|
|
(21), (22) Заявка: 2006115375/15, 05.05.2006
(24) Дата начала отсчета срока действия патента:
05.05.2006
(46) Опубликовано: 20.01.2008
(56) Список документов, цитированных в отчете о поиске:
CN 1552957 А, 08.12.2004. RU 2242545 C1, 20.12.2004. US 5025151 A, 18.06.1991.
Адрес для переписки:
301800, Тульская обл., г. Богородицк, ул. Пушкинская, 19, кв.18, А.Н. Анненкову
|
(72) Автор(ы):
Анненков Александр Николаевич (RU), Досовицкий Алексей Ефимович (RU), Коржик Михаил Васильевич (BY), Лигун Владимир Дмитриевич (RU)
(73) Патентообладатель(и):
Анненков Александр Николаевич (RU), Досовицкий Алексей Ефимович (RU), Коржик Михаил Васильевич (BY), Лигун Владимир Дмитриевич (RU)
|
(54) СЦИНТИЛЛЯЦИОННОЕ ВЕЩЕСТВО В ВИДЕ КРИСТАЛЛИЧЕСКОГО СОЕДИНЕНИЯ НА ОСНОВЕ СИЛИКАТА
(57) Реферат:
Изобретение относится к сцинтилляционным материалам, а именно к кристаллическим сцинтилляторам, и может быть использовано в технике детектирования ионизирующих излучений для медицинской диагностики, ядерной геофизики, неразрушающего контроля и оценки качества продуктов питания. Сцинтилляционное вещество в виде кристаллического соединения на основе силиката содержит лютеций, церий и германий, и его состав выражается химической формулой Ce2xLu2(1-x)Si1-yGeyO5, где х – от 1·10-4 ф.ед. до 0,03 ф.ед., у – от 1·10-4 ф.ед. до 0,20 ф.ед. В Сцинтилляционное вещество может быть дополнительно введен иттрий, в этом случае его состав выражается химической формулой Ce2xLu2(1-x-z)Y2z Si1-yGeyO5, где х – от 1·10-4 ф.ед. до 0,03 ф.ед.; у – от 1·10-3 ф.ед. до 0,20 ф.ед., z – от 1·10-3 ф.ед. до 0,5 ф.ед. Новые сцинтилляционные вещества обладают высокими потребительскими свойствами, а именно большой плотностью, высоким световым выходом, коротким временем высвечивания сцинтилляций, что расширяет диапазон их применения. Данные сцинтилляционные монокристаллы могут найти применение в детектирующих устройствах для регистрации и спектрометрии частиц и квантов высоких, средних и низких энергий. В случае применения для медицинской диагностики повышенный световой выход сцинтиллятора обеспечит увеличение чувствительности регистрирующей системы и контрастности изображения, большая плотность и, следовательно, большая поглощательная способность к ионизирующему излучению позволит улучшить пространственное разрешение, а более короткое время высвечивания сцинтилляций позволит снизить дозовую нагрузку на пациента. 1 з.п. ф-лы, 2 табл., 1 ил.
Изобретение относится к сцинтилляционным материалам, а именно к кристаллическим сцинтилляторам, и может быть использовано в технике детектирования ионизирующих излучений для медицинской диагностики, ядерной геофизики, неразрушающего контроля и оценки качества продуктов питания.
