|
|
(21), (22) Заявка: 2006114442/15, 30.03.2005
(24) Дата начала отсчета срока действия патента:
30.03.2005
(30) Конвенционный приоритет:
31.03.2004 (пп.1-13) JP 2004-103685
(46) Опубликовано: 27.01.2008
(56) Список документов, цитированных в отчете о поиске:
JP 2003-048837 A, 21.02.2003. RAJASEKARAN S. et al, Hypoglemic effect of Aloe vera Gel on Streptozotocin-Induceed diabetes in experimental rats, Journal of medical food, 7(1), 2004, 61-64, реферат. JP 2003286185 А, 07.01.2003. САНДЕР Ю.К., «Технология и оборудование галеновых производств», МЕДГИЗ, 1956, стр.162.
(85) Дата перевода заявки PCT на национальную фазу:
27.04.2006
(86) Заявка PCT:
JP 2005/006020 (30.03.2005)
(87) Публикация PCT:
WO 2005/094838 (13.10.2005)
Адрес для переписки:
129010, Москва, ул. Б.Спасская, 25, стр.3, ООО “Юридическая фирма Городисский и Партнеры”, пат.пов. Е.Е.Назиной, рег. № 517
|
(72) Автор(ы):
ХИГУТИ Рюуити (JP), ИНАГАКИ Масанори (JP), ХАЯСАВА Хиротоси (JP), ЯМАДА Мунео (JP), ТАНАКА Миюки (JP), МИСАВА Эрико (JP), ВАКИМОТО Норико (JP), ИТОУ Йоусуке (JP)
(73) Патентообладатель(и):
МОРИНАГА МИЛК ИНДАСТРИ КО., ЛТД. (JP)
|
(54) ЛЕКАРСТВЕННОЕ СРЕДСТВО И ПИЩЕВОЙ ПРОДУКТ ИЛИ НАПИТОК ДЛЯ СНИЖЕНИЯ ГИПЕРГЛИКЕМИИ
(57) Реферат:
Настоящее изобретение относится к области лекарственных средств, в частности к лекарственному средству для снижения гипергликемии, которое содержит соединение, выбранное из группы, состоящей из 4-метилхолест-7-ен-3-ола, 4-метилэргост-7-ен-3-ола и 4-метистигмаст-7-ен-3-ола, или экстракт, полученный с органическим растворителем или с горячей водой из растения семейства Liliaceae или его фракции, содержащей указанные соединения. Также настоящее изобретение относится к пищевым продуктам или напиткам, содержащим указанные соединения или экстракт для снижения гипергликемии. 6 н. и 7 з.п. ф-лы, 2 ил., 3 табл.
Область техники
Настоящее изобретение относится к лекарственному средству и пищевому продукту или напитку для снижения гипергликемии, которые содержат соединение, безопасное для приема, не вызывающее острой гипогликемии и способное продолжительно контролировать уровень глюкозы в крови, снижая уровень гемоглобина А1с.
Уровень техники
Гемоглобин А1с представляет собой продукт связывания глюкозы и гемоглобина, уровень содержания которого повышается по глюкозозависимому типу в зависимости от тяжести гипергликемии. Поскольку образовавшийся гемоглобин А1с за время жизни эритроцита (120 дней) не элиминируется, он отражает приобретенное состояние долговременного контроля глюкозы в крови (непатентный документ 1). Гемоглобин А1с был выбран в качестве селективного тестового показателя для базового скрининга состояния здоровья в соответствии с “Законом о здоровье взрослых” (Health Law for the Aged) с 1996 года и принят в качестве вспомогательного индикатора диагноза сахарного диабета в соответствии с новыми диагностическими критериями сахарного диабета, принятым в 1999 году. В этой связи гемоглобин А1с считается индикатором, имеющим большую клиническую значимость (непатентный документ 2).
При устойчивой гипергликемии наблюдаются глюкозозависимая гипосекреция инсулина и резистентность к инсулину, которые дополнительно усугубляют гипергликемию (непатентный документ 3). В связи с тем, что для предотвращения прогрессирования состояния гипергликемии до появления сахарного диабета в течение продолжительного времени необходимо осуществлять контроль уровня глюкозы в крови, считается, что в этом случае необходимо сдерживать повышение уровня гемоглобина А1с. Для контроля уровня глюкозы в крови больным в состоянии предрасположенности к диабету (с подозрением на диабет) рекомендуются лечебное питание и физическая нагрузка. Несмотря на разнообразие рынка официальных функциональных пищевых продуктов для предотвращения возникающего после приема пищи повышения уровня глюкозы в крови (пищевые продукты для специального использования в качестве здорового питания), все они имеют лишь временный эффект сдерживания повышения уровня глюкозы в крови. Таким образом, невозможно достичь ожидаемого долговременного контроля уровня глюкозы в крови, и желательна разработка такого вещества, которое обладало бы действием, снижающим уровень гемоглобина А1с.
Кроме того, в настоящее время в качестве средств для лечения сахарного диабета применяются ингибиторы -глюкозидазы, препараты сульфонилмочевины в качестве веществ, повышающих секрецию инсулина, производные тиазолидина в качестве веществ, повышающих резистентность к инсулину, и т.д. Однако вышеперечисленные препараты не обладают удовлетворительной терапевтической эффективностью, и их введение сопровождается рядом проблем, таких как побочные эффекты, вызывающие кому вследствие быстрого снижения уровня глюкозы в крови.
С учетом вышеприведенных обстоятельств открытие вещества для безопасного приема внутрь, не вызывающего гипогликемию и имеющего способность продолжительно контролировать уровень глюкозы в крови, снижая уровень гемоглобина А1с, является настоятельно желательным.
В ссылках на предшествующий уровень техники, в качестве примеров условно раскрываются вещества, обладающие эффектом сдерживания повышения уровня глюкозы в крови: средство, снижающее гипергликемию, которое содержит компоненты из производного банабы (banaba) (патент 1), средство, снижающее гипергликемию, которое содержит в качестве активного компонента концентрированный экстракт продукта брожения пшеницы или ячменя (патент 2) и т.д.
Дополнительно, в качестве техник использования гликозида тритерпена, например в качестве активного компонента средства для профилактики диабета, содержащего в качестве активного компонента экстракт гликозида, полученный из Gymnema inodorum (патент 3), раскрывается способ улучшения метаболизма и композиция из вышеперечисленного, содержащая в качестве активного компонента коросолиевую кислоту (corosolic acid), полученную из банабы (патент 4), ингибитор липазы (патент 5) и производное тритерпена, имеющее иммуносупрессорную активность (патент 6).
Дополнительно раскрывается, что активность усиливающего действие инсулина соединения, имеющего ланостановый скелет или 3,4-секоланостановый скелет (патент 7), увеличивает действие инсулина на регуляцию дифференциации адипоцитов, хотя их влияние на заболевания поджелудочной железы неизвестно.
Кроме того, в качестве гипогликемических средств раскрываются соединения, выбранные из группы, состоящей из 24-алкилхолестен-3-онов и 24-алкилхолестан-3-онов, не имеющих двойных связей в основном скелете стероида (патент 8).
