Патент на изобретение №2314679
|
||||||||||||||||||||||||||
(54) СПОСОБ ОПРЕДЕЛЕНИЯ УСТОЙЧИВОСТИ ГЕНОТИПОВ ЛЬНА К ИЗМЕНЕНИЮ КИСЛОТНОСТИ ПОЧВЕННОГО РАСТВОРА
(57) Реферат:
Изобретение относится к сельскому хозяйству, в частности к селекции и технологии возделывания льна-долгунца. Выращивают растения на трех фонах с различным уровнем кислотности (pHKCl) – I – 4,5 и ниже (исходная почва) – сильнокислый, II – 5,5 – слабокислый, III – 7,0 – нейтральный, которые создаются путем внесения извести непосредственно под лен и тщательного ее перемешивания с почвой на глубину пахотного слоя, из расчета доведения pHKCl до заданной величины, используя коэффициент, полученный опытным путем для сдвига на 0,1 рН – 0,31 т/га СаСО3 для легкосуглинистых и 0,40 т/га для среднесуглинистых почв. Далее проводят анализ изменчивости основных параметров продуктивности (масса волокна, содержание волокна, масса семян, число семян на одном растении) и ранжирование тестируемых образцов на группы: адаптированные к различной степени кислотности, устойчивые к нейтральной реакции среды, устойчивые к сильнокислой реакции и неустойчивые к изменению степени кислотности. Изобретение позволяет быстро и эффективно выявлять устойчивые генотипы льна к изменению кислотности почвенного раствора. 1 табл.
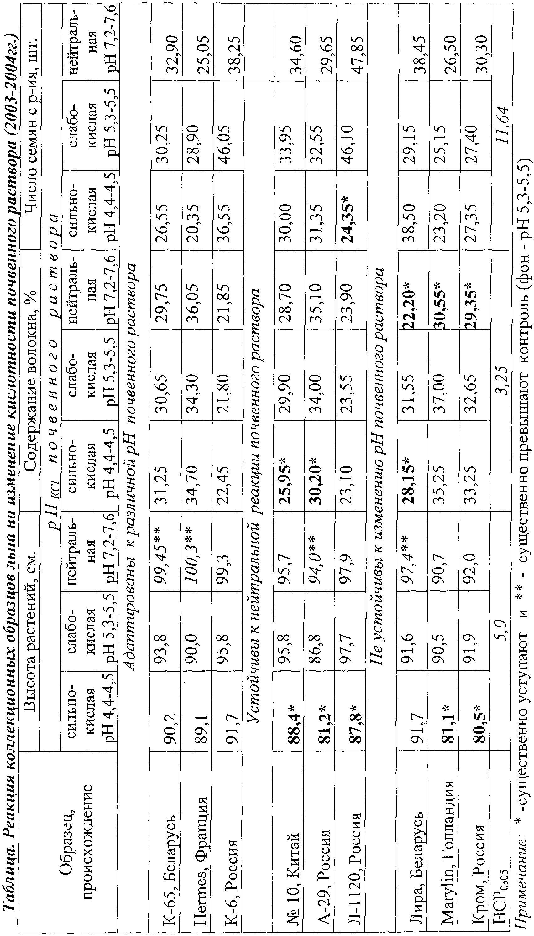
Изобретение относится к сельскому хозяйству, в частности к селекции льна. Известны косвенные способы оценки растений льна на устойчивость к кислым почвам, основанные на измерение длины проростка корня при проращивании в чашках Петри с разной концентрацией солей алюминия [1-4]. Недостатком данных способов является низкая корреляционная связь (r – 0,24) с прямым методом оценки реакции растений льна на пониженные значения рНKCl почвенного раствора (4,5 и ниже). Известно, что сорта одной и той же сельскохозяйственной культуры могут неодинаково реагировать на изменения кислотности почвенного раствора. Установлено, что сорта, выведенные на почвах с нейтральной реакцией, как правило отрицательно относятся к повышенной кислотности почвы, сорта же, полученные на почвах с кислой реакцией, значительно выносливее [5]. Лен-долгунец имеет слаборазвитую корневую систему и в связи с этим требователен к наличию в почве питательных веществ в легкодоступной форме, а также обладает повышенной чувствительностью к изменению концентрации почвенного раствора. Для получения высоких и устойчивых урожаев этой культуры с хорошим качеством волокна и семян наиболее пригодны слабокислые почвы с рНKCl 5,3-5,5 [6]. На почвах, близких к нейтральным, отмечается «физиологическое угнетение» льна – кальциевый хлороз. Пораженные растения приостанавливаются в росте, стебель утолщается, верхняя часть растений или часть листьев белеет, а затем буреет и отмирает. В связи с этим требуется надежный способ, позволяющий проводить оценку образцов льна на устойчивость к различной рН почвенного раствора, что обеспечит успех селекционной работы, направленной на создание сортов, адаптивных к неблагоприятным эдафическим факторам среды. Кроме того, знание реакции на изменения почвенного раствора позволит осуществлять научно обоснованный подбор сортов льна к конкретным почвенным условиям. Прототипом изобретения является способ оценки сортов льна: на реакцию к разным дозам извести (из расчета дозы извести по 0,25; 0,5; 1,0 и 2,0 гидролитической кислотности почвы), внесенным в кислую почву в вегетационном