Известно сцинтилляционное вещество – кристалл оксиортосиликат лютеция с церием Ce2xLu2(1-x)SiO5, сокращенно LSO:Ce, где х изменяется в пределах от 2×10-4 ф.ед. до 3×10-2 ф.ед. [1]. Кристаллы этого состава выращивают из расплава, имеющего состав Ce2xLu2(1-x)SiO5. Сцинтилляционные кристаллы Ce2xLu2(1-x)SiO5 имеют ряд преимуществ по сравнению с другими кристаллами: большую плотность, высокий эффективный заряд, относительно низкий показатель преломления, высокий световой выход, короткое время затухания сцинтилляции. Недостатком известного сцинтилляционного материала является сильный разброс величины светового выхода как от були кристалла к буле, так и вдоль направления выращивания по объему монокристалла. Это обусловлено флюктуациями распределения ионов церия по возможным позициям локализации в структуре оксиортосиликата лютеция [2]. В структуре оксиортосиликата лютеция ионы активатора церия локализуются в двух кислородных координациях – октаэдрической и с координационным числом семь. Люминесцентный переход ионов трехвалентного церия в позиции локализации с координационным числом семь обуславливает возникновение полосы с максимумом 420 нм, а позиции локализации с координационным числом шесть – с максимумом 490 нм. Полоса с максимумом 490 нм испытывает сильное температурное тушение, кинетика люминесценции ионов церия в октаэдрической координации составляет 42 нс, в позиции с координационным числом семь – 34 нс [3]. При выращивании кристаллов расплавными методами в них возникают катионные и анионные вакансии, которые приводят к разрыхлению решетки и, как следствие, к возможности локализации значительной части ионов активатора церия в октаэдрической координации. Содержание вакансий и их распределение зависят в кристалле от конкретного метода выращивания, обуславливают неоднородность распределения сцинтилляционных свойств как в кристалле, так и от кристалла к кристаллу [4].
Известно вещество оксиортосиликат гадолиния с церием Ce2yGd2(1-x-y)A2xSiO5, где А – по крайней мере, один элемент из группы La (лантан) и Y (иттрий), при этом переменные изменяются в пределах 0<х<0,5 и 1× 10-3 <у<0,1 [5]. Главным недостатком этой группы сцинтилляционных кристаллов является невысокий световой выход и меньшая плотность в сравнении с оксиортосиликатом лютеция с церием Се2xLu2(1-x)SiO5, описанным выше.
Наиболее близким по совокупности существенных признаков является кристалл оксиортосиликата лютеция-иттрия с CezLu2-x-zYxSiO5, где 0,05<х<1,95 и 0,001
Главным недостатком этой группы сцинтилляционных кристаллов является уменьшение эффективного заряда матрицы за счет частичного замещения лютеция иттрием, что приводит к уменьшению тормозной способности матрицы к гамма-излучению и ухудшению эффективности регистрации при использовании в позитронной эмисионной томографии в сравнении с оксиортосиликатом лютеция с церием Ce2xLu2(1-x)SO5, описанным выше. Однако при частичном замещении лютеция иттрием в матрице происходит преимущественная стабилизация ионов активатора церия в кислородных полиэдрах с координационным числом семь. Это обусловлено тем, что ионы иттрия, замещая в решетке ионы лютеция с меньшим ионным радиусом, искажают решетку, создавая предпочтительные условия для такой локализации ионов активатора. В кристаллах, содержащих ионы иттрия, происходит уменьшение постоянной времени высвечивания сцинтилляций с 45-40 нс у оксиортосиликата лютеция до 30-35 нс у оксиортосиликата лютеция-иттрия. Эти кристаллы используются в фосвич-детекторах для позитронной эмисионной томографии [7].
Техническая задача, которую решает данное изобретение, заключается в создании новых сцинтилляционных веществ, обладающих более высокими потребительскими свойствами по сравнению с аналогами, путем частичной изоморфной замены ионов кремния ионами германия в кристалле.
Применение предложенных сцинтилляционных веществ приведет к улучшению пространственного разрешения и уменьшению дозовой нагрузки на пациента в позитронной эмиссионной томографии [8], повышению экспрессности измерения параметров источников ионизирующего излучения в каротаже нефтяных скважин [9].
Предлагаемые сцинтилляционные вещества обладают высоким световым выходом в сочетании с укорочением времени высвечивания (кинетики) сцинтилляций и увеличением плотности сцинтиллятора по сравнению с аналогами.
