых полимеров могут быть упомянуты полимеры, полученные по реакции сополимеризации между продуктом конденсации полиэтиленгликоля и акриловых кислот и акриловыми кислотами или малеиновым ангидридом и тому подобным, и, по необходимости, по реакции гидролиза и тому подобного, описанных, например, в выложенной патентной заявке Японии (KOKAI) № 11-279083. В качестве блок-полимеров могут быть упомянуты полимеры, полученные связыванием полиэтиленгликоля, содержащего концевую функциональную группу, и поликарбоновых кислот, содержащих концевую функциональную группу, и полимеры, полученные реакцией полимеризации аминокислотного активированного соединения, инициирующего полимеризацию с полиэтиленгликолем, содержащим концевую аминогруппу, как описано в патентном документе 5.
Полиэтиленгликоль по настоящему изобретению включает также полиэтиленгликоль с обоими модифицированными концами или одним модифицированным концом, и модифицирующие группы на обоих концах могут быть одинаковыми или различными. Модифицирующая концевая группа включает (С1-С6)-алкильные группы, необязательно содержащие заместитель. (С1-С6)-Алкильная группа, необязательно содержащая заместитель, включает предпочтительно (С1-С4)-алкильные группы, необязательно содержащие заместитель, и конкретные примеры таких групп включают метильную группу, этильную группу, н-пропильную группу, изо-пропильную группу, н-бутильную группу, втор-бутильную группу, трет-бутильную группу, бензильную группу, диметоксиэтильную группу, диэтоксиэтильную группу и тому подобное.
Молекулярная масса полиэтиленгликолевой составляющей равна обычно примерно 300-500000, предпочтительно, примерно 500-100000, более предпочтительно, примерно 1000-50000.
Число групп карбоновой кислоты на молекулу сополимера полиэтиленгликоля и полимера, содержащего группу карбоновой кислоты в боковой цепи, составляет, предпочтительно, от 3 до 200, более желательно, от 6 до 60. Число групп карбоновой кислоты определяют путем нейтрализующего титрования с помощью щелочи. Согласно данному способу, когда заместитель, такой как камптотецины и тому подобное, связан с группой карбоновой кислоты, число может быть измерено после гидролиза.
Молекулярная масса сополимера полиэтиленгликоля и полимера, содержащего группу карбоновой кислоты в боковой цепи, по настоящему изобретению равна обычно, приблизительно 500-500000, предпочтительно, около 600-100000, более предпочтительно, 800-80000.
Под молекулярной массой в настоящем описании имеется в виду среднечисленная молекулярная масса, измеренная GPC.
По настоящему изобретению, связующее количество камптотецинов, присоединяемых к сополимеру полиэтиленгликоля и полимера, содержащего группу карбоновой кислоты в боковой цепи, не имеет особых ограничений, при условии, что это количество обеспечивает действие лекарственного средства, и обычно составляет от 1 до 100%, предпочтительно, 10-90% от суммарного числа групп карбоновой кислоты полимера.
Высокомолекулярное производное камптотецинов по настоящему изобретению включает также производные, проявляющие действие в качестве пролекарства.
В качестве сополимера полиэтиленгликоля и полимера, содержащего группу карбоновой кислоты в боковой цепи, по настоящему изобретению преимущественно имеются в виду блок-сополимеры полимеров кислых аминокислот и полиэтиленгликоля. Полимер, содержащий группу карбоновой кислоты в боковой цепи, включает, например, полиакриловую кислоту, полиметакриловую кислоту, полиоксиянтарную кислоту, полиаспарагиновую кислоту, полиглутаминовую кислоту и тому подобное, и предпочтительными являются полиаспарагиновая кислота, полиглутаминовая кислота и тому подобное.
Примеры блок-сополимера из полимера, содержащего группу карбоновой кислоты в боковой цепи, и полиэтиленгликоля по настоящему изобретению включают блок-сополимеры: алкоксиполиэтиленгликоль-полиакриловая кислота, алкоксиполиэтиленгликоль-полиметакриловая кислота, алкоксиполиэтиленгликоль-полиглутаминовая кислота, алкоксиполиэтиленгликоль-полиаспарагиновая кислота и тому подобное. Предпочтительные примеры блок-сополимера включают блок-сополимеры: (С1-С4)-алкоксиполиэтиленгликоль-полиаспарагиновые кислоты или (С1-С4)-алкоксиполиэтиленгликоль-полиглутаминовые кислоты и тому подобное.
Кроме того, в качестве высокомолекулярных производных камптотецинов, связанных с блок-сополимером полиэтиленгликоля и полимера кислой аминокислоты посредством фенольных камптотецинов, по настоящему изобретению включены, например, соединения вышеуказанной общей формулы (I) [где, R1 означает атом водорода или (С1-С6)-алкильную группу, необязательно содержащую заместитель, t означает целое число от 5 до 11500, А означает связывающую группу, d+e+f равно целому числу от 3 до 200, R2 означает атом водорода или (С1-С6)-алкильную группу, необязательно содержащую заместитель, или силильную группу, необязательно содержащую заместитель, R3 означает атом водорода или (С1-С6)-алкильную группу, необязательно содержащую заместитель, R4 может быть одинаковым или различным и означает (С1-С20)-алкоксильную группу, необязательно содержащую заместитель, (С1-С20)-алкиламиногруппу, необязательно содержащую заместитель, ди-(C1-C20)-алкиламиногруппу, необязательно содержащую заместитель, или (C1-C20)-алкиламинокарбонил-(C1-C20)-алкиламиногруппу, необязательно содержащую заместитель, и P означает атом водорода, (C1-C6)-ацильную группу или (C1-C6)-алкоксикарбонильную группу].
