|
|
(21), (22) Заявка: 2004124247/14, 12.01.2003
(24) Дата начала отсчета срока действия патента:
12.01.2003
(30) Конвенционный приоритет:
10.01.2002 US 10/041,494
(43) Дата публикации заявки: 10.03.2005
(46) Опубликовано: 20.01.2008
(56) Список документов, цитированных в отчете о поиске:
Kompis M. et al. “Acoustic Imaging of the Human Chest”, CHEST, vol.120, 4, p.1309-1321. SU 944537 A, 23.07.1982. SU 347058 A, 10.08.1972. SU 454897 A, 30.12.1974.
(85) Дата перевода заявки PCT на национальную фазу:
10.08.2004
(86) Заявка PCT:
IL 03/00029 (12.01.2003)
(87) Публикация PCT:
WO 03/057037 (17.07.2003)
Адрес для переписки:
129010, Москва, ул. Б.Спасская, 25, стр.3, ООО “Юридическая фирма Городисский и Партнеры”, пат.пов. Ю.Д.Кузнецову, рег.№ 595
|
(72) Автор(ы):
КУШНИР Игал (IL), БОТБОЛ Мейр (IL)
(73) Патентообладатель(и):
ДИПБРИЗ ЛТД. (IL)
|
(54) СИСТЕМА ДЛЯ АНАЛИЗА И ФОРМИРОВАНИЯ ИЗОБРАЖЕНИЯ ШУМА ДЫХАТЕЛЬНЫХ ПУТЕЙ
(57) Реферат:
Изобретение относится к медицине, а именно к устройствам и способам для анализа шумов тела пациента, и может быть использовано для диагностики нарушения дыхательных путей. Система для анализа шумов дыхательных путей пациента содержит множество N преобразователей, которые фиксируются над грудной клеткой, причем i-й преобразователь закреплен в положении хi и генерирует сигнал P(xi, t), индицирующий волны давления в местоположении хi, где i=1…N. Процессор на основе получаемых сигналов P(xi, t) определяет среднюю акустическую энергию (x, t1, t2), по меньшей мере, в одном местоположении х на заданном интервале, времени, причем определяется в соответствии с алгоритмом, связанным по меньшей мере с одним из сигналов Р(хi, t). Заявленная система и способ имеют расширенные функциональные возможности и позволяет использовать их для диагностики различных нарушений дыхательных путей. 4 н. и 25 з.п. ф-лы, 10 ил.
Область техники
Настоящее изобретение относится к устройствам и способам медицинского назначения, более конкретно к устройствам и способам для анализа шумов тела пациента.
Предшествующий уровень техники
Шумы тела пациента обычно используются врачами в диагностике различных заболеваний. Врач может приложить стетоскоп к груди или спине пациента и контролировать дыхание пациента, чтобы обнаружить случайные (то есть аномальные или неожиданные) шумы легких. Идентификация и классификация случайных шумов легких часто обеспечивает важную информацию о легочных аномалиях.
Также известно использование одного или нескольких микрофонов, прикрепляемых к груди или спине пациента, для записи шумов легких. В патенте США 6139505 раскрыта система, в которой множество микрофонов помещаются на грудь пациента. Записи с микрофонов, регистрируемые во время вдыхания и выдыхания, отображаются на экране или записываются на бумажном носителе. Затем записи визуально анализируются врачом для обнаружения нарушения легочных функций у пациента. В работе Kompis et al (Chest, 120(4), 2001) раскрыта система, в которой на грудь пациента помещаются М микрофонов, с помощью которых осуществляется запись шумов легких. С помощью записей формируются М линейных уравнений, которые решаются с использованием подбора методом наименьших квадратов. Решение системы уравнений используется для определения в легких местоположения источника шума, обнаруженного в записях.
Сущность изобретения
В последующем описании и формуле изобретения две описываемые в явном виде вычисляемые и измеряемые переменные рассматриваются как эквивалентные друг другу, если эти две переменные пропорциональны друг другу.
Настоящее изобретение обеспечивает в одном из его вариантов осуществления систему и способ для записи и анализа шумов дыхательных путей, возникающих в дыхательных путях. Система содержит множество N преобразователей (микрофонов), выполненных с возможностью прикрепления к по существу плоской области R спины или груди индивидуума над грудной клеткой индивидуума. Местоположения в области R указываются двумерными векторами положения x=(x1,x2) в двумерной системе координат, определенной в плоской области R. i-й преобразователь, где i=1…N, закреплен в положении xi в области R и генерирует сигнал, обозначенный как R(xi,t), индицирующий волны давления в теле, приходящие в положение xi.