эксперименте (сосуды Митчерлиха) [7]. Недостатком этого способа является невозможность оценки большого количества образцов льна из-за трудоемкости, связанной с набивкой и уходом за большим количеством сосудов. Кроме того данный подход расчета извести не всегда позволяет достичь оптимального для льна уровня рНKCl (5.3…5.5), что затрудняет ранжирование генотипов по устойчивости к изменению кислотности почвенного раствора. Заявляемое изобретение направлено на устранение вышеотмеченных недостатков известных способов оценки, и его использование обеспечит получение следующего технического результата: создание сортов льна устойчивых к комплексу неблагоприятных эдафических факторов среды на основе применения предлагаемых фонов с разной степенью кислотности и соответственно широкого использования мирового генофонда культуры; выявление агрохимически эффективных сортов льна-долгунца, способных реализовать свой биологический потенциал на почвах с различной реакцией почвенного раствора без дополнительных затрат, включающих внесение извести на почвах с пониженным значением рН и цинксодержащих удобрений на почвах, близких к нейтральным. Указанный технический результат достигается за счет того, что выращивание растений с последующей оценкой изучаемых образцов позволяет одновременно проводить оценку устойчивости коллекционных образцов, сортов и гибридов льна как к кислой реакции почвенной среды, так и близкой к нейтральной. Особенность изобретения состоит в том, что выращивание растений проводят на трех фонах с различным уровнем кислотности (рНKCl): I – 4,5 и ниже (исходная почва) – сильнокислый, II – 5,5 – слабокислый, III – 7,0 – нейтральный, которые создаются путем внесения извести и тщательного ее перемешивания с почвой на глубину пахотного слоя из расчета доведения рНKCl до заданной величины, используя коэффициент, полученный опытным путем для сдвига рНKCl на 0,1-0,31 т/га – для легкосуглинистых и 0,40 т/га – для среднесуглинистых почв. При этом на основе анализа изменчивости основных параметров продуктивности (высота растений, содержание волокна, число семян на одном растении) на фонах I и III по отношению к контролю – фон II (рНKCl 5,5) проводится ранжирование тестируемых образцов на группы: 1 – адаптированные к различной степени кислотности, 2 – устойчивые к нейтральной реакции среды, 3 – устойчивые к сильнокислой реакции, 4 – неустойчивые к изменению степени кислотности. Предлагаемый способ оценки устойчивости генотипов к изменению кислотности почвенного раствора осуществляется следующим образом. Проводится подбор исходной почвы с кислотностью рНKCl 4,5 и ниже в производственных условиях и доставка необходимого ее количества в вегетационный домик. Набивка ящиков осуществляется в соответствии с методикой закладки вегетационных опытов со льном-долгунцом (1987). Для оценки реакции генотипов льна на изменения кислотности почвенного раствора создаются следующие селективные фоны: I – исходная почва с рНKCl 4,5 и ниже; II – искусственное доведение рН ко До оптимального уровня – 5,5 за счет внесения необходимой дозы извести; III – искусственное доведение рНKCl до нейтральной – 7,0 за счет внесения необходимой дозы извести. Для расчета дозы извести используем разработанный коэффициент для оптимизации значений рНKCl. Для легкосуглинистой почвы он составляет 0,31 т/га СаСО3, для среднесуглинистой почвы – 0,40 т/га СаСО3. Пример расчета. Исходная, дерново-подзолистая