В качестве (C1-C6)-алкильной группы, необязательно содержащей заместитель, обозначенной R1 в общей формуле (I), могут быть упомянуты линейные или разветвленные (C1-C6)-алкильные группы, необязательно содержащие заместитель, и предпочтительными являются линейные или разветвленные (C1-C4)-алкильные группы, необязательно содержащие заместитель, конкретные примеры таких групп включают метильную группу, этильную группу, н-пропильную группу, изо-пропильную группу, н-бутильную группу, трет-бутильную группу, бензильную группу, 2,2-диметоксиэтильную группу, 2,2-диэтоксиэтильную группу и тому подобное, метильная группа в особенности предпочтительна.
Связывающая группа, обозначенная A в общей формуле (I), означает связывающий участок полиэтиленгликоля и полимера кислой аминокислоты, и не имеет особых ограничений, при условии, что данная группа не нарушает физиологическую активность, и предпочтительными связующими группами являются (C2-C6)-алкиленовые группы, конкретные примеры которых включают этиленовую группу, триметиленовую группу, бутиленовую группу и тому подобное, триметиленовая группа в особенности предпочтительна.
Алкильные группы (C1-C6)-алкильной группы, необязательно содержащей заместитель, обозначенной R2 в общей формуле (I), включают линейные или разветвленные (C1-C6)-алкильные группы и, предпочтительно, линейные или разветвленные (C1-C4)-алкильные группы, конкретные примеры таких групп включают метильную группу, этильную группу, н-пропильную группу, изо-пропильную группу, н-бутильную группу, трет-бутильную группу и тому подобное. Заместитель включает аминогруппу, (C1-C3)-алкиламиногруппы, ди-(C1-C3)-алкиламиногруппы и тому подобное.
Силильная группа, необязательно содержащая заместитель, обозначенный R2 в общей формуле (I), включает, например, (1,1-диметилэтил)диметилсилильную группу и тому подобное.
R2 в общей формуле (I) включает, в частности, атом водорода, метильную группу, этильную группу, диметиламинометильную группу, 2-[(1-метилэтил)амино]этильную группу, 2-(триметилсилил)этильную группу, (4-метил-1-пиперидинил)метильную группу, [(2,3-дидезокси- -D-эритрогекси-2-енопиранозил)окси]метильную группу и тому подобное. R2 предпочтительно означает атом водорода или этильную группу.
Алкильные группы (C1-C6)-алкильной группы, необязательно содержащей заместитель, обозначенной R3 в общей формуле (I), включают те же самые группы, что и (C1-C6)-алкильная группа, обозначенная выше R2. Заместитель в такой группе включает те же заместители, что и (C1-C6)-алкильная группа, необязательно содержащая заместитель, обозначенная выше R2.
Значения R3 в общей формуле (I) включают, в частности, атом водорода, метильную группу, этильную группу, диметиламинометильную группу, 2-[(1-метилэтил)амино]этильную группу и тому подобное. R3 предпочтительно означает атом водорода или диметиламинометильную группу.
В качестве (C1-C20)-алкоксильной группы, необязательно содержащей заместитель, обозначенной R4 в общей формуле (I), преимущественно могут быть упомянуты (C1-C8)-алкоксильные группы, необязательно содержащие заместитель, и конкретные примеры таких групп включают метоксигруппу, этоксигруппу, пропоксигруппу, изопропоксигруппу, бензилоксигруппу, фенетилоксигруппу и тому подобное.
В качестве (C1-C20)-алкиламиногруппы, необязательно содержащей заместитель, обозначенной R4 в общей формуле (I), преимущественно могут быть упомянуты (C1-C8)-алкиламиногруппы, необязательно содержащие заместитель, и конкретные примеры таких групп включают метиламиногруппу, этиламиногруппу, пропиламиногруппу, изопропиламиногруппу, бензиламиногруппу, ацетиламиногруппу и тому подобное. Допустимы также аминокислотные группы с защищенной карбоксильной группой.
В качестве ди-(C1-C20)-алкиламиногруппы, необязательно содержащей заместитель, обозначенной R4 в общей формуле (I), преимущественно могут быть упомянуты ди-(C1-C8)-алкиламиногруппы, необязательно содержащие заместитель, и конкретные примеры таких групп включают N,N-диметиламиногруппу, N,N-диэтиламиногруппу, N,N-дипропиламиногруппу, N,N-диизопропиламиногруппу, N,N-дибензиламиногруппу, N-метил-N-бензиламиногруппу и тому подобное.