Преобразователи в типовом случае размещены в матричной структуре, которая позволяет легко прикреплять их к коже пациента. Такая матричная структура может в типовом случае быть выполнена в форме жилета или предмета одежды для простоты размещения на грудной клетке пациента. Понятно, что различные матричные структуры могут быть использованы для пациентов, различающихся размером, имеющих разный возраст, пол и т.д.
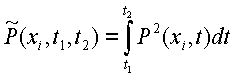
N сигналов P(xi,t) обрабатываются схемами обработки сигналов. В соответствии с изобретением обработка связана с определением из N сигналов средней акустической энергии, обозначенной как , по меньшей мере в одном местоположении x в области R на интервале времени от t1 до t2. Термин «акустическая энергия» в местоположении используется здесь для определения параметра, указывающего или аппроксимирующего произведение давления и скорости распространения массы в упомянутом местоположении.
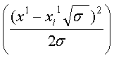
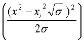
В одном варианте осуществления среднюю акустическую энергию на интервале времени от t1 до t2 получают в местоположении одного из микрофонов с использованием алгебраического выражения
(1)
где xi обозначает местоположение микрофона.
В более предпочтительном варианте осуществления среднюю акустическую энергию на интервале времени от t1 до t2 получают во множестве местоположений xi микрофонов, например, с использованием уравнения (1) и затем вычисляют в других местоположениях х путем интерполяции с использованием любого известного метода интерполяции.
В наиболее предпочтительном варианте осуществления изобретения интерполяция выполняется для получения средней акустической энергии в местоположении x=(x1,x2) на поверхности R с использованием алгебраического выражения
= (2)
где g (x,xi, ) – ядро, удовлетворяющее соотношению:
(3)
примерно равно 1 (4)
и где xi=(xi 1,xi 2) – местоположение i-го микрофона и – выбираемый параметр.
Например, может быть использовано ядро
g(x,xi, )=Exp- ·Exp- (5)
Система может дополнительно содержать дисплей для отображения функции . Функция может отображаться на дисплее с использованием, например, шкалы уровня серого, как показано в примерах, приведенных ниже. Двумерное графическое представление функции формирует изображение области тела, которое может быть проанализировано для обнаружения нарушения в данной области организма, подобно анализу изображений, получаемых другими способами, основанными на формировании изображений, такими как рентгеновское или ультразвуковое исследование.
Область или области в отображенном изображении, в которых имеется подозрение на наличие патологического состояния, могут быть идентифицированы на изображении, причем это может быть сделано рядом путей, например, различным цветом, различным узором, посредством письменного текста и многими другими способами. Термин «патологическое состояние» относится к любому отклонению от нормального, здорового состояния дыхательных путей. Это включает в себя инфекцию, воспаление, опухоль, плевральный выпот, пневмонию, сужение дыхательных путей и другие пространственные поражения в дыхательных путях.
Кроме того, временной интервал может быть разделен на множество подинтервалов, и средняя акустическая энергия определяется по области R для двух или более из подинтервалов. Изображение для каждого из этих подинтервалов может затем определяться и отображаться последовательно на устройстве отображения изображений (дисплее). Это позволяет сформировать движущееся изображение, показывающее динамические изменения, возникающие в акустической энергии в данной области организма на интервале времени. Например, преобразователи могут быть помещены на груди пациента, и средняя акустическая энергия определяется в соответствии с изобретением для множества подинтервалов в течение цикла дыхания. Изображение может быть получено для каждого из этих подинтервалов и последовательно отображено таким образом, чтобы сформировать движущееся изображение, показывающее изменения в акустической энергии легких на длительности цикла дыхания.
Сигналы P(xi,t) могут также подвергаться полосовой фильтрации перед анализом в соответствии с изобретением, так что формируется средняя акустическая энергия для одной или нескольких частотных полос, представляющих интерес. На устройстве отображения может осуществляться наложение функций путем представления каждой функции средней акустической энергии разным цветом. Поскольку шумы дыхания, известные как «высокие свистящие сухие хрипы» и «влажные хрипы», имеют различные характеристические частотные диапазоны, то может использоваться частотная фильтрация для идентификации этих шумов дыхания. Область или области на отображенном изображении, соответствующие высоким свистящим сухим хрипам и влажным хрипам, могут быть отфильтрованы на изображении, например, с помощью характерного цвета, узора, посредством письменного текста.
