|
|
(21), (22) Заявка: 2006110640/28, 04.04.2006
(24) Дата начала отсчета срока действия патента:
04.04.2006
(46) Опубликовано: 20.01.2008
(56) Список документов, цитированных в отчете о поиске:
RU 2235447 C1, 27.08.2004. RU 2204821 C1, 20.05.2003. RU 2204820 C1, 20.05.2003. RU 2136124 C1, 27.08.1999. GB 2175778 A, 03.12.1986. US 4521905 A, 04.06.1985. US 5661775 A, 26.08.1997.
Адрес для переписки:
140003, Московская обл., г. Люберцы-3, Войсковая часть 75360
|
(72) Автор(ы):
Кеткович Андрей Анатольевич (RU), Маклашевский Виктор Яковлевич (RU)
(73) Патентообладатель(и):
Войсковая часть 75360 (RU)
|
(54) ЛАЗЕРНЫЙ ЦЕНТРАТОР ДЛЯ РЕНТГЕНОВСКОГО ИЗЛУЧАТЕЛЯ
(57) Реферат:
Использование: для ориентации рентгеновского излучателя по отношению к объекту. Сущность: заключается в том, что дополнительно введена вторая и цифровая фотокамера, аналогичная первой, ось объектива которой параллельна оси объектива первой цифровой фотокамеры и оси рентгеновского пучка, оси объективов обеих цифровых фотокамер расположены на расстоянии В друг от друга и лежат в плоскости, образованной осями лазера и рентгеновского пучка, ось объектива первой цифровой фотокамеры расположена на расстоянии l t+А/2 от оси рентгеновского пучка, где t= ·tg( /2), – расстояние от фокуса рентгеновского излучателя до ПЗС-матрицы первой цифровой фотокамеры размером А×А, – угол излучения рентгеновского излучателя, обе цифровые фотокамеры расположены на одном расстоянии , углы поля зрения обеих цифровых фотокамер, имеющих объективы с одинаковым фокусным расстоянием f’ и идентичные ПЗС-матрицы размером А×А, отвечают условию , а вычисленное расстояние D от объекта до рентгеновского излучателя определяется по формуле D= +D0, где , где Р=Х2-Х1 – параллакс изображений лазерного пятна на объекте, совпадающего с точкой его пересечения осью рентгеновского пучка, X1 и Х2 – расстояния от точек пересечения осей объективов первой и, соответственно, второй цифровых фотокамер с соответствующими ПЗС-матрицами до изображения лазерного пятна на ПЗС-матрице первой и, соответственно, второй цифровых фотокамер. Технический результат: повышение точности наведения рентгеновского излучателя на выбранную зону объекта контроля. 1 ил.
Изобретение относится к неразрушающему контролю материалов и изделий с применением рентгеновского излучения и может быть использовано для контроля объектов авиакосмической техники и других отраслей.
Известен лазерный центратор, который включает в себя лазеры, телевизионную систему, отражатель, установленный на пересечении осей объектива телевизионной системы и рентгеновского пучка, при этом оси лазеров параллельны друг другу и оси рентгеновского пучка и формируют на объекте два пятна, расположенных на определенном расстоянии друг от друга.
По величине расстояния между изображениями пятен плоскости ПЗС – матрицы телевизионной системы судят о расстоянии от объекта до рентгеновского излучателя [1].
Недостатки данного устройства:
отсутствие лазерное метки, соответствующей точке пересечения оси рентгеновского пучка с объектом, что мешает точному наведению рентгеновского излучателя на нужную зону объекта контроля;
как правило, объекты авиакосмической техники имеют сложную конструкцию, различные выступы, полости и т.п. элементы, вследствие чего одно из пятен может экранироваться этими элементами и/или располагаться на отличном от другого пятна уровне, что снижает точность измерений, а в ряде случаев делает их невозможными;
повышение точности измерения в данном устройстве возможно только за счет увеличения базы дальнометра, т.е. увеличения расстояния между осями лазеров. Однако в силу вышеизложенных особенностей конструкции объектов авиакосмической техники, других объектов спецтехники это практически невозможно.
Цель изобретения – устранение этих недостатков.
