|
|
(21), (22) Заявка: 2006108592/28, 21.03.2006
(24) Дата начала отсчета срока действия патента:
21.03.2006
(46) Опубликовано: 20.01.2008
(56) Список документов, цитированных в отчете о поиске:
RU 2148753 C1, 10.05.2000. RU 2263333 С1, 27.10.2005. SU 873097 А, 15.10.1981. US 4611175 А, 09.09.1986. US 5404104 А, 04.04.1995.
Адрес для переписки:
169300, Республика Коми, г. Ухта, ул. Первомайская, 13, Ухтинский государственный технический университет, ЦИиПЛД
|
(72) Автор(ы):
Цхадая Николай Денисович (RU), Кузьбожев Александр Сергеевич (RU), Агиней Руслан Викторович (RU), Зорина Анастасия Николаевна (RU)
(73) Патентообладатель(и):
Государственное образовательное учреждение высшего профессионального образования Ухтинский государственный технический университет (RU)
|
(54) СПОСОБ ОПРЕДЕЛЕНИЯ НАЛИЧИЯ И ПЛОЩАДИ ЭКВИВАЛЕНТНОГО ПОВРЕЖДЕНИЯ В ИЗОЛЯЦИОННОМ ПОКРЫТИИ ПОДЗЕМНОГО ТРУБОПРОВОДА
(57) Реферат:
Изобретение относится к трубопроводному транспорту и может быть использовано при выявлении повреждений изоляционного покрытия труб. Технический результат: повышение точности определения площади сквозного повреждения в изоляции трубопровода, упрощение технической реализации при уменьшении затрат на контрольные откапывания. Сущность: измеряют с помощью двух электродов сравнения падение напряжения U в грунте. Определяют глубину залегания оси трубопровода h в месте измерения. С поверхности земли над трубопроводом измеряют удельное электрическое сопротивление грунта . Определяют силу тока на выходе двух установок катодной защиты I1 и I2, минимальное расстояние от анодных заземлений установок катодной защиты до трубопровода а1 и а2, расстояние от места измерений до места подключения установок катодной защиты к трубопроводу х1 и х2 Площадь эквивалентного повреждения рассчитывают по формуле с использованием значений определенных величин, и точность определения размера повреждения в изоляционном покрытии трубопровода упрощает техническую реализацию способа при уменьшении затрат на контрольные откапывания газопровода. 1 табл., 3 ил.
Изобретение относится к трубопроводному транспорту и может быть использовано при выявлении повреждений изоляционного покрытия труб.
Известен способ определения наличия и размера повреждения в изоляционном покрытии трубопровода с использованием переменного тока, известный также как метод Пирсона, основанный на подключении генератора переменного тока одной клеммой к трубопроводу, второй – к грунту. Переменный ток генератора стекает с трубопровода в грунт через изоляцию, причем величина тока, стекающего через повреждения, превышает ток, стекающий через покрытие, не имеющее повреждений. По величине протекающих по грунту токов, фиксируемых приемником с направленной антенной, через преобразующее устройство определяют место и относительную величину повреждения в изоляционном покрытии (Руководство по эксплуатации средств противокоррозионной защиты подземных газопроводов. – М.: ВНИИГАЗ, 1986, с.47-53).
Данный способ позволяет выявить повреждение в покрытии, но имеет недостаточную точность определения размеров повреждения вследствие не учитываемого влияния на показания метода емкостного и индуктивного сопротивления трубопровода, переменной составляющей катодной защиты, электрических свойств грунта, глубины прокладки трубопровода, близлежащих линий электропередач.