Настоящее изобретение, таким образом, предусматривает систему для анализа шумов по меньшей мере в части дыхательных путей пациента, содержащую
(а) множество N преобразователей, причем каждый преобразователь выполнен с возможностью фиксации на поверхности тела пациента над грудной клеткой, при этом i-й преобразователь закреплен в положении xi и генерирует сигнал Р(xi,t), индицирующий волны давления в местоположении xi, где i=1…N, и
(b) процессор, выполненный с возможностью получения сигналов Р(xi,t) и определения средней акустической энергии по меньшей мере в одном местоположении x на интервале времени от t1 до t2, причем определяется в соответствии с алгоритмом, связанным по меньшей мере с одним из сигналов Р(xi,t).
Настоящее изобретение также обеспечивает способ анализа шумов по меньшей мере в части дыхательных путей пациента, заключающийся в том, что
(а) получают N сигналов Р(xi,t) для i=1…N, причем сигналы Р(xi,t) индицируют волны давления в местоположении xi на поверхности тела над грудной клеткой, и
(b) определяют среднюю акустическую энергию по меньшей мере в одном местоположении x на интервале времени от первого момента времени t1 до второго момента времени t2, причем определяется в соответствии с алгоритмом, связанным по меньшей мере с одним из сигналов.
Настоящее изобретение также предусматривает машиночитаемое устройство для хранения программы, материально воплощающее программу команд, исполняемых компьютером для выполнения этапов способа для определения по меньшей мере для одного интервала времени функции средней акустической энергии на основе алгоритма, связанного с использованием по меньшей мере одного сигнала Р(xi,t), индицирующего волны давления в местоположении xi на поверхности тела.
Настоящее изобретение также предусматривает компьютерный программный продукт, содержащий используемый компьютером носитель, содержащий машиночитаемый программный код, воплощенный в нем, предназначенный для анализа шумов, по меньшей мере, в части тела пациента, причем компьютерный программный продукт содержит машиночитаемый программный код, обеспечивающий возможность компьютеру определять, по меньшей мере, для одного интервала времени функцию акустической энергии , причем функция акустической энергии определяется на основе алгоритма, связанного с использованием по меньшей мере одного сигнала Р(xi,t), индицирующего волны давления в местоположении xi на поверхности тела.
Краткое описание чертежей
Для пояснения сущности изобретения и возможности его реализации на практике ниже описан предпочтительный вариант осуществления изобретения посредством неограничительного примера со ссылками на чертежи, на которых показано следующее:
Фиг. 1 – система для обеспечения анализа шумов тела пациента в соответствии с вариантом осуществления изобретения,
Фиг. 2 – блок-схема последовательности операций в способе для анализа шумов тела в соответствии с вариантом осуществления изобретения,
Фиг. 3 – запись и анализ сигналов на этапе вдоха цикла дыхания,
Фиг. 4 – запись и анализ сигналов на этапе выдоха цикла дыхания,
Фиг. 5а – изображение, полученное на здоровом индивидууме в соответствии с изобретением, фиг. 5b – рентгенограмма грудной клетки того же индивидуума,
Фиг. 6 – последовательные кадры движущегося изображения дыхательных путей здорового индивидуума,
Фиг. 7а – изображение, полученное у пациента с плевральным выпотом в соответствии с изобретением, фиг. 7b – рентгенограмма грудной клетки того же пациента,
Фиг. 8 – последовательные кадры движущегося изображения дыхательных путей у пациента с плевральным выпотом,
Фиг. 9а – изображение, полученное для пациента с пневмонией, в соответствии с изобретением, и фиг. 9b – рентгенограмма грудной клетки того же пациента,
Фиг. 10 – последовательные кадры движущегося изображения дыхательных путей пациента с плевральным выпотом.
