|
|
(21), (22) Заявка: 2006110199/09, 29.03.2006
(24) Дата начала отсчета срока действия патента:
29.03.2006
(46) Опубликовано: 20.01.2008
(56) Список документов, цитированных в отчете о поиске:
МИХАЙЛОВ Г.Д. и др. Методы и средства уменьшения радиолокационной заметности антенных систем. – Зарубежная радиоэлектроника, 1994, №4-5, с.54-59. ГОЛОВКОВ А.А. Комплексированные радиоэлектронные устройства. – М.: Радио и связь, 1996, с.114-120. RU 2271058 C1, 27.02.2006. RU 2269188 C1, 27.01.2006. RU 2072597 C1, 27.01.1997. FR 2595873 A, 18.09.1987. FR 2699742 A, 24.06.1994. US 5325094 A, 28.06.1994.
Адрес для переписки:
394064, г.Воронеж-64, ул. Старых Большевиков, 54а, ГОУ ВПО Воронежское ВВАИУ, научно-исследовательский отдел
|
(72) Автор(ы):
Головков Александр Афанасьевич (RU), Девятков Андрей Геннадьевич (RU), Козлов Сергей Вячеславович (RU), Мальцев Александр Михайлович (RU), Москалев Владимир Яковлевич (RU)
(73) Патентообладатель(и):
Государственное образовательное учреждение высшего профессионального образования Военный институт радиоэлектроники (RU)
|
(54) СПОСОБ УМЕНЬШЕНИЯ ЭФФЕКТИВНОЙ ПОВЕРХНОСТИ РАССЕЯНИЯ АНТЕНН И УСТРОЙСТВО ЕГО РЕАЛИЗАЦИИ
(57) Реферат:
Изобретение относится к антенной технике СВЧ и может быть использовано при проектировании апертурных антенн РЛС. Техническим результатом изобретения является снижение эффективной поверхности рассеяния (ЭПР) РЛС и повышение их чувствительности (увеличение дальности действия). Устройство для реализации способа уменьшения ЭПР антенн выполнено в виде трехслойной неоднородной структуры, размещенной перед антенной, при этом трехслойная неоднородная структура помещена в облучателе антенны, а сама структура выполнена из последовательно расположенных первой двумерно-периодической решетки проводящих полосок или стержней с проводимостью B1, диэлектрического слоя с толщиной d1 и показателем преломления n1 и второй двумерно-периодической решетки проводящих полосок или стержней с проводимостью В2, при этом указанные параметры слоев выбраны из условия обеспечения заданных модулей и фаз коэффициентов отражения сигнала собственного передатчика от антенны и падающего на антенну сигнала с помощью определенных математических выражений. 2 н.п. ф-лы, 4 ил.
Изобретение относится к антенной технике и радиолокации и может быть использовано для уменьшения радиолокационной заметности антенн за счет снижения их эффективной поверхности рассеяния (ЭПР) при одновременном повышении чувствительности путем снижения порогового уровня принимаемого сигнала.
Известен способ уменьшения ЭПР апертурных антенн (Михайлов Г.Д., Сергеев В.И., Соломин Э.А., Воронов В.А. Методы и средства уменьшения радиолокационной заметности антенных систем. Зарубежная радиоэлектроника, 1994, №4-5, с.54-59), состоящий в том что перед антенной устанавливают экран в виде металлической поверхности в форме конуса с прорезанными щелями. Этот экран пропускает волну с частотой и поляризацией собственной РЛС и отражает как металл волны других частот и поляризаций. Недостатком способа и устройства его реализации является то, что ЭПР снижается только на других поляризациях и частотах, отличных от поляризации и частоты собственной РЛС. Несмотря на утверждение авторов, что при этом общая ЭПР может быть снижена на 30 дБ, очевидно, что даже при 100%-ном рассеянии сигнала ортогональных поляризаций в полосе рабочих частот собственной РЛС ЭПР антенны может быть снижена максимально на 3 дБ. При этом сохраняется достаточно высокий уровень отраженного сигнала на основной поляризации, на рабочей частоте и в рабочие промежутки времени в пределах главного лепестка диаграммы направленности антенны (ДНА), что приводит к понижению чувствительности антенны, из чего следует соответствующее уменьшение дальности обнаружения цели.
Чувствительность антенны может быть повышена за счет использования согласующих устройств, включаемых между усилителем и антенной. Как правило, такие согласующие устройства проектируются исходя из условий обеспечения минимума отраженного сигнала. При этом обеспечивается защита нелинейных элементов усилителя от поражения отраженным от антенны сигналом, а также повышение чувствительности приемника. В настоящее время неизвестны способы и устройства одновременного уменьшения ЭПР антенн и повышения чувствительности приемника. Это связано с тем, что в число критериев синтеза согласующих устройств не входит критерий обеспечения минимума отражения падающего на антенну сигнала.
Известен способ уменьшения ЭПР апертурных антенн (там же), состоящий в том, что под обтекателем антенны создают плазменный экран, по форме совпадающий с обтекателем. При электронной концентрации внутри обтекателя выше некоторой критической в определенной полосе частот ЭПР антенны может быть значительно снижена. Недостатком этого способа является то, что в рабочей полосе частот собственной РЛС ЭПР антенны не снижается. Недостатком устройства реализации этого способа является высокое электропотребление. Кроме того, сохраняется достаточно высокий уровень отраженного сигнала на основной поляризации на рабочей частоте и в рабочие промежутки времени в пределах главного лепестка ДНА, что приводит к понижению чувствительности антенны, из чего следует соответствующее уменьшение дальности обнаружения цели.
Наиболее близким по технической сущности и достигаемому результату (прототипом) является способ уменьшения ЭПР антенных систем (там же), состоящий в выполнении обтекателя или экрана, располагаемых перед антенной в виде управляемой слоистой структуры, содержащей в произвольном порядке чередуемые между собой неуправляемые и управляемые слои, а также проводящий экран. Неуправляемые слои – это слои однородных диэлектриков или двумерно-периодические решетки проводящих элементов (полосок или стержней). Управляемые слои – это двумерно-периодические решетки проводящих элементов (полосок или стержней), в разрывы которых включены управляемые элементы – полупроводниковые диоды, сегнетокерамические конденсаторы, нелинейные емкости или нелинейные индуктивности. Управляемые слои могут быть выполнены также в виде ультрафиолетовых пленок, полупроводниковых пленок и резистивных неуправляемых пленок. В последнем случае управляемый слой является просто некоторой неуправляемой нагрузкой. Принцип действия управляемых слоистых структур, реализующих данный способ ЭПР антенных систем, состоит в том, что в периоды излучения и приема импульсов слоистая структура находится в режиме пропускания сигнала, которая обеспечивается при одном уровне управляющего воздействия (тока или напряжения) на управляемые элементы. При другом уровне управляющее воздействие, управляемая слоистая структура в период времени, не совпадающей с периодами излучения и приема импульса, переключается в состояние отражения сигнала. При этом отраженный сигнал рассеивается и ЭПР антенной системы в полосе рабочих частот и в пределах главного лепестка диаграммы направленности снижается примерно в Q (скважность) раз.
