|
|
(21), (22) Заявка: 2006106677/14, 03.03.2006
(24) Дата начала отсчета срока действия патента:
03.03.2006
(46) Опубликовано: 27.01.2008
(56) Список документов, цитированных в отчете о поиске:
READLE JD et al.Prophylactic oral amiodarone compared with placebo for prevention of atrial fibrillation after coronary artery bypass surgery. Am Heart J., 1999, Jul; №138, (1 Pt 1), р.144-150 (abstract). RU 2014001 C1, 15.06.1994. RU 2192776 C2, 20.11.2002. RU 2021750 C1, 30.10.1994. Кардиология в таблицах и схемах, под ред. М.Фрида и С.Грайнс,
Адрес для переписки:
432063, г.Ульяновск, а/я 4598
|
(72) Автор(ы):
Федякина Людмила Федоровна (RU), Бунин Юрий Андреевич (RU)
(73) Патентообладатель(и):
Федякина Людмила Федоровна (RU), Бунин Юрий Андреевич (RU)
|
(54) СПОСОБ ОЦЕНКИ ЭФФЕКТА ПРОФИЛАКТИЧЕСКОЙ АНТИАРИТМИЧЕСКОЙ ТЕРАПИИ У БОЛЬНЫХ С ЧАСТЫМИ ПАРОКСИЗМАМИ ФИБРИЛЛЯЦИИ И ТРЕПЕТАНИЯ ПРЕДСЕРДИЙ ПО ДАННЫМ СПОНТАННЫХ РЕЦИДИВОВ АРИТМИИ
(57) Реферат:
Изобретение относится к медицине, а именно к кардиологии. Определяют продолжительность рецидивов аритмии. При этом определяют суммарную продолжительность рецидивов за период наблюдения. В качестве критерия оценки эффективности антиаритмической терапии используют среднюю продолжительность аритмии в единицу времени (СПАС), которую рассчитывают по формуле:
,
где ti – продолжительность i-того рецидива аритмии, случившегося за период наблюдения, n – общее число рецидивов за наблюдаемый период, Т – продолжительность периода наблюдения, и положительным эффектом проводимого лечения считают снижение СПАС. Способ позволяет повысить точность оценки эффективности лечения больных и оценить эффект лечения в группе больных и у каждого больного в отдельности. 5 табл.
(56) (продолжение):
Изобретение относится к медицине, а именно к кардиологии, и может быть использовано для оценки эффекта профилактической антиаритмической терапии у больных с частыми пароксизмами фибрилляции и трепетания предсердий по данным спонтанных рецидивов аритмии.
Несмотря на актуальность проблемы лечения сердечных аритмий, в частности фибрилляции предсердий (ФП) и трепетания предсердий (ТП), длительную историю этой проблемы и огромное количество исследований, посвященных фармакотерапии ФП и ТП, до сих пор не существует единых общепринятых критериев оценки эффективности медикаментозной терапии при этих аритмиях. Это значительно затрудняет сравнение результатов различных исследований, а значит, и выбор препарата для практического применения.
Известно несколько основных подходов к оценке эффекта профилактической антиаритмической терапии рецидивов ФП и ТП.
Известен способ оценки эффекта профилактической антиаритмической терапии в случае полного отсутствия спонтанных рецидивов аритмии после последнего восстановления ритма, отмеченных больным субъективно и отсутствующих при суточном мониторировании ЭКГ (см. Geller. 1C. Geller М. Carlson MD. Waldo AL. Efficacy and safety of moricizine in the maintenance of sinus rhythm in patients with recurrent atrial fibrillation. Am.1 Cardiol 2001 Jan 15; 87(2): 172-7.). Такой эффект считается полным. Результат применения антиаритмиков и их комбинаций в этом случае можно оценить по проценту от общего числа получающих лечение больных, удерживающих синусовый ритм в определенные точки отсчета времени, например через 1 неделю, через 3 месяца, через 2 года и т.п.
Недостаток известного способа состоит в том, процент удержания ритма не всегда объективно отражает эффект препарата, т.к. не учитывается срок наступившего рецидива. Ведь вполне вероятна ситуация, когда у всех 25% больных, имевших рецидивы аритмии к концу первого месяца от начала терапии (формально хороший результат), эти рецидивы произошли на второй или третий день наблюдения, и вряд ли эффект такой терапии можно считать удовлетворительным.