Для достижения указанных технических результатов используют частичную изоморфную замену ионов кремния ионами германия в кристалле при подготовке шихты для выращивания монокристаллов. Использование германия для частичного замещения ионов кремния в кристаллической решетке обусловлено следующим. Известно, что ионы германия образуют обширный класс веществ германатов, при локализации ионов германия в тетраэдрической координации соединения этих веществ изоморфны соответствующим силикатам [10]. Ионный радиус ионов германия в кислородном тетраэдре составляет 0,04 нм, у ионов кремния 0,026 нм, что обуславливает искажение решетки при частичной замене кремния германием. Такое искажение приводит к преимущественной локализации ионов активатора церия в кислородной координации с координационным числом семь. Таким образом, при частичной замене кремния германием в кристалле наблюдается тот же эффект, что и при частичной замене лютеция иттрием однако в предлагаемом изобретении происходит замена легкого иона более тяжелым, что приводит к одновременному увеличению плотности кристалла.
Химически предлагаемые сцинтилляционные вещества представляет собой кристаллы твердых растворов на основе кристалла силиката, включающего церий, германий и иттрий, и кристаллизующиеся в моноклинной сингонии.
Образцы монокристаллов контролируют по содержанию германия в шихте, форме полосы радио-люминесценции, по величине светового выхода сцинтилляций, времени высвечивания импульса сцинтилляций. При этом используют соответственно метод атомно-абсорбционного анализа, стандартные методики измерения спектра радиолюминесценции с помощью люминесцентного спектрометра СДЛ-2 при возбуждении -квантами источника 70Co, выхода сцинтилляций по пику полного поглощения -квантов источника 60Со. Для измерения сцинтилляционных характеристик из кристаллов изготавливали элементы длиной 10 мм и площадью сечения 10×10 мм2, плоскости которых полируют по классу Rz 0,025.
