Патент на изобретение №2314690
|
||||||||||||||||||||||||||||||||||||||||||||||||||||||||||||||||||||||||||||||||||||||||||||||||||||||||||||||||||||||||||||||||||||||||||||||||||||||||||||||||||||||||||||
(54) БЕНЗАМИДЫ И КОМПОЗИЦИИ НА ИХ ОСНОВЕ ДЛЯ ИСПОЛЬЗОВАНИЯ В КАЧЕСТВЕ ФУНГИЦИДОВ
(57) Реферат:
Описывается композиция для борьбы с заболеваниями растений, вызванных грибковыми патогенами растений, включающая (а) соединения формулы I
где А обозначает пиридинильное кольцо, замещенное, по крайней мере, одним заместителем, выбранным из галогена и С1-6галогеналкила; В обозначает фенильное кольцо, возможно замещенное галогеном; W представляет собой C=L; L представляет собой О; R1, R2 и R3 обозначают Н; (b) по меньшей мере одно соединение, выбранное из группы, состоящей из (b1) алкиленбис(дитиокарбаматных) фунгицидов, (b2) соединений, действующих на bc1-комплекс сайта переноса электронов грибковой митохондриальной респираторной системы, (b3) цимоксанила, и (b9) фозетил-алюминия, при массовом соотношение компонента (b) к компоненту (а) от 100:1 до 1:100. Описывается также способ борьбы с заболеваниями растений. 2 н. и 11 з.п. ф-лы, 8 табл.
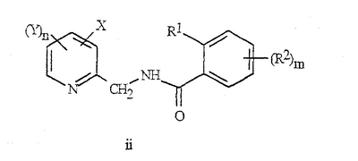
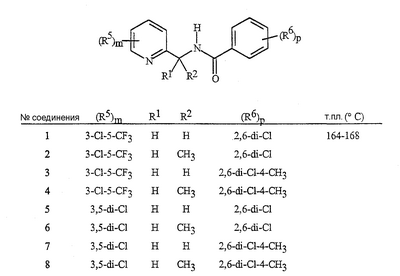
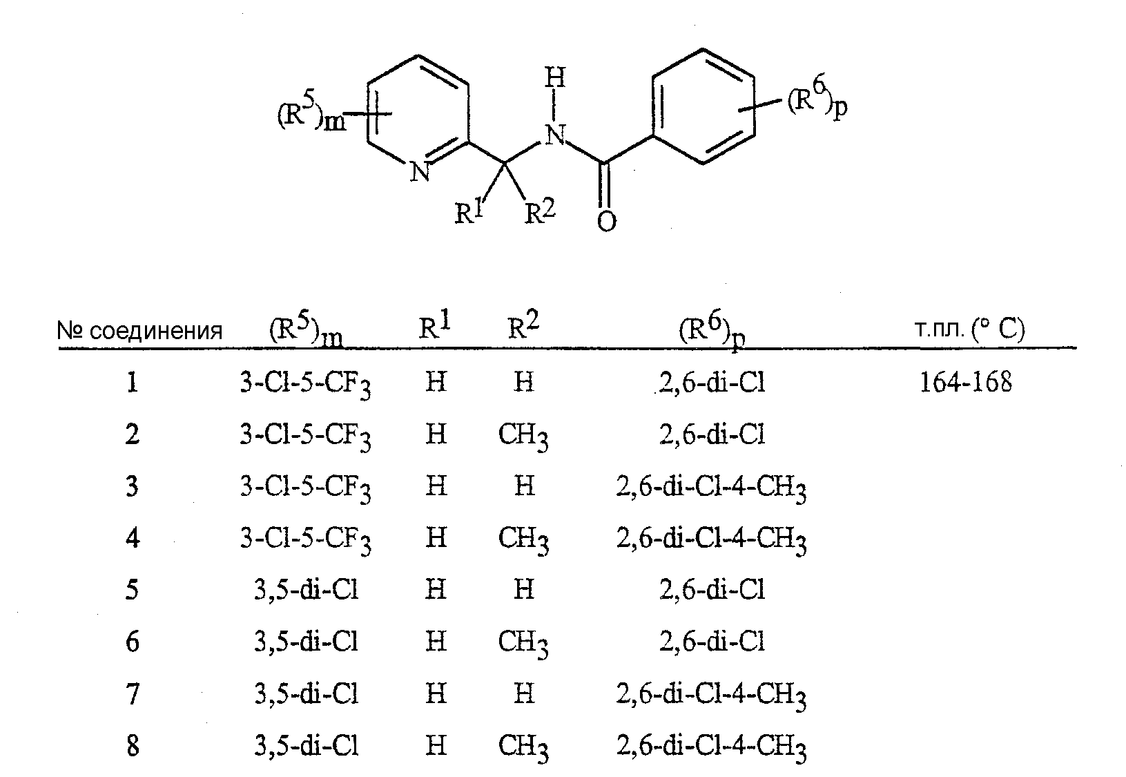
Предпосылки создания изобретения Данное изобретение относится к некоторым бензамидам, их N-оксидам, пригодным для сельского хозяйства солям, некоторым подходящим композициям, содержащим смесь бензамидов и других фунгицидов, и способам их использования в качестве фунгицидов. Борьба с болезнями растений, вызванными грибковыми патогенами растений, является чрезвычайно важной в достижении высокой эффективности в культивировании сельскохозяйственных культур. Повреждение вследствие болезней растений декоративных, овощных, полевых, зерновых и плодовых сельскохозяйственных культур может вызвать значительное снижение продуктивности и тем самым привести к повышенным ценам для потребителя. Многие продукты являются коммерчески приемлемыми для этих целей, но сохраняется потребность в новых продуктах, которые являются более эффективными, имеет меньшую цену, менее токсичны или безопасны для окружающей среды. В WO 99/42447 описаны некоторые бензамиды формулы i в качестве фунгицидов где помимо других значений R1 представляет собой Н, алкил или ацил; R2 представляет собой Н или алкил и L представляет собой -С(С=О)-, -SO2– или -(С=S)-. В WO 02/16322 описан новый способ получения некоторых бензамидов формулы ii, которые являются пригодными в качестве фунгицидов где помимо других значений Х представляет собой галоген; Y представляет собой галоген, галогеналкил, алкоксикарбонил или алкилсульфонил; каждый из R1 и R2 независимо представляет собой галоген; m равно 0, 1 или 2 и n равно 0-3. Производители постоянно нуждаются в фунгицидах, которые являются эффективными в борьбе с грибками растений, особенно класса Oomycetes, таких как Phytophthora spp. И Plasmopara spp. Комбинации фунгицидов часто используют для облегчения борьбы с болезнями и для замедления развития устойчивости к фунгицидам. Желательно расширить спектр активности и эффективности борьбы с болезнями посредством использования смеси активных ингредиентов, которые обеспечивают сочетание лечебного, системного и профилактического подавления патогенов растений. Желательными являются также комбинации, которые обеспечивают более высокое остаточное действие, чтобы обеспечить длительные интервалы между распылениями. Очень желательно также сочетать фунгицидные агенты, которые ингибируют различные биохимические пути грибковых патогенов, чтобы замедлить развитие устойчивости любого конкретного растения к агенту для борьбы с болезнями. Во всех случаях особенно предпочтительна возможность снижения количества химических агентов, выделяемых в окружающую среду при обеспечении эффективной защиты сельскохозяйственных культур от болезней, вызванных патогенами растений. Смеси фунгицидов могут обеспечить значительно лучшее подавление болезней, чем может быть предсказано на основе активности индивидуальных компонентов. Этот синергизм описан как «совместное действие двух компонентов смеси, так что общее действие является более сильным или более продолжительным, чем сумма действий двух (или более) компонентов, взятых по отдельности» (см. Tames, P.M.L., Neth, J. Plant Pathology, (1964), 70, 73-80). В данном случае желательно найти фунгицидные агенты, которые являются особенно подходящими в достижении одной или нескольких указанных ранее целей. Краткое изложение сущности изобретения Данное изобретение предлагает композицию для борьбы с заболеваниями растений, вызванными грибковыми патогенами растений, включающую (а) по меньшей мере одно соединение формулы I (в том числе все геометрические изомеры и стереоизомеры), их N-оксиды и сельскохозяйственно приемлемые соли: где А представляет собой замещенное пиридинильное кольцо; В представляет собой замещенное фенильное кольцо; W представляет собой С=L или SOn; L представляет собой О или S; R1 и R2, каждый независимо, представляют собой Н или С1-С6-алкил, С2-С6-алкенил, С1-С6-алкинил или С3-С6-циклоалкил, каждый из которых необязательно замещен; R3 представляют собой Н или С1-С6-алкил, С2-С6-алкенил, С1-С6-алкинил, С3-С6-циклоалкил, С2-С10-алкоксиалкил, С2-С6-алкилкарбонил, С2-С6-алкоксикарбонил, С2-С6-алкиламинокарбонил или С3-С8-диалкиламинокарбонил и n равно 1 или 2, (b) по меньшей мере одно соединение, выбранное из группы, состоящей из (b1) алкиленбис(дитиокарбаматных) фунгицидов (b2) соединений, действующих на bc1-комплекс сайта переноса электронов грибковой митохондриальной респираторной системы; (b3) цимоксанила; (b4) соединений, действующих на фермент деметилазу пути биосинтеза стеринов; (b5) морфолиновых и пиперидиновых соединений, которые действуют на путь биосинтеза стеринов; (b6) фениламидных фунгицидов; (b7) пиримидиноновых фунгицидов; (b8) фталимидов и (b9) фозетил-алюминия. Данное изобретение относится также к способу борьбы с заболеваниями растений, вызванными грибковыми патогенами растений, включающему нанесение на растение, или часть его, или на семена или всходы растений фунгицидно эффективного количества композиции изобретения. Данное изобретение предлагает также соединение формулы Ia (в том числе все геометрические изомеры и стереоизомеры), их N-оксиды и соли, пригодные для использования в сельском хозяйстве: где R4 представляет собой галоген; R5 представляет собой С1-С6-алкил, галоген, NO2, С1-С4-алкокси, С1-С4-галогеналкокси, С1-С4-алкилтио, С1-С4-алкилсульфинил, С1-С4-алкилсульфонил, С1-С4-галогеналкилтио, С1-С4-галогеналкилсульфинил или С1-С4-галогеналкилсульфонил; каждый R6 представляет собой, независимо, С1-С6-алкил, С1-С6-галогеналкил, галоген, NO2, С1-С4-алкокси, С1-С4-галогеналкокси, С1-С4-алкилтио, С1-С4-алкилсульфинил, С1-С4-алкилсульфонил, С1-С4-галогеналкилтио, С1-С4-галогеналкилсульфинил или С1-С4-галогеналкилсульфонил или два R6, присоединенные к смежным атомам углерода, взятые вместе с указанными атомами углерода образуют конденсированное 5- или 6-членное неароматическое гетероциклическое кольцо, содержащее один или два атома кислорода и, необязательно, замещенное одним-четырьмя заместителями, независимо выбранными из F или метила, и р равно 1, 2, 3 или 4. Данное изобретение предлагает также соединение формулы Ib (в том числе все геометрические изомеры и стереоизомеры), их N-оксиды и пригодные для использования в сельском хозяйстве соли: где R4 представляет собой галоген; R5 представляет собой С1-С4-галогеналкокси, С1-С4-галогеналкилтио, С1-С4-галогеналкилсульфинил или С1-С4-галогеналкилсульфонил; каждый R6 представляет собой, независимо, С1-С6-алкил, С1-С6-галогеналкил, галоген, NO2, С1-С4-алкокси, С1-С4-галогеналкокси, С1-С4-алкилтио, С1-С4-алкилсульфинил, С1-С4-алкилсульфонил, С1-С4-галогеналкилтио, С1-С4-галогеналкилсульфинил, или С1-С4-галогеналкилсульфонил, или два R6, присоединенные к смежным атомам углерода, взятые вместе с указанными атомами углерода образуют конденсированное 5- или 6-членное неароматическое гетероциклическое кольцо, содержащее один или два атома кислорода и, необязательно, замещенное одним-четырьмя заместителями, независимо выбранными из F или метила, и р равно 1, 2, 3 или 4. Данное изобретение предлагает также соединение формулы Ic (в том числе все геометрические изомеры и стереоизомеры), их N-оксиды и пригодные для использования в сельском хозяйстве соли: где R4 представляет собой Cl или Br; R5 представляет собой Br или I; каждый R6 представляет собой, независимо, С1-С6-алкил, С1-С6-галогеналкил, галоген, NO2, С1-С4-алкокси, С1-С4-галогеналкокси, С1-С4-алкилтио, С1-С4-алкилсульфинил, С1-С4-алкилсульфонил, С1-С4-галогеналкилтио, С1-С4-галогеналкилсульфинил, или С1-С4-галогеналкилсульфонил, или два R6, присоединенные к