Наиболее близким к заявляемому способу является способ определения наличия и эквивалентного радиуса дефекта в изоляционном покрытии подземного сооружения (Способ определения дефектов в изоляционном покрытии трубопровода. В кн. Катодная защита: Справоч. изд. Бекман В. Пер. с нем. Стрижевского И.В. – М.: Металлургия, 1992, с.122, рис.81), взятый нами в качестве прототипа, заключающийся в том, что с помощью двух электродов сравнения измеряют одновременно падение напряжения U в грунте по линии, перпендикулярной оси трубопровода, потенциал «труба – земля» с омической составляющей (Uein – потенциал включения станции катодной защиты), поляризационный потенциал «труба – земля» (Uaus – потенциал в момент выключения станции катодной защиты) и определяют величину радиуса эквивалентного повреждения покрытия r0 из приближенного выражения:
r0=1,74 U/(Uein-Uaus).
Данный способ имеет следующие недостатки:
1. Требует установки коммутирующих устройств, которые автоматически, с определенной периодичностью, включают и отключают все станции катодной защиты, в зоне действия которых находится обследуемый участок трубопровода. Коммутирующие устройства должны быть синхронизированы во времени с высокой точностью, при этом возрастает техническая сложность реализации способа.
2. Требует подключения измерительного прибора к трубопроводу при помощи провода, который необходимо разматывать и сматывать вдоль трубопровода на расстояния до 1000 м, что увеличивает трудоемкость способа и снижает его производительность в условиях пересеченной, обводненной или заросшей мелколесьем местности.
3. Точность определения радиуса эквивалентного дефекта значительно снижается в случае ненадежного контакта провода с трубопроводом, например при окислении контакта в месте его подключения.
4. В способе-прототипе при определении радиуса эквивалентного повреждения учет параметров околотрубной среды (сопротивления грунта, заглубления трубопровода) и катодной защиты (величины силы тока на выходе станции катодной защиты, расстояния от анодных заземлителей до трубопровода, расстояния от точки дренажа до точки измерения), влияющих на величину U, выполняют косвенно путем деления на величину омического падения напряжения (Uein-Uaus), вместе с тем, омическое падение напряжения оценивается в объеме грунта над трубопроводом, а U измеряется между электродами, один из которых установлен на расстоянии 5…10 м в стороне от трубопровода, что снижает точность способа, особенно учитывая разнородность грунта в месте засыпки трубопровода.
5. Не учитывает диаметр обследуемого трубопровода и тип его изоляционного покрытия.
Задачей изобретения является упрощение технической реализации, повышение производительности и точности способа. Техническим результатом является повышение точности определения площади сквозного повреждения в изоляции трубопровода.
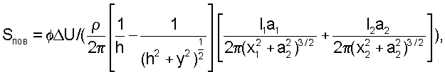
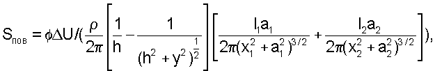
Поставленная задача решается тем, что в способе определения наличия и площади эквивалентного повреждения в изоляционном покрытии подземного сооружения, заключающемся в измерении с помощью двух электродов сравнения падения напряжения U в грунте, установленных на расстоянии у по линии, перпендикулярной оси трубопровода, определяют глубину залегания оси трубопровода в месте измерения h, с поверхности земли над трубопроводом измеряют удельное электрическое сопротивление грунта с помощью четырехэлектродной схемы, располагая электроды по линии, перпендикулярной трубопроводу, определяют силу тока на выходе двух установок катодной защиты I1 и I2, между которыми производят измерения, минимальное расстояние от анодных заземлений установок катодной защиты до трубопровода a1 и а2, расстояние от места измерений до места подключения установок катодной защиты к трубопроводу х1 и х2, а площадь эквивалентного повреждения Sпов определяют по формуле:

где – коэффициент, определяемый для данного диаметра трубопровода и типа изоляционного покрытия по результатам контрольного откапывания.
В качестве пояснения к сущности заявляемого способа приводим следующее.
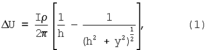
Падение напряжения U между двумя электродами сравнения в грунте по линии, перпендикулярной оси трубопровода, можно определить из выражения:

где – удельное электрическое сопротивление грунта, Ом·м;
h – глубина залегания повреждения (оси трубопровода), м;
у – расстояние между электродами сравнения, м;
I – сила тока в месте измерения, А.
Сила тока в месте измерения I пропорциональна плотности тока j:

где а – минимальное расстояние от анодного заземления до трубопровода;
x – расстояние от точки места измерения до места подключения установки катодной защиты к трубопроводу.
Так как место измерения на трубопроводе в подавляющем большинстве случаев находится между двумя станциями катодной защиты, формула (2) имеет вид:

где x1, x2 – расстояние от места подключения установок катодной защиты к трубопроводу до места измерения;
а1, а2 – минимальные расстояния от анодных заземлителей установок катодной защиты до трубопровода;
I1, I2 – сила тока на выходе установок катодной защиты.
Из формулы (1) следует, что измеряемая между электродами сравнения разность потенциалов, кроме размеров повреждения, зависит от силы тока (его плотности) в месте измерения, удельного электрического сопротивления грунта, глубины залегания трубопровода, расстояния между электродами сравнения.
Таким образом, площадь эквивалентного повреждения Sпов [м2] можно определить из выражения:
где – коэффициент, определяемый для данного диаметра трубопровода и типа изоляционного покрытия по результатам контрольного откапывания.
Способ поясняется фиг.1, 2, 3. На фиг.1 показана схема измерения падения напряжения между двумя электродами сравнения. На фиг.2 представлен график измеряемой разности потенциалов U на участке трубопровода с координатами l=14700…18700 м. На фиг.3 представлен график площади эквивалентного повреждения Sпов на этом же участке. В табл. представлены данные для расчета площади эквивалентного повреждения покрытия на примере участка трубопровода с координатами l=14700…14800 м.
Способ осуществляют следующим образом.
Устанавливают два электрода сравнения по линии, перпендикулярной оси трубопровода: один над осью трубопровода, второй – на расстоянии у первого. Измеряют падение напряжение между электродами сравнения U.
Определяют глубину прокладки оси трубопровода h в месте измерения.
Измеряют удельное электрическое сопротивление грунта с поверхности грунта с помощью четырехэлектродной схемы.
Определяют силу тока на выходе двух установок катодной защиты I1 и I2, между которыми производят измерения, минимальное расстояние от анодных заземлений установок катодной защиты до трубопровода a1 и а2, расстояние от места измерений до места подключения установок катодной защиты к трубопроводу x1 и x2.
На участке обследованного трубопровода, состоящего из труб одного диаметра, покрытых одним типом изоляционного покрытия, выполняют контрольные откапывания не менее чем в трех местах, находящихся на расстоянии не менее 100 м друг от друга, с наибольшими прогнозируемыми повреждениями покрытия, из условия:

Измеряют площадь эквивалентного повреждения покрытия Sповi и определяют коэффициент i в i-м месте откапывания для данного диаметра труб и типа изоляционного покрытия из выражения:

Вычисляют среднее значение коэффициента для данного диаметра труб и типа изоляционного покрытия:

где n – количество мест откапывания.
Определяют площадь эквивалентного повреждения Sпов в других местах обследованного участка трубопровода по формуле:

Пример.
Необходимо выполнить поиск мест повреждений изоляционного покрытия на участке магистрального газопровода с линейной координатой 14700…18700 м и определить их эквивалентную площадь. Газопровод изготовлен из труб наружным диаметром 1420 мм. Полимерная изоляция труб состоит из одного слоя ленты «Фурукава Рапко НМ-2» и одного слоя обертки «Фурукава Рапко РВ-22». Значение коэффициента для данного диаметра газопровода и типа покрытия неизвестно.
Участок газопровода находится в зоне действия двух станций катодной защиты №60 и №61 с координатой точек подключения (дренажа) 14700 и 24700 м соответственно. Сила тока на выходе станций I1=14 А, I2=7 А. Минимальное расстояние от анодного заземлителя до обследуемого газопровода a1=570 м, а2=630 м.
На всей протяженности исследуемого участка с шагом 5 м выполняют следующие измерения. Определяют местоположение оси трубопровода с помощью трассоискателя ИТП-40. На поверхности грунта (фиг.1) устанавливают два насыщенных медно-сульфатных (Cu/CuSO4) электрода сравнения по линии, перпендикулярной оси трубопровода: один над осью трубопровода, второй – на расстоянии десять метров от первого. Измеряют падение напряжения U между электродами сравнения при помощи вольтметра с высоким входным сопротивлением (фиг.2). Например, используют цифровой мультиметр FLUKE 79/29 с входным сопротивлением при измерении постоянного напряжения 10 МОм.
Определяют глубину залегания h оси трубопровода в месте измерения с помощью трассоискателя ИТП-40.
Измеряют удельное электрическое сопротивление грунта с поверхности земли при помощи четырехэлектродной схемы. Например, используют измеритель сопротивления заземления М-416.
Определяют расстояние от места пошаговых измерений до места подключения установок катодной защиты к трубопроводу x1 и x2. Например, для первого измерения x1=0 м и x2=10000 м, для второго x1=5 м и х1=9995 м и т.д.
Полученные данные заносят в таблицу.
По условию (5) устанавливают, что наибольшие прогнозируемые повреждения покрытия расположены в местах с линейной координатой l=15400; 16275 и 17400 м, в которых выполняют откапывание газопровода. Измеряют фактическую эквивалентную площадь повреждения покрытия.
Измеряют эквивалентную площадь повреждения покрытия, которая составила: Sпов1=4,5 м2; Sпов2=1,2 м2; Sпов3=1,5 м2.
Коэффициент i в i-м месте откапывания, рассчитанный согласно (6), составил: 1=1,21·10-7; 1=1,2·10-7; 1=1,16·10-7, среднее значение коэффициента для данного диаметра труб и типа покрытия =1,19·10-7.
Определяют площадь эквивалентного повреждения покрытия из выражения (4). Из фиг.3 следует, что значительные повреждения в покрытии имеют участки 15300…15500 м, 15800…15950 м, 17400…17500 м, 18500…18700 м.
Эффект изобретения проявляется в том, что способ позволяет определять наличие и площадь эквивалентного повреждения, повысить точность определения размера повреждения в изоляционном покрытии трубопровода без применения коммутирующих устройств и контакта с металлом трубопровода, что, в свою очередь, упрощает техническую реализацию способа и повышает его производительность. Эффект состоит также в повышении точности прогноза по состоянию покрытия, что уменьшает затраты на контрольные откапывания газопровода.
Вследствие этого ресурсы на локальный ремонт покрытия труб расходуются целенаправленно, то есть ремонтируются повреждения, имеющие наибольшие размеры, что в целом повышает эффективность противокоррозионной защиты и надежность трубопроводов.
Источники информации:
1. Руководство по эксплуатации средств противокоррозионной защиты подземных газопроводов. – М.: ВНИИГАЗ, 1986, с.47-53.
2. Способ определения дефектов в изоляционном покрытии трубопровода. В кн. Катодная защита: Справоч. изд. Бекман В. Пер. с нем. Стрижевского И.В. – М.: Металлургия, 1992, с.122, рис.81.
| Таблица |
| Результаты измерений на участке газопровода l=14700…14800 м |
| l, м |
x1, м |
х2, м |
h, м |
, Ом·м |
U, мВ |
| 14700 |
0 |
10000 |
3 |
156 |
122 |
| 14705 |
5 |
9995 |
2,9 |
160 |
7 |
| 14710 |
10 |
9990 |
2,9 |
145 |
7 |
| 14715 |
15 |
9985 |
3,1 |
152 |
11 |
| 14720 |
20 |
9980 |
3,2 |
142 |
18 |
| 14725 |
25 |
9975 |
3 |
140 |
11 |
| 14730 |
30 |
9970 |
2,8 |
148 |
7 |
| 14735 |
35 |
9965 |
2,9 |
139 |
14 |
| 14740 |
40 |
9960 |
2,8 |
141 |
14 |
| 14745 |
45 |
9955 |
2,9 |
135 |
10 |
| 14750 |
50 |
9950 |
3 |
134 |
39 |
| 14755 |
55 |
9945 |
2,9 |
121 |
9 |
| 14760 |
60 |
9940 |
2.9 |
145 |
21 |
| 14765 |
65 |
9935 |
2,8 |
152 |
41 |
| 14770 |
70 |
9930 |
2,9 |
120 |
40 |
| 14775 |
75 |
9925 |
3 |
132 |
37 |
| 14780 |
80 |
9920 |
3 |
145 |
110 |
| 14785 |
85 |
9915 |
2,9 |
115 |
6 |
| 14790 |
90 |
9910 |
2,9 |
126 |
2 |
| 14795 |
95 |
9905 |
2,8 |
120 |
4 |
| 14800 |
100 |
9900 |
2,9 |
108 |
8 |
Формула изобретения
Способ определения наличия и площади эквивалентного повреждения в изоляционном покрытии подземного сооружения, включающий измерение с помощью двух электродов сравнения падения напряжения U в грунте, установленных на расстоянии у по линии перпендикулярной оси трубопровода, отличающийся тем, что определяют глубину залегания оси трубопровода в месте измерения h, с поверхности земли над трубопроводом измеряют удельное электрическое сопротивление грунта с помощью четырехэлектродной схемы, располагая электроды по линии, перпендикулярной трубопроводу, определяют силу тока на выходе двух установок катодной защиты I1 и I2, между которыми производят измерения, минимальное расстояние от анодных заземлений установок катодной защиты до трубопровода a1 и а2, расстояние от места измерений до места подключения установок катодной защиты к трубопроводу x1 и x2, а площадь эквивалентного повреждения Sпов определяют по формуле

где – коэффициент, определяемый для данного диаметра трубопровода и типа изоляционного покрытия по результатам контрольного откапывания.
РИСУНКИ
MM4A – Досрочное прекращение действия патента СССР или патента Российской Федерации на изобретение из-за неуплаты в установленный срок пошлины за поддержание патента в силе
Дата прекращения действия патента: 22.03.2009
Извещение опубликовано: 20.06.2010 БИ: 17/2010
|
|