Патент на изобретение №2315143
|
||||||||||||||||||||||||||||||||||||||||||||||||||||||||||||||||||||||||||||||||||||||||||||||||||||||||||||||||||||||||||||||||||||||||||||||||||||||||||||||||||||||||||||||||||||||||||||||||||||||||||||||||||||||||||||||||||||||||||||||||||||||||||||||||||||||||||||||||||||||||||||||||||||||||||||||||||||||||||||||||||||||||||||||||||||||||||||||||||||||||||||||||||||||||||||||||||||||||||||||||||||||||||
(54) СПОСОБ ТРИАДНОГО КРАШЕНИЯ И ИСПОЛЬЗУЕМЫЕ В НЕМ СМЕСИ
(57) Реферат:
Изобретение относится к способу крашения или печати по гидрокси- или азотсодержащим органическим субстратам смесями активных красителей. Описывается способ триадного крашения или печати с использованием смеси красителей, содержащей красное красящее соединение формулы (I) где R1 – замещенный или незамещенный C1-4-алкил; R2 и R3, независимо друг от друга, означают Н; ОН; CN; С1-2-алкил; SO3Н; СООН; ОС1-2-алкил или NH2; Х – атом галогена и Y – -СН=СН2 или -CH2CH2-Z, где Z- щелочеотщепляемый радикал; желтое или оранжевое красящее соединение и синее красящее соединение. Описываются также смеси активных красителей для триадного крашения или печати и окрашенные или отпечатанные ими гидрокси- или азотсодержащие органические субстраты. Предложенные смеси красителей содержат высокосовместимые красители, обеспечивающие качественное триадное крашение или печать.
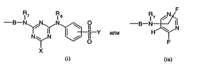
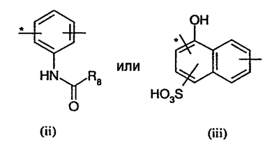
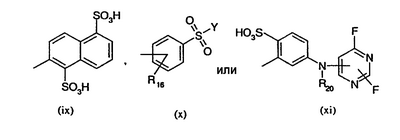
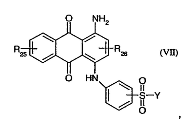
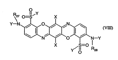
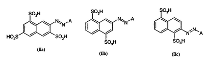
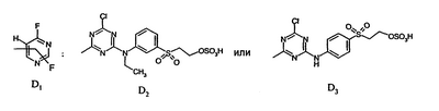
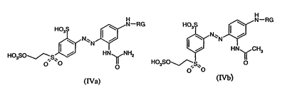
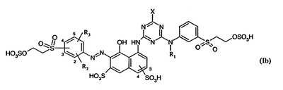
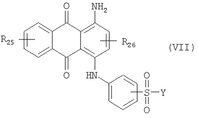
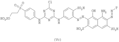
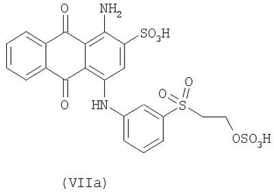
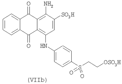
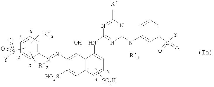
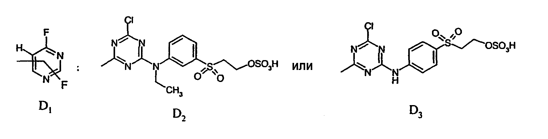
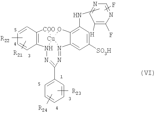
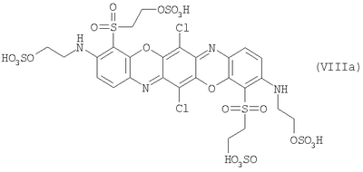
Данное изобретение относится к способу триадного крашения или печати по органическим субстратам, содержащим гидроксигруппы или содержащим азот, смесями красителей, а также к таким смесям красителей и окрашенным или отпечатанным ими органическим субстратам, содержащим гидроксигруппы или содержащим азот. Термин «триадное» описывает аддитивное цветосмешение подходящих желтых или оранжевых, красных и синих красителей, при котором может быть получен любой желательный оттенок видимого спектра при соответствующем подборе количественных соотношений красителей. Триадное крашение различными классами красителей хорошо известно из литературы, например из ЕР 83299, DE 2623178, EP 226982 и ЕР 808940. Оптимальная эффективность какой-либо смеси желтого (или оранжевого), красного и синего красителей в качестве триады в решающей мере зависит от характеристик нейтрального сродства и миграции. Красители, имеющие идентичные или очень схожие характеристики в отношении нейтрального сродства и