(C1-C20)-алкиламинокарбонил-(C1-C20)-алкиламиногруппой, необязательно содержащей заместитель, обозначенной R4 в общей формуле (I), является N(R5)CONHR6 [R5 и R6 означают (C1-C20)-алкильные группы, которые могут быть одинаковыми или различными], и предпочтительно могут быть упомянуты (C1-C8)-алкиламинокарбонил-(C1-C8)-алкиламиногруппы, необязательно содержащие заместитель, конкретные примеры которых включают метиламинокарбонилметиламиногруппу, этиламинокарбонилэтиламиногруппу, изопропиламинокарбонилизопропиламиногруппу, циклогексиламинокарбонилциклогексиламиногруппу и тому подобное.
(C1-C6)-Ацильная группа, обозначенная P в общей формуле (I), не имеет особых ограничений, и могут быть упомянуты, например, такие группы, как формильная группа, ацетильная группа, пропионильная группа, пивалоильная группа и тому подобное, предпочтительной является ацетильная группа.
(C1-C6)-Алкоксикарбонильная группа, обозначенная P в общей формуле (I), не имеет особых ограничений, и могут быть упомянуты, например, такие группы, как метоксикарбонильная группа, этоксикарбонильная группа, трет-бутоксикарбонильная группа и тому подобное.
d, e и f в общей формуле (I) означают целое число от 3 до 200, предпочтительно 6-60, еще предпочтительней, 6-40. Показатель степени d предпочтительно равен 0-60%, более предпочтительно, 5-50%, еще предпочтительней, 15-40%, показатель степени e предпочтительно равен 0-60%, более предпочтительно, 0-40% и показатель степени f равен 1-100%, предпочтительно, 10-90%, более предпочтительно, 30-70%, в расчете на d+e+f. В соединении общей формулы (I) полиглутаминовая кислота, с которой связаны камптотецины и другие группы, и свободная полиглутаминовая кислота могут быть блок-полимеризационного типа или статистического полимеризационного типа. d+e+f означает суммарное число групп карбоксиловой кислоты в одной молекуле вышеупомянутого полимера и определяется загрузочным количеством исходных материалов и вышеуказанным методом нейтрализующего титрования. Число f групп глутаминовой кислоты, с которыми связаны в полимере камптотецины, может быть установлено, например, по интенсивности ультрафиолетового спектра поглощения. Число d групп глутаминовой кислоты, с которыми связан R4, может быть установлено, когда высокомолекулярное производное камптотецина образует мицеллу путем получения водородного спектра ядерного магнитного резонанса в условиях разложения мицеллы, и расчетом по относительной интенсивности полученных сигналов.
t в общей формуле (I) равно целому числу, порядка 5-11500, предпочтительно, около 8-2300, еще предпочтительней, около 16-1200, в особенности предпочтительно, около 100-300. Вышеуказанное t может быть установлено, например, вычитанием молекулярной массы парциального полимера, содержащего группу карбоновой кислоты в боковой цепи, из расчета на общее число групп карбоновой кислоты, из молекулярной массы полимера, содержащего полиэтиленгликолевую часть и группу карбоновой кислоты в боковой цепи.
Вышеуказанный блок-сополимер полиэтиленгликоля и полиглутаминовой кислоты, связанные с которой камптотецины образуют мицеллу, имеющую оболочку, построенную из полиэтиленгликоля в воде.
Получение высокомолекулярного производного камптотецинов по настоящему изобретению может быть осуществлено, например, путем осуществления взаимодействия блок-сополимера полиэтиленгликоль-полиглутаминовая кислота, полученного, по существу, по методике, описанной в патентном документе 5, и камптотецинов, содержащих фенольную гидроксильную группу, где активная группа защищена в случае, если присутствует активная группа, способная вызывать побочные превращения, в растворителе, в котором растворяются оба исходных указанных реагента, предпочтительно, в органическом растворителе, более предпочтительно, в водорастворимом полярном растворителе, таком как N,N-диметилформамид (ДМФА), 1,3-диметил-2-имидазолидинон (DMI), N-метилпирролидон (NMP) и тому подобное, обычно при температурах от 0 до 180°C, предпочтительно, от 5 до 50°C с использованием конденсирующего агента, такого как дициклогексилкарбодиимид (DCC), диизопропилкарбодиимид (DIPC), 1-этил-3-(3-диметиламинопропил)карбодиимидгидрохлорид (WSC), 1-этоксикарбонил-2-этокси-1,2-дигидроксихинолинон (EEDQ), дитрет-бутилдикарбонат ((BOC)2O) и тому подобное. В вышеуказанной реакции конденсации могут быть использованы способствующие взаимодействию вещества, такие как N,N-диметиламинопиридин (DMAP) и тому подобное. После взаимодействия, по необходимости, осуществляют снятие защиты и выполняют стандартные операции по разделению и тому подобное, получая, таким образом, высокомолекулярное производное камптотецинов по настоящему изобретению.
Однако, способ получения высокомолекулярного производного камптотецинов по настоящему изобретению не ограничивается вышеуказанным способом.
