|
|
(21), (22) Заявка: 2002135620/04, 24.05.2001
(24) Дата начала отсчета срока действия патента:
24.05.2001
(30) Конвенционный приоритет:
26.05.2000 US 60/207,143
(43) Дата публикации заявки: 10.12.2004
(46) Опубликовано: 20.01.2008
(56) Список документов, цитированных в отчете о поиске:
P.G.Baraldi et al. J. of Medicinal chemistry, v.39, №5, p.1164-1171, 01.03.1996. WO 9852568 A, 26.11.1998. WO 9501356 A, 12.01.1995. SU 1739850 A3, 07.06.1992. SU 466232 A, 05.04.1975.
(85) Дата перевода заявки PCT на национальную фазу:
26.12.2002
(86) Заявка PCT:
US 01/16954 (24.05.2001)
(87) Публикация PCT:
WO 01/92264 (06.12.2001)
Адрес для переписки:
103064, Москва, ул. Казакова,16, НИИР Канцелярия “Патентные поверенные Квашнин, Сапельников и партнеры”, В.П.Квашнину
|
(72) Автор(ы):
НОЙШТАДТ Бернард Р. (US), ЛИНДО Нил Э. (US), ГРИНЛИ Вильям Дж. (US), ТАЛШИАН Дин (US), СИЛВЕРМАН Лайза С. (US), КСИА Ян (US), БОЙЛ Крейг Д. (US), ЧАКАЛАМАННИЛ Семюэл (US)
(73) Патентообладатель(и):
ШЕРИНГ КОРПОРЕЙШН (US)
|
(54) ПРОИЗВОДНЫЕ 5-АМИНО-ПИРАЗОЛО-[4,3-е]-1,2,4-ТРИАЗОЛО[1,5-с]ПИРИМИДИНА, ФАРМАЦЕВТИЧЕСКАЯ КОМПОЗИЦИЯ НА ИХ ОСНОВЕ, ПРИМЕНЕНИЕ И СПОСОБЫ ПОЛУЧЕНИЯ ПРОМЕЖУТОЧНЫХ СОЕДИНЕНИЙ
(57) Реферат:
Описываются новые производные 5-амино-пиразоло-[4,3-е]-1,2,4-триазоло[1,5-с]пиримидина общей формулы I

где R – фуранил, возможно замещенный пирролил, возможно замещенный пиридил, фенил, возможно замещенный, или С4-С6-циклоалкенил;
Х – С2-С6-алкилен или -С(О)СН2-;
Y – группы -N(R2)CH2CH2N(R3)-, -ОСН2CH2N(R2)-, где R2 и R3 – водород или C1-С6-алкил; -O-, -S-, -CH2S-, -(CH2)2-NH- или

где Q – или 
R4 – водород или C1-С6алкил, или два R4 у одного атома углерода образуют группу =O;
Z – фенил, имеющий от 1 до 5 различных заместителей, фенилалкил или гетероарил, дифенилметил и др. значения; или также Z и Y совместно могут образовывать замещенный пиперидинил или замещенный фенил, обладающие активностью антагониста рецептора аденозина А2a, фармацевтическая композиция на их основе, применение новых соединений для приготовления лекарственного средства для лечения, например, болезни Паркинсона и два способа получения промежуточных соединений формулы II и IIIa

5 н. и 12 з.п. ф-лы, 17 табл.
Текст описания приведен в факсимильном виде.                                                                    
Формула изобретения
1. Производные 5-амино-пиразоло-[4,3-е]-1,2,4-триазоло[1,5-с]пиримидина общей формулы

где R означает фуранил, незамещенный или замещенный (С1-С6)-алкилом, галоидом или нитро; пирролил, незамещенный или замещенный (C1-С6)-алкилом; пиридил, фенил, незамещенный или замещенный галоидом; или (С4-С6)-циклоалкенил;
Х означает (С2-С6)-алкилен или -С(O)СН2-;
Y означает -N(R2)CH2CH2N(R3)-, -ОСН2CH2N(R2)-, где R2 и R3 независимо выбраны из группы, включающей водород и (С1-С6)-алкил;
-O-, -S-, -CH2S-, -(CH2)2-NH- или