миграции, являются высокосовместимыми в отношении триадной окрашивающей способности. Цель данного изобретения – обеспечить способ триадного крашения и соответствующие триадные смеси красителей, содержащие, по меньшей мере, один красный компонент, по меньшей мере, один желтый (или оранжевый) компонент и, по меньшей мере, один синий компонент, с помощью которых получается триадное окрашивание с хорошей прочностью. Эта цель достигается способом триадного крашения, который характеризуется применением смеси красителей, содержащей, по меньшей мере, одно красное красящее соединение формулы (I) где R1 означает С1-4-алкильную группу или замещенную С1-4-алкильную группу, R2 и R3, независимо друг от друга, означают Н; -ОН; -CN; С1-2-алкил; -SO3H; -COOH; -OC1-2-алкил или -NH2, Х означает атом галогена и Y означает -СН=СН2 или -СН2СН2-Z, где Z означает радикал, который может быть отщеплен щелочью, и, по меньшей мере, одно желтое (или оранжевое) красящее соединение, и, по меньшей мере, одно синее красящее соединение. Различные вспомогательные вещества, такие как поверхностно-активные соединения, солюбилизирующие агенты, загустители, гелеобразующие вещества, антиоксиданты, смачиватели-выравниватели, пассиваторы, буферы, светозащитные агенты, кондиционеры, дополнительно могут присутствовать в составе по изобретению. Такими вспомогательными веществами являются, в частности, смачиватели, пеногасители, выравниватели, загустители и пластификаторы. Для приготовления красок для процессов печатания используют подходящие органические растворители или их смеси, например спирты, простые эфиры, сложные эфиры, нитрилы, амиды карбоновых кислот, циклические амиды, мочевину, сульфоны и сульфоксиды. Кроме того, к составу краски могут быть добавлены дополнительные вспомогательные вещества, такие как, например, соединения для регулирования вязкости и/или поверхностного натяжения. Подходящие желтые (или оранжевые) красящие соединения для триадного способа по изобретению имеют следующую формулу (II) где R4 и R5, независимо друг от друга, означают Н или -SO3H, А означает группу формулы (i) или (ia) где Х и Y имеют такие же значения, как определено выше, R6 и R7, независимо друг от друга, означают Н; незамещенный С1-4-алкил или замещенный С1-4-алкил, В означает где R8 означает С1-4-алкил, -NH2 или NHC1-4-алкил, и звездочкой отмечена связь с группой -N=N-. Дополнительные подходящие желтые (или оранжевые) красящие соединения для триадного способа по изобретению имеют следующую формулу (III) где R9 означает -SO3H или -SO2Y, где Y имеет такое же значение, как определено выше, R10 означает Н или -SO3H, R11 означает Н, незамещенный С1-4-алкил или замещенный С1-4-алкил, D означает где Х и Y имеют такие же значения, как определено выше, и R12 означает Н; незамещенный С1-4-алкил или замещенный С1-4-алкил. Дополнительные подходящие желтые (или оранжевые) красящие соединения для триадного способа по изобретению имеют следующую формулу (IV) где R13 означает Н, метил, метокси, этокси, -NHCONH2 или -NHCOCH3, R14 означает Н, метил, метокси или этокси, RG означает где