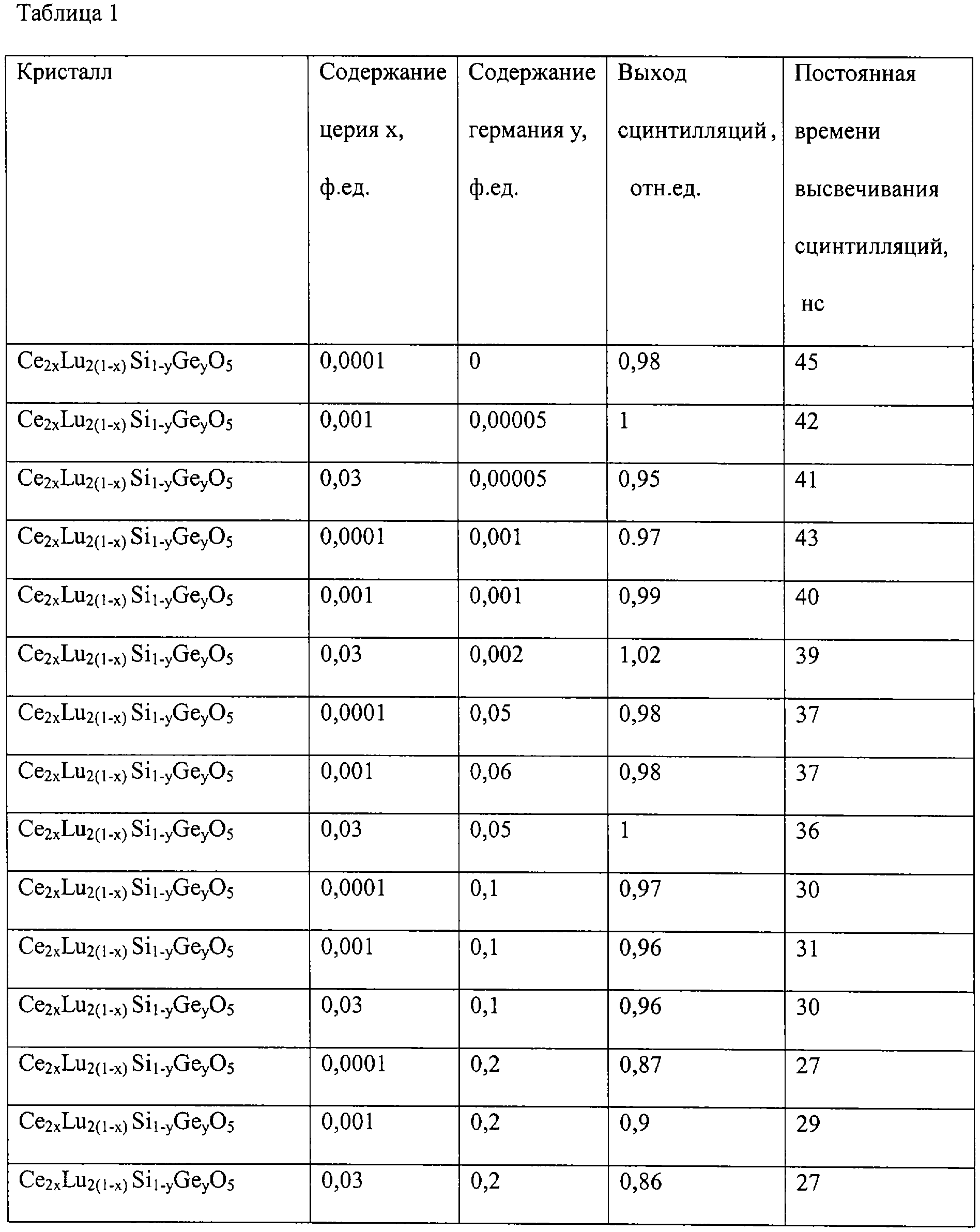
Пример 1. Изготавливают смеси оксидов лютеция Lu2O3 и СеО2, GeO2 и SiO2 марки ОСЧ так, чтобы получить в стехиометрическом молярном соотношении 1,0 соединение Ce2xLu2(i-x)Si1-yGeyО5, где х = 2×10-4 до 3×10-2, у от 1×10-3 до 0,2, и производят наплавление иридиевого тигля. Из смесей методом Чохральского получают монокристаллы. На чертеже приведены нормированные спектры радиолюминесценции кристаллов одинаковой формы с содержанием активатора х = 0,002, в таблице 1 – сцинтилляционные параметры кристаллов. Из чертежа видно, что при содержании германия менее 1×10-3 ф.ед. форма спектра радиолюминесценции совпадает со спектром кристалла без германия. При содержании германия более 1×10-3 ф.ед. происходит перераспределение спектра полосы люминесценции в пользу полосы с максимумом 420 нм, что обусловлено уменьшением вклада в суммарную полосу длинноволновой полосы люминесценции, обусловленной ионами активатора церия в октаэдрической координации. При содержании германия более 0,2 ф.ед, дальнейшее перераспределение спектра полосы люминесценции в пользу полосы с максимумом 420 нм не происходит.
Из таблицы 1 следует, что при введении в указанном количестве примеси германия полученный сцинтилляционный материал обладает высоким выходом сцинтилляций и меньшей постоянной времени высвечивания сцинтилляций. Увеличение содержания германия свыше 0,2 ф.ед. приводит к существенному ухудшению свойств кристаллов за счет появления центров рассеяния макроскопических неоднородностей, что приводит к снижению выхода сцинтилляций. Ухудшение качества кристалла обусловлено тем, что происходит нарушение изоструктурного замещения ионов кремния ионами германия в кристалле при относительно высоких концентрациях германия, обусловленного необразованием твердых растворов их окислов [11].