Состав мономеров в высокомолекулярных производных можно регулировать с помощью реакционных условий. Например, заменой конденсирующих агентов, в частности, использованием метода сложноэфирной активации с помощью EEDQ или (BOC)2O и тому подобного конденсирующего средства или по способу получения хлорангидрида кислоты с использованием оксихлорида фосфора и тому подобного, число d для полиглутаминовых кислот, с которыми связана другая группа, отличная от камптотецинов, в соединении общей формулы (I) может быть сведено к 0. Кроме того, высокомолекулярное производное камптотецинов, где R4 означает алкиламинокарбонилалкиламиногруппу, получают также путем взаимодействия с использованием вышеупомянутых карбодиимидов в качестве конденсирующего средства.
В качестве способа введения R4 в соединение общей формулы (I) могут быть упомянуты способ, по которому группу карбоксиловой кислоты сополимера активируют вышеуказанным способом, затем подвергают взаимодействию со спиртом, амином и тому подобным, в эквивалентном количестве, в щелочной среде, способ, по которому спирт и амин предварительно активируют, затем подвергают взаимодействию с полимером, и тому подобные. Далее, после очистки полимера, непрореагировавшие группы карбоксиловой кислоты в полимере могут быть реактивированы по той же реакции, до групп, с которыми могут быть конденсированы камптотецины, содержащие фенольную гидроксильную группу. Альтернативно, когда другие спирты, амины и тому подобное подвергают повторному взаимодействию, может быть синтезирована смесь различных заместителей R4, следовательно, в конечном счете, могут быть конденсированы камптотецины, содержащие фенольную гидроксильную группу.
Высокомолекулярное производное камптотецинов по настоящему изобретению может быть использовано в качестве противоракового средства. Предполагается, что высокомолекулярное производное камптотецинов по настоящему изобретению высвобождает в организме камптотецины, действуя главным образом как пролекарство, и обеспечивает таким образом противораковую активность. Высокомолекулярное производное камптотецинов по настоящему изобретению может быть сформулировано в обычно применяемую лекарственную форму, такую как инъекция, таблетка, порошок и тому подобное, и использовано. При формулировании могут быть использованы обычно применяемые фармацевтически приемлемые носители, например, связующие вещества, смазывающие вещества, дезинтегрирующие средства, растворители, наполнители, солюбилизаторы, диспергирующие средства, стабилизаторы, суспендирующие средства, консерванты, успокаивающие средства, красители, ароматизаторы и тому подобное. В случае инъекции, как правило, используют растворитель. В качестве растворителя могут быть упомянуты, например, вода, физиологический раствор, 5% жидкая глюкоза или маннит, водорастворимые органические растворители, например, глицерин, этанол, диметилсульфоксид, N-метилпирролидон, полиэтиленгликоль, кремофор и тому подобное, смеси указанных растворителей и смеси воды с вышеуказанными водорастворимыми органическими растворителями, и тому подобное.
Естественно, дозировка высокомолекулярного производного камптотецинов по настоящему изобретению может быть изменена в зависимости от пола, возраста, физиологического состояния, патологического состояния пациента и тому подобного, и высокомолекулярное производное камптотецинов по настоящему изобретению вводят, как правило, парентерально при дозе для взрослого 0,01-500 мг/м2 (площадь поверхности тела), предпочтительно 0,1-250 мг/м2 активного компонента в день. Введение путем инъекции осуществляют внутривенно, внутриартериально, местно (участок опухоли) и так далее.
Примеры
Настоящее изобретение более детально иллюстрируется, но не ограничивается, приведенными ниже конкретными примерами.
Пример 1
Синтез соединения 1 (продукт конденсации блок-сополимера метоксиполиэтиленгликоля, имеющего молекулярную массу порядка 12000, и полиглутаминовой кислоты, имеющей степень полимеризации около 28, с 7-этил-10-гидроксикамптотецином: общая формула (I), где R1=Me, A=триметиленовая группа, d+e+f=около 28, t=около 273, R2=Et, R3=H, P=Ac).
Блок-сополимер метоксиполиэтиленгликоль-полиглутаминовая кислота (210 мг), описанный в последующем примере сравнения 1, и 7-этил-10-гидроксикамптотецин (80 мг), полученный по способу, описанному в патентной публикации Японии № 62-47193, растворяют в ДМФА (14 мл), к полученному раствору добавляют DMAP (13,5 мг) и DIPC (0,116 мл) и смесь перемешивают в течение 20 часов при комнатной температуре. К жидкой реакционной смеси добавляют этанол (40 мл) и диизопропиловый эфир (160 мл) и смесь перемешивают в течение 30 минут при комнатной температуре, затем осадок фильтруют и промывают смесью этанол/диизопропиловый эфир (1/4 (об./об.), 150 мл). Образовавшийся осадок растворяют в смеси ацетонитрил/вода (1/3 (об./об.), 40 мл), после чего пропускают через колонку с ионообменной смолой (Dowex 50 (H+), 5 мл) и элюируют смесью ацетонитрил/вода (1/3 (об./об.), 40 мл). Из полученной элюированием фракции ацетонитрил отгоняют при пониженном давлении, затем лиофилизуют, получая соединение 1 (270 мг). С участком полиглутаминовой кислоты в соединении 1 связаны камптотецины и изопропиламинокарбонил-изопропиламиногруппа. Содержание камптотецинов в соединении определяют по поглощению при 330 нм в растворе ДМФА, что дает соотношение 25,4% (мас./мас.). Что касается содержания изопропиламинокарбонилизопропиламиногруппы, водородный спектр ядерного магнитного резонанса для высокомолекулярного производного камптотецинов снимают в смешанном растворе оксид дейтерия-ацетонитрил-d3, содержащем дейтерооксиднатрия, и, исходя из соотношения интенсивности сигналов и вышеуказанного содержания камптотецинов, рассчитывают содержание, которое равно 3,0% (мас./мас.). В результате, показатель степени d установлен равным 15,5% и показатель степени f, равным 48,4%, из расчета на d+e+f. Соединение 1, полученное, как указано выше, анализируют с помощью жидкостной хроматографии высокого разрешения (ЖХВР), установленное содержание свободных камптотецинов равно 0,3% или ниже.
