|
|
(21), (22) Заявка: 2004126436/09, 03.02.2003
(24) Дата начала отсчета срока действия патента:
03.02.2003
(30) Конвенционный приоритет:
01.02.2002 US 10/066,115
(43) Дата публикации заявки: 27.01.2006
(46) Опубликовано: 20.01.2008
(56) Список документов, цитированных в отчете о поиске:
WO 99/50966 A1, 07.10.1999. US 6073002 A, 06.06.2000. US 5787126 A, 28.07.1998. RU 2097920 C1, 21.11.1997.
(85) Дата перевода заявки PCT на национальную фазу:
01.09.2004
(86) Заявка PCT:
US 03/03429 (03.02.2003)
(87) Публикация PCT:
WO 03/065602 (07.08.2003)
Адрес для переписки:
129010, Москва, ул. Б. Спасская, 25, стр.3, ООО “Юридическая фирма Городисский и Партнеры”, пат.пов. Ю.Д.Кузнецову, рег.№ 595
|
(72) Автор(ы):
ШАХ Питер Дживан (US)
(73) Патентообладатель(и):
КВЭЛКОММ ИНКОРПОРЕЙТЕД (US)
|
(54) КАЛИБРОВКА ПОДАВЛЕНИЯ ИСКАЖЕНИЙ
(57) Реферат:
Изобретение относится к технике связи и может быть использовано для компенсации нелинейных искажений в беспроводных коммуникационных устройствах. Беспроводное коммуникационное устройство содержит приемник прямого преобразования с понижением частоты и устройство подавления искажений для подавления приемнике нелинейных искажений второго порядка, причем устройство подавления содержит устройство возведения в квадрат для приема принимаемого радиочастотного (РЧ) сигнала, подаваемого на вход смесителя в приемнике, и формирования квадратичной версии принятого РЧ сигнала, каскад усиления, предназначенный для приема квадратичной версии принятого РЧ сигнала, причем выходной сигнал каскада усиления имеет амплитуду, соответствующую характеристике нелинейности второго порядка упомянутого приемника, и выходное устройство связи для подачи выходного сигнала каскада усиления на выход упомянутого приемника для формирования преобразованного с понижением частоты сигнала полосы частот модулирующего сигнала, характеризуемого подавленными нелинейными искажениями второго порядка. Технический результат – уменьшение нелинейных искажений второго порядка, обусловленных источниками помех и возникающих в приемнике прямого преобразования с понижением частоты. 4 н. и 32 з.п. ф-лы, 6 ил.
Область техники
Настоящее изобретение в общем относится к устройствам беспроводной связи, а в частности к системе и способу калибровки подавления искажений в беспроводном коммуникационном устройстве.
Предшествующий уровень техники
Широкое распространение беспроводной связи приводит к тому, что все большее число провайдеров услуг используют дополнительные услуги и технические возможности. В настоящее время большое количество провайдеров услуг занимают относительно ограниченный диапазон радиочастотного спектра. В результате такой «перенаселенности» спектра для беспроводных коммуникационных систем возникает угроза создания взаимных помех. Например, системы беспроводной связи двух разных провайдеров услуг могут занимать соседние полосы частот. В этой ситуации высока вероятность возникновения взаимных помех.
Характерный пример таких помех можно наблюдать в беспроводных системах с кодовым разделением каналов (МДКР). В одной из реализаций система МДКР занимает полосу частот, соседнюю с полосой частот, распределенной в традиционной системе сотовой телефонной связи, известную как Усовершенствованная система мобильной телефонии (AMPS).
В традиционных аппаратах МДКР отсев нежелательных сигналов производится посредством включения в тракт после смесителя фильтров. ФИГ.1 иллюстрирует одну из известных беспроводных систем 10 с прямым переносом сигнала в низкую полосу частот или на низкую промежуточную частоту (ПЧ), где радиочастотный (РЧ) тракт 12 подключен к антенне 14. Выход РЧ тракта 12 подключен к усилителю 16, усиливающему РЧ сигнал. РЧ тракт 12 и усилитель 16 могут содержать такие традиционные компоненты, как усилители, фильтры и т.д. Функционирование этих элементов хорошо известно и не нуждается в детальном описании.
Выход усилителя 16 подключен к разветвителю 18, разделяющему обрабатываемый сигнал на два идентичных сигнала для дальнейшей обработки смесителем 20. Разветвитель 18 может представлять собой электронную цепь или, в простейшем случае, проводное соединение. Смеситель 20 содержит первый и второй смесители, 22 и 24 соответственно. Смесители 22 и 24 абсолютно идентичны, но получают разные сигналы гетеродина. Смеситель 22 получает сигнал гетеродина, обозначенный LOI, тогда как смеситель 24 получает сигнал гетеродина, обозначенный LOQ. Эти сигналы гетеродина смещены по фазе на 90° относительно друг друга, образуя квадратурный смеситель. Выходы смесителя 20 подключены к помехоподавляющему фильтру 26. Точнее, выход смесителя 22 подключен к помехоподавляющему фильтру 28, а выход смесителя 24 подключен к помехоподавляющему фильтру 30. Функционирование помехоподавляющих фильтров 28 и 30 идентично, за исключением квадратурных фазовых отношений сигналов на выходе смесителя 20. С выходов помехоподавляющих фильтров 28 и 30 снимаются квадратурные выходные сигналы IOUT и QOUT соответственно.