Детальное описание изобретения
Фиг. 1 показывает систему 100 для анализа шумов в трехмерной области тела индивидуума в соответствии с вариантом осуществления изобретения. Множество N преобразователей 105, из которых показаны четыре преобразователя, приложены к плоской области на коже груди или спины индивидуума 110. Преобразователи 105 могут быть приложены к субъекту с помощью любого подходящего средства, известного в технике, например, с использованием клея, присосок, крепежных ремней. Каждый преобразователь 105 формирует аналоговый сигнал 115 напряжения, указывающий волны давления, поступающие на преобразователь. Аналоговые сигналы 115 оцифровываются с помощью многоканального аналого-цифрового преобразователя (АЦП) 120. Цифровые сигналы данных Р(xi,t) 125 представляют волны давления в местоположении xi i-го преобразователя (i=1…N) в момент времени t. Сигналы данных 125 вводятся в память 130. Процессор 135, предназначенный для обработки сигналов 125 данных, может обращаться к введенным в память 130 данным. Сигналы 125 очищаются от шума с помощью средств фильтрации, отфильтровывающих частоты вне диапазона шумов тела, например, колебания, обусловленные движением индивидуума. Каждый сигнал 125 также может подвергаться полосовой фильтрации, так что анализу подвергаются только сигнальные составляющие в диапазоне, представляющем интерес.
Устройство ввода, такое как клавиатура 140 компьютера или мышь 145, используется для ввода релевантной информации, относящейся к исследованию, таких как персональные данные индивидуума 110. Устройство 140 ввода также может быть использовано для ввода значений моментов времени t1 и t2. Альтернативно значения моментов времени t1 и t2 могут быть определены автоматически в анализе дыхательной фазы сигналов P(xi,t), выполняемым процессором 135. Процессор 135 определяет среднюю акустическую энергию на интервале времени от t1 до t2 по меньшей мере в одном местоположении х в области R в вычислениях, связанных по меньшей мере с одним из сигналов Р(xi,t).
Значения средней акустической энергии сохраняются в памяти 130 и могут быть отображены на устройстве 150 отображения, таком как экран ЭЛТ, для диагностики врачом.
Процессор 135 также может выполнять автоматическую дифференциальную диагностику посредством сравнения функции с функциями, сохраненными в памяти и известными как характерные для различных нарушений в области организма человека.
На фиг. 2 показана блок-схема последовательности операций для выполнения способа согласно настоящему изобретению в соответствии с одним вариантом его осуществления. На этапе 200 сигналы Р(xi,t) получают от N преобразователей, размещенных в предварительно определенных местоположениях xi для i от 1 до N в области R на поверхности тела. На этапе 205 значения t1 и t2 либо вводятся в процессор 135 с использованием устройств 140, 145 ввода, либо определяются процессором. На этапе 210 средняя акустическая энергия определяется по меньшей мере в одном местоположении х в области R на интервале времени от t1 до t2. На этапе 220 средняя акустическая энергия отображается на устройстве 150 отображения для по меньшей мере одного значения х. На этапе 230 определяется, следует ли функцию определить на другом интервале времени. Если да, то процесс возвращается к этапу 205. Если нет, то процесс обработки завершается.
Следует отметить, что система, соответствующая изобретению, может представлять собой соответствующим образом запрограммированный компьютер. Аналогично изобретение охватывает компьютерную программу, считываемую компьютером для выполнения способа, соответствующего изобретению. Изобретение также охватывает машиночитаемую память, материально воплощающую программу команд, исполняемых компьютером, для осуществления способа согласно изобретению.
Примеры
Система и способ, соответствующие изобретению, были использованы для анализа шумов нижних дыхательных путей пациента.
На фиг. 3 представлены запись и анализ сигналов на фазе вдоха дыхательного цикла у пациента. Двумерная система координат определена на участке в области спины индивидуума. Как показано на фиг. 3а, 48 преобразователей были размещены на спине индивидуума над легкими в местоположениях, указанных кружками 300. Кривые 305 показывают предполагаемые контуры легких. Как можно видеть, преобразователи были размещены в конфигурации регулярной ортогональной сетки с промежутками между преобразователями в горизонтальном и вертикальном направлениях, равными 5 см. Сигналы Р(xi,t) были затем записаны на фазе вдоха (инспирации) цикла дыхания (t1 и t2 являются соответственно началом и концом фазы вдоха). Каждый сигнал был отфильтрован с использованием фильтра нижних частот с частотой отсечки 150 Гц. Среднее значение отфильтрованной функции Р(xi,t) на фазе вдоха показано на фиг. 3а с помощью затенения согласно уровню серого каждого кружка 300 соответственно шкале 310 уровней серого. Значение было получено с использованием уравнений (1) и (2), приведенных выше, с ядром g, определяемым согласно уравнению (5), причем =36 пикселей. На фиг. 3b показано графическое представление 512 × 512 пикселей функции на фазе вдоха также с использованием шкалы 310 уровней серого. На графическом представлении функции , показанном на фиг. 3b, легко различимы контура легких и сердца.