R15 означает Н или хлор, Y имеет такое же значение, как определено выше, и может быть присоединен в мета- или пара-положении по отношению к азогруппе. Подходящие синие красящие соединения для триадного способа по изобретению имеют следующую формулу (V) где R16 означает Н или -SO3H и R17 означает где Х и Y имеют такие же значения, как определено выше, R18 и R19, независимо друг от друга, означают Н; незамещенный С1-4-алкил или замещенный С1-4-алкил, n означает 0 или 1, Т означает где R16 и Y имеют такие же значения, как определено выше, и R20 означает Н; незамещенный С1-4-алкил или замещенный С1-4-алкил. Дополнительные подходящие синие красящие соединения для триадного способа по изобретению имеют следующую формулу (VI) где R21 означает Н или -СООН, каждый из R22 и R24, независимо, означает Н, -СООН, -SO3H, -NHCOCH3, -NHCOCHY2-CH2Y1, -NHCOCY2=CH2 или -NHCOCH2Y1, R23 означает -СООН, Y1 означает хлор, бром, -OSO3H или -SSO3H и Y2 означает Н, хлор или бром. Дополнительные подходящие синие красящие соединения для триадного способа по изобретению имеют следующую формулу (VII) где Y имеет такие же значения, как определено выше, R25 означает Н или -SO3H, R26 означает Н или -SO3H. Дополнительные подходящие синие красящие соединения для триадного способа по изобретению имеют следующую формулу (VIII) где каждый Y имеет независимо друг от друга те же значения, как определено выше, R27 и R28, независимо друг от друга, означают Н, незамещенный С1-4-алкил или замещенный С1-4-алкил. Предпочтительный способ триадного крашения отличается применением смеси красителей, содержащей, по меньшей мере, одно красное красящее соединение формулы (Ia) где X’ означает Cl или F, R’1 означает С1-2-алкил, особенно -С2Н5, или С2-4-алкильную группу, которая монозамещена Cl, F, Br, -OH, -CN или -NH2, R’2 и R’3, независимо друг от друга, означают Н, -С1-2-алкил, -SO3H или -ОС1-2-алкил, особенно Н, -СН3, -SO3H или -ОСН3 и группа -SO2Y присоединена к фенильному кольцу в положении 3, 4 или 5, где Y является таким, как определено выше, и по меньшей мере, одно желтое (или оранжевое) красящее соединение формулы (II), (III) и/или (IV) и, по меньшей, мере одно синее красящее соединение формулы (V), (VI), (VII) и/или (VIII). Более предпочтительный способ триадного крашения характеризуется применением смеси красителей, содержащей, по меньшей мере, одно желтое (или оранжевое) красящее соединение формулы (IIa), (IIb) и/или (IIc) где А означает и/или, по меньшей мере, одно желтое (или оранжевое) красящее соединение формулы (IIIa) или (IIIb) где D означает и/или, по меньшей мере, одно желтое (или оранжевое) красящее соединение формулы (IVa) или (IVb) где RG означает Более предпочтительный способ триадного крашения характеризуется применением смеси красителей, содержащей и/или, по меньшей мере, одно синее красящее соединение формулы (Va), (Vb), (Vc), (Vd), (Ve) и/или (Vf) где Т означает и/или, по меньшей мере, одно синее красящее соединение формулы (VIa) или (VIb) и/или, по меньшей мере, одно синее красящее соединение формулы (VIIa) или (VIIb) и/или, по меньшей