Помехоподавляющие фильтры 28 и 30 предназначены для удаления нежелательных сигналов, таких как сигналы передатчиков, работающих на частотах, соседних с частотой системы 10. Таким образом, помехоподавляющие фильтры 28 и 30 предназначены для удаления “внеполосных” сигналов. Помехоподавляющие фильтры 28 и 30 могут представлять собой фильтры нижних частот, полосовые фильтры, либо составные фильтры (например, один фильтр с двумя входами и двумя выходами), в зависимости от реализации системы 10. Функционирование помехоподавляющих фильтров 28 и 30 хорошо известно и не нуждается в детальном описании. В то время как помехоподавляющие фильтры 28 и 30 могут минимизировать влияние внеполосных сигналов, существуют другие виды помех, для борьбы с которыми помехоподавляющие фильтры неэффективны.
Например, продукты искажений, создаваемых смесителем 20, могут привести к помехам, которые невозможно устранить помехоподавляющими фильтрами 28 и 30. Если рассматривать отдельно взятое беспроводное устройство МДКР, это устройство предназначено для работы на определенной радиочастоте или канале в спектре частот. Если система AMPS работает на множестве каналов, отделенных друг от друга частотным промежутком  J, искажения второго порядка на выходе смесителя 20 будут создавать компонент выходного сигнала на частоте  J. Необходимо отметить, что искажения второго порядка на выходе смесителя 20 будут создавать сигнальные компоненты на частотах, равных сумме и разности двух помеховых частот. Однако сигнал на частоте, равной сумме помеховых частот, будет лежать за пределами рабочего диапазона частот беспроводного устройства, и помех создавать не будет. Однако разностный сигнал, определенный здесь как  J, может оказаться в пределах полезного канала и создаст существенные помехи полезному сигналу.
В этих обстоятельствах сигналы AMPS, рассматриваемые как мешающие, создают помехи полезному сигналу системы МДКР. Несмотря на то, что в настоящем примере в качестве мешающих рассматриваются сигналы AMPS, специалистам в данной области техники должно быть понятно, что мешающими могут стать любые радиочастотные источники, разнесенные по частоте относительно друг друга.
Если такие искажения второго порядка попадают в полосу канала, помехоподавляющие фильтры 28 и 30 будут неэффективны, и результирующая помеха может привести к неприемлемым потерям отношения несущая/шум. Необходимо отметить, что такая помеха может возникнуть независимо от абсолютных значений частот мешающих сигналов. При попадании в канал МДКР продуктов искажений второго порядка существенна только разность частот.
Существуют промышленные стандарты, лимитирующие разрешенный уровень искажений высшего порядка в беспроводных системах связи. Для измерения линейности используется общепринятая технология, известная как приведенная ко входу точка пересечения (IIP). Искажения второго порядка, обозначаемые как IIР2, отображаются как точка пересечения, в которой кривая выходной мощности сигнала второго порядка пересекается с кривой сигнала первого порядка. Как известно, кривая первого порядка, или первичная характеристика, может быть изображена на графике как отношение выходной мощности (РOUT) к входной(PIN). В линейных системах характеристика первого порядка линейна. Таким образом, характеристика мощности первого порядка на логарифмической шкале имеет наклон 1:1. Кривая мощности продуктов искажений второго порядка имеет на логарифмической шкале наклон 2:1. Следовательно, экстраполяция кривой второго порядка пересечет экстраполяцию основного или линейного графика. Эта точка пересечения обозначается как IIР2. Желательно, чтобы значение IIР2 было максимально возможным. Спецификации и промышленные стандарты содержат различные значения IIР2, которые изменяются как от одной беспроводной системы связи к другой, так и со временем. Конкретное значение IIР2 не нуждается в обсуждении в данном случае.
Необходимо отметить, что обсуждаемые здесь искажения второго порядка представляют собой более серьезную проблему при использовании архитектуры прямого преобразования с понижением частоты, показанной на ФИГ. 1. В традиционном супергетеродинном приемнике радиочастотный тракт 12 подключается к тракту промежуточной частоты (ПЧ) (не показан). Тракт ПЧ содержит полосовые фильтры, которые подавляют низкочастотные продукты искажений. Таким образом, искажения второго порядка не представляют собой серьезной проблемы для супергетеродинного приемника. Следовательно, спецификации IIР2 реализуются в супергетеродинном приемнике без особенных затруднений. Однако в приемнике с прямым преобразованием с понижением частоты, показанном на ФИГ. 1, любая фильтрация должна осуществляться в полосе частот модулирующих сигналов (базовой полосе). Так как продукты искажений второго порядка зависят от разноса частот,  J, а не от абсолютных значений мешающих частот, требования IIР2, как правило, весьма высоки для архитектуры приемника с прямым преобразованием с понижением частоты. Нередко требования IIР2 оказываются наиболее сложными в реализации архитектуры приемника с прямым преобразованием с понижением частоты.
Как было отмечено выше, искажения второго порядка зачастую являются результатом нелинейности смесителя 20. Существует ряд факторов, приводящих к дисбалансу смесителя 20, таких как рассогласованность устройств (например, рассогласованность смесителей 22 и 24), импеданс гетеродинов и его рассогласованность. Кроме того, такие факторы, как рабочий цикл гетеродина, также сильно влияют на искажения второго порядка. Таким образом, широкий диапазон компонентов цепей и уникальная комбинация этих компонентов в каждом беспроводном коммуникационном устройстве приводят к непредсказуемости значения IIР2 для каждого конкретного устройства. Таким образом, для достижения соответствия спецификациям IIР2 может потребоваться калибровка этих устройств.
