Патент на изобретение №2315054
|
||||||||||||||||||||||||||
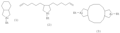
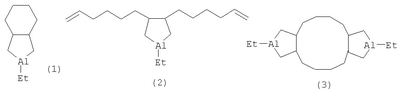
(54) СПОСОБ СОВМЕСТНОГО ПОЛУЧЕНИЯ 3-ЭТИЛ-3-АЛЮМИНАДИЦИКЛО[01,5]-НОНАНА, 3,4-ДИ(5-ГЕКСЕНИЛ)-1-ЭТИЛАЛЮМИНАЦИКЛОПЕНТАНА И 3,12-ДИЭТИЛ-3,12-ДИАЛЮМИНАТРИЦИКЛО[01,5.010,14]ОКТАДЕКАНА
(57) Реферат:
Предлагаемое изобретение относится к способам получения новых алюминийорганических соединений и может найти применение в тонком органическом и металлоорганическом синтезе. Предлагаемый способ осуществляется взаимодействием 1,7-октадиена с этилалюминийдихлоридом EtAlCl2 и металлическим Mg в присутствии катализатора Cp2ZrCl2 в количестве 10-14 мол.% по отношению к 1,7-октадиену в атмосфере аргона в течение 8-12 часов в тетрагидрофуране. Время реакции 8-12 часов. Общий выход целевых продуктов 69-85%. Технический результат – предложенный способ позволяет получить соединения формул 1, 2 и 3, синтез которых в литературе не описан. 1 табл.
(56) (продолжение):
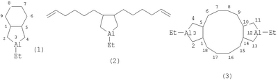
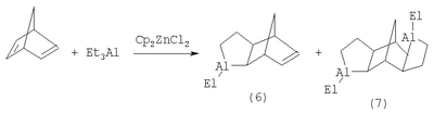
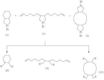
Предлагаемое изобретение относится к способам получения новых алюминийорганических соединении (АОС), конкретно к способу совместного получения 3-этил-3-алюминадицикло[01,5]нонана (1), 3,4-ди(5-гексенил)-1-этилалюминациклопентана (2) и 3,12-диэтил-3,12-диалюминатрицикло[01,5.010,14]-октадекана (3) общей формулы: Предлагаемые соединения могут найти применение в качестве компоненты каталитических систем в процессах олиго- и полимеризации олефиновых, диеновых и ацетиленовых углеводородов, а также в тонком органическом и металлоорганическом синтезах. Известен способ ([1], У.М. Джемилев, А.Г. Ибрагимов, Л.О. Хафизова, Л.Р. Якупова, Л.М. Халилов. Циклоалюминирование ацетиленов и 1,4-енинов с участием Zr-содержащих катализаторов. ЖОрХ, 2005, Т.40, Вып.5, 684) получения дициклических АОС, а именно, региоизомерных (алюминациклопент-3-илметил)алюмина-циклопент-2-енов (4) и (5) в соотношении 1:1 взаимодействием 1,4-енинов с четырехкратным избытком Et3Al в присутствии 10-15 мол.% катализатора Cp2ZrCl2 при 20-21°С за 8-10 ч с общим выходом 80% по схеме: Известный способ не позволяет получать АОС (1), (2) и (3). Известен способ ([2], У.М. Джемилев, А.Г. Ибрагимов, А.П. Золотарев, Л.М. Халилов, Р.Р. Муслухов. Синтез полициклических алюминациклопентанов с участием Cp2ZrCl2. Изв. АН. Сер.хим., 1992, №2, с.386) получения три- и тетрациклических АОС, а именно: 3-этил-3-алюматрицикло[5.21.02,6]децена-8 (6) и 3,9-диэтил-3,9-диалюминатетрацикло[5.5.1.02,6.08,12]тридекана (7) в соотношении 2:8 с общим выходом 75% взаимодействием норборнадиена с триэтилалюминием, взятых в мольном соотношении 1:2, в присутствии 3-5 мол.% Cp2ZrCl2 при температуре 20°С за 12-14 часов по схеме: Известный способ не позволяет получать АОС (1), (2) и (3). Таким образом, в литературе отсутствуют сведения по синтезу 3-этил-3-алюминадицикло[01,5]нонана (1), 3,4-ди(5-гексенил)-1-этилалюминациклопентана (2) и 3,12-диэтил-3,12-диалюминатрицикло [01,5.010,14]октадекана(3). Предлагается новый способ синтеза 3-этил-3-алюминадицикло[01,5]нонана (1), 3,4-ди(5-гексенил)-1-этилалюминациклопентана (2) и 3,12-диэтил-3,12-диалюминатрицикло [01,5.010,14]октадекана (3). Сущность способа заключается во взаимодействии 1,7-октадиена с EtAlCl2 и металлическим магнием (порошок) в присутствии катализатора Cp2ZrCl2, взятыми в мольном соотношении 1,7-октадиен:EtAlCl2:Mg:Cp2ZrCl2=10:(10-14):(10-14):(1-1.4), предпочтительно 10:12:12:1.2. Реакцию проводят в атмосфере аргона при комнатной температуре (20°С) и атмосферном давлении. Время реакции 8-12 часов, предпочтительно 10 часов. Выход целевых продуктов составляет 69-85%, соотношение (1):(2):(3)=8:3:1. В качестве растворителя необходимо использовать тетрагидрофуран (ТГФ), в других эфирных растворителях (эфир, диоксан) выход целевых продуктов значительно снижается. Реакция протекает по схеме: Целевые продукты (1), (2) и (3) образуются только лишь с участием 1,7-октадиена, EtAlCl2, металлического Mg в качестве акцептора галогенид-ионов и катализатора Cp2ZrCl2. В присутствии других