Для этого в лазерный центратор для рентгеновского излучателя, содержащий корпус с расположенными в нем лазером, ось которого параллельна продольной оси рентгеновского излучателя, отражатель из оргстекла, установленный на пересечении осей лазера и рентгеновского пучка, цифровую фотокамеру и телевизионный вычислитель или компьютер для определения расстояния от объекта до рентгеновского излучателя и монитор, дополнительно введены вторая цифровая фотокамера аналогична первой, ось объектива которой параллельна оси объектива первой цифровой фотокамеры и оси рентгеновского пучка, оси объективов обеих цифровых фотокамер расположены на расстоянии В друг от друга и лежат в плокости, образованной осями лазера и рентгеновского пучка, ось объектива первой цифровой фотокамеры расположена на расстоянии l t+А/2 от оси рентгеновского пучка, где t= ·tg( /2),
– расстояние от фокуса рентгеновского излучателя до ПЗС-матрицы первой цифровой фотокамеры размером А×A, – угол излучения рентгеновского излучателя, обе цифровые фотокамеры расположены на одном расстоянии , углы поля зрения обеих цифровых фотокамер, имеющих объективы с одинаковым фокусным расстоянием f’ и идентичные ПЗС-матрицы размером А×А, отвечают условию , а вычисленное расстояние D от объекта до рентгеновского излучателя определяется по формуле
D= +Do, где
, где Р=Х2-Х1 – параллакс изображений лазерного пятна на объекте, совпадающего с точкой его пересечения осью рентгеновского пучка,
X1 и X2 – расстояния от точек пересечения осей объективов первой и, соответственно, второй цифровых фотокамер с соответствующими ПЗС-матрицами до изображения лазерного пятна на ПЗС-матрице первой и, соответственно, второй цифровых фотокамер.
Схема устройства представлена на чертеже.
Лазерный центратор содержит закрепленный на рентгеновском излучателе 1 корпус 2, в котором располагаются лазер 4, ось которого параллельна продольной оси рентгеновского излучателя, отражатель 3 из оргстекла, установленный на пересечении осей лазера и рентгеновского пучка таким образом, что после отражений от нее лазерный луч совпадает по направлению с осью рентгеновокого пучка, две идентичные цифровые фотокамеры, содержащие ПЗС-матрицы 5 и 5′ размером А×А и объективы 6 и 6′ с одинаковым фокусный расстоянием f’. Видеосигнал первой цифровой фотокамеры направляется на монитор 7 и первый вход телевизионного вычислителя или компьютера 8. Видеосигнал от второй цифровой фотокамеры направляется непосредственно на второй вход телевизионного вычислителя или компьютера 8.
ПЗС-матрицы обеих цифровых фотокамер удалены от продольной оси рентгеновского излучателя на одинаковое расстояние , а их плоскости перпендикулярны осям объективов 6 и 6, расположенных параллельно друг другу в плоскости, образованной осями рентгеновского и лазерного пучков.
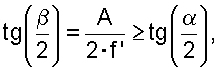
Лазер 4 формирует на объекте 9 яркое пятно, совпадающее с точкой пересечения объекта с осью рентгеновского пучка. При этом на ПЗС-матрицах 5 и 5′ объективами 6 и 6′ соответственно формируются изображения лазерного пятна. Расстояния от точек пересечения осей объективов 6 и 6′ с матрицами 5 и 5′ будут равны, при этом X2>X1, соответственно, в силу различных углов визирования лазерного пятна объективами 6 и 6′. Поля зрения цифровых фотокамер отвечают условию , необходимому для того, чтобы при изменениях расстояния от объекта до рентгеновского излучателя изображение лазерного пятна не уходило за пределы ПЗС-матрицы цифровых фотокамер, особенно при минимальных значениях этого расстояния.
Первая цифровая фотокамера, расположенная ближе, чем вторая, к оси рентгеновского пучка, должна быть вне зоны распространении рентгеновского пучка, т.е. должно выполняться условие , где t= ·tg ( /2).
При этом вторая цифровая фотокамера, находящаяся от оси рентгеновского пучка на расстоянии (В+l)>l, очевидно также находится вне зоны распространения рентгеновского пучка.
Измерение расстояния от объекта до рентгеновского излучателя определяется по формуле D=D0+ (см. чертеж). Величина D0 связана с параметрами оптической системы центратора соотношениями, вывод которых приведен ниже.
Из подобных треугольников O1 AM и O1 EF, a также АС О2 и О2 NH имеем

откуда получаем .
Из последнего равенства следует
после соответствующих преобразований
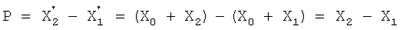
l·X2=X1(B+l)=X1B+X1·l, откуда имеем
l·X2-l·X1=B·X1 и l·P=B·X1,
где Р=X2 -X1 – параллакс изображений лазерного пятна на матрицах 5 и 5′, соответствующий текущему расстоянию D0 от объекта до рентгеновского излучателя. Т.к. , то после подстановки в уравнение (1) окончательно получим и .
Оценим погрешность измерения расстояния от объекта до рентгеновского излучателя для характерных значений величин, в практически используемых режимах контроля и принятых в пилотном варианте центратора.