Недостатком этого способа является то, что ЭПР в отдельные промежутки времени снижаются только в пределах главного лепестка диаграммы направленности антенны. Ширина главного лепестка для апертурных антенн составляет доли или несколько градусов. Вне этого лепестка ЭПР антенны не снижается. Кроме того, в рабочие промежутки времени ЭПР не снижается принципиально. Все недостатки, перечисленные в отношении вышеуказанных способов уменьшения ЭПР, сохраняются и для данного способа.
Известно устройство уменьшения ЭПР антенн, реализующее данный способ (Головков А.А. Комплексированные радиоэлектронные устройства. – М.: “Радио и связь”, 1996, с.114-120; Управляемая структура для уменьшения эффективной поверхности рассеяния антенн. Заявка на изобретение №3147646 от 22.07.86. Авт. св-во №265523 от 01.12.87).
Это устройство выполнено в виде управляемой структуры для уменьшения эффективной поверхности рассеяния антенн, отличающейся от предыдущего устройства тем, что квадратная управляемая решетка и металлические решетки совмещены в одной плоскости, действительная составляющая иммитанса каждого полупроводникового элемента выбрана отрицательной, уровни управляющих низкочастотных сигналов выбраны из условия обеспечения усиливающих или генерирующих режимов работы, период “a” квадратной управляемой решетки, ширина d ее полосок и ширина ее разрывов выбраны соответственно равными 0,2 a 0,6 ; 0,4a d 0,9a; 0,05 a  0,9a, период am металлической решетки и ширина h ее проводящих полосок выбраны равными соответственно ; 10-4 h 10-2 , толщина d1 диэлектрических слоев и показатель преломления n их материала выбраны равными: d1=0,252/n и 1,1 n 5,5, где – средняя длина волны рабочего диапазона длин волн.
Недостатки этого устройства повторяют недостатки способа, который оно реализует. Главный из них состоит в том, что ЭПР антенны в рабочие промежутки времени и в угловом секторе, не совпадающем с главным лепестком диаграммы направленности, не может быть снижена.
Из известных устройств наиболее близким по технической сущности и достигаемому результату (прототипом) является устройство, реализующее этот способ и выполненное в виде управляемой структуры для уменьшения ЭПР антенны, содержащей трехслойную неоднородную структуру в виде двух одинаковых диэлектрических слоев из материала с показателем преломления 1,1 и 5,5 и расположенного между ними управляемого слоя и генератор управляющих сигналов, причем управляемый слой выполнен в виде фотополупроводниковой пленки, каждый диэлектрический слой выполнен из оптически прозрачного материала с толщиной, равной (0,15…0,5) , где – средняя длина волны рабочего диапазона, причем диэлектрические слои и управляемый слой расположены концентрически, а в точке, равноудаленной от внутренней поверхности трехслойной структуры, установлена лампа накачки оптического диапазона, подключенная к генератору управляющих сигналов (Головков А.А. Комплексированные радиоэлектронные устройства. – М.: “Радио и связь”, 1996, с.114-120;
Управляемая структура для уменьшения эффективной поверхности рассеяния антенны. Заявка на изобретение №3186037 от 08.12.87. Авт. св-во №294454 от 01.06.89).
Недостатки этого устройства повторяют недостатки способа, который оно реализует. Главным недостатком прототипа, как и предыдущих аналогов, является отсутствие возможности уменьшения ЭПР антенны в рабочие промежутки времени и в угловом секторе, не совпадающем с главным лепестком диаграммы направленности.
Техническим результатом изобретения является уменьшение уровня ЭПР антенной системы в рабочие промежутки времени и в секторе углов, совпадающем с главным лепестком диаграммы направленности, при одновременном увеличении чувствительности приемника и, соответственно, дальности обнаружения цели для РЛС, использующих импульсные, квазинепрерывные и непрерывные сигналы без нарушения функциональных свойств антенны.
Указанный результат достигается тем, что в способе уменьшения ЭПР антенн, основанном на использовании многослойной неоднородной структуры, состоящей из диэлектрических слоев и неуправляемых двумерно-периодических решеток проводящих полосок или стержней в количестве не менее трех и располагаемой перед антенной, многослойную неоднородную структуру помещают в облучателе антенны, слои многослойной неоднородной структуры размещают в произвольном порядке относительно друг друга, толщины диэлектрических слоев, показатели преломления диэлектриков этих слоев и проводимости двумерно-периодических решеток выбирают из условия обеспечения минимумов отраженного от антенны сигнала собственного передатчика и падающего на антенну сигнала.
Указанный результат достигается тем, что в устройстве уменьшения ЭПР антенн, выполненном в виде трехслойной неоднородной структуры, размещенной перед антенной, трехслойная неоднородная структура помещена в облучателе антенны, а сама структура выполнена из последовательно расположенных первой двумерно-периодической решетки проводящих полосок или стержней с проводимостью В1, диэлектрического слоя с толщиной d1 и показателем преломления n1 и второй двумерно-периодической решетки проводящих полосок или стержней с проводимостью В2, при этом указанные параметры слоев выбраны из условия обеспечения заданных модулей и фаз коэффициентов отражения сигнала собственного передатчика от антенны и падающего на антенну сигнала с помощью следующих математических выражений:

где =D1 +E1; =F1 +G1; 










Rн, ХН – действительные и мнимые составляющие сопротивления свободного пространства;
Ro, Хo – действительные и мнимые составляющие выходного сопротивления передатчика РЛС; m1, 1 – заданные значения модуля и фазы коэффициента отражения сигнала передатчика от антенны; m2, 1 – заданные значения модуля и фазы коэффициента отражения падающего на антенну сигнала; – средняя длина волны рабочего диапазона РЛС; значения показателя преломления диэлектрика n1 и сопротивления RО выбраны произвольно.
На фиг.1 показано устройство реализации способа уменьшения ЭПР антенн (прототипа).
На фиг.2 представлена трехслойная неоднородная структура, используемая в устройстве реализации способа-прототипа.
На фиг.3 показано устройство реализации предлагаемого способа уменьшения ЭПР антенн.
На фиг.4 представлена трехслойная неоднородная структура, используемая для реализации предлагаемого способа уменьшения ЭПР антенн.
Устройство для уменьшения эффективной поверхности рассеяния (фиг.1), выполнено в виде обтекателя – 1, антенны – 2 из трехслойной неоднородной структуры (фиг.2), состоящей из первого диэлектрического слоя – 3, управляемой решетки – 4, выполненной в виде фотополупроводниковой пленки, подключенной к генератору управляющих сигналов – 5, второго диэлектрического слоя – 6. Параметры диэлектрических слоев (толщины, диэлектрические проницаемости) выбраны из условия обеспечения при одном уровне напряжения генератора управляющих сигналов состояния, близкому к состоянию прозрачности, а при другом уровне – состояния, близкому к состоянию отражения. Принцип действия состоит в том, что в моменты излучения и приема импульсов неоднородная структура находится в состоянии прозрачности. Поэтому РЛС функционирует в нормальном режиме. В моменты времени, не совпадающие с моментами излучения и приема импульсов, неоднородная структура находится в состоянии отражения. Сама структура выполнена и установлена по отношению к антенне таким образом, что отраженный сигнал рассеивается в направлениях, отличных от направления прихода падающего сигнала. Поэтому среднее по времени значение ЭПР антенны снижается примерно в Q раз, где Q – скважность импульсного сигнала РЛС.
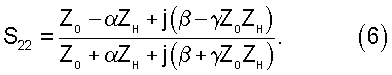
Недостатком такого устройства является то, что ЭПР антенны в рабочие промежутки времени не снижается. Это обстоятельство приводит к тому, что при использовании в РЛС непрерывных и квазинепрерывных сигналов данный способ и устройство его реализации неприменимы для уменьшения ЭПР антенн. Наличие больших значений ЭПР (особенно в пределах главного лепестка) свидетельствует о том, что от антенны отражается значительная часть падающего на нее сигнала. Наличие отраженного сигнала (в том числе и при приеме собственного сигнала, отраженного от целей) означает уменьшение чувствительности приемника РЛС, что приводит к уменьшению ее дальности действия. Уменьшение чувствительности связано с повышением порогового уровня принимаемого сигнала, который определяется с помощью следующего выражения (Головков А.А. Комплексированные радиоэлектронные устройства. – М.: “Радио и связь”, 1996, с.22):