Известен способ оценки эффекта профилактической антиаритмической терапии, по которому критерием эффективности профилактической антиаритмической терапии ФП и ТП считают продолжительность периода, во время которого сохранялся полный антиаритмичекий эффект, то есть по времени, прошедшем до рецидива аритмии, как это принято в большинстве современных исследований (см. de Paola AA. Veloso HH. Efficacy and safety of sotalol versus quinidine for the maintenance of sinus rhythm after conversion of atrial fibrillation. SOCESP Investigators. The Cardiology Society of Sao Paulo. Am J Cardiol 1999 Nov 1; 84(9): 1033-7).
Этот критерий представляется более точным, чем предыдущий, поскольку важным показателем является продолжительность удержания синусового ритма как у каждого больного, так и у группы в целом.
Недостаток известного способа состоит в том, что способ не учитывает продолжительность рецидивов и, таким образом, не может отражать в полной мере эффект проводимого лечения.
Оба этих способа оценки антиаритмического эффекта терапии можно применять, если эффект является полным. Однако полного антиаритмического эффекта удается достигнуть не так уж часто, и в клинической практике частичный антиаритмический эффект в виде урежения рецидивов аритмии и/или уменьшения их продолжительности тоже считается удовлетворительным результатом (см. ACC/AHA/ESC Guidelines for the Management of Patients With Atrial Fibrillation: Executive Summary. Circulation 2001; 104: 2118-2150). В этом случае возникают трудности с критериями оценки результата антиаритмической терапии.
Известен способ оценки эффекта терапии, по которому проводят сравнение средней продолжительности межприступного периода у больного до лечения и во время проведения антиаритмической терапии или (что одно и то же) частоту рецидивов аритмии за определенный период времени (см. Lee SH. Chen SA. Chiang CE. Tai СТ. Wen ZC. Wang SP. Chang MS. Comparisons of oral propafenone and quinidine as an initial treatment option in patients with symptomatic paroxysmal atrial fibrillation: a double-blind, randomized trial. J Intern Med 1996 Mar; 239(3): 253-60).
Недостаток известного способа состоит в том, что не учитывается продолжительность рецидивов, а поскольку частота может оставаться прежней или даже увеличиваться на фоне уменьшения числа рецидивов, то поэтому невозможно оценить достоверный эффект даже у одного и того же больного.
Наиболее близким способом того же назначения к заявленному изобретению по совокупности признаков является способ оценки эффекта терапии, согласно которому оценивают среднюю продолжительность рецидивов ФП и ТП в группе больных до лечения и на фоне приема антиаритмиков (см. Redle JD. Khurana S. Marzan R. McCullough PA. Stewart JR. Westveer DC. O’Neill WW. Bassett JS. Tepe NA. Frumin №. Prophylactic oral amiodarone compared with placebo for prevention of atrial fibrillation after coronary artery bypass surgery. Am Heart J 1999 Jul; 138(l Ptl): 144-50) и принятый за прототип.
К причинам, препятствующим достижению указанного ниже технического результата при использовании известного способа, принятого за прототип, относится то, что не учитывается частота рецидивов, а снижение продолжительности рецидивов может, в свою очередь, сопровождаться увеличением их частоты.
Задачей изобретения является создание способа оценки эффекта профилактической антиаритмической терапии у больных с частыми пароксизмами фибрилляции и трепетания предсердий по данным спонтанных рецидивов аритмии, обеспечивающего получение технического результата, состоящего в повышении точности оценки эффективности лечения больных и возможности осуществления его коррекции выбором препарата для практического применения, возможности оценки эффекта лечения не только в группе больных, но и у каждого больного.
Указанный технический результат в способе оценки эффекта профилактической антиаритмической терапии у больных с частыми пароксизмами фибрилляции и трепетания предсердий по данным спонтанных рецидивов аритмии достигается тем, что определяют продолжительность рецидивов аритмии.
Особенность заключается в том, что определяют суммарную продолжительность рецидивов, а в качестве критерия оценки эффективности антиаритмической терапии используют среднюю продолжительность аритмии в единицу времени, например, в сутки (СПАС), которую рассчитывают по формуле:

где ti – продолжительность i-того рецидива аритмии, случившегося за период наблюдения,
n – общее число рецидивов за наблюдаемый период,
Т – продолжительность периода наблюдения, и положительным эффектом проводимого лечения считают снижение СПАС.