мере, одно синее красящее соединение формулы (VIIIa) Следует отметить, что все соединения могут также присутствовать в солевой форме. Полезные соли включают, в частности, соли щелочных металлов, щелочноземельных металлов или аммония или соли органического амина. Также следует отметить, что алкильные группы могут быть линейными или разветвленными. Предпочтительными содержащими гидроксигруппы или содержащими азот органическими субстратами являются кожа и волокнистые материалы, которые содержат натуральные или синтетические полиамиды и, особенно, натуральную или регенерированную целлюлозу, такую как хлопок, вискоза и вискозная штапельная пряжа. Наиболее предпочтительными субстратами являются текстильные материалы, содержащие хлопок. Соединения формулы (I) получают при взаимодействии диазотированного соединения формулы (1) где все заместители имеют значения, как определено выше, с соединением формулы (2) где все заместители имеют значения, как определено выше. Реакцию предпочтительно проводят в водной среде при температуре от 0 до 40°С, более предпочтительно от 0 до 25°С и при рН между 1-7, более предпочтительно 1-6. Красящее вещество формулы (I) может быть выделено в соответствии с известными методами, например высаливанием, фильтрованием и сушкой необязательно в вакууме и при слегка повышенной температуре. Желтые (или оранжевые) красящие соединения известны из уровня данной области техники и поэтому могут быть получены согласно способу, представленному ранее в WO9963995, WO9963055 и в F.Lehr, Dyes Pigm. (1990), 14(4), 257. Синие красящие соединения также известны из уровня данной области техники и поэтому могут быть получены согласно способу, представленному ранее в ЕР 99721, ЕР 84314, WO0168775, ЕР 149170, ЕР 497174 и DE 4241918. Данное изобретение также относится к смесям для триадного крашения или печати по субстратам, содержащим гидроксигруппы или содержащим азот, которые используются в указанных процессах согласно изобретению. Изобретенный способ триадного крашения или печати может быть воплощен во всех обычных и известных способах крашения и печати, например в непрерывном способе крашения до истощения ванны, способе крашения в пене и способе струйной печати. Содержание отдельных красящих компонентов красителей в смеси триадных красителей, используемой в способе по изобретению, зависит от желательного цвета. Например, для коричневого цвета предпочтительно используют 30-65% по массе желтого (или оранжевого) компонента по изобретению, 10-30% по массе красного компонента по изобретению и 10-30% по массе синего компонента по изобретению. Красный компонент, который описан выше, может состоять из единственного ингредиента или из смеси различных красных отдельных ингредиентов. То же самое приложимо к желтому (или оранжевому) и синему компонентам. Суммарное количество красителей в способе по изобретению находится между 0,01 и 15% по массе, предпочтительно между 1 и 10% по массе. Данное изобретение относится также к содержащим гидроксигруппы или содержащим азот субстратам, окрашенным или отпечатанным смесью красителей