легкосуглинистая почва имеет рНKCl 4,2. Следовательно, чтоб достигнуть оптимального значения реакцию данной почвы необходимо сдвинуть на (5,5-4,2=1,3) 1,3 единицы рН. Для сдвига реакции на 0,1 рН требуется внести 0,31 т/га СаСО3, а для сдвига на 1,3 рН – 4,06 т/га СаСО3 (0,31×13=4,06). Проводим расчет дозы извести на площадь ящика, и тщательно перемешиваем известь с почвой на глубину пахотного слоя. В каждом ящике высевается 30 генотипов льна по 20 семян каждого. Площадь питания одного растения (2,5×2,5) – 6,25 см2. Следует обратить внимание на то, что полив проводится водой малой жесткости без солей кальция и железа, которые могут подщелачивать почвенную среду. Оценка устойчивости генотипов льна к изменению кислотности почвенного раствора осуществлялась на основании ранжирования их на группы в зависимости от изменчивости основных показателей продуктивности – высоты растений, содержания волокна, числа семян на растении по отношению к контролю – фон II (рНKCl 5,5). Аналогичная оценка устойчивости генотипов льна к изменению кислотности почвы в полевых условиях позволяет существенно снизить трудоемкость этого способа. Сравнительная оценка реакции генотипов льна на изменения рН почвенного раствора в условиях вегетационного домика и поля показала высокую корреляцию по массе волокна и содержанию его в стеблях – от 0,854 до 0,899 и среднюю по числу и массе семян – 0,553-0,567. Закладку питомника в поле осуществляется по типу 2-го этапа селекции (Методические указания по селекции льна-долгунца, 2004). Расчет дозы извести и ее внесение осуществляется аналогичным образом, как в вегетационном опыте. По каждому образцу высевается 20 семян, площадь питания 1 растения 2,5×2,5 см. По результатам оценки образцов мирового генофонда льна в полевых условиях адаптированными к изменению кислотности почвы являются следующие сорта: К-6, Оршанский 2, К-65, Hermes. Выявлены образцы устойчивые только к нейтральной реакции почвенного раствора – А-29, Л-1120, №10 (Китай), у которых результаты оценки по основным параметрам продуктивности на фоне с рН 7,2-7,6 существенно не отличаются от контроля – фон рН 5,3-5,5 (табл.). Выявленные адаптивные формы к различной рН почвенного раствора являются ценным исходным материалом для использования в селекционных программах по льну-долгунцу. Проведенная дифференциация позволяет проводить подбор сортов льна к конкретным почвенным условиям, что будет способствовать обеспечению условий для максимального эффективного роста урожайности. Литература 3. Косарева И.А., Давыдова Г.В., Семенова Е.В. Методические указания по определению кислотоустойчивости зерновых культур. / С. – П. – ВИР. 1995. 24 с. 8. Методические указания по селекции льна-долгунца. M. 2004. 43 с.
Формула изобретения
Способ определения устойчивости генотипов льна к изменению кислотности почвенного раствора, включающий выращивание растений с последующей оценкой изучаемых образцов, отличающийся тем, что выращивание растений проводят на трех фонах с различным уровнем кислотности (рНKCl): I – 4,5 и ниже (исходная почва) – сильнокислый, II – 5,5 – слабокислый, III – 7,0 нейтральный, которые создаются путем внесения извести непосредственно под лен и тщательного ее перемешивания с почвой на глубину пахотного слоя, используя для сдвига рН на 0,1 разработанный коэффициент 0,31 т/га СаСО3 для легкосуглинистых и 0,40 т/га – для среднесуглинистых почв.
|
||||||||||||||||||||||||||