Таким образом, можно утверждать, что существует значительная потребность в системе и способе для беспроводной связи, позволяющем снизить уровень нежелательных продуктов искажений до приемлемого. Настоящее изобретение удовлетворяет эту потребность и предоставляет другие преимущества, что станет ясно из дальнейшего детального описания и прилагаемых фигур чертежей.
КРАТКОЕ ОПИСАНИЕ ИЗОБРЕТЕНИЯ
Предлагаются новые способы калибровки подавления искажений.
В иллюстративной реализации схема подавления искажений, используемая в беспроводном коммуникационном устройстве, включает радиочастотный (РЧ) приемник и содержит каскад усиления со входом, подключенным к приемнику, и выход, причем тракт усиления управляет амплитудой выходного сигнала, связанного с характеристикой нелинейности второго порядка приемника. Выходная схема связи соединяет выход тракта усиления с приемником.
В одной из реализации управление амплитудой каскада усиления основывается на амплитуде характеристики нелинейности второго порядка приемника. Сигнал, относящийся к характеристике нелинейности второго порядка приемника, может формироваться внутренним образом, в приемнике, либо может формироваться схемой возведения в квадрат, связанной с приемником.
В варианте реализации, когда РЧ приемник генерирует преобразованный с понижением частоты выходной сигнал, выходная схема связи может содержать сумматор с первым и вторым входами, причем на первый вход подается выходной сигнал приемника, а на второй вход – выходной сигнал каскада усиления. Каскад усиления может формировать выходной ток, соответствующий характеристике нелинейности второго порядка приемника. Выходная схема связи может иметь прямое соединение с преобразованным с понижением частоты выходным сигналом приемника.
В одном варианте, заявленная схема используется для калибровки, когда приемник генерирует преобразованный с понижением частоты выходной сигнал и выполнен с возможностью приема внешнего выходного сигнала для настройки каскада усиления, чтобы минимизировать характеристику нелинейности второго порядка выходного сигнала приемника.
В другом варианте, схема автоматической калибровки может использоваться с беспроводным коммуникационным устройством, где источник сигнала генерирует тестовый сигнал, а коммутатор избирательно подключает источник сигнала к входу приемника для подачи тестового сигнала на вход приемника, что позволяет осуществлять подстройку подавления искажений в приемнике.
Схема коммутатора может избирательно активироваться в режиме автокалибровки, либо в заранее определенные моменты.
В одном варианте осуществления источник сигнала содержит встроенный генератор сигналов. Встроенный генератор сигналов может генерировать тестовый сигнал с множеством частотных компонентов, имеющих заранее определенный частотный разнос. В другой реализации беспроводное коммуникационное устройство содержит РЧ передатчик, а схема может дополнительно содержать средство управления передатчиком, управляющее подачей сигнала на передатчик, и избирательно активироваться в процессе автокалибровки для генерации тестового сигнала. В одном варианте осуществления схема может дополнительно содержать аттенюатор, подключенный к выходу передатчика для генерации ослабленного выходного сигнала в качестве тестового сигнала.
КРАТКОЕ ОПИСАНИЕ ЧЕРТЕЖЕЙ
ФИГ.1 – функциональная блок-схема традиционного беспроводного коммуникационного приемника.
ФИГ.2 – функциональная блок-схема характерной реализации настоящего изобретения.
ФИГ.3 – функциональная блок-схема смесителя приемника, иллюстрирующая реализацию настоящего изобретения.
ФИГ.4 – принципиальная схема, иллюстрирующая одну из возможных реализации настоящего изобретения.
ФИГ.5 – функциональная блок-схема альтернативной реализации настоящего изобретения.
ФИГ.6 – функциональная блок-схема другой альтернативной реализации настоящего изобретения.
ДЕТАЛЬНОЕ ОПИСАНИЕ
Данное изобретение относится к схеме калибровки и способу, упрощающему процесс калибровки индивидуальных беспроводных коммуникационных устройств. Термин “беспроводное коммуникационное устройство” включает, не ограничиваясь перечисленным, сотовые телефоны, устройства систем персональной связи (PCS), радиотелефоны, мобильные устройства, базовые станции, спутниковые приемники и тому подобное. В одной из реализаций схема калибровки используется для компенсации разброса параметров компонентов. В альтернативной реализации, также описываемой здесь, встроенная схема калибровки может использоваться для компенсации рассогласования компонентов ввиду старения цепей или других изменений функциональных параметров цепей.
Значение IIP2 играет важнейшую роль в прямых преобразователях с понижением частоты. Требуемые значения IIP2, как правило, весьма высоки, а их реальная оценка затруднена ввиду статистического характера параметра. То есть рассогласование компонентов является величиной статистической. Даже так называемые “согласованные” компоненты интегральной схемы допускают вариации функциональных характеристик ввиду вариаций обработки интегральной схемы. Таким же образом внешние компоненты допускают непредсказуемые вариации, которые невозможно учесть при конструировании РЧ цепей.
