|
|
(21), (22) Заявка: 2005120152/04, 17.11.2003
(24) Дата начала отсчета срока действия патента:
17.11.2003
(30) Конвенционный приоритет:
25.11.2002 (пп.1-29) EP 02026366.1
(43) Дата публикации заявки: 27.05.2006
(46) Опубликовано: 27.01.2008
(56) Список документов, цитированных в отчете о поиске:
SU 1277894 A3, 15.12.1986. ЕР 0780389 А1, 25.06.1997. WO 02/092084 A1, 21.11.2002. WO 96/26207 A1, 29.08.1996. HENKE B.R. et al. Synthesis and Biological Activity of a Novel Series of Indole-Derived PPARgamma Agonists. Bioorganic & Medicinal Chemistry Letters, 1999, vol.9, №23, p.3329-3334.
(85) Дата перевода заявки PCT на национальную фазу:
27.06.2005
(86) Заявка PCT:
EP 2003/012814 (17.11.2003)
(87) Публикация PCT:
WO 2004/048371 (10.06.2004)
Адрес для переписки:
101000, Москва, М.Златоустинский пер., 10, кв.15, “ЕВРОМАРКПАТ”, пат.пов. И.А.Веселицкой, рег. № 11
|
(72) Автор(ы):
БИНДЖЕЛИ Альфред (CH), ГРЕТЕР Уве (DE), ХИЛЬПЕРТ Ханс (CH), ИРТ Жорж (FR), КУН Бернд (CH), МЭРКИ Ханс-Петер (CH), МЕЙЕР Маркус (DE), МОР Петер (CH)
(73) Патентообладатель(и):
Ф.ХОФФМАНН-ЛЯ РОШ АГ (CH)
|
(54) ИНДОЛИЛПРОИЗВОДНЫЕ, СПОСОБ ИХ ПОЛУЧЕНИЯ, ФАРМАЦЕВТИЧЕСКАЯ КОМПОЗИЦИЯ, СПОСОБ ЛЕЧЕНИЯ И/ИЛИ ПРОФИЛАКТИКИ ЗАБОЛЕВАНИЙ
(57) Реферат:
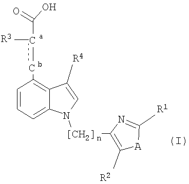
Изобретение относится к новым индолилпроизводным формулы (I), a также их фармацевтически приемлемым солям и сложным эфирам, обладающим агонистической активностью в отношении PPAR – и/или PPAR -рецепторов, к способам их получения, к фармацевтической композиции на их основе, к их применению для получения лекарственных средств и к способу лечения и/или профилактики заболеваний.

R1 означает фенил, необязательно замещенный от одного до трех заместителей, независимо выбранных из галогена, C1-8-алкила, C1-8-алкокси и C1-8-алкила, замещенного от одного до трех атомов галогена, R2 означает водород, C1-8-алкил, R3 означает C1-8-алкокси, R4 означает водород, А означает кислород или серу, n равно 1, 2 или 3. 6 н. и 23 з.п. ф-лы, 1 табл.
Текст описания приведен в факсимильном виде.                                         
Формула изобретения
1. Соединения формулы