по изобретению. Способ по изобретению обеспечивает окраску и отпечатку, имеющие однородное постепенное наращивание цветового тона на протяжении всего спектра цветового тона с выбираемостью на тон с высокой выбираемостью из ванны даже в случае волокон с низким насыщением и с высоким постепенным наращиванием красителя на тонких волокнах, особенно на микрофибриллах. Полученные окраски или отпечатки отличаются очень высокой прочностью к мокрым обработкам, особенно прочностью к стирке, к воздействию пота и влаги. Указанные хорошая прочность к мокрым обработкам и прочность при изготовлении, которые ничуть не ниже степени прочности окрасок и отпечатков с комплексами металлов, достигаются без последующей обработки. С дополнительной последующей обработкой указанные прочности даже выше. Эти превосходные результаты обеспечиваются компонентами, не содержащими металлов, которые отвечают настоящим и будущим экологическим требованиям национальных институтов и законодательств. Следующие таблицы показывают некоторые примеры отдельных компонентов смесей красителей, которые используются в способе триадного крашения по изобретению. Примеры 1-18 Примеры красных красящих соединений формулы (Ib), соответствующих формуле (I)
Примеры 19-35 Примеры красных красящих соединений формулы (Ic), соответствующих формуле (I)
Примеры 36-52 Примеры красных красящих соединений формулы (Ib), (Ic), (Id) и (Ie), соответствующих формуле (I)
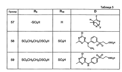
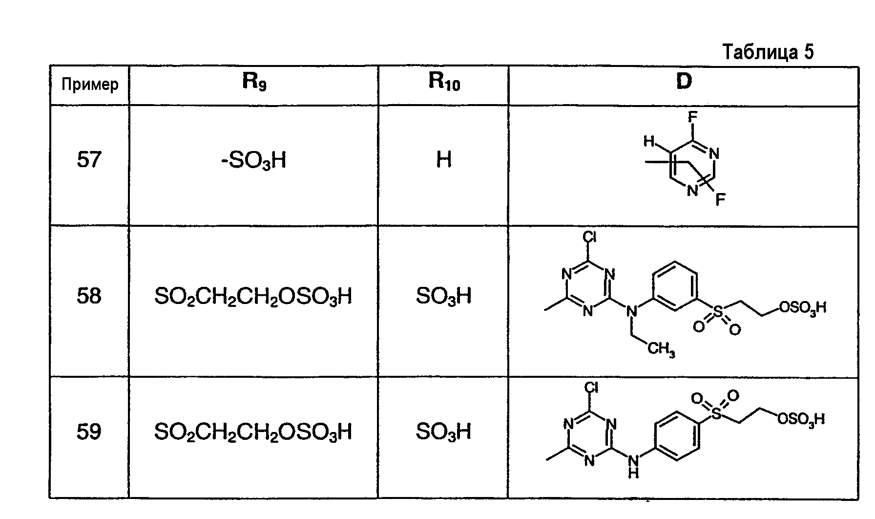
Примеры 53-56 Примеры желтых (или оранжевых) красящих соединений формулы (II’), соответствующих формуле (II) Примеры 57-59 Примеры оранжевых красящих соединений формулы (III’), соответствующих формуле (III) Примеры 60-62 Примеры желтых (или оранжевых) красящих соединений формулы (IV’), соответствующих формуле (IV) Примеры 63-72 Примеры синих красящих соединений формулы (V) Примеры применения здесь ниже служат для пояснения данного изобретения. Части даны по массе и температуры в градусах Цельсия, если не указано иначе. Пример применения 1 Образец 20 г отбеленного хлопкового трикотажа вносят в раствор 16 г сульфата натрия в 200 мл воды при 60°С, 0,5% (в расчете на массу ткани) красного красителя согласно примеру 1, 0,8% желтого красителя согласно примеру 55, 0,5% синего красителя согласно формуле VIa и порции 0,3, 0,7 и 1 г карбоната натрия добавляют при 60°С через 30, 45 и 60 минут соответственно. Температуру поддерживают в течение следующих 60 минут. Окрашенную ткань промывают в горячей дистиллированной воде в течение 2 минут и в горячей водопроводной воде в течение 1 минуты. После выдерживания в 1000 мл дистиллированной воды при кипении в течение 20 минут ткань сушат. Это обеспечивает коричневую окраску хлопка, имеющую хорошую прочность. Примеры 2-6 Эти примеры выполняют аналогично примеру применения 1, но используя смеси красителей, которые указаны ниже. Полученный оттенок указан в скобках. Пример применения 2 (оливковый оттенок) 0,2% красного красителя согласно примеру 1, 0,4% желтого красителя согласно примеру 55, 0,6% синего