На фиг. 4 представлены запись и анализ сигналов на фазе выдоха дыхательного цикла у пациента. Как показано на фиг. 3b, 48 преобразователей были размещены на спине индивидуума над легкими в тех же самых местоположениях хi, использованных на фиг. 3, указанных кружками 400. Кривые 405 показывают предполагаемые контуры легких индивидуума. Сигналы Р(xi,t) были затем записаны на фазе выдоха (экспирации) цикла дыхания (t1 и t2 являются соответственно началом и концом фазы выдоха). Каждый сигнал был отфильтрован с использованием фильтра нижних частот с частотой отсечки 150 Гц. Среднее значение каждой функции Р(xi,t) на фазе выдоха показано на фиг. 4а посредством затенения согласно уровню серого каждого кружка 400 соответственно шкале 410 уровней серого. Значение было получено с использованием уравнений (1) и (2), приведенных выше. На фиг. 4b показана функция на фазе выдоха также с использованием шкалы 410 уровней серого. Сравнение фиг. 3b и 4b показывает изменение объема в акустической энергии между фазой вдоха и выдоха дыхательного цикла.
Движущиеся изображения, показывающие изменения в легких в процессе дыхательного цикла, были получены с использованием способа и системы согласно изобретению. Сигналы 125 были получены и разделены на сегменты. Каждый сегмент анализировался способом, соответствующим изобретению, и формировалось изображение. Изображения отображались на устройстве 150 отображения в быстрой последовательности, чтобы сформировать движущееся изображение дыхательных путей на дыхательном цикле.
Фиг. 5а показывает изображение дыхательных путей здорового индивидуума, полученное на полном дыхательном цикле в соответствии с изобретением, а фиг. 5b показывает рентгенограмму грудной клетки того же индивидуума. На фиг. 6 показаны 11 последовательных изображений, полученных на последовательных 0,4 с интервалах времени в течение дыхательного цикла индивидуума. Каждый кадр представляет обработку записанных сигналов на интервале времени 0,4 с. Кадры с 01 по 05 (полученные в моменты времени от 0,0 до 1,6 с) были получены в течение фазы вдоха дыхательного цикла, а кадры с 06 по 11 (полученные в моменты времени от 1,8 до 3,6 с) были получены в течение цикла выдоха. Последовательность изображений, полученная на фиг. 6, может быть отображена последовательно на устройстве отображения, чтобы создать движущееся изображение дыхательных путей в течение дыхательного цикла. Последовательность изображений, показанная на фиг. 6, показывает полное заполнение и опустошение легких в течение дыхательного цикла, как ожидалось бы у здорового индивидуума, не имеющего никаких поражений в заполнении легочного пространства.
Фиг. 7а показывает изображение дыхательных путей индивидуума с плевральным выпотом, полученное на всем дыхательном цикле в соответствии с настоящим изобретением, а на фиг. 7b показана рентгенограмма грудной клетки того же самого индивидуума. Фиг. 8 показывает 16 последовательных изображений, полученных на последовательных интервалах времени длительностью 0,4 с в течение дыхательного цикла индивидуума. Каждый кадр представляет обработку записанных сигналов на интервале времени 0,4 с. Кадры с 01 по 06 (полученные в моменты времени от 0,0 до 2,0 с) были получены в течение фазы вдоха дыхательного цикла, а кадры с 07 по 16 (полученные в моменты времени от 2,4 до 4,0 с) были получены в течение цикла выдоха. Последовательность изображений, полученная на фиг. 8, может быть отображена последовательно на устройстве отображения, чтобы создать движущееся изображение дыхательных путей в течение дыхательного цикла. На последовательности изображений, показанной на фиг. 8, легочная ткань на нижней правой доле не визуализируется, указывая на отсутствие воздушного потока в нижнем правом легком, что следовало бы ожидать у индивидуума, имеющего поражения в заполнении легочного пространства, как это возникает при плевральном выпоте. Можно видеть, что воздушный поток в верхней части правого легкого также имеет дефекты.