Известны методы подавления искажений IIР2, но все они достаточно сложны либо приводят к появлению новых нежелательных частотных компонентов, что требует внесения изменений в план частот (т.e. перераспределения частотного спектра). Кроме того, эти технологии вносят помехи в РЧ тракт и ухудшают другие РЧ параметры, такие как коэффициент шума и IIP3. В результате, такие цепи приводят к усложнению схем, повышению стоимости и ухудшению качества.
В противоположность этому, настоящее изобретение использует способ прямой связи, основанный на единовременной калибровке на уровне телефона. Схема настоящего изобретения разработана таким образом, что она не взаимодействует с РЧ трактом, вследствие чего РЧ тракт может быть оптимизирован по другим РЧ параметрам (например, коэффициенту шума и IIР3), независимо от IIР2. Вся калибровка выполняется в полосе частот модулирующих сигналов, что упрощает конструирование и позволяет снизить энергопотребление.
Как обсуждалось ранее, нелинейные искажения второго порядка являются значительной проблемой для архитектуры приемников с прямым преобразованием (т.e. архитектуры с нулевой ПЧ или низкой ПЧ). Несмотря на то, что гетеродинные приемники также генерируют искажения второго порядка, для снижения нежелательных нелинейных искажений могут использоваться другие традиционные технологии. Например, тщательная селекция ПЧ частоты с последующей фильтрацией в гетеродинных приемниках, как правило, позволяет снизить нелинейные искажения второго порядка до приемлемого уровня. Несмотря на то, что обсуждаемая технология рассматривается на примерах с низкой ПЧ или нулевой ПЧ, принципы настоящего изобретения могут применяться и в приемниках другой архитектуры, включая гетеродинные приемники.
Более того, настоящее описание может относиться к сигналу полосы модулирующих частот, полученному в результате преобразования в архитектуре с низкой ПЧ или нулевой ПЧ. Однако принципы настоящего изобретения в общем случае могут применяться к преобразованному с понижением частоты сигналу, генерируемому смесителем. Таким образом, настоящее изобретение не ограничивается архитектурой приемника, но может в общем случае применяться к любому преобразованному с понижением частоты сигналу, содержащему нелинейные искажения второго порядка.
Настоящее изобретение реализовано в системе 100, показанной на функциональной блок-схеме на ФИГ.2. Система 100 обрабатывает входной сигнал P4IN, показанный на ФИГ.2 в форме РЧ напряжения VRF. Входной сигнал P4IN обрабатывается традиционным РЧ блоком 102. РЧ блок может содержать усилители, фильтры и тому подобное. Кроме того, РЧ блок обычно содержит смеситель, такой как смеситель 20, показанный на ФИГ.1, для преобразования РЧ сигнала в полосу модулирующих частот. Как показано на ФИГ.2, сигнал полосы модулирующих частот содержит компоненты, обозначенные как iBBdesired+iIM2 – Такое обозначение представляет полезный сигнал полосы модулирующих частот, объединенный с нежелательным сигналом, полученным в результате искажений второго порядка в РЧ блоке 102.
Система 100 включает также компенсационную ветвь 104, которая содержит схему 106 возведения в квадрат, фильтр нижних частот 108 и усилитель с переменным коэффициентом усиления (УПУ) 110. Схема 106 возведения в квадрат формирует квадратичную версию напряжения VРЧ. Как известно, схема возведения в квадрат формирует ряд нежелательных гармоник на кратных частотах. Фильтр нижних частот 108 предназначен для подавления нежелательных частот, чтобы компенсационная ветвь 104 не вносила нежелательных помех. УПУ 110 используется для ослабления или усиления компенсационного сигнала, обозначенного на ФИГ.2, как iIM2cal. Компенсационный сигнал iIM2cal объединяется с выходным сигналом РЧ блока посредством сумматора 114. На выходе сумматора 114 формируется полезный сигнал ioutBB. Если компенсационный ток iIM2cal эквивалентен нежелательной компоненте сигнала iIM2, выходной сигнал ioutBB будет эквивалентен полезному сигналу iBBdesired.
Как показано на ФИГ. 2, схема калибровки IM2 основана на подавлении выходного тока IM2, генерируемого РЧ блоком 102, программируемым током IM2, полученным из другого источника. В настоящем примере программируемый компенсационный ток получен непосредственно из РЧ сигнала, но не взаимодействует с РЧ трактом в РЧ блоке 102. Таким образом, преимуществом настоящей технологии является отсутствие помех, вносимых в РЧ тракт. В связи с этим введение калибровки IM2 не ухудшает другие РЧ параметры, такие как коэффициент усиления, коэффициент шума и IIP3.
Для более полного подавления нежелательного сигнала сумматором 114 два тока IM2 (т.е. iIM2 и iIM2cal) должны быть точно в фазе или смещены по фазе относительно друг друга на 180 градусов. Ввиду механизма генерации IM2 ожидается, что так и будет, как показано ниже. Как отмечено выше, РЧ блок 102 содержит такие традиционные компоненты, как смеситель 20 (см. ФИГ.1). Ток IM2, генерируемый смесителем 20, можно описать выражением:

Выражая VRF в полярных координатах и учитывая, что оно может быть ослаблено на некоторое значение mix, и его фаза смещена на некоторый угол mix в цепях смесителя, мы получаем:

а раскрывая это выражение, имеем

Часть сигнала, представленная выражением (3), зависит от значения 2 RF. Данная часть выражения (3) не рассматривается в данном анализе, так как располагается на очень высокой частоте и отфильтровывается с помощью традиционных технологий. Однако низкочастотная часть может попасть в полезный канал полосы модулирующих частот. Таким образом, представляющим интерес продуктом IM2 из выражения (3) является

Таким же образом, компенсационный ток IM2, генерируемый на выходе УПУ 110 на ФИГ. 2, описывается выражением

где acal – программируемый коэффициент масштабирования. Подавление IM2 сумматором 114 достигается при условии

Таким образом, подавление IМ2 становится возможным, независимо от фазового сдвига РЧ mix в смесителе.
В типичной реализации РЧ блока 102 смесители являются основной причиной IM2. Таким образом, для повышения соответствия источника IМ2 (т.e. смесителя) и калибровочного сигнала IM2, желательно извлекать калибровочный сигнал IМ2 непосредственно из смесителей. Это реализуется простым способом, так как эмиттерные узлы смесителя являются причиной наиболее сильной нелинейности второго порядка. По идее, цепь калибровки IM2 может быть реализована, как показано на функциональной блок-схеме на ФИГ. 3. Для большей ясности на ФИГ. 3 изображен только один смеситель (т.e. смеситель I или смеситель Q). Специалистам в данной области техники должно быть понятно, что дополнительный смеситель и цепь калибровки реализуются в соответствии с приведенным здесь описанием. Необходимо также отметить, что упрощенная функциональная блок-схема на ФИГ.2 представляет несимметричную систему, тогда как функциональная блок-схема на ФИГ.3 является дифференциальной реализацией с дифференциальными входами и дифференциальными выходами. Специалистам в данной области техники должно быть понятно, что принципы настоящего изобретения могут быть применены как в несимметричных, так и в дифференциальных системах.
РЧ блок 102 содержит согласователь 120, принимающий входной сигнал РЧin в форме дифференциального напряжения и генерирующий дифференциальные выходные сигналы, которые подводятся ко входам смесителя 122 посредством ряда комбинаций резисторов R и конденсаторов С. Выходы согласователя 120, показанные пунктирными линиями, представляют собой входы второго смесителя (не показан). Резистор R и конденсатор С служат делителями тока для смесителя 122 и второго смесителя (не показан). Входные токи смесителя 122 обозначены на ФИГ.3 как IRF1 и IRF2 соответственно. Необходимо отметить, что последовательная RC-цепь не является существенной для успешного функционирования настоящего изобретения. Скорее, RC-цепь представляет собой одну из возможных реализации разветвителя 18 (см. ФИГ.1). Настоящее изобретение не ограничено определенной реализацией разветвителя 18. Кроме того, смеситель 122 принимает на вход сигнал дифференциального гетеродина (LO) и генерирует дифференциальный выходной сигнал полосы модулирующих частот (ВВ OUT).
Смеситель 122 показан на ФИГ.3 с использованием традиционных схемотехнических символов. Смеситель может быть реализован посредством транзисторной цепи, показанной в нижней части ФИГ.3 с использованием известной конфигурации дифференциального смесителя с перекрестие включенными транзисторами. Эмиттеры транзисторов на ФИГ.3 соединены друг с другом, образуя первый и второй входные узлы, принимающие РЧ сигнал. Входные узлы смещаются током смещения IB известным способом. В альтернативной реализации согласователь 120 может обеспечивать достаточный ток смещения, что позволяет исключить источники тока смещения IB.
Транзисторная схема смесителя 122, показанная на ФИГ.3, содержит первую и вторую пары транзисторов, эмиттеры которых соединены друг с другом, образуя входные узлы смесителя 122. Входные узлы смесителя 122 управляются токами IRF1 и IRF2 соответственно. На входных узлах смесителя 122 на ФИГ.3 показаны также напряжения VE1 и VE2 соответственно. Специалистам в данной области техники должно быть понятно, что функционирование транзисторов в нелинейном режиме приводит к нелинейности второго порядка входного сигнала на входных узлах смесителя 122. Этот нелинейный компонент обозначен напряжениями VE1 и VE2 на входных узлах смесителя 122. В реализации, показанной на ФИГ.3, отсутствует необходимость во внешней схеме 106 возведения в квадрат, показанном на ФИГ.2. На самом деле система 100 работает с нелинейным сигналом второго порядка, генерируемым непосредственно в смесителе 122. Токи IRF1 и IRF2 могут рассматриваться как входные сигналы схемы возведения в квадрат (например, схемы 106 возведения в квадрат, показанной на ФИГ.2), в то время как напряжения VE1 и VE2 могут рассматриваться как выходы этой схемы. Преимуществом реализации, изображенной на ФИГ.3, является то, что функция формирования квадратичной версии сигнала является побочным продуктом функционирования смесителя 122 и не требует дополнительной цепи (например, схемы 106 возведения в квадрат) для генерации квадратичной версии сигнала, используемого компенсационной ветвью 104. Другим преимуществом реализации, показанной на ФИГ.3, является то, что квадратичная версия сигнала генерируется непосредственно смесителем 122, являющимся также источником нелинейности, приводящей к появлению нежелательного сигнала IM2 (показанного на ФИГ.2 как iIM2). Таким образом, компенсационный ток, генерируемый компенсационной ветвью 104 на ФИГ.3, полностью соответствует нелинейному сигналу, генерируемому смесителем 122. Другие компоненты РЧ блока 102 также могут служить источниками нелинейного сигнала второго порядка. Например, генерировать нелинейный сигнал второго порядка может согласователь 120.
ФИГ.3 иллюстрирует также реализацию компенсационной ветви 104. Пары резисторов подводят РЧ токи IRF1 и IRF2 к каскаду усиления 126. Выход каскада усиления 126 подключен к переменному аттенюатору 128, генерирующему калибровочные токи IIM2cal1 и IIM2cal2.
Калибровочный ток может быть записан как:

что представляет требуемую форму.
Использование эмиттерного узла смесителя 122 как источника IM2 для калибровки предпочтительно потому, с упрощенной точки зрения, что генерируемые смесителями IM2 могут быть представлены как мощные IM2 сигналы, неравномерно просачивающиеся с эмиттерного узла на два выхода ввиду разброса параметров транзисторов, используемых для реализации смесителя. Если бы такой разброс отсутствовал, смеситель не генерировал бы никакого дифференциального IM2, так как эмиттерный IM2 просачивался бы равномерно на оба выхода. Таким образом, ожидается, что выходной IM2 будет соответствовать эмиттерному IM2 (т.e. выходной IM2 будет равен коэффициенту разброса, умноженному на эмиттерный IM2).
В отсутствие температурной зависимости калибровочный ток, характеризуемый выражением (7) выше, будет обеспечивать соответствующую коррекцию для подавления IM2, генерируемого смесителями. К сожалению, моделирование показало, что коэффициент разброса является температурно зависимым, и эта зависимость меняется в соответствии с типом разброса (например, разброс сопротивлений эмиттеров дает другой температурный профиль, нежели разброс емкостей база-эмиттер и т.д.). На практике обычно доминирует один тип разброса, так что температурная зависимость является повторяемой. Следовательно, желательно учесть в значении коэффициента программируемую температурную зависимость. Таким образом, коэффициент в выражении (7) может быть изменен с включением следующей характеристики:

где cal и cal являются программируемыми константами, T – температурой, а Т0 – температурой, на которой проводится калибровка.
Упрощенная схема на ФИГ.4 иллюстрирует цепь, реализующую функцию калибровки. Она использует управляемый током DAC для установки коэффициента калибровки и токи IA и IB для установки температурной зависимости. Цепь работает следующим образом:
Прежде всего, перепишем различные токи в значениях IA, IB, Iref и ILF.