красителя согласно формуле VIa. Пример применения 3 (коричневый оттенок) 0,3% красного красителя согласно примеру 39, 0,9% оранжевого красителя согласно примеру 60, 0,6% синего красителя согласно формуле VIa. Пример применения (оливковый оттенок) 0,1% красного красителя согласно примеру 39, 0,5% желтого красителя согласно примеру 60, 0,6% синего красителя согласно формуле VIa. Пример применения 5 (коричневый оттенок) 0,5% красного красителя согласно примеру 2, 0,9% желтого красителя согласно примеру 55, 0,3% синего красителя согласно примеру 69. Пример применения 6 (оливковый оттенок) 0,2% красного красителя согласно примеру 2, 0,4% желтого красителя согласно примеру 55, 0,3% синего красителя согласно примеру 69.
Формула изобретения
1. Способ триадного крашения или печати по органическим субстратам, содержащим гидроксигруппы или содержащим азот, отличающийся тем, что применяют смесь красителей, содержащую, по меньшей мере, одно красное красящее соединение формулы (I) где R1 означает C1-4-алкильную группу или замещенную C1-4-алкильную группу, R2 и R3, независимо друг от друга, означают Н; -ОН; -CN; C1-2-алкил; -SO3Н; -СООН; -OC1-2-алкил или -NH2, Х означает радикал галогена и Y означает -СН=СН2 или -CH2CH2-Z, где Z означает радикал, который может быть отщеплен щелочью, и, по меньшей мере, одно желтое (или оранжевое) красящее соединение и, по меньшей мере, одно синее красящее соединение, где по меньшей мере, одно желтое (или оранжевое) красящее соединение для формулы (II)
где R4 и R5, независимо друг от друга, означают Н или -SO3Н, А означает группу формулы (i) или (ia) где Х и Y имеют такие же значения, как определено выше, R6 и R7, независимо друг от друга, означают Н; незамещенный C1-4-алкил или замещенный C1-4-алкил, В означает
где R8 означает C1-4-алкил, -NH2 или NHC1-4-алкил, и звездочкой отмечена связь с группой -N=N-, и/или, по меньшей мере, одно желтое (или оранжевое) красящее соединение формулы (III) где R9 означает -SO3Н или -SO2Y, где Y имеет такое же определение, как определено в п.1, R10 означает Н или -SO3Н, R11 означает Н, незамещенный C1-4-алкил или замещенный C1-4-алкил, D означает
где Х и Y имеют такие же значения, как определено выше, и R12 означает Н; незамещенный C1-4-алкил или замещенный C1-4-алкил; и/или, по меньшей мере, одно желтое (или оранжевое) красящее соединение формулы (IV) где R13 означает Н, метил, метокси, этокси, -NHCONH2 или -NHCOCH3, R14 означает Н, метил, метокси или этокси, RG означает
где R15 означает Н или хлор, Y имеет такое же определение, как определено выше, и может быть связан в мета- или параположении по отношению к азогруппе, и где, по меньшей мере, одно синее красящее соединение формулы (V) где R16 означает Н или -SO3H, R17 означает где Х и У имеют такие же значения, как определено выше, R18 и R19, независимо друг от друга, означают Н; незамещенный C1-4-алкил или замещенный C1-4-алкил, n означает 0 или 1, Т означает