Примем f’=50 мм, B=500 мм, l=100 мм, =500 мм, D0 =5 м. При этом Р=X2-X1, определенный по формуле (3), будет равен P=5 мм = 5000 мкм; т.к. размер пикселя ПЗС-матрицы P=10 мкм, то относительная ошибка измерения параллакса составит
.
Соответственно ошибка измерения , откуда D0=D0·0,002=5000·0,002=10 мм, что вполне отвечает требованиям практики.
Данная оценка приведена практически для D0=D0 max, т.е. для максимального объекта. Для D0max ошибка измерения очевидно будет еще меньше. Размер ПЗС-матрицы в макете центратора принят А=25 мм или Iй, что позволяет проводить измерения при D0 min 2,0 м, что также достаточно для реальных ситуаций контроля.
Отметим, что для повышения точности измерения можно увеличить базу и фокусное расстояние объективов f’, что легко осуществить.
Координаты изображений лазерного пятна на объекте Х1 и X2 и на матрицах 5 и 5′ легко вычисляются, т.к. в силу высокой точности изготовления растров ПЗС-матриц и оптико-механических узлов цифровых фотокамер положение точки пересечения осей объективов с ПЗС-матрицами соответствуют центру симметрии этих матриц, т.е. величине А/2.
Возможно также отсчитывать координаты изображения пятен от края ПЗС-матрицы. При этом, очевидно параллакс не изменит своей величины.
Действительно, пусть , ,
где X0=А/2 – координата центра ПЗС-матрицы, и координаты изображений пятна, отсчитываемые от края ПЗС-матрицы.
Очевидно, что , т.е. величина параллакса осталась неизмененной.
Центратор работает следующим образом.
Оператор выключает лазер, монитор и цифровые фотокамеры, вычислитель и, наблюдая на мониторе объект, совмещает лазерное пятно с центром нужной зоны контроля.
При этом на индикаторе телевизионного вычислителя или дисплея компьютера в реальном времени индицируются значения текущего расстояния от объекта до рентгеновского излучателя, вычисленные по вышеприведенной формуле.
После окончания процесса наведения рентгеновского излучателя на объекте и определения расстояния до него производится рентгенографирование объекта контроля.
Для повышения контраста изображения лазерных пятен перед объективами цифровых фотокамер могут устанавливаться узкополосные светофильтры, полоса пропускания которых соответствует полосе излучения лазера.
Литература
1. Лазерный центратор для рентгеновского излучателя, патент РФ №2235447.
Формула изобретения
Лазерный центратор для рентгеновского излучателя, содержащий корпус с расположенными в нем лазером, ось которого параллельна продольной оси рентгеновского излучателя, отражатель из оргстекла, установленный на пересечении осей лазера и рентгеновского пучка, цифровую фотокамеру и телевизионный вычислитель или компьютер для определения расстояния от объекта до рентгеновского излучателя и монитор, отличающийся тем, что дополнительно введена вторая и цифровая фотокамера, аналогичная первой, ось объектива которой параллельна оси объектива первой цифровой фотокамеры и оси рентгеновского пучка, оси объективов обеих цифровых фотокамер расположены на расстоянии В друг от друга и лежат в плоскости, образованной осями лазера и рентгеновского пучка, ось объектива первой цифровой фотокамеры расположена на расстоянии 1 t+А/2 от оси рентгеновского пучка, где t= ·tg ( /2), – расстояние от фокуса рентгеновского излучателя до ПЗС-матрицы первой цифровой фотокамеры размером А×А, – угол излучения рентгеновского излучателя, обе цифровые фотокамеры расположены на одном расстоянии , углы поля зрения обеих цифровых фотокамер, имеющих объективы с одинаковым фокусным расстоянием f’ и идентичные ПЗС-матрицы размером А×А, отвечают условию а вычисленное расстояние D от объекта до рентгеновского излучателя определяется по формуле D= +D0, где где Р=Х2-Х1 – параллакс изображений лазерного пятна на объекте, совпадающего с точкой его пересечения осью рентгеновского пучка, X1 и Х2 – расстояния от точек пересечения осей объективов первой и соответственно второй цифровых фотокамер с соответствующими ПЗС-матрицами до изображения лазерного пятна на ПЗС-матрице первой и соответственно второй цифровых фотокамер.
РИСУНКИ
MM4A – Досрочное прекращение действия патента СССР или патента Российской Федерации на изобретение из-за неуплаты в установленный срок пошлины за поддержание патента в силе
Дата прекращения действия патента: 05.04.2008
Извещение опубликовано: 20.04.2010 БИ: 11/2010
|
|