В то же время известно, что лофенол (один из стереоизомеров 4-метилхолест-7-ен-3-ола) является промежуточным звеном пути биосинтеза, начинающегося с растительного сквалана (непатентный документ 4). Однако в предшествующем уровне техники в отношении этого соединения существует только одна ссылка, касающаяся системы биосинтеза лофенола (непатентный документ 5), и использование этого соединения специалистам в данной области техники не известно.
Род Aloe семейства Liliaceae представляет группу растений, включающих в себя Aloe vera (Aloe barbadensis Miller) и Aloe arborescens (Aloe arborescens Miller var. natalensis Berger) и т.д, и эмпирически известно, что они имеют различную эффективность. Предшествующие уровни техники, относящиеся к применению растений рода Aloe, включают в себя иммуномодулирующие полисахариды (патент 9), средства, повышающие иммуносупрессию, содержащие бутаноловую фракцию экстракта алоэ или алоин (патент 10), вещества, подавляющие синтез белка семейства HSP60, содержащие производные алоина (патенты от 11 до 13), белок, имеющий активность лектина, получаемый из кожицы листьев алоэ (патент 14) и т.д.
Согласно предшествующему уровню техники, относящемуся к применению растений рода Aloe для снижения уровня глюкозы в крови, раскрываются клинические исследования в США (непатентный документ 6) и исследования гипогликемического действия на животных (непатентные документы 7 и 8), и полисахариды растений рода Aloe (патент 15). В предшествующем уровне техники предполагалось, что гипогликемическими компонентами растений рода Aloe являются полисахариды или гликопротеиды. Дополнительно раскрывается, что у выжатого экстракта Aloe vera и у гипогликемического вещества, содержащего в качестве активного компонента экстракт (патент 16), однозначный для сложноэфирной группы характерный пик, наблюдающийся на диаграмме FT-IR, коррелирует с активностью активного компонента, являющегося полисахаридом, аминокислотой, яблочной кислотой или тому подобным, и что вышеупомянутый активный компонент измельчается в коммерчески доступные гелевые порошки Aloe vera, гелевые растворы Aloe vera и гелевые экстракты Aloe vera. Кроме того, в дополнение к вышеописанному раскрывается гипогликемическое действие полисахаридов алоэ (патент 17) и антиоксидантное действие 7-гидроксихромона, содержащихся в алоэ (патент 18).
[Патент 1] (Выложенный патент Японии) Japanese Patent Laid-open (Kokai) № 2003-095941.
[Патент 2] (Выложенный патент Японии) Japanese Patent Laid-open № 2002-371003.
[Патент 3] (Выложенный патент Японии) Japanese Patent Laid-open № 05-247086.
[Патент 4] (Выложенный патент Японии) Japanese Patent Laid-open № 2002-205949.
[Патент 5] (Выложенный патент Японии) Japanese Patent Laid-open № 09-040689.
[Патент 6] (Международная патентная публикация Японии, не прошедшая экспертизу) International Patent Unexamined Publication in Japanese (Kohyo) № 11-511482.
[Патент 7] (Выложенный патент Японии) Japanese Patent Laid-open № 10-330266.
[Патент 8] (Выложенный патент Японии) Japanese Patent Laid-open № 2003-048837.
[Патент 9] (Международная патентная заявка Японии, не прошедшая экспертизу) International Patent Application Unexamined Publication in Japanese № 2001-520019.
[Патент 10] (Выложенный патент Японии) Japanese Patent Laid-open № 08-208495.
[Патент 11] (Выложенный патент Японии) Japanese Patent Laid-open № 10-120576.
[Патент 12] (Выложенный патент Японии) Japanese Patent Laid-open № 10-045604.
[Патент 13] (Выложенный патент Японии) № 10-036271.
[Патент 14] (Выложенный патент Японии) № 09-059298.
[Патент 15] (Выложенный патент Японии) № 60-214741.
[Патент 16] (Выложенный патент Японии) № 2003-286185.
[Патент 17] (Патент США) U.S. Patent № 4598069.
[Патент 18] (Опубликованная патентная заявка США) U.S. Patent Application Publication № 2003/0207818.
[Непатентный документ 1] Nippon Rinsho, № 748, Vol.1, pp.615-617, 1999.
[Непатентный документ 2] Nippon Rinsho, № 808, Vol.2, pp.405-409, 2002.
[Непатентный документ 3] Yazaki Y. & Muramatsu M. Ed., “Front Line of Diabetes Mellitus,” pp.126-139, Yodosha, 1997.
[Непатентный документ 4] Yamada A., “Experimental Methods of Biochemistry”, Vol.24, Experimental Methods for Fat and Lipid Metabolism, p.174, Gakkai Shuppan Center, 1989.
[Непатентный документ 5] Chem. Pharm. Bull., pp.624-626, 1993.
[Непатентный документ 6] Phytomedicine, Vol.3, pp.245-248, 1996.
[Непатентный документ 7] Phytotherapy Research, Vol.15, pp.157-161, 2001.
[Непатентный документ 8] Phytotherapy Research, Vol.7, pp.37-42, 1993.
Раскрытие изобретения
Объект настоящего изобретения относится к лекарственному средству и пищевому продукту или напитку для снижения гипергликемии, которые содержат соединение, безопасное для приема внутрь, не вызывающее острой гипогликемии и способное продолжительно контролировать уровень глюкозы в крови, снижая уровень гемоглобина А1с.
Для достижения указанной цели авторы настоящего изобретения старательно изучили предмет. В результате было выявлено, что соединение, имеющее сходную с лофенолом структуру, безопасное для приема внутрь, не вызывающее острой гипогликемии и способное продолжительно контролировать уровень глюкозы в крови, снижая уровень гемоглобина А1с, содержится в широком диапазоне растений. Настоящее изобретение выполнено на основе нижеописанных полученных данных.
Таким образом, настоящее изобретение относится к лекарственному средству и пищевому продукту или напитку для снижения гипергликемии, содержащему соединение, представленное нижеследующей общей формулой (1) в качестве активного компонента:

В этой формуле R1 обозначает прямую или разветвленную алкильную группу, имеющую от 6 до 16 атомов углерода, которая может не иметь двойные связей или иметь 1 или 2 двойных связи, и может содержать гидроксильную группу и/или карбонильную группу, каждый из R2 и R3 независимо представляют собой атом водорода, алкильную группу, имеющую от 1 до 3 атомов углерода, или замещенную алкильную группу, имеющую от 1 до 3 атомов углерода, и R4 образует связь C=O с атомом углерода, составляющим кольцо, или представляет собой -OH или -OCOCH3.
По предпочтительному варианту осуществления один из R2 и R3 представляет собой атом водорода, другой представляет собой метильную группу, и R4 представляет собой гидроксильную группу.