где R1 означает фенил, необязательно замещенный от одного до трех заместителей, независимо выбранных из галогена, C1-8-алкила, C1-8-алкокси и C1-8-алкила, замещенного от одного до трех атомов галогена,
R2 означает водород, C1-8-алкил,
R3 означает C1-8-алкокси,
R4 означает водород,
А означает кислород или серу,
n равно 1, 2 или 3,
и их фармацевтически приемлемые соли и сложные эфиры.
2. Соединения по п.1, где R1 означает фенил, диметоксифенил, изопропилфенил, фторфенил, хлорфенил, метилфенил, трифторметилфенил, метилфторфенил или изопропоксифенил.
3. Соединения по п.1, где R2 означает водород, метил или этил.
4. Соединения по п.3, где R2 означает метил.
5. Соединения по п.1, где R3 означает метокси или этокси.
6. Соединения по п.1, где R4 означает водород.
7. Соединения по п.1, где n равно 1 или 3.
8. Соединения по п.1, где А означает кислород.
9. Соединения по п.1, выбранные из ряда
рац-3-{1-[2-(3,5-диметоксифенил)-5-метилоксазол-4-илметил]-1Н-индол-4-ил}-2-этоксипропионовая кислота,
рац-2-этокси-3-{1-[2-(4-изопропилфенил)-5-метилоксазол-4-илметил]-1Н-индол-4-ил}пропионовая кислота,
рац-2-этокси-3-{1-[3-(5-метил-2-фенилоксазол-4-ил)пропил]-1Н-индол-4-ил}пропионовая кислота,
рац-2-этокси-3-{1-[2-(5-метил-2-фенилоксазол-4-ил)этил]-1Н-индол-4-ил}пропионовая кислота,
рац-2-этокси-3-[1-(5-метил-2-фенилоксазол-4-илметил)-1Н-индол-4-ил]пропионовая кислота,
рац-2-этокси-3-{1-[2-(2-фторфенил)-5-метилоксазол-4-илметил]-1Н-индол-4-ил}пропионовая кислота,
рац-3-{1-[2-(2-хлорфенил)-5-метилоксазол-4-илметил]-1Н-индол-4-ил}-2-этоксипропионовая кислота,
рац-2-этокси-3-[1-(5-метил-2-орто-толилоксазол-4-илметил)-1Н-индол-4-ил]пропионовая кислота,
рац-3-{1-[2-(3-хлорфенил)-5-метилоксазол-4-илметил]-1Н-индол-4-ил}-2-этоксипропионовая кислота,
рац-2-этокси-3-{1-[5-метил-2-(4-трифторметилфенил)оксазол-4-илметил]-1Н-индол-4-ил}пропионовая кислота,
рац-2-этокси-3-{1-[2-(4-фтор-3-метилфенил)-5-метилоксазол-4-илметил]-1Н-индол-4-ил}пропионовая кислота,
рац-2-этокси-3-{1-[2-(4-изопропоксифенил)-5-метилоксазол-4-илметил]-1Н-индол-4-ил}пропионовая кислота и
рац-2-этокси-3-{1-[2-(4-изопропилфенил)тиазол-4-илметил]-1Н-индол-4-ил}пропионовая кислота.
10. Соединения по п.9, выбранные из ряда
рац-3-{1-[2-(3,5-диметоксифенил)-5-метилоксазол-4-илметил]-1Н-индол-4-ил}-2-этоксипропионовая кислота,
рац-2-этокси-3-{1-[3-(5-метил-2-фенилоксазол-4-ил)пропил]-1Н-индол-4-ил}пропионовая кислота и
рац-2-этокси-3-{1-[2-(4-фтор-3-метилфенил)-5-метилоксазол-4-илметил]-1Н-индол-4-ил}пропионовая кислота.
11. Способ получения соединения по любому из пп.1-10, включающий реакцию взаимодействия соединения формулы

с соединением формулы

где R1-R4, А и n имеют значения, указанные в п.1, Х означает галоген или СН3SO3, R означает C1-8-алкил, фенил или нафтил, алкил или циклоалкил, в котором один или более атомов водорода заменен на фенильную группу или нафтильную группу.
12. Способ получения соединения по любому из пп.1-10, включающий гидрирование соединения формулы

где R1-R4, А и n имеют значения, указанные в п.1.
13. Соединения по любому из пп.1-10, обладающие агонистической активностью в отношение PPAR и/или PPAR -рецепторов.
14. Соединения по любому из пп.1-10 для получения лекарственных средств, предназначенных для профилактики и/или лечения заболеваний, которые модулируются агонистами PPAR и/или PPAR .
15. Фармацевтическая композиция, обладающая агонистической активностью в отношение PPAR и/или PPAR -рецепторов, включающая соединение по любому из пп.1-12 и терапевтически инертный носитель.
16. Фармацевтическая композиция по п.15, включающая, кроме того, терапевтически эффективное количество ингибитора липазы.
17. Фармацевтическая композиция по п.16, где ингибитор липазы означает орлистат.
18. Применение соединения по любому из пп.1-10 для получения лекарственных средств, предназначенных для лечения и/или профилактики заболеваний, которые модулируются агонистами PPAR и/или PPAR .
19. Соединение по любому из пп.1-10, полученное способами по пп.11, 12.
20. Способ лечения и/или профилактики заболеваний, которые модулируются агонистами PPAR и/или PPAR , включающий введение эффективного количества соединения по любому из пп.1-10.
21. Способ по п.20, кроме того, включающий введение человеку терапевтически эффективного количества ингибитора липазы,
22. Способ по п.21, где ингибитор липазы означает орлистат.
23. Способ по п.21 при одновременном, раздельном или последовательном введении.
24. Применение соединения по любому из пп.1-10 для получения лекарственных средств, предназначенных для лечения и/или профилактики заболеваний, которые модулируются агонистами PPAR и/или PPAR , у пациента, который, кроме того, проходит курс лечения ингибитором липазы.
25. Применение по п.24, где ингибитор липазы означает орлистат.
26. Применение по пп.18 и 24, где заболевание означает диабет, инсулин-независимый сахарный диабет, повышенное кровяное давление, повышенный уровень липидов и холестерина, атеросклеротические заболевания или метаболический синдром.
27. Применение по п.26, где заболевание означает инсулин-независимый сахарный диабет.
28. Способ по пп.20-23, где заболевание означает диабет, инсулин-независимый сахарный диабет, повышенное кровяное давление, повышенный уровень липидов и холестерина, атеросклеротические заболевания или метаболический синдром.
29. Способ по п.28, где заболевание означает инсулин-независимый сахарный диабет.
|
|