Пример 2
Синтез соединения 2 (продукт конденсации блок-сополимера монометоксиполиэтиленгликоля, имеющего молекулярную массу порядка 12000, и полиглутаминовой кислоты, имеющей степень полимеризации около 7, с 7-этил-10-гидроксикамптотецином: общая формула (I), где R1=Me, A=триметиленовая группа, d+e+f=около 7, t=около 273, R2=Et, R3=H, P=Ac).
Блок-сополимер метоксиполиэтиленгликоль-полиглутаминовая кислота (797 мг), описанный в последующем примере сравнения 2, и 7-этил-10-гидроксикамптотецин (80 мг), полученный по способу, описанному в патентной публикации Японии № 62-47193, растворяют в ДМФА (14 мл), к полученному раствору добавляют DMAP (16,6 мг) и DIPC (0,142 мл) и смесь перемешивают в течение 20 часов при комнатной температуре. К жидкой реакционной смеси добавляют этанол (40 мл) и диизопропиловый эфир (160 мл) и смесь перемешивают в течение 30 минут при комнатной температуре, затем осадок фильтруют и промывают смесью этанол/диизопропиловый эфир (1/4 (об./об.), 150 мл). Образовавшийся осадок растворяют в смеси ацетонитрил/вода (1/3 (об./об.), 40 мл), после чего пропускают через колонку с ионообменной смолой (Dowex 50 (H+), 5 мл) и элюируют смесью ацетонитрил/вода (1/3 (об./об.), 40 мл). Из полученной элюированием фракции ацетонитрил отгоняют при пониженном давлении, затем лиофилизуют, получая соединение 2 (818 мг). Содержание камптотецинов в соединении определяют по поглощению при 330 нм в растворе ДМФА, что дает соотношение 9,6% (мас./мас.). Содержание изопропиламинокарбонил-изопропиламиногруппы определяют по той же методике, что в примере 1, получая значение, равное 1,5% (мас./мас.). В результате, показатель степени d установлен равным 20,3% и показатель степени f, равным 47,2%, из расчета на d+e+f. Соединение 2, полученное, как указано выше, анализируют с помощью ЖХВР, установленное содержание свободных камптотецинов равно 0,2% или ниже.
Пример 3 (высвобождение лекарственного средства в отсутствии гидролитического фермента).
Высокомолекулярное производное камптотецинов по примерам 1 и 2, соответственно, растворяют в PBS (забуференный фосфатом физиологический раствор; pH 7,1) и инкубируют при 37°C. 7-Этил-10-гидроксикамптотецин, высвобождаемый из высокомолекулярных производных, отделяют и определяют методом ЖХВР. Сопоставляя с калибровочной кривой для данной обработки, рассчитывают количество 7-этил-10-гидроксикамптотецина. Это значение приведено на Фиг. 1 в процентах с учетом суммарного количества лекарственного средства, определенного из доли лекарственного средства в высокомолекулярном пролекарстве. Фиг. 1 свидетельствует о том, что лекарственное средство замедленно высвобождается из высокомолекулярного производного камптотецинов по настоящему изобретению независимо от гидролитического фермента.
Пример 4 (высвобождение лекарственного средства в присутствии плазмы мышей).
Высокомолекулярное производное камптотецинов по примерам 1 и 2 соответственно растворяют в 5% водном растворе глюкозы, затем добавляют плазму мышей (самцов) в 4-кратном количестве (об./об.) от 5% водного раствора глюкозы и инкубируют при 37°C. Затем по истечении некоторого времени отбирают 0,1 мл раствора и добавляют смесь метанол/ацетонитрил (1/1 (об./об.), 0,4 мл) для проведения обработки по удалению белка, высвобождающийся из высокомолекулярных производных 7-этил-10-гидроксикамптотецин, отделяют и измеряют методом ЖХВР. Сопоставляя с калибровочной кривой для данной обработки, рассчитывают количество 7-этил-10-гидроксикамптотецина. Это значение приведено на Фиг. 2 в процентах с учетом суммарного количества лекарственного средства, определенного из доли лекарственного средства в высокомолекулярном пролекарстве. Фиг. 2 свидетельствует о том, что лекарственное средство замедленно высвобождается из высокомолекулярного производного камптотецинов по настоящему изобретению также и в плазме.