Дополнительно, в соответствии с предпочтительным вариантом осуществления, в вышеприведенных лекарственном средстве и пищевом продукте или напитке R1 представлен любой из следующих формул:
-СН2-СН2-СН(-СН2-СН3)-СН(СН3)2
-СН2-СН2-СН=С(СН3)2
-СН2-СН=С(СН3)-СН(СН3)2
-СН2-СН2-С(=СН-СН3)-СН(СН3)2
-CH2-CH2-CH(Ra)=C(CH3)Rb
(в которой Ra и Rb представляют собой любой из -H, -ОН или -CH3)
-CH2-CH2-CH(Rc)-CH(CH3)Rd
(в которой Rc и Rd представляют собой любой из -H, -ОН или -CH3)
Кроме того, по предпочтительному варианту осуществления, вышеприведенное соединение, содержащееся в вышеприведенных лекарственном средстве и пищевом продукте или напитке, выбирают из группы, состоящей из 4-метилхолест-7-ен-3-ола, 4-метилэргост-7-ен-3-ола и 4-метистигмаст-7-ен-3-ола.
Дополнительно, по предпочтительному варианту осуществления, вышеприведенное лекарственное средство содержит от 0,001 до 10% сухой массы вышеприведенного соединения.
Дополнительно, согласно предпочтительному варианту осуществления, вышеприведенные пищевой продукт или напиток содержат от 0,0001 до 1% сухой массы вышеприведенного соединения.
Настоящее изобретение дополнительно относится к лекарственному средству для снижения гипергликемии, которое содержит композицию, состоящую из растительного экстракта, полученного с органическим растворителем или горячей водной вытяжкой, или их фракции, содержащей соединение, представленное вышеприведенной общей формулой (1) и содержащей в качестве активного компонента от 0,001 до 10% сухой массы вышеприведенного соединения или пищевой продукт, или напиток для снижения гипергликемии, которые содержат композицию, содержащую в качестве активного компонента от 0,0001 до 1% сухой массы вышеприведенного соединения.
Используемое в вышеприведенных лекарственном средстве и пищевом продукте или напитке вышеприведенное растение предпочтительно представлено растением семейства Liliaceae, и по наиболее предпочтительному варианту осуществления, вышеприведенное растение семейства Liliaceae представлено растением, относящимся к роду Aloe.
Настоящее изобретение относится к вышеприведенным пищевому продукту или напитку, имеющим эффект снижения гипергликемии, к которым приложено указание об их использовании для снижения гипергликемии.
В последующем тексте вышеприведенные лекарственное средство и пищевой продукт или напиток в целом также упоминаются как “лекарственное средство или пищевой продукт, или напиток согласно изобретению”.
Настоящее изобретение дополнительно относится к применению соединения, представленного вышеприведенной общей формулой (1), или композиции, содержащей это соединение, для получения лекарственного средства для снижения гипергликемии. По предпочтительному варианту применения согласно изобретению, содержание сухой массы вышеприведенного соединения составляет от 0,001 до 10% или больше.
Настоящее изобретение дополнительно относится к способу снижения гипергликемии, включающему введение пациенту, нуждающемуся в снижении гипергликемии, соединения, представленного вышеприведенной химической формулой (1), или композиции, содержащей это соединение. Согласно предпочтительному варианту осуществления способа настоящего изобретения, содержание вышеприведенного соединения в вышеприведенной композиции составляет от 0,001 до 10% сухой массы или больше.
Краткое описание чертежей
Фиг.1 представляет собой график, показывающий изменение во времени рандомизированных уровней глюкозы в крови у мышей, которым вводились соединения по изобретению.
Фиг.2 представляет собой график, показывающий изменение во времени уровней глюкозы в крови натощак у мышей, которым вводились соединения по изобретению.
Лучший вариант осуществления настоящего изобретения
Ниже подробно объясняются предпочтительные варианты осуществления настоящего изобретения. Однако нижеследующие предпочтительные варианты осуществления не ограничивают настоящее изобретение, и предпочтительные варианты осуществления в объеме настоящего изобретения могут свободно модифицироваться.
Согласно варианту осуществления лекарственное средство или пищевой продукт или напиток по изобретению содержат в качестве активного компонента соединение, представленное вышеприведенной общей формулой (1), обладающее эффектом снижения гипергликемии и действием, снижающим уровень гемоглобина А1с (на которые в дальнейшем также указывается как на “соединение по изобретению”). Согласно другому варианту осуществления лекарственное средство или пищевой продукт, или напиток по изобретению содержат композицию, состоящую из экстракта, полученного с органическим растворителем или горячей водной вытяжкой из растений или их фракции, содержащего в качестве активного компонента соединения по изобретению.
В вышеприведенной общей формуле (1) R1 предпочтительно представляет собой прямую или разветвленную алкильную группу, имеющую от 6 до 16 атомов углерода, которые могут не иметь двойных связей или иметь 1 или 2 двойные связи, каждый из R2 и R3 независимо представляют собой атом водорода, алкильную группу, имеющую от 1 до 3 атомов углерода, или замещенную алкильную группу, имеющую от 1 до 3 атомов углерода, и R4 образует с атомом углерода связь C=O, составляющую кольцо, или представляет собой -OH или -OCOCH3. Предпочтительной является вышеприведенная алкильная группа, имеющая от 1 до 3 атомов углерода, метильная группа, этильная группа и т.д., и наиболее предпочтительной является метильная группа.
Вышеприведенный R1 предпочтительно представляет собой любую из групп, представленных следующими формулами:
| (i) |
-CH2-CH2-CH(-CH2-CH3)-CH(CH3)2 |
| (ii) |
-CH2-CH2-CH=C(CH3)2 |
| (iii) |
-CH2-CH=C(CH3)-CH(CH3)2 |
| (iv) |
-CH2-CH2-C(=CH-CH3)-CH(CH3)2 |
| (v) |
-CH2-CH2-CH(Ra)=C(CH3)Rb (в которой Ra и Rb представляют собой любой из -H, -ОН или -CH3) |
| (vi) |
-CH2-CH2-CH(Rc)-CH(CH3)Rd (в которой Rc и Rd представляют собой любой из -H, -ОН или -CH3) |
Дополнительно, один из R2 или R3 предпочтительно является атомом водорода, и другой представляет собой метильную группу. Дополнительно, R4 предпочтительно является гидроксильной группой.
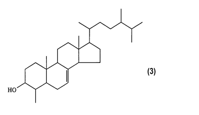
Наиболее предпочтительные соединения, такие как вышеприведенное соединение, представлены следующими формулами: 4-метилхолест-7-ен-3-ол (формула (2)), 4-метилэргост-7-ен-3-ол (формула (3)) и 4-метистигмаст-7-ен-3-ол (формула (4)).
  
То есть 4-метилхолест-7-ен-3-ол представляет собой соединение, представленное вышеприведенной общей формулой (1), в котором один из R2 и R3 представлен атомом водорода, и другой представлен метильной группой, R4 представляет собой гидроксильную группу, и R1 представляет собой группу, показанную на вышеприведенной формуле (vi) (Rc представляет собой -Н, и Rd представляют собой -CH3). Дополнительно, 4-метилэргост-7-ен-3-ол представляет собой соединение, представленное вышеприведенной общей формулой (1), в котором один из R2 и R3 представлен атомом водорода, и другой представлен метильной группой, R4 представляет собой гидроксильную группу, и R1 представляет собой группу, показанную на вышеприведенной формуле (vi) (Rc и Rd, оба представляют собой -CH3). Дополнительно, 4-метистигмаст-7-ен-3-ол представляет собой соединение, представленное вышеприведенной общей формулой (1), в которой один из R2 и R3 представлен атомом водорода, и другой представлен метильной группой, R4 представляет собой гидроксильную группу, и R1 представляет собой группу, показанную на вышеприведенной формуле (i).