В основу предлагаемого способа оценки эффективности положено следующее обоснование.
Исходя из предпосылки, что оба показателя – продолжительность и частота рецидивов аритмии – имеют в данной ситуации равное значение и предпочесть один другому невозможно, для оценки результатов лечения применен критерий, в равной мере отражающий и частоту, и продолжительность аритмических эпизодов и являющийся производной этих двух независимых величин – средняя продолжительность аритмии в единицу времени, например, в сутки (СПАС).
Для больных с частыми пароксизмами фибрилляции и трепетания предсердий наиболее удобной единицей измерения СПАС является минуты в сутки (мин/сут).
СПАС вычисляют по формуле:

где ti – продолжительность i-того рецидива аритмии, случившегося за период наблюдения,
n – общее число рецидивов за наблюдаемый период,
Т – продолжительность периода наблюдения.
Суммарная продолжительность всех рецидивов аритмии включает все рецидивы за период наблюдения как субъективно отмеченные больным, так и зарегистрированные при Холтеровском мониторировании ЭКГ.
СПАС может быть также вычислен как произведение среднего числа рецидивов в единицу времени, например, в сутках, за период наблюдения, равного (сут) и средней продолжительности рецидива, например, в минутах, за этот же период наблюдения – (мин).
В результате получается:

но после сокращения n мы приходим к исходной формуле (1).
Предложенный критерий эффективности профилактической антиаритмической терапии СПАС был применен в клинической практике.
Было проанализировано 224 случая применения профилактической антиаритмической терапии у 44 больных с пароксизмальной формой фибрилляции и трепетания предсердий, лечившихся в кардиологическом отделении Ульяновской областной клиническкой больницы, а затем наблюдавшихся амбулаторно в аритмологическом центре Ульяновской областной клинической больницы в 1998-2004 гг. Среди пациентов было 34 мужчины и 10 женщин. Возраст их варьировал в пределах от 23 до 75 лет. У 26 человек все эпизоды аритмии, зарегистрированные на ЭКГ до назначения терапии, были представлены только фибрилляцией предсердий, у 5 человек – только трепетанием предсердий I типа, а у 13 встречался как тот, так и другой вид аритмии. Все пациенты страдали пароксизмальной формой аритмии с рецидивами не реже одного раза в месяц. Длительность аритмического анамнеза составляет в среднем (M±SD), где М – среднее по совокупности, SD – стандартная девиация, т.е. в нашем случае она равна 5,308±5,441 года, средняя давность возникновения частых рецидивов аритмии, потребовавших постоянной профилактической антиаритмической терапии, была 2,138±3,244 года.
У большинства больных пароксизмальная форма фибрилляции и/или трепетания предсердий наблюдалась при наличии гипертонической болезни легкой или средней степени тяжести – 20 человек – и ишемической болезни сердца со стенокардией напряжения II-III функционального классов без указаний на перенесенный инфаркт миокарда и застойную сердечную недостаточность – 10 человек (в том числе в сочетании с гипертонической болезнью 8 человек). Встречались также пациенты, у которых в процессе обследования данных за заболевания сердечно-сосудистой системы выявлено не было – 12 человек. У 2 больных был хронический бронхит в стадии ремиссии без выраженного бронхообструктивного синдрома.
Пароксизмом фибрилляции и трепетания предсердий считался аритмический эпизод продолжительностью от 30 секунд до 7 дней (как правило не более 24 часов), возникающий и купирующийся спонтанно и не обусловленный устранимыми причинами. Частота и продолжительность их оценивалась по анамнезу. Обязательным было электрокардиографическое подтверждение наличия фибрилляции и/или трепетания предсердий в момент субъективного ощущения тахиаритмии по данным медицинской документации. Все больные, участвовавшие в исследовании, могли четко отличить аритмические эпизоды от синусового ритма. Больные с преимущественно асимптомной аритмией в исследование не включались.
Всем пациентам при поступлении назначалось плацебо.
Продолжительность приема была не менее 3 дней и обязательно превышала максимальный межприступный период у данного больного.
После оценки эффекта плацебо по числу и продолжительности спонтанных рецидивов началась медикаментозная профилактическая антиаритмическая терапия.