Пример 5 (противоопухолевое действие).
Образец опухоли толстой кишки 26, карциному толстой кишки мышей для последующего культивирования под кожей у мышей нарезают на блоки примерно в 2 мм2 и трансплантируют под кожу мышей, используя троакар. Спустя 7 дней после трансплантации опухоли высокомолекулярное производное камптотецинов по настоящему изобретению и CPT-11 в качестве контрольного лекарственного средства растворяют соответственно в 5% водном растворе глюкозы и вводят однократно внутривенно. После введения измеряют главную ось (L мм) и малую ось (W мм) опухоли с интервалом 2-3 дня, используя циркуль, рассчитывают объем опухоли по уравнению (L×W2)/2 и определяют относительный объем опухоли по сравнению с объемом на день начала введения (таблица 1). В качестве показателя токсичности измеряют также изменения в массе тела (таблица 2). В результате, высокомолекулярное производное камптотецинов по настоящему изобретению обладает незначительной токсичностью (снижение массы тела) и оказывает усиленное противоопухолевое действие по сравнению с CPT-11. Высокомолекулярное производное камптотецинов с большим содержанием лекарственного средства (соединение 1) дает больший противоопухолевый эффект при меньшем вводимом количестве по сравнению с высокомолекулярным производным камптотецинов с меньшим содержанием лекарственного средства (соединение 2).
| Таблица 1 |
| |
Дни после введения |
| Доза |
0 |
2 |
5 |
7 |
9 |
12 |
14 |
| Непролеченная группа |
1,0 |
2,5 |
8,1 |
12,8 |
14,5 |
15,5 |
14,3 |
| Соединение 1 |
45,0 мг/кг |
1,0 |
0,9 |
0,4 |
0,3 |
0,5 |
0,9 |
2,6 |
| |
22,5 мг/кг |
1,0 |
0,8 |
0,6 |
1,0 |
1,8 |
7,2 |
8,5 |
| Соединение 2 |
180,0 мг/кг |
1,0 |
0,8 |
0,9 |
1,5 |
3,8 |
9,8 |
13,8 |
| |
90,0 мг/кг |
1,0 |
1,0 |
1,4 |
3,5 |
8,8 |
16,5 |
17,7 |
| СРТ-11 |
26,1 мг/кг |
1,0 |
1,8 |
8,4 |
10,3 |
12,8 |
33,2 |
34,1 |
| Таблица 2 |
| |
Дни после введения |
| Доза |
0 |
2 |
5 |
7 |
9 |
12 |
14 |
| Непролеченная группа |
1,0 |
1,01 |
1,02 |
0,97 |
0,89 |
0,80 |
0,81 |
| Соединение 1 |
45,0 мг/кг |
1,0 |
0,94 |
0,91 |
0,97 |
1,01 |
1,03 |
1,04 |
| |
22,5 мг/кг |
1,0 |
0,98 |
1,02 |
1,01 |
1,06 |
1,03 |
0,96 |
| Соединение 2 |
180,0 мг/кг |
1,0 |
0,91 |
0,99 |
0,99 |
1,04 |
0,94 |
0,94 |
| |
90,0 мг/кг |
1,0 |
0,96 |
1,00 |
1,01 |
1,01 |
0,90 |
0,83 |
| СРТ-11 |
26,1 мг/кг |
1,0 |
1,00 |
1,01 |
0,90 |
0,79 |
0,88 |
0,87 |
Пример сравнения 1 (Синтез N-ацетилированного соединения блок-сополимера монометоксиполиэтиленгликоля, имеющего молекулярную массу порядка 12000, и полиглутаминовой кислоты, имеющей степень полимеризации около 28)
Полиэтиленгликоль (SUNBRIGHT MEPA-12T, выпускаемый NOF Corp., средняя молекулярная масса 12000, 1,0 г), содержащий метоксигруппу на одном конце и 3-аминопропиловую группу на другом конце, растворяют в DMSO (20 мл), затем к полученному раствору добавляют -бензил-L-глутамат-N-карбоксиангидрид (0,77 г) и смесь перемешивают в течение 20 часов при 35°C. К жидкой реакционной смеси добавляют этанол (80 мл) и диизопропиловый эфир (320 мл) и смесь перемешивают в течение 90 минут при комнатной температуре, затем осадок фильтруют и промывают смесью этанол/диизопропиловый эфир (1/4 (об./об.), 100 мл). Образовавшийся осадок растворяют в ДМФА (20 мл), к полученному раствору добавляют уксусный ангидрид (0,4 мл) и смесь перемешивают в течение 15 часов при комнатной температуре. К жидкой реакционной смеси добавляют этанол (80 мл) и диизопропиловый эфир (320 мл) и смесь перемешивают в течение 90 минут при комнатной температуре, затем осадок фильтруют и промывают смесью этанол/диизопропиловый эфир (1/4 (об./об.), 100 мл), получая 1,56 г полимера. Полученный полимер растворяют в ДМФА (47 мл), затем добавляют 5% палладий на угле (780 мг) и осуществляют гидрогенолиз при 35°C в течение 3 часов. К жидкой реакционной смеси добавляют метанол (90 мл) и целит (8 г) и смесь перемешивают в течение 2 часов, затем 5% палладий на угле отделяют фильтрованием. Метанол отгоняют при пониженном давлении, после чего добавляют этанол (90 мл) и диизопропиловый эфир (360 мл) и смесь перемешивают в течение 90 минут при комнатной температуре. Осадок фильтруют и промывают смесью этанол/диизопропиловый эфир (1/4 (об./об.), 100 мл), затем растворяют в 10% физиологическом растворе (100 мл). pH жидкого раствора доводят до 10,0 с помощью 1 н. водного раствора гидроксида натрия, после чего жидкость очищают распределительной абсорбционной хроматографией на колонке, содержащей смолу, и впоследствии, хроматографией на колонке с ионообменной смолой и элюированный раствор концентрируют при пониженном давлении, затем лиофилизуют, получая заданное соединение (1,18 г). Степень полимеризации глутаминовой кислоты на одну молекулу этого соединения, отвечающая значению, полученному титрованием с помощью 0,02 н. гидроксида натрия, составляет приблизительно 28.