Лекарственное средство или пищевой продукт или напиток по изобретению могут содержать один тип или два или более произвольных типов вышеприведенных соединений.
Известно, что лофенол содержится в растениях, и можно осуществлять производство соединения по изобретению согласно известному способу производства лофенола (Yamada A., “Experimental Methods of Biochemistry”, Vol.24, Experimental Methods for Fat and Lipid Metabolism, p.174, Gakkai Shuppan Center, 1989). Соединение по изобретению может быть получено, например, путем экстракции соединения из растения, содержащего это соединение, используя способ, такой как экстракция с органическим растворителем или экстракция горячей водой и очищением полученного экстракта. В настоящем изобретении может также использоваться композиция, такая как растительный экстракт или его фракция, если она содержит эффективное количество соединения, несмотря на возможность очистки соединения по изобретению.
Примеры вышеприведенного растения включают в себя растение, принадлежащее семейству Liliaceae. Примеры растения, принадлежащего семейству Liliaceae, включают в себя растения, принадлежащие роду Aloe или Allium. Примеры растений рода Aloe включают в себя Aloe vera (Aloe barbadensis Miller), Aloe ferox Miller, Aloe africana Miller, Aloe arborescen Miller var. natalensis Berger, Aloe spicata Baker и т.д. Несмотря на то, что для получения соединения по изобретению или композиции, содержащей это соединение, может использоваться вышеприведенное растение целиком, предпочтительно использовать его мезофилл (навеску прозрачного геля). Такое растение или его часть предпочтительно измельчают с использованием гомогенизатора или сходным способом, и таким образом превращают в жидкость, и, используя органический растворитель или горячую воду, получают экстракт из измельченного продукта. Примеры органических растворителей включают в себя спирты, такие как метанол, этанол и бутанол; сложные эфиры, такие как метилацетат, этилацетат, пропилацетат и бутилацетат; кетоны, такие как ацетон и метилизобутилкетон; эфиры, такие как диэтиловый эфир и петролейный эфир; углеводороды, такие как гексан, циклогексан, толуен и бензол; галогенизированные углеводороды, такие как четыреххлористый углерод, дихлорметан и хлороформ; гетероциклические соединения, такие как пиридин; гликоли, такие как этиленгликоль; многоатомные спирты, такие как полиэтиленгликоль; нитрильные растворители, такие как ацетонитрил, смеси этих растворителей и т.д. Дополнительно, эти растворители могут быть безводными или водными. Наиболее предпочтительными из этих растворителей являются смесь этилацетат/бутанол (3:1) и смесь хлороформ/метанол (2:1).
В качестве способа экстракции может использоваться способ, используемый для обычной экстракции растительных компонентов. Например, обычно используемый способ дефлегмации от 1 до 300 частей массы органического растворителя с 1 частью массы свежесобранного растения или высушенного растения с нагреванием до температуры ниже точки кипения растворителя при перемешивании или встряхивании, или способ осуществления экстракции с обработкой ультразвуком при комнатной температуре. Можно получать суммарный экстракт, выделяя нерастворимые вещества из экстрагированной жидкости, используя подходящий способ, такой как фильтрация или центрифугирование.
Суммарный экстракт можно очищать различными типами хроматографии, такими как нормально-фазовая или обращенно-фазовая силикагелевая хроматография на колонке. Когда в нормально-фазовой силикагелевой хроматографии на колонке в качестве растворителя для элюирования используется градиент смеси хлороформ/метанол, соединения по изобретению элюируют с соотношением смешивания хлороформ/метанол, составляющим около 25:1. Дополнительно, при использовании в качестве растворителя для элюирования в обращенно-фазовой силикагелевой хроматографии на колонке смеси гексана/этилацета (4:1) соединение по изобретению фракционно элюируют на раннем этапе.
Полученная фракция может быть далее очищена ВЭЖХ (высокоэффективной жидкостной хроматографией) или сходным способом.
Дополнительно, соединение, используемое в настоящем изобретении, можно также получить способом химического синтеза или биологическим или ферментативным способом с использованием микроорганизмов, ферментов или сходным способом.
Соединение или композицию, содержащую это соединение, получают или описанным выше способом, или можно подтвердить содержание соединения по изобретению, например, масс-спектрометрией (МС), спектроскопией ядерного магнитного резонанса (ЯМР) или подобными способами.
Соединение по изобретению обладает действием, снижающим уровень гемоглобина А1с, результатом которого может быть контроль уровня глюкозы в крови в течение продолжительного периода времени. Поэтому оно может использоваться в качестве активного компонента вещества, снижающего гипергликемию.
Дополнительно, в силу того, что кожица листьев Aloe vera содержит барбалоин (barbaloin) и алоэ-эмодин (aloe-emodin), которые обладают слабительным действием, общепринято считать нежелательным ее использование в качестве лекарственного средства или пищевого продукта, или напитка, для которых слабительное действие не является ожидаемым. Поэтому композиция, содержащая соединения по изобретению, предпочтительно не содержит этих компонентов. Дополнительно, мезофилл Aloe vera и продукт его измельчения могут также использоваться в качестве активного компонента вещества, снижающего гипергликемию.
Аналогично, соединение по изобретению может использоваться в качестве активного компонента лекарственного средства или пищевого продукта, или напитка по изобретению. Дополнительно, растительный экстракт, полученный с органическим растворителем или горячей водной вытяжкой, или его фракции, содержащие соединение по изобретению (в дальнейшем приводимый как “экстракт и т.д.”), также могут использоваться в качестве активного компонента лекарственного средства или пищевого продукта или напитка. В этом случае, вышеприведенный экстракт и т.д. для включения его в лекарственное средство, предпочтительно содержит от 0,001 до 10% сухой массы, более предпочтительно от 0,01 до 1% сухой массы, наиболее предпочтительно от 0,05 до 1% сухой массы соединения по изобретению. Дополнительно, вышеприведенный экстракт и т.д. для включения его в пищевой продукт или напиток предпочтительно содержит от 0,0001 до 1% сухой массы, более предпочтительно от 0,001 до 1% сухой массы, наиболее предпочтительно от 0,005 до 1% сухой массы соединения по изобретению. Вышеприведенный экстракт и т.д. может содержать 2 или более типов соединения по изобретению. Дополнительно, вышеупомянутый экстракт и т.д. может являться раствором, или может также быть лиофилизирован или высушен распылением общепринятым образом, и сохраняться или использоваться в виде порошка.