Все изученные случаи антиаритмической терапии распределились на следующие группы (табл.1):
| Таблица 1 |
| №группы |
Препарат |
Число больных |
| 0 |
Плацебо |
47 |
| I |
Хинидин |
3 |
| II |
Хинидин1/2 |
3 |
| III |
Этацизин |
19 |
| IV |
Этацизин1/2 |
9 |
| V |
Пропранолол |
15 |
| VI |
Пропранолол 1/2 |
7 |
| VII |
Амиодарон |
18 |
| VIII |
Верапамил |
28 |
| IX |
Верапамил 1/2 |
8 |
| X |
Хинидин 1/2+пропранолол 1/2 |
5 |
| XI |
Хинидин 1/2+верапамил 1/2 |
6 |
| – |
Этацизин+пропранолол |
1 |
| XII |
Этацизин 1/2+пропранолол 1/2 |
9 |
| XIII |
Этацизин+верапамил |
4 |
| XIV |
Этацизин 1/2+верапамил 1/2 |
10 |
| XV |
Амиодарон+пропранолол 1/2 |
8 |
| XVI |
Амиодарон+верапамил 1/2 |
15 |
| xvII |
Амиодарон+этацизин 1/2 |
9 |
| Всего |
224 |
Примечание: Результаты терапии комбинацией полных доз этацизина и пропранолола не учитывались, так как эта терапия проводилась только одному больному.
Поскольку каждый больной в процессе подбора эффективной и безопасной антиаритмической терапии получал несколько ее вариантов и, следовательно, вошел в несколько перечисленных выше групп, эти группы получились практически идентичными по клиническим данным. Это позволило провести корректное сравнение эффективности различных вариантов антиаритмической терапии. При проведении сравнения некоторых клинических и эхокардиографических характеристик в семнадцати группах с помощью дисперсионного анализа достоверных различий между ними не получено.
Сначала было проведено сравнение исходного значения СПАС и его значения на фоне приема плацебо. Это сравнение показало их статистически значимое отличие (р=0,009, где р – вероятность ошибочно отвергнуть нулевую гипотезу об отсутствии различий).
Изменение критерия оценки эффективности антиаритмической терапии СПАС при применении плацебо представлено в табл.2:
| Таблица 2 |
| |
в 2 раза (чел., %) |
в 3 раза (чел., %) |
в 5 раз (чел., %) |
в 10 раз (чел., %) |
в 15 раз (чел., %) |
В 20 раз (чел., %) |
СПАС уменьшился более чем |
25 |
20 |
9 |
5 |
4 |
4 |
| 53,19% |
42,55% |
19,15% |
10,64% |
8,51% |
8,51% |
СПАС увеличился более чем |
9 |
7 |
7 |
6 |
4 |
3 |
| 19,15% |
14,89% |
14,89% |
12,77% |
8,51% |
6,38% |
СПАС стал равным 0 у 5 человек (10,64%).
Затем в каждой из групп среднее значение СПАС на фоне приема плацебо сравнивался со СПАС на фоне антиаритмической терапии. Изменение средней продолжительности аритмии в сутки при применении различных вариантов антиаритмической терапии в сравнении с плацебо представлено в табл.3.
| Таблица 3 |
| № группы |
Препарат |
Число больных в группе |
Медиана |
Интерквартильный диапазон |
Р (статистически значимое отличие) |
| I |
Плацебо |
3 |
411,429 |
629,917 |
0,248 |
| |
Хинидин |
3 |
0,000 |
72,000 |
|
| II |
Плацебо |
3 |
120,667 |
401,429 |
0,248 |
| |
Хининдин 1/2 |
3 |
4,119 |
34,650 |
|
| III |
Плацебо |
19 |
146,999 |
315,929 |
0,099 |
| |
Этацизин |
19 |
7,500 |
166,543 |
|
| IV |
Плацебо |
9 |
222,857 |
247,628 |
0,046 |
| |