Пример сравнения 2 (Синтез N-ацетилированного соединения блок-сополимера монометоксиполиэтиленгликоля, имеющего молекулярную массу порядка 12000, и полиглутаминовой кислоты, имеющей степень полимеризации около 7).
Полиэтиленгликоль (SUNBRIGHT MEPA-12T, выпускаемый NOF Corp., средняя молекулярная масса 12000, 2,0 г), содержащий метоксигруппу на одном конце и 3-аминопропиловую группу на другом конце, растворяют в DMSO (40 мл), затем к полученному раствору добавляют -бензил-L-глутамат-N-карбоксиангидрид (0,40 г) и смесь перемешивают в течение 20 часов при 35°C. К жидкой реакционной смеси добавляют этанол (160 мл) и диизопропиловый эфир (640 мл) и смесь перемешивают в течение 90 минут при комнатной температуре, затем осадок фильтруют и промывают смесью этанол/диизопропиловый эфир (1/4 (об./об.), 150 мл). Образовавшийся осадок растворяют в ДМФА (40 мл), к полученному раствору добавляют уксусный ангидрид (0,8 мл) и смесь перемешивают в течение 15 часов при комнатной температуре. К жидкой реакционной смеси добавляют этанол (160 мл) и диизопропиловый эфир (640 мл) и смесь перемешивают в течение 90 минут при комнатной температуре, затем осадок фильтруют и промывают смесью этанол/диизопропиловый эфир (1/4 (об./об.), 150 мл), получая 2,12 г полимера. Полученный полимер растворяют в ДМФА (64 мл), затем добавляют 5% палладий на угле (1,06 г) и осуществляют гидрогенолиз при 35°C в течение 3 часов. К жидкой реакционной смеси добавляют метанол (130 мл) и целит (14 г) и смесь перемешивают в течение 2 часов, затем 5% палладий на угле отделяют фильтрованием. Метанол отгоняют при пониженном давлении, после чего добавляют этанол (130 мл) и диизопропиловый эфир (520 мл) и смесь перемешивают в течение 90 минут при комнатной температуре. Осадок фильтруют и промывают смесью этанол/диизопропиловый эфир (1/4 (об./об.), 160 мл), затем растворяют в 10% физиологическом растворе (160 мл). pH жидкого раствора доводят до 10,0 с помощью 1 н. водного раствора гидроксида натрия, после чего жидкость очищают распределительной абсорбционной хроматографией на колонке, содержащей смолу, и впоследствии, хроматографией на колонке с ионообменной смолой и элюированный раствор концентрируют при пониженном давлении, затем лиофилизуют, получая заданное соединение (1,56 г). Степень полимеризации глутаминовой кислоты на одну молекулу этого соединения, отвечающая значению, полученному титрованием с помощью 0,02 н. гидроксида натрия, составляет приблизительно 7.
Промышленная применимость
Высокомолекулярное производное камптотецинов по настоящему изобретению является высокомолекулярным производным, характеризующимся замедленным высвобождением даже в организме и обладающим превосходным терапевтическим действием по причине связывания камптотецинов посредством сложной фенилэфирной связи, которая легко поддается химическому разложению. Кроме того, предполагается, что высокомолекулярное производное, образующее мицеллу, будет оказывать избирательное лечебное действие на больные участки и проявлять незначительное побочное действие. Далее, поскольку возможно высвобождение физиологически активных веществ независимо от фермента, ожидается, что влияние индивидуальных особенностей пациентов на терапевтический эффект будет незначительным.