Как лекарственное средство по изобретению, соединение по изобретению или композиция, содержащая это соединение, или соединение по изобретению или композиция, содержащая это соединение, соединенные с фармацевтически приемлемым носителем, может применяться у млекопитающих, включая человека, перорально или парентерально. В лекарственном средстве по изобретению соединение по изобретению может быть фармацевтически приемлемой солью. Примеры фармацевтически приемлемых солей включают в себя как соли металлов (неорганические соли), так и органические соли, включающие в себя, например, соли, перечисленные в “Remington’s Pharmaceutical Sciences,” 17th edition, p.1418, 1985. Конкретные примеры этих солей включают в себя соли неорганических кислот, такие как гидрохлорид, сульфат, фосфат, дифосфат, гидробромат и сульфат, и соли органических кислот, такие как малат, малеат, фумарат, тартрат, сукцинат, цитрат, ацетат, лактат, метансульфонат, п-толуолсульфонат, памоат, салицилат и стеарат, но не ограничены вышеперечисленным. Кроме того, соль может являться солью металла, такой как натриевой, калиевой, кальциевой, магниевой и алюминиевой, или солью аминокислоты, такой как лизин. Кроме того, сольваты, такие как гидраты вышеприведенного соединения или их фармацевтически приемлемые соли, также попадают в объем настоящего изобретения.
Форма лекарственного средства по изобретению конкретно не ограничивается и может соответственно выбираться в зависимости от терапевтических целей. Конкретные примеры этих форм включают в себя таблетки, драже, порошок, раствор, суспензию, эмульсию, гранулы, капсулы, сироп, свечи, инъекционные формы, мазь, аппликатор, глазные капли, назальные капли и т.д. В препаратах могут использоваться добавки, как правило, используемые в качестве фармацевтических носителей в обычных лекарственных средствах для снижения гипергликемии, такие как наполнители, связующие вещества, разлагающие вещества, смазывающие вещества, стабилизаторы, ароматизаторы, разбавители, сурфактанты и растворители для инъекций. Кроме того, соединение по изобретению или композиция, содержащая это соединение, может использоваться в комбинации с другими лекарственными средствами, обладающими эффектом снижения гипергликемии до выявления снижения эффекта настоящего изобретения.
Хотя количество содержащегося в лекарственном средстве по изобретению соединения по изобретению или композиции, содержащей это соединение, конкретно не ограничено и может соответственно выбираться, его количество в фармацевтическом препарате может составлять, например, от 0,001 до 10% массы, предпочтительно от 0,01 до 1% массы, наиболее предпочтительно от 0,05 до 1% массы, в плане количества соединения по изобретению.
Лекарственное средство по изобретению является пригодным для терапевтического или профилактического воздействия на заболевания, развивающиеся при гипергликемических состояниях, такие как диабет и связанные с ним симптомы и состояния (вероятность развития диабета или связанных с ним состояний). В частности, оно может применяться также для предотвращения появления сахарного диабета при гипергликемических состояниях. Кроме того, лекарственное средство по изобретению может лечить или предотвращать различные заболевания, осложнения и т.д., являющиеся следствием гипергликемических состояний, и уменьшать риски, осложнения этих болезней и т.д.
Примеры таких различных заболеваний и осложнений, являющихся следствием гипергликемических состояний, включают в себя диабетическую ретинопатию, диабетическую нефропатию, диабетическую невропатию, диабетическую гангрену, апоплексию мозга, являющиеся следствием сахарного диабета, инфаркт миокарда, являющийся следствием сахарного диабета, и т.д.
Термин “гипергликемические состояния” относится к состояниям, при которых уровни глюкозы в крови находятся вне нормальных диапазонов, при том, что, как правило, нормальные диапазоны определяются как уровень глюкозы в крови натощак, составляющий 110 мг/дл или ниже, уровень глюкозы в крови 160 мг/дл или ниже через 1 час после нагрузки глюкозой 75 г, и уровень глюкозы в крови 120 мг/дл или ниже через 2 часа после такой же нагрузки глюкозой (Nihon Rinsho, № 806, Vol.1, pp.28-35, 2002). Кроме того, лекарственное средство по изобретению предпочтительно применяется для лечения пациентов с уровнем гемоглобина А1с выше нормального, например с уровнем гемоглобина А1с, составляющим 5,8% или выше.
Время введения лекарственного средства по изобретению в частности не ограничено и может соответственно выбираться в зависимости от способа лечения объективного заболевания. Кроме того, путь введения предпочтительно определяется в зависимости от лекарственной формы, возраста, пола, тяжести симптомов у пациентов и т.д.
Дозу активного компонента в лекарственном средстве настоящего изобретения соответственно выбирают в зависимости от режима дозирования, возраста, пола, тяжести заболевания, других условий, связанных с пациентом, и т.д. Количество соединения настоящего изобретения, являющегося активным компонентом, обычно выбирают из диапазона, предпочтительно составляющего от 0,001 до 50 мг/кг/день, более предпочтительно составляющего от 0,01 до 1 мг/кг/день, в качестве предполагаемой дозы. Кроме того, при использовании композиции, содержащей соединение настоящего изобретения, сухой вес соединения выбирают из диапазона, предпочтительно составляющего от 0,1 до 1000 мг/кг/день, более предпочтительно составляющего от 1 до 100 мг/кг/день, в качестве предполагаемого количества. В любом случае доза может приниматься внутрь один или несколько раз в день в виде раздельных порций.
Соединение настоящего изобретения или экстракт и т.д., содержащий это соединение, можно добавлять к пищевому продукту или напитку. В частности, до выявления снижения эффекта активного компонента форма и свойства пищевого продукта или напитка не ограничены, и пищевой продукт или напиток может приниматься внутрь перорально, и он может производиться общепринятым образом с использованием сырья, обычно применяемого для пищевого продукта или напитка, за исключением добавления вышеприведенного активного компонента.
В частности, не ограничивается и, соответственно, может выбираться количество соединения настоящего изобретения или экстракта и т.д., содержащего это соединение, которое содержится в пищевом продукте или напитке настоящего изобретения. Например, содержание соединения настоящего изобретения или экстракта и т.д., содержащего это соединение, составляет в пищевом продукте или напитке в количестве от 0,0001 до 1% массы, предпочтительно от 0,001 до 1% массы, наиболее предпочтительно от 0,005 до 1% массы, в плане количества соединения настоящего изобретения.
Для пищевого продукта или напитка настоящего изобретения существуют различные варианты применения, использующие эффект снижения гипергликемии. Например, он может использоваться для применения в качестве пищевого продукта или напитка, подходящего для людей, обеспокоенных своим уровнем глюкозы в крови, в качестве пищевого продукта или напитка, полезного для уменьшения или устранения факторов риска болезней, связанных с образом жизни, таких как сахарный диабет, и т.д.
В отношении пищевого продукта или напитка настоящего изобретения, словосочетание “снижение гипергликемии” означает, что улучшение или профилактика различных видов ущерба здоровью, являющихся следствие гипергликемии, и термины “профилактика гипергликемии”, “сдерживание увеличения уровня глюкозы в крови”, “снижение увеличивающегося уровня глюкозы в крови”, “профилактика увеличения уровня глюкозы в крови”, “снижение высокого уровня гемоглобина А1с” и т.д., представленные в виде примеров в настоящем изобретении, имеют значение, сходное со значением вышеприведенного термина «снижение гипергликемии».