Этацизин 1/2 |
9 |
40,000 |
59,270 |
|
| V |
Плацебо |
15 |
205,714 |
319,667 |
0,016 |
| |
Пропранолол |
15 |
2,476 |
70,000 |
|
| VI |
Плацебо |
7 |
125,800 |
321,083 |
0,131 |
| |
Пропранолол 1/2 |
7 |
13,000 |
226,000 |
|
| VII |
Плацебо |
18 |
107,900 |
327,000 |
0,015 |
| |
Амиодарон |
18 |
4,039 |
35,000 |
|
| VIII |
Плацебо |
28 |
73,686 |
259,429 |
0,003 |
| |
Верапамил |
28 |
2,435 |
102,139 |
|
| IX |
Плацебо |
8 |
19,215 |
260,083 |
0,289 |
| |
Верапамил 1/2 |
8 |
18,892 |
121,825 |
|
| X |
Плацебо |
5 |
120,667 |
224,250 |
0,371 |
| |
Хинидин 1/2+пропранолол 1/2 |
5 |
0,000 |
0,000 |
|
| XI |
Плацебо |
6 |
236,813 |
399,852 |
0,683 |
| |
Хинидин 1/2+верапамил 1/2 |
6 |
121,095 |
461,111 |
|
| XII |
Плацебо |
10 |
176,357 |
301,000 |
0,027 |
| |
Этацизин1/2+пропранолол1/2 |
10 |
4,806 |
70,000 |
|
| XIII |
Плацебо |
4 |
155,241 |
286,191 |
0,134 |
| |
Этацизин+верапамил |
4 |
0,243 |
12,743 |
|
| XIV |
Плацебо |
10 |
24,770 |
249,910 |
0,182 |
| |
Эгацизин 1/2+верапамил 1/2 |
10 |
2,087 |
61,318 |
|
| XV |
Плацебо |
8 |
136,400 |
240,589 |
0,077 |
| |
Амиодарон+пропранолол 1/2 |
8 |
35,750 |
86,013 |
|
| XVI |
Плацебо |
15 |
276,000 |
368,318 |
0,0099 |
| |
Амиодарон+верапамил 1/2 |
15 |
22,800 |
84,667 |
|
| XVII |
Плацебо |
9 |
354,000 |
135,429 |
0,046 |
| |
Амиодарон+этацизин 1/2 |
9 |
37,500 |
56,563 |
|
Примечание: жирным шрифтом отмечены группы, в которых изменение средней продолжительности аритмии в сутки при приеме антиаритмической терапии является статистически значимым.
Таким образом, статистически значимое отличие (р<0,05) средней продолжительности аритмии в сутки по сравнению с плацебо отмечалось в группах, принимавших половинную суточную дозу этацизина, пропранолол, амиодарон, верапамил, комбинацию половинных доз этацизина и пропранолола, комбинацию амиодарона с половинной дозой верапамила и амиодарона с половинной дозой этацизина.
Далее оценивалась степень изменения (уменьшения) средней продолжительности аритмии в сутки при применении различных вариантов антиаритмической терапии в сравнении с плацебо (табл.4)
| Таблица 4 |
| № группы |
Препарат |
Число больных |
СПАС=0 |
СПАС уменьшился более чем в |
| 2 раза |
3 раза |
5 раз |
10 раз |
15 раз |
20 раз |
| I |
Хинидин |
3 |
2 |
1 |
1 |
0 |
0 |
0 |
0 |
| |
|
|
66,67% |
33,33% |
33,33% |
|
|
|
|
| II |
Хининдин 1/2 |
3 |
0 |
3 |
2 |
1 |
1 |
1 |
1 |
| |
|
|
|
100% |
66,67% |
33,33% |
33,33% |
33,33% |
33,33% |
| III |
Этацизин |
19 |
4 |
9 |
8 |
7 |
4 |
4 |
3 |
| |
|
|
21,05% |
47,37% |
42,11% |
36,84% |
21,05% |
21,05% |
15,79% |
| IV |
Этацизин 1/2 |
9 |
2 |
6 |
6 |
5 |
2 |
2 |
2 |
| |
|
|
22,22% |
66,67% |
66,67% |
55,56% |
22,22% |
22,22% |
22,22% |
| V |
Пропранолол |
15 |
5 |
7 |
5 |
4 |
3 |
2 |
2 |
| |
|
|
33,33% |
46,67% |
33,33% |
26,67% |
20,00% |
13,33% |
13,33% |
| VI |
Пропранолол 1/2 |
7 |
3 |
2 |
2 |
2 |
1 |
1 |
0 |
| |
|
|
42,86% |
28,57% |
28,57% |
28,57% |
14,29% |
14,29% |
|
| VII |
Амиодарон |
18 |
7 |