смежным атомам углерода, взятые вместе с указанными атомами углерода образуют конденсированное 5- или 6-членное неароматическое гетероциклическое кольцо, содержащее один или два атома кислорода и, необязательно, замещенное одним-четырьмя заместителями, независимо выбранными из F или метила, и р равно 1, 2, 3 или 4. Подробное описание изобретения Как указано выше, А представляет собой замещенное пиридинильное кольцо и В представляет собой замещенное фенильное кольцо. Термин «замещенный» в связи с этими группами А и В относится к группам, которые имеют, по меньшей мере, один неводородный заместитель, который не подавляет фунгицидную активность. Примеры формулы I, включающие в себя указанные пиридинильные кольца, в которых А замещен 1-4 R5; В замещен 1-4 R6, включают кольца, иллюстрированные в рисунке 1, где m и p независимо равны целым числам от 1 до 4. Следует отметить, что точка присоединения между (R5)m и А и (R6)p и В иллюстрируется как «плавающая» (находящаяся в неопределенном положении) и (R5)m и (R6)p могут быть присоединены к любому доступному атому углерода колец А и В, соответственно. Рисунок 1 Примеры R5, когда он присоединен к А, и R6, когда он присоединен к В, включают: каждый из R5 и R6 независимо представляет собой С1-С6-алкил, С2-С6-алкенил, С2-С6-алкинил, С3-С6-циклоалкил, С1-С6-галогеналкил, С2-С6-галогеналкенил, С2-С6-галогеналкинил, С3-С6-галогенциклоалкил, галоген, CN, CO2H, CONH2, NO2, гидрокси, С1-С4-алкокси, С1-С4-галогеналкокси, С1-С4-алкилтио, С1-С4-алкилсульфинил, С1-С4-алкилсульфонил, С1-С4-галогеналкилтио, С1-С4-галогеналкилсульфинил, С1-С4-галогеналкилсульфонил, С1-С4-алкиламино, С2-С8-диалкиламино, С3-С6-циклоалкиламино, С2-С6-алкилкарбонил, С2-С6-алкоксикарбонил, С2-С6-алкиламинокарбонил, С3-С8-диалкиламинокарбонил, или С3-С6-триалкилсилил, или каждый из R5 и R6 независимо представляет собой фенил, бензил, фенокси, 5- или 6-членное гетероароматическое кольцо или 5- или 6-членное неароматическое гетероциклическое кольцо, где каждое кольцо необязательно замещено одним-тремя заместителями, независимо выбранными из R7; или два R6, присоединенные к смежным атомам углерода, взятые вместе с указанными атомами углерода с образованием конденсированного фенильного кольца, конденсированного 5- или 6-членного неароматического карбоциклического кольца, конденсированного 5- или 6-членного гетероароматического кольца, или конденсированного 5- или 6-членного неароматического гетероароматического кольца, где каждое конденсированное кольцо необязательно замещено одним-тремя заместителями, независимо выбранными из R7; каждый R7 представляет собой независимо С1-С4-алкил, С2-С4-алкенил, С2-С4-алкинил, С3-С6-циклоалкил, С1-С4-галогеналкил, С2-С4-галогеналкенил, С2-С4-галогеналкинил, С3-С6-галогенциклоалкил, галоген, CN, NO2, С1-С4-алкокси, С1-С4-галогеналкокси, С1-С4-алкилтио, С1-С4-алкилсульфинил, С1-С4-алкилсульфонил, С1-С4-алкиламино, С2-С8-диалкиламино, С3-С6-циклоалкиламино, С3-С6-(алкил)циклоалкиламино, С2-С4-алкилкарбонил, С2-С6-алкоксикарбонил, С2-С6-алкиламинокарбонил, С3-С8-диалкиламинокарбонил, или С3-С6-триалкилсилил. Как указано выше, R1 и R2 представляют собой, каждый независимо, Н или С1-С6-алкил, С2-С6-алкенил, С2-С6-алкинил или С3-С6-циклоалкил, каждый из которых необязательно замещен. Термин «необязательно замещенный» в связи с указанными группами R1 и R2 относится к группам, которые являются незамещенными или имеют, по меньшей мере, один неводородный заместитель, который не подавляет фунгицидную активность, которой обладает незамещенный аналог. Примерами необязательно замещенных групп R1 и R2 являются группы, которые являются необязательно замещенными одним или несколькими заместителями, выбранными из группы, состоящей из CN, NO2, гидрокси, С1-С4-алкокси, С1-С4-алкилтио, С1-С4-алкилсульфинила, С1-С4-алкилсульфонила, С2-С4-алкоксикарбонила, С1-С4-алкиламино, С2-С8-диалкиламино и С3-С6-циклоалкиламино. Хотя эти заместители перечислены в примерах выше, следует отметить, не требуется их обязательное присутствие, поскольку они являются необязательными заместителями. Представляющими интерес являются группы R1 и R2, которые необязательно замещены одним-четырьмя заместителями, выбранными из указанных выше групп. Примеры N-оксидов формулы I иллюстрируются как формулы от I-4 до I-6 в рисунке 2, где R1, R2, R3, R5, R6, W, m и р имеют значения, указанные выше. Рисунок 2 В вышеприведенном изложении термин «алкил», используемый отдельно или в сочетаниях, таких как «алкилтио» или «галогеналкил», включает алкил с неразветвленной или разветвленной цепью, такой как метил, этил, н-пропил, изопропил или различные изомеры бутила, пентила или гексила. «Алкенил» включает алкены с неразветвленной или разветвленной цепью, такие как этенил, 1-пропенил, 2-пропенил и различные изомеры бутенила, пентенила и гексенила. «Алкенил» включает также полиены, такие как 1,2-пропадиенил и 2,4-гексадиенил. «Алкинил» включает алкины с неразветвленной или разветвленной цепью, такие как этинил, 1-пропинил, 2-пропинил и различные изомеры бутинила, пентинила и гексинила. «Алкинил» может также включать остатки, содержащие нескольких тройных связей, такие как 2,5-гексадиинил. «Алкокси» включает, например, метокси, этокси, н-пропилокси, изопропилокси и различные изомеры бутокси, пентокси и гексилокси. «Алкоксиалкил» означает алкоксизамещение алкила. Примеры «алкоксиалкила» включают СН3ОСН2, СН3ОСН2СН2, СН3СН2ОСН2, СН3СН2СН2СН2ОСН2 и СН3СН2ОСН2СН2. «Алкоксиалкокси» означает алкоксизамещение у алкокси. Термин «алкенилокси» включает остатки алкенилокси с неразветвленной или разветвленной цепью. Примеры «алкенилокси» включают Н2С=СНСН2О, (СН3)2С=СНСН2О, (СН3)СН=СНСН2О, (СН3)СН=С(СН3)СН2О и СН2=СНСН2СН2О. «Алкинилокси» включает остатки алкинилокси с неразветвленной или разветвленной цепью. Примеры «алкинилокси» включают НС Термин «галоген», либо отдельно либо в сочетаниях, таких как «галогеналкил» включает фтор, хлор, бром или иод. Кроме того, при использовании в сочетаниях, таких как «галогеналкил» указанный алкил может быть частично или полностью замещен атомами галогена, которые могут быть одинаковыми или разными. Примеры «галогеналкила» включают F3C, ClCH2, CF3CH2 и CF3CCl2. Термины «галогеналкенил», «галогеналкинил», «галогеналкокси», «галогеналкилтио» и тому подобное определяются аналогично термину «галогеналкил». Примеры «галогеналкенила» включают (Cl)2C=CHCH2 и CF3СН2СН=СНСН2. Примеры «галогеналкинила» включают НС Термин «ароматический» указывает, что каждый из атомов кольца находится по существу в одной и той же плоскости и имеют р-орбиталь, перпендикулярную плоскости кольца, и что (4n+2) Специалисту в данной области должно быть понятно, что не все азотсодержащие гетероциклы могут образовывать N-оксиды, поскольку атому азота требуется доступная неподеленная пара электронов для его окисления в оксид; специалисту в данной области должны быть также известны те азотсодержащие гетероциклы, которые могут образовывать N-оксиды. Специалисту в данной области должно быть также известно, что третичные амины могут образовывать N-оксиды. Синтетические способы получения N-оксидов гетероциклов и третичных аминов хорошо известны специалисту в данной области, включая окисление гетероциклов и третичных аминов пероксикислотами, такими как перуксусная кислота и м-хлорпербензойная кислота (МСРВА), пероксид водорода, алкилгидропероксиды, такие как трет-бутилгидропероксид, перборат натрия и диоксираны, такие как диметилдиоксиран. Такие способы получения N-оксидов широко описаны в литературе и в литературе даны их обзоры, см., например, Т.L.Gilchrist in Comprehensive Organic Synthesis, vol.7, pp.748-750, S.V.Ley, Ed., Pergamon Press; M.Tisler and B.Stanovnik in Comprehensive Heterocyclic Chemistry, vol.3, pp.18-20, A.J.Boulton and A.McKillop, Eds., Pergamon Press; M.R.Grimmett and B.R.T.Keene in Advances in Heterocyclic Chemistry, vol.43, pp.149-161, A.R.Katritzky, Ed., Academic Press; M.Tisler and B.Stanovnik in Advances in Heterocyclic Chemistry, vol.9, pp.285-291, A.R.Katritzky and A.J.Boulton, Eds., Academic Press; and G.W.H.Cheeseman and E.S.G.Werstiuk in Advances in Heterocyclic Chemistry, vol.22, pp.390-392, A.R.Katritzky and A.J.Boulton, Eds., Academic Press. Общее число атомов углерода в группе-заместителе указывается приставкой «Ci-Cj», где i и j равны числам от 1 до 8. Например, С1-С3-алкилсульфонил обозначает группу от метилсульфонила до пропилсульфонила; С2-алкоксиалкил обозначает СН3ОСН2; С3-алкоксиалкил обозначает, например, СН3СН(ОСН3), СН3ОСН2СН2 или СН3СН2ОСН2 и С4-алкоксиалкил обозначает различные изомеры алкильной группы, замещенные алкоксигруппой, и содержит всего четыре атома углерода, причем примеры его включают СН3СН2СН2ОСН2 и СН3СН2ОСН2СН2. Когда соединение замещено заместителем, имеющим нижний индекс, который