Кроме того, пищевой продукт или напиток настоящего изобретения является пригодным для профилактики заболеваний, являющихся следствие гипергликемических состояний, таких как диабет и связанных с ним симптомов и состояний (вероятность развития диабета или связанных с ним состояний).
В частности, он также может применяться для предотвращения возникновения диабета при гипергликемических состояниях. Кроме того, пищевой продукт или напиток настоящего изобретения можно использовать для профилактики различных заболеваний, осложнений и т.д., являющихся следствием гипергликемических состояний, и можно уменьшить риск возникновения этих заболеваний, осложнений и т.д.
Примеры таких различных заболеваний и осложнений, являющихся следствием гипергликемических состояний, включают в себя диабетическую ретинопатию, диабетическую нефропатию, диабетическую невропатию, диабетическую гангрену, апоплексию мозга, являющихся следствием сахарного диабета, инфаркт миокарда, являющийся следствием сахарного диабета, и т.д.
Пищевой продукт или напиток настоящего изобретения предпочтительно позиционируется на рынке как пищевой продукт или напиток, к которому приложено указание, что этот пищевой продукт или напиток применяется для снижения гипергликемии, например “пищевой продукт или напиток, содержащий соединение, обладающее эффектом снижения гипергликемии, обозначают указанием “Для снижения гипергликемии”, “пищевой продукт или напиток, содержащий растительный экстракт, обозначают указанием “Для снижения гипергликемии”, “пищевой продукт или напиток, содержащий экстракт Aloe vera, обозначают указанием “Для снижения гипергликемии” и т.д.
Поскольку соединение настоящего изобретения и экстракт и т.д. содержащий это соединение, обладают эффектом снижения гипергликемии, считается, что указание “снижение гипергликемии” также означает “сдерживание увеличения уровня глюкозы в крови”. Поэтому пищевой продукт или напиток настоящего изобретения можно обозначить указанием, что они служат “Для сдерживания увеличения уровня глюкозы в крови”. То есть вышеприведенное указание “Для снижения гипергликемии” может означать указание “Для сдерживания увеличения уровня глюкозы в крови”.
Формулировка, используемая для вышеприведенного указания, не обязательно ограничивается словосочетанием “Для снижения гипергликемии” или “Для сдерживания увеличения уровня глюкозы в крови”, и любая другая формулировка, отображающая эффект снижения гипергликемии или сдерживания увеличения уровня глюкозы в крови, безусловно попадает в объем настоящего изобретения. Аналогично этой формулировке также возможно, например, указание, основанное на различных вариантах применения, позволяющих потребителям признать эффект снижения гипергликемии или сдерживания увеличения уровня глюкозы в крови. Примеры включают в себя, например, такие указания: “Подходит для людей, обеспокоенных своим уровнем глюкозы в крови”, “Полезный для уменьшения или устранения факторов риска болезней, связанных с образом жизни, таких как сахарный диабет”, и т.д.
Вышеприведенный термин “указание” включает в себя все действия для информирования потребителей о вышеприведенном применении, и любые указания, похожие или аналогичные вышеприведенным указаниям, попадают в объем “указания”, относящиеся к настоящему изобретению, независимо от цели, содержания, объективных пунктов, окружающей среды и т.д. этого указания. Однако указание предпочтительно указывается со словосочетаниями, позволяющими потребителям непосредственно узнать о вышеприведенном применении. Конкретные примеры включают в себя действия по обозначению вышеприведенного применения на товарах или упаковках товаров, относящихся к пищевому продукту или напитку по изобретению, действия по назначению, доставке, раскрытию с целью назначения или доставки или импортирования таких товаров или упаковок товаров с указанием по вышеприведенному применению, раскрытию или размещению рекламы, прайс-листов или деловых бумаг, относящихся к товарам с указанием по вышеприведенному применению, или обеспечение информации, включающей в себя электромагнитный способ (Интернет и т.д.) информации, содержащей указание по вышеприведенному применению, и т.д.
Указание предпочтительно является указанием, одобренным административно и т.д. (например, указание в форме, основанной на одобрении, принятом на основе любой из различных законодательных систем, обеспечиваемых административно), и оно является наиболее предпочтительным указанием для рекламных материалов для продажи за наличный расчет, таких как упаковки, контейнеры, каталоги, брошюры, для рекламы в местах продажи, других документах и т.д.
Примеры указаний дополнительно включают в себя, например, указания, что этот продукт является продуктом для здорового питания, продуктом для функционального питания, энтеральным питательным продуктом, пищевым продуктом для специального использования в диетах, пищевым продуктом с заявкой на функциональные питательные свойства, псевдолекарственным средством и т.д., а также указания, одобренные Министерством здравоохранения, труда и социального обеспечения (the Ministry of Health, Labor and Welfare) например, указания, основанные на одобрении системы пищевых продуктов для специального использования для здоровья и сходных систем. Примеры таких указаний включают в себя указания о применении в качестве пищевого продукта для специального использования для здоровья, указания о применении в качестве пищевого продукта для специального использования для здоровья в соответствии с требованиями по здоровью, указания по воздействии на структуры и функции организма, указания по сокращению риска заболевания и т.д., и более точно, типичные примеры включают в себя указания о применении в качестве пищевого продукта для специального использования для здоровья (особенно указания, относящиеся к использованию для здоровья), обеспечиваемые в контроле за соблюдением “Закона о содействии здоровью” (Health Promotion Law, Japan Ministry of Health, Labor and Welfare, Ministerial ordinance № 86, 30 апреля 2003 года), и сходные указания.
ПРИМЕРЫ
Со ссылкой на нижеследующие примеры настоящее изобретение будет объяснено более определенно. Однако объем настоящего изобретения не ограничивается нижеследующими примерами.
Пример получения 1
Мезофилл (навеску прозрачного геля) Aloe vera в количестве 100 кг превращали в жидкость, используя гомогенизатор, добавляли 100 л смеси этилацетат/бутанол (3:1) и перемешивали.
Смесь оставляли на ночь, и затем смесь этилацетат/бутанол и водный слой разделяли для восстановления смеси этилацетат/бутанол. Экстракт этой смеси этилацетат/бутанол, полученный концентрацией смеси этилацетат/бутанол при пониженном давлении, весил 13,5 г. Раствор 13 г этого экстракта, растворенного в 1 мл смеси хлороформ/метанол (1:1), загружали в колонку, заполненную 400 г Silica Gel 60 (Merck Ltd.), для достижения адсорбции компонентов в колонке, затем компоненты элюировали со смесью хлороформ/метанол способом ступенчатого градиента, в котором концентрацию метанола ступенчато увеличивали (соотношения смешивания хлороформ/метанол составляли 100:1, 25:1, 10:1, 5:1 и 1:1), и элюент фракционировали для каждого соотношения смешивания вышеприведенной смеси. Нормально-фазной и обращенно-фазной тонкослойной хроматографией (Merck Ltd., Silica Gel 60F254 и RP-18F2543) подтверждали, что среди этих фракций соединение по изобретению присутствовало во фракции, элюированной со смесью хлороформ/метанол с соотношением 25:1.