где Q означает
или 
m и n независимо равны 2-3;
R4 означает водород и (С1-С6)-алкил, или два заместителя R4 у одного атома углерода образуют группу =O;
Z означает R5-фенил, где R5 означает от 1 до 5 заместителей, независимо выбранных из группы, включающей водород, галоген, (C1-С6)-алкил, гидроксил, (С1-С6)-алкоксил, -CN, ди-((С1-С6)-алкил)-амино, -CF3, -OCF3, ацетил, -NO2, гидрокси-(С1-С6)-алкоксил, (С1-С6)-алкокси-(С1-С6)-алкоксил, ди-((С1-С6)-алкокси) (С1-С6)-алкоксил, (С1-С6)-алкокси-(С1-С6)-алкокси-(С1-С6)-алкоксил, карбокси-(С1-С6)-алкоксил, (C1-С6)-алкоксикарбонил-(С1-С6)-алкоксил, (С3-С6)-циклоалкил-(С1-С6)-алкоксил, ди-((С1-С6)-алкил)-амино-(С1-С6)-алкоксил, морфолинил, (С1-С6)-алкил-SO2-, (С1-С6)-алкил-SO-(С1-С6)-алкоксил, тетрагидропиранилоксил, (С1-С6)-алкилкарбонил-(С1-С6)-алкоксил, (С1-С6)-алкоксикарбонил, (C1-С6)-алкилкарбонилокси-(С1-С6)-алкоксил, -SO2NH2, феноксил,
где R2 имеет указанное выше значение, радикал формулы

или соседние заместители R5 совместно представляют собой -O-СН2-О-, -O-СН2-СН2-O-, -O-CF2-O-, или -O-CF2-CF2-O- и образуют цикл совместно с атомами углерода, к которым они присоединены;
фенил-(С1-С6)-алкил, незамещенный или замещенный галоидом или (С1-С6)-алкоксилом на фенильном фрагменте;
дифенилметил;
гетероарил, выбранный из группы, включающей пиридил, незамещенный или замещенный (С1-С6)-алкилом, CF3 или галоидом; пиримидинил, незамещенный или замещенный (С1-С6)-алкилом, (C1-С6)-алкоксилом, CF3, галоидом или амино; пиразинил, бензопиридил или бензимидазолил;
R6-C(O)-, R6-SO2-, R6-OC(O)-,
где R6 означает (С1-С6)-алкил, фенил, незамещенный или замещенный (С1-С6)-алкилом, галоидом или (С1-С6)-алкоксилом; фенил-(С1-С6)-алкил, незамещенный или замещенный галоидом или (С1-С6)-алкоксилом; тиенил, пиридил, (С3-С6)-циклоалкил, (С1-С6)-алкил-OC(O)-NH-(С1-С6)-алкил-, ди-((С1-С6)-алкил)-аминометил или

R7-N(R8)-C(O)- или R7-N(R8)-C(S)-, где R7 означает (С1-С6)-алкил, фенил-(С1-С6)-алкил или фенил, незамещенный или замещенный галоидом;
R8 означает водород;
или R7 и R8 совместно представляют собой -(CH2)p-A-(CH2)q, где р и q независимо равны 2 или 3 и А означает -O-, и образуют цикл совместно с атомом азота, к которому они присоединены;
радикал формулы

фенил -СН(ОН)- или фенил-C(=NOR2)-, где R2 имеет указанные выше значения;
или если Q означает

то Z также означает фениламино или пиридиламиногруппу;
при условии, что если Y означает группу -O-, то Z не может означать бензиловую группу;
или Z и Y совместно означают
или его N-оксид,