Проведение указанной реакции в присутствии циркониевого катализатора Cp2ZrCl2 больше 14 моль по отношению к 1,7-октадиену не приводит к существенному увеличению выхода целевых продуктов (1), (2) и (3). Использование катализатора менее 1 моль снижает выход АОС (1), (2) и (3), что связано, возможно, со снижением каталитически активных центров в реакционной массе. Синтез осуществляли при комнатной температуре 20°С. Увеличение температуры (например, до 50°С) не влияет на скорость реакции. При меньшей температуре (например, 0°С) скорость реакции снижается. Изменение соотношения исходных реагентов в сторону их увеличения по отношению к 1,7-октадиену не приводит к существенному увеличению выхода и изменению соотношения целевых продуктов (1), (2) и (3). Существенные отличия предлагаемого способа: В предлагаемом способе в качестве исходных соединений используются 1,7-октадиен, EtAlCl2 и металлический Mg, которые обуславливают формирование 3-этил-3-алюминадицикло[0.1,5]нонана (1), 3.4-ди(5-гексенил)-1-этилалюминациклопентана (2) и 3,12-диэтил-3,12-диалюминатрицикло[01,5.010,14]октадекана (3). В известном способе в качестве исходных соединений используются норборнадиен и Et2Al, которые способствуют формированию 3-этил-3-алюматрицикло[0.1,5]децена-8 (6) и 3,9-диэтил-3,9-диалюматетра-цикло[5.5.1.010,14]тридекана (7). Предлагаемый способ обладает следующими преимуществами: 1. Способ позволяет получать 3-этил-3-алюминадицикло[01,5]нонан (1), 3,4-ди(5-гексенил)-1-этилалюминациклопентан (2) и 3,12-диэтил-3,12-диалюминатрицикло[01,5.010,14]октадекан (3), синтез которых в литературе не описан. Способ поясняется следующими примерами: Пример 1. В стеклянный реактор объемом 50 мл, установленный на магнитной мешалке, в атмосфере аргона помещают 10 мл тетрагидрофурана, 1.2 ммоль Cp2ZrCl2, 10 ммоль 1,5-гексадиена, 12 г-ат. Mg (порошок) и при температуре 0°С 12 ммоль EtAlCl2. Температуру доводят до комнатной (20°С) и перемешивают в течении 10 часов. Получают 3-этил-3-алюминадицикло[01,5]нонан (1), 3,4-ди(5-гексенил)-1-этилалюминациклопентан (2) и 3,12-диэтил-3,12-диалюминатрицикло[01,5.010,14]октадекан (3) с общим выходом 75% и соотношением (1):(2):(3) 8:3:1. Общий выход целевых продуктов (1), (2) и (3) определяли по продуктам гидролиза. При гидролизе полученных АОС 3-этил-3-алюминадицикло[01,5]нонана (1), 3,4-ди(5-гексенил)-1-этилалюминациклопентана (2) и 3,12-диэтил-3,12-диалюминатрицикло[01,5.010,14]октадекана (3) образуются 1,2-бис(метил)циклогексан (8), 7,8-бис(метил)тетрадека-1,13-диен (9) и 1,2,7,8-тетракис(метил)циклододекан (10), идентифицированные с помощью ЯМР13C Спектральные характеристики продуктов гидролиза (1), (2) и (3). Спектр ЯМР 1H (CDCl3, Спектр ЯМР 13С ( Спектр ЯМР 1Н (CDCl3, Спектр ЯМР 13С ( Спектр ЯМР 1H (CDCl3, Спектр ЯМР 13С ( Другие примеры, подтверждающие способ, приведены в табл.1.
Реакции проводили при комнатной температуре 20°С в тетрагидрофуране. Соотношение целевых продуктов (1), (2) и (3) составляло во всех опытах 8:3:1.
Формула изобретения
Способ совместного получения 3-этил-3-алюминадицикло[01,5]-нонана (1), 3,4-ди(5-гексенил)-1-этилалюминациклопентана (2) и 3,12-диэтил-3,12-диалюминатрицикло[01,5.010,14]октадекана (3) общей формулы отличающийся тем, что 1,7-октадиен взаимодействует с этилалюминийдихлоридом EtAlCl2 и металлическим Mg в присутствии катализатора Cp2ZrCl2 в мольном соотношении 1,7-октадиен:EtAlCl2:Mg:Cp2ZrCl2=10:(10÷14):(10÷14):(1÷1,4) в атмосфере аргона в течение 8-12 ч.
MM4A – Досрочное прекращение действия патента СССР или патента Российской Федерации на изобретение из-за неуплаты в установленный срок пошлины за поддержание патента в силе
Дата прекращения действия патента: 07.05.2008
Извещение опубликовано: 10.06.2010 БИ: 16/2010
|
||||||||||||||||||||||||||







,
-диолефинов (например, 1,5-гексадиен, 1,9-декадиен), других соединений алюминия (например, Et2AlCl, Et3Al, изо-Bu2AlCl, изо-Bu2AlH) или другого катализатора (например, Cp2TiCl2, Zr(acac)4, Pd(acac)2, Ni(асас)2, NiCL2, Fe(асас)3) целевые продукты (1), (2) и (3) не образуются.
, м.д.) 1,2-бис(метил)циклогексана (8): 0.98 т (J 7,0 Гц, 6Н, СН3); 1.87-2.51 м (10Н, СН, СН2).