где uуэ – пороговый уровень принимаемого сигнала используемыми управляемыми элементами (предельная чувствительность приемника РЛС); |S22| – модуль коэффициента отражения падающего на антенну сигнала. Для защиты управляемых элементов от поражения большим уровнем отраженного от антенны сигнала собственного передатчика и для увеличения мощности излучаемого сигнала необходимо снижать значение модуля коэффициента отражения |S11| сигнала собственного передатчика РЛС от облучателя антенны.
Таким образом, для достижения предельной чувствительности РЛС и увеличения мощности излучаемого сигнала необходимо снижать значение обоих модулей указанных коэффициентов отражения.
Устройство реализации предлагаемого способа (фиг.3) отличается от устройства реализации способа прототипа (фиг.1) тем, что трехслойная структура (фиг.2), формирующая корпус обтекателя, отсутствует. Вместо этого трехслойная структура размещена в облучателе – 7. Кроме того, трехслойная структура не имеет управляемого слоя – 4 и генератора управляющих сигналов – 5 и выполнено в виде последовательно расположенных первой двумерно-периодической решетки – 8 проводящих полосок или стержней – 9 с проводимостью В1 на средней длине волны рабочей полосы частот РЛС, диэлектрического слоя – 10 с толщиной d1 и показателем преломления n1 и второй двумерно-периодической решетки – 11 проводящих полосок или стержней – 12 с проводимостью B2. Значения параметров В1, d1 и B2 выбраны в соответствии с указанными выше выражениями (1), полученными из условия одновременного обеспечения заданных модулей и фаз коэффициентов отражения сигнала передатчика РЛС от трехслойной структуры и падающего на эту структуру сигнала со стороны свободного пространства. Значения модулей этих коэффициентов могут быть заданы сколь угодно близкими к нулю. Значения фаз могут быть заданы отличающимися на 180 градусов от падающих на трехслойную структуру со стороны передатчика и со стороны свободного пространства. Поэтому сумма падающих и отраженных сигналов будет близка к нулю. В результате одновременно будет обеспечено повышение чувствительности приемника РЛС и уменьшено значение ЭПР антенны. Отсутствие генератора управляющих сигналов говорит об отсутствии дополнительного энергопотребления.
Покажем возможность выполнения этих условий.
Пусть требуется при известных значениях комплексных сопротивлений источника сигнала Zo=Ro+jXo и нагрузки Zн=Rн+jXн определить минимальное количество слоев слоистой неоднородной структуры и значения их параметров, при которых на заданной фиксированной частоте одновременно обеспечивались заданные модули и фазы m1, 1 коэффициента отражения S11 сигнала передатчика от облучателя антенны, выполненного в виде слоистой структуры:

и заданные модули и фазы m2, 2 коэффициента отражения S22, падающего на слоистую структуру сигнала со стороны свободного пространства:

Эквивалентная схема слоистой неоднородной структуры в виде четырехполюсника может быть описана следующей классической матрицей передачи:

где a, b, c, d – элементы классической матрицы передачи (Сазонов Д.М. Антенны и устройства СВЧ. М.: Высшая школа, 1988, с.98).
Используя известные соотношения между элементами классической матрицы передачи и элементами матрицы рассеяния (Сазонов Д.М. Антенны и устройства СВЧ. – М.: Высшая школа, 1988, с. 99) и условия нормировки, учитывающие сопротивления Zo и Zн, получим выражения для коэффициента отражения S22.

Подставим (6) в (4) и после соответствующих преобразований и разделения между собой действительной и мнимой частей комплексного уравнения получим систему двух алгебраических уравнений
решение которой имеет вид

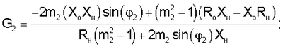
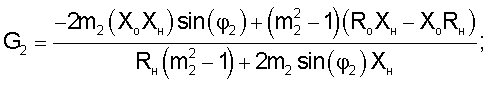
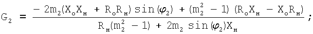
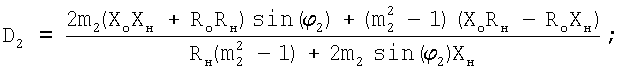
где 


Условие физической реализуемости + >0 (Головков А.А. Комплексированные радиоэлектронные устройства. – М.: “Радио и связь”, 1996, с.32) сводится к условию F2>0, поскольку (D2+G2)2-4E2F2=-4Ro 2. Указанное неравенство при заданном значении m2 приводит к ограничению на 2