Пример 2. Изготавливают смеси оксидов лютеция Lu2O3, Y2O3 и CeO2, GeO2 и SiO2, марки ОСЧ так, чтобы получить в стехиометрическом молярном соотношении 1,0 соединение Ce2хLu2(1-x-z)Y2zSi1-yGeyO5, где х=2×10-4 до 3×10-2, у – от 1×10-3 до 0,2 и z – от 1·10-3 ф.ед., до 0,5 ф.ед., и производят наплавление иридиевого тигля. Из смесей методом Чохральского получают монокристаллы. Из таблицы 2 следует, что при введении в указанном количестве примеси германия и иттрия полученный сцинтилляционный материал обладает высоким выходом сцинтилляций и меньшей постоянной времени высвечивания сцинтилляций. Увеличение содержания иттрия свыше 0,5 ф.ед. приводит к уменьшению плотности кристаллов менее 6,2 г/ см3, то есть менее плотности кристаллов оксиортосиликата гадолиния, что значительно снижает тормозную способность сцинтилляционных кристаллов к ионизирующему излучению, а германия свыше 0,2 ф.ед. приводит к существенному ухудшению свойств кристаллов за счет появления центров рассеяния макроскопических неоднородностей, что приводит к снижению выхода сцинтилляций.

  
Источники информации
1. Lutetium orthosilicate single crystal scintillator detector. Патент США 4958080, 18.09.90.
2. Cerium-doped lutetium-based single crystal scintillators, W.P.Trower, M.V.Korzhik, A.A.Fedorov et al. Inorganic scintillators and their applications. Ed. P.Dorenbos, Carel W.E.Eijk, Delft University Press, 1995 p.241-245.
3. UV and gamma-ray excited luminescence of cerium-doped rare-earth oxyorthosilicates, H.Suzuki, T.A.Tambrello, C.L.Melcher, and J.S.Sweitzer, Nuclear Instruiments nad methods in Physical Research, A320(1992) p.263-272.
4. Method for manufacturing a cerium-doped lutetium oxyorthosilicate scintillator boule having a graded decay time. Патент США 6413311 от 02.07.2002
5. Gamma ray detector. Патент США 4647781, 03.03.1987.
6. Single crystal scinitillator. Патент США 6323489, 11.27.2001.
7. A PET Scanner. Патент PCTW003001242, 01.03.2003.
8. “Inorganic scintillators in medical imaging detectors”. Carel W.E. van Eijk, Nuclear Instruments and Methods in Physics Research A 509 (2003) 17-25.
9. Applicability of GSO scintillators for well logging, C.L.Melcher, J.S.Sweitzer, R.A.Manente, C.A.Peterson, IEEE Nucl. Sci. 1990.
10. Химическая энциклопедия, M.: Советская энциклопедия, 1988, стр.1034.
11. Н.А.Торопов, И.А.Бондарь, А..Н.Лазарев, Ю.И.Смолин. Силикаты редкоземельных элементов и их аналоги, Ленинград: Наука, 1971, с.230.
Формула изобретения
1. Сцинтилляционное вещество в виде кристаллического соединения на основе силиката, содержащего лютеций и церий, отличающееся тем, что в соединение введен германий и его состав выражается химической формулой
Ce2xLu2(1-x)Si1-yGeyO5,
где х – от 1·10-4 ф.ед. до 0,03 ф.ед.;
у – от 1·10-4 ф.ед. до 0,20 ф.ед.
2. Сцинтилляционное вещество по п.1, отличающееся тем, что в соединение дополнительно введен иттрий и его состав выражается химической формулой
Ce2xLu2(1-x-z)Y2z Si1-yGeyO5,
где х – от 1·10-4 ф.ед. до 0,03 ф.ед.;
у – от 1·10-3 ф.ед. до 0,20 ф.ед.;
z – от 1·10-3 ф.ед. до 0,5 ф.ед.
РИСУНКИ
MM4A – Досрочное прекращение действия патента СССР или патента Российской Федерации на изобретение из-за неуплаты в установленный срок пошлины за поддержание патента в силе
Дата прекращения действия патента: 06.05.2008
Извещение опубликовано: 10.06.2010 БИ: 16/2010
|
|