Формула изобретения
1. Высокомолекулярное производное камптотецинов, имеющее структуру, где группа карбоновой кислоты, блок сополимера полиэтиленгликоля и полимера, содержащего группу карбоновой кислоты в боковой цепи и являющегося полимером кислой аминокислоты, соединена с фенольной гидроксильной группой фенольных камптотецинов посредством сложноэфирной связи, где фенольные камптотецины имеют формулу

где R2 означает атом водорода, метильную группу, этильную группу, диметиламинометильную группу, 2-[(1-метилэтил)амино]этильную группу, 2-(триметилсилил)этильную группу, (4-метил-1-пиперидинил)метильную группу или [(2,3-дидезокси- -D-эритрогекси-2-енопиранозил)окси]метильную группу,
R3 означает атом водорода, метильную группу, этильную группу, диметиламинометильную группу или 2-[(1-метилэтил)амино]этильную группу.
2. Высокомолекулярное производное камптотецинов по п.1, где полимер кислой аминокислоты означает полиглутаминовую кислоту или полиаспарагиновую кислоту.
3. Высокомолекулярное производное камптотецинов общей формулы (I)

где, R1 означает атом водорода или (С1-С6)-алкильную группу, t означает целое число от 5 до 11500, А означает (С2-С6)-алкиленовую группу, d+e+f равно целому числу от 3 до 200, R2 означает атом водорода, метильную группу, этильную группу, диметиламинометильную группу, 2-[(1-метилэтил)амино]этильную группу, 2-(триметилсилил)этильную группу, (4-метил-1-пиперидинил)метильную группу или [(2,3-дидезокси- -D-эритрогекси-2-енопиранозил)окси]метильную группу, R3 означает атом водорода, метильную группу, этильную группу, диметиламинометильную группу или 2-[(1-метилэтил)амино]этильную группу,
R4 означает метоксигруппу, этоксигруппу, пропоксигруппу, изопропоксигруппу, бензилоксигруппу, фенэтилоксигруппу, метиламиногруппу, этиламиногруппу, пропиламиногруппу, изопропиламиногруппу, бензиламиногруппу, ацетиламиногруппу, N,N-диметиламиногруппу, N,N-диэтиламиногруппу, N,N-дипропиламиногруппу, N,N-диизопропиламиногруппу, N,N-дибензиламиногруппу, N-метил-N-бензиламиногруппу, аминокислотные группы, имеющие защищенную карбоксильную группу или (С1-С8)-алкиламинокарбонил-(С1-С8)-алкиламиногруппу, необязательно содержащую заместитель, и Р означает атом водорода или (С1-С6)-ацильную группу.
4. Высокомолекулярное производное камптотецинов по п.3, где R1 означает (С1-С4)-алкильную группу, t равно целому числу от 100 до 300, А означает (С2-С6)-алкиленовую группу, d+e+f равно целому числу от 6 до 60, показатель степени d равен 0-60%, показатель степени е равен 0-60% и показатель степени f равен 1-100% в расчете на d+e+f, и Р означает (С2-С4)-ацильную группу.
5. Высокомолекулярное производное камптотецинов по п.4, где R1 означает метильную группу, А означает триметиленовую группу, R2 означает атом водорода, R3 означает диметиламинометильную группу, R4 означает изопропиламинокарбонилизопропиламиногруппу и Р означает ацетильную группу.
6. Высокомолекулярное производное камптотецинов по п.4, где R1 означает метильную группу, А означает триметиленовую группу, R2 означает этильную группу, R3 означает атом водорода, R4 означает изопропиламинокарбонилизопропиламиногруппу и Р означает ацетильную группу.
7. Высокомолекулярное производное камптотецинов, полученное взаимодействием блок-сополимера полиэтиленгликольной составляющей и полиглутаминовой кислоты или полиаспарагиновой кислоты с фенольными камптотецинами, имеющими следующую структуру:

где R2 означает атом водорода, метильную группу, этильную группу, диметиламинометильную группу, 2-[(1-метилэтил)амино]этильную группу, 2-(триметилсилил)этильную группу, (4-метил-1-пиперидинил)метильную группу или [(2,3-дидезокси- -D-эритрогекси-2-енопиранозил)окси]метильную группу, R3 означает атом водорода, метильную группу, этильную группу, диметиламинометильную группу или 2-[(1-метилэтил)амино]этильную группу,
в органическом растворителе с использованием конденсирующего агента.
8. Способ получения высокомолекулярного производного камптотецинов по одному из пп.1-7, включающий объединение группы карбоновой кислоты блок сополимера полиэтиленгликоля и полимера, содержащего группу карбоновой кислоты в боковой цепи, и являющегося полимером кислой аминокислоты, с фенольной гидроксильной группой фенольных камптотецинов, имеющих следующую формулу

где R2 означает атом водорода, метильную группу, этильную группу, диметиламинометильную группу, 2-[(1-метилэтил)амино]этильную группу, 2-(триметилсилил)этильную группу, (4-метил-1-пиперидинил)метильную группу или [(2,3-дидезокси- -D-эритрогекси-2-енопиранозил)окси]метильную группу, R3 означает атом водорода, метильную группу, этильную группу, диметиламинометильную группу или 2-[(1-метилэтил)амино]этильную группу,
посредством сложноэфирной связи, с использованием конденсирующего агента.
9. Противораковое средство, включающее высокомолекулярное производное камптотецинов по одному из пп.1-7 и необязательно фармацевтически приемлемый носитель.
РИСУНКИ
|
|