Фиг. 9а показывает изображение дыхательных путей индивидуума с пневмонией, полученное на всем дыхательном цикле в соответствии с настоящим изобретением, а на фиг. 9b показана рентгенограмма грудной клетки того же самого индивидуума. Фиг. 10 показывает 12 последовательных изображений, полученных на последовательных интервалах времени длительностью 0,4 с в течение дыхательного цикла индивидуума. Последовательность изображений, полученная на фиг. 10, может быть отображена последовательно на устройстве отображения, чтобы создать движущееся изображение дыхательных путей в течение дыхательного цикла. Каждый кадр представляет обработку записанных сигналов на интервале времени 0,4 с. Кадры с 01 по 06 (полученные в моменты времени от 0,0 до 2,0 с) были получены в течение фазы вдоха дыхательного цикла, а кадры с 07 по 16 (полученные в моменты времени от 2,4 до 4,0 с) были получены в течение цикла выдоха. На последовательности изображений, показанной на фиг. 10, легочная ткань на нижней левой доле не визуализируется, указывая на отсутствие воздушного потока в нижнем левом легком, что следовало бы ожидать у индивидуума, имеющего поражения в заполнении легочного пространства, как это возникает при пневмонии. Можно видеть, что воздушный поток в верхней части левого легкого является нормальным.
Формула изобретения
1. Система для анализа шумов, по меньшей мере, в части дыхательных путей пациента, содержащая
(a) множество N преобразователей, причем каждый преобразователь выполнен с возможностью фиксации на поверхности тела пациента над грудной клеткой, при этом i-й преобразователь закреплен в местоположении хi и генерирует сигнал Р(хi,t), индицирующий волны давления в местоположении хi, где i=1…N, и
(b) процессор, выполненный с возможностью получения сигналов P(хi,t) и определения средней акустической энергии (х,t1,t2), по меньшей мере, в одном местоположении х на интервале времени от первого момента времени t1 до второго момента времени t2, причем определяется в соответствии с алгоритмом, связанным, по меньшей мере, с одним из сигналов P(xi,t).
2. Система по п.1, отличающаяся тем, что дополнительно содержит двумерное устройство отображения.
3. Система по п.2, отличающаяся тем, что процессор дополнительно конфигурирован для отображения представления функции на устройстве отображения.
4. Система по п.1, отличающаяся тем, что процессор дополнительно конфигурирован для сравнения средней акустической энергии с одной или более предварительно определенными функциями и определения функции из функции в наибольшей степени сходной с 
5. Система по п.4, отличающаяся тем, что процессор дополнительно конфигурирован для постановки диагноза на основе определенной функции.
6. Система по п.1, отличающаяся тем, что процессор дополнительно конфигурирован для определения средней акустической энергии на интервале времени от t1 до t2 в местоположении хi преобразователя с использованием алгебраического выражения

7. Система по п.1, отличающаяся тем, что процессор дополнительно конфигурирован для определения функции в одном или более местоположений х в соответствии с алгоритмом, включающим в себя
(a) определение средней акустической энергии (хi,t1,t2) на интервале времени от t1 до t2 во множестве местоположений хi преобразователей и
(b) определение средней акустической энергии (х,t1,t2), по меньшей мере, в одном местоположении х путем интерполяции полученного значения (хi,t1,t2).
8. Система по п.7, отличающаяся тем, что процессор дополнительно конфигурирован для определения средней акустической энергии на интервале времени от t1 до t2 во множестве местоположений хi преобразователей с использованием алгебраического выражения

9. Система по п.7, отличающаяся тем, что процессор дополнительно конфигурирован для определения средней акустической энергии, по меньшей мере, в одном местоположении х путем интерполяции полученного значения (хi,t1,t2) с использованием алгебраического выражения

где g(x,xi, ) – функция, удовлетворяющая соотношению

примерно равно 1.
10. Система по п.9, отличающаяся тем, что g(x,xi, ) является функцией, соответствующей

11. Система по п.1, отличающаяся тем, что процессор конфигурирован для определения средней акустической энергии по множеству последовательных интервалов времени, причем каждое значение средней акустической энергии определяется в соответствии с алгоритмом, связанным, по меньшей мере, с одним из сигналов P(xi,t).