где R9 означает водород или (С1-С6)-алкоксил; а R10 означает водород;


где R10 означает галоид;

где R10 означает водород, (С1-С6)-алкоксил, -OCF3 или -S(O)0-2(С1-С6)-алкил;

где R11 означает Н, (С1-С6)-алкил, фенил, бензил, (С2-С6)-алкенил, (C1-С6)-алкокси-(С1-С6)-алкил;
и их фармацевтически приемлемые соли.
2. Производные 5-амино-пиразоло-[4,3-е]-1,2,4-триазоло[1,5-с]пиримидина по п.1, где R означает фуранил, незамещенный или замещенный (С1-С6)-алкилом, галоидом или нитро.
3. Производные 5-амино-пиразоло-[4,3-е]-1,2,4-триазоло[1,5-с]пиримидина по п.1, где Х означает (С2-С6)-алкилен.
4. Производные 5-амино-пиразоло-[4,3-е]-1,2,4-триазоло[1,5-с]пиримидина по п.1, где Y означает

5. Производные 5-амино-пиразоло-[4,3-е]-1,2,4-триазоло[1,5-с]пиримидина по п.4, где Q означает
или 
и m, и n равны 2, a R4 означает Н.
6. Производные 5-амино-пиразоло-[4,3-е]-1,2,4-триазоло[1,5-с]пиримидина по п.1, где Z означает R5-фенил, где R5 имеет указанные выше значения; гетероарил, выбранный из группы, включающей пиридил, незамещенный или замещенный (С1-С6)-алкилом, CF3 или галоидом, пиримидинил, незамещенный или замещенный (С1-С6)-алкилом, (C1-С6)-алкоксилом, CF3, галоидом или амино, пиразинил, бензопиридил или бензимидазолил; R6-C(O)- или R6-SO2-, где R6 имеет указанные выше значения.
7. Производные 5-амино-пиразоло-[4,3-е]-1,2,4-триазоло[1,5-с]пиримидина по п.6, где R5 означает Н, галоид, (С1-С6)-алкил, (C1-С6)-алкоксил, гидрокси-(С1-С6)-алкоксил или (С1-С6)-алкокси-(С1-С6)-алкоксил; гетероарил, выбранный из группы, включающей пиридил, незамещенный или замещенный (С1-С6)-алкилом или галоидом, пиримидинил, незамещенный или замещенный (С1-С6)-алкилом, (С1-С6)-алкоксилом или галоидом, а R6 означает фенил, незамещенный или замещенный (C1-С6)-алкилом, галоидом или (С1-С6)-алкоксилом.
8. Производные 5-амино-пиразоло-[4,3-е]-1,2,4-триазоло[1,5-с]пиримидина по п.1, где Х означает группу -СН2-СН2-, а R и Z-Y являются такими, как указано в приведенной ниже таблице:
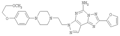
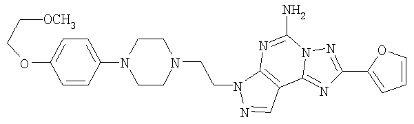
9. Производное 5-амино-пиразоло-[4,3-е]-1,2,4-триазоло[1,5-с]пиримидина по п.1, имеющее формулу

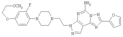
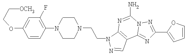
10. Производное 5-амино-пиразоло-[4,3-е]-1,2,4-триазоло[1,5-с]пиримидина по п.1, имеющее формулу

11. Фармацевтическая композиция, обладающая активностью антагониста рецептора аденозина А2а, содержащая активное вещество и фармацевтически приемлемый носитель, отличающаяся тем, что в качестве активного вещества содержит соединение по п.1 в терапевтически эффективном количестве.
12. Фармацевтическая композиция по п.11, отличающаяся тем, что она дополнительно содержит 1-3 других агентов, пригодных для лечения болезни Паркинсона.
13. Применение соединения по п.1 для приготовления лекарственного средства для лечения депрессии, когнитивных заболеваний, нейродегенеративных заболеваний или инсульта.
14. Применение по п.13, причем в случае приготовления лекарственного средства для лечения нейродегенеративного заболевания, представляющего собой болезнь Паркинсона, дополнительно используют 1-3 других агентов, пригодных для лечения болезни Паркинсона.
15. Способ получения промежуточного 5-амино-пиразоло-[4,3-е]-1,2,4-триазоло[1,5-с]пиримидина формулы II