Вес этого вещества сырой очистки (продукт 1 сырой очистки), содержащего соединение по изобретению, составлял 3 г. Дополнительно, выход продуктов сырой очистки, полученных при вышеописанных действиях из фракций, элюированной со смесями хлороформ/метанол с соотношением 10:1 и 1:1, соответственно составлял 1,17 и 2,27 г. Из этих фракций удаляли растворители, затем каждый экстракт растворяли в 1 мл смеси хлороформ/метанол (1:1) и загружали в колонку, заполненную 100 г Silica Gel 60, для достижения адсорбции компонентов в колонке, затем компоненты элюировали со 1100 мл смеси гексана/этилацетата (4:1). Элюированные фракции собирали как аликвотные количества 300 мл (фракция A), 300 мл (фракция B) и 500 мл (фракция C) в этом порядке. Выход полученных после удаления растворителей из фракций A, B и C продуктов соответственно составлял 0,6 г, 1,35 г и 0,15 г.
Нормально-фазной и обращенно-фазной тонкослойной хроматографией подтверждали, что соединение по изобретению было сосредоточено во фракции А (продукт 2 сырой очистки). Этот продукт 2 сырой очистки дополнительно разделяли ВЭЖХ с использованием COSMOSIL C18 (Nacalai Tesque, Inc.) со смесью хлороформ/гексан (85:15) для получения 1,3 мг соединения 3 (4-метилхолест-7-ен-3-ол), 1,2 мг соединения 4 (4-метилэргост-7-ен-3-ол) и 1 мг соединения 5 (4-метилстигмаст-7-ен-3-ол). Структуры этих соединений подтверждали масс-спектрометрией (МС) и ЯМР.
Тестовый пример 1
Этот тест проводили с целью оценки соединения по изобретению по снижающему уровень гемоглобина А1с действию и эффекту снижения состояния гипергликемии.
(1) Получение пробы
Соединение 3 (4-метилхолест-7-ен-3-ол), соединение 4 (4-метилэргост-7-ен-3-ол) и соединение 5 (4-метилстигмаст-7-ен-3-ол), полученные в вышеупомянутом примере получения 1, использовали как тестовые пробы 1, 2 и 3, соответственно.
(2) Способ тестирования
В качестве моделей диабета II типа использовали шестинедельных самцов мышей db/db (приобретенных у фирмы Clea Japan, Inc.). Этих мышей разделили на группы, каждая из которых состояла из 7 животных. Каждую тестовую пробу растворяли в ДМСО (диметилсульфоксид), и концентрацию регулировали физиологическим раствором до 1 мкг/мл. Конечную концентрацию ДМСО регулировали до 0,2%. Раствор, который не содержал ни одной из тестовых проб, использовали в качестве отрицательной пробы. Мышиным моделям диабета II типа перорально с помощью зонда вводили 1 мл любой из тестовых проб растворов, ежедневно, один раз в день в течение 40 дней подряд. Дополнительно, в качестве контрольной пробы 1, мышиным моделям вводили -ситостерол (Tama Biochemical Co., Ltd.). Измеряли уровни глюкозы в крови натощак и рандомизированные уровни глюкозы в крови через периоды времени, используя прибор Antsense II (Bayer-Sankyo Co., Ltd.). Уровни глюкозы в крови натощак измеряли через 15 часов голода. Дополнительно, на 35-й день после начала введения, измеряли уровни гемоглобина А1с, используя DCA 2000 (Bayer-Sankyo Co., Ltd.).
(3) Результаты (уровни глюкозы в крови и уровни гемоглобина А1с)
Изменения в зависимости от времени рандомизированных уровней глюкозы в крови и уровней глюкозы в крови натощак в течение периода введения тестовой пробы показаны на фиг.1 и 2. Несмотря на то, что у мышей, которым вводили отрицательную пробу или контрольную пробу 1, наблюдалось быстрое повышение как рандомизированных уровней глюкозы в крови, так и уровней глюкозы в крови натощак, эффект сдерживания повышения уровня глюкозы в крови отчетливо наблюдали у мышей, которым повторно вводили тестовые пробы 1, 2 или 3.
Результаты измерения уровней гемоглобина А1с на 35-й день после начала введения показаны в таблице 1. По сравнению с уровнями гемоглобина А1с после введения отрицательной пробы наблюдали заметное уменьшение от 15 до 26% после введения тестовых проб как 1, так и 2. Напротив, уменьшение примерно только на 0,5% наблюдали после введения контрольной пробы 1 и, следовательно, не выявляли почти никакого эффекта снижения уровня гемоглобина А1с. Дополнительно, в течение периода введения или после него не выявляли состояния острого снижения уровня сахара в крови и не наблюдали никаких неблагоприятных симптомов побочных эффектов с точки зрения массы тела и результатов патологических исследований.
| Таблица 1 |
| Пробы |
Относительные уровни гемоглобина А1с (%) на 35-й день после введения |
Величина р |
| Тестовая проба 1 |
80,2±19,2 |
0,01 |
| Тестовая проба 2 |
82,7±21,0 |
0,026 |
| Тестовая проба 3 |
77,8±12,2 |
0,0015 |
| Контрольная проба 1 |
94,8±8,5 |
0,314 |
| Отрицательная проба |
100 |
|
Тестовый пример 2
Этот тест проводили с целью оценки действия снижения уровня гемоглобина А1с у соединения по изобретению, а также у антидиабетического лекарственного средства, используемого в клинической практике.
(1) Получение пробы
Соединение 3 (4-метилхолест-7-ен-3-ол), соединение 4 (4-метилэргост-7-ен-3-ол) и соединение 5 (4-метилстигмаст-7-ен-3-ол), полученные в вышеупомянутом примере получения 1, использовали в качестве тестовых проб 1, 2 и 3, соответственно.
(2) Способ тестирования
В качестве моделей диабета II типа использовали шестинедельных самцов мышей db/db, (приобретенных у фирмы Clea Japan, Inc.). Этих мышей разделили на группы, каждая из которых состояла из 7 животных. Каждую тестовую пробу растворяли в ДМСО (диметилсульфоксид), и концентрацию регулировали физиологическим раствором до 1 мкг/мл. Конечную концентрацию ДМСО регулировали до 0,2%. Раствор, который не содержал ни одной из тестовых проб, использовали в качестве отрицательной пробы. Дополнительно, в качестве контрольной пробы 2, в ступке перетирали таблетки ACTOS®, таблетки (Takeda Pharmaceutical Co., Ltd.) и растворяли в физиологическом растворе таким образом, чтобы концентрация пиоглитазона гидрохлорида в качестве активного компонента составляла 7,5 мкг/мл. Мышиным моделям диабета II типа перорально с помощью зонда вводили 1 мл каждой из тестовых проб растворов, раствор контрольной пробы 2 или раствор отрицательной пробы ежедневно, один раз в день в течение 22 дней подряд. На 23-й день после начала введения измеряли уровни гемоглобина А1с, используя DCA 2000 (Bayer-Sankyo Co., Ltd.).