где R16 имеет такие же значения, как определено выше, и Y имеет такие же значения, как определено выше, и R20 означает Н, незамещенный C1-4-алкил или замещенный C1-4-алкил; и/или, по меньшей мере, одно синее красящее соединение формулы (VI) где R21 означает Н или -СООН, каждый из R22 и R24, независимо, означает Н, -СООН, -SO3H, -NHCOCH3, -NHCOCHY2-CH2Y1, -NHCOCY2=CH2 или -NHCOCH2Y1, R23 означает -СООН, Y1 означает хлор, бром, -OSO3Н или -SSO3Н и Y2 означает Н, хлор или бром; и/или, по меньшей мере, одно синее красящее соединение формулы (VII) где Y имеет такие же значения, как определено в п.1, R25 означает Н или -SO3Н, R26 означает Н или -SO3Н; и/или, по меньшей мере, одно синее красящее соединение формулы (VIII) где каждый Y имеет независимо друг от друга те же значения, как определено выше, R27 и R28, независимо друг от друга, означают Н, незамещенный C1-4-алкил или замещенный C1-4-алкил. 2. Способ триадного крашения по п.1, отличающийся тем, что применяют смесь красителей, содержащую, по меньшей мере, одно красное красящее соединение формулы (Ia) где X’ означает С1 или F, R’1 означает C1-2-алкил, особенно -C2H5, или С2-4-алкильную группу, которая монозамещена Cl, F, Br, -ОН, -CN или -NH2, R’2 и R’3, независимо друг от друга, означают Н, -C1-2-алкил, -SO3Н или -OC1-2-алкил, особенно Н, -СН3, -SO3Н или -ОСН3, и группа -SO2Y присоединена к кольцу фенила в положении 3, 4 или 5, где Y является таким, как определено в п.1. 3. Способ триадного крашения по п.1, отличающийся тем, что применяют смесь красителей, содержащую, по меньшей мере, одно желтое (или оранжевое) красящее соединение формулы (IIa), (IIb) и/или (IIc)
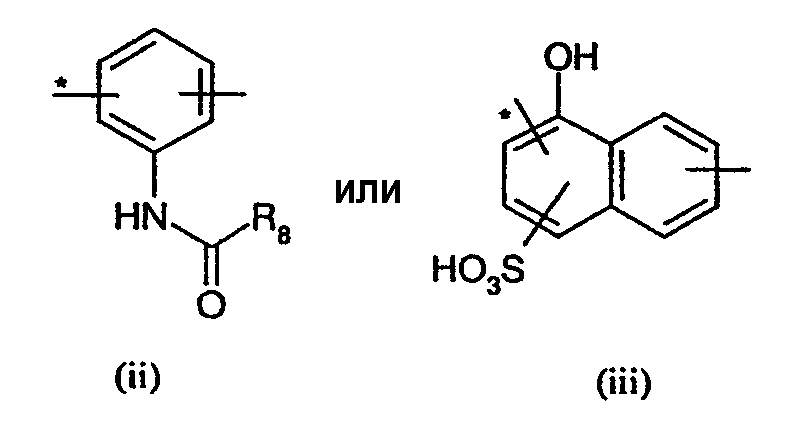
где А означает и/или, по меньшей мере, одно желтое (или оранжевое) красящее соединение формулы (IIIa) или (IIIb) где D означает и/или, по меньшей мере, одно желтое (или оранжевое) красящее соединение формулы (IVa) или (IVb) где RG означает
4. Способ триадного крашения по п.1, отличающийся тем, что применяют смесь красителей, содержащую, по меньшей мере, одно синее красящее соединение формулы (Va), (Vb), (Vc), (Vd), (Ve) и/или (Vf) где Т означает
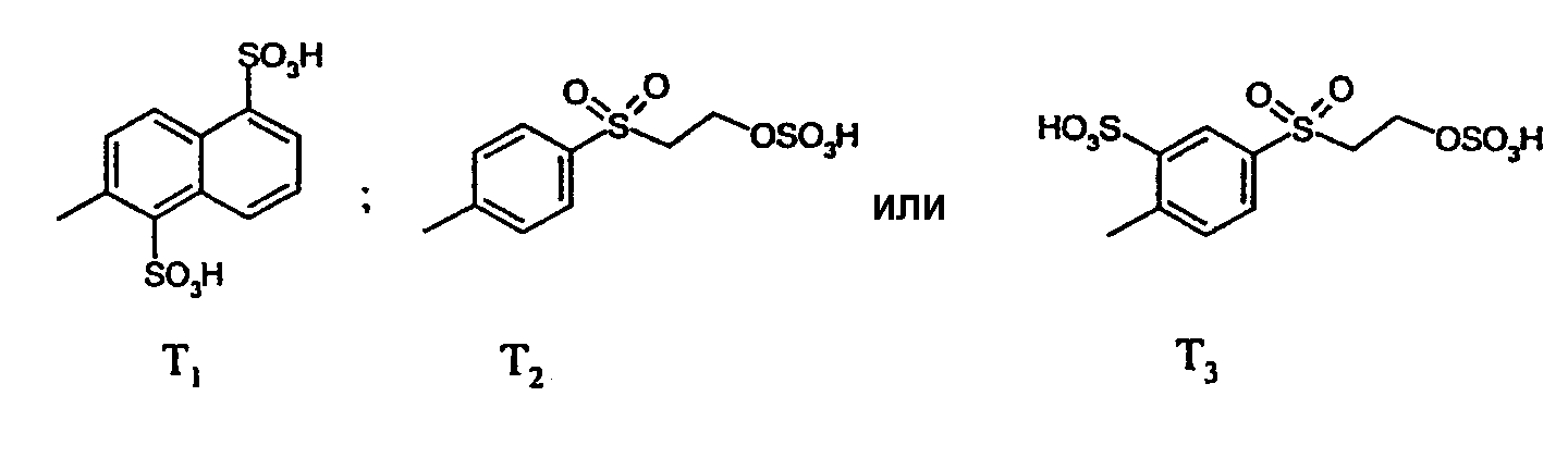
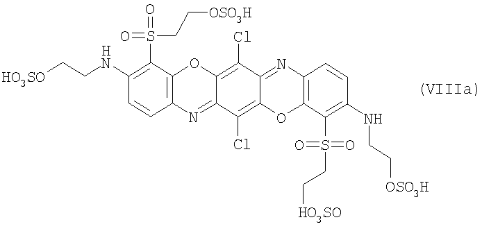
и/или, по меньшей мере, одно синее красящее соединение формулы (VIa) или (VIb) и/или, по меньшей мере, одно синее красящее соединение формулы (VIIa) или (VIIb) и/или, по меньшей мере, одно синее красящее соединение формулы (VIIIa) 5. Смеси красителей, для применения в способах по пп.1-4. 6. Субстраты, состоящие из органических субстратов, содержащих гидроксигруппы или содержащих азот, окрашенные или отпечатанные способом триадного крашения по любому из пп.1-4.
|
||||||||||||||||||||||||||||||||||||||||||||||||||||||||||||||||||||||||||||||||||||||||||||||||||||||||||||||||||||||||||||||||||||||||||||||||||||||||||||||||||||||||||||||||||||||||||||||||||||||||||||||||||||||||||||||||||||||||||||||||||||||||||||||||||||||||||||||||||||||||||||||||||||||||||||||||||||||||||||||||||||||||||||||||||||||||||||||||||||||||||||||||||||||||||||||||||||||||||||||||||||||||||
















































или 

,
или
.
или 


,
или 









или 


, 



или 






;
или 