8 |
7 |
6 |
5 |
2 |
2 |
| |
|
|
38,89% |
44,44% |
38,89% |
33,33% |
27,78% |
11,11% |
11,11% |
| VIII |
Верапамил |
28 |
12 |
7 |
7 |
6 |
4 |
3 |
3 |
| |
|
|
42,86% |
25,00% |
25,00% |
21,43% |
14,29% |
10,71% |
10,71% |
| IX |
Верапамил 1/2 |
8 |
2 |
3 |
1 |
1 |
0 |
0 |
0 |
| |
|
|
25,00% |
37,50% |
12,50% |
12,50% |
|
|
|
| X |
Хинидин 1/2 |
5 |
4 |
0 |
0 |
0 |
0 |
0 |
0 |
| |
+пропранолол 1/2 |
|
80,00% |
|
|
|
|
|
|
| XI |
Хинидин 1/2 |
6 |
1 |
1 |
1 |
1 |
0 |
0 |
0 |
| |
+верапамил 1/2 |
|
16,67% |
16,67% |
16,67% |
16,67% |
|
|
|
| XII |
Этацизин 1/2 |
10 |
4 |
4 |
4 |
3 |
2 |
2 |
2 |
| |
+пропранолол 1/2 |
|
40,00% |
40,00% |
40,00% |
30,00% |
20,00% |
20,00% |
20,00% |
| XIII |
Этацизин |
4 |
2 |
2 |
2 |
2 |
2 |
2 |
1 |
| |
+верапамил |
|
50,00% |
50,00% |
50,00% |
50,00% |
50,00% |
50,00% |
25,00% |
| XIV |
Этацизин 1/2 |
10 |
3 |
4 |
3 |
3 |
3 |
3 |
2 |
| |
+верапамил 1/2 |
|
30,00% |
40,00% |
30,00% |
30,00% |
30,00% |
30,00% |
20,00% |
| XV |
Амиодарон |
8 |
4 |
2 |
2 |
0 |
0 |
0 |
0 |
| |
+пропранолол 1/2 |
|
50,00% |
25,00% |
25,00% |
|
|
|
|
| XVI |
Амиодарон |
15 |
4 |
7 |
6 |
4 |
3 |
3 |
3 |
| |
+верапамил 1/2 |
|
26,67% |
46,67% |
40,00% |
26,67% |
20,00% |
20,00% |
20,00% |
| XVII |
Амиодарон |
9 |
2 |
5 |
5 |
5 |
3 |
1 |
1 |
| |
+этацизин 1/2 |
|
22,22% |
55,56% |
55,56% |
55,56% |
33,33% |
11,11% |
11,11% |
При амбулаторном наблюдении за больными после подбора антиаритмической профилактической терапии СПАС сравнивался с исходным значением (до приема плацебо), т.к. не только прием плацебо, а сами условия госпитализации могли повлиять на течение аритмии. Было проведено сравнение СПАС в амбулаторных условиях до лечения и СПАС в амбулаторных условиях на фоне антиаритмической терапии. Наблюдение проводилось через 1, 3, 6 и 12 месяцев после выписки из стационара.
Далеко не все больные продолжили аккуратный прием антиаритмиков после выписки из стационара. Число больных, получавших профилактическую антиаритмическую терапию амбулаторно, представлено в табл.5
| Таблица 5 |
| Препарат |
Число больных |
| При выписке |
Через 1 мес |
Через 3 мес |
Через 6мес |
Через 12 мес |
| Этацизин |
2 |
1 |
1 |
1 |
1 |
| Пропранолол |
3 |
2 |
1 |
1 |
– |
| Амиодарон |
9 |
8 |
8 |
7 |
3 |
| Верапамил |
8 |
6 |
4 |
4 |
4 |
| Монотерапия |
22 |
17 |
14 |
13 |
8 |
| Хинидин 1/2+верапамил 1/2 |
3 |
1 |
1 |
1 |
– |
| Этацизин 1/2 +пропранолол 1/2 |
5 |
5 |
2 |
2 |
1 |
| Этацизин 1/2+верапамил 1/2 |
5 |
5 |
4 |
2 |
1 |
| Амиодарон+пропранолол 1/2 |
6 |
3 |
3 |
2 |
– |
| Амиодарон+верапамил 1/2 |
9 |
9 |
5 |
2 |
1 |
| Амиодарон+этацизин 1/2 |
8 |
3 |
2 |
2 |
1 |
| Комбинированная терапия |
36 |
26 |
17 |
11 |
5 |
| Всего |
58 |
43 |
31 |
24 |
12 |
Из продолживших терапию больных СПАС сохранил значимое отличие от СПАС до начала терапии в течение 6 месяцев только при приеме амиодарона ( через 1 месяц р=0,013, через 3 месяца р=0,013, через 6 месяцев р=0,023) и в течение месяца при приеме верапамила (р=0,041).