(3) Результаты (уровни гемоглобина А1с)
Результаты измерения уровней гемоглобина А1с на 23-й день после начала введения показаны в таблице 2. По сравнению с уровнями гемоглобина А1с, наблюдаемыми после введения отрицательной пробы, статистически значимое уменьшение уровня содержания гемоглобина А1с примерно на 11% наблюдали после введения тестовых проб 1 или 2. Напротив, уменьшение только примерно на 0,8% наблюдали после введения контрольной пробы 2 и также не выявляли никакого статистически значимого эффекта. Дополнительно, в течение периода введения или после него не выявляли состояния острого снижения уровня сахара в крови и не наблюдали никаких неблагоприятных симптомов побочных эффектов с точки зрения массы тела и результатов патологических исследований.
| Таблица 2 |
| Пробы |
Относительные уровни гемоглобина А1с (%) на 23-й день после введения |
Величина р |
| Тестовая проба 1 |
89,9±9,0 |
0,02 |
| Тестовая проба 2 |
91,0±6,7 |
0,01 |
| Тестовая проба 3 |
88,8±9,0 |
0,01 |
| Контрольная проба 2 |
92,1±0,2 |
0,19 |
| Отрицательная проба |
100 |
|
Тестовый пример 3
Этот тест проводили с целью оценки снижающего уровень гемоглобина А1с действия у продукта 2 сырой очистки, содержащего соединения по изобретению, полученного из Aloe vera.
(1) Получение пробы
Продукт 2 сырой очистки (фракция A), полученный в вышеупомянутом примере получения 1, использовали в качестве тестовой пробы 4, и фракции B и C использовали, соответственно, в качестве контрольных проб 3 и 4.
(2) Способ тестирования
В качестве моделей диабета II типа использовали шестинедельных самцов мышей db/db, (приобретенных у фирмы Clea Japan, Inc.). Этих мышей разделили на группы, каждая из которых состояла из 7 животных. Тестовую пробу 4 и контрольные пробы 3 и 4, каждую, растворяли в ДМСО (диметилсульфоксид), и концентрацию регулировали физиологическим раствором до 1 мкг/мл. Конечную концентрацию ДМСО регулировали до 0,2%. Раствор, который не содержал ни одной из тестовых проб, использовали в качестве отрицательной пробы. Мышиным моделям диабета II типа перорально с помощью зонда вводили 1 мл любой из проб раствора 4, контрольную пробу 3 и 4 и отрицательную пробу ежедневно, один раз в день в течение 40 дней подряд. На 35-й день после начала введения, измеряли уровни гемоглобина А1с, используя DCA 2000 (Bayer-Sankyo Co., Ltd.).
(3) Результаты (уровни гемоглобина А1с)
Результаты измерения уровней гемоглобина А1с на 35-й день после начала введения показаны в таблице 3. По сравнению с уровнями гемоглобина А1с, наблюдаемыми после введения отрицательной пробы, отчетливое уменьшение на 15% наблюдали после введения тестовой пробы 4. Напротив, уменьшение только примерно от 0,4 до 0,6% наблюдали после введения контрольных проб 3 и 4 и, следовательно, не выявляли почти никакого эффекта снижения уровня гемоглобина А1с. Дополнительно, в течение периода введения или после него не выявляли состояния острого снижения уровня сахара в крови и не наблюдали никаких неблагоприятных симптомов побочных эффектов с точки зрения массы тела и результатов патологических исследований.
| Таблица 3 |
| Пробы |
Относительные уровни гемоглобина А1с (%) на 35-й день после введения |
Величина р |
| Тестовая проба 4 (продукт 2 сырой очистки) |
87,0±5,0 |
0,0001 |
| Контрольная проба 3 |
94,0±8,0 |
0,138 |
| Контрольная проба 4 |
96,0±6,0 |
0,124 |
| Отрицательная проба |
100 |
|
Лекарственное средство и пищевой продукт или напиток по изобретению могут безопасно вводиться или приниматься внутрь, не вызывая острой гипогликемии, и обладают способностью продолжительно контролировать уровень глюкозы в крови, снижая уровень гемоглобина А1с. Дополнительно, активный компонент лекарственного средства и пищевого продукта или напитка по изобретению можно получать из растения, которое можно безопасно принимать внутрь в качестве пищевого продукта с экспериментальной точки зрения и которое является легкодоступным, как, например, растение семейства Liliaceae, такое как Aloe vera (Aloe barbadensis Miller).
Формула изобретения
1. Лекарственное средство для снижения гипергликемии, которое содержит соединение, выбранное из группы, состоящей из 4-метилхолест-7-ен-3-ола, 4-метилэргост-7-ен-3-ола и 4-метистигмаст-7-ен-3-ола.
2. Лекарственное средство п.1, которое содержит от 0,001 до 10% сухой массы соединения.
3. Лекарственное средство для снижения гипергликемии, которое содержит композицию, состоящую из экстракта, полученного с органическим растворителем или с горячей водой из растения семейства Liliaceae или его фракции, содержащей соединение, выбранное из группы, состоящей из 4-метилхолест-7-ен-3-ола, 4-метилэргост-7-ен-3-ола и 4-метистигмаст-7-ен-3-ола и содержащей от 0,001 до 10% сухой массы соединения в качестве активного компонента.
4. Лекарственное средство по п.3, в котором растение из семейства Liliaceae является растением, относящимся к роду Aloe.
5. Пищевой продукт или напиток для снижения гипергликемии, который содержит соединение, выбранное из группы, состоящей из 4-метилхолест-7-ен-3-ола, 4-метилэргост-7-ен-3-ола и 4-метистигмаст-7-ен-3-ола, в качестве активного компонента.
6. Пищевой продукт или напиток по п.5, который содержит от 0,0001 до 1% сухой массы соединения.
7. Пищевой продукт или напиток для снижения гипергликемии, который содержит композицию, состоящую из экстракта, полученного с органическим растворителем или с горячей водой из растения семейства Liliaceae или его фракции, содержащей соединение, выбранное из группы, состоящей из 4-метилхолест-7-ен-3-ола, 4-метилэргост-7-ен-3-ола и 4-метистигмаст-7-ен-3-ола и содержащей от 0,0001 до 1% сухой массы соединения в качестве активного компонента.
8. Пищевой продукт или напиток по п.7, в котором растение из семейства Liliaceae является растением, относящимся к роду Aloe.
9. Пищевой продукт или напиток по любому из пп.5-8, который обладает эффектом снижения гипергликемии, к которому приложено указание, что он применяется для снижения гипергликемии.
10. Применение соединения, выбранного из группы, состоящей из 4-метилхолест-7-ен-3-ола, 4-метилэргост-7-ен-3-ола и 4-метистигмаст-7-ен-3-ола, или композиции, содержащей это соединение, для получения лекарственного средства для снижения гипергликемии.
11. Применение по п.10, в котором композиция содержит от 0,001 до 10% или больше сухой массы соединения.
12. Способ снижения гипергликемии, который включает введение соединения, выбранного из группы, состоящей из 4-метилхолест-7-ен-3-ола, 4-метилэргост-7-ен-3-ола, и 4-метистигмаст-7-ен-3-ола, или композиции, содержащей это соединение, пациенту, нуждающемуся в снижении гипергликемии.
13. Способ по п.12, в котором композиция содержит от 0,001 до 10% или больше сухой массы соединения.
РИСУНКИ
|
|