Полагая, что I4=0.5·(IB-IA), дополнительно имеем:

и таким же образом

Используя транслинейный принцип, согласно которому одни токи могут быть выражены через другие, находим, что:

и с использованием выражений (9) и транслинейных выражений (12),
(1+ 0)·(1- 2)=(1- 0)·(1+ 2)
выражения (10) и (11) сводятся к;

откуда получаем

и таким образом

Отсюда компенсационный ток IM2 выражается как

Требуемые температурные изменения могут быть реализованы, если ток IB будет межпороговым током, а ток IA будет комбинацией межпорогового и пропорционального абсолютной температуре (РТАТ):

Это можно легко реализовать с использованием программируемого токового зеркала, после чего мы получим желаемую функцию,

Необходимо отметить, что форма выражения (17) аналогична форме выражения (8) выше. Таким образом, ФИГ.4 показывает схемную реализацию компенсационной ветви 104. Необходимо отметить, что каскад усиления 126 имеет дифференциальные входы. Один вход подключен, через два резистора, к РЧ входам смесителя 122 (см. ФИГ.3). Благодаря переключающим токам транзисторов в смесителе 122, сигнал, подводимый ко входу каскада усиления через резисторы, содержит как переменную, так и постоянную составляющие. Сигнал Vref подводится ко второму входу каскада усиления 126. Напряжение Vref имеет значение, эквивалентное постоянной составляющей сигнала, генерируемого смесителем 122. Это эффективно подавляет постоянную составляющую и позволяет каскаду усиления 126 усиливать только переменный сигнал. Напряжение Vref может генерироваться с использованием другого смесителя без РЧ входа и с использованием того же входа гетеродина (LO). Транзисторы такого смесителя (не показаны) соответствуют транзисторам смесителя 122, чтобы постоянная составляющая сигнала смесителя (не показана) соответствовала постоянной составляющей, генерируемой смесителем 122.
Ввиду топологии цепей должно быть обеспечено, что IB>IA. Для этого текущий ток IB должен устанавливаться достаточно большим. Это достигается посредством отношения зеркальных токов B, описанного выше.
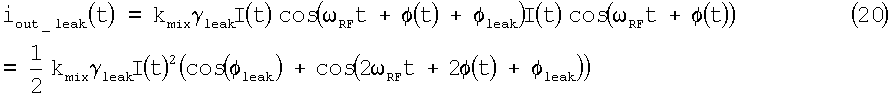
Как описано выше, разброс параметров компонентов смесителя 122 (см. ФИГ.3) является существенной причиной искажений IM2. Другой причиной искажений IM2, которые необходимо учитывать, является взаимодействие РЧ и гетеродина в смесителе 122. Ввиду разброса емкостных параметров устройства и т.п. на вход гетеродина может подаваться ослабленная версия РЧ сигнала. Этот сигнал будет пропорционален входному РЧ току iRF(t) и может иметь фазовый сдвиг на угол lеак.
На входе гетеродина получаем компонент сигнала формы

где I(t) и (t) являются представлением iRF(t) в полярных координатах (т.е. iRF(t)=I(t)cos( RFt+ (t))).
Смеситель 122 будет генерировать продукт смешивания РЧ сигнала на входе гетеродина и входного РЧ тока. Таким образом получаем следующий компонент сигнала на выходе смесителя:

где kmix – коэффициент усиления преобразования смесителя. Раскрывая вышеприведенное выражение, получим:

Как ясно из предшествующего анализа, высокочастотный компонент выражения (20) легко подавляется традиционной фильтрацией и не требует дальнейшего рассмотрения. Однако необходимо учитывать низкочастотную часть выражения (20), которая может быть представлена следующим образом:

где aleak=1/2kmix leakcos( leak).
Очевидно, что aleak является константой. Таким образом, искажения IM2, вызванные утечкой РЧ-гетеродина, также могут быть скорректированы описанным способом калибровки. Тем не менее, рекомендуется избегать утечки РЧ-гетеродина. Это можно осуществить более эффективно поддержанием низкого импеданса входа гетеродина на РЧ (например, использованием эмиттерных повторителей для возбуждения входа гетеродина смесителя).
Так как искажения IM2 являются статистическими по своей природе ввиду вариаций компонентов и процесса изготовления, каждое беспроводное коммуникационное устройство потребует уникальных значений тока калибровки. В одной из реализаций компенсационная ветвь 104 настраивается в процессе окончательной сборки на заводских испытаниях. Описанный выше процесс обеспечивает существенную коррекцию тока IM2 в беспроводном коммуникационном устройстве.
В альтернативной реализации беспроводное коммуникационное устройство может содержать дополнительную схему, обеспечивающую самостоятельную автокалибровку. Процесс автокалибровки может автоматически производиться беспроводным устройством с регулярными интервалами. Схема автокалибровки показана в виде функциональной блок-схемы на ФИГ.5. Функциональная блок-схема на ФИГ.5 содержит антенну 140 и дуплексер 142. Специалистам в данной области техники должно быть понятно, что дуплексер 142 позволяет использовать традиционную антенну как для приема, так и для передачи РЧ сигналов. Выход дуплексера 142 подключен к малошумящему усилителю (МШУ) 144. Выход МШУ 144 подключен к приемнику 146. Специалистам в данной области техники должно быть понятно, понятие «приемник» 146 описывает все цепи, участвующие в обработке принятых сигналов. Оно включает в себя РЧ блок 102 и связанные с ним компоненты.
Выход приемника 146 подключен к модему мобильной станции (MSM, MMC) 148. ММС 148 представляет собой цепи, используемые для обработки сигнала в полосе модулирующих частот. Кроме того, ММС обрабатывает данные полосы модулирующих частот для передачи. Соответственно, ММС 148 подключен также к передатчику 150. Передатчик 150 содержит все цепи, предназначенные для модуляции сигналов полосы модулирующих частот в соответствующие РЧ сигналы. Выход передатчика 150 подключен к усилителю мощности (УМ) 152. УМ 152 использует антенну 140 через дуплексер 142 для передачи РЧ сигналов. Функционирование таких компонентов цепей, как ММС 148 и передатчик 150, хорошо известно и не нуждается в детальном описании. Приемник 146 также является традиционным компонентом, за исключением добавленной компенсационной ветви 104 (см. ФИГ.2).
Так как система МДКР является полнодуплексной системой, передатчик 150 может быть включен одновременно с приемником 146. Настоящее изобретение использует преимущество этой возможности, используя передатчик 150 для генерации тестового сигнала, на котором производится калибровка IM2. Упрощенная архитектура, показанная на ФИГ.5, использует тот факт, что искажения IM2 не зависят от абсолютных частот сигналов, а только от их частотного разноса. При выключенных УМ 152 и МШУ 144 передатчик 150 может генерировать сигнал, направляемый прямо на приемник 146 через полупроводниковые переключатели 156 и 158. Выходной сигнал передатчика 150 ослабляется резистивным аттенюатором 160.
Приемник 146 обрабатывает принятый сигнал, и искажения IM2 в приемнике приводят к появлению продуктов искажений в полосе модулирующих частот. ММС 148 может обнаружить и минимизировать продукты искажений подстройкой калибровки IM2. При наличии соответствующей подготовки легко понять, что цепь калибровки на ФИГ.5 может использоваться с любой формой компенсационной ветви. Таким образом, схема автокалибровки не ограничена описанными выше компенсационными технологиями. Например, схема автокалибровки на ФИГ.5 может использоваться для компенсации коэффициента шума, коэффициента усиления цепей, линейности, сигналов IM3 так же, как и для компенсации сигналов IM2. Кроме того, схема автокалибровки на ФИГ.5 может использоваться для разных видов компенсации IM2, отличных от описанных выше схем согласно ФИГ.2-4. Таким образом, настоящее изобретение не ограничено конкретными видами компенсационных ветвей.
Основной сигнал, генерируемый передатчиком 150, выходит далеко за пределы полосы пропускания фильтра низких частот (не показан), и таким образом не оказывает влияния на мощность сигнала полосы модулирующих частот. Соответственно, единственная мощность, определяемая ММС 148, – это продукты искажений IM2 и шум цепей. Таким образом, ММС 148 может осуществлять калибровку IM2 на основании простого измерения мощности.
В альтернативной реализации, показанной на ФИГ.6, требуемый тестовый сигнал генерируется внутренним источником 162 сигнала в приемнике. В иллюстративной реализации источник 162 сигнала генерирует сигнал, имеющий как минимум два частотных компонента, разделенных заранее определенным частотным промежутком. Как описано выше, беспроводный приемник может быть чувствителен к сигналам, разнесенным на частоту  j.
Источник 162 сигнала подключен ко входу приемника 146 переключателем 164. Переключатель 164 активируется переводом системы 100 в режим автокалибровки. Автокалибровка может производиться в заранее определенные моменты, например, при включении питания беспроводного коммуникационного устройства. В альтернативном случае автокалибровка может производиться периодически с заранее определенными временными интервалами.
Понятно, что хотя в описании детально раскрыты реализации и преимущества настоящего изобретения, данное описание является чисто иллюстративным, и, оставаясь в пределах общих принципов настоящего изобретения, в деталях могут вноситься любые изменения. Таким образом, настоящее изобретение ограничено только прилагаемой формулой.
Формула изобретения
1. Компенсационная ветвь для подавления нелинейных искажений второго порядка, обусловленных источниками помех и возникающих в приемнике прямого преобразования с понижением частоты, содержащая устройство возведения в квадрат для приема принимаемого радиочастотного (РЧ) сигнала, подаваемого на вход смесителя в приемнике, и формирования квадратичной версии принятого РЧ-сигнала, каскад усиления, предназначенный для приема квадратичной версии принятого РЧ-сигнала, причем выходной сигнал каскада усиления имеет амплитуду, соответствующую характеристике нелинейности второго порядка упомянутого приемника, и выходное устройство связи для подачи выходного сигнала каскада усиления на выход упомянутого приемника для формирования преобразованного с понижением частоты сигнала полосы частот модулирующего сигнала, характеризуемого подавленными нелинейными искажениями второго порядка.
2. Компенсационная ветвь по п.1, в которой выходное устройство связи подает упомянутый выходной сигнал каскада усиления на выход смесителя в приемнике.
3. Компенсационная ветвь по п.1, в которой приемник является приемником прямого преобразования с понижением частоты с нулевой промежуточной частотой (ПЧ) приемника.
4. Компенсационная ветвь по п.1, в которой приемник является приемником прямого преобразования с понижением частоты с низкой ПЧ.