12. Система по п.11, отличающаяся тем, что процессор конфигурирован для последовательного отображения на устройстве отображения представления каждого полученного значения средней акустической энергии.
13. Система по п.1, отличающаяся тем, что процессор конфигурирован для того, чтобы
(а) для каждой из одной или нескольких полос частот
(aa) осуществлять полосовую фильтрацию сигналов P(xi,t) в указанной полосе частот,
(ab) определять функцию средней акустической энергии для указанной полосы частот на основе, по меньшей мере, одного из отфильтрованных сигналов.
14. Система по п.13, отличающаяся тем, что процессор конфигурирован для отображения одной или нескольких функций средней акустической энергии, определенных для полосы частот, на устройстве отображения.
15. Способ анализа шумов, по меньшей мере, в части дыхательных путей пациента, заключающийся в том, что
(a) получают N сигналов P(xi,t) для i=1…N, причем сигнал P(xi,t) индицирует волны давления в местоположении xi на поверхности тела над грудной клеткой, и
(b) определяют среднюю акустическую энергию (х,t1,t2), по меньшей мере, в одном положении х на интервале времени от первого момента времени t1 до второго момента времени t2, причем определяется в соответствии с алгоритмом, связанным, по меньшей мере, с одним из сигналов.
16. Способ по п.15, отличающийся тем, что дополнительно включает отображение представления на двумерной поверхности.
17. Способ по п.15, отличающийся тем, что дополнительно включает сравнение средней акустической энергии с одной или несколькими предварительно определенными функциями и определение функции из функций в наибольшей степени сходной с 
18. Способ по п.17, отличающийся тем, что дополнительно включает постановку диагноза на основе определенной функции.
19. Способ по п.15, отличающийся тем, что среднюю акустическую энергию на интервале времени от t1 до t2 определяют в местоположении xi преобразователя с использованием алгебраического выражения

20. Способ по п.15, отличающийся тем, что функцию определяют в одном или более местоположений х в соответствии с алгоритмом, включающим в себя
(a) определение средней акустической энергии (х,t1,t2) на интервале времени от t1 до t2 во множестве местоположений хi преобразователей и
(b) определение средней акустической энергии (х,t1,t2), по меньшей мере, в одном местоположении х путем интерполяции полученного значения (хi,t1,t2).
21. Способ по п.20, отличающийся тем, что среднюю акустическую энергию определяют на интервале времени от t1 до t2 во множестве местоположений xi преобразователей с использованием алгебраического выражения

22. Способ по п.20, отличающийся тем, что среднюю акустическую энергию определяют, по меньшей мере, в одном местоположении х путем интерполяции полученного значения (х,t1,t2) с использованием алгебраического выражения

где g(x,xi, ) – функция, удовлетворяющая соотношению

примерно равно 1.
23. Способ по п.22, отличающийся тем, что g(x,xi, ) является функцией, соответствующей

24. Способ по п.15, отличающийся тем, что дополнительно включает определение средней акустической энергии по множеству последовательных интервалов времени, причем каждое значение средней акустической энергии определяется в соответствии с алгоритмом, связанным, по меньшей мере, с одним из сигналов P(xi,t), и последовательное отображение на устройстве отображения представления каждого полученного значения средней акустической энергии.
25. Способ по п.15, отличающийся тем, что дополнительно включает для каждой из одной или нескольких полос частот
(а) осуществление полосовой фильтрации сигналов P(xi,t), в указанной полосе частот,
(b) определение функции средней акустической энергии для указанной полосы частот на основе, по меньшей мере, одного из отфильтрованных сигналов.
26. Способ по п.25, отличающийся тем, что дополнительно включает отображение на устройстве отображения одной или нескольких функций средней акустической энергии, определенных для полосы частот.
27. Применение способа по п.18 для диагностики нарушений дыхательных путей.
28. Применение по п.27, при котором нарушение выбрано из группы, включающей в себя, по меньшей мере, плевральный выпот и пневмонию.
29. Машиночитаемый носитель данных, содержащий компьютерную программу, включающую в себя средство кода компьютерной программы, исполнение которой на компьютере обеспечивает выполнение этапа определения средней акустической энергии в способе по п.15.
РИСУНКИ
|
|