или при заданном 2 – к ограничению на m2:

Полученные взаимосвязи (8) между элементами классической матрицы передачи слоистой неоднородной структуры могут быть использованы для определения значений ее параметров, оптимальных по критерию (4). Для этого необходимо выбрать слоистую неоднородную структуру из числа слоев, не меньшего двух, найти ее классическую матрицу передачи и представить эту матрицу в виде (5). Определенные таким образом коэффициенты , , , выраженные через параметры структуры, необходимо подставить в (8) и решить сформированную систему двух алгебраических уравнений относительно параметров двух слоев.
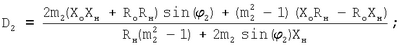
Аналогичным образом определяется выражение для коэффициента отражения S11 сигнала собственного передатчика РЛС от антенны

Подставим (11) в (3) и разложим полученное комплексное уравнение на действительную и мнимую части. В результате сформируем систему двух уравнений:
 
из решения которой следует, что элементы матрицы передачи слоистой неоднородной структуры связаны между собой следующим образом:

где 


Поскольку 
то условие физической реализуемости + >0 выполняется при любых , если F1>0. Из последнего неравенства
при заданном m1 вытекает ограничение на 1

или при заданном 1 – к ограничению на m1

Так как коэффициенты , , для реальной слоистой неоднородной структуры определяются только параметрами слоев самой структуры и не зависят от направления прихода сигнала, то оптимальные значения этих коэффициентов, определяемые с помощью (8) и (13) должны быть попарно равны. Из этих равенств следует ограничение на коэффициент :

Таким образом, для одновременного обеспечения критериев (3), (4) необходимо наличие в структуре минимум трех слоев, значения параметров которых должны быть определены из решения системы трех алгебраических уравнений (8), (16) или (13), (16). Указанные три уравнения формируются аналогично формированию двух уравнений для обеспечения этих же критериев в отдельности.
Второе равенство в (16) определяет ограничение на какой-то один из параметров РЛС, входящих в коэффициенты D1, Е1, G1, F1, D2, Е2, G2, F2. Значение сопротивления свободного пространства Rн+jXн задано объективно. Дополнительные ограничения на величины m1, m2, 1, 2 нежелательны. Поэтому остается возможность либо увеличивать количество слоев, либо ограничить действительную Ro или мнимую Хo части сопротивления передатчика РЛС. Пусть это будет величина Xo. Тогда из второго равенства (16) вытекает следующее математическое выражение, определяющее эту величину:

где

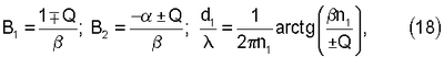
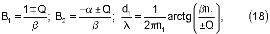
В соответствии с описанным алгоритмом была синтезирована структура, изображенная на фиг.4. Значения параметров этой структуры, оптимальные по критериям (3), (4), определяется в соответствии со следующими математическими выражениями:

где 
В выражениях (18) коэффициенты , , определяются выражениями (8), (16) или (13), (16). При этом второе равенство из (16) определяет ограничение на действительную или мнимую части Zo или Zн.
Таким образом, полученные результаты могут быть использованы для практического проектирования слоистых неоднородных структур, из которых выполнены облучатели антенн типа Кассегрена, Грегори, Бахраха и др. (Сазонов Д.М. Антенны и устройства СВЧ. – М.: Высшая школа, 1988, с.385-394).
Технико-экономическая эффективность способа и устройства его реализации заключается в повышении чувствительности (дальности действия) РЛС и одновременном уменьшении радиолокационной заметности апертурных антенн РЛС путем снижения их ЭПР за счет согласования облучателей этих антенн как с собственным передатчиком, так и со свободным пространством.
Предлагаемое техническое решение – способ является новым, поскольку из общедоступных сведений неизвестен способ уменьшения эффективной поверхности рассеяния антенн, состоящий выборе такой конструкции облучателя, который бы обеспечивал одновременно повышение чувствительности (дальности действия) РЛС за счет согласования облучателей этих антенн как с собственным передатчиком, так и со свободным пространством.
Предлагаемое устройство реализации этого способа является новым, поскольку из общедоступных сведений не известна конструкция облучателей апертурных антенн, состоящая из последовательно перечисляемых первой двумерно-периодической решетки проводящих элементов, диэлектрического слоя и второй двумерно-периодической решетки проводящих элементов, которые бы обеспечивали одновременно повышение чувствительности (дальности действия) РЛС за счет согласования облучателей этих антенн как с собственным передатчиком, так и со свободным пространством.
Предлагаемые технические решения имеют изобретательский уровень, поскольку из опубликованных научных данных и известных технических решений явным образом не следует, что заявленная последовательность операций – выполнение облучателя антенны из трехслойной неоднородной структуры в виде последовательно перечисляемых первой двумерно-периодической решетки проводящих элементов, диэлектрического слоя и второй двумерно-периодической решетки проводящих элементов, параметры которых (проводимости обеих решеток и толщина диэлектрического слоя) выбраны таким образом, что обеспечивается одновременно повышение чувствительности (дальности действия) РЛС за счет согласования облучателей этих антенн как с собственным передатчиком, так и со свободным пространством.
Предлагаемое техническое решение промышленно применимо, так как для его реализации могут быть использованы известные диэлектрические материалы, двумерно-периодические решетки проводящих элементов различной конфигурации, параметры которых однозначно определяются полученными математическими выражениями, приведенными в формуле изобретения.
Формула изобретения
1. Способ уменьшения эффективной поверхности рассеяния антенн, основанный на использовании многослойной неоднородной структуры, состоящей из диэлектрических слоев и неуправляемых двумерно-периодических решеток проводящих полосок или стержней в количестве не менее трех и располагаемой перед антенной, отличающийся тем, что многослойную неоднородную структуру помещают в облучателе антенны, слои многослойной неоднородной структуры размещают в произвольном порядке относительно друг друга, толщины диэлектрических слоев, показатели преломления диэлектриков этих слоев и проводимости двумерно-периодических решеток выбирают из условия обеспечения минимумов отраженного от антенны сигнала собственного передатчика и падающего на антенну сигнала за счет определения указанных параметров из условия обеспечения заданных модулей m1, m2 и фаз 2, 1 коэффициентов отражения сигнала собственного передатчика от антенны S11 и падающего на антенну сигнала S22 с помощью определенных математических выражений, удовлетворяющих системе уравнений

2. Устройство уменьшения эффективной поверхности рассеяния антенн, выполненное в виде трехслойной неоднородной структуры, размещенной перед антенной, отличающееся тем, что трехслойная неоднородная структура помещена в облучателе антенны, а сама структура выполнена из последовательно расположенных первой двумерно-периодической решетки проводящих полосок или стержней с проводимостью B1, диэлектрического слоя с толщиной d1 и показателем преломления n1 и второй двумерно-периодической решетки проводящих полосок или стержней с проводимостью В2, при этом указанные параметры слоев выбраны из условия обеспечения заданных модулей и фаз коэффициентов отражения сигнала собственного передатчика от антенны и падающего на антенну сигнала с помощью следующих математических выражений:

где 












Rн, Хн – действительные и мнимые составляющие сопротивления свободного пространства; Ro, Хо – действительные и мнимые составляющие выходного сопротивления передатчика РЛС; m1, 1 – заданные значения модуля и фазы коэффициента отражения сигнала передатчика от антенны; m2, 2 – заданные значения модуля и фазы коэффициента отражения падающего на антенну сигнала; – средняя длина волны рабочего диапазона РЛС; значения показателя преломления диэлектрика n1 и сопротивления Ro выбраны произвольно.
РИСУНКИ
MM4A – Досрочное прекращение действия патента СССР или патента Российской Федерации на изобретение из-за неуплаты в установленный срок пошлины за поддержание патента в силе
Дата прекращения действия патента: 30.03.2008
Извещение опубликовано: 20.11.2009 БИ: 32/2009
|
|