5. Компенсационная ветвь по п.1, в которой выходное устройство связи представляет собой сумматор.
6. Компенсационная ветвь по п.1, в которой устройство возведения в квадрат является составной частью смесителя, а каскад усиления принимает квадратичную версию принятого РЧ-сигнала от смесителя.
7. Компенсационная ветвь по п.2, в которой устройство возведения в квадрат является составной частью смесителя, а каскад усиления принимает квадратичную версию принятого РЧ-сигнала от смесителя.
8. Компенсационная ветвь по п.3, в которой устройство возведения в квадрат является составной частью смесителя, а каскад усиления принимает квадратичную версию принятого РЧ-сигнала от смесителя.
9. Компенсационная ветвь по п.4, в которой устройство возведения в квадрат является составной частью смесителя, а каскад усиления принимает квадратичную версию принятого РЧ-сигнала от смесителя.
10. Компенсационная ветвь по п.5, в которой устройство возведения в квадрат является составной частью смесителя, а каскад усиления принимает квадратичную версию принятого РЧ-сигнала от смесителя.
11. Компенсационная ветвь по п.1, дополнительно содержащая средство для настройки каскада усиления для обеспечения его калибровки.
12. Компенсационная ветвь по п.11, в которой упомянутое средство для настройки обеспечивает заводскую калибровку мобильного устройства, содержащего упомянутую компенсационную ветвь и приемник.
13. Компенсационная ветвь по п.11, в которой упомянутое средство для настройки содержит схему для обеспечения автономной автокалибровки.
14. Компенсационная ветвь по п.3, дополнительно содержащая средство для настройки каскада усиления для обеспечения его калибровки.
15. Компенсационная ветвь по п.14, в которой упомянутое средство для настройки обеспечивает заводскую калибровку мобильного устройства, содержащего упомянутую компенсационную ветвь и приемник.
16. Компенсационная ветвь по п.14, в которой упомянутое средство для настройки содержит схему для обеспечения автономной автокалибровки.
17. Компенсационная ветвь по п.4, дополнительно содержащая средство для настройки каскада усиления для обеспечения его калибровки.
18. Компенсационная ветвь по п.17, в которой упомянутое средство для настройки обеспечивает заводскую калибровку мобильного устройства, содержащего упомянутую компенсационную ветвь и приемник.
19. Компенсационная ветвь по п.17, в которой упомянутое средство для настройки содержит схему для обеспечения автономной автокалибровки.
20. Компенсационная ветвь по п.1, в которой квадратичная версия принятого РЧ-сигнала формируется внутренним образом смесителем.
21. Компенсационная ветвь по п.1, в которой смеситель содержит перекрестно включенные транзисторы, причем квадратичная версия принятого РЧ-сигнала формируется внутренним образом на эмиттерах транзисторов, причем упомянутый выходной сигнал каскада усиления с амплитудой, соответствующей характеристике нелинейности второго порядка упомянутого приемника, подается на коллекторы транзисторов.
22. Компенсационная ветвь по п.1, в которой каскад усиления формирует выходной сигнал с амплитудой, соответствующей нелинейной характеристике второго порядка упомянутого приемника с переменным усилением.
23. Компенсационная ветвь по п.22, в которой переменное усиление зависит от температуры.
24. Компенсационная ветвь по п.1, в которой каскад усиления содержит цифроаналоговый преобразователь, обеспечивающий программируемое усиление для выходного сигнала каскада усиления с амплитудой, соответствующей характеристике нелинейности второго порядка.
25. Беспроводное коммуникационное устройство, содержащее приемник и устройство подавления искажений для подавления в приемнике нелинейных искажений второго порядка, причем устройство подавления содержит устройство возведения в квадрат для приема принимаемого радиочастотного (РЧ) сигнала, подаваемого на вход смесителя в приемнике, и формирования квадратичной версии принятого РЧ-сигнала, каскад усиления, предназначенный для приема квадратичной версии принятого РЧ-сигнала, причем выходной сигнал каскада усиления имеет амплитуду, соответствующую характеристике нелинейности второго порядка упомянутого приемника, и выходное устройство связи для подачи выходного сигнала каскада усиления на выход упомянутого приемника для формирования преобразованного с понижением частоты сигналы полосы частот модулирующего сигнала, характеризуемого подавленными нелинейными искажениями второго порядка.
26. Устройство по п.25, в котором приемник является приемником прямого преобразования с понижением частоты с нулевой (ПЧ) или низкой ПЧ.
27. Устройство по п.26, дополнительно содержащее средство для настройки каскада усиления для обеспечения его калибровки.
28. Устройство по п.27, в котором упомянутое средство для настройки обеспечивает заводскую калибровку беспроводного коммуникационного устройства.
29. Устройство по п.27, в котором упомянутое средство для настройки содержит схему для обеспечения автономной автокалибровки.
30. Устройство для подавления нелинейных искажений второго порядка в приемнике, содержащее устройство возведения в квадрат для приема принимаемого радиочастотного (РЧ) сигнала, подаваемого на вход смесителя в приемнике, и формирования квадратичной версии принятого РЧ-сигнала, каскад усиления, предназначенный для приема квадратичной версии принятого РЧ-сигнала, причем выходной сигнал каскада усиления имеет амплитуду, соответствующую характеристике нелинейности второго порядка упомянутого приемника, и выходное устройство связи для подачи выходного сигнала каскада усиления на выход упомянутого приемника для формирования преобразованного с понижением частоты сигнала полосы частот модулирующего сигнала, характеризуемого подавленными нелинейными искажениями второго порядка.
31. Устройство по п.30, в которой приемник является приемником прямого преобразования с понижением частоты с нулевой (ПЧ) или низкой ПЧ.
32. Устройство по п.31, дополнительно содержащее средство для настройки каскада усиления для обеспечения его калибровки.
33. Устройство по п.32, в котором упомянутое средство для настройки обеспечивает заводскую калибровку мобильного устройства, содержащего упомянутое устройство и приемник.
34. Устройство по п.32, в котором упомянутое средство для настройки содержит схему для обеспечения автономной автокалибровки.
35. Способ уменьшения нелинейных искажений второго порядка, обусловленных источниками помех и возникающих в приемнике прямого преобразования с понижением частоты, заключающийся в формировании квадратичной версии принятого РЧ-сигнала, формирование на основе квадратичной версии принятого сигнала сигнала, который имеет амплитуду, соответствующую характеристике нелинейности второго порядка упомянутого приемника, и вычитании этого сигнала из выходного сигнала упомянутого приемника для формирования преобразованного с понижением частоты сигналы полосы частот модулирующего сигнала, характеризуемого подавленными нелинейными искажениями второго порядка.
36. Способ по п.35, дополнительно содержащий калибровку усиления, используемого для формирования на основе квадратичной версии сигнала сигнала, который имеет амплитуду, соответствующую характеристике нелинейности второго порядка упомянутого приемника.
РИСУНКИ
|
|