Учитывая небольшой срок наблюдения, пока трудно сделать выводы о том, какая степень снижения СПАС является показателем того, что терапия у данного больного эффективна. Следует только отметить, что при снижении его в 5 или 10 раз больные были субъективно удовлетворены результатами терапии.
КЛИНИЧЕСКИЕ ПРИМЕРЫ.
Больная В. 59 лет.
До медикаментозной терапии имела 5 рецидивов аритмии общей продолжительностью 45 минут (5 мин + 13 мин + 7 мин + 15 мин + 5 мин) за 2 суток.
До лечения 
При приеме этацизина наблюдался один рецидив продолжительностью 2 мин за 12 суток.
Во время лечения 
Таким образом, СПАС при профилактической антиаритмической терапии снизился более чем в 50 раз, что можно считать хорошим антиаритмическим эффектом.
При оценке эффективности терапии более распространенным способом – по числу дней до рецидива аритмии – получились следующие результаты: число дней до рецидива без терапии 0,4; число дней до рецидива при приеме этацизина 12 дней.
В данном случае оценка эффективности антиаритмической терапии обоими способами совпадает.
Больной К. 38 лет.
До приема антиаритмической терапии число дней до рецидива аритмии было 7 дней, а на фоне приема кинидина – 4 дня.
В соответствии с оценкой эффективности терапии по числу дней до рецидива в данном случае терапия считается неэффективной.
Рассмотрим эффективность антиаритмической терапии по предлагаемому способу.
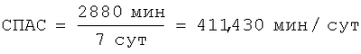
До медикаментозной терапии был один рецидив аритмии продолжительностью 48 часов (2880 мин).
До лечения 
При приеме кинидина наблюдался один рецидив продолжительностью 15 мин за 4 дня.
Во время лечения 
Таким образом, СПАС при профилактической антиаритмической терапии снизился почти в 110 раз, что также можно считать хорошим антиаритмическим эффектом.
Больной М. 57 лет.
До лечения имел 2 рецидива ФП за 10 дней, каждый продолжительностью по 2 часа. На фоне приема этацизина продолжительность рецидивов уменьшилась до 20 минут, но они стали происходить по 2 раза в день в течение 10-дневного периода наблюдения.
При оценке эффективности препарата по продолжительности рецидивов имеется кажущийся положительный результат.
При оценке эффективности терапии по предлагаемому способу имеем следующее.
До лечения 
На фоне терапии т.е. в данном случае препарат неэффективен.
Приведенные примеры показывают достаточную простоту и доступность способа оценки эффективности лечения больных с частыми пароксизмами фибрилляции и трепетания предсердий по данным спонтанных рецидивов аритмии. Показатель средней продолжительности аритмии в сутки (СПАС) может служить удобным и объективным критерием эффективности антиаритмических препаратов и их комбинаций для профилактики частых рецидивов пароксизмальной формы фибрилляции и трепетания предсердий. Он позволяет объективно оценить эффективность антиаритмической терапии при разной продолжительности отдельных рецидивов и при разной продолжительности периодов наблюдения.
Таким образом, заявленное техническое решение обладает более высокой эффективностью по сравнению с прототипом, так как позволяет достаточно точно оценивать эффективность лечения и осуществлять его коррекцию.
Способ прост в осуществлении и может быть использован во всех медицинских учреждениях.
Формула изобретения
Способ оценки эффекта профилактической антиаритмической терапии у больных с частыми пароксизмами фибрилляции и трепетания предсердий по данным спонтанных рецидивов аритмии путем определения продолжительности рецидивов аритмии, отличающийся тем, что определяют суммарную продолжительность рецидивов за период наблюдения, а в качестве критерия оценки эффективности антиаритмической терапии используют среднюю продолжительность аритмии в единицу времени (СПАС), которую рассчитывают по формуле

где ti – продолжительность i-го рецидива аритмии, случившегося за период наблюдения;
n – общее число рецидивов за наблюдаемый период;
Т – продолжительность периода наблюдения,
и положительным эффектом проводимого лечения считают снижение СПАС.
|
|