где R означает фуранил, незамещенный или замещенный (С1-С6)-алкилом, галоидом или нитро; пирролил, незамещенный или замещенный (C1-С6)-алкилом; пиридил, незамещенный или замещенный галоидом; или (С4-С6)-циклоалкенил;
в котором соединение формулы IX

где R имеет вышеуказанное значение,
подвергают дегидратационной перегруппировке.
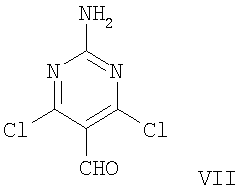
16. Способ по п.15, отличающийся тем, что соединение формулы IX получают путем (1) взаимодействия 2-амино-4,6-дигидроксипиримидина формулы VI

с POCl3 в диметилформамиде,
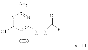
(2) взаимодействия получаемого 2-амино-4,6-дихлорпиримидин-5-карбоксальдегида формулы VII

с гидразидом формулы H2N-NH-C(O)-R, где R имеет указанное в п.15 значение,
(3) и взаимодействия получаемого продукта формулы VIII

где R имеет указанное в п.15 значение, с гидразингидратом.
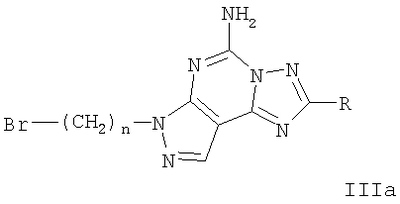
17. Способ получения промежуточного 7-бромалкил-5-амино-2-(R-замещенный)-пиразоло-[4,3-е]-1,2,4-триазоло[1,5-с]пиримидина формулы IIIa

где R означает фуранил, незамещенный или замещенный (С1-С6)-алкилом, галоидом или нитро; пирролил, незамещенный или замещенный (C1-С6)-алкилом; пиридил, незамещенный или замещенный галоидом; или (С4-С6)-циклоалкенил;
в котором (1) хлорид формулы VIII

где R имеет вышеуказанное значение,
подвергают взаимодействию с гидроксиалкилгидразином формулы HO-(CH2)r-NHNH2, где r равно 2-6,
(2) получаемое при этом соединение формулы X,

где R имеет вышеуказанное значение,
подвергают дегидратационной перегруппировке с получением трициклического промежуточного продукта формулы XI

где R имеет вышеуказанное значение,
(3) который переводят в бромид формулы IIIa.
TK4A – Поправки к публикациям сведений об изобретениях в бюллетенях “Изобретения (заявки и патенты)” и “Изобретения. Полезные модели”
Напечатано: (57) 1. …

Следует читать: (57) 1. …

Номер и год публикации бюллетеня: 2-2008
Код раздела: FG4A
Извещение опубликовано: 27.10.2008 БИ: 30/2008
TZ4A – Поправки к описаниям изобретений
Часть описания, где обнаружена ошибка: Текст реферата, стр. 1, колонка 2, строка 9
Напечатано: 
Следует читать: 
Номер и год публикации бюллетеня: 2-2008
Извещение опубликовано: 27.10.2008 БИ: 30/2008
TZ4A – Поправки к описаниям изобретений
Часть описания, где обнаружена ошибка: Текст описания, стр. 28, строки 35-36
Напечатано: 
Следует читать: 
Номер и год публикации бюллетеня: 2-2008
Извещение опубликовано: 27.10.2008 БИ: 30/2008
|
|