указывает, что число указанных заместителей может превышать 1, указанные заместители (когда они превышают 1) независимо выбирают из группы указанных заместителей. Далее, когда нижний индекс указывает диапазон, например (R)i-j, то число заместителей может быть выбрано из целых чисел от i до j включительно. Когда группа содержит заместитель, который может быть водородом, например R1 или R2, то, когда такой заместитель принимает значение водорода, считается, что такая группа эквивалентна указанной группе, являющейся незамещенной. Соединения формулы I могут существовать в виде одного или нескольких стереоизомеров. Различные стереоизомеры включают энантиомеры, диастереомеры, атропоизомеры и геометрические изомеры. Специалисту в данной области должно быть очевидно, что один стереоизомер может быть более активным и/или может проявлять лучшее действие при обогащении или относительно другого стереоизомера(ов), или когда он отделен от другого стереоизомера(ов). Кроме того, специалист в данной области знает как разделить, обогатить и/или селективно получить указанные стереоизомеры. В соответствии с этим в настоящем изобретении предложены соединения, выбранные из соединений формулы I, их N-оксидов и подходящих для сельского хозяйства солей. Соединения формулы I могут быть представлены в виде смеси стереоизомеров, индивидуальных стереоизомеров или в виде оптически активной формы. В частности, когда R1 и R2 формулы I являются разными, то соединение указанной формулы имеет хиральный центр у атома углерода, с которым обычно связаны R1 и R2. Данное изобретение включает рацемическую смесь равных частей соединения формулы I’ и соединения формулы I”. где А, В, W, R1, R2 и R3 имеют значения, указанные выше. Кроме того, данное изобретение включает в себя композиции, которые обогащены, по сравнению с рацемической смесью, энантиомером формулы I’ или формулы I”. Данное изобретение включает в себя также композиции, у которых компонент (а) обогащен энантиомером компонента (а) формулы I’ по сравнению с рацемической смесью компонента (а). Включены композиции, содержащие по существу чистые энантиомеры формулы I’. Данное изобретение включает также композиции, у которых компонент (а) обогащен энантиомером компонента (а) формулы I” по сравнению с рацемической смесью компонента (а). В изобретение включены также композиции, содержащие по существу чистые энантиомеры формулы I”. В случае энантиомерного обогащения один энантиомер присутствует в более высоких количествах, чем другой, и степень обогащения может быть определена выражением энантиомерный избыток («ее»), который определяют как 100(2х-1), где х представляет собой молярную часть доминантного энантиомера в энантиомерной смеси (например, ее 20% соответствуют отношению энантиомеров 60:40). Более активный энантиомер в отношении относительных положений R1, R2, A и остальной части молекулы, связанной через атом азота, соответствует конфигурации энантиомера формулы I, который в растворе CDCl3 вращает плоско поляризованный свет в (+)- или декстронаправлении. Предпочтительно, имеется, по меньшей мере, 50% энантиомерный избыток; более предпочтительно, по меньшей мере, 75% энантиомерный избыток; еще более предпочтительно, по меньшей мере, 90% энантиомерный избыток, и, наиболее предпочтительно, по меньшей мере, 94% энантиомерный избыток более активного изомера формулы I. Особый интерес представляют энантиомерно чистые варианты более активного изомера формулы I. Соли соединений формулы I включают кислотно-аддитивные соли с неорганическими или органическими кислотами, такими как бромистоводородная, хлористоводородная, азотная, фосфорная, серная, уксусная, масляная, фумаровая, молочная, малеиновая, малоновая, щавелевая, пропионовая, салициловая, винная, 4-толуолсульфоновая или валериановая кислоты. Соли соединений формулы I включают также соли, образованные с органическими основаниями (например, пиридином, аммиаком или триэтиламином) или неорганическими основаниями (например, гидридами, гидроксидами или карбонатами натрия, калия, лития, кальция, магния или бария), когда соединение содержит кислотную группу, такую как карбоновая кислота или фенол. Предпочтительными композициями изобретения, в которых (а) содержит соединения формулы I, по причинам лучшей активности и/или легкости синтеза являются Предпочтительные композиции 1. Предпочтительными являются композиции, где в формуле I А представляет собой пиридинильное кольцо, замещенное от 1 до 4 R5; В представляет собой фенильное кольцо, замещенное от 1 до 4 R6; W представляет собой С=О; R1 и R2, каждый независимо, представляют собой Н или С1-С6-алкил, С2-С6-алкенил, С1-С6-алкинил или С3-С6-циклоалкил, каждый из которых необязательно замещен одним или несколькими заместителями, выбранными из группы, состоящей из галогена, CN, NO2, гидрокси, С1-С4-алкокси, С1-С4-алкилтио, С1-С4-алкилсульфинила, С1-С4-алкилсульфонила, С2-С4-алкоксикарбонила, С1-С4-алкиламино, С2-С8-диалкиламино и С3-С6-циклоалкиламино; R3 представляет собой Н и каждый из R5 и R6 независимо представляет собой С1-С6-алкил, С2-С6-алкенил, С2-С6-алкинил, С3-С6-циклоалкил, С1-С6-галогеналкил, С2-С6-галогеналкенил, С2-С6-галогеналкинил, С3-С6-галогенциклоалкил, галоген, CN, CO2H, CONH2, NO2, гидрокси, С1-С4-алкокси, С1-С4-галогеналкокси, С1-С4-алкилтио, С1-С4-алкилсульфинил, С1-С4-алкилсульфонил, С1-С4-галогеналкилтио, С1-С4-галогеналкилсульфинил, С1-С4-галогеналкилсульфонил, С1-С4-алкиламино, С2-С8-диалкиламино, С3-С6-циклоалкиламино, С2-С6-алкилкарбонил, С2-С6-алкоксикарбонил, С2-С6-алкиламинокарбонил, С3-С8-диалкиламинокарбонил или С3-С6-триалкилсилил или каждый из R5 и R6 независимо представляет собой фенил, бензил, фенокси, 5- или 6-членное гетероароматическое кольцо или 5- или 6-членное неароматическое гетероциклическое кольцо, где каждое кольцо необязательно замещено одним-тремя заместителями, независимо выбранными из R7 или два R6, присоединенные к смежным атомам углерода, взятые вместе с указанными атомами углерода, образуют конденсированное фенильное кольцо, конденсированное 5- или 6-членное неароматическое карбоциклическое кольца, конденсированное 5- или 6-членное гетероароматическое кольцо или конденсированное 5- или 6-членное неароматическое гетероциклическое кольцо, где каждое конденсированное кольцо необязательно замещено одним-тремя заместителями, выбранными из R7; каждый R7 представляет собой независимо С1-С4-алкил, С2-С4-алкенил, С2-С4-алкинил, С3-С6-циклоалкил, С1-С4-галогеналкил, С2-С4-галогеналкенил, С2-С4-галогеналкинил, С3-С6-галогенциклоалкил, галоген, CN, NO2, С1-С4-алкокси, С1-С4-галогеналкокси, С1-С4-алкилтио, С1-С4-алкилсульфинил, С1-С4-алкилсульфонил, С1-С4-алкиламино, С2-С8-диалкиламино, С3-С6-циклоалкиламино, С3-С6-(алкил)циклоалкиламино, С2-С4-алкилкарбонил, С2-С6-алкоксикарбонил, С2-С6-алкиламинокарбонил, С3-С8-диалкиламинокарбонил или С3-С6-триалкилсилил. Представляют интерес предпочтительные композиции 1, в которых А представляет собой замещенное 3-пиридинильное кольцо. Предпочтительные композиции 2. Предпочтительные композиции 1, в которых А представляет собой 2-пиридинильное кольцо, замещенное от 1 до 4 R5, и В замещено от 1 до 4 R6, причем, по меньшей мере, один R6 находится в ортоположении к связи с W. Представляют интерес композиции, в которых каждый из R6 независимо представляет собой F, Cl, Br, I, CH3, OCH3, OCF3, OCHF2, CF3 или NO2. Представляют также интерес композиции, в которых, по меньшей мере, один R6 представляет собой иод. Предпочтительные композиции 3. Предпочтительные композиции 2, в которых В замещен R6 в каждом из ортоположений к связи с W, и, необязательно, одним дополнительным R6, и каждый R6 независимо представляет собой F, Cl, Br, I, CH3, OCH3 или CF3. Представляют интерес композиции, в которых каждый из R6 представляет собой либо галоген, либо метил. Предпочтительные композиции 4. Предпочтительные композиции 3, в которых В замещен одним R6, когда Cl находится в 2-положении (орто) к связи с W, другой R6 выбран из Cl или метила и находится в 6-положении, орто к связи с W, и третий необязательный R6 представляет собой метил в 4-положении. Предпочтительные композиции 5. Предпочтительные композиции 4, в которых А представляет собой 3-хлор-5-CF3-2-пиридинил. Предпочтительные композиции данного изобретения включают композиции от предпочтительных композиций 1 до предпочтительных композиций 5, в которых R1 представляет собой Н и R2 представляет собой Н или СН3. Более предпочтительными являются композиции от предпочтительных композиций 1 до предпочтительных композиций 5, в которых R1 представляет собой Н и R2 представляет собой СН3. Особенно предпочтительными являются композиции, содержащие соединение, выбранное из группы, состоящей из 2,6-дихлор-N-[[3-хлор-5-(трифторметил)-2-пиридинил]метил]бензамида, 2,6-дихлор-N-[1-[3-хлор-5-(трифторметил)-2-пиридинил]этил]бензамида, 2,6-дихлор-N-[[3-хлор-5-(трифторметил)-2-пиридинил]метил]-4-метилбензамида, 2,6-дихлор-N-[1-[3-хлор-5-(трифторметил)-2-пиридинил]этил]-4-метилбензамида, 2,6-дихлор-N-[(3,5-дихлор-2-пиридинил)метил]бензамида, 2,6-дихлор-N-[1-(3,5-дихлор-2-пиридинил)этил]бензамида, 2,6-дихлор-N-[(3,5-дихлор-2-пиридинил)метил]-4-метилбензамида и 2,6-дихлор-N-[1-(3,5-дихлор-2-пиридинил)этил]-4-метилбензамида. Представляют интерес композиции, содержащие соединение, выбранное из группы, состоящей из 2,6-дихлор-N-[[3-хлор-5-(трифторметил)-2-пиридинил]метил]бензамида (известного также как N-[(3-хлор-5-трифторметил-2-пиридил)метил]-2,6-дихлорбензамид), N-[[(3-хлор-5-(трифторметил)-2-пиридинил]метил]-2,6-дифторбензамида (известного также как N-[(3-хлор-5-трифторметил-2-пиридил)метил]-2,6-дифторбензамид), 2-хлор-N-[[(3-хлор-5-(трифторметил)-2-пиридинил]метил]-6-фторбензамида (известного также как N-[(3-хлор-5-трифторметил-2-пиридил)метил]-2-хлор-6-фторбензамид), N-[[(3-хлор-5-(трифторметил)-2-пиридинил]метил]-2,3-дифторбензамида (известного также как N-[(3-хлор-5-трифторметил-2-пиридил)метил]-2,3-дифторбензамид), N-[[(3-хлор-5-(трифторметил)-2-пиридинил]метил]-2,4,6-трифторбензамида (известного также как N-[(3-хлор-5-трифторметил-2-пиридил)метил]-2,4,6-трифторбензамид) и 2-бром-6-хлор-N-[[3-хлор-5-(трифторметил)-2-пиридинил]метил]бензамида (известного также как N-[(3-хлор-5-трифторметил-2-пиридил)метил]-2-бром-6-хлорбензамид). Данное изобретение относится также к способу борьбы с болезнями растений, вызванными грибковыми патогенами растений, включающему нанесение на растение или часть его или семена или посевы растения фунгицидно эффективного количества композиции изобретения (т.е. описанной здесь композиции). Предпочтительные способы использования являются способами, использующими указанные выше предпочтительные композиции. Изобретение предлагает также соединение формулы Ia, как описано выше. Предпочтительными соединениями формулы Ia являются Предпочтительный вариант А. Соединения формулы Ia, где R5 представляет собой Cl, Br, I, CH3, OCF3, OCHF2, OCH2CF3, OCF2CF3, OCF2CF2H, OCHFCF3, SCF3, SCHF2, SCH2CF3, SCF2CF3, SCF2CF2H, SCHFCF3, SOCF3, SOCHF2, SOCH2CF3, SOCF2CF3, SOCF2CF2H, SOCHFCF3, SO2CF3, SO2CHF2, SO2CH2CF3, SO2CF2CF3, SO2CF2CF2H или SO2CHFCF3. Предпочтительный вариант В. Соединения предпочтительного варианта А, в которых, по меньшей мере, один из R6 находится в ортоположении к связи с группой С=О и каждый R6 представляет собой, независимо, F, Cl, Br, I, CH3, OCH3, OCF3, OCHF2, CF3 или NO2. Предпочтительный вариант C. Соединения предпочтительного варианта В, в которых имеется R6 в каждом ортоположении к связи с группой С=О, и, необязательно, один дополнительный R6, и каждый R6 представляет собой, независимо, F, Cl, Br, I, CH3, OCH3 или CF3. Данное изобретение предлагает также соединение формулы Ib, как описано выше. Предпочтительными соединениями формулы Ib являются: Предпочтительный вариант D. Соединения формулы Ib, где R5 представляет собой OCF3, OCHF2, OCH2CF3, OCF2CF3, OCF2CF2H, OCHFCF3, SCF3, SCHF2, SCH2CF3, SCF2CF3, SCF2CF2H, SCHFCF3, SOCF3, SOCHF2, SOCH2CF3, SOCF2CF3, SOCF2CF2H, SOCHFCF3, SO2CF3, SO2CHF2, SO2CH2CF3, SO2CF2CF3, SO2CF2CF2H или SO2CHFCF3. Предпочтительный вариант Е. Соединения предпочтительного варианта D, в которых, по меньшей мере, один из R6 находится в ортоположении к связи с группой С=О и каждый R6 представляет собой, независимо, F, Cl, Br, I, CH3, OCH3, OCF3, OCHF2, CF3 или NO2. Предпочтительный вариант F. Соединения предпочтительного варианта E, в которых имеется R6 в каждом ортоположении к связи с группой С=О, и, необязательно, один дополнительный R6, и каждый R6 представляет собой, независимо, F, Cl, Br, I, CH3, OCH3 или CF3. Данное изобретение предлагает также соединение формулы Ic, как описано выше. Предпочтительными соединениями формулы Ic являются Предпочтительный вариант G. Соединения формулы Ic, в которых, по меньшей мере, один R6 находится в ортоположении к связи с группой С=О, и каждый R6 представляет собой, независимо, F, Cl, Br, I, CH3, OCH3, OCF3, OCHF2, CF3 или NO2. Предпочтительный вариант Н. Соединения предпочтительного варианта G, в которых имеется R6 в каждом ортоположении к связи с группой С=О, и, необязательно, один дополнительный R6, и каждый R6 представляет собой, независимо, F, Cl, Br, I, CH3, OCH3 или CF3. Соединения формулы I могут быть получены одним или несколькими способами и вариантами, описанными в WO99/42447 (см., например, пример 4). Некоторые соединения формулы I могут также быть получены способами, описанными в WO02/16322. Примеры соединений формулы I, подходящих для использования в компоненте (а) композиций данного изобретения, включают соединения, приведенные в следующих таблицах 1-7. В нижеследующих таблицах используют следующие аббревиатуры: Ме представляет собой метил, Et представляет собой этил, Ph представляет собой фенил, ОМе представляет собой метокси, OEt представляет собой этокси, CN представляет собой циано, NO2 представляет собой нитро. Заместители Q и R эквивалентны независимым заместителям R5, которые находятся в указанных положениях. Заместители Т, U и V эквивалентны независимым заместителям R6, которые находятся в указанных положениях. Фунгициды компонента (b) композиций изобретения выбраны из группы, состоящей из (b1) алкиленбис(дитиокарбаматных) фунгицидов (b2) соединений, действующих bc1-комплекс сайта переноса электронов грибковой митохондриальной респираторной системы; (b3) цимоксанила; (b4) соединений, действующих на фермент деметилазы пути биосинтеза стеринов; (b5) морфолиновых и пиперидиновых соединений, которые действуют на путь биосинтеза стеринов; (b6) фениламидных фунгицидов; (b7) пиримидиноновых фунгицидов; (b8) фталимидов и (b9) фозетил-алюминия. Массовые отношения компонента (b) к компоненту (а) обычно составляет от 100:1 до 1:100, предпочтительно от 30:1 до 1:30 и более предпочтительно от 10:1 до 1:10. Представляют интерес композиции, у которых массовое отношение компонента (b) к компоненту (а) составляет от 10:1 до 1:1. Включены композиции, у которых массовое отношение компонента (b) к компоненту (а) составляет от 9:1 до 4,5:1. Фунгициды комплекса bc1 (компонент (b2)) Известно, что стробилуриновые фунгициды, такие как азоксистробин, крезоксим-метил, метоминостробин/феноминостробин (SSF-126), пикоксистробин, пираклостробин и трифлоксистробин, обладают фунгицидным механизмом действия, который ингибирует bc1-комплекс в митохондриальной дыхательной цепи (Angew. Chem. Int. Ed., 1999, 38, 1328-1349). Метил-(Е)-2-[[6-(2-цианофенокси)-4-пиримидинил]окси]- В биохимической литературе bc1-комплекс иногда обозначают другими названиями, включая комплекс III цепи переноса электронов и оксидоредуктазу комплекса убигидрохинон: цитохром. Он специфически идентифицирован Комиссией по ферментам под номером EC1. 10.2.2. Комплекс bc1 описан, например, в J. Biol. Chem. 1989, 264, 14543-38; Methods Enzymol. 1986, 126, 253-71; и указанных в нем ссылках. Фунгициды-ингибиторы биосинтеза стеринов (компонент (b4) или (b5)) Класс ингибиторов биосинтеза стеринов включает соединения DMI и не являющиеся DMI соединения, которые подавляют грибы ингибированием ферментов пути биосинтеза стеринов. DMI-фунгициды имеют общий сайт действия в пути биосинтеза грибковых стеринов, то есть ингибирования деметилирования в положении 14 ланостерина или 24-метилендигидроланостерина, которые являются предшественниками стеринов в грибах. Соединения, действующие на этом сайте часто называют ингибиторами деметилазы, фунгицидами DMI или DMIs. В биохимической литературе фермент деметилазу иногда обозначают другими названиями, в том числе цитохромом-Р-450 (14DM). Фермент деметилаза описан, например, в J. Biol. Chem. 1992, 267, 13175-79 и указанных в нем ссылках. Фунгициды DMI относятся к нескольким классам: азолам (включая триазолы и имидазолы), пиримидинам, пиперазинам и пиридинам. Триазолы включают в себя бромуконазол, ципроконазол, дифеноконазол, диниконазол, эпоксиконазол, фенбуконазол, флухиноконазол, флузилазол, флутриафол, гексаконазол, ипконазол, метконазол, пенконазол, пропиконазол, тебуконазол, тетраконазол, триадимефон, триадименол, тритиконазол и униконазол. Имидазолы включают клотримазол, эконазол, имазалил, изоконазол, миконазол и прохлораз. Пиримидины включают фенаримол, нуаримол и триаримол. Пиперазины включают трифорин. Пиридины включают бутиобат и пирифенокс.Биохимические исследования показали, что все вышеуказанные фунгициды являются фунгицидами DMI, как описано K.H. Kuck, et al. в Modern Selective Fungicides – Properties, Applications and Mechanism of Action, Lyr, H., Ed.; Gustav Fischer Verlag: New York, 1995, 205-258. Фунгициды DMI сгруппированы вместе для отличия их от других ингибиторов биоситеза стеринов, таких как морфолиновые и пиперидиновые фунгициды. Морфолины и пиперидины также являются ингибиторами биосинтеза стеринов, но, как было обнаружено, ингибируют более поздние стадии пути биосинтеза стеринов. Морфолины включают алдиморф, додеморф, фенпропиморф, тридеморф и триморфамид. Пиперидины включают фенпропидин. Биохимические исследования показали, что все указанные выше морфолиновые и пиперидиновые фунгициды являются фунгицидами-ингибиторами биоситеза стеринов, как описано K.H.Kuck, et al. в Modern Selective Fungicides – Properties, Applications and Mechanism of Action, Lyr, H., Ed.; Gustav Fischer Verlag: New York, 1995, 185-204. Пиримидиноновые фунгициды (компонент (b7)) Пиримидиноновые фунгициды включают соединения формулы II где G представляет собой конденсированное фенильное, тиофеновое или пиридиновое кольцо; R1 представляет собой С1-С6-алкил; R2 представляет собой С1-С6-алкил или С1-С6-алкокси; R3 представляет собой галоген и R4 представляет собой водород или галоген. Пиримидиноновые фунгициды описаны в Международной патентной заявке WO94/26722, патенте США №6066638, патенте США №6245770, патенте США №6262058 и патенте США №6277858. Представляют интерес пиримидиноновые фунгициды, выбранные из группы: 6-бром-3-пропил-2-пропилокси-4(3Н)-хиназолинона, 6,8-диод-3-пропил-2-пропилокси-4(3Н)-хиназолинона, 6-иод-3-пропил-2-пропилокси-4(3Н)-хиназолинона, 6-хлор-2-пропокси-3-пропилтиено[2,3-d]пиримидин-4(3Н)-она, 6-бром-2-пропокси-3-пропилтиено[2,3-d]пиримидин-4(3Н)-она, 7-бром-2-пропокси-3-пропилтиено[2,3-d]пиримидин-4(3Н)-она, 6-бром-2-пропокси-3-пропилпиридо[2,3-d]пиримидин-4(3Н)-она, 6,7-дибром-2-пропокси-3-пропилтиено[2,3-d]пиримидин-4(3Н)-она и 3-(циклопропилметил)-6-иод-2-(пропилтио)пиридо[2,3-d]пиримидин-4(3Н)-она.
Другими фунгицидами, которые могут быть включены в комбинацию с соединением формулы I или в качестве дополнительного компонента в комбинацию с компонентом (а) и компонентом (b), являются ацибензолар, беналаксил, беномил, бластицидин-S, бордоская жидкость (трехосновный сульфат меди), карпропамид, каптафол, каптан, карбендазим, хлоронеб, хлороталонил, оксихлорид меди, соли меди, такие как сульфат меди и гидроксид меди, циазофамид, цимоксанил, ципродинил, (S)-3,5-дихлор-N-(3-хлор-1-этил-1-метил-2-оксопропил)-4-метилбензамид (RH 7281), диклоцимет (S-2900), дикломезин, диклоран, диметоморф, диниконазол-М, додеморф, додин, эдифенфос, фенкарамид (SZX0722), фенпиклонил, фентин ацетат, фентин гидроксид, флуазинам, флудиоксонил, флуметовер (RPA 403397), флутоланил, фолпет, фозетил-алюминий, фуралаксил, фураметапир (S-82658), ипробенфос, ипродион, изопротиолан, ипроваликарб, казугамицин, манкозеб, манеб, мефеноксам, мепронил, металаксил, метирам-цинк, миклобутанил, нео-азозин (метанарсонат железа(III), оксадиксил, пенцикурон, прохлораз, процимидон, пропамокарб, пропинеб, пирифенокс, пириметанил, пирохилон, хиноксифен, спироксамин, сера, тифлузамид, тиофанат-метил, тирам, триадимефон, трициклазол, валидамицин, винклозолин, цинеб и зоксамид. Описание коммерчески доступных соединений, перечисленных выше, может быть найдено в The Pesticide Manual, Twelfth Edition, C.D.S. Tomlin, ed., British Crop Protection Council, 2000. Представляют интерес комбинации соединений формулы I с фунгицидами другого биохимического механизма действия (например, ингибирование митохондриальной дыхательной системы, ингибирование синтеза белка препятствием синтезу рибосомной РНК или ингибирование синтеза бета-тубулина), которые могут быть особенно полезными для управления устойчивостью. Примеры включают комбинации соединений формулы I (например, соединения 1) со стробилуринами, такими как азоксистробин, крезоксим-метил, пираклостробин и трифлоксистробин, карбендазимом, ингибиторами митохондриальной дыхательной системы, такими как фамоксадон и фенамидон; беномилом, цимоксанилом; диметоморфом; фолпетом; фосетил-алюминием; металаксилом, манкозебом и манебом. Такие комбинации являются особенно полезными для управления устойчивостью, особенно, когда фунгициды комбинации эффективны для борьбы с такими же или подобными болезнями. Представляют интерес комбинации соединений формулы I с фунгицидами для борьбы с болезнями виноградников (например, Plasmopara vaticola, Botrytis cinerea и Uncinula necatur), включающими алкиленбис(дитиокарбамат)ы, такие как манкозеб, манеб, пропинеб и зинеб, фталимиды, такие как фолпет, соли меди, такие как сульфат меди и гидроксид меди, стробилурины, такие как азоксистробин, пираклостробин и трифлоксистробин, ингибиторы митохондриальной дыхательной системы, такие как фамоксадон и фенамидон, фениламиды, такие как металаксил, фосфонаты, такие как фозетил-Al, диметоморф, диметоморф, пиримидиноновые фунгициды, такие как 6-иод-3-пропил-2-пропилокси-4(3Н)хиназолинон и 6-хлор-2-пропокси-3-пропилтиено[2,3-d]пиримидин-4(3Н)-он, и другие фунгициды, такие как цимоксанил. Представляют интерес комбинации соединений формулы I с фунгицидами для борьбы с болезнями картофеля (например, Phytophthora infestans, Alternaria solani и Rhizoctonia solani), включающими алкиленбис(дитиокарбамат)ы, такие как манкозеб, манеб, пропинеб и зинеб, соли меди, такие как сульфат меди и гидроксид меди; стробилурины, такие как пираклостробин и трифлоксистробин, ингибиторы митохондриальной дыхательной системы, такие как фамоксадон и фенамидон, фениламиды, такие как металаксил; карбаматы, такие как пропамокарб; фенилпиридиламины, такие как флуазинам, и другие фунгициды, такие как хлороталонил, циазофамид, цимоксанил, диметоморф, зоксамид и ипроваликарб. Представляют интерес композиции, в которых компонент (b) содержит, по меньшей мере, по одному соединению из каждых двух разных групп, выбранных из (b1), (b2), (b3), (b4), (b5), (b6), (b7), (b8) и (b9). Массовое отношение соединения(й) первой из этих двух групп компонента (b) к соединению(ям) второй из этих двух групп компонента (b) обычно составляет от 100:1-1:100, более обычно от 30:1 до 1:30 и, наиболее обычно, от 10:1 до 1:10. Представляют интерес композиции, в которых компонент (b) содержит, по меньшей мере, одно соединение, выбранное из (b1), например манкозеб, и, по меньшей мере, одно соединение, выбранное из второй группы компонента (b), например из (b2), (b3), (b6), (b7), (b8) или (b9). Особый интерес представляют такие композиции, у которых общее массовое отношение компонента (b) к компоненту (а) составляет от 30:1 до 1:30 и массовое отношение компонента (b1) к компоненту (а) составляют от 10:1 до 1:1. Включены композиции, у которых массовое отношение компонента (b1) к компоненту (а) составляют от 9:1 до 4,5:1. Примеры этих композиций включают композиции, содержащие смеси компонента (а) (предпочтительно соединения из таблицы А индексов) с манкозебом и соединением, выбранным из группы, состоящей из фамоксадона, фенамидона, азоксистробина, крезоксим-метила, пираклостробина, трифлоксистробина, цимоксанила, металаксила, беналаксила, оксадиксила, 6-иод-3-пропил-2-пропилокси-4(3Н)-хиназолинона, 6-хлор-2-пропокси-3-пропилтиено[2,3-d]пиримидин-4(3Н)-она, фолпета, каптана и фозетил-алюминия. Представляют также интерес композиции, в которых компонент (b) содержит, по меньшей мере, одно соединение, выбранное из (b2), например фамоксадон, и, по меньшей мере, одно соединение, выбранное из второй группы компонентов (b), например из (b1), (b3), (b6), (b7), (b8) или (b9). Особый интерес представляют такие композиции, у которых общее массовое отношение компонента (b) к компоненту (а) составляет от 30:1 до 1:30 и массовое отношение компонента (b2) к компоненту (а) составляет от 10:1 до 1:1. Включены композиции, у которых массовое отношение компонента (b2) к компоненту (а) составляет от 9:1 до 4,5:1. Примеры таких композиций включают композиции, содержащие смеси компонента (а) (предпочтительно соединения таблицы А индексов) с фамоксадоном и соединением, выбранным из группы, состоящей из манкозеба, манеба, пропинеба, зинеба, цимоксанила, металаксила, беналаксила, оксадиксила, 6-иод-3-пропил-2-пропилокси-4(3Н)-хиназолинона, 6-хлор-2-пропокси-3-пропилтиено[2,3-d]пиримидин-4(3Н)-она, фолпета, каптана и фозетил-алюминия. Представляют также интерес композиции, в которых компонент (b) содержит соединение (b3), по другому цимоксанил, и, по меньшей мере, одно соединение, выбранное из второй группы компонента (b), например из (b1), (b2), (b6), (b7), (b8) или (b9). Особый интерес представляют такие композиции, в которых общее массовое отношение компонента (b) к компоненту (а) составляет от 30:1 до 1:30 и массовое отношение компонента (b3) к компоненту (а) составляет от 10:1 до 1:1. Включены композиции, у которых массовое отношение компонента (b3) к компоненту (а) составляет от 9:1 до 4,5:1. Примеры этих композиций включают композиции, содержащие смеси компонента (а) (предпочтительно соединения из таблицы А индексов) с цимоксанилом и соединением, выбранным из группы, состоящей из фамоксадона, фенамидона, азоксистробина, крезоксим-метила, пираклостробина, трифлоксистробина, манкозеба, манеба, пропинеба, цинеба, металаксила, беналаксила, оксадиксила, 6-иод-3-пропил-2-пропилокси-4(3Н)-хиназолинона, 6-хлор-2-пропокси-3-пропилтиено[2,3-d]пиримидин-4(3Н)-она, фолпета, каптана и фозетил-алюминия. Представляют также интерес композиции, в которых компонент (b) содержит, по меньшей мере, одно соединение, выбранное из (b6), например металаксил, и, по меньшей мере, одно соединение, выбранное из второй группы компонента (b), например из (b1), (b2), (b3), (b7), (b8) или (b9). Особый интерес представляют такие композиции, у которых общее массовое отношение компонента (b) к компоненту (а) составляет от 30:1 до 1:30 и массовое отношение компонента (b6) к компоненту (а) составляют от 10:1 до 1:1. Включены композиции, у которых массовое отношение компонента (b6) к компоненту (а) составляет от 9:1 до 4,5:1. Примеры этих композиций включают композиции, содержащие смеси компонента (а) (предпочтительно соединения из таблицы А индексов) с металаксилом или оксадиксилом и соединением, выбранным из группы, состоящей из фамоксадона, фенамидона, азоксистробина, крезоксим-метила, пираклостробина, трифлоксистробина, цимоксанила, манкозеба, манеба, пропинеба, цинеба, 6-иод-3-пропил-2-пропилокси-4(3Н)-хиназолинона, 6-хлор-2-пропокси-3-пропилтиено[2,3-d]пиримидин-4(3Н)-она, фолпета, каптана и фозетил-алюминия. Представляют также интерес композиции, в которых компонент (b) содержит, по меньшей мере, одно соединение, выбранное из (b7), например 6-иод-3-пропил-2-пропилокси-4(3Н)-хиназолинона или 6-хлор-2-пропокси-3-пропилтиено[2,3-d]пиримидин-4(3Н)-она, и, по меньшей мере, одно соединение, выбранное из второй группы компонента (b), например из (b1), (b2), (b3), (b6), (b8) или (b9). Особый интерес представляют такие композиции, в которых общее массовое отношение компонента (b) к компоненту (а) составляет от 30:1 до 1:30 и массовое отношение компонента (b7) к компоненту (а) составляют от 1:1 до 1:20. Включены композиции, у которых массовое отношение компонента (b6) к компоненту (а) составляют от 1:4,5 до 1:9. Примеры этих композиций включают композиции, содержащие смеси компонента (а) (предпочтительно соединения из таблицы А индексов) с 6-иод-3-пропил-2-пропилокси-4(3Н)-хиназолиноном или 6-хлор-2-пропокси-3-пропилтиено[2,3-d]пиримидин-4(3Н)-оном и соединением, выбранным из группы, состоящей из фамоксадона, фенамидона, азоксистробина, крезоксим-метила, пираклостробина, трифлоксистробина, цимоксанила, манкозеба, манеба, пропинеба, цинеба, металаксила, беналаксила, оксадиксила, фолпета, каптана и фозетил-алюминия. Представляют также интерес композиции, в которых компонент (b) содержит соединение (b9), иначе говоря фозетил-алюминий, и, по меньшей мере, одно соединение, выбранное из второй группы компонента (b), например из (b1), (b2), (b3), (b6) или (b7). Особый интерес представляют такие композиции, в которых общее массовое отношение компонента (b) к компоненту (а) составляет от 30:1 до 1:30 и массовое отношение компонента (b9) к компоненту (а) составляют от 10:1 до 1:1. Включены композиции, у которых массовое отношение компонента (b9) к компоненту (а) составляют от 9:1 до 4,5:1. Примеры этих композиций включают композиции, содержащие смеси компонента (а) (предпочтительно соединения из таблицы А индексов) с фозетил-алюминием и соединением, выбранным из группы, состоящей из фамоксадона, фенамидона, азоксистробина, крезоксим-метила, пираклостробина, трифлоксистробина, манкозеба, манеба, пропинеба, цинеба, металаксила, беналаксила, оксадиксила, 6-иод-3-пропил-2-пропилокси-4(3Н)-хиназолинона, 6-хлор-2-пропокси-3-пропилтиено[2,3-d]пиримидин-4(3Н)-она, фолпета, каптана и цимоксанила. Представляют интерес комбинации соединений формулы I с фунгицидами, обладающими еще более широким спектром защитного действия для сельскохозяйственных культур, включающие стробилурины, такие как азоксистробин, крезоксим-метил, пираклостробин и трифлоксистробин; морфолины, такие как фенпропидин и фенпропиморф; триазолы, такие как бромуконазол, ципроконазол, дифеноконазол, эпоксиконазол, флузилазол, ипконазол, метконазол, пропиконазол, тебуконазол и тритиконазол; пиримидиноновые фунгициды, беномил; карбендазим; хлороталонил; диметоморф; фолпет; манкозеб; манеб; хиноксифен; валидамицин и винклозолин. Предпочтительные композиции 6. Предпочтительные композиции содержат соединение компонента (а), смешанное с цимоксанилом. Предпочтительные композиции 7. Предпочтительные композиции содержат соединение компонента (а), смешанное с соединением, выбранным из (b1). Более предпочтительной является композиция, в которой соединением (b1) является манкозеб. Предпочтительные композиции 8. Предпочтительные композиции содержат соединение компонента (а), смешанное с соединением, выбранным из (b2). Более предпочтительной является композиция, в которой соединением (b2) является фамоксадон. Представляют интерес особый комбинации соединения 1 или 5 с азоксистробином, комбинации соединения 1 или 5 с крезоксим-метилом, комбинации соединения 1 или 5 с пирклостробином, комбинации соединения 1 или 5 с трифлоксистробином, комбинации соединения 1 или 5 с карбендазимом, комбинации соединения 1 или 5 с хлороталонилом, комбинации соединения 1 или 5 с диметоморфином, комбинации соединения 1 или 5 с фолпетом, комбинации соединения 1 или 5 с манкозебом, комбинации соединения 1 или 5 с манебом, комбинации соединения 1 или 5 с хиноксифеном, комбинации соединения 1 или 5 с валидамицином, комбинации соединения 1 или 5 с винклозолином, комбинации соединения 1 или 5 с фенпропидином, комбинации соединения 1 или 5 с фенпропиморфом, комбинации соединения 1 или 5 с бромуконазолом, комбинации соединения 1 или 5 с ципроконазолом, комбинации соединения 1 или 5 с дифеноконазолом, комбинации соединения 1 или 5 с эпоксиконазолом, комбинации соединения 1 или 5 с флузилазолом, комбинации соединения 1 или 5 с ипконазолом, комбинации соединения 1 или 5 с метконазолом, комбинации соединения 1 или 5 с пропиконазолом, комбинации соединения 1 или 5 с тебуконазолом, комбинации соединения 1 или 5 с тритиконазолом, комбинации соединения 1 или 5 с фамоксадоном, комбинации соединения 1 или 5 с фенамидоном, комбинации соединения 1 или 5 с беномилом, комбинации соединения 1 или 5 с цимоксанилом, комбинации соединения 1 или 5 с фозетил-алюминием, комбинации соединения 1 или 5 с металаксилом, комбинации соединения 1 или 5 с пропинебом, комбинации соединения 1 или 5 с цинебом, комбинации соединения 1 или 5 с сульфатом меди, комбинации соединения 1 или 5 с гидроксидом меди, комбинации соединения 1 или 5 с пропамокарбом, комбинации соединения 1 или 5 с циазофамидом, комбинации соединения 1 или 5 с зоксамидом, комбинации соединения 1 или 5 с флуазинамом и комбинации соединения 1 или 5 с ипроваликарбом. Номер соединения относится к соединениям в таблице А индексов. Составы/Полезность Композиции данного изобретения обычно используют в виде препарата или композиции, содержащей, по меньшей мере, один носитель, выбранный из подходящих для сельского хозяйства жидких разбавителей, твердых разбавителей и поверхностно-активных веществ. Ингредиенты препарата или композиции выбраны так, чтобы они были совместимыми с физическими свойствами активного ингредиента, способом применения и факторами окружающей среды, такими как тип почвы, влажность и температура. Приемлемые препараты включают жидкости, такие как растворы (в том числе эмульгируемые концентраты), суспензии, эмульсии (в том числе микроэмульсии и/или суспоэмульсии) и тому подобное, которые, необязательно, могут быть загущены в гели. Приемлемые препараты далее включают твердые формы, такие как дусты, порошки, гранулы, шарики, таблетки, пленки и тому подобное, которые могут быть вододиспергируемыми («смачиваемыми») или водорастворимыми. Активный ингредиент может быть (микро)капсулирован и дополнительно превращен в суспензию или твердый препарат; в альтернативном случае весь препарат активного ингредиента может быть капсулирован (или «покрыт оболочкой»). Капсулирование может регулировать или задерживать высвобождение активного ингредиента. Распыляемые препараты могут быть разведены в подходящей среде и использованы при объемах распыления приблизительно от одного до нескольких сот литров на гектар. Высококонцентрированные композиции используют главным образом в качестве промежуточных продуктов для приготовления препарата. Препараты обычно содержат эффективное количество (например, 0,01-99,99 мас. процентов) активных ингредиентов вместе с разбавителем и/или поверхностно-активным веществом в следующих приблизительных диапазонах, которые дополняют до общего содержания в 100 мас.%.
Типичные твердые разбавители описаны в Watkins, et al., Handbook of Insecticide Dust Diluents and Garriers, 2nd Ed., Dorland Books, Caldwell, New Jersey. Типичные жидкие разбавители описаны в Marsden, Solvents Guide, 2nd Ed., Interscience, New York, 1950. McCutcheon’s Detergents and Emulsifiers Annual, Allured Publ. Corp., Ridgewood, New Jersey, as well as Sisely and Wood, Encyclopedia of Surface Active Agents, Chemical Publ. Co., Inc., New York, 1964, где приводится список поверхностно-активных веществ и рекомендованные применения. Все препараты могут содержать небольшие количества добавок для уменьшения пенообразования, слеживания, коррозии, микробиологического роста и тому подобное или загустители для повышения вязкости. Поверхностно-активные вещества включают, например, полиэтоксилированные спирты, полиэтоксилированные алкилфенолы, полиэтоксилированные эфиры жирных кислот и сорбитана, диалкилсульфосукцинаты, алкилсульфаты, алкилбензолсульфонаты, органосиликоны, N,N-диалкилтаураты, лигнинсульфонаты, продукты конденсации нафталинсульфоната с формальдегидом, поликарбоксилаты и блок-сополимеры полиоксиэтилен/полиоксипропилен. Твердые разбавители включают, например, глины, такие как бентонит, монтмориллонит, аттапульгит и каолин, крахмал, сахар, диоксид кремния, тальк, диатомовая земля, мочевина, карбонат кальция, карбонат и бикарбонат натрия и сульфат натрия. Жидкие разбавители включают, например, воду, N,N-диметилформамид, диметилсульфоксид, N-алкилпирролидон, этиленгликоль, полиэтиленгликоль, парафины, алкилбензолы, алкилнафталины, эфиры жирных кислот оливкового, касторового, льняного, тунгового, кунжутного, кукурузного, арахисового, хлопкового, соевого, рапсового и кокосового масел, кетоны, такие как циклогексанон, 2-гептанон, изофорон и 4-гидрокси-4-метил-2-пентанон, и спирты, такие как метанол, циклогексанол, деканол и тетрагидрофурфуриловый спирт. Растворы, включающие эмульгируемые концентраты, могут быть получены простым смешиванием ингредиентов. Дусты и порошки могут быть получены смешиванием и обычно размалыванием в молотковой дробилке или в струйной мельнице. Суспензии обычно получают мокрым размалыванием, см., например, в патенте США 3060084. Предпочтительные концентраты суспензий включают концентраты, содержащие кроме активного ингредиента от 5 до 20% неионогенного поверхностно-активного вещества (например, полиоксиэтилированных жирных спиртов), необязательно в сочетании с 50-65% жидких разбавителей и до 5% анионогенных поверхностно-активных веществ. Гранулы и шарики могут быть получены распылением активного материала на предварительно сформированные гранулированные носители или способами агломерации. См. Browning, “Agglomeration”, Chemical Engineering, December 4, 1967, p.147-48, Perry’s Chemical Engineer’s Handbook, 4th Ed., McGraw-Hill, New York, 1963, pages 8-57 and following и WO 91/13546. Шарики могут быть получены, как описано в патенте США 4172714. Вододиспергируемые и водорастворимые гранулы могут быть получены, как указывается в патенте США 4144050, патенте США 3920442 и патенте Германии 3246493. Таблетки могут быть получены, как указано в патенте 5180587, патенте 5232701 и патенте США 5208030. Пленки могут быть получены, как указано в патенте Великобритании 2095558 и патенте США 3299566. Для дальнейшей информации, относящейся к области препаратов, см. патент США 3235361, от строчки 16 колонки 6 до строчки 19 колонки 7 и примеры 10-41; патент США 3309192, от строчки 43 колонки 5 до строчки 62 колонки 7 и примеры 8, 12, 15, 39, 41, 52, 53, 58, 132, 138-140, 162-164, 166, 167 и 169-182; патент США 2891855, от строчки 66 колонки 3 до строчки 17 колонки 5 и примеры 1-4; Klingman, Weed Control as a Science, John Wiley and Sons, Inc., New York, 1961, pp 81-96; and Hance et al., Weed Control Handbook, 8th Ed., Blackwell Scientific Publications, Oxford, 1989. В следующих примерах все проценты являются массовыми и все препараты получают обычными путями. Считается, что без дополнительного усовершенствования специалист в данной области с использованием предыдущего описания может использовать настоящее изобретение в полной мере. Следующие примеры, таким образом, должны истолковываться в качестве только иллюстративных и не ограничивающих описание так или иначе. Проценты являются массовыми, за исключением случаев, когда указано иначе. Пример А
Пример В
Пример С
Пример D
Пример Е
Ингредиенты препарата смешивают вместе в виде сиропа, добавляют активные ингредиенты, и смесь гомогенизируют в смесителе. Образовавшуюся взвесь затем дробят способом мокрого помола с образованием концентрата суспензии. Композиции данного изобретения можно также смешать с одним или несколькими инсектицидами, нематоцидами, бактерицидами, акарицидами, регуляторами роста, химиостерилизующими средствами, полухимикатами, репеллентами, аттрактантами, феромонами, стимуляторами питания или другими биологически активными соединениями с образованием многокомпонентного пестицида, обладающего даже более широким спектром защиты сельскохозяйственных культур. Примерами таких средств защиты сельскохозяйственных культур, с которыми могут быть изготовлены композиции изобретения, являются: инсектициды, такие как абамектин, ацефат, азинфос-метил, бифентрин, бупрофезин, карбофуран, хлорфенапир, хлорпирифос, хлорпирифос-метил, цифлутрин, бета-цифлутрин, цигалотрин, ламбда-цигалотрин, дельтаметрин, диабентиурон, диазинон, дифлубензурон, диметоат, эсфенвалерат, феноксикарб, фенпропатрин, феновалерат, фипронил, флуцитринат, тау-флувалинат, фонофос имидаклоприд, изофенфос, малатион, метальдегид, метамидофос, метидатион, метомил, метопрен, метоксихлор, метил-7-хлор-2,5-дигидро-2-[[N-(метоксикарбонил)-N-[4-(трифторметокси)фенил]амино]карбонил]индено[1,2-e][1,3,4]оксадиазин-4а(3Н)-карбоксилат (индоксакарб), монокротофос, оксамил, паратион, паратион-метил, перметрин, форат, фозалон, фосмет, фосфамидон, пиримикарб, профенофос, ротенон, сульпрофос, тебуфенозид, тефлутрин, тербуфос, тетрахлорвинфос, тиодикарб, тралометрин, трихлорфон и трифлумурон; бактерициды, такие как стрептомицин; акарициды, такие как амитраз, хинометионат, хлорбензилат, цигексатин, дикофол, диенохлор, этоксазол, феназахин, фенбутатин оксид, фенпропатрин, фенпироксимат, гекситиазокс, пропаргит, пиридабен и тебуфенпирад; нематоциды, такие как альдоксикарб и фенамифос, и биологические агенты, такие как Bacillus thuringiensis, дельта-эндотоксин Bacillus thuringiensis, бакуловирус и энтомопатогенные бактерии, вирусы и грибы. Массовые отношения таких различных компонентов для смешивания к соединениям формулы I данного изобретения обычно составляют от 100:1 до 1:100, предпочтительно, от 30:1 до 1:30, более предпочтительно от 10:1 до 1:10 и наиболее предпочтительно от 4:1 до 1:4. Композиции данного изобретения являются пригодными в качестве агентов для борьбы с болезнями растений. Настоящее изобретение поэтому также включают способ борьбы с заболеваниями растений, вызванными грибковыми патогенами растений, включающий нанесение на растение или его часть, которую нужно защитить, или семена растений или рассаду, которые нужно защитить, эффективного количества соединения изобретения или фунгицидной композиции, содержащей указанное соединение. Соединения и композиции данного изобретения обеспечивают подавление болезней, вызванных широким спектром грибковых патогенов растений классов Basidiomycete, Ascomycete, Oomycete и Deuteromycete. Они являются эффективными в борьбе с широким спектром болезней растений, особенно лиственных патогенов декоративных, овощных, полевых, зерновых и плодовых сельскохозяйственных культур. Эти патогены включают Plasmopara viticola, Phytophthora infestans, Peronospora tabacina, Pseudoperonospora cubensis, Pythium aphanidermatum, Alternaria brassicae, Septoria nodorum, Septoria tritici, Cercosporidium personatum, Cercospora arachidicola, Pseudocercosporella herpotrichoides, Cercospora beticola, Botrytis cinerea, Monilinia fructicola, Pyricularia oryzae, Podosphaera leucotricha, Venturia inaequalis, Erysiphe graminis, Uncinula necatur, Puccinia recondita, Puccinia graminis, Hemileia vastatrix, Puccinia striiformis, Puccinia arachidis, Rhizoctonia solani, Sphaerotheca fuliginea, Fusarium oxysporum, Verticillium dahliae, Pythium aphanidermatum, Phytophthora megasperma, Sclerotinia sclerotiorum, Sclerotium rolfsii, Erysiphe polygoni, Pyrenophora teres, Gaeumannomyces graminis, Rynchosporium secalis, Fusarium roseum, Bremia lactucae и патогены других родов и видов, тесно связанных с указанными патогенами. Композиции изобретения являются особенно эффективными в борьбе с Plasmopara viticola на виноградниках и Phytophthora infestans на картофеле и томатах. Борьбу с болезнями растений обычно осуществляют нанесением эффективного количества соединения настоящего изобретения либо до, либо после заражения на часть растения, которую нужно защитить, такую как корни, стебли, листья, плоды, семена, клубни или луковицы, или на среду (почва или песок), в которой выращивают растений, которые нужно защитить. Соединения можно также наносить на семена для защиты семян и всходов. На норму нанесения этих соединений могут влиять многие факторы окружающей среды, и норма должна быть определена для реальных условий применения. Листва может быть обычно защищена при обработке при норме от менее чем 1 г/гектар до 5000 г/гектар активного ингредиента. Семена и всходы могут быть обычно защищены, когда семена обрабатывают при норме от 0,1 до 10 г на килограмм семян. Синергизм описан как «совместное действие двух компонентов смеси, так что общее действие выше или более пролонгировано, чем сумма действий двух (или более) компонентов, взятых по отдельности» (см. Tames, P.M.L., Neth J. Plant Pathology, 1964, 70, 73-80). Обнаружено, что композиции, содержащие соединение формулы I и фунгициды с другим способом действия, проявляют синергитические эффекты. Наличие синергитического эффекта между двумя активными ингредиентами (например, компонентом (а) и компонентом (b)) определяют с помощью уравнения Colby (см. Colby, S.R. In Calculating Synergistic and Antagonistic Responses of Herbicide Combinations, Weeds, 1967, 15, 20-22): Используя методы Colby наличие синергитического взаимодействия между двумя активными ингредиентами устанавливают сначала вычислением предсказанной активности р-смеси, основанной на активностях двух компонентов, нанесенных по отдельности. Если р ниже, чем экспериментально установленное действие, то имеет место синергизм. В приведенном выше уравнении А представляет собой фунгицидную активность в процентах действия одного компонента, нанесенного отдельно при норме х. Термин В представляет собой фунгицидную активность в процентах действия второго компонента, нанесенного отдельно при норме y. Уравнение оценивает р, фунгицидную активность смеси А при норме х с В при норме y, если эффекты являются строго аддитивными и не имеет место взаимодействие компонентов. Следующие испытания могут быть использованы для демонстрации эффективности подавляющего действия композиций данного изобретения на определенные патогены. Защитное действие против патогенов, обеспечиваемое композициями, не ограничивается, однако, этими видами патогенов. См. таблицу А индексов для обозначений соединений компонента (а), использованных в испытаниях. Таблица А индексов Биологические примеры изобретения Следующие испытания демонстрируют эффективность композиций данного изобретения в борьбе с определенными патогенами. Защитное действие против патогенов, обеспечиваемое соединениями, не ограничивается, однако, этими видами. Испытуемые композиции, включающие один активный ингредиент, распыляют для демонстрации подавляющей эффективности активного ингредиента индивидуально. Для демонстрации подавляющей эффективности комбинации (а) активные ингредиенты могут быть смешаны в подходящих количествах в одной суспензии для испытания, (b) исходные растворы индивидуальных активных ингредиентов могут быть получены и затем смешаны в подходящем соотношении и разбавлены до конечной требуемой концентрации с образованием испытуемой композиции или (с) испытуемые композиции, содержащие активные ингредиенты, могут быть распылены последовательно в нужном соотношении. Композиция 1
Композиция 2
Композиция 3
Испытуемые композиции сначала смешивали с очищенной водой, содержащей 250 ч./млн поверхностно-активного вещества Trem(014 (сложные эфиры многоатомных спиртов). Образовавшиеся испытуемые суспензии затем использовали в следующих тестах. Испытуемые суспензии распыляли до точки стекания на испытуемые растения при эквивалентных нормах 5, 10, 20, 25, 50 и 100 г/гектар активного ингредиента. Распыление 40 ч/млн испытуемой суспензии до точки стекания на испытуемые растения является эквивалентным норме 100 г/гектар. Испытания повторяли три раза, и результаты представляли как среднее из трех повторов. Испытание А (Профилактическая обработка) Испытуемые суспензии разбрызгивали до точки стекания на всходы картофеля. На следующий день всходы инокулировали суспензией спор Phytophthora infectans (агент, вызывающий фитофтороз томатов и картофеля) и инкубировали в насыщенной атмосфере при 20°С в течение 24 часов и затем переносили в вегетационную камеру, в которой их выдерживали при 20°С в течение 5 дней, после чего оценивали степень заболевания. Испытание В (Лечебная обработка) Всходы картофеля инокулировали суспензией спор Phytophthora infestans (агент, вызывающий фитофтороз томатов и картофеля) за 24 часа до нанесения (испытуемых суспензий) и инкубировали в насыщенной атмосфере при 20°С в течение 24 часов. Испытуемые суспензии затем разбрызгивали до точки стекания на всходы картофеля. На следующий день всходы картофеля переносили в вегетационную камеру, в которой их выдерживали при 20°С в течение 5 дней, после чего оценивали степень заболевания. Испытание С (Продолжительная профилактическая обработка) Испытуемые суспензии разбрызгивали до точки стекания на всходы томатов. Через шесть дней всходы инокулировали суспензией спор Phytophthora infestans (агент, вызывающий фитофтороз томатов и картофеля) и инкубировали в насыщенной атмосфере при 20°С в течение 24 часов и затем переносили в вегетационную камеру, в которой их выдерживали при 20°С в течение 5 дней, после чего оценивали степень заболевания. Результаты испытаний А-С приводятся в таблице А. В таблице показатель 100 обозначает 100% подавление болезни и показатель 0 обозначает отсутствие подавления болезни (относительно контролей). Колонки, обозначенные Avg, указывают среднее из трех повторов. Колонки, обозначенные Exp, указывают ожидаемую величину для каждой смеси для обработки с использованием уравнения Colby. Испытания, демонстрирующие подавление болезни выше, чем ожидалось, обозначены *. На основе описания синергизма, разработанного Colby, показано, что композиции настоящего изобретения являются синергитически полезными. Кроме того, композиции, содержащие только компоненты (а) и (b), могут быть пригодным образом смешаны с необязательным разбавителем перед нанесением на сельскохозяйственную культуру, которую нужно защитить. В соответствии с этим данное изобретение предлагает усовершенствованный способ борьбы с грибами, особенно грибами класса Oomycetes, таких как Phytophthora spp. и Plasmopara spp. в сельскохозяйственных культурах, особенно картофелях, виноградниках и томатах.
Формула изобретения
1. Композиция для борьбы с заболеваниями растений, вызванных грибковыми патогенами растений, включающая: (а) по меньшей мере, одно соединение формулы I и сельскохозяйственно-приемлемые соли:
где А представляет собой пиридинильное кольцо, замещенное, по крайней мере, одним заместителем, выбранным из группы, состоящей из галогена и C1-С6-галогеналкила; В представляет собой фенильное кольцо, замещенное, по крайней мере, одним заместителем, выбранным из галогена; W представляет собой C=L; L представляет собой О; R1 и R2 каждый независимо представляет собой Н; R3 представляет собой Н и (b) по меньшей мере, одно соединение, выбранное из группы, состоящей из (b1) алкиленбис(дитиокарбаматных) фунгицидов (b2) соединений, действующих на bc1-комплекс сайта переноса электронов грибковой митохондриальной респираторной системы; (b3) цимоксанила и (b9) фозетил-алюминия, причем массовое отношение компонента (b) к компоненту (а) составляет от 100:1 до 1:100. 2. Композиция по п.1, в которой компонентом (а) является соединение формулы I, где А представляет собой 2-пиридинильное кольцо, замещенное от 1 до 4 заместителями, выбранными из галогена и C1-6галогеналкила; В представляет собой фенильное кольцо, замещенное от 1 до 4 галогенами, причем, по крайней мере, один галоген находится в орто-положении по отношению к связи с W; W представляет собой С=O; R1 и R2 каждый независимо представляет собой Н; R3 представляет собой Н. 3. Композиция по п.2, где компонентом (b) является цимоксанил. 4. Композиция по п.2, где компонентом (b) является соединение, выбранное из (b2). 5. Композиция по п.4, где компонентом (b) является фамоксадон. 6. Композиция по п.1, где компонент (b) включает, по меньшей мере, одно соединение из каждой из двух разных групп, выбранных из (b1), (b2), (b3) и (b9), причем массовое соотношение компонента (b) и компонента (а) составляет от 30:1 до 1:30. 7. Композиция по п.6, где компонент (b) включает, по меньшей мере, одно соединение, выбранное из (b2), и, по меньшей мере, одно соединение, выбранное из (b1), (b3) или (b9); и где общее массовое отношение компонента (b) и компонента (а) составляет от 10:1 до 1:10. 8. Композиция по п.6, где компонент (b) содержит цимоксанил и, по меньшей мере, одно соединение, выбранное из (b1), (b2) или (b9); и где общее массовое отношение компонента (b) и компонента (а) составляет от 9:1 до 4.5:1. 9. Композиция по любому из пп.1-8, где компонент (а) представляет собой соединение 1 где (R5)m представляет группу 3-Cl-5-CF3, a R1 и R2 представляют водороды, (R6)p представляет собой 2,6-диCl. 10. Композиция для борьбы с заболеваниями растений, вызванных грибковыми патогенами растений по п.1, включающая (1) соединение 1 общей формулы где (R5)m представляет группу 3-Cl-5-CF3, R1 и R2 представляют водороды, (R6)p представляет собой 2,6-диCl, или соединение 5 общей формулы где (R5)m представляет группу 3,5-диCl, R1 и R2 представляют водороды, a (R6)p представляет собой 2,6-диCl; и (2) хлороталонил. 11. Способ борьбы с заболеваниями растений, вызванными грибковыми патогенами растений, включающий нанесение на растение или его часть или на семена или проростки растений фунгицидно эффективного количества композиции по п.1. 12. Способ по п.11, где заболевание, с которым борются, вызывает грибковые патогены Phytophthora infestans. 13. Способ по п.11, где заболевание, с которым борются, вызывает грибковые патогены Plasmopara viricola.
|
||||||||||||||||||||||||||||||||||||||||||||||||||||||||||||||||||||||||||||||||||||||||||||||||||||||||||||||||||||||||||||||||||||||||||||||||||||||||||||||||||||||||||||










ССН2О, СН3С
-электроны, когда n равно 0 или положительному целому числу, связаны с кольцом, подчиняясь правилу Хюккеля. Термин «ароматическое карбоциклическое кольцо» включает полностью ароматические карбоциклы (например, фенил). Термин «неароматическое карбоциклическое кольцо» означает полностью насыщенные карбоциклы, а также частично или полностью ненасыщенные карбоциклы, где не выполняется правило Хюккеля. Термин «гетеро» в связи с кольцами относится к кольцу, в котором, по меньшей мере, один атом кольца не является атомом углерода и которое может содержать 1-4 гетероатома, независимо выбранных из группы, состоящей из азота, кислорода и серы, при условии, что каждое кольцо содержит не более чем 4 атома азота, не более чем 2 атома кислорода и не более чем 2 атома серы. Термин «гетероароматическое кольцо включает полностью ароматические гетероциклы. Термин «неароматическое гетероциклическое кольцо» означает полностью насыщенные гетероциклы, а также частично или полностью ненасыщенные гетероциклы, где не выполняется правило Хюккеля. Гетероциклическое кольцо может быть присоединено через любой доступный атом углерода или азота путем замещения водорода указанного атома углерода или азота.
























-(метоксиимино)бензолацетат (известен также как азоксистробин) описан как ингибитор bc1-комплекса в Biochemical Society Transactions